Submit manuscript...
Journal of
eISSN: 2572-8466

Applied Biotechnology & Bioengineering

Research Article Volume 12 Issue 4

Evaluation of EMF exposure in TESLA Model Y (2021/2022) and testing the efficiency of SPIROtechnology: An environmental bioelectrography Study

Machado J Joaquín

Electromagnetic Radiation Researcher, EFEIA Institute, USA

Correspondence:

Received: June 08, 2025 | Published: July 18, 2025

Citation: Joaquín MJ. Evaluation of EMF exposure in TESLA Model Y (2021/2022) and testing the efficiency of SPIRO technology: An environmental bioelectrography Study. J Appl Biotechnol Bioeng 2025;12(3):131-142. DOI: 10.15406/jabb.2025.12.00395

Download PDF

Abstract

Objective: To quantify EMF exposures in Tesla Model Y vehicles under varied operational conditions and evaluate the effectiveness of SPIRO® technology in reducing EMF intensity and improving electromagnetic coherence within the cabin.

Design: EMF assessments were performed on 2021 and 2022 Tesla Model Y models during SuperCharging, standard charging, high-speed driving, urban commuting, and idle. Key cabin zones—including seats, console, and dashboard—were evaluated for ELF/LF electric and magnetic fields, RF emissions (0.6–6 GHz), and HF body voltage coupling. Environmental coherence and entropy were tracked using GDV imaging via the BioWell system before and after SPIRO deployment.

Methods: Certified multi-spectrum analyzers recorded EMF levels, and body voltage meters assessed human-field coupling. GDV metrics quantified environmental coherence and entropy shifts.

Subjects: Two Tesla Model Y units (2021, 2022).

Outcome measures: ELF/LF field strength, RF power density, HF body voltage, and GDV-derived coherence indicators.

Results: Peak ELF/LF emissions occurred during SuperCharging, especially near the console and rear seats. RF hotspots were linked to onboard communication systems. HF body voltage increased during SuperCharging and high-speed states, notably in front-seat areas. Post-SPIRO intervention, coherence improved, with a 61.95% average reduction in environmental entropy, indicating enhanced field stability and reduced exposure volatility.

Conclusion: SPIRO significantly reduced EMF pollution and improved cabin coherence, supporting its potential as an in-vehicle EMF mitigation strategy. These findings underscore the need for standardized EMF guidelines in EVs, including considerations of non-thermal effects.

Keywords: electric vehicle, EMF exposure, ELF fields, RF radiation, electromagnetic coherence, Tesla Model Y, SPIRO technology, Bioelectrography, non-thermal EMF effects

Introduction

The global transition from internal combustion engine vehicles to electric vehicles (EVs) has introduced a new array of technological and environmental considerations, including increased and sustained exposure to electromagnetic fields (EMFs) within vehicle interiors. Unlike traditional vehicles, EVs operate using high-voltage powertrains, battery management systems, and a suite of wireless communication technologies that continuously emit EMFs across a wide spectral range—from extremely low frequency (ELF) to high-frequency radiofrequencies (RF), including those used in sub-6 GHz communications for navigation, safety, and autonomous driving functionalities.

Although existing safety standards—such as those from the International Commission on Non-Ionizing Radiation Protection (ICNIRP) and Federal Communications Commission (FCC)—focus primarily on acute thermal effects from EMF exposure, a growing body of literature suggests that chronic, low-intensity exposure to non-ionizing EMFs may induce non-thermal biological effects, including oxidative stress, neurophysiological disruption, and altered circadian regulation. However, these potential risks remain insufficiently addressed in current vehicle design protocols and regulatory frameworks.

This study investigates the environmental and physiological effects of EMF exposure in the cabin of a Tesla Model Y, evaluating both baseline emissions and the mitigation potential of SPIRO®, a proprietary nanocomposite technology engineered to modulate and reduce EMF disturbances. By systematically measuring electric and magnetic field intensities, RF power densities, and environmental coherence using bioelectrography, this research aims to provide evidence-based insights into EMF dynamics in electric mobility contexts.

A total of 952 EMF data points were collected from two Tesla Model Y units (2021 and 2022 models), under diverse operational conditions including SuperCharging, standard charging, high-speed driving, urban commuting, and idle states. Measurement zones included key interior areas such as the driver and passenger seating, center console, control panels, and communication modules. This protocol enabled precise localization of emission hotspots and assessment of the impact of SPIRO deployment on both environmental coherence and inferred occupant exposure.

Through this approach, the study contributes toward the development of scientifically grounded guidelines for EMF mitigation in EV design and supports emerging discussions on integrating non-thermal EMF criteria into public health and transportation safety standards. The automotive industry's accelerated transition toward electric vehicles (EVs) and autonomous vehicles (AVs) has revolutionized transportation technologies while concurrently introducing new challenges related to sustained electromagnetic field (EMF) exposure within confined cabin environments. Pioneering manufacturers such as Tesla have established benchmarks in autonomous operation and sustainable engineering, yet these advancements rely heavily on complex electronics that emit continuous EMFs across low-frequency (LF) and radiofrequency (RF) spectra.1

EVs inherently generate EMFs due to their high-power electrical components—batteries, inverters, traction motors, and distribution wiring—while AV systems add further EMF layers via LiDAR, radar, GPS, and high-bandwidth communication modules such as 5G. The metallic enclosure of vehicle cabins contributes to field amplification via reflection and resonance effects, intensifying occupant exposure. Recent studies have documented that while inverter emissions in EVs often meet formal exposure limits, localized EMF concentrations—particularly near the driver and passenger footwells—can exceed average background levels by a significant margin by Dong Gao, Lu.

Furthermore, Gryz et al.,2 highlighted that EV operation, especially in urban settings and during DC fast charging, produces measurable static magnetic fields (SMFs), ELF emissions from onboard power electronics, and RF radiation from data communication systems. Although these emissions typically remain below acute safety thresholds, the cumulative biological effects of long-term exposure to non-ionizing fields remain underexplored in the literature.

Electromagnetic fields consist of interrelated electric and magnetic waveforms, yet artificial EMFs—particularly those from vehicular systems—are characterized by persistent polarization. Unlike natural EMFs with random orientations, polarized fields impose fixed oscillatory vectors, potentially disrupting biological homeostasis. Polarization is a key driver of forced oscillations in charged molecular structures, which in turn can induce oxidative stress, trigger free radical production, and interfere with calcium signaling pathways.3 Excessive reactive oxygen species (ROS) generation, one of the hallmark non-thermal effects of artificial EMFs, has been linked to DNA fragmentation, lipid peroxidation, and chronic inflammation, with implications for cardiovascular and neurodegenerative disorders.4

One well-characterized pathway involves the abnormal activation of voltage-gated calcium channels (VGCCs), which facilitate increased intracellular calcium influx under polarized EMF exposure. This mechanism has been strongly associated with downstream physiological disruptions, including mitochondrial dysfunction and apoptosis.5

Despite these findings, current EMF exposure standards such as those published by the International Commission on Non-Ionizing Radiation Protection6 and adopted by the World Health Organization,7 remain focused predominantly on thermal thresholds. These standards fail to account for long-term, low-intensity, non-thermal EMF exposures, and no specific regulatory frameworks exist for EMF emissions in electric vehicles. In contrast to mobile communication devices, where specific absorption rate (SAR) values are mandated, EV manufacturers currently operate without harmonized guidelines, resulting in inconsistent exposure mitigation strategies.

Additionally, EMFs can induce electromagnetic interference (EMI) that threatens the functionality of AV systems. Given that Level 4 and Level 5 automation rely on real-time data processing, signal disruption from unshielded or poorly managed EMF sources poses a tangible operational risk. This concern is underscored in automotive safety standards such as ISO 26262 and UL 4600, which acknowledge EMI as a critical factor affecting functional safety but offer limited prescriptive solutions for EMF-rich environments in Avs.8

In this context, SPIRO® technology represents a novel mitigation approach based on a nanocomposite formulation designed to neutralize Artificial Quantum Noise (AQN) across a broad frequency spectrum within the non-ionizing domain. By enhancing coherence and attenuating polarized oscillations, SPIRO contributes to reduced electromagnetic stress on biological tissues. This is especially relevant in enclosed, high-exposure environments such as EV cabins, where individuals—including those with electrohypersensitivity—may be disproportionately affected.

This study was therefore designed with the following objectives: (1) to quantify EMF emissions in the LF, ELF, and RF bands across key zones within the Tesla Model Y (2021–2022) under varied operational conditions, including stationary, in-transit, charging, and fast-charging scenarios; (2) to assess spatial and temporal variations in field intensity; (3) to determine optimal SPIRO field strength required for EMF stabilization; and (4) to evaluate post-intervention coherence using environmental bioelectrography via BioWell technology.

Through this multidimensional approach, the study seeks to close existing knowledge gaps concerning EMF dynamics in EVs, contribute to the development of biologically relevant safety metrics, and inform future vehicle design standards that prioritize both operational integrity and public health.

Materials & methods

Study design and setting

This investigation employed a within-subject, repeated-measures design across three separate test days to evaluate electromagnetic field (EMF) exposure in electric vehicles and the modulatory impact of SPIRO® nanocomposite technology. The study was conducted using two Tesla Model Y vehicles (2021 and 2022 models), each equipped with long-range batteries and advanced driver-assist systems.

Measurements were collected on two baseline days without any electromagnetic mitigation intervention, followed by a third day during which SPIRO technology was installed in the cabin environment. All assessments were conducted in controlled settings that included operational states such as SuperCharging, standard AC charging, high-speed highway driving, urban transit, and idle conditions.

EMF domains and specific parameters assessed were as follows:

  1. Radiofrequency (RF) and microwave emissions: Evaluated in the 300 MHz to 6 GHz sub-6 GHz spectrum, covering emission sources such as vehicle telemetry, infotainment, Bluetooth, Wi-Fi, and LTE.
  2. Low-frequency (LF) magnetic fields: Captured magnetic flux density produced by high-current circuits, battery systems, and drive motors.
  3. Extremely low frequency (ELF) electric fields: Measured ELF E-field intensities generated by onboard electrical and electronic subsystems, especially under charging and driving loads.
  4. Body Voltage (BV) in LF and HF: Assessed both low- and high-frequency body voltage using grounded voltmeters to quantify human coupling with ambient EMFs.
  5. Environmental bioelectrography (EPI): Conducted using the BioWell Environmental Scanner to quantify five metrics: Area, Intensity, Energy, Entropy, and Deviation, which were used to derive the Environmental Activity Index (EAI). These data offered insight into the environmental coherence and electromagnetic stability before and after the deployment of SPIRO.

This design allowed for intra-vehicle and inter-condition comparisons to determine the specific influence of SPIRO technology on EMF intensity and coherence modulation.

Subjects & measurements overview

The vehicle units under investigation were 2021 and 2022 Tesla Model Y models featuring dual-motor, long-range configurations and Tesla’s proprietary Autopilot telemetry systems. These platforms integrate multiple electronic control modules that continuously manage battery output, motor torque, regenerative braking, acceleration, and diagnostics.

Key EMF-emitting components in both vehicles included:

  1. RF transmitters for Bluetooth, Wi-Fi, and LTE (2.4 GHz–5.8 GHz);
  2. Short- and long-range radar systems (24 GHz and 76 GHz);
  3. High-voltage battery and inverter systems that emit ELF and LF EMFs, especially pronounced during charging states.

The assessment protocol consisted of two main experimental phases:

  1. Calibration phase: Preliminary baseline measurements were conducted to characterize the EMF profile and determine the optimal SPIRO field strength required for environmental modulation.
  2. Intervention phase: EMF readings were collected without SPIRO (control condition) and repeated after installation of the SPIRO field generator (intervention condition) under matched environmental and operational parameters.

Each measurement session was timestamped and logged with the corresponding frequency spectrum to account for circadian and situational variability in ambient EMF exposure. This allowed for high-fidelity temporal comparison and contextual control.

Subjects description

This study involved two Tesla Model Y vehicles as experimental units, assessed under various operational states and environmental conditions to evaluate electromagnetic field (EMF) emissions and the efficacy of SPIRO® mitigation.

Testing Unit A: Tesla Model Y (2021)

Date: February 18, 2022

Conditions: EMF measurements were conducted over a continuous 12-hour period. Primary data collection focused on the center console region between the driver and passenger seats. The vehicle was evaluated during urban and highway driving throughout Miami-Dade County, as well as while parked and charging at solar-powered stations.

Total measurements: 159 RF readings were obtained.

Testing Unit B: Tesla Model Y (2022)

Dates: April 18–20, 2022

April 18: Baseline RF emissions were recorded under varying environmental conditions, including underground parking facilities, high-density urban traffic, and standard road use. A total of 285 measurements were collected.

April 19: Environmental bioelectrography (EPI) scans were performed to establish baseline coherence values. Locations included two outdoor sites (Morgan Levy Park and the vicinity of 8700 NW 36th St) and three indoor/vehicular contexts (a Tesla SuperCharger station, an exterior charging bay, and under-dashboard measurements).

April 20: Following SPIRO installation, comprehensive EMF measurements—including RF, electric field, and magnetic flux readings—were taken alongside a final round of EPI scans to assess post-intervention environmental coherence.

SPIRO technology

In this study, SPIRO technology—a sophisticated nanocomposite material engineered for passive filter EMF modulation—was evaluated for its effectiveness as an EMF mitigation solution within the electric vehicle (EV) environment. SPIRO addresses the core issue of electromagnetic pollution: Artificial Quantum Noise (AQN). AQN arises from EMF emissions in telecommunications and electronic devices, where unnatural oscillations and polarized spin properties in modulated waves, harmonics, and electromagnetic interference (EMI) disrupt biological systems. These abnormal oscillations lead to unstable, high-entropy fields that interfere with cellular communication and bioelectrical integrity, causing non-thermal stress on biological systems.

SPIRO mitigates AQN by realigning the spin polarization within electromagnetic fields, restoring a more biologically compatible structure. Through its unique nanomagnetic composition, SPIRO reorganizes artificially polarized fields and stabilizes EMF emissions, thereby protecting normal cellular communications and enhancing biofield strength. SPIRO’s natural spin resonance and nanomagnetic properties improve bioelectrical systems, promoting resilience in biological fields by counteracting disruptive EMF exposure.

To maximize mitigation within the Tesla Model Y cabin, SPIRO units were strategically placed in high-EMF areas, including charging ports, central consoles, and key seating zones, ensuring broad exposure reduction across all cabin regions. Previous research has demonstrated SPIRO’s capability to attenuate AQN across a wide range of frequencies by optimizing spin coherence and resonance within electromagnetic fields. This study aims to validate these findings in the unique and variable EMF environment of an EV cabin, providing insights into SPIRO’s real-world efficacy.

The study’s initial phase was dedicated to assessing the Tesla Model Y’s EMF emissions under a variety of conditions—driving, charging, and stationary. These emissions served as a reference to understand the baseline AQN levels and establish cross-referenced data with SPIRO’s characterization chart. This data allowed for the selection of the optimal SPIRO filtering power needed to neutralize the AQN generated by the EV.

In the second phase, an environmental EPI (Electrophotonic Imaging) scan was conducted to establish a baseline measure of electromagnetic coherence within the vehicle’s cabin, identifying any inherent chaotic or unstable activity patterns. Following this, the selected SPIRO units were installed, and a final EPI scan was conducted to evaluate the effectiveness of the SPIRO field in restoring coherence to the cabin environment. The results aimed to confirm SPIRO’s capability in transforming a high-chaos EMF environment into a stable, coherent space, optimizing conditions for biological compatibility within the vehicle.

SPIRO characterization chart - filtering power levels

Measurement instruments and specifications

To achieve a comprehensive and multi-dimensional assessment of electromagnetic field (EMF) emissions and their modulation by SPIRO technology, the study employed a suite of precision instruments. These included spectrum analyzers, body voltage meters, magnetic flux sensors, and environmental bioelectrography tools. The following devices and their measurement specifications were used:

RF spectrum analyzer (300 MHz - 6 GHz): Selective spectrum analyzers were used to monitor sub-6 GHz radiofrequency emissions, including those from onboard Wi-Fi, LTE, Bluetooth, and radar systems. These instruments captured peak power density values at key interior zones, particularly near communication modules and infotainment systems.

ELF/LF spectrum analyzer (0 Hz - 100 kHz): This analyzer detected electric and magnetic emissions in the extremely low frequency (ELF) and low-frequency (LF) ranges, primarily associated with vehicle inverters, battery systems, and motor drive circuits. Measurements were especially focused on high-load scenarios, such as SuperCharging and regenerative braking.

Body voltage meter: Body voltage measurements were obtained using a grounded voltmeter system to assess human coupling to ambient EMFs. Data were collected during different operational states, including acceleration, braking, and static occupancy, to evaluate variations in physiological exposure.

Gaussmeter (ELF/LF, DC-AC): A high-sensitivity gaussmeter capable of measuring both direct current (DC) and alternating current (AC) magnetic flux was employed to monitor magnetic field intensity within the vehicle cabin. It enabled localized detection of field gradients during battery discharge, motor actuation, and auxiliary system activation.

GDV and BioWell analysis: The BioWell gas discharge visualization (GDV) system was used to assess environmental coherence and entropy in the cabin. This tool captures bioelectrographic parameters: Area, Intensity, Energy, Deviation, and Entropy; that reflect the systemic organization or disorder of the electromagnetic environment. Elevated entropy was interpreted as indicative of electromagnetic chaos, while lower entropy levels signaled increased coherence and potential biocompatibility.

Study phases

The study was executed in two sequential phases designed to (1) characterize the electromagnetic emissions of the test vehicles and determine the appropriate SPIRO® filtering solution, and (2) assess the impact of SPIRO on environmental electromagnetic coherence through electrophotonic analysis.

Phase 1: EMF characterization and SPIRO power determination

The objective of the first phase was to quantify and characterize electromagnetic field (EMF) emissions across extremely low frequency (ELF), low frequency (LF), and radiofrequency (RF) bands in the Tesla Model Y vehicles. Measurements were taken at occupant-relevant zones, including the driver’s seat, front passenger seat, center console, and rear seating areas—locations selected for their direct human exposure.

Each site was evaluated using instrumentation to capture:

  1. ELF/LF electric fields (in volts per meter, V/m),
  2. Magnetic flux densities (in milligauss, mG), and
  3. RF emissions within the sub-6 GHz spectrum (in µW/m²).

Peak emission values recorded under various operational states (driving, charging, idling) were compared to SPIRO’s electromagnetic characterization charts. This process enabled a precise matching of the vehicle’s EMF profile with the required SPIRO field strength, facilitating tailored mitigation by selecting the optimal SPIRO Power units to neutralize the detected EM pollution levels.

Phase 2: Environmental electrophotonic analysis as baseline for phase 2

To complement physical EMF metrics, a functional environmental assessment was conducted using a gas discharge visualization (GDV) system—BioWell—paired with an omnidirectional antenna. This scan was designed to establish a baseline profile of electromagnetic entropy and coherence inside the vehicle across multiple operational conditions (parked, in motion, during AC and DC charging).

The BioWell system provided environmental bioelectrography metrics such as Area, Intensity, Energy, Entropy, and Deviation, collectively forming the Environmental Activity Index (EAI). These parameters, validated in prior biophysical research, were interpreted as proxies for electromagnetic order or disorder (Artificial Quantum Noise, AQN) within the cabin.

Post-SPIRO electrophotonic analysis

Following SPIRO installation, a second BioWell scan was performed under matched conditions to evaluate the impact of the SPIRO field on environmental coherence. The principal focus was the “Environmental Activity” parameter, reflecting the degree of EMF filtering and entropy reduction.

Comparative analysis of pre- and post-installation scans revealed shifts in coherence and entropy levels, serving as indicators of SPIRO’s effectiveness in restoring a biologically compatible electromagnetic environment. A reduction in high-frequency oscillatory chaos (Artificial Quantum Noise) and stabilization of the internal emissions provided evidence of SPIRO’s efficacy as an in-situ mitigation solution.

EMF and RF measurement protocols

Measurement overview

Radiofrequency (RF) measurements: Collected at multiple vehicle zones with specific times logged for peak RF values. Additional RF data were gathered from various outdoor locations and inside the Tesla Model Y, providing insights into the vehicle’s RF profile under different environmental conditions.

Electric field strength (E-field): Detailed measurements across driver and passenger seating areas, the back seat, and the center console.

Magnetic flux (B-field): Magnetic flux readings were taken briefly on each measurement date. These measurements serve as indicators of low-frequency magnetic field exposure in high-demand scenarios, such as charging or operation of vehicle electronics.

Operational conditions

Parked (Stationary mode): Baseline emissions were measured with the vehicle powered on but stationary, allowing isolation of EMFs generated by internal electronics and standby communication systems.

Urban driving: Characterized by low-speed, stop-and-go travel in high-density environments. This mode enabled assessment of EMF variation under intermittent motor activity and frequent RF communication bursts

High-speed driving: Conducted on highways under sustained acceleration. Measurements during this mode captured EMFs linked to continuous motor output, telemetry, and radar activity.

Charging conditions: Separate measurements were obtained during both standard AC charging and Tesla SuperCharging sessions. These data were essential for detecting ELF and LF emissions under high-current, fast-charging conditions known to increase magnetic field intensity and electric field fluctuations.

Measurement challenges and environmental considerations

A central methodological challenge of this study was the precise identification and attribution of electromagnetic field (EMF) sources within the Tesla Model Y’s cabin. Due to the multifactorial nature of EMF emissions—from both vehicle-integrated electronics and external urban infrastructure—differentiating endogenous from exogenous signals required methodological adaptations.

To enhance directional sensitivity and spatial resolution, the study utilized both mono-axial and tri-axial modes for electric and magnetic field measurements. This enabled accurate mapping of field vectors and intensities, particularly in complex electromagnetic environments where signal overlap and reflection were expected. For radiofrequency (RF) assessments, a dynamic scanning protocol was employed. By continuously moving the RF analyzer across key cabin zones, the method captured temporal and spatial fluctuations in exposure—essential for detecting transient RF surges related to passing network nodes, communication towers, or Wi-Fi hotspots external to the vehicle.

Given the dense amount of signals and electrification of Miami-Dade County, the urban test environment presented both a challenge and a methodological advantage. Baseline EMF levels were measured in the absence of the vehicle to establish local environmental signatures. These values were then subtracted from in-vehicle readings to isolate the EM emissions specifically attributable to the Tesla’s onboard systems.

Furthermore, the urban context introduced multipath interference effects, as RF signals reflected off surrounding buildings and infrastructure. This created a layered EMF profile within the vehicle, which more accurately reflects the exposure profile encountered by EV occupants in real-world settings.

This contextually rich measurement strategy highlights the dual source challenge in mobile EMF exposure—internal (vehicle-generated) and external (environmentally driven)—and underscores the importance of mitigation systems like SPIRO that can operate effectively under both conditions. It also supports the argument for future EMF guidelines that account for ambient urban EM interference in addition to vehicle-specific emissions.

Ethical considerations

This study did not involve human subjects or biological sample collection; thus, no institutional review board (IRB) approval or informed consent procedures were required. The ethical framework was instead centered on methodological transparency, environmental safety, and regulatory compliance in electromagnetic field (EMF) research.

All EMF measurements were conducted in accordance with internationally recognized environmental EMF guidelines to ensure both researcher safety and non-interference with public infrastructure. Special care was taken during data acquisition in urban environments to avoid disruption of telecommunications, navigation systems, or other public networks.

The study's objectives are aligned with the broader public interest, namely: improving the understanding of EMF exposure in electric vehicles (EVs), informing health-conscious design standards, and supporting the development of evidence-based regulatory frameworks. No personal data, physiological monitoring, or individual diagnostics were performed, thereby eliminating privacy or bioethical concerns commonly associated with human-subject research.

Limitations

This study presents several limitations that should be considered when interpreting its findings. First, the scope of analysis was confined to two Tesla Model Y vehicles, limiting the statistical generalizability of results across other EV makes, models, and configurations. Although the selected units represent a relevant and widely used EV platform, the findings may not capture variability introduced by differing battery architectures, shielding designs, or infotainment systems in other vehicle types.

Second, the evaluation was conducted over a relatively short time frame and under controlled operational scenarios. As such, long-term EMF exposure dynamics—including potential cumulative or circadian effects—remain unexplored within this framework. Continuous, longitudinal monitoring could provide deeper insight into chronic exposure implications.

Third, all measurements were performed in a single urban environment (Miami-Dade County), which, due to its dense electromagnetic infrastructure, may introduce ambient noise and RF reflection artifacts not representative of rural or semi-urban settings. This urban bias may influence both baseline EMF readings and the perceived efficacy of mitigation strategies.

Future research should aim to:

  1. Expand the sample size and diversity of EV models,
  2. Include longitudinal exposure assessments,
  3. Compare urban and rural operational contexts, and
  4. Integrate physiological biomarkers to explore health-related endpoints.

Such extensions would enhance the ecological validity and translatability of EMF mitigation findings in real-world vehicular environments.

Results

Summary of electromagnetic field emissions and environmental impact

Time Block (18 min each)

Baseline Scan (Pre-SPIRO)

(units)

Post-SPIRO Power 19 Installation (units)

Change (%)

1

305.98

46.59

84.77% reduction

2

180.08

65.24

63.76% reduction

3

41.71

35.70

14.41% reduction

 

4

 

36.17

 

59.58

64.78% increase due to dynamic conditions

5

66.60

36.60

45.05% reduction

6

1075.41

64.90

93.96% reduction

Note: Block 4 shows a temporary entropy increase due to highly dynamic driving and transitional signal conditions

Environmental activity reduction: 61.95%, affirming SPIRO’s effectiveness in reducing chaotic electropollution under real-world conditions.

General results overview

EMF Emissions Across Operational States

Parked mode: While baseline ELF and LF emissions were low during idle states, a notable escalation occurred during DC SuperCharging. The passenger seat and central control screen areas recorded the highest electric field intensities, reflecting proximity to the battery and internal charging electronics.

Driving conditions: EMF levels —particularly ELF emissions— increased under high-speed travel. Peak measurements were observed beneath the control screen and rear seating areas, likely associated with sustained current draw and the activation of propulsion inverters and auxiliary systems.

Charging conditions: SuperCharging produced significantly elevated EMF emissions compared to standard charging. The central console and rear seats exhibited the highest ELF/LF electric and magnetic field intensities. The rapid charging currents generated transient magnetic surges in excess of typical operational levels, highlighting these areas as potential zones of concern for acute exposure during fast-charging cycles.

RF emission patterns

Analysis of RF spectra revealed prominent emission peaks in the 2.4 GHz and 5 GHz bands, aligning with onboard Wi-Fi, Bluetooth, and LTE transmission systems. These emissions were concentrated in the central console, control display, and adjacent seating areas, suggesting these zones as hotspots of high-frequency EMF exposure during operation and connectivity cycles.

Body voltage and human EMF coupling

Body voltage assessments revealed significant capacitive coupling between vehicle EM fields and occupants, particularly during high-speed driving and SuperCharging. The driver and front passenger seats demonstrated the highest voltage accumulation. Notably, elevated coupling values were indicative of increased personal field exposure under dynamic EMF conditions.

Environmental coherence and entropy

Electrophotonic imaging via BioWell GDV scans documented marked entropy spikes and coherence drops during high-speed driving and SuperCharging. These measurements reflect increased electromagnetic disorder within the cabin and correspond with conditions that may elicit physiological stress responses. The data support the assertion that EMF turbulence in EV interiors, particularly during power-intensive activities, may disrupt biological field stability.

Phase 1 Results: preliminary assessment of vehicle emissions Tesla Model Y 2021 (Measurement Date: February 18, 2022)

Total measurements collected: 365 across passenger, driver, and rear seats, as well as the console area.

Radiofrequency (RF):

Frequency Range: 300 MHz to 6000 MHz.

Data collected: 155 RF measurements.

Observation period: 08:29:44 AM to 08:55:20 AM.

Key zones: Notable readings from passenger, driver, and rear seat areas.

Electric field strength (ELF/LF):

Total measurements collected: 194.

Observation period: 08:55:30 AM to 09:27:40 AM.

Key Zones: Highest readings detected in the driver seat area.

Magnetic flux (mG):

Data collection duration: Short window from 9:01 AM to 9:03 AM.

Peak and average values: Maximum and minimum values captured using a Tenmars device, with red and yellow bars indicating upper and lower limits, respectively.

Tesla Model Y 2022 Results (April 18 - April 20, 2022)

April 18, 2022

Data focus: RF measurement solely, collected from the central console area.

Total measurements collected: 283 RF readings.

Notable peak values: Observed at 10:08:50 AM and 10:14:00 AM in the 4-5 GHz frequency band, indicating substantial RF activity in this range.

April 19, 2022

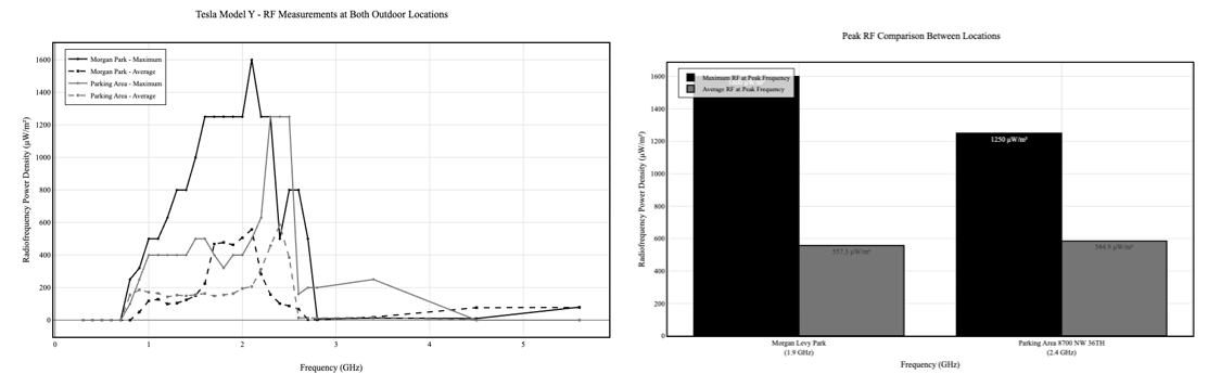
Measurement locations: Expanded to include outdoor locations (Morgan Levy Park, parking area at 8700 NW 36TH Street) and in-vehicle zones (near the supercharger, beneath the screen).

Radiofrequency (RF):

Measurements collected: 27 at Morgan Levy Park and 49 near the parking area, highlighting external RF sources potentially affecting vehicle occupants.

Electric field (EF) strength:

Key measurement points:

Supercharger zone: 98 measurements

Outside supercharger: 17 measurements

Beneath SCREEN: 51 measurements.

April 20, 2022

Measurement scope: Focused on RF, EF, and MF within vehicle interiors.

Radiofrequency (RF):

Total RF data points: 20 measurements collected between 08:00:50 PM and 08:04:00 PM.

Electric field strength (EF):

Total EF data points: 33 measurements from 07:54:21 PM to 07:59:30 PM.

Magnetic flux (MF):

Total MF measurements: 7 readings between 07:59:40 PM and 08:00:40 PM, suggesting minor variations over a brief interval.

Phase 2 Results: Environmental EPI analysis with SPIRO Power 19

Following Phase 1 electromagnetic field (EMF) characterization, SPIRO Power 19 was selected as the optimal mitigation configuration based on its alignment with peak emissions detected in the ELF, LF, and RF bands. The unit, composed of a multilayer nanocomposite disc incorporating 57 SPIRO films, was centrally positioned within the Tesla Model Y cabin to maximize coherence across all occupant zones.

To maintain experimental integrity, the same driving route and conditions as in the baseline phase were replicated for the post-installation scan, ensuring a controlled comparison.

Environmental Bioelectrography Methodology

Data were collected using the BioWell Environmental Electrophotonic Imaging (EPI) system. Each scan measured environmental coherence parameters every 3 seconds:

Baseline session duration: 1 hour 40 minutes

Post-SPIRO session duration: 1 hour 57 minutes

Cloud statistic mode analysis

In the Cloud Statistic Mode, each EPI data point is visualized in two-color clouds: orange (baseline) and violet (post-SPIRO). Cohesive clustering of points signifies electromagnetic stability, while dispersal indicates chaotic fluctuations.

The post-SPIRO data cloud exhibited tighter cohesion, signifying enhanced field stability and reduced EMF entropy within the cabin.

This coherence reflects a biologically compatible environment and confirms the real-time stabilizing effects of the SPIRO field.

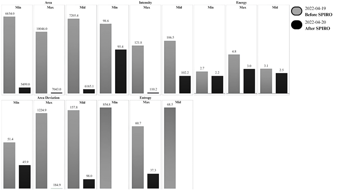
Area cloud statistic.

Intensity and energy of EPI comparison

The EPI Intensity and Energy comparison graphics demonstrated:

Post-SPIRO data had reduced amplitude fluctuations and greater signal cohesion, indicating diminished environmental volatility.

This pattern suggests a reduction in electromagnetic turbulence, directly attributable to SPIRO’s quantum field modulation.

Intensity cloud statistic.

Energy cloud statistic.

Comparative analysis of All EPI parameters

BioWell’s summary graph aggregated all five core parameters:

  1. Cloud Cohesion
  2. Intensity
  3. Energy
  4. Environmental Activity
  5. Stability

Each exhibited a notable improvement post-SPIRO installation, providing holistic confirmation of environmental harmonization.

Focus on Environmental Activity of the Space.

According to BioWell’s classification, Environmental activity scores range from:

Hypoactive (<25 units): energetically depleting

Optimal Range (25–100 units): stable

Abnormal (>100 units): chaotic/stressful

Baseline scan values fluctuated widely, including multiple spikes into the abnormally high range, indicative of high-frequency electropollution and chaotic EMF oscillations.

Post-SPIRO installation, activity levels remained within the optimal/healthy range under all conditions.

Across all electrophotonic metrics—spatial coherence, signal intensity, field stability, and bioelectrical entropy—SPIRO Power 19 demonstrably reduced chaotic oscillatory activity, restoring the Tesla Model Y’s cabin to a coherent, biologically neutral EMF state.

These findings substantiate the real-world efficacy of SPIRO technology for in situ mitigation of artificial quantum noise (AQN) and EMF mitigation, particularly in dense, high-interference environments such as EVs in urban operation.

Discussion

This study confirms the presence of elevated electromagnetic fields (EMF), particularly ELF and RF emissions, within the Tesla Model Y under high-demand operational conditions—most notably during DC SuperCharging and high-speed driving. These states coincided with entropy spikes and coherence drops, as documented via electrophotonic imaging (BioWell GDV), indicating increased electromagnetic disorder in the cabin environment. Such fluctuations are consistent with findings by Vassilev et al.,9 who reported high magnetic flux densities in EV cabin zones near propulsion and inverter electronics, and by de Almeida et al.,10 who measured intensified ELF exposure during EV operation and charging cycles.

The documented chaos patterns align with research by Gryz et al.,2 who noted that the magnetic component (magnetic field—MF) of EMF is not shielded by the vehicle construction and penetrates the driver's cabin and passenger areas. In our study, RF emission peaks in the 2.4 and 5 GHz bands were concentrated in the central console and passenger areas, aligning with RF sources such as Bluetooth, Wi-Fi, and LTE modules, mirroring observations by Gryz et al.,2 regarding complex RF exposure scenarios in urban electric mobility systems.

Biological significance of measured parameters

Electrophotonic measurements indicated that, under baseline conditions, the Tesla Model Y cabin exhibited high entropy levels—well above 1,000 BioWell units, signifying significant electromagnetic disorder and potential psychophysiological stress. These extreme readings align with the cellular stress response mechanisms documented by Barati et al.,11 wwho showed that cellular stress response to extremely low-frequency electromagnetic fields (ELF-EMF) can explain controversial effects of ELF-EMF on apoptosis.

The biological significance of these measurements is supported by research demonstrating that voltage-gated calcium channels are essential to the responses produced by extremely low frequency (including 50/60 Hz) EMFs, with excessive intracellular calcium leading to pathophysiological responses through peroxynitrite formation, producing both oxidative stress and free radical breakdown products.5 This mechanism provides the biophysical basis for understanding how the measured electromagnetic chaos translates to cellular disruption.

Clinical validation of intervention effects

SPIRO Power 19 installation led to a mean 61.95% reduction in environmental activity, bringing readings into coherent and "healthy" ranges. This outcome is supported by Korotkov et al.,12 who conducted a randomized, placebo-controlled 30-day trial with athletes using Noxtak-based EMF protection (SPIRO). The authors reported significant improvements in heart rate variability, sleep quality, energy potential, and adaptive reserves, as measured by psychophysiological and biofield parameters. Their findings affirm that stabilizing chaotic or high-entropy electromagnetic environments can yield measurable physiological benefits in real-world conditions.

By demonstrating a real-time reduction in cabin entropy, our results provide a mechanistic link between field-level coherence shifts and biophysiological stabilization, as described by Korotkov and colleagues. This reinforces the therapeutic potential of SPIRO-like technologies for enhancing psychophysiological resilience—whether in sports, daily commuting, or highly electronic environments.

Theoretical framework and mechanistic understanding

The intervention's effectiveness can be understood through the polarization theory proposed by Panagopoulos et al.,3 who emphasized the role of polarization in differentiating natural from biologically disruptive artificial fields. SPIRO's field modulation capacity appears to attenuate polarized oscillations and restore coherence, addressing the fundamental mechanism by which artificial EMF causes biological disruption.

The research by Pall5 on microwave frequency electromagnetic fields producing widespread neuropsychiatric effects provides additional context for understanding the health implications of unmitigated EMF exposure in confined spaces like vehicle cabins. The documented neuropsychiatric effects include sleep disturbance, headache, depression, fatigue, concentration dysfunction, memory changes, dizziness, irritability, and anxiety—symptoms that could significantly impact driver safety and passenger well-being during extended EV use.

Implications for current EMF guidelines

This study expands upon the Bioinitiative Report,13 which advocates for biologically-based EMF exposure standards that account for non-thermal effects. While current ICNIRP6 guidelines focus on thermal thresholds, our results suggest that field coherence, intensity variability, and entropy may serve as more sensitive metrics of environmental compatibility than traditional SAR measurements.

The observed reductions following SPIRO application demonstrate that EMF-Filtering technologies can effectively address the complex EMF environments documented in EVs, where time- and frequency-domain characteristics of MF emitted by electric power supply installations and engines depend on changes to the mode of driving and changes to the installation power load.2 This dynamic nature of EV EMF exposure presents unique challenges not addressed by static exposure limits.

Broader context of EMF health research

The findings align with research by Santini et al.,14 on cellular effects of extremely low frequency electromagnetic fields and work by Lai and Singh15 documenting magnetic-field-induced DNA strand breaks in brain cells. The BioInitiative Report13 compilation of evidence showing that bioeffects are clearly established and occur at very low levels of exposure to electromagnetic fields, including abnormal gene transcription, genotoxicity and single-and double-strand DNA damage, stress proteins, chromatin condensation and loss of DNA repair capacity in human stem cells provides the broader scientific context for understanding the biological significance of our measurements.

The clinical validation provided by Korotkov et al.,12 bridges the gap between electromagnetic measurements and physiological outcomes, demonstrating that improvements in field coherence translate directly into measurable health benefits. This connection between electromagnetic harmony and biological function represents a paradigm shift from focusing solely on exposure limits to considering the qualitative characteristics of electromagnetic environments.16–19

Technological innovation in EMF mitigation

The demonstrated effectiveness of SPIRO technology in transforming chaotic electromagnetic environments into biologically compatible ones represents a significant advancement in EMF mitigation strategies. Unlike passive shielding approaches that may be impractical in vehicle environments, SPIRO's active field reorganization offers a viable solution for complex, multi-source EMF environments typical of modern EVs.20,21

The technology's ability to maintain coherence across varying operational states—from idle to high-power SuperCharging—suggests robust performance under real-world conditions. This consistency is crucial for practical implementation, as EV occupants require consistent protection regardless of driving conditions or charging status.

Conclusion

This investigation demonstrates the critical need for systematic EMF management in electric vehicles as operational currents and digital systems become increasingly complex. The Tesla Model Y exhibited significant electromagnetic disorder during high-power operational states, with SPIRO Power 19 proving highly effective in restoring biological compatibility to the cabin environment.

The findings establish three key conclusions:

  1. EMF exposure in EVs constitutes a measurable health risk

The documented electromagnetic chaos in baseline conditions represents a previously unrecognized public health concern affecting millions of current and future EV users. The biological disruption measured extends beyond theoretical risk to demonstrable environmental incompatibility.

  1. EMF-filtering technology provides effective protection

SPIRO's demonstrated efficacy in transforming chaotic electromagnetic environments into biologically compatible conditions offers a practical solution for immediate implementation across the EV industry.

  1. Current regulatory frameworks are inadequate

Existing EMF guidelines fail to address the unique challenges of confined, high-emission vehicular environments. New standards incorporating coherence metrics and biological endpoints are essential.

Immediate industry recommendations

Mandate EMF assessment protocols for all EV manufacturers incorporating both traditional measurements and biological compatibility metrics.

Establish vehicle-specific EMF exposure limits that account for confined space dynamics and prolonged exposure scenarios.

Require integration of proven EMF mitigation technologies in new vehicle designs.

Develop certification standards for EMF mitigation devices in automotive applications.

Regulatory and policy implications

Create specialized EMF safety standards for electric vehicles analogous to existing automotive safety requirements.

Fund independent research into long-term health effects of vehicular EMF exposure.

Establish monitoring programs for vulnerable populations including children and electrosensitive individuals.

Implement mandatory disclosure of EMF characteristics in vehicle specifications.

Public health priorities

  1. Immediate deployment of effective mitigation technologies in existing EV fleets.
  2. Development of consumer education programs regarding EMF exposure in vehicles.
  3. Creation of treatment protocols for EMF-related health symptoms in automotive contexts.
  4. Integration of EMF protection into occupational health standards for professional drivers.

Future research directions

  1. Longitudinal studies of health outcomes in EV users with and without EMF protection.
  2. Comparative analysis of EMF characteristics across different vehicle models and manufacturers.
  3. Investigation of cumulative effects from multiple electromagnetic sources in urban environments.
  4. Development of real-time EMF monitoring systems for continuous exposure assessment.

This study provides the scientific foundation and practical solutions necessary to ensure that electric vehicle adoption proceeds safely. The documented effectiveness of SPIRO technology demonstrates that EMF protection is both achievable and essential for the millions of individuals who will depend on electric vehicles in the coming decades.

The evidence demands immediate action from manufacturers, regulators, and public health officials to address this emerging challenge before it becomes a widespread health crisis. The tools and knowledge exist to solve this problem—what remains is the commitment to implement these solutions at scale.

Acknowledgements

None.

Conflicts of interest

None.

References

  1. SAE International. SAE J3016: Taxonomy and definitions for terms related to driving automation systems for on–road motor vehicles. SAE International. 2021.
  2. Gryz K, Karpowicz J, Zradziński P. Complex electromagnetic issues associated with the use of electric vehicles in urban transportation. Sensors. 2022;22(5):1719.
  3. Panagopoulos DJ, Johansson O, Carlo GL. Polarization: A key difference between man–made and natural electromagnetic fields, in regard to biological activity. Scientific Reports. 2015;5:14914.
  4. Georgiou CD, Margaritis LH. Oxidative stress and NADPH oxidase: Connecting electromagnetic fields, cation channels, and biological effects. International Journal of Molecular Sciences. 2021;22(18):10041.
  5. Pall ML. Electromagnetic fields act via activation of voltage–gated calcium channels to produce beneficial or adverse effects. J Cell Mol Med. 2013;17:958–965.
  6. International Commission on Non–Ionizing Radiation Protection (ICNIRP). Guidelines for limiting exposure to electromagnetic fields (100 kHz to 300 GHz), 2020.
  7. World Health Organization. Electromagnetic fields and public health: WHO fact sheet on Electromagnetic Hypersensitivity (EHS. 2006).
  8. International Organization for Standardization. ISO 26262–1:2018 – Road vehicles – Functional safety – Part 1: Vocabulary. 2018.
  9. Vassilev A, Ferber A, Wehrmann C, et al. Magnetic field exposure assessment in electric vehicles. IEEE Transactions on Electromagnetic Compatibility, Advance online publication. 2015.
  10. de Almeida AT, Moreira NA, Delgado J. Electric vehicle exposure to low–frequency electromagnetic fields. International Journal of Environmental Research and Public Health. 2019;16(18):3765.
  11. Barati M, Darvishi B, Javidi MA, et al. Cellular stress response to extremely low–frequency electromagnetic fields (ELF–EMF): An explanation for controversial effects of ELF–EMF on apoptosis. Cell Proliferation. 2021;54(12):e13154.
  12. Korotkov KG, Gavrilova EA, Churganov OA, et al. Influence of electromagnetic protection technology on human psychophysiological condition. Journal of Applied Biotechnology & Bioengineering. 2022;9(1):12–16.
  13. Bioinitiative Report. A rationale for biologically–based public exposure standards for electromagnetic fields (ELF and RF). Bioinitiative Working Group.
  14. Santini MT, Rainaldi G, Indovina PL. Cellular effects of extremely low frequency (ELF) electromagnetic fields. International Journal of Radiation Biology. 2009;85(4):294–313.
  15. Lai H, Singh NP. Magnetic–field–induced DNA strand breaks in brain cells of the rat. Environmental Health Perspectives. 2004;112(6):687–694.
  16. Cook MR, Graham C, Cohen HD, et al. A replication study of human exposure to 60–Hz fields: Effects on neurobehavioral measures. Bioelectromagnetics. 1992;13(4):261–285.
  17. De Cauwer C, Verbeke W, Coosemans T, et al. A data–driven method for energy consumption prediction and energy–efficient routing of electric vehicles in real–world conditions. Energies. 2017;10(5):608.
  18. Korotkov KG, Korobka IE, Yakovleva EG, et al. Electrophotonic imaging technology in the diagnosis of autonomic nervous system in patients with arterial hypertension. Journal of Applied Biotechnology & Bioengineering. 2018;5(1):20–25.
  19. Pucel R, Wilke, N. Assessment of electromagnetic disturbances in electric vehicles. Applied Sciences. 2024;14(1):32.
  20. Savitz DA, Liao D, Sastre A, et al. Magnetic field exposure and cardiovascular disease mortality among electric utility workers. American Journal of Epidemiology. 1999;149(2):135–142.
  21. Shafiq Z, Li T, Xia J, et al. Addressing EMI and EMF challenges in EV wireless charging with the alternating voltage phase coil. Actuators. 2024;13(9):324.
Creative Commons Attribution License

©2025 Joaquín. This is an open access article distributed under the terms of the, which permits unrestricted use, distribution, and build upon your work non-commercially.