Submit manuscript...
Journal of
eISSN: 2572-8466

Applied Biotechnology & Bioengineering

Research Article Volume 11 Issue 4

Earliness and productivity of popcorn corn lines from the ‘UENF-14’ population for obtaining mini-maize

Ariane Cardoso Costa, Romário Vargas Garcia, Mayara Cazadini Carlos, Silvio de Jesus Freitas

Department of Phytotechnics, Universidade estadual do norte Fluminense Darcy Ribeiro, Brazil

Correspondence: Ariane Cardoso Costa, Department of Phytotechnics, Universidade estadual do norte Fluminense Darcy Ribeiro, Brazil

Received: July 16, 2024 | Published: August 6, 2024

Citation: Costa AC, Garcia RV, Carlos MC, et al. Earliness and productivity of popcorn corn lines from the ‘UENF-14’ population for obtaining mini-maize. J Appl Biotechnol Bioeng . 2024;11(4):107-111. DOI: 10.15406/jabb.2024.11.00367

Download PDF

Abstract

Corn, grown throughout Brazil, stands out for occupying large areas. One of its forms of cultivation is baby corn, which can be produced throughout the year. This type of corn, young and unfertilized, is mainly enjoyed in canned food. To improve the productivity of baby corn, it is important to consider characteristics such as early maturation, low plant height, flowering uniformity and high prolificacy. In recent years, there has been a transition to more sustainable management practices, including organic farming, driven by increased demand for organically produced vegetables. Organic fertilizer benefits the useful life of the soil, while chemical mineral fertilizers can reduce soil biota and shorten its useful life. Considering the early productive potential of UENF-14 lines, the objective of the research was to evaluate the performance of these popcorn lines for growing baby corn under organic management. The materials tested were: 14 lines of popcorn from the UENF-14 population, the experiments were conducted in the summer 2017/2018 and winter 2018 harvests in the experimental area of IFES, Campus de Alegre, located in the district of Rive - ES. The experimental design was randomized blocks with 15 treatments and four replications. The first harvests of the plots were carried out between three and five days after the issuance of stigma styles, for 30 days. After harvesting, the ears were placed in plastic bags, and refrigerators were placed for productivity and precocity analyses. The analyses were carried out in the Bromatological laboratory of the Federal Institute of Espirito Santo - Campus de Alegre. The analysis of variance showed a significant difference between the lines originating from the popcorn population UENF 14, for the productivity variable, with the coefficient of variation found to be 40.04%. The average test for the summer harvest showed that the productive lines for the summer were: L683, L685, L686, L689, L694 and L696, with productivity varying from 666.34 to 876.94 kg/hectare of baby corn. For winter, productivity ranged from 237.21 to 1016.96 kg/hectare of baby corn and among the 14 lines evaluated, only L685 achieved a significant average production. In the summer harvest, the best productivity results were obtained by the lines L683, L685, L686, L689, L694 and L696, while for the winter, only the L685 line showed good productivity results. For precocity, lines L2, L3, L4, L6, L8, L9, L12, L13 and L14 obtained better results for the summer harvest and lines L1, L2, L3, L4, L5, L7, L9, 10, L11, L12 and L14 obtained better results for the winter harvest.

Keywords: production, babycorn, special corns

Introduction

Maize (Zea mays L.) is grown throughout Brazil and stands out from other crops as it occupies a large area of cultivated land in the country. The grain can be grown in a variety of ways (USDA, 2017). Among these is the mini-maize, which can be grown all year round, with up to five harvests per year.1 Mini-maize is the young, unfertilized ear of maize with 2-3 cm stigmas. It can be eaten raw and is most appreciated through conversation.2

Bearing in mind that different types of corn can be used to grow mini-maize, research is currently being carried out to describe which subspecies of corn would be the most suitable for growing mini-maize. Pereira Filho et al,.3 state that due to their greater acceptance by the consumer market, sweet corn and popcorn cultivars have been the most widely used.

Therefore, a production strategy is being sought to improve the yield of the mini-maize crop, taking into account the most important characteristics, such as early maturity, low height, uniform flowering and prolificacy.4 Within this repertoire of characteristics, popcorn stands out for having the characteristics that producers are looking for when growing mini-maize.

In terms of productivity, the ideal way to obtain crop yields is to obtain improved genetic material. Therefore, breeding programs to develop varieties and/or hybrids with high agronomic potential are key factors in stimulating the crop agribusiness sub-sector. With this in mind, the corn-popcorn breeding program, conducted by the State University of Northern Rio de Janeiro Darcy Ribeiro (UENF), obtained the UENF-14 population, with promising characteristics for production.5 It is believed that the strains from this population can be selected to obtain superior hybrids with high yields and a uniformity that is desirable for small producers to plan their annual harvest.

Another important feature of growing mini-maize is its willingness to be a commercial crop for agro-ecosystems, due to its low need for agrochemical inputs. This is due to the fact that the crop is harvested shortly after the ear is formed, without the need for the plant to fill the grains, and has low energy consumption, reducing the amount of fertilizer.4

A few decades ago, producers adopted management practices using mineral fertilizers, insecticides, herbicides, fungicides and others. As a result, the agricultural landscape has undergone major changes and in recent years there has been an increase in the number of producers seeking sustainable agriculture in Brazil,6 part of which is due to the increased demand for organically produced vegetables. Organic fertilization has the benefit of increasing the useful life of the soil and helping it not to deplete, while mineral chemical fertilizers reduce the soil biota and decrease the useful life of the soil.7

With the possibility of discovering strains from UENF-14 with early production potential, the aim of the research was to evaluate the potential of popcorn strains from the UENF-14 population for growing mini-maize under organic management.

Material and methods

The experiment was carried out in the experimental area of the Federal Institute of Espírito Santo (IFES) Alegre Campus, located in the district of Rive - ES, latitude "20º45'44" South, longitude "41º27'43" West and altitude of 134 m. The region's climate is of the "Aw" type with a dry season in winter, with annual rainfall of around 1,200 mm according to the Köeppen classification and an average annual temperature of 23ºC (Lima et al., 2008). In general, the annual climate variability is well characterized and is associated with the seasons. During the summer harvest (2017/2018), the average temperature was around 26.12ºC and the average rainfall was 5.39mm (Figure 1 A, B). During the winter harvest (2018), the average temperature was around 22.33ºC and the average rainfall was 0.25mm (Figure 1 C, D).

Figure 1 Average temperature and rainfall during the popcorn growing season in Alegre, ES, in two different seasons: December 2017 to March 2018 (A and B), April to July 2018 (C and D).

The materials tested were: 14 popcorn lines from the UENF-14 population and a control (the UENF-14 population itself). The experiments were conducted in the 2017/2018 summer and 2018 winter crops.

The experimental design was randomized blocks with 15 treatments and four replications. The experimental plots consisted of 3 rows spaced 0.80 m apart and 2.0 m long. For data collection, the side rows, 2 plants at the beginning and 2 plants at the end of the central row were discarded, resulting in a useful area of 1.4 m²/plot, giving a total area of the experiment of 288 m² and a useful area of 84 m².

Sowing was carried out manually at a density of 15 plants m-1, totaling 166,666 plants ha-¹. The soil was prepared by plowing and harrowing. After preparation, a portable sprinkler irrigation system with movable sides was installed in the experiment area. Fertilization was carried out according to the recommendations for growing organic maize, with poultry litter being applied in the amount of 6 t ha-1.8 The poultry litter had the following chemical characteristics: N= 21.0 g kg-1 ; P= 8.80 g kg-1 ; K= 14 g kg-1 ; Ca2+ = 116.60 g kg-1 ; Mg2+= 6.70 g kg-1 ; S= 4.30 g kg-1 ; B3+= 18.61 mg kg-1 ; Zn2+= 213.35 mg kg-1 ; Mn= 366.50 mg kg-1 ; Fe= 725 mg kg-1 ; Cu= 69.05 mg kg-1 . The following day, the furrows were manually opened for sowing the corn. Spontaneous plants were controlled by two manual weeding operations at 20 and 40 days after sowing. To control the cartridge caterpillar (Spodoptera frugiperda), only one spray was carried out after the second weeding with a biological bactericide based on Bacillus thuringiensis. The amount used was 500g ha-1 and it was applied using a 20-liter knapsack sprayer.

The first harvests from the plots were carried out between three and five days after the stigmas emerged, over a period of 30 days. After harvesting, the ears were packed in plastic bags and placed in refrigerators for yield and earliness analysis. The analyses were carried out in the Bromatology laboratory of the Federal Institute of Espirito Santo - Alegre Campus.

The productivity of the fourteen strains and the 'UENF-14' population was quantified using the total weight of the commercial ears without shells, using an equation to find the value in kg/hectare, the equation being productivity = total weight of commercial ears without shells x hectare / experimental plot size. The data was then subjected to a separate analysis of variance for the two experiments (summer/winter). When a significant effect was found, tests were carried out to group the means (Scott-Knott at a probability level of 0.05), and the data was analyzed using the Genes software.9

For earliness, the harvest was analyzed over six weeks in the summer (2017/2018) and winter (2018) harvests, and the average ear weight (g/ear), number of total ears and commercial ears (number of ears/hectare) were quantified for each strain. The variable data was analyzed using graphical resources to interpret the results.

Results and discussion

The analysis of variance showed a significant difference (p<0.05) between the strains from the UENF 14 popcorn population (Table 1), for the yield variable, and the coefficient of variation (C.V) found was 40.04%. In his literature, Pimentel Gomes10 considers that the C.V obtained in this study is high, but this variation is explained by the fact that it is a polygenic trait, in which case it involves a large number of genes. When it comes to quantitative traits, the environment has a significant influence, thus causing a high coefficient of variation.

FV

GL

Mean square

Block/Environment

6

39334

Block

3

52827

Block x environment

3

25841

Environments

1

699289

Lineages

14

2889143

Environments x Lineages

14

1014879

Lineages/Environments

28

3904022**

Strains/Environment 1

14

2005868**

Lineages/Environment 2

14

1898154**

Waste

84

3645564

C.V (%)

 

40,08

Table 1 Summary of the joint analysis of variance for the yield characteristic of fifteen popcorn lines (evaluated lines and control) evaluated in the summer and winter crops in the district of Rive, Alegre – ES
** significant at 5% probability, respectively, by the F test.

Once the analysis of variance proved to be significant, we moved on to the mean test, which showed significance between the seasons for each strain and within each season for the strains.

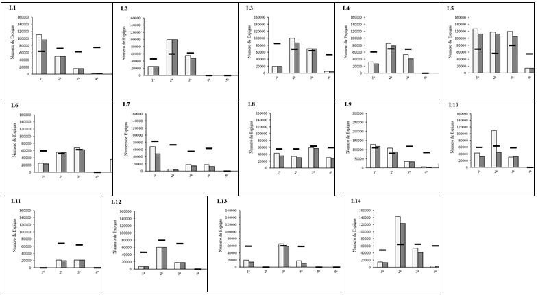
The results shown in Figure 2 refer to summer season, with six strains and the UENF 14 population considered productive in the Scott-Knott average test. These productive strains for the summer were: L683, L685, L686, L689, L694 and L696, with yields ranging from 666.34 to 876.94 kg/hectare of maize. Carvalho,.11 after carrying out the agronomic and nutritional characterization of eight maize cultivars under different growing conditions for the production of mini-maize, in the municipalities of Lavras and Sete Lagoas, in the state of Minas Gerais, observed that the cultivar DKB 929 showed the best performance in both locations, with an average production of 1.46 t/ha-1 (1460 kg/ha) of commercial spikelets. In addition, Meneghetti, Nóbrega and Santos (2008), when evaluating the popcorn variety Angela for minimillo production, found an average yield of 1,650 kg/ha-1 for ears without straw.

Figure 2 Productivity of fourteen strains from Population 'UENF-14' of popcorn with potential for producing mini-maize for the summer season.
Comparisons of strain averages in summer followed by the same capital letters constitute a statistically homogeneous group. * Means a significant effect between seasons within each strain.

Figure 3 shows average yields of ears of corn in winter, ranging from 237.21 to 1016.96 kg/hectare, with maximum yields significantly exceeding the summer averages. However, it was observed that among the 14 strains evaluated, only L685 had a significant average yield. This can be explained by the lack of rainfall in the region during the winter period. Although there was irrigation in the experiment, the amount of water that reached the crop during the summer was greater. And the maize crop is characterized by being sensitive to a lack of water, especially during the flowering period. Water availability is probably the main factor affecting the choice of optimum plant density. The most critical time for the plant to suffer from water deficiency is between two and three weeks after spike-up.12

Figure 3 Productivity of fourteen strains from Population 'UENF-14' of popcorn with potential for producing mini-maize for the winter season.
Comparisons of winter strain averages followed by the same capital letters constitute a statistically homogeneous group. * no significant effect between seasons within each strain.

The results suggest that there are promising genotypes in both seasons. Therefore, the results obtained when analyzing each strain between the seasons showed high homogeneity of the strains, with strains L681, L682, L684, L685, L688, L691, L693, L695, L696 and the UENF 14 population being considered statistically equal in both seasons.

An interesting factor observed in the summer harvest, which deserves exploration, is the proximity of yield values between some lines and the general population, as shown in Figure 2. Typically, lines are expected to show lower yields compared to the population due to "inbreeding depression", since they only have homozygous alleles. However, productivity is associated with heterozygosity, which makes this observation especially promising.

It is important to note that the L685 strain showed high production performance in both seasons, so it is a material that has the potential to be suitable for annual production. With a view to improving corn for growing mini-maize annually, the authors Joshi and Chinwal (2018) state that growing mini-maize has an income four to five times higher than the grain corn crop, and income can be increased by taking up to five crops in a year. Considering the proposal to obtain hybrids with production in both seasons, we advanced the research in search of a material with the characteristic of early productivity.

The Ministry of Agriculture, Livestock and Supply (MAPA) is seeking to standardize a system for assessing the earliness of maize hybrids based on the number of days to physiological maturity. In this system, hybrids are divided into three groups; Group I (super early), with n < 110 days, Group II (normal) n > 110 days and n < 145 days, and Group III (Late) with n > 145 days, where "n" represents the number of days to physiological maturity of the crop.13 However, there is little research in the literature on the precocity of growing maize for mini-maize. However, it can be based on the number of days from sowing to flowering, as it is known that after flowering the plant emits the first ears of corn. In 1999, Miles and Shaffner14 recommended a harvest period of 3 to 4 weeks for mini-maize, with 9 to 12 harvests in a single planting. Given this observation, it can be seen that the peak in ear production shown in Figures 2 and 3 occurs within the period described by the authors.

When we look at the number of ears in the first four weeks of the summer harvest (Figure 2), we can see that only the L1, L7 and L11 strains did not obtain a higher number of commercial ears when compared to the research carried out by Barbosa,.15 when he studied cultivars and doses of zinc for the production of mini-maize in Vitória da Conquista (BA), in which the results in terms of the number of commercial ears ranged from 119,074 ha-1 to 855,80 ha-1 . For the study in question, the number of ears ranged from 53,571 to 219,643 ears ha-1, with eleven strains having higher yields than the study carried out by Barbosa.15 Research carried out by Bairagi et al,.16 and Moreira et al,.17 also found lower values for the number of ears and productivity, especially both studies were of cultivars that were not obtained with the aim of yielding mini-maize, with this as a justification for advancing the research, in order to generate results from obtaining productive strains. In addition, mini-maize that does not meet high marketing standards is used to serve less demanding markets and for fresh consumption.3,11

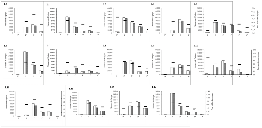
Ear earliness was quantified for each strain by average ear weight (g/ear), number of total and commercial ears (number of ears/hectare) over 6 weeks. In the summer (Figure 2), it can be seen that during the first week, none of the strains obtained significant results, in the second week, strains L2, L3, L6, L12 and L14 obtained significant results, in the third week, strains L4, L8, L9 and L13 obtained good results, for the fourth, fifth and sixth weeks none of the strains obtained significant results in terms of weight and number of ears. As a result, it can be seen that the highest harvest yields occurred in the second and third weeks (Figure 4).

Figure 4 Analysis of the averages for ear weight and number of total and commercial ears of fourteen corn-popcorn lines from UENF-14 for the production of mini-maize in the summer harvest. /p>

For the winter (Figure 2), it can be seen that during the first week the L1, L5 and L9 strains had superior values for the number and weight of ears, in the second week the superior strains were: L2, L3, L4, L5, L6, L7, and L10, in the third week the L3, L5 and L6 strains, for the fourth, fifth and sixth weeks, no strain obtained superior results. The best results were concentrated in the first three weeks, and the worst results in weeks four, five and six.

During the summer, the best yield results were obtained after the first week, while in the winter, good results were obtained during the first week. In winter, there is a reduction in the number of degree days, leading to a longer flowering time. According to Shioga et al,.18 one strategy to reduce this time is to use shorter-cycle cultivars, as has been happening in the state of Paraná, where priority is given to planting early and super-early corn in the off-season. Thus, the L2, L3, L4, L6, L8, L9, L12, L13 and L14 lines obtained the highest harvest yields up to fifteen days after the first harvest for the summer crop and the L1, L2, L3, L4, L5, L7, L9, 10, L11, L12 and L14 lines obtained the highest harvest yields up to fifteen days after the first harvest for the winter crop, but the total harvest during this period must be observed in the lines. Precocity becomes efficient when compared to productivity, which is why the harvesting period is taken into account in relation to the productivity of this period (Figure 5).

Figure 5 Analysis of the averages for ear weight and number of total and commercial ears of fourteen popcorn strains from UENF-14 for the production of mini-maize in the winter crop.a

Minimillo is attracting increasing interest among consumers and producers alike, due to its distinctive flavor and texture characteristics and innovative cultivation methods. In addition, its production not only contributes to job creation, but also offers significant opportunities for increasing income, and demonstrates considerable potential for the export market. An early mini-maize cultivar is essential for farmers, offering advantages such as earlier harvesting, reduced weather and pest risks, increased efficiency in land management and the possibility of taking advantage of more favorable market windows. This strategic flexibility not only boosts productivity, but also contributes to the economic stability and sustainability of the agricultural business. However, further research should be carried out to target the cultivation of mini-maize specifically.

Conclusion

In the summer harvest, the best yield results were obtained by the L683, L685, L686, L689, L694 and L696 lines, while for the winter, only the L685 line showed good yield results.

For earliness, the strains L2, L3, L4, L6, L8, L9, L12, L13 and L14 obtained the best results for the summer season and the strains L1, L2, L3, L4, L5, L7, L9, 10, L11, L12 and L14 obtained the best results for the winter season.

Acknowledgments

None.

Conflicts of interest

The authors declare no conflicts of interest.

Funding

None.

References

  1. Queiroz VAV. Brazil no longer needs to import mini-maize. 2008.
  2. Hooda S, Kawatra A. Nutritional evaluation of baby corn (zea mays). Nutrition & Food Science. 2013;43(1):68–73.
  3. Pereira Filho IA, Gama EEG, Cruz JC. Minimilho: efeito de densidade de plantio e cultivares na produção e em algumas características da planta de milho. Empresa Brasileria de Pesquisa Agropecuria. 1998.
  4. Dhasarathan M, Babu C, Iyanar K, et al. Studies on genetic potential of baby corn (Zea mays L.) hybrids for yield and quality traits. Electronic Journal of Plant Breeding. 2012;3(3):853–860.
  5. Antonio Teixeira do Amaral Júnior, Leandro Simões Azeredo Gonçalves, Silvério de Paiva Freitas Júnior, et al. UENF 14: a new popcorn cultivar. Crop Breeding and Applied Biotechnology. 2013;13(3):218–220.
  6. Cavallet LE, Canavari M, Fortes Neto P. Participatory guarantee system, equivalence and quality control in a comparative study on organic certifications systems in Europe and Brazil. Interdisciplinary Journal of Applied Science. 2018;13(4):e2213.
  7. Adnan N, Nordin S, Rahman I, et al. The impacts and visions of the green fertilizer technologies (GFT): Adoption behaviour among Malaysian paddy farmers. World Journal of Science Technology and Sustainable Development. 2017;14(4):336–354.
  8. Pereira Júnior EB, Hafle OM, Oliveira FTDE, et al. Production and quality of green corn with different sources and doses of organic fertilizers. Rev Verde de Agroecologia e Desenvolvimento Sustentável Mossoró. 2012;7(2):277–282.
  9. Cruz CD. Genes: a software package for analysis in experimental statistics and quantitative genetics. Acta Scientiarum. 2013;35(3):271–276.
  10. Pimentel-Gomes F. Curso de Estatística Experimental. 12th edn. Piracicaba. 1985.
  11. Carvalho GS. Agronomic and nutritional characterization of maize cultivars under different growing conditions for minimillo production. Dissertation (Master's Degree in Agronomy/Phytotechny) - Federal University of Lavras. 2002. p. 70.
  12. Meneghetti AM, Nóbrega LHP, Santos RF. Irrigation management for maize production by evapotranspiration. Engenharia na Agricultura. 2008;16(3):351–358.
  13. Cruz, JC, Pereira Filho IA, Alvarenga RC, et al. Corn cultivation. Embrapa Corn and Sorghum Production Systems. 2010.
  14. Miles C, Shaffner O. Baby corn research report. Washington State United States Department of Agriculture (USDA) World Agricultural Production. Circular Series 6. 1999. p. 7.
  15. Barbosa GRF. Maize cultivars at different doses of zinc for minimillo production in Vitória da Conquista. Thesis (Master's Degree in Agronomy), State University of Southwest Bahia, Vitória da Conquista, BA. 2009.
  16. Bairagi S, Pandit MK, Sidhya P, et al. Impacts of date of planting and crop geometry on growth and yield of baby corn (Zea mays var. rugosa). Journal Crop and Weed. 2015;11(2):127–131.
  17. Moreira, Joserlan N, Silva, Paulo Sérgio L, et al. Effect of dehusking on baby corn, green ear and grain yield of two corn hybrids. Horticultura Brasileira. 2010;28(4):406–411.
  18. Shioga PS, Gerage AC, Araújo PM. State evaluation of safrinha corn cultivars 2008. Research Report, Londrina: IAPAR. 2008. p. 156.
Creative Commons Attribution License

©2024 Costa, et al. This is an open access article distributed under the terms of the, which permits unrestricted use, distribution, and build upon your work non-commercially.