Submit manuscript...
MOJ
eISSN: 2379-6383

Public Health

Research Article Volume 11 Issue 2

Correlation between acid-base balance and the immunometabolism after a Crosscombat™ session in MMA Athletes

Luis CO Gonçalves,1 Anibal M Magalhães- NETO,2 Claudia MB Andrade3

1Graduate Program of Health Sciences – Faculty of Medicine – Federal University of Mato Grosso (UFMT), Brazil
2Institute of Biological and Health Sciences - Federal University of Mato Grosso (UFMT), Brazil
3Chemistry Department - Institute of Exact and Earth Sciences - Federal University of Mato Grosso (UFMT), Brazil

Correspondence: Luis Carlos Oliveira Gonçalves, Federal University of Mato Grosso – UFMT, Brazil, Tel 5521 964451022

Received: May 14, 2022 | Published: May 20, 2022

Citation: Gonçalves LCO, Magalhães-NETO AM, Andrade CMB.Correlation between acid-base balance and the immunometabolism after a Crosscombat™ session in MMA Athletes. MOJ Public Health. 2022;11(2):71-73. DOI: 10.15406/MOJPH.2022.11.00378

Download PDF

Abstract

To identify the correlation between physiological parameters induced by the crosscombat™ after 72 hours of rest in sixteen MMA athletes underwent a 40-min session of the method. A negative correlation between bicarbonate and chloride affects the anion gap in post-exercise time, and the inverse behavior of neutrophils and lymphocytes is similar between monocytes and eosinophils. A positive correlation between monocytes, eosinophils, and bicarbonate and a negative correlation between neutrophils and other strains of leukocytes as Lymphocytes, Monocytes, and Eosinophils. The negative correlation between neutrophils and lymphocytes and between the same neutrophils and other leukocyte lineages seems to show neutrophils as the most acutely affected cells in this type of exercise, different from what was previously seen for a six-minute jiu-jitsu match. Because both models use fighting movements and are of high intensity, the execution time changed the leukocyte behavior in response to stress. The negative correlation between bicarbonate and chloride, may have influenced the differential leukocyte count, given the positive correlation between the HCO3 and, the subfamilies of monocytes and eosinophils. Furthermore, these subfamilies showed a negative correlation with neutrophils and that the anion gap alters the activity and concentration of other biochemical parameters in the plasma modulating immunometabolism.

Keywords: high-intensity interval training, anion gap, biochemistry, modulation

Introduction

Sportomics studies aim to investigate the impact of immunometabolism generated by different forms of exercise in real representations of competition.7,2 This observation should be supported by different age groups, gender, and health conditions.11 The present study investigated the correlation between acid-base balance with immunometabolism, functional and physical parameters after a Crosscombat session.

Material and methods

Subjects

In this study, sixteen male elite-level mixed martial arts (MMA) professional athletes (23–36 years; 30.0 ± 1.3) participated. The athletes had a minimum of five years of experience in both MMA training and competitions and at least two years of experience in CCombat™ training. They were instructed not to consume any nutritional supplements or drugs for at least four weeks before the experiment. Athletes were excluded who were engaging in any acute body mass loss protocol or competition or recovering from injury for one week before or after the experiment. The demographics of the subjects are described in Table 1.

AVG

SDM

SEM

Range

Age (years)

30

5.05

1.26

23 – 41

Weight (Kg)

80.6

13.84

3.46

60 – 108

Height (m)

1.76

0.046

0.011

1.68 – 1.84

BMI (Kg/m2)

25.7

3.53

0.88

20.3 – 32.9

Table 1 Subjects characteristics (n=16)

AVG, average; SDM, standard deviation from the mean; SEM, standard error from the mean; BMI, body mass index

Experimental design

All participants rested for 72 hours before the exercise protocol. In an observational and cross-sectional cohort study, the athletes engaged in high-intensity functional exercise (40 min). According to the method's creator, the CCombat protocol was created for the highest level of performance. The protocol involved 12 different exercises combined in six modules combined according to their equivalence. The subjects were only instructed to drink water after the collections scheduled for each day.

Data collection

Blood sampling

Blood samples were collected at the following times: pre-exercise collection (Pre); immediately after exercise (Post); 60 minutes after the end of exercise (+60 min), 120 minutes after the end of exercise (+120 min); 24 hours after the end of exercise (+24 h). Blood samples were collected from the medial cephalic vein by an experienced venipuncture. Samples were collected either in the presence or absence of EDTA (Vacutainer®, BD, NJ, USA) for hematological or serum analyses, respectively.

Blood or serum measurements

Hematocrit was measured using microhematocrit tubes and centrifugation. Creatine kinase was measured using a Piccolo® General Chemistry 13 rotor (Abaxis, CA, USA). Bicarbonate was evaluated using CG4+ cartridges and I-STAT (Abbot-Abbott Point of Care Inc., NJ, USA). CHEM8+ cartridges and I-STAT were used to determine sodium, Potassium, chloride, and calcium levels. The differential count of leukocytes was performed manually with the preparation of a slide stained with panoptic dye and observation by optical microscopy.

Handgrip strength

The position used was that recommended by the American Society of Hand Therapists, which is with the individual seated with the shoulder abducted and neutrally rotated, elbow flexed at 90° and forearm and wrist in a neutral position.9,13,10,12

Anion gap

AG = [(Sodium + Potassium) – (chloride + Bicarbonate)]

Statistical analysis

A t-test was applied to compare the data between the different times, adopting a significance level of 5%, P ≤ 0.05 (α error).

First, a test was adopted to verify normality in data distribution. As the sample was smaller than 30 individuals, the Shapiro-Wilk test was applied, which may result in two possibilities:

1 – If the value obtained was P ≤ 0.05, the Mann-Whitney nonparametric test would be applied.

2 – If the value obtained was P > 0.05, the equal variance test would be applied. If this test failed (P < 0.050), the Mann-Whitney Test would be applied, but if this test passed (P > 0.050), a paired t-test would be applied.

We applied a Spearman’s correlation test between all data to make a heat map with results. In this heat map, the values ranged from deep red to 1 to deep blue to -1.

* represented a difference in relation to the pre-exercise time and # difference in relation to the previous time.

Results

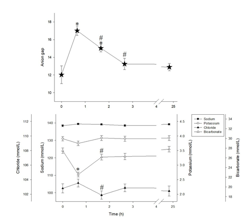
Hematocrit values ​​(%) did not change in response to exercise (pre 44.3±0.6 and post 43.4±0.4), giving robustness that the alterations presented were caused by the exercise method and not by a change in hemoconcentration. There was no significant change at any of the study times. The heat map containing Spearman's correlation coefficient indicates a negative correlation between Neutrophils and lymphocytes (-0.935 – P-value 0. 0000002) and Bicarbonate and chloride (-0.647 e P-value 0.0000002) (Figure 2).  The negative correlation observed between Bicarbonate and chloride affects the anionic gap in the immediate post-exercise time (AG = [(Sodium + Potassium) – (chloride + Bicarbonate)] (Figure 3). The inverse behavior of neutrophils and lymphocytes is similar between monocytes and eosinophils (Figure 4). When Spearman's correlation was observed for each analyte in the timeline, there was a strong positive correlation between monocytes, eosinophils, and Bicarbonate (M x E = 1.0; E x B = 0.9; M x B = 0.9) and a negative correlation between neutrophils and other strains of leukocytes as Lymphocytes (0.9), Monocytes (0.8) and Eosinophils (0.8) (Figure 5).

Figure 1 Experimental design.
T1 = collection in fasting and pre-exercise; T2 = collection immediately after exercise;

T3 = collection 1 hour after; T4 = collection 2 hours after; T5 = collection 24 hours after the end of the exercise.

Figure 2 The heat map containing Spearman's correlation coefficient indicates a negative correlation between Neutrophils and lymphocytes (-0.935 – P value 0. 0000002) and bicarbonate and chloride (-0.647 e P value 0.0000002).

Figure 3 The negative correlation observed between bicarbonate and chloride affects the anionic gap in the immediate post-exercise time (AG = [(Sodium + Potassium) – (chloride + Bicarbonate)].

Figure 4 The inverse behavior of neutrophils and lymphocytes is similar between monocytes and eosinophils.

Figure 5When Spearman's correlation was observed for each analyte in the timeline, there was a strong positive correlation between monocytes, eosinophils, and bicarbonate (M x E = 1.0; E x B = 0.9; M x B = 0.9) and a negative correlation between neutrophils and other strains of leukocytes as Lymphocytes (0.9), Monocytes (0.8) and Eosinophils (0.8).

Discussion/conclusion

The negative correlation between neutrophils and lymphocytes (Figure 2&4) and between the same neutrophils and other leukocyte lineages (Figure 5s) shows that neutrophils are the most acutely affected cells in this type of exercise, different from what had previously seen. By our group1 for a six-minute jiu-jitsu match. Because both models use fighting movements and are of high intensity, it seems that the execution time (6min x 40min) changed the leukocyte behavior in response to stress.

The negative correlation between Bicarbonate and chloride, which affected the anion gap, may have influenced the differential leukocyte count, given the strong positive correlation between the main physiological buffering agent (HCO3) and the subfamilies of monocytes and eosinophils, indicating a possible acute modulation of the immune system by the plasma anion gap. Furthermore, these subfamilies showed a strong negative correlation with neutrophils14,4 and that the anion gap alters the activity and concentration of other biochemical parameters in the plasma,1 modulating immunometabolism.3

The present study indicates a future search line for the association between exercise, anion gap, and immunometabolism.5,8

 Because high-level athletes are no longer treated like machines, generating the search for health maintenance without affecting performance and the growing number of practitioners of different forms of exercise in all genders and age groups, knowing the correlations, modulations, and impacts of different forms of exercise on immunometabolism presents itself as the promising future field of health sciences.

Acute physical exercise can cause a slight decrease or increase in the leukocyte count, being dose-dependent. However, in the long term, the tendency is to improve the efficiency of the immune system with regular practice.

The present study found different positive and negative correlations between acid-base balance, hydro electrolytic, and immunometabolism induced by the new high-intensity interval training method, CrossCombat.

Acknowledgments

None.

Conflicts of interest

The author declares there is no conflict of interest.

References

  1. Andersen LW, Berg KM, Montissol S, et al. Pyruvate Dehydrogenase Activity Is Decreased in Emergency Department Patients With Diabetic Ketoacidosis. Acad Emerg Med. 2016;23(6):685–689.
  2. Bassini A, Cameron LC. Sportomics: building a new concept in metabolic studies and exercise science. Biochemical and biophysical research communications. 2014;445(4):708–716.
  3. Cohen RD, Iles RA. Intracellular pH: measurement, control, and metabolic interrelationships. CRC Critic Rev Clin Lab Sci. 1975;6(2):101–143.
  4. Dai G, Ran Y, Wang J, et al. Clinical Differences between Eosinophilic and Noneosinophilic Acute Exacerbation of Chronic Obstructive Pulmonary Disease: A Multicenter Cross-Sectional Study. Mediators Inflamm. 2020;1059079.
  5. Ebina S, Omori A, Tarakida A, et al. Effect of the umbilical cord blood acid-base status and gas values on the yield of mononuclear cells and CD34⁺ cells. J Obstet Gynaecol Res. 2012;38(7):997–1003.
  6. Ferrari LA, Giannuzzi L. Clinical parameters, postmortem analysis and estimation of lethal dose in victims of a massive intoxication with diethylene glycol. Forensic Sci Int. 2005;153(1):45–51.
  7. Gonçalves LCO, Bessa A, Freitas-Dias R, et al. A sportomics strategy to analyze the ability of arginine to modulate both ammonia and lymphocyte levels in the blood after high-intensity exercise. Journal of International Society of Sports Nutrition. 2012;9(1):1–9.
  8. Grzegorzewska AE, Leander M. Total lymphocyte count and subpopulation lymphocyte count in relation to blood bicarbonate concentration in peritoneal dialysis patients. Adv Perit Dial. 2005;21:31–34.
  9. Härkönen R, Piirtomaa M, Alaranta H. Grip Strength and hand position of the dynamometer in 204 finnish adults. J Hand surg Br. 1993;18(1):129–132.
  10. Innes E. Handgrip strength testing: A review of literature. Australian Occupational Therapy Journal. 1999;46:120.
  11. Lopes JSS, Neto AMM, Gonçalves LCO, et al. Kinetics of Muscle Damage Biomarkers at Moments Subsequent to a Fight in Brazilian Jiu-Jitsu Practice by Disabled Athletes. Front Physiol. 2019;10:1055.
  12. Ng G YF, Fan ACC. Does elbow position affect strength and reproducibility of power grip measurements? Physiotherapy. 2001;87(2):68–72.
  13. Richards L. Posture effects on grip strength. Arch Phys Med Rehabil. 1997;78(10):1154–1156.
  14. Talosi G, Katona M, Turi S. Side-effects of long-term prostaglandin E(1) treatment in neonates. Pediatr Int. 2007;49(3):335–340.
Creative Commons Attribution License

©2022 Gonçalves, et al. This is an open access article distributed under the terms of the, which permits unrestricted use, distribution, and build upon your work non-commercially.

Citations

Media Partner & Supporters