Submit manuscript...
Journal of
eISSN: 2572-8466

Applied Biotechnology & Bioengineering

Research Article Volume 9 Issue 1

Influence of electromagnetic protection technology on human psychophysiological condition

Korotkov KG,1 Gavrilova EA,2 Churganov OA,2 Machado JJ3

1Professor, Federal State Budget Institution “Saint-Petersburg Scientific-Research Institute for Physical Culture,” St. Petersburg, Russia
2North-Western Medical University, St. Petersburg, Russia
3Internationale Gesellschaft für Elektrosmog-Forschung IGEF Ltd, Germany

Correspondence: Korotkov KG, Professor, Federal State Budget Institution “Saint-Petersburg Scientific-Research Institute for Physical Culture,” St. Petersburg, Russia

Received: February 10, 2022 | Published: February 24, 2022

Citation: Korotkov KG, Gavrilova EA, Churganov OA, et al. Influence of electromagnetic protection technology on human psychophysiological condition. J Appl Biotechnol Bioeng. 2022;9(1):12-16. DOI: 10.15406/jabb.2022.09.00279

Download PDF

Abstract

Objectives: This study aimed to demonstrate the beneficial effect of Noxtak electromagnetic protection technology on human psychophysiology.

Design: An open, randomized, placebo-controlled trials for 30 days. Participants were measured initially, randomly divided into two groups (experimental and control), and measured 30 days later after using Noxtak technology in the experimental group and placebo in the control group.

Subjects: 50 healthy athletes, age 14-25 years, men and women, randomly divided into two groups of 25 people. Randomization was based on the principle of random numbers. The ethics committee of the Federal State Budget Institution "Saint-Petersburg Scientific-Research Institute for Physical Culture," St. Petersburg, Russia, approved the study protocol. All participants signed an informed consent form, where a written and oral explanation of the research protocol was provided.

Outcome measures: psychological testing, rhythmocardiography, biofield parameters analysis.

Results: Participants using Noxtak electromagnetic protection for 30 days demonstrated positive changes in psychophysiology parameters, experienced growth in aerobic capacity, physical performance, energy potential, and their bodies' adaptive reserves, while physiological parameters of athletes using placebo did not change or worsened.

Conclusions: Participants using Noxtak technology for 30 days demonstrated improvement of psychophysiological parameters and sleep quality, which may be related with the protection effect from electromagnetic radiation.

Keywords: non-doping methods, energy potential, adaptive reserves, bio-well, HRV, open, randomized, placebo-controlled

Abbreviations

HRV, heart rate variability; EMF, electromagnetic field; SOI, spin-orbit interaction

Introduction

Multiple United Nations meetings on the impact of the environment on public health, the Stockholm Declaration (1972),1 the Parliamentary Assembly of the Council of Europe adopted Resolution 1815 (2011)2 that there was sufficient evidence of potentially harmful effects of electromagnetic fields (EMF) on the environment and human health. In this document, the Council invited its member states to take measures concerning cell phones and Wi-Fi networks and specifically requested that the use of such devices in schools be banned.

The potential health effects of very low-frequency electromagnetic fields surrounding power lines and electrical devices are the subject of ongoing research and considerable public debate. According to the World Health Organization, electromagnetic fields of all frequencies represent one of the most common and rapidly growing environmental exposures about which there is a widespread concern. The entire population is now exposed to some degree of electromagnetic fields, which will continue to increase as technology advances. Mobile telephones have become commonplace throughout the world. This wireless technology is based on an extensive network of fixed antennas or base stations, transmitting information using high frequency signals. As the number of base stations and local wireless networks increases, the high frequency impacts the population. It is becoming clear that there is a problem, it will only grow, and it must be solved.

It is clear that at the moment, it is impossible to restrict the development of frequency technologies, and its negative influence on the population will be worsening. The only solution is the search for the protection from harmful external effects with the help of modern nanotechnology.

Technology

Noxtak products are composed of SPIRO® (Spin Radiation Organizer) films, that contain nanoparticles with magnetic moments that present stable natural moments together. SPIRO® technology can be summarized as a nanocomposite material that exhibits a stable ferromagnetism in nanoscale. Its natural magnetic anisotropy facilitates spin polarization of elementary particles in electromagnetic waves, thanks to spin-orbit interaction, and Bloch walls. This process eliminates the harmful effects of non-ionizing radiation. In other words, these nanomagnetic properties promote responses of natural polarization in the fundamental particles with which it interacts, reducing the level of entropy that this non-ionizing radiation from artificial sources carries in the form of electromagnetic disturbances, thus resulting in an SOI (spin-orbit interaction) and coherent domains of low entropy and strong stability in their domain walls (Bloch walls). This makes these emissions compatible with the body’s bioelectric system, facilitating a healthy electromagnetic exchange at the cellular level.3

Subjects under study

Participants included 50 healthy adults of different genders, ages, and professions. The average age of subjects in the experimental and control groups was 21.75±2.48 years, 36 women and 14 men. Each subject received information about the study before the study. Information about the nature and purpose of the study, the design of test procedures, and the nature of the study were presented in a form accessible to the subjects. Each subject signed Informed Consensus Form. Information obtained in the course of the study that identifies the identity of the subjects is kept secret and may be disclosed only within limits established by the law. Protocol of the study was approved by the ethic committee of the Federal State Budget Institution "Saint-Petersburg Scientific-Research Institute for Physical Culture," St. Petersburg, Russia.

Methods

Heart rate variability (HRV) method

The variability of the heart rhythm in the narrow sense is the variability of the time intervals between the beats of the heart, the nature of which can be used to judge the ability to adapt to environmental changes both at the moment (the tolerability of current loads) and in the long run (assessment of the adaptation reserve). Rhythmocardiography is a method of analyzing the automatism of the sinus node, reflecting the state of the body's regulatory systems and the degree of its equilibrium with the environment (degree of homeostasis). Rhythmogram parameters reflect the degree of sympathetic regulation and high centralization of the heart rhythm (LF, LF norm, Amo), and indexes of integral centralization (LF/HF, VLF, IC, SI) have been studied. The growth of these indices reflects an unfortunate trend of decrease in the adaptation of the organism and its reserve capacities during the decline - a reverse direction of adaptation growth. The parameters of parasympathetic regulation and variability of heart rhythm (RR, RMSSD, Mo, HF, HF norm, SDNN) have been studied. Their growth, in turn, reflects the growth of adaptation, regulation, and adaptive capacity of the body. On the contrary, decreasing these indicators is an unfavorable sign of reducing the body's reserve capacity. The rhythmogram was performed at rest using the Neurosoft device when analyzing 5-minute records of heart rhythm variability. The standards for evaluating heart rhythm variability developed by the European Heart Society and the North American Society of Electrophysiology4 have been used in interpreting the data.

Bio-Well GDV method

Bio-Well is a revolutionary, non-intrusive instrument for preventive health care and Integrative medicine. The team of Dr. Konstantin Korotkov has developed a Bio-Well GDV device. It brings the powerful technology known as the Gas Discharge Visualization (GDV) technique to market in a more accessible way than ever before. The product consists of a desktop camera and accompanying software on the server, which allows a user to quickly and easily conduct human energy scans. A weak electrical current is applied to the fingertips for less than a millisecond when a scan is completed. The object response to this stimulus by emitting electrons and photons. This "glow," invisible to the human eye, is captured by the unique camera system and sent to the server, where robust software process data and then translate and transmit it back in graphical representations to show energy, stress, and vitality evaluations for the whole body and all organs.5 The image we create in the Bio-Well instrument is based on traditional Chinese medicine and modern neurophysiology ideas and verified by 20+ years of clinical experience by hundreds of medical doctors with many thousands of patients. The scanning process is quick, easy, and non-intrusive. FDA registers technology as medical (registration N 3014299556), the device has EU and UL certifications. The system is based on 12 patents by Dr. Korotkov. Bio-Well is used by thousands of doctors, practitioners, and researchers in more than 65 countries. More than 200 papers were published on medical applications and 12 books translated to different languages. Bio-Well software operates in 13 languages. Bio-Well test was performed at rest using a device by Bio-Well Co ( www.bio-well.com).

Questioners

The questionnaire assessed a person's cell phone use and sleep quality.

Results

Personal responses

62.5% of respondents use Apple phone, 25% - Samsung, and 12.5% - Xiaomi.

70% of participants use phone throughout the day to read and send messages, check the news, and open social media. They make several calls every day.

30% of participants use phone all day and make frequent calls both for work and personal reasons, and also frequently browse social media.

10% of participants when go to bed, turn phone off and leave it outside the room.

52.5% of participants when go to bed, put phone next to the bed, and sometimes check it.

37.5% of participants when go to bed, like to check social media, watch a video or a movie on the phone to fall asleep.

75% of participants keep their cell phone at night under their pillow or very close.

70% of participants do not feel discomfort when they call for more than a minute.

27.5% of participants don't feel anything but want to end the conversation.

2.5% of participants noted discomfort.

12.5% of participants denied the use of headphones, 60% did not use it active, and 22% rejected Bluetooth devices.

No difference in sleep quality was reported neither in experimental nor in control groups.

Quality of sleep

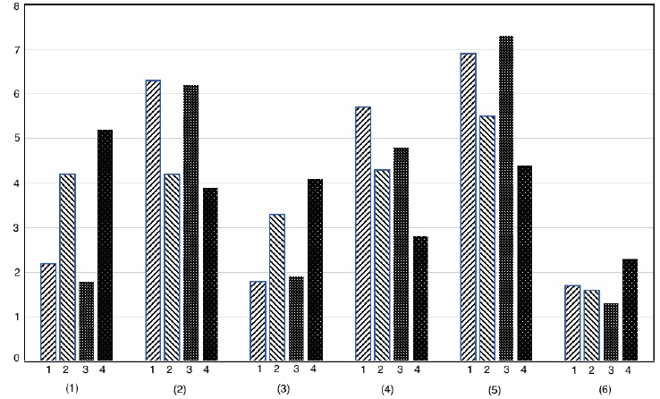
Participants had to evaluate the quality of their sleep on 10 scale range of give exact number. Table 1 & Figure 1 presents evaluation of the answers to the questions that demonstrated the significant difference between measurements and between groups evaluated with non-parametric Wilcoxon test.

Question

Experimental group

Control group

Group comparison in the 2nd test

 

1

2

1

2

 

1 How satisfied are you with your sleep? (Evaluate from 1 to 10)

2.2±2.0

4.2±3.2**

1.8±1.1

5.2±3.1*

< 0.001

2 Do you think you get enough sleep? How would you qualify the amount of sleep you enjoy every day? (Evaluate from 1 to 10)

6.3±3.2

4.2±2.6**

6.2±3.1

3.9±3.4*

>0.05

3 Do you suffer from mood swings (irritability, anxiety, depression or decreased libido) from the lack of sleep? (Evaluate from 1 to 10)

1.8±1.7

3.3±2.7**

1.9±2.3

4.1±3.0**

< 0.001

4 Indicate the average number of awakenings while sleeping

5.7±2.8

4.3±2.9**

4.8±2.7

2.8±2.1**

< 0.001

5 Indicate the average number of hours spent in bed

6.9±2.2

5.5±3.3**

7.3±1.4

4.4±3.5**

< 0.001

6 You wake up during the night and can't go back to sleep (Evaluate from 1 to 10)

1.7±2.0

1.6±1.7*

1.3±1.0

2.3±1.8*

< 0.001

Table 1 Sleep quality questioner
1, initial test; 2, after 30 days; * p < 0.05; ** p<0.001

Figure 1 Evaluations of the answers to the questions that demonstrated the significant difference between measurements and between groups. 1 - experimental group, initial test; 2 - experimental group, second test; 3 – control group, initial test; 4 – control group, second test. Numbers in brackets – questions.

We can make the following conclusions from these answers:

  1. Question 1 - In both groups people are more satisfied with their sleep after the tests. We may attribute it to the effect of Spiro-disk or the effect of placebo.
  2. Questions 2 and 3 – in both groups people start paying more attention to the quality of their sleep.
  3. Question 4 – in both groups people sleep better.
  4. Question 5 – in both groups people need less hours for sleep.
  5. Questions 4, 5, and 6 – in experimental group the quality of sleep increased, while in control group it is decreased.

HRV data

The rhythmogram was recorded at rest and evaluated by a 5-minute recording. The dynamics of median parameters of heart rhythm variability in two groups are presented in Table 2.

Indicator

Experimental group

Delta %

Control group

Delta %

 

1 test

2 test

 

1 test

2 test

 

Amo, %

32.6±8.3

30.9±9.0

-5.4

32.0±16.7

28.8±9.7

-10.1*

dX. мс

355.5±84.1

390.3±140.8

9.8

436.2±134.2

399.8±117.6

-8.4

CV. %

6.7±1.5

7.1±3.3

6.8**

7.5±2.89

7.7±2.8

2.5

SDNN (msec)

63.2±15.4

72.6±33.4

14.8**

78.1±32.2

77.5±31.8

-0.7

RMSSD (msec)

58.1±20.4

66.1±27.2

13.8

84.4±34.7

76.2±38.3

-9.8

NN50count

119.6±48.3

112.8±25.0

-5.7

135.4±53.8

130.8±45.7

-3.4

SI (ratio)

58.8±41.7

48.6±28.7

-17.4

53.8±65.8

48.6±33.7

-9.7*

HF (msec2)

926.6

982.2

6

1850.5

1475.6

-20.3

LF (msec2)

990.3

1333

34.6***

2634.6

2254.1

-14.4

VLF (msec2)

1166.8

 

37.1*

1095.1

 

7.9

   

1600.2

   

1182.1

 

TP (msec2)

3083.8

3915.4

27.0***

5580.2

4917.7

-11.9

LF/HF (ratio)

1.4

1.3

-6.6

1.7

1.9

10.2

Table 2 Dynamics of median variables and percentage of changes in the experimental and control group
*- р<0.05; **- р<0.01; ***- р<0.001

Indicator

Experimental group

 

Control group

 

 

1 test

2 test

Delta %%

1 test

2 test

Delta %%

Energy, J*

59.82±2.76

63.44±3.23

6.06*

59±2.95

57.75±3.95

-2.12

Stress Index

3.63±0.42

3.13±0.39

-13.77*

3.68±0.70

3.83±0.72

0.41*

Organs Balance

96.66±2.39

98.11±1.70

1.5

94.59±4.55

94.01±4.2

-0.61

Table 3 Bio-well GDV indexes
*p < 0.05

As it follows from the table, the experimental group was characterized by the growth of parameters reflecting parasympathetic activity and variability of heart rhythm and the decrease of parameters which reflect the degree of sympathetic regulation and centralization of heart rhythm. Significant changes were noted in CV, SDNN, LF, and TP indexes, which indicated growth of the economy of respiratory and cardiovascular systems functioning, growth of adaptive and energetic potential of the organism, and recovery after loads.

In the control group, inverse changes in heart rhythm variability were noted, indicating increased activity of the sympato-andrenal system. Changes were revealed in almost all indicators, which reflected the centralization of the heart rhythm, reduction of adaptation of the organism, and its reserve capacity in the adverse epidemiological, climatic and seasonal period.

Figure 2 shows the dynamics of rhythmogram parameters in two groups of subjects.

Figure 2 Percentage of changes in rhythmogram indicators.
 *- р<0,05, **- р<0,01, ***- р<0,001.

The figures demonstrate the growth of parasympathetic regulation and central control in the experimental group, which reflects the positive tendencies of adaptation potential. As we see from these data, the experimental group was distinguished by the positive dynamics of indicators reflecting the growth of adaptive abilities, reserve possibilities, and vital energy of the organism. In contrast, the control group showed negative dynamics of these indicators.

Bio-well GDV data

In the experimental group, the following results are observed:

  1. Energy increased in all the participants in the experimental group.
  2. The stress index decreased or remained in the optimal zone for all the participants in the experimental group.
  3. The level of body balance increased in most cases. For those participants in the experimental group whose equilibrium level was initially high, it remained at the same level.

For participants in the control group, all parameters demonstrated a tendency to worsen.

Graphical representation of the data is presented at Figure 3.

Figure 3 Changes of the Bio-Well Indexes for people from experimental and control groups initially and after a month.

It is important to note that the Balance index is correlated with the activity of the autonomic nervous system, and its increase in the experimental group signifies a decrease in sympathetic activity and increase of organs balance. It did not change for people with a high balance, while for people with a low balance, it increased. This is a reflection of the growth of adaptive and energetic potential of the organism, as well as recovery after loads.

Conclusions

Thus, both the HRV and Bio-Well methods showed the positive dynamics of indicators reflecting the growth of adaptive abilities, reserve possibilities, and vital energy of the organism, the degree of its homeostasis, and decrease of stress indicators in the experimental group during 30 days of using the NOXTAC technology (Spiro disc placed in the sleeping place and protective Spiro card on the phone).

In contrast, in the control group, there was a reliable negative dynamic of these parameters for most participants.

The experiment was conducted in Saint Petersburg, Russia, in autumn - during the unfavorable seasonal, climatic and epidemiological period - the period of seasonal immunodeficiency and depression, which increased the significance of the results for the experimental group.

Acknowledgments

None.

Conflicts of interest

The authors state that there is no conflict of interest.

Funding

None.

Endnotes

Creative Commons Attribution License

©2022 Korotkov, et al. This is an open access article distributed under the terms of the, which permits unrestricted use, distribution, and build upon your work non-commercially.