
Research Article Volume 11 Issue 1
A note on weighted Aradhana distribution with an application
Rama Shanker,1
Kamlesh Kumar Shukla,2 Ravi Shanker3
1Department of Statistics, Assam University, Silchar, India
2Department of Community Medicine, Noida International Institute of Medical Science, NIU, Gautam Buddh Nagar, India
3Department of Mathematics, G.L.A. College, N.P University, Jharkhand, India
Correspondence: Rama Shanker, Department of Statistics, Assam University, Silchar, India
Received: December 20, 2021 | Published: January 24, 2022
Citation: Shanker R, Shukla KK, Shanker R. A note on weighted Aradhana distribution with an application. Biom Biostat Int J. 2022;11(1):22-26. DOI: 10.15406/bbij.2022.11.00350
Download PDF
Abstract
In this paper moments based measures including coefficient of skweness, kurtosis, index of dispersion and mean residual life function of the weighted Aradhana distribution has been derived and discussed. A numerical example has been presented to test its goodness of fit.
Keywords: aradhana distribution, skewness, kurtosis, mean residual life function, maximum likelihood estimation, application
Introduction
Shanker1 introduced Aradhana distribution defined by probability density function (pdf) and cumulative distribution function (cdf)
(1.1)
(1.2)
Aradhana distribution is a convex combination of an exponential
, a gamma
and a gamma
distributions with their mixing proportions
,
and
, respectively. Its properties, parameter estimation and applications are available in Shanker1. Ganaie et al.2 derived the weighted version of the Aradhana distribution and discussed some of its properties with estimation of parameters and applications. Rajgopalan et al.3 obtained length-biased Aradhana distribution and Gharaibeh4 derived transmuted Aradhana distribution.
There are several statistical properties of weighted Aradhana distribution which has not been discussed by Ganaie et al.2 including moments based measures such as coefficient of skweness, kurtosis; mean residual life function and index of dispersion. Further, there are two serious drawbacks of the weighted Aradhana distribution proposed by Ganaie et al.,2 namely (i) The goodness of fit was compared with Aradhana distribution which is not justifiable due to the fact that a comparison of weighted distribution with unweighted distribution is completely illogical, (ii) two-parameter weighted Aradhana distribution was compared with one parameter Aradhana distribution without K-S and p-value, and concluded that weighted Aradhana distribution gives better fit over Aradhana distribution, which is amazing to digest the conclusion.
In this paper the weighted Aradhana distribution has been compared with weighted Sujatha distribution because it is related to weighted Sujatha distribution and some unweighted one parameter and two-parameter lifetime distributions.
Taking the weight function
, Ganaie et al.2 derived the pdf of the weighted Aradhana distribution as
(1.3)
Taking the weight function
or
, the pdf and the cdf of weighted Aradhana distribution can be expressed as
(1.4)
(1.5)
where
and
are respectively the complete gamma function and the upper incomplete gamma function and are defined as
and
.
Aradhana distribution and length-biased Aradhana distribution are special cases of WAD at
and
, respectively. The pdf of weighted Aradhana distribution is also a convex combination of gamma
, gamma
and gamma
which can be expressed as
where
,
Moments based measures
The
th moment about origin of WAD (1.4) is given by
Thus, we have
.
The central moments of WAD can be obtained as
Thus the coefficient of variation (C.V), coefficient of skewness
, coefficient of kurtosis
, and index of dispersion
of WAD are obtained as
.
It should be noted that these moments reduce to the corresponding moments of Aradhana distribution and length-biased Aradhana distribution at
and
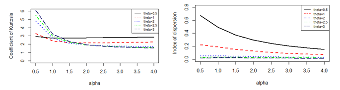
respectively. Graphs of coefficient of variation (C.V), coefficient of Skewness (S.K), coefficient of kurtosis (S.K.) and index of dispersion (I.D) of WAD for values of parameters are shown in figure 1. The graph clearly explains the nature for variation in parameters.
Figure 1 Graphs of C.V., C.S., C.K., and I.D of WAD for varying values of parameters .
Mean residual life function
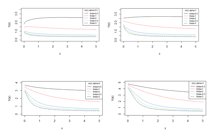
The mean residual life function
of the WAD can be obtained as
Graphs of of WAD for values of parameters are shown in figure 2.
Figure 2 of WAD for varying values of parameters.
Estimation of parameters using method of maximum likelihood
Suppose
be a random sample of size from WAD (1.4). The log likelihood function, of WAD is given by
The maximum likelihood estimates (MLE’s)
of the parameters
of WAD are the solutions of the following log likelihood equations
where
is the digamma function.
These log likelihood equations cannot be solved analytically because they are not in closed form and hence can be solved using R-software. The Newton-Raphson method available in R-software has been used to estimates the parameters.
A numerical example
Application and the goodness of fit of WAD has been discussed with the following lifetime data relating to waiting time data (in minutes) before service of 100 bank customers used by Ghitany et al.5 to fit Lindley distribution, proposed by Lindley.6
0.8 0.8 1.3 1.5 1.8 1.9 1.9 2.1 2.6 2.7 2.9 3.1
3.2 3.3 3.5 3.6 4.0 4.1 4.2 4.2 4.3 4.3 4.4 4.4
4.6 4.7 4.7 4.8 4.9 4.9 5.0 5.3 5.5 5.7 5.7 6.1
6.2 6.2 6.2 6.3 6.7 6.9 7.1 7.1 7.1 7.1 7.4 7.6
7.7 8.0 8.2 8.6 8.6 8.6 8.8 8.8 8.9 8.9 9.5 9.6
9.7 9.8 10.7 10.9 11.0 11.0 11.1 11.2 11.2 11.5 11.9 12.4
12.5 12.9 13.0 13.1 13.3 13.6 13.7 13.9 14.1 15.4 15.4 17.3
17.3 18.1 18.2 18.4 18.9 19.0 19.9 20.6 21.3 21.4 21.9 23.0
27.0 31.6 33.1 38.5
The goodness of fit of one parameter exponential distribution, Lindley distribution, Aradhana distribution and Sujatha distribution by Shanker,7 two-parameter weighted Sujatha distribution (WSD) proposed by Shanker and Shukla,8 Weibull distribution introduced by Weibull,9 lognormal distribution and WAD has been conducted for the above dataset. The pdf and cdf of WSD, Lognormal, Weibull, Sujatha, Lindley and exponential distributions are presented in table 1. The ML estimates, values of
, Akaike Information criteria (AIC), K-S and p-value of the fitted distributions are presented in table 2. The AIC and K-S are computed using the following formulae:
and
, where
= the number of parameters,
= the sample size ,
is the empirical (sample) cumulative distribution function, and
is the theoretical cumulative distribution function. The distribution corresponding to lower values of
, AIC, and K-S are the best fit.
The following table 3 presents the variance-covariance matrix and the 95% confidence intervals (CI’s) of the ML estimates of the parameters
and
of WAD.
The profile of likelihood estimates of parameters
of WAD for the given dataset is shown in figure 3. Also the fitted plots of the considered dataset for WAD are shown in figure 4.
Figure 3 Profile of the likelihood estimates of WAD for the given dataset.
Figure 4 Fitted plots of the two-parameter distributions for the given dataset .
From table 2 and the fitted plots of the distributions in figure 4, it is quite obvious that WAD gives much better fit as compared to the considered distribution and hence we can say that WAD can be considered an important weighted distribution for modeling real lifetime data from engineering and medical sciences.
Concluding remarks
Some important properties of weighted Aradhana distribution including mean residual life function, coefficients of skweness, kurtosis and index of dispersion has been derived and discussed. A numerical example has been presented to test its goodness of fit.
Acknowledgments
Conflicts of interest
Author declares there are no conflicts of interest.
Funding
References
- Shanker R. Aradhana distribution and its applications. International Journal of Statistics and Applications. 2016; 6(1):23–34.
- Ganaie RA, Rajgopalan V, Rather AA. Weighted aradhana distribution-properties and applications. Journal of Information and Computational Science. 2019;9(8):392−406.
- Rajgopalan V, Ganaie RA, Rather AA. A new length- biased distribution with applications. Science, Technology and Development. 2019; 8(8):162−174.
- Gharaibeh MM. Transmuted aradhana distribution-properties and applications. Jordan Journal of Mathematics and Statistics. 2020;13(2):287−304.
- Ghitany ME, Atieh B, Nadarajah S. Lindley distribution and its application. Mathematics Computing and Simulation. 2008;78(4):493–506.
- Lindley DV. Fiducial distributions and Bayes’ theorem. Journal of the Royal Statistical Society, Series B. 1958;20(1):102−107.
- Shanker R. Sujatha distribution and its applications. Statistics in Transition-New series. 2016(b);17(3):391−410.
- Shanker R, Shukla KK. A two-parameter weighted sujatha distribution and its application. International Journal of Applied Mathematics and Statistics. 2018;57 (3):106–121.
- Weibull W, Stockholm, Sweden. a statistical distribution of wide applicability. Journal of Applied Mechanics. 1951;18:293–297.
©2022 Shanker, et al. This is an open access article distributed under the terms of the,
which
permits unrestricted use, distribution, and build upon your work non-commercially.