Submit manuscript...
Journal of
eISSN: 2469 - 2786

Bacteriology & Mycology: Open Access

Research Article Volume 4 Issue 1

Assessment of antimicrobial and phytochemical properties of crude leaf and bark extracts of  Ceiba  pentandra  on selected clinical isolates found in Nigerian teaching hospital

Osuntokun OT,1 Ajayi Ayodele O,2 Adeoye MI,1 Odufunwa AE3

1Department of Microbiology, Adekunle Ajasin University, Nigeria
2Department of Microbiology, Federal University Oye Ekiti, Nigeria
3Department of Microbiology, Obafemi Awolowo University, Nigeria

Correspondence: Osuntokun OT, Department of Microbiology, Faculty of Science, Adekunle Ajasin University, Akungba-Akoko, PMB 001, Ondo state, Nigeria

Received: August 13, 2016 | Published: January 11, 2017

Citation: Osuntokun OT, Ayodele AO, Adeoye MI, et al. Assessment of antimicrobial and phytochemical properties of crude leaf and bark extracts of Ceiba pentandra on selected clinical isolates found in Nigerian teaching hospital. J Bacteriol Mycol Open Access. 2017;4(1):17-23. DOI: 10.15406/jbmoa.2017.04.00079

Download PDF

Abstract

Ceiba pentandra is a tropical tree of order Malvales and the family Malvaceae. The basic objective of this research work is to determine the antimicrobial and phytochemical properties of Ceiba pentandra. Fresh leaves and bark of Ceiba petandra was collected at Akungba Akoko. Ceiba pentandra (leaf and bark) were prepared for extraction using ethyl acetate. The test organisms used for this research work are: Escherichia coli, Salmonella typhi, Bacillus subtilis, Kleibsiella pneumonia and Staphylococcus aureus. Antimicrobial assay was carried out using Agar dilution method. Four concentrations were used namely; 60, 30, 15, and 7.5mg/ml. Ethyl acetate was most highly reactive with the highest zone of inhibition (11.0) and lowest zone of inhibition (1.0). The phytochemical screening shows that flavonoid and Anthraquinone are absent while Cardiac Glycoside, Steroid, Phenol, Tannins, Saponin and alkaloid is present. Quantitative analyses were carried out on the elemental composition of Ceiba pentandra. The elements present are: Sodium, potassium, calcium, magnesium, zinc, iron, lead, copper and manganense. In Ceiba pentandra leaf, calcium has a higher value (29.34) while copper has the lowest value (1.00). Potassium has the highest value (43.21) while iron has the lowest value (4.36) in bark extract of Ceiba pentandra while lead and copper are not detected. Quantitative analyses of anti-nutrients were carried out on Ceiba pentandra. The anti-nutrients present are: Tannin, Phenol, Phylate, Oxalate, Saponin, Flavonoid and Alkaloids. Phylate has the highest ant-nutrients percentage (leaf 12.33% and bark 12.45%) while Tannin has the lowest value (leaf 2.30% and bark 2.25%). Proximate analysis was carried out on Ceiba pentandra. Ash, moisture content, crude protein, fat, fibre and carbohydrate are present. Carbohydrate has the highest percentage (leaf 53.72% and bark 53.79%) while and Fat has the lowest percentage which is (leaf 8.53% and bark 8.50%). The research shows that Ceiba pentandra is an effective medicinal plant therefore the use of medicinal plants should be encouraged.

Keywords: antimicrobial activity, phytochemical activity, proximate composition, elemental constituent

Introduction

Ceiba pentandra is a tropical tree of order Malvales and the family Malvaceae. The tree grows to 70m (230 ft) with a trunk up to 3m (9.8ft) in diameter with buttresses. The trunk and many of the larger branches are often crowded with large simple thorns. The palmate leaves are composed of 5 to 9 leaflets, each up to 20cm (7.9 in) long. The tree produces several hundred 15cm (5.9in) pods containing seeds surrounding by a fluffy, yellowish fibre that is a mix of lignin and cellulose. One of the oldest known trees, at 200 years lives in Miami, Florida (Terrazas 2014). Kapok fibre is light, very buoyant, resilient, resistance to water, but it is very flammable. The process of harvesting and separating the fibre is labour-intensive and manual. It is difficult to spin, but it is used as an alternative to down as filling in mattresses, pillows, upholstery, zafus and stuffed toys such as teddy bears and for insulation. It was previously much used in life jackets and similar devices until synthetic materials largely replaced the fibre. The seeds produce oil, used locally in soap and that can be used as fertilizer (Nicholas 2011).

The commercial tree is most heavily cultivated in the rainforests of Asia, notably in Java, Philippines, Malaysia, and Hainan Island in china as well as in South America. The flowers are important source of nectar and pollen for honey bees (Hellmuth 2011). Plants extracts have been reported to inhibit the growth of Helicobacter pylori.1 The efficiency of medicinal plants extracts in liquid medium and at low pH levels enhances their potency even in the human stomach.1 Diabetes mellitus is a chronic metabolic disorder characterized by a high blood glucose concentration caused by insulin deficiency often combined with insulin resistance. The hypoglycaemic activity of stem bark aqueous extract of Ceiba pentandra at high doses on Streptozotocin induce type 1 diabetes. A vegetable oil can be pressed from kapok seeds. The oil has a yellow colour and a pleasant, mild odour and taste, resembling cottonseed oil. It becomes rancid quickly when exposed to air. Kapok oil is produced in India, Indonesia and Malaysia. It has an iodine value of 85-100; this makes it non-drying oil, which means that it does not dry out significantly when exposed to air. Kapok oil has some potential as a bio fuel and in paint preparation. Ceiba pentandra has two main uses. They are used as a source of fibre and timber. Historically it has been most important as a source of kapok fibre. Kapok fibre is used for stuffing cushions, pillows and mattresses, and for insulation, absorbent material and tinder. The fibre may also be used as biodegradable alternative to synthetic oil-sorbent materials, due to its hydrophobic-oleophilic properties.

Currently, the main use of Ceiba pentandra is as a source of timber. The wood (trade names; fuma, ceiba) is mostly used in plywood manufacturing, but also for making boxes and crates, and for lightweight jinery. Traditionally, entire trunks are hollowed out as dugout canoes, and the wood is used for lightweight furniture, utensils, containers, musical instruments, mortals, carvings and similar items. It is suitable for insulation, wooden sandals, heels, rafts, floats, lifeboats, models, insulation and particle board. The buttresses are made into doors, table tops, plates and trays.

Ceiba pentandra bark decoction has been used as a diuretic, aphrodisiac, and to treat headache, as well as type II diabetes. It is used as an addictive in some versions of the hallucinogenic drink. The root forms part of preparations to treat leprosy. Pulverized roots and root decoctions are taken against diarrhoea and dysentery. Root decoctions are oxytocic. Macerations of the root bark are drunk against dysmenorrhoea and hypertension. The root and the stem barks are taken to treat stomach problems, diarrhoea, hernia, gonorrhoea, heart trouble, oedema, fever, asthma and rickets; they are also applied on swollen fingers, wounds, sores and leprous macules.

Bark extracts are considered emetic: they are drunk or applied as enema. Macerations of the bark are cure for heart trouble and hypertension and are credited with stimulant and antihelminthic properties. Gum from the bark is an astringent and is used to treat diarrhoea and as an abortifacient. The leaves are credited with emollient and sedative properties. They are used against scabies, diarrhoea, and fatigue and as alterative, laxative and abortifacient. Young leaves are warmed and mixed with palm oil to be eaten against heart problems. Pounded leaves are applied as a dressing on sores, tumours, abscess and whitlows. Leaf sap is applied to skin infections and drunk to treat mental illness. Leaf macerations are drunk or used in bathes against general fatigue, stiffness of the limbs, headache and bleeding of pregnant women. Leaf preparations are used as an eye-bath to remove foreign bodies from the eye. In veterinary medicine a decoction of the leaf is used to treat trypanosomiasis. The flowers are taken to treat constipation, and flowers and fruits are taken to with water against intestinal parasites and stomach ache. Kapok fibre is used for cleaning wounds; the seed oil is rubbed in for treatment of rheumatism and applied to heal wounds (Ngangu 1982).

Methodology

Materials used for this experiment include, aluminium foil, cotton wool, sterile distilled water, Nutrient broth, Rotary evaporator, hand gloves, inoculating loop, Bunsen burner, incubator, weighing balance, plastic kegs, beaker, water, Ceiba petandra leaves and bark, Petri dishes, disposable dishes, autoclave, sieve, funnel, muella-hilton agar, syringe, metronidazole infusion, Ciprofloxacin infusion, paper tape, conical flask, McCartney bottles, Dimethyl-sulfoxide (DMSO), test tubes, universal bottles, heating mantle, magnetic stirrer.

 Sample collection and preparation of ceiba pentandra extracts

Fresh leaves and bark of Ceiba petandra was collected at Akungba Akoko, Ondo State Nigeria in the month of November 2015 and authenticated at the herbarium of the department of Plant Science and Biotechnology, Adekunle Ajasin University, Akungba Akoko, Ondo State, Nigeria, by Mr Ologunorisa.

Preparation of ceiba pentandra extracts: The leaves and bark of Ceiba pentandra were rinsed with sterile water and air dried for four days, and then diced into smaller pieces, 400g each of the sample were soaked in 1200ml of distilled water in an air tight sterile containers where each bottle is labelled as to what they contain at ratio 1:3 in which the mixture is soaked for 9 days. After which it was filtered first using a muslin cloth then the No1 Whatman filter paper, funnel and a conical flask to obtain a pure extract. The samples were stored at room temperature until when due for vaporisation. Using the rotary evaporator, the solution was separated into solutes and solvents. The solute was then poured into a sterile petri plate and air-dried (Ugbogu et al.2000).

Extraction of ceiba pentandra extracts:Rotary evaporator was used in the removal of the solvent of extraction from the Ceiba pentandra extracts at 100˚C for evaporation. After evaporation, the Ceiba pentandra extract were poured in a sterile petri plate and air dried.

Standardization of organism: The organisms were standardised using a serial dilution technique i.e. the stock sample on a slant was introduced in an already prepared nutrient broth and incubated overnight (18-24hrs). 0.1ml of the broth was introduced into 9.9ml of sterile distilled water to make a dilution of 1:1000 and also from the dilution, another 0.1ml was pipetted into 9.9ml of sterile distilled water to make a dilution of 1:10,000.

Standardization of ceiba pentandra extracts: 0.6g of the extract was weighed into a sterile bottle in which 2.5ml of DMSO (Dimethyl surfoxide) was used to reconstitute the extract after which 7.5ml of sterile distilled water was added to make up 10ml (60mg/ml) in total. 3ml of the reconstituted extract easy dispensed into another bottle carrying 3ml of sterile distilled water to make up 6ml (30mg/ml). The same procedure was done for 15mg/ml and 7.5mg/ml respectively.

Antimicrobial assay

The susceptibility testing was investigated by the agar diffusion method (Adeniyi et al. 2006). A 0.1 ml of 1:10,000 dilutions (equivalent to 106cfu/ml) of fresh overnight culture of the non tuberculous mycobacteria species grown in Nutrient broth, was seeded into 40 ml of molten Mueller-Hinton agar, and properly mixed in universal bottles. The mixture was aseptically poured into sterile Petri dishes and allowed to set. Using a sterile cork borer of 4 mm diameter, equidistant wells were made in the agar. Drops of the re-suspended extracts with concentrations between 60 to 7.5 mg/ml were introduced into the wells till it’s filled. Ofloxacin 2mg/ml was used as the control for bacteria and Fluconazole as that of Fungi. The plates were allowed to stand on the bench for an hour, to allow pre-diffusion of the extracts before incubation. The plates were incubated at 37˚C for 24 to 48 hours. The zones of inhibition were measured to the nearest millimeter (mm) using a standard transparent meter rule. All experiments were performed in duplicates.

Phytochemical screening

  1. Test for alkaloids: About 0.2gram was warmed with 2% of H2SO4 for two minutes, it was filtered and few drops of Dragendoff's reagent were added. Orange red precipitate indicates the present of Alkaloids.2
  2. Test for tannins: One milliliter of the filtrate was mixed with 2 mil of Fec13, A dark green colour indicated a positive test for the tannins (Edeoga 2005).
  3. Test for saponin: One milliliter of the plant filtrate was diluted with 2 mil of distilled water; the mixture were vigorously shaken and left to stand for 10minutes, during which time, the development of foam on the surface of the mixture lasting for more than 10minutes, indicates the presence of Saponins.
  4. Test for anthraquinones: One milliliter of the plant filtrate was shaken with 10mil of benzene; the mixture was filtered and 5 mil of 10% (v/v) ammonia were added, then shaken and observed. A pinkish solution indicates a positive test.
  5. Test for flavonoid: About 5 mL of each aqueous extracts was added with 1% NH3 solution. A positive test result was confirmed by the formation of a yellow coloration or turbidity.3
  6. Test for cardiac glycoside: About 5 mil of the extract was mixed with 2 mil of glacial acetic acid containing one drop ferric chloride solution. To this, 1 mil of concentrated sulphuric acid was slowly underplayed to the sample mixture. A positive test result was confirmed by the presence of a brown ring at the Interface.3
  7. Test for steroids: 10 mil of each ethanol extract are evaporated to insipient dryness over a steam bath and cooled to room temperature. It was then defatted repeatedly with hexane. The defatted aqueous layer was then warmed over a steam bath to remove the residual hexane. To this, 3 mil of Fecl3 reagent was added and 1 mil of concentrated sulfuric acid was then slowly added. A positive test was evident when a reddish brown coloration occurred.4
  8. Test for phenols- total phenol (spectrophotometric methods): 2 g of each sample, 1 ml of diethyl ether was added for defatting. The fat free samples were boiled with 50 ml of ether for 15 min to obtain the phenolic components which were measured at 505 nm following the standard method.5

Quantitative method of analyses of ceiba pentandra

Saponins: The grinded plant samples (20g) were extracted with 20% aqueous ethanol by using a water bath maintained at 55˚C, for 4 hour with stirring. After filtration the residue was re-extracted with 200 ml of 20% ethanol. The combined extracts were reduced to 40 ml volume separately (water bath temperature was 90˚C). Diethyl ether (20ml) was used for extraction. The process was repeated three times. The ether layer was removed and 60 ml of n-butanol was added to the water layer. Butanol extract was washed with 5% NaCl aqueous solution. After evaporation, the samples were dried in oven to a constant weight; the saponin content was calculated as percentage of the starting material Guevarra.4

 Flavonoids: About 10g of the plant sample were extracted repeatedly with 100 ml of 80% aqueous methanol, at room temperature. The whole solution was filtered through Whatman filter paper No 42. The filtrates were later transferred into a crucible and evaporated to dryness over a water bath. The dried extracts were weighed and the test procedure defined by Mahato and Sen 1997 was followed.6

Tannins: About 500 mg of the plant sample was weighed into a 50 ml plastic bottle. 50 mil of distilled water was added and shaken for 1 hour on a mechanical shaker. This was filtered into a 50 mil volumetric flask and made up to the marked level. Then, 5 mil of the filtrate was transferred into a test tube and mixed with 2 ml of 0.1 M FeCl3 in 0.1 M Hcl and 0.008 M potassium ferrocyanide. The absorbance was measured at 550 nm within 10 minutes. The tannins content was calculated using a standard curve of extract.6

Alkaloids: Five grams of the plant sample was weighed into a 250 mil beaker and 200mil of 10% acetic acid in ethanol was then be added, the reaction mixture was covered and allowed to stand for 4 hour. These were filtered and the extract will be concentrated on a water bath to one-quarter of the original volume. Concentrated ammonium hydroxide was added drop-wise to the extract until the precipitation is complete. The whole solution was allowed to settle and the precipitate was collected, washed with dilute ammonium hydroxide and then filtered; the residue being the alkaloid, which was dried and weighed to a constant mass.7

Determination of proximate analysis of ceiba pentandra

The proximate parameters (moisture, dry matter, ash, crude fats, proteins and fibers, nitrogen, carbohydrates and energy values) were determined using Association of Official Analytical Chemists Methods.

  1. Determination of moisture content was done by drying samples in oven (WiseVen, WON-50, Korea) at 110˚C until constant weight was attained.8
  2. Nitrogen estimation was carried out by the micro-Kjeldahl (BUCHI, KjelFlex K-360, and Switzerland) method with some modification.9
  3. The crude proteins were subsequently calculated by multiplying the nitrogen content by a factor of 6.25, The energy value estimation was done by summing the multiplied values for crude protein.
  4. Crude fat and carbohydrate respectively at Water Factors (4, 9 and 4). Crude fats were determined by Soxhlet apparatus using n-hexane as a solvent.
  5. The ash values were obtained by heating samples at 550˚C in a muffle furnace (Wise Them, FHP-03, Korea) for 3h.9
  6. The carbohydrate content was determined by subtracting the total crude protein, crude fiber, ash content and crude fat from the total dry matter.10
  7. Crude fiber was estimated by acid-base digestion with 1.25% H2SO4 and 1.25% NAOH solutions.11

Results

Table 1 showed the result for the yield extract of Ceiba pentandra. Ceiba pentandra parts used are leaf and bark. The initial weight of the leaf is 300g; the volume of solvent used is 1,200ml. Ceiba pentandra leaf extract is 6.5g while the initial weight of bark is 400g, and volume of solvent used is 1,200ml, Ceiba pentandra ethanol bark extract is 9.0g.

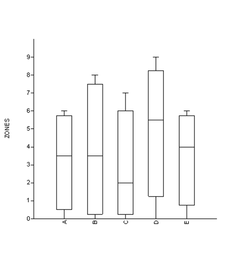
Table 2 shows the antimicrobial activities of Ceiba pentandra ethyl acetate leaf extracts on selected clinical isolates at four concentrations; 60, 30, 15, and 7.5mg/ml. The clinical isolates used show higher zones of inhibition at concentration of 60mg/ml and lower zones of inhibition at concentration of 7.5mg/ml.

Table 3 shows the antimicrobial activities of Ceiba pentandra ethyl acetate bark extracts on selected clinical isolates at four concentrations; 60, 30, 15, 7.5mg/ml. The clinical isolates used show higher zones of inhibition at concentration of 60mg/ml and lower zones of inhibition at concentration of 7.5mg/ml.

Table 4 shows the Minimum Inhibitory Concentration of ceiba pentandra extract at concentration 60, 30, 15, 7.5, 3.75, 1.88 and 0.94mg/ml. It was observed that the organism can grow at concentration 7.5, 3.75, 1.88 and 0.94mg/ml, but inhibited with no growth at concentration 60, 30 and 15mg/ml.

Table 5 shows the qualitative analysis of the phytochemical screening of Ceiba pentandra leaf and bark extracts. It shows the presence of phytochemical such as alkaloid, saponin, tannin, glycoside flavonoid, phenol, and sterol and shows that the anthiaquinone is not present in both the bark and leaf of Ceiba pentandra.

Table 6 shows the quantitative analysis of minerals present in Ceiba pentandra of leaf and bark extracts. The result shows that there is a large amount of Calcium (29.34), Magnesium (24.78), Potassium (23.12), Sodium (20.92), Iron (20.34), Zinc (17.34), and low amount of Manganese (4.92), Lead (2.78) and Copper (1.00) in the leaf of Ceiba pentandra. The result of Ceiba pentandra bark extract shows Calcium (16.50), Magnesium (26.37), Potassium (43.21), Sodium (21.33), Zinc (17.75), Manganese (14.33) and low amount of Iron (4.36).

Table 7 shows the quantitative analysis of Anti-nutrients present in Ceiba pentandra bark and leaf extracts such as tannin, saponin, flavonoid, alkaloid, oxalate, phenol etc. the result indicate that saponin is more present in the bark (6.49%) and leaf (9.75%) of the plant.

Table 8 shows the quantitative analyses of proximate nutrient composition of Ceiba pentandra extract such as Ash, Fat, Fibre, Carbohydrate, moisture content. The result shows that the leaf and bark of Ceiba pentandra contain high percentage of carbohydrate (53.72 % of leaf and 53.79 % bark) of the plant (Figure 1) (Figure 2).

Figure 1 Graphical representation showing the antimicrobial activity of ethyl acetate of leaf extracts of Ceiba Pentandra.

Figure 2 Graphical representation showing the antimicrobial activity of ethyl acetate of bark extract of Ceiba Pentandra.

Keywords: A: Escherichia coli; B: Salmonella typhi; C: Candida albican; D: Kleibsiella pneumonia; E: Staphylococcus aureus

Discussion

The extensive literature survey shows that Ceiba pentandra is an important medicinal plant with diverse pharmacological spectrum. The plant shows the presence of many chemical constituents which are responsible for varied pharmacological and medicinal properties. Ceiba pentandra extracts are potential sources of antimicrobial compounds especially against clinical isolate such as: Escherichia coli12 Staphlococcus aureus, Bacillus subtilis, Klebsiella pneumonia, and Salmonella typhi.13-15 Antimicrobial properties of Ceiba pentandra has desirable tools in the control of microorganisms especially in the treatment of infectious diseases as shown in Tables 3 & 4 which correlates with research of Aboaba et al.14 The active components usually inhibit the growth and metabolism of microorganisms due to their bacteriostatic and bacteriocidal effect against the microorganisms. The phytochemical screenings of the Ceiba pentandra (leaf and bark) were observed and it shows that Tannin, Phenol, Steroid, Phylate, Oxalate, Saponin and Alkaloids were present while flavonoids and anthraquinone are negative. For leaf and bark, tannin is found to be useful for human physiological activities such as phagocyte cell, host mediated activity and a wide range of anti-effective action. One of the Molecular actions is to complete protein synthesis to specific forces such as hydrogen bonding and hydrophobic effect.15,16 Steroids present in Ceiba pentandra are responsible for the treatment of some endocrine disorder, regulation of blood sugar, salt imbalance, and antimicrobial infections.17 Ceiba pentandra bark and leaf also showed certain amount of saponin, alkaloids, flavonoids and tannins.18 The presence of phytochemical activity in Ceiba pentandra helps the body to neutralize both gram-positive and gram -negative bacteria due to their inhibitory effect. It was discovered that the presence of saponin is reported to be effective in the treatment of syphilis, rheumatism and certain skin disease: treatment of abscesses and other swellings, ulcer and septic wounds;19 management of inflammation.20 Saponins are responsible for tonic and stimulating activities.21

Percentage Yield

Initial Weight of the Sample (g)

Volume Used (g)

Percentage Yield of Final Weight (g)

Leaf

300

1200

6.5

Bark

400

1200

9

Table 1 Percentage yield of ceiba pentandra plant

Clinical Isolate/Conc (mg/ml)

Escherichia Coli

Salmonella typhi

Bacillus subtilis

Kleibsiella pneumonia

Staphylococcus Aureus

60

8

10

9

11

8

30

6.5

7

4

8

6

15

2

1

1

5

3

7.5

1

0

0

0

0

Table 2 Shows the antimicrobial activity of ethyl acetate of leaf extracts of ceiba pentandra

Clinical Isolate/Conc (mg/ml)

Escherichia Coli

Salmonella typhi

Candida albican

Kleibsiella pneumonia

Staphylococcus Aureus

60

6

8

7

9

6

30

5

6

3

6

5

15

2

1

1

5

3

7.5

0

0

0

0

0

Table 3 Shows the antimicrobial activity of ethyl acetate of bark extracts of ceiba pentadra

Concentration mg/ml

Leaf Ethyl Acetate

Bark Ethyl Acetate

60mg/ml

No growth

No growth

30mg/ml

No growth

No growth

15mg/ml

No growth

No growth

7.5mg/ml

Growth

Growth

3.75mg/ml

Growth

Growth

1.88mg/ml

Growth

Growth

0.94mg/ml

Growth

Growth

Table 4 Minimum inhibitory concentration of ceiba pentandra extracts

Sample

Alkaloid

Cardiac Glycoside

Steroid

Anthraquinone

Phenol

Tannins

Saponin

Flavonoids

Ceiba petandra leaf

+ ve

+ ve

+ ve

- ve

+ ve

+ ve

+ ve

-ve

Ceiba petandra bark

- ve

+ ve

+ ve

- ve

- ve

+ ve

+ ve

-ve

Table 5 Qualitative analysis of the phytochemical screening of ceiba pentandra

Plant Sample used

Na

K

Ca

Mg

Zn

Fe

Pb

Cu

Mn

Ceiba petandra leaf

20.92

23.1

29.34

24.78

17.34

20.34

2.78

1

4.92

Ceiba petandra bark

21.33

43.2

16.5

26.37

17.75

4.36

ND

ND

14.33

Table 6 Quantitative analyses of elemental composition in ceiba pentandra extracta (mg/100g)

Parameters

Ceiba Pentandra Leaf

Ceiba pentandra bark

Tannin

2.3

2.25

Phenol

3.49

3.45

Phylate

12.33

12.45

Oxalate

8.51

8.55

Saponin

7.52

7.61

Flavonoid

10.38

10.41

Alkaloids

4.36

4.37

Table 7 Quantitative analyses of anti-nutrients present in ceiba pentandra extracts result in percentage (%)

% Ash

% MC

% CP

% Fat

% Fibre

% CHO

Leaf

8.72

7.32

16.25

5.34

8.53

53.72

Bark

8.78

7.33

16.19

5.4

8.5

53.79

Table 8 Quantitative analyses of proximate nutrient composition of ceiba pentandra

Keywords: MC: Moisture Content; CP: Crude Protein; CHO: Carbohydrate

Flavonoids are part of the phytochemical constituents of Ceiba petandra which represent the most common and widely distributed groups of plant phenol that serve as flavouring ingredients of spices and vegetables. Flavonoidsare known to have hypoglycemic activity used in the treatment of diabetes,22 exhibit anti-inflammatory, anti-angiogenic, anti-allergic effect, analgesic and anti-oxidant properties;23,24 enzymes inhibitors, vascular, oestrogenic, cytotoxic antitumor, anti-spamodic and anti-diarhoetic activities, anti-dysentry and infectious diseases, hepatoprotective and anti-fungal agents.23 Flavonoids are known to exhibit a wide range of biological activities one of which is either ability to scavenge for hydroxyl radicals and superoxide anions radicals and thus health promoting in action. It was also observed that the presence of phytochemical in qualitative and quantitative signifies the important role which they play in plants and in animal. The mineral composition shows that sodium (Na), potassium (K), Calcium (Ca), Magnesium (Mg), Zinc (Zn), Iron (Fe), Lead (Pb), Copper (Cu) and Manganense (Mn) are present in leaf and bark. For leaf, the mineral Iron, zinc, Magnesium are present in large quantity while Calcium, Phosphorous, Sodium, Manganese, Lead and copper are present in lesser quantity.25

There are moderate amounts of alkaloids in the leaves and bark of Ceiba pentandra in Table 8. Pure isolated alkaloids and the synthetic derivatives are used as the basic medicinal agents due to their analgesic improve wound healing an inflamed mucus membrane (Stray1998). The study showed moderate amount of Tannin in both leaf and bark extracts supporting the strong use of Ceiba pentandra in healing wounds, various ulcers and burns in traditional herbal medicine.10 The tannins, flavonoids and the alkaloids as seen in the results give credence to the reported antimicrobial, antiviral and antidiabetic properties of Ceiba pentandra. The nutrient proximate composition of Ceiba pentandra extracts (leaf and bark) shows that ash content, crude protein, fat, fibre, carbohydrate, were present in Ceiba pentandra leaf and bark according to Harborne 1999. Carbohydrates are hydrolyzed in the body to yield glucose, which can be utilized immediately or stored as glycogen in the muscles and liver for future use. Proteins are body builders, they replace worn out tissues, and proteins are also immune booster and can help in cell division as well as growth.26 Fats are important in energy production. Also, fats and oils help to regulate blood pressure of vital cell parts.27 Moisture is a universal solvent. It dissolves other substances, carries nutrients and other materials round the body, creating the possibility for organs to perform their function effectively. Fibers are parts of fruits, grains and vegetables which can neither be digested nor absorbed by human system. They reduce the levels of palm cholesterol and prevent colon cancer and cardiovascular disease.28

The experiment indicates that Ceiba pentandra is useful in the treatment of cardiovascular disorders, stomach-ache, diarrhoea, ulcer, bronchitis fever, menstrual irregularities, headache, hepatitis, malaria and measles.29

The bark and leaf extract also contained vitamins C and E and can help repair free radical damages to the cells. The presence of a molecule suggests that Ceiba pentandra can be used as vitamin supplement.30

Conclusion

Ceiba pentandra is an important medicinal plant with diverse traditional uses and broad pharmacological spectrum; almost all morphological parts of Ceiba pentandra have varied therapeutic efficacy for the treatment of variety of diseases. The phytochemical screening of extract of Ceiba pentandra indicated the presence of many chemical constituents which are attributed for the varied pharmacological and traditional properties of the plant. Result of the phytochemical screening is also useful for further investigation of biological activity of the plant according to the presence of phytochemical group.31-48

Recommendations

It is therefore recommended that much consideration should be into Ceiba pentandra plant as it has so many usefulness much especially for treatment of infections. The use of Ceiba pentandra should be encouraged.

Acknowledgements

The authors wish to express their appreciation to all the technical staffs of the laboratory unit of Both the Department of Microbiology, Faculty of Science, Adekunle Ajasin University, Akungba Akoko, Ondo State, Nigeria.

Conflict of interest

The author declares no conflict of interest.

References

  1. Jakhetia V, Patel R, Khatri P, et al. Cinnamon: a pharmacological review. J Adv Sci Res. 2010;1(2):19–23.
  2.  Arora DS, Kaur J. Antimicrobial activity of spices. Int J Antimicrob Agents. 1999;12(3):257–262.
  3. Ekpo MA, Etim PC. Antimicrobial activity of ethanolic and aqueous extracts of Sida acuta on microorganisms from skin infections. J Med Plant Res. 2009;3(9):621–624.
  4. Guevarra BQ. A guidebook to plant screening phytochemical and biological. In: Hawkins EB, Ehrich SD, editors. USA: UST Publishing House; 2005.
  5. Osuntokun OT. Bioactivity and phytochemical screening of nigerian medicinal plants growing in ondo and ekiti state against bacterial isolates from pediatrics hospital. Journal of Advances in Medical and pharmaceutical Sciences. 2015;4(2):1–14.
  6. Mahato SB, Sen S. Advances in triterpenoid research: 1990–1994. Phytochemistry. 1997;44(7):1185–1236.
  7. Mary J. Lobelia herb treats respiratory problems and more. 2008.
  8. Horwitz W. Official methods of analysis of AOAC international. 17th ed. USA: Association of Official Analytical Communities; 2003.
  9. Hussain J, Rehman N, Al Harrasi A, et al. Nutritional prospects and mineral compositions of selected vegetables from Dhoda Sharif– Kohat. J Med Plants Res. 2011;5(29):6509–6514.
  10. Okwu DE. Phytochemicals and Vitamin content of indigenous spices of South Eastern Nigeria. Journal of sustenance of Africa Environment. 2004;6:30–34.
  11. Al Harrasi A, Al Rawahi A, Hussain J, et al. Proximate analysis of the resins and leaves of Boswellia sacra. J Med Plants Res. 2012;6(16):3098–3104.
  12. Michie C. The use of herbal remedies in Jamaica. Ann Trop Paediatr. 1992;12(1):31–36.
  13. Aboaba O, Efuwape B. Antibacterial properties of some Nigerian species. Biology Research Communication. 2001;13:183–188.
  14. Aboaba O, Smith S, Olide F. Antimicrobial Effect of Edible Plant extract on Escherichia coli0157: H7. Pak J Nutr. 2006;5(4):325–329.
  15. Akinside KA, Olukoya DK. Vibrocidal activities of some local herbs. J Diarhoeal Dis Res. 1995;13(2):127–129.
  16. Lamai RS. Preliminary phytochemical and antibacterial screening of the ethanolic stem bark extract of Phyllanthus muellerianus. Project submitted to the department of pharmacognosy and drug development. Nigeria: Faculty of pharmaceutical Sciences, Ahmadu Bello University; 2009. p. 34–35.
  17. Dubrovsky BO. Steroids, Neuroactive Steroids in neurosteroids psychopathology. Progress in Neuropsychopharamacology and Biological psychiatry. 2005;29(2):169–192.
  18. Matan N, Rimkeeree H, Mawson AJ, et al. Antimicrobial activity of cinnamon and clove oils under modified atmosphere conditions. Int J Food Microbiol. 2006;107(2):180–185.
  19. Chindo IY, Yongabi KA, Agbo MO, et al. Extract of Agerantum conyzoids. Pesticidal activity and phytochemical studies. J Chem soc Nigeria. 2002;27(2):110–113.
  20. Adebgoye MF, Akinpelu DA, Okoli AL. The bioactive and phytochemical properties of G. Kola(Heckel) seeds extracts on some pathogens. Afr J Biotechnology. 2008;7(21):3938–3988.
  21. Alinor IJ. Preliminary phytochemical and antibacterial activity screening of leaves of Varnonia amygdalina. J Chem Soc Nigeria. 2008;33(1):172–177.
  22. Ghamba PE, Agbo EB, Umar AF, et al. In vitroantibacterial activity of extracts of crude ethanol, acetone, and acqueous GarciniaKola seeds extracts on selected clinical isolates. Afr J Biotechology. 2012;11(6):1478–1483.
  23. Harbone JB, Williams CA. Advances in flavonoid research since 1992. Phytochemistry. 2000;55(6):481–504.
  24. Hodek P, Trefil P, Stiborova M. Flavonoids potent and versatile biologically active components interacting with Cytochrome P450. Chem Biol Interact. 2002;139(1):1–21.
  25. Aureli P, Costantini A, Zolea S. Antibacterial activity of some plant essential oils against Listeria monocytogences. Journal of Food Protection. 1992;55:344–348.
  26. Okeke CU, Elekwa I. Proximate and preliminary photochemical analyses of avocado pea Persea gratissima Cacrtn. F. (Family Lauracea). Nigeria Journal of Botany. 2006;9(1):159–162.
  27. Dutta AC. Botany for Degree students Edn 16, 708 of some Nigerian medicinal plants. Afr J Biotechnol. 1981;4(7):685–688.
  28. Boutwell RK. An overview of the role of nutrition in carcinogenesis, nutrition, growth and cancer. UK: Allan R Liss Inc; 1998. p. 418.
  29. Wongsrichanalai C, Pickard AL, Wernsdorfer WH, et al. Epidemiology of drug–resistant malaria. Lancet Infect Dis. 2002;2(4):209–218.
  30. Trease GE, Evans WC. Pharmacognsy. 11th ed. Brailliar Tiridel Can. UK: Macmilan Publishers; 1989.
  31. Barrow GI, Feltham RKA. Cowan and Steelʼs Manual for Identification of Medical Bacteria. 3rd ed. UK: Cambridge University; 1995.
  32. El Astal ZY, Ashour AE, Kerrit AA. Antimicrobial activity of some medicinal plant extracts in Palestine. Pak J MedSci. 2005;21(2):187–193.
  33. Geissman TA. flavonoid compounds, tannins, lignins and related compounds. In: florkin M, Stotz EH, editors. Pyrole pigments, isoprenoid compounds and phenolic plant constituent. 1963.
  34. Hatano T, Kusuda M, Inada K, et al. Effects of tannins and related polyphenols on methicillin–resistant Staphylococcus aureus. Phytochemistry. 2005;66(17):2047–2055.
  35. Harbone JB. Phytochemical methods: Aguide to modern technique of Plant analysis. 3rd ed. UK: Chapman and Hill; 1998. 279 p.
  36. Kroemer G. Cardiac glycosides exert anticancer effects by inducing immunogenic cell death. Sci Transil Med. 2012;4(143):ra99.
  37. Kubo I, Muroi H, Kubo A. Naturally occurring anti–acne agents. J nat prod. 1994;57(1):9–17.
  38. Kuhnau J. The flavonoids. A class semi–essential food components: their role in human nutrition. World Rev nutr Diet. 1976;24:117–191.
  39. Menger L, Vacchelli E, Adjemian S, et al. Antimicrobial activities of methanolic extracts of Trema guinensis (Schumm and Thorn) and Morinda Lucida Benth used in Nigeria. Biol Res. 2004;2:39–46.
  40. Osuntokun OT, Ajayi AO. Antimicrobial, phytochemical and proximate analysis of four nigerian medicinal plants on some clinical microorganisms. Current Research in Microbiology and Biotechnology. 2014;2(5):457–461.
  41. Osuntokun OT, Olajubu FA. Antibacterial and Phytochemical Properties of Some Nigerian Medicinal plant on Salmonella typhi and Salmonella paratyphi Isolated from Infected Human Stool in Owo local Government, Nigeria. Journal of Scientific Research & Reports. 2014;4(5):441–449.
  42. Osuntokun OT. Comparative study of antibacterial and phytochemical properties of Nigerian medicinal plants. Journal archives of Current Resaerch Internatuonal. 2015;2(1):1–11.
  43. Selvakumar K, Madhan R, Srinivasan G, et al. Antioxidant assays in pharmacological research. Asian J Pharm Tech. 2011;1(4):99–103.
  44. Sen C. Oxygen toxicity and antioxidants: state of the art. Indian J Physiol Pharmacol. 1995;39(3):177–196.
  45. Sofowora A. Medicinal plants and traditional medicine in Africa. 1st ed. USA: John Wiley and Sons Ltd; 1982. p. 168–171.
  46. Sofowora A. Medicinal plants and traditional medicine in Africa. 3rd ed. Nigeria: Spectrum books Ltd; 2008 p. 23–25.
  47. Trease GE, Evans MC. Textbook of pharmacognosy. 12th ed. UK: Tindall; 1983. p. 343–383.
  48. Tona L, Ngimbi NP, Tsakala M, et al. Antimicrobial activity of 20 crude extracts from nine African medicinal plants used in Kinshasa, Congo. J Ethnopharmacol. 1999;68(1–3):193–203.
Creative Commons Attribution License

©2017 Osuntokun, et al. This is an open access article distributed under the terms of the, which permits unrestricted use, distribution, and build upon your work non-commercially.