Submit manuscript...
MOJ
eISSN: 2379-6383

Public Health

Research Article Volume 13 Issue 1

GSEM analysis of environmental factors as the risk of increasing infectious diseases in under-fives to stunting incidence in Solok district

Sri Lestari, Sari Arlinda, Mukhlis , Lindawati , Syukra Alhamda

Politeknik Kesehatan Kemenkes Padang, Sumatera Barat, Indonesia

Correspondence: Syukra Alhamda, Politeknik Kesehatan Kemenkes Padang, Sumatera Barat, Indonesia, Tel +6281363359566

Received: January 23, 2024 | Published: February 26, 2024

Citation: Lestari S, Arlinda S, Mukhlis, et al. GSEM analysis of environmental factors as the risk of increasing infectious diseases in under-fives to stunting incidence in Solok district. MOJ Public Health. 2024;13(1):32-36. DOI: 10.15406/mojph.2024.13.00434

Download PDF

Abstract

Environment is one of the factors in causing stunting in toddlers. An unhealthy environment can increase the risk of infection for toddlers. Infectious diseases caused by poor hygiene and sanitation can interfere with the absorption of nutrients in the digestive process. Some infectious diseases suffered by babies can cause the baby to lose weight. If this condition occurs for a long time and is not accompanied by sufficient intake for the healing process, it can result in stunting (Ministry of Health, Republic of Indonesia, 2018). When children grow up in an environment with poor sanitation, their risk of getting sick is greater and the possibility of recurrence is also high, this is what causes their growth to be stunted.

This research is a quantitative study using a cross sectional study design. This study was conducted to determine environmental factors as a risk in increasing infectious diseases in toddlers against the incidence of stunting in Solok Regency. The population in this study were all mothers who had children under five with stunting in Solok Regency with 200 samples using the Simple Random Sampling (SRS) method for each country according to the needs of this study.

The prevalence of stunting in Solok Regency is 82%, with many infectious diseases, namely diarrheal diseases of 57.5%. Environmental factors are still lacking with the availability of healthy latrines at 31%, 23.5% good wastewater treatment, and 35.5% good waste management.

Based on the results of the GSEM analysis, it was found that infectious diseases were a direct factor in the incidence of stunting, parenting, diet, and environment were indirect factors for the incidence of stunting.

Keywords: GSEM analysis, toddler infection, stunting, environmental factors

Introduction

Toddlers are an age group that is prone to nutrition and disease-prone which results in stunted children.1,2 Stunting is a chronic nutritional problem in toddlers which is characterized by shorter height compared to children their age.3,4 Stunted toddlers are associated with slower motor development and lower intelligence levels, besides that they also have lower ratings on locomotor, hand and eye coordination, hearing, speaking, and performance when compared to normal children. Low cognitive levels and impaired growth in stunted toddlers are factors that can cause loss of productivity as adults. Stunted adults have a low level of work productivity and lower wages when compared to other people adults who are not stunted.5

Toddlers with stunting are more susceptible to disease and as adults are at risk for degenerative diseases such as obesity, glucose tolerance, coronary heart disease, hypertension, osteoporosis, decreased performance and productivity.3,4,6 Postnatal growth retardation has a potential relationship to current body weight and blood pressure. Blood pressure in adults has a negative relationship with birth weight and blood pressure in childhood has a relationship with the size of the baby at birth.5

The incidence of stunting in toddlers is a global problem. In 2017 22.2% or around 150.8 million toddlers in the world were stunted. more than half of the stunted toddlers in the world come from Asia (55%). Of the 83.6 million stunted children under five in Asia, the highest proportion came from South Asia (58.7%) and the least proportion from Central Asia (0.9%).3 Indonesian Ministry of Health, 2018)

Data on the prevalence of stunting under five collected by the World Health Organization (WHO), Indonesia is included in the third country with the highest prevalence in the Southeast Asia/South-East Asia Regional (SEAR) region. The average prevalence of stunting under five in Indonesia in 2005-2017 was 36.4%.3 Indonesian Ministry of Health, 2018) The prevalence of very short and short toddlers aged 0-59 months in Indonesia in 2017 was 9.8% and 19.8%. This condition has increased from the previous year, namely the prevalence of very short toddlers of 8.5% and short toddlers of 19%.7

Many factors influence the incidence of stunting, including parents' education, parent's occupation, family income, parenting style, history of exclusive breastfeeding, and infectious diseases, such as diarrhea and acute respiratory infections (ARI). Stunting is more common in children who are not exclusively breastfed than in children who are exclusively breastfed. Growth disturbances will result in stunting in children, as well as children who have an infection are prone to nutritional deficiencies, which if left unchecked can be at risk of stunting.2 Several factors are thought to be related to the incidence of stunting in toddlers, including the toddler's birth weight, history of infection, history of pregnancy disease, parents' height, and socioeconomic factors.8 According to WHO, the factors that influence the incidence of stunting are parenting style, coverage and quality of health services, environment and food security, household and family factors, inadequate complementary food, breastfeeding, and infection.3

Referring to the mindset of UNICEF/Lancet, the problem of stunting is mainly due to influences from parenting styles, coverage and quality of health services, the environment, and food security. An unhealthy environment can increase the risk of infectious diseases for toddlers. Infectious diseases caused by poor hygiene and sanitation can interfere with the absorption of nutrients in the digestive process. Some infectious diseases that babies suffer from can cause babies to lose weight. If this condition occurs for quite a long time and is not accompanied by adequate intake for the healing process, it can result in stunting.7 When children grow up in an environment with poor sanitation, their risk of contracting the disease becomes greater and the likelihood of it recurring is also high, this is what causes their growth to be stunted.9

In 2017, 72.04% of households in Indonesia had access to an adequate source of drinking water. Sources of proper drinking water in question are protected drinking water including tap water (taps), public taps, public hydrants, water terminals, rainwater reservoirs (PAH) or protected springs and wells, drilled wells or pumps, which are at least 10 meters apart. from sewage disposal, waste storage, and waste disposal (RI Ministry of Health, 2018).

The percentage of households that had access to proper sanitation in Indonesia in 2017 is 67.89%. Households that have sanitation facilities that meet health requirements, among others, are equipped with a type of gooseneck toilet or a bowl with a lid and have a septic tank or Waste Water Disposal System (SPAL), and have a defecation facility. used alone or together (RI Ministry of Health, 2018).

West Sumatra is a province that has access to proper drinking water sources and access to proper sanitation below the Indonesian average, namely 68.83% and 52.77% which is the sixth lowest.7 The prevalence of stunting under five in West Sumatra is around 33% with one of the high districts being Solok Regency.10 Therefore it is necessary to do a General Structural Equation Modeling (GSEM) analysis of environmental factors as a risk in increasing infectious diseases in toddlers to the incidence of stunting in Solok Regency.

Method

This research is a quantitative study using a cross-sectional study design. This research was conducted to determine environmental factors as a risk in increasing infectious diseases in toddlers to the incidence of stunting in Solok Regency.

The population in this study were all mothers who had stunted toddlers in Solok Regency. The sample in this study were mothers who were selected as respondents in this study. The sampling method in this study is probability random sampling, where the number of samples in each district in Solok Regency has the same opportunity to be selected as the sample. Respondents were selected using the Simple Random Sampling (SRS) method for each district according to the needs (sample size of 200 respondents).

The required sample size is 200 using the following formula:

n= ( Z 1α 2P(1P) + Z 1β P 1 (1 P 1 )+ P 2 (1 P 2 ) ) 2 ( P 1 P 2 ) 2 MathType@MTEF@5@5@+= feaagKart1ev2aaatCvAUfeBSjuyZL2yd9gzLbvyNv2CaerbuLwBLn hiov2DGi1BTfMBaeXatLxBI9gBaerbd9wDYLwzYbItLDharqqtubsr 4rNCHbGeaGqipyI8VfYdOqFD0xXdHaVhbbf9v8qqaqFr0xc9pk0xbb a9q8WqFfea0=yr0RYxir=Jbba9q8aq0=yq=He9q8qqQ8frFve9Fve9 Ff0dmeaabaqaciGacaGaaeqabaWaaeaaeaaakeaacaWGUbGaeyypa0 ZaaSaaaeaadaqadaqaaiaacQfadaWgaaWcbaGaaGymaiabgkHiTiab eg7aHbqabaGcdaGcaaqaaiaaikdacaWGqbGaaiikaiaaigdacqGHsi slcaWGqbGaaiykaaWcbeaakiabgUcaRiaadQfadaWgaaWcbaGaaGym aiabgkHiTiabek7aIbqabaGcdaGcaaqaaiaadcfadaWgaaWcbaGaaG ymaaqabaGccaGGOaGaaGymaiabgkHiTiaadcfadaWgaaWcbaGaaGym aaqabaGccaGGPaGaey4kaSIaamiuamaaBaaaleaacaaIYaaabeaaki aacIcacaaIXaGaeyOeI0IaamiuamaaBaaaleaacaaIYaaabeaakiaa cMcaaSqabaaakiaawIcacaGLPaaadaahaaWcbeqaaiaaikdaaaaake aadaqadaqaaiaadcfadaWgaaWcbaGaaGymaaqabaGccqGHsislcaWG qbWaaSbaaSqaaiaaikdaaeqaaaGccaGLOaGaayzkaaWaaWbaaSqabe aacaaIYaaaaaaaaaa@5ECF@  

Information:

N = Minimum Number of Samples

Z 1-α/2 = The level of confidence is 95%

Z1-β = Strength test that is 80%

P1 = Proportion of stunting with high infectious disease (0.15)

P2 = Low proportion of stunting with infectious diseases (0.05)

Univariate analysis was carried out by looking at the description of the incidence of stunting in toddlers, the characteristics of the mother, and environmental factors with tables, graphs, and curves. The bivariate analysis uses the chi-square test where the results of the p-value are compared with the alpha of 5%. Multivariate analysis was carried out using the general structural equalization model (GSEM) through 4 stages, namely model specification, model identification, coefficient estimation, and respecification.

Results

Generalized structural equation modeling (GSEM) analysis

In this study, there were four latent variables consisting of three exogenous latent variables, namely parenting, diet, and environment, and one endogenous latent variable, namely infection. The endogenous variable observed was stunting. 18 observed variables are forming latent variables.

Initial model specifications

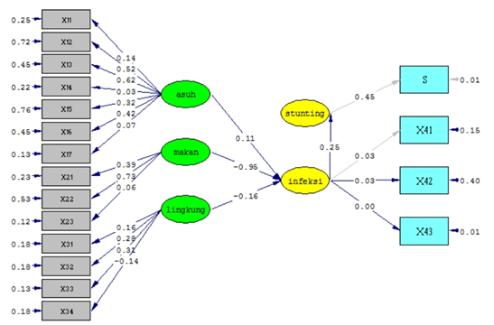
The initial model was created based on the results of factor analysis of the research conceptual framework. The results of the factor analysis will summarize the constructs (factors) for each latent variable. The path diagram for the initial model can be seen in the following figure. Figure 1

Figure 1 Early model of stunting.

Model identification

In GSEM, it is necessary to have adequacy between the number of parameters to be estimated and the number of existing data points (over-identified). Model identification is used to find out whether the model is over-identified, just identified, or under identified. The number of parameters must be the same or less than the data point. Parameters are calculated based on the sum of е, λ, β and γ in the initial model specifications above. The description of the mathematical notation is as follows:

  1. Е = measurement error (variance) added to each observed variation
  2. λ = factor loads or factor loadings that link between endogenous and exogenous latent variables and the observed variables
  3. β = regression coefficient between endogenous latent variables and endogenous latent variables
  4. γ = regression coefficient between exogenous latent variables and endogenous latent variables

The data point is the sum of the variance and covariance of the variable (observed variable or indicator). With 18 variables observed, then:

Data Point = {k(k + 1)}/2

                      = {18(18+1)}/2= 171

Parameter = е+λ+β+γ

                     = 18 + 18 + 1 + 3 = 40

From the calculation results above, it can be seen that the number of parameters is less than the data points, meaning that the model to be tested is included in the over-identified category. Once it is known that the model to be tested belongs to the over-identified category, the next identification step is Confirmatory Factor Analysis (CFA) to see the coefficient values of the observed variables which form latent variables and path coefficient values, the process is as follows:

Figure 2 shows that the variable that has the greatest influence on parenting is the variable of the compensation question (path coefficient = 0.86).

Figure 2 Latent CFA parenting.

Figure 3 shows that the variable that has the greatest influence in shaping eating patterns is the variable from the socioeconomic question (path coefficient = 0.64).

Figure 3 Dietary latent CFA.

Figure 4 shows that the variable that has the greatest influence in shaping environmental factors is the variable from the waste question (path coefficient = 0.34).

Figure 4 Latent CFA environmental factors.

Figure 5 shows that the variable that has the greatest influence in shaping environmental factors is the variable from the diarrhea question (path coefficient = 0.41).

Figure 5 CFA latent infection.

Overall model estimation

The next step is to check the estimation results. Parameter estimation used in this analysis is the path coefficient if done simultaneously. The following is the initial model after testing with data:

The estimation of this model has reached convergence but needs further analysis. Figure 4–6 shows that the variable that has the greatest influence on the incidence of stunting is diet (path coefficient = 0.96). Then the loading factor on each variable is also quite strong, namely > 0.05. However, the variable mother's age (X14), diarrhea (X41), dysentery (X42), and intestinal worms (X43) have low loading factor values.

Figure 6 Estimated stunting model.

Model specifications

The respecification of the model is carried out without involving the mother's age, the child gets vitamin A capsules and worms, so the respecification model consists of parenting, diet, environment, infection, and stunt events. The results of the model respecification are as follows:

The results of the model respecification show that the variable that has the greatest indirect effect on the incidence of stunting is the diet variable (path coefficient = 0.90) compared to parenting and environment (Figure 4–7).

Figure 7 Respecification of the stunting model.

The variable that has the greatest influence on each latent variable is the variable of the mother giving MP ASI to her child/X13 (path coefficient 0.76). Then followed by mother's education/X22 (path coefficient = 0.72). The largest observed variable coefficient value in the environment is the waste water disposal facility/X32 (koef = 0.30).

Overall, the coefficient value of the observed variable for each latent variable shows that the parenting variable, namely washing hands when feeding children/X15, has the greatest value (coef 0.76). In fact, the biggest path coefficient is the diet obtained from the mother's education.

Structural equation model

The structural model obtained from the results of this study is as follows:

  1. Stunting = 0.24*infection
  2. Infection = 0.13*parenting style+0.90*diet pattern+0.09*environment

To see the calculation of direct effects, indirect effects and total effects, see the following table:

From Table 1 Concerning the calculation of direct effects and indirect effects between latent variables from the stunting model above, it is known that the model contains one direct effect, namely infection. In addition, the model also contains three indirect effects, where parenting, diet and the environment can be through infection to see the relationship with stunting.

Latent variable

Direct Effect

Inderect Effect

Total Effect

1. Parenting --> stunting

0.13

0.13

2. Dietary habit --> stunting

0.9

0.9

3. Environtment --> stunting

0.09

0.09

4. Infection --> Stunting

 0.24

0.24

Table 1 Calculation of direct effect, indirect effect and total effect

Discussion

Stunting events

Stunting (dwarf) is a condition where a toddler has a length or height that is less when compared to age. This condition is measured by length or height that is more than minus two standard deviations of the WHO child growth standard median. Stunting is defined as a condition of children aged 0 – 59 months, where the height for age is below minus 2 Standard Deviations (<-2SD) from the WHO median standard. The results of the statistical analysis show that the proportion of stunting in Solok Regency is 82%, this data is very different and has increased from the stunting toddler prevalence data in West Sumatra of around 33%.

Stunting will have an impact and be associated with disrupted brain development processes and affect cognitive abilities. Stunted children who manage to survive result in reduced capacity for better education and loss opportunities for work opportunities with better incomes. Stunted children in adulthood tend to be fat (obese) and have the opportunity to suffer from non-communicable diseases (PTM), such as hypertension, diabetes, cancer, and others.

Infectious diseases

Infectious disease is a problem in the health sector that continues to grow from time to time. Infection is a disease that can be transmitted from one person to another or from animals to humans (Putri, 2010). Every year, infections kill 3.5 million people, mostly consisting of poor children and children living in low- and middle-income countries (WHO, 2014). Infectious diseases are prone to occur and are often experienced in toddlers. Where toddlers are a group of nuts who are prone to nutrition and disease.

In Indonesia, around 83% of deaths are caused by infectious diseases, birth, and nutritional conditions acquired by children (Fikawati, 2017). Diarrhea is a condition characterized by an increase in the frequency of defecation, more than three times a day, accompanied by a change in the consistency of the stool to liquid with/without blood and with/without mucus. Diarrhea is the second most common cause of death in children under five years old (WHO, 2012).

Infectious disease is a direct factor that can cause stunting in toddlers. The incidence of stunting due to infectious diseases is highly dependent on the severity, duration, and recurrence of infectious diseases suffered by toddlers. Infectious diseases that are often suffered by toddlers are diarrhea, dysentery, and worms.

The results of the statistical analysis carried out found that infectious diseases are one of the factors causing stunting, more than half of the respondents experienced diarrheal disease, namely 57.5%, dysentery 38.5%, and helminthiasis 5.5%. The data shows that most toddlers have experienced infectious diseases which can affect nutritional status and affect the growth and development of toddlers. According to Wanda Lestari's research results, infectious diseases are one of the risks of stunting.

Environmental factors

The problem of stunting is not only caused by food intake that is less than needed. As with other malnutrition problems, stunting is directly caused by a lack of adequate nutrition and the threat of recurrent infectious diseases and these two things influence each other. However, if you look deeper, these two direct causes are heavily influenced by the mother's upbringing, the availability of food at the household level, and environmental sanitation. Several studies have proven that the contribution of environmental sanitation to alleviating the problem of stunting is quite large, one of which is a study on children in Bangladesh who have access to clean drinking water, latrines, and CTPS facilities whose height growth is 50% higher than children who do not have access. In addition, poor hygiene and sanitation cause inflammatory disorders of the small intestine which reduces the absorption of nutrients and increases intestinal permeability, which is also called Environmental Enteropathy (EE), where energy diversion occurs, which should be used for growth but is ultimately used to fight infections in the body.9

Environmental factors that are the focus of attention of researchers about toddler stunting are water, sanitation, and hygiene (WASH). The potential for stunting is reduced if there are interventions that focus on changing behavior in sanitation and hygiene, such as getting access to clean water to stop open defecation, hand washing with soap (CTPS), household food processing, household waste management, and waste management.

Conclusion

The prevalence of stunting in Solok Regency has increased even above the data from the provincial health office, which is 82%. Infectious diseases are a direct factor causing stunting in Solok Regency. Parenting, eating, and environmental factors are indirect factors causing stunting in Solok Regency with the most influencing factor being diet.

By knowing the direct and indirect factors that cause stunting in Solok Regency, prevention efforts such as education related to stunting should be taken from the time of pregnancy to children (1000 days). The government should always screen couples of childbearing age in maintaining health and nutrition as well as sanitation behavior in preventing stunting in Solok Regency. The community should always implement community-based total sanitation behavior so that it can cut off the indirect causes of stunting from environmental factors.

Acknowledgments

None.

Conflicts of interest

The authors declare that there is no conflict of interest.

References

Creative Commons Attribution License

©2024 Lestari, et al. This is an open access article distributed under the terms of the, which permits unrestricted use, distribution, and build upon your work non-commercially.

Citations

Media Partner & Supporters