Submit manuscript...
eISSN: 2378-315X

Biometrics & Biostatistics International Journal

Research Article Volume 13 Issue 1

An extended Suja distribution with statistical properties and applications

Rama Shanker,1 Ronodeep Das,1 Kamlesh Kumar Shukla2

1 Department of Statistics, Assam University, Silchar, Assam, India
2 Department of Statistics, Jaypee Institute of Information Technology, Noida, India

Correspondence: Rama Shanker, Department of Statistics, Assam University, Silchar, India

Received: January 25, 2024 | Published: March 5, 2024

Citation: Shanker R, Das R, Shukla KK. An extended Suja distribution with statistical properties and applications. Biom Biostat Int J. 2024;13(1):16-21. DOI: 10.15406/bbij.2024.13.00409

Download PDF

Abstract

An extended Suja distribution, of which one parameter Suja distribution is a particular case, has been proposed. Important statistical properties of the proposed distribution based on moments, skewness, kurtosis, index of dispersion, hazard rate function, mean residual life function, stochastic ordering, mean deviations, Renyi entropy measures, and stress-strength reliability have been derived and studied. The method of moments and the method of maximum likelihood for estimating parameters have been discussed. A simulation study has been presented to know the performance of maximum likelihood estimates. Applications and goodness of fit of the proposed distribution with two real datasets have been presented.

Keywords: Suja distribution, statistical properties, parameters estimation, Goodness of fits

Introduction

The search for an appropriate statistical distribution for modeling of lifetime data is very challenging because the lifetime data are stochastic in nature. Statistical distributions are needed for modeling of lifetime data in engineering, medical science, demography, social sciences, physical sciences, finance, insurance, demography, social sciences, literature etc and during recent decades several researchers in statistics and mathematics tried to introduce lifetime distributions. In the exploration for a new lifetime distribution which can be useful to model lifetime data, Shanker1 proposed a one parameter distribution named Suja distribution defined by its probability density function (pdf) and cumulative distribution function (cdf)

f( x;θ )= θ 5 θ 4 +24 ( 1+ x 4 ) e θx ;x>0,θ>0 MathType@MTEF@5@5@+= feaagKart1ev2aaatCvAUfeBSjuyZL2yd9gzLbvyNv2CaerbuLwBLn hiov2DGi1BTfMBaeXatLxBI9gBaerbd9wDYLwzYbItLDharqqtubsr 4rNCHbGeaGqkY=Mj0xXdbba91rFfpec8Eeeu0xXdbba9frFj0=OqFf ea0dXdd9vqaq=JfrVkFHe9pgea0dXdar=Jb9hs0dXdbPYxe9vr0=vr 0=vqpWqaaeaabiGaciaacaqabeaadaqaaqaaaOqaaiaadAgadaqada qaaiaadIhacaGG7aGaeqiUdehacaGLOaGaayzkaaGaeyypa0ZaaSaa aeaacqaH4oqCdaahaaWcbeqaaiaaiwdaaaaakeaacqaH4oqCdaahaa WcbeqaaiaaisdaaaGccqGHRaWkcaaIYaGaaGinaaaadaqadaqaaiaa igdacqGHRaWkcaWG4bWaaWbaaSqabeaacaaI0aaaaaGccaGLOaGaay zkaaGaamyzamaaCaaaleqabaGaeyOeI0IaaGPaVlabeI7aXjaaykW7 caWG4baaaOGaai4oaiaadIhacqGH+aGpcaaIWaGaaiilaiabeI7aXj abg6da+iaaicdaaaa@5A52@   (1.1)

F( x;θ )=1[ 1+ θ 4 x 4 +4 θ 3 x 3 +12 θ 2 x 2 +24θx θ 4 +24 ] e θx ;x>0,θ>0 MathType@MTEF@5@5@+= feaagKart1ev2aaatCvAUfeBSjuyZL2yd9gzLbvyNv2CaerbuLwBLn hiov2DGi1BTfMBaeXatLxBI9gBaerbd9wDYLwzYbItLDharqqtubsr 4rNCHbGeaGqkY=Mj0xXdbba91rFfpec8Eeeu0xXdbba9frFj0=OqFf ea0dXdd9vqaq=JfrVkFHe9pgea0dXdar=Jb9hs0dXdbPYxe9vr0=vr 0=vqpWqaaeaabiGaciaacaqabeaadaqaaqaaaOqaaiaadAeadaqada qaaiaadIhacaGG7aGaeqiUdehacaGLOaGaayzkaaGaeyypa0JaaGym aiabgkHiTmaadmaabaGaaGymaiabgUcaRmaalaaabaGaeqiUde3aaW baaSqabeaacaaI0aaaaOGaamiEamaaCaaaleqabaGaaGinaaaakiab gUcaRiaaisdacqaH4oqCdaahaaWcbeqaaiaaiodaaaGccaWG4bWaaW baaSqabeaacaaIZaaaaOGaey4kaSIaaGymaiaaikdacqaH4oqCdaah aaWcbeqaaiaaikdaaaGccaWG4bWaaWbaaSqabeaacaaIYaaaaOGaey 4kaSIaaGOmaiaaisdacqaH4oqCcaWG4baabaGaeqiUde3aaWbaaSqa beaacaaI0aaaaOGaey4kaSIaaGOmaiaaisdaaaaacaGLBbGaayzxaa GaamyzamaaCaaaleqabaGaeyOeI0IaeqiUdeNaamiEaaaakiaacUda caWG4bGaeyOpa4JaaGimaiaacYcacqaH4oqCcqGH+aGpcaaIWaaaaa@6B68@   (1.2)

Length- biased Suja distribution, power length-biased Suja distribution and weighted Suja distribution have been proposed and studied by Al-Omari and Alsmairan,2 Al-Omari et al.3 and Alsmairan et al.4 respectively. Todoka et al.5 have studied on the cdf of various modifications of Suja distributions and discussed their applications in the field of the analysis of computer- viruses’ propagation and debugging theory.

The main purpose of proposing an extended Suja distribution is to see the impact of additional parameter in the distribution over one parameter and other two-parameter distributions. Various descriptive measures, reliability properties and estimation parameters using both the method of moments and the method of maximum likelihood have been discussed. The applications and the goodness of fit of the distribution with two real lifetime datasets have been presented.

An extended Suja distribution

Taking the convex combination of exponential (θ) distribution and gamma (5,θ) distribution with mixing proportion p= α θ 4 α θ 4 +24 MathType@MTEF@5@5@+= feaagKart1ev2aaatCvAUfeBSjuyZL2yd9gzLbvyNv2CaerbuLwBLn hiov2DGi1BTfMBaeXatLxBI9gBaerbd9wDYLwzYbItLDharqqtubsr 4rNCHbGeaGqkY=Mj0xXdbba91rFfpec8Eeeu0xXdbba9frFj0=OqFf ea0dXdd9vqaq=JfrVkFHe9pgea0dXdar=Jb9hs0dXdbPYxe9vr0=vr 0=vqpWqaaeaabiGaciaacaqabeaadaqaaqaaaOqaaiaadchacqGH9a qpdaWcaaqaaiabeg7aHjabeI7aXnaaCaaaleqabaGaaGinaaaaaOqa aiabeg7aHjabeI7aXnaaCaaaleqabaGaaGinaaaakiabgUcaRiaaik dacaaI0aaaaaaa@4409@ , the pdf of extended Suja distribution can be expressed as

f( x;θ,α )= θ 5 α θ 4 +24 ( α+ x 4 ) e θx ;x>0,θ>0,α>0 MathType@MTEF@5@5@+= feaagKart1ev2aaatCvAUfeBSjuyZL2yd9gzLbvyNv2CaerbuLwBLn hiov2DGi1BTfMBaeXatLxBI9gBaerbd9wDYLwzYbItLDharqqtubsr 4rNCHbGeaGqkY=Mj0xXdbba91rFfpec8Eeeu0xXdbba9frFj0=OqFf ea0dXdd9vqaq=JfrVkFHe9pgea0dXdar=Jb9hs0dXdbPYxe9vr0=vr 0=vqpWqaaeaabiGaciaacaqabeaadaqaaqaaaOqaaiaadAgadaqada qaaiaadIhacaGG7aGaeqiUdeNaaiilaiabeg7aHbGaayjkaiaawMca aiabg2da9maalaaabaGaeqiUde3aaWbaaSqabeaacaaI1aaaaaGcba GaeqySdeMaeqiUde3aaWbaaSqabeaacaaI0aaaaOGaey4kaSIaaGOm aiaaisdaaaWaaeWaaeaacqaHXoqycqGHRaWkcaWG4bWaaWbaaSqabe aacaaI0aaaaaGccaGLOaGaayzkaaGaamyzamaaCaaaleqabaGaeyOe I0IaeqiUdeNaamiEaaaakiaacUdacaWG4bGaeyOpa4JaaGimaiaacY cacqaH4oqCcqGH+aGpcaaIWaGaaiilaiabeg7aHjabg6da+iaaicda aaa@601F@   (2.1)

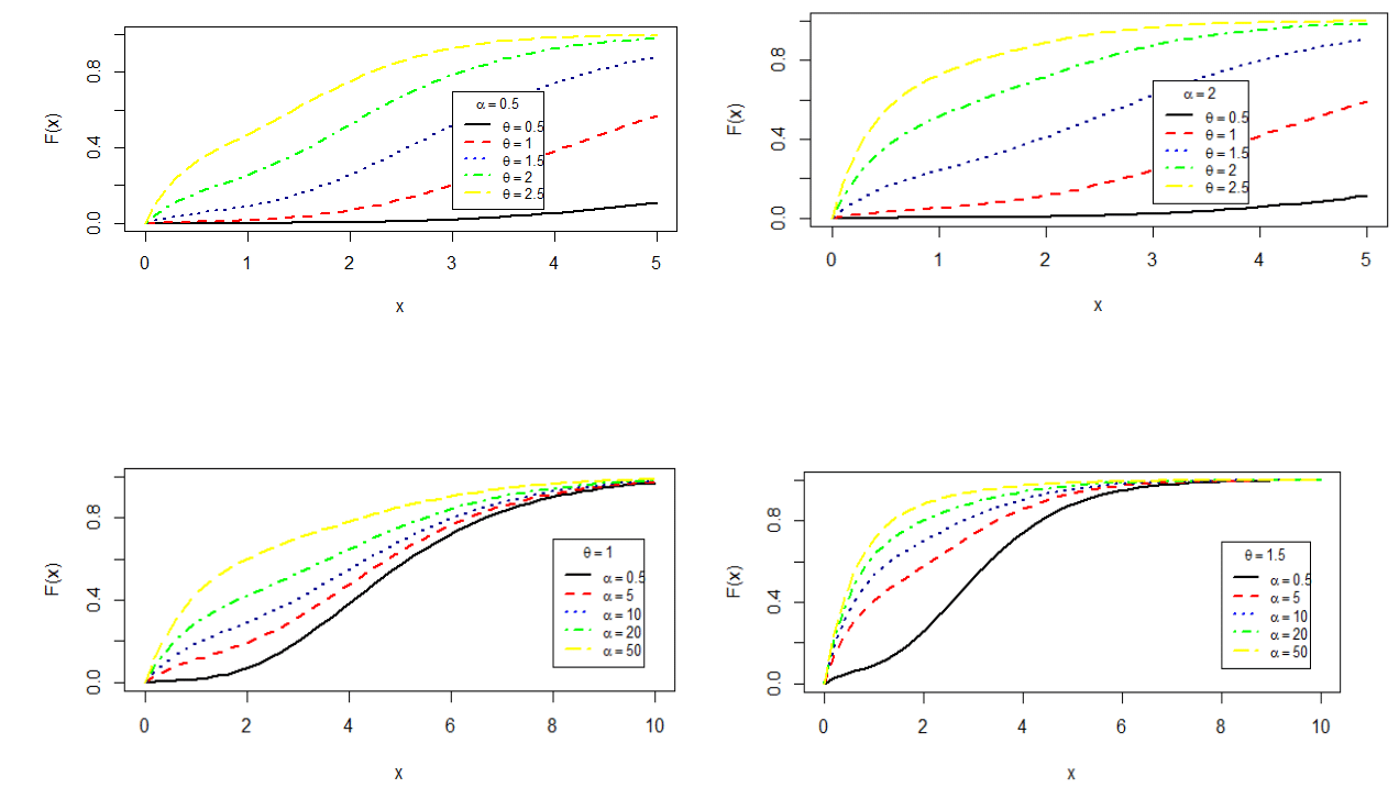
We would call this a two-parameter Suja distribution (TPSD). The corresponding cdf and survival function of TPSD are thus obtained as

F( x;θ,α )=1[ 1+ θ 4 x 4 +4 θ 3 x 3 +12 θ 2 x 2 +24θx α θ 4 +24 ] e θx ;x>0,θ>0,α>0 MathType@MTEF@5@5@+= feaagKart1ev2aaatCvAUfeBSjuyZL2yd9gzLbvyNv2CaerbuLwBLn hiov2DGi1BTfMBaeXatLxBI9gBaerbd9wDYLwzYbItLDharqqtubsr 4rNCHbGeaGqkY=Mj0xXdbba91rFfpec8Eeeu0xXdbba9frFj0=OqFf ea0dXdd9vqaq=JfrVkFHe9pgea0dXdar=Jb9hs0dXdbPYxe9vr0=vr 0=vqpWqaaeaabiGaciaacaqabeaadaqaaqaaaOqaaiaadAeadaqada qaaiaadIhacaGG7aGaeqiUdeNaaiilaiabeg7aHbGaayjkaiaawMca aiabg2da9iaaigdacqGHsisldaWadaqaaiaaigdacqGHRaWkdaWcaa qaaiabeI7aXnaaCaaaleqabaGaaGinaaaakiaadIhadaahaaWcbeqa aiaaisdaaaGccqGHRaWkcaaI0aGaeqiUde3aaWbaaSqabeaacaaIZa aaaOGaamiEamaaCaaaleqabaGaaG4maaaakiabgUcaRiaaigdacaaI YaGaeqiUde3aaWbaaSqabeaacaaIYaaaaOGaamiEamaaCaaaleqaba GaaGOmaaaakiabgUcaRiaaikdacaaI0aGaeqiUdeNaamiEaaqaaiab eg7aHjabeI7aXnaaCaaaleqabaGaaGinaaaakiabgUcaRiaaikdaca aI0aaaaaGaay5waiaaw2faaiaadwgadaahaaWcbeqaaiabgkHiTiab eI7aXjaadIhaaaGccaGG7aGaamiEaiabg6da+iaaicdacaGGSaGaeq iUdeNaeyOpa4JaaGimaiaacYcacqaHXoqycqGH+aGpcaaIWaaaaa@7367@   (2.2)

S( x;θ,α )=[ θ 4 x 4 +4 θ 3 x 3 +12 θ 2 x 2 +24θx+( α θ 4 +24 ) α θ 4 +24 ] e θx ;x>0,θ>0,α>0 MathType@MTEF@5@5@+= feaagKart1ev2aaatCvAUfeBSjuyZL2yd9gzLbvyNv2CaerbuLwBLn hiov2DGi1BTfMBaeXatLxBI9gBaerbd9wDYLwzYbItLDharqqtubsr 4rNCHbGeaGqkY=Mj0xXdbba91rFfpec8Eeeu0xXdbba9frFj0=OqFf ea0dXdd9vqaq=JfrVkFHe9pgea0dXdar=Jb9hs0dXdbPYxe9vr0=vr 0=vqpWqaaeaabiGaciaacaqabeaadaqaaqaaaOqaaiaadofadaqada qaaiaadIhacaGG7aGaeqiUdeNaaiilaiabeg7aHbGaayjkaiaawMca aiabg2da9maadmaabaWaaSaaaeaacqaH4oqCdaahaaWcbeqaaiaais daaaGccaWG4bWaaWbaaSqabeaacaaI0aaaaOGaey4kaSIaaGinaiab eI7aXnaaCaaaleqabaGaaG4maaaakiaadIhadaahaaWcbeqaaiaaio daaaGccqGHRaWkcaaIXaGaaGOmaiabeI7aXnaaCaaaleqabaGaaGOm aaaakiaadIhadaahaaWcbeqaaiaaikdaaaGccqGHRaWkcaaIYaGaaG inaiabeI7aXjaadIhacqGHRaWkdaqadaqaaiabeg7aHjabeI7aXnaa CaaaleqabaGaaGinaaaakiabgUcaRiaaikdacaaI0aaacaGLOaGaay zkaaaabaGaeqySdeMaeqiUde3aaWbaaSqabeaacaaI0aaaaOGaey4k aSIaaGOmaiaaisdaaaaacaGLBbGaayzxaaGaamyzamaaCaaaleqaba GaeyOeI0IaeqiUdeNaamiEaaaakiaacUdacaWG4bGaeyOpa4JaaGim aiaacYcacqaH4oqCcqGH+aGpcaaIWaGaaiilaiabeg7aHjabg6da+i aaicdaaaa@7940@ .

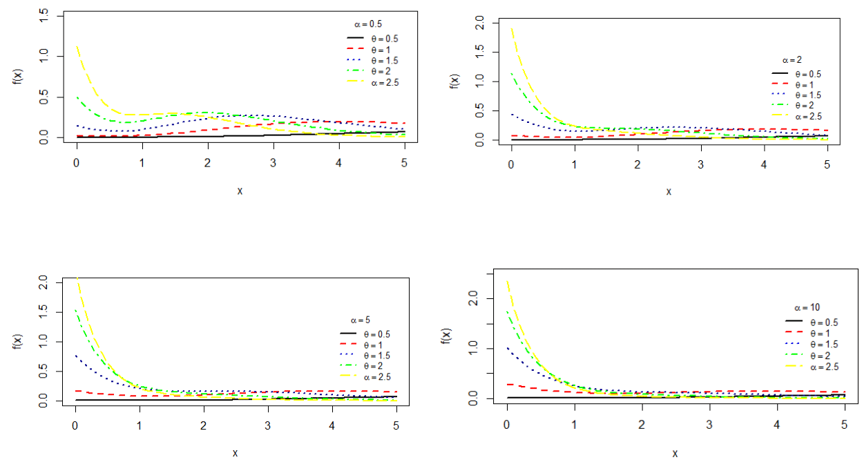
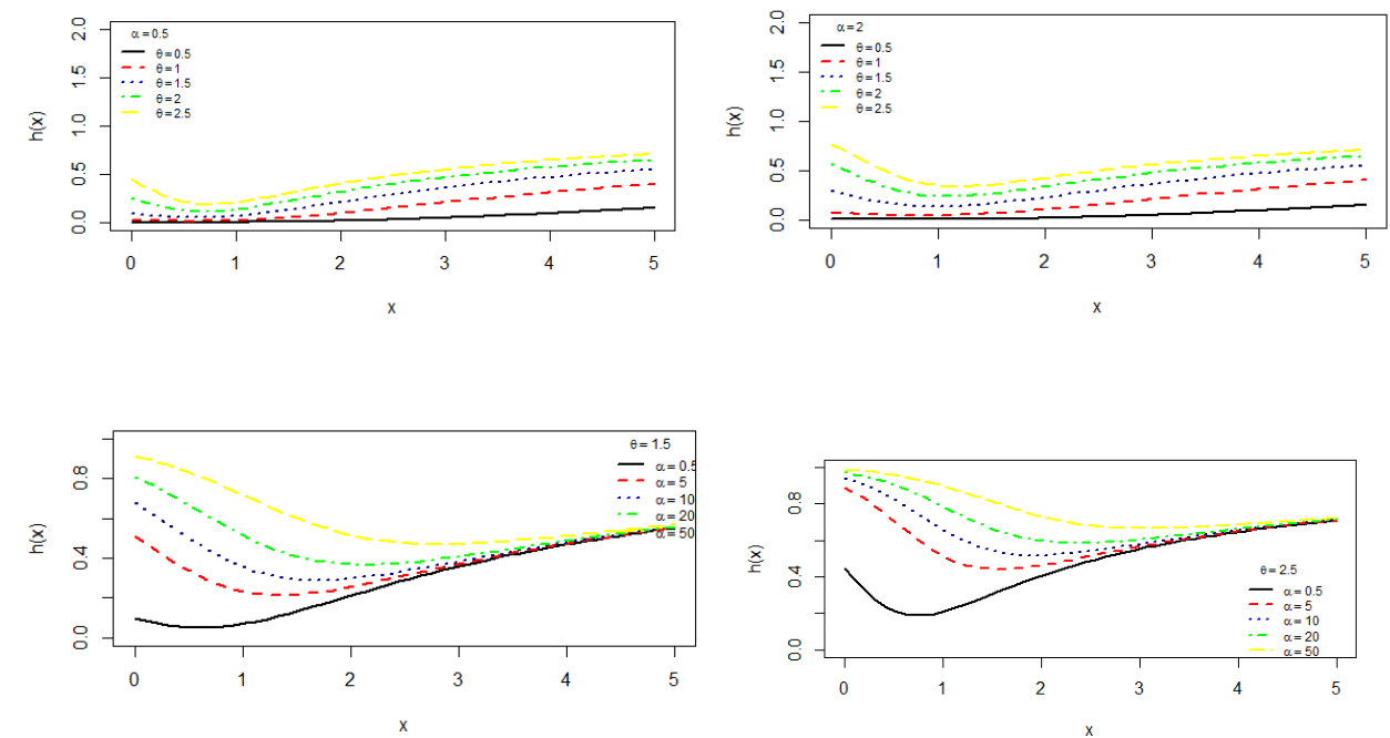
At α=1, TPSD reduces to Suja distribution. Also, for α=∞, TPSD reduces to exponential distribution. The pdf and the cdf of TPSD for varying values of parameters are shown in the Figures 1 & 2 respectively.

Figure 1 pdf of TPSD.

Figure 2 cdf of TPSD.

Measures based on moments

The rth moment about origin (raw moment) μ r MathType@MTEF@5@5@+= feaagKart1ev2aaatCvAUfeBSjuyZL2yd9gzLbvyNv2CaerbuLwBLn hiov2DGi1BTfMBaeXatLxBI9gBaerbd9wDYLwzYbItLDharqqtubsr 4rNCHbGeaGqkY=Mj0xXdbba91rFfpec8Eeeu0xXdbba9frFj0=OqFf ea0dXdd9vqaq=JfrVkFHe9pgea0dXdar=Jb9hs0dXdbPYxe9vr0=vr 0=vqpWqaaeaabiGaciaacaqabeaadaqaaqaaaOqaaiabeY7aTnaaBa aaleaacaWGYbaabeaakmaaCaaaleqabaGccWaGGBOmGikaaaaa@3D10@ of TPSD can be obtained as

μ r = r!{ α θ 4 +( r+1 )( r+2 )( r+3 )( r+4 ) } θ r ( α θ 4 +24 ) ;r=1,2,3,... MathType@MTEF@5@5@+= feaagKart1ev2aaatCvAUfeBSjuyZL2yd9gzLbvyNv2CaerbuLwBLn hiov2DGi1BTfMBaeXatLxBI9gBaerbd9wDYLwzYbItLDharqqtubsr 4rNCHbGeaGqkY=Mj0xXdbba91rFfpec8Eeeu0xXdbba9frFj0=OqFf ea0dXdd9vqaq=JfrVkFHe9pgea0dXdar=Jb9hs0dXdbPYxe9vr0=vr 0=vqpWqaaeaabiGaciaacaqabeaadaqaaqaaaOqaaiabeY7aTnaaBa aaleaacaWGYbaabeaakmaaCaaaleqabaGccWaGGBOmGikaaiabg2da 9maalaaabaGaamOCaiaacgcadaGadaqaaiabeg7aHjabeI7aXnaaCa aaleqabaGaaGinaaaakiabgUcaRmaabmaabaGaamOCaiabgUcaRiaa igdaaiaawIcacaGLPaaadaqadaqaaiaadkhacqGHRaWkcaaIYaaaca GLOaGaayzkaaWaaeWaaeaacaWGYbGaey4kaSIaaG4maaGaayjkaiaa wMcaamaabmaabaGaamOCaiabgUcaRiaaisdaaiaawIcacaGLPaaaai aawUhacaGL9baaaeaacqaH4oqCdaahaaWcbeqaaiaadkhaaaGcdaqa daqaaiabeg7aHjaaykW7cqaH4oqCdaahaaWcbeqaaiaaisdaaaGccq GHRaWkcaaIYaGaaGinaaGaayjkaiaawMcaaaaacaGG7aGaamOCaiab g2da9iaaigdacaGGSaGaaGOmaiaacYcacaaIZaGaaiilaiaac6caca GGUaGaaiOlaaaa@6D4D@

Thus first four raw moments of TPSD can be expressed as

μ 1 = α θ 4 +120 θ( α θ 4 +24 ) MathType@MTEF@5@5@+= feaagKart1ev2aaatCvAUfeBSjuyZL2yd9gzLbvyNv2CaerbuLwBLn hiov2DGi1BTfMBaeXatLxBI9gBaerbd9wDYLwzYbItLDharqqtubsr 4rNCHbGeaGqkY=Mj0xXdbba91rFfpec8Eeeu0xXdbba9frFj0=OqFf ea0dXdd9vqaq=JfrVkFHe9pgea0dXdar=Jb9hs0dXdbPYxe9vr0=vr 0=vqpWqaaeaabiGaciaacaqabeaadaqaaqaaaOqaaiabeY7aTnaaBa aaleaacaaIXaaabeaakmaaCaaaleqabaGccWaGGBOmGikaaiabg2da 9maalaaabaGaeqySdeMaeqiUde3aaWbaaSqabeaacaaI0aaaaOGaey 4kaSIaaGymaiaaikdacaaIWaaabaGaeqiUde3aaeWaaeaacqaHXoqy cqaH4oqCdaahaaWcbeqaaiaaisdaaaGccqGHRaWkcaaIYaGaaGinaa GaayjkaiaawMcaaaaaaaa@4F2C@ , μ 2 = 2( α θ 4 +360 ) θ 2 ( α θ 4 +24 ) MathType@MTEF@5@5@+= feaagKart1ev2aaatCvAUfeBSjuyZL2yd9gzLbvyNv2CaerbuLwBLn hiov2DGi1BTfMBaeXatLxBI9gBaerbd9wDYLwzYbItLDharqqtubsr 4rNCHbGeaGqkY=Mj0xXdbba91rFfpec8Eeeu0xXdbba9frFj0=OqFf ea0dXdd9vqaq=JfrVkFHe9pgea0dXdar=Jb9hs0dXdbPYxe9vr0=vr 0=vqpWqaaeaabiGaciaacaqabeaadaqaaqaaaOqaaiabeY7aTnaaBa aaleaacaaIYaaabeaakmaaCaaaleqabaGccWaGGBOmGikaaiabg2da 9maalaaabaGaaGOmamaabmaabaGaeqySdeMaeqiUde3aaWbaaSqabe aacaaI0aaaaOGaey4kaSIaaG4maiaaiAdacaaIWaaacaGLOaGaayzk aaaabaGaeqiUde3aaWbaaSqabeaacaaIYaaaaOWaaeWaaeaacqaHXo qycqaH4oqCdaahaaWcbeqaaiaaisdaaaGccqGHRaWkcaaIYaGaaGin aaGaayjkaiaawMcaaaaaaaa@526B@  , μ 3 = 6( α θ 4 +840 ) θ 3 ( α θ 4 +24 ) MathType@MTEF@5@5@+= feaagKart1ev2aaatCvAUfeBSjuyZL2yd9gzLbvyNv2CaerbuLwBLn hiov2DGi1BTfMBaeXatLxBI9gBaerbd9wDYLwzYbItLDharqqtubsr 4rNCHbGeaGqkY=Mj0xXdbba91rFfpec8Eeeu0xXdbba9frFj0=OqFf ea0dXdd9vqaq=JfrVkFHe9pgea0dXdar=Jb9hs0dXdbPYxe9vr0=vr 0=vqpWqaaeaabiGaciaacaqabeaadaqaaqaaaOqaaiabeY7aTnaaBa aaleaacaaIZaaabeaakmaaCaaaleqabaGccWaGGBOmGikaaiabg2da 9maalaaabaGaaGOnamaabmaabaGaeqySdeMaeqiUde3aaWbaaSqabe aacaaI0aaaaOGaey4kaSIaaGioaiaaisdacaaIWaaacaGLOaGaayzk aaaabaGaeqiUde3aaWbaaSqabeaacaaIZaaaaOWaaeWaaeaacqaHXo qycqaH4oqCdaahaaWcbeqaaiaaisdaaaGccqGHRaWkcaaIYaGaaGin aaGaayjkaiaawMcaaaaaaaa@5274@  and μ 4 = 24( α θ 4 +1680 ) θ 4 ( α θ 4 +24 ) MathType@MTEF@5@5@+= feaagKart1ev2aaatCvAUfeBSjuyZL2yd9gzLbvyNv2CaerbuLwBLn hiov2DGi1BTfMBaeXatLxBI9gBaerbd9wDYLwzYbItLDharqqtubsr 4rNCHbGeaGqkY=Mj0xXdbba91rFfpec8Eeeu0xXdbba9frFj0=OqFf ea0dXdd9vqaq=JfrVkFHe9pgea0dXdar=Jb9hs0dXdbPYxe9vr0=vr 0=vqpWqaaeaabiGaciaacaqabeaadaqaaqaaaOqaaiabeY7aTnaaBa aaleaacaaI0aaabeaakmaaCaaaleqabaGccWaGGBOmGikaaiabg2da 9maalaaabaGaaGOmaiaaisdadaqadaqaaiabeg7aHjabeI7aXnaaCa aaleqabaGaaGinaaaakiabgUcaRiaaigdacaaI2aGaaGioaiaaicda aiaawIcacaGLPaaaaeaacqaH4oqCdaahaaWcbeqaaiaaisdaaaGcda qadaqaaiabeg7aHjabeI7aXnaaCaaaleqabaGaaGinaaaakiabgUca RiaaikdacaaI0aaacaGLOaGaayzkaaaaaaaa@53ED@ .

The central moments of TPSD are thus obtained as

μ 2 = α 2 θ 8 +528α θ 4 +2880 θ 2 ( α θ 4 +24 ) 2 MathType@MTEF@5@5@+= feaagKart1ev2aaatCvAUfeBSjuyZL2yd9gzLbvyNv2CaerbuLwBLn hiov2DGi1BTfMBaeXatLxBI9gBaerbd9wDYLwzYbItLDharqqtubsr 4rNCHbGeaGqkY=Mj0xXdbba91rFfpec8Eeeu0xXdbba9frFj0=OqFf ea0dXdd9vqaq=JfrVkFHe9pgea0dXdar=Jb9hs0dXdbPYxe9vr0=vr 0=vqpWqaaeaabiGaciaacaqabeaadaqaaqaaaOqaaiabeY7aTnaaBa aaleaacaaIYaaabeaakiabg2da9maalaaabaGaeqySde2aaWbaaSqa beaacaaIYaaaaOGaeqiUde3aaWbaaSqabeaacaaI4aaaaOGaey4kaS IaaGynaiaaikdacaaI4aGaeqySdeMaeqiUde3aaWbaaSqabeaacaaI 0aaaaOGaey4kaSIaaGOmaiaaiIdacaaI4aGaaGimaaqaaiabeI7aXn aaCaaaleqabaGaaGOmaaaakmaabmaabaGaeqySdeMaeqiUde3aaWba aSqabeaacaaI0aaaaOGaey4kaSIaaGOmaiaaisdaaiaawIcacaGLPa aadaahaaWcbeqaaiaaikdaaaaaaaaa@5713@  

μ 3 = 2( α 3 θ 12 +1512 α 2 θ 8 +1728α θ 4 +69120 ) θ 3 ( α θ 4 +24 ) 3 MathType@MTEF@5@5@+= feaagKart1ev2aaatCvAUfeBSjuyZL2yd9gzLbvyNv2CaerbuLwBLn hiov2DGi1BTfMBaeXatLxBI9gBaerbd9wDYLwzYbItLDharqqtubsr 4rNCHbGeaGqkY=Mj0xXdbba91rFfpec8Eeeu0xXdbba9frFj0=OqFf ea0dXdd9vqaq=JfrVkFHe9pgea0dXdar=Jb9hs0dXdbPYxe9vr0=vr 0=vqpWqaaeaabiGaciaacaqabeaadaqaaqaaaOqaaiabeY7aTnaaBa aaleaacaaIZaaabeaakiabg2da9maalaaabaGaaGOmamaabmaabaGa eqySde2aaWbaaSqabeaacaaIZaaaaOGaeqiUde3aaWbaaSqabeaaca aIXaGaaGOmaaaakiabgUcaRiaaigdacaaI1aGaaGymaiaaikdacqaH XoqydaahaaWcbeqaaiaaikdaaaGccqaH4oqCdaahaaWcbeqaaiaaiI daaaGccqGHRaWkcaaIXaGaaG4naiaaikdacaaI4aGaeqySdeMaeqiU de3aaWbaaSqabeaacaaI0aaaaOGaey4kaSIaaGOnaiaaiMdacaaIXa GaaGOmaiaaicdaaiaawIcacaGLPaaaaeaacqaH4oqCdaahaaWcbeqa aiaaiodaaaGcdaqadaqaaiabeg7aHjabeI7aXnaaCaaaleqabaGaaG inaaaakiabgUcaRiaaikdacaaI0aaacaGLOaGaayzkaaWaaWbaaSqa beaacaaIZaaaaaaaaaa@649C@  

μ 4 = 9( α 4 θ 16 +2656 α 3 θ 12 +58752 α 2 θ 8 +1234944α θ 4 +3870720 ) θ 4 ( α θ 4 +24 ) 4 MathType@MTEF@5@5@+= feaagKart1ev2aaatCvAUfeBSjuyZL2yd9gzLbvyNv2CaerbuLwBLn hiov2DGi1BTfMBaeXatLxBI9gBaerbd9wDYLwzYbItLDharqqtubsr 4rNCHbGeaGqkY=Mj0xXdbba91rFfpec8Eeeu0xXdbba9frFj0=OqFf ea0dXdd9vqaq=JfrVkFHe9pgea0dXdar=Jb9hs0dXdbPYxe9vr0=vr 0=vqpWqaaeaabiGaciaacaqabeaadaqaaqaaaOqaaiabeY7aTnaaBa aaleaacaaI0aaabeaakiabg2da9maalaaabaGaaGyoamaabmaabaGa eqySde2aaWbaaSqabeaacaaI0aaaaOGaeqiUde3aaWbaaSqabeaaca aIXaGaaGOnaaaakiabgUcaRiaaikdacaaI2aGaaGynaiaaiAdacqaH XoqydaahaaWcbeqaaiaaiodaaaGccqaH4oqCdaahaaWcbeqaaiaaig dacaaIYaaaaOGaey4kaSIaaGynaiaaiIdacaaI3aGaaGynaiaaikda cqaHXoqydaahaaWcbeqaaiaaikdaaaGccqaH4oqCdaahaaWcbeqaai aaiIdaaaGccqGHRaWkcaaIXaGaaGOmaiaaiodacaaI0aGaaGyoaiaa isdacaaI0aGaeqySdeMaeqiUde3aaWbaaSqabeaacaaI0aaaaOGaey 4kaSIaaG4maiaaiIdacaaI3aGaaGimaiaaiEdacaaIYaGaaGimaaGa ayjkaiaawMcaaaqaaiabeI7aXnaaCaaaleqabaGaaGinaaaakmaabm aabaGaeqySdeMaeqiUde3aaWbaaSqabeaacaaI0aaaaOGaey4kaSIa aGOmaiaaisdaaiaawIcacaGLPaaadaahaaWcbeqaaiaaisdaaaaaaa aa@72FF@  

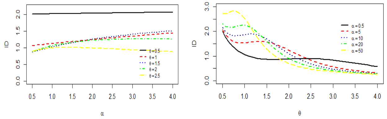
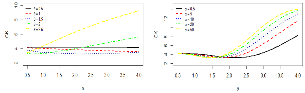
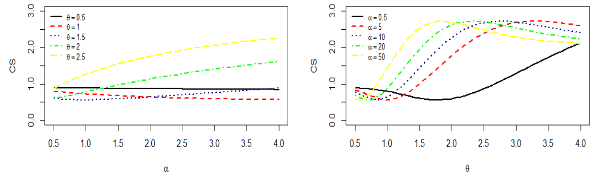
The descriptive measures based on moments of TPSD such as coefficient of variation (C.V), coefficient of skewness ( β 1 ) MathType@MTEF@5@5@+= feaagKart1ev2aaatCvAUfeBSjuyZL2yd9gzLbvyNv2CaerbuLwBLn hiov2DGi1BTfMBaeXatLxBI9gBaerbd9wDYLwzYbItLDharqqtubsr 4rNCHbGeaGqkY=Mj0xXdbba91rFfpec8Eeeu0xXdbba9frFj0=OqFf ea0dXdd9vqaq=JfrVkFHe9pgea0dXdar=Jb9hs0dXdbPYxe9vr0=vr 0=vqpWqaaeaabiGaciaacaqabeaadaqaaqaaaOqaamaabmaabaWaaO aaaeaacqaHYoGydaWgaaWcbaGaaGymaaqabaaabeaaaOGaayjkaiaa wMcaaaaa@3B39@ , coefficient of kurtosis ( β 2 ) MathType@MTEF@5@5@+= feaagKart1ev2aaatCvAUfeBSjuyZL2yd9gzLbvyNv2CaerbuLwBLn hiov2DGi1BTfMBaeXatLxBI9gBaerbd9wDYLwzYbItLDharqqtubsr 4rNCHbGeaGqkY=Mj0xXdbba91rFfpec8Eeeu0xXdbba9frFj0=OqFf ea0dXdd9vqaq=JfrVkFHe9pgea0dXdar=Jb9hs0dXdbPYxe9vr0=vr 0=vqpWqaaeaabiGaciaacaqabeaadaqaaqaaaOqaamaabmaabaGaeq OSdi2aaSbaaSqaaiaaikdaaeqaaaGccaGLOaGaayzkaaaaaa@3B2A@  and index of dispersion ( γ ) MathType@MTEF@5@5@+= feaagKart1ev2aaatCvAUfeBSjuyZL2yd9gzLbvyNv2CaerbuLwBLn hiov2DGi1BTfMBaeXatLxBI9gBaerbd9wDYLwzYbItLDharqqtubsr 4rNCHbGeaGqkY=Mj0xXdbba91rFfpec8Eeeu0xXdbba9frFj0=OqFf ea0dXdd9vqaq=JfrVkFHe9pgea0dXdar=Jb9hs0dXdbPYxe9vr0=vr 0=vqpWqaaeaabiGaciaacaqabeaadaqaaqaaaOqaamaabmaabaGaeq 4SdCgacaGLOaGaayzkaaaaaa@3A3E@  are obtained as

C.V.= μ 2 μ 1 = α 2 θ 8 +528α θ 4 +2880 α θ 4 +120 MathType@MTEF@5@5@+= feaagKart1ev2aaatCvAUfeBSjuyZL2yd9gzLbvyNv2CaerbuLwBLn hiov2DGi1BTfMBaeXatLxBI9gBaerbd9wDYLwzYbItLDharqqtubsr 4rNCHbGeaGqkY=Mj0xXdbba91rFfpec8Eeeu0xXdbba9frFj0=OqFf ea0dXdd9vqaq=JfrVkFHe9pgea0dXdar=Jb9hs0dXdbPYxe9vr0=vr 0=vqpWqaaeaabiGaciaacaqabeaadaqaaqaaaOqaaiaadoeacaGGUa GaamOvaiaac6cacqGH9aqpdaWcaaqaamaakaaabaGaeqiVd02aaSba aSqaaiaaikdaaeqaaaqabaaakeaacqaH8oqBdaWgaaWcbaGaaGymaa qabaGcdaahaaWcbeqaaOGamai4gkdiIcaaaaGaeyypa0ZaaSaaaeaa daGcaaqaaiabeg7aHnaaCaaaleqabaGaaGOmaaaakiabeI7aXnaaCa aaleqabaGaaGioaaaakiabgUcaRiaaiwdacaaIYaGaaGioaiabeg7a HjabeI7aXnaaCaaaleqabaGaaGinaaaakiabgUcaRiaaikdacaaI4a GaaGioaiaaicdaaSqabaaakeaacqaHXoqycqaH4oqCdaahaaWcbeqa aiaaisdaaaGccqGHRaWkcaaIXaGaaGOmaiaaicdaaaaaaa@5CC7@  

β 1 = μ 3 ( μ 2 ) 3/2 = 2( α 3 θ 12 +1512 α 2 θ 8 +1728α θ 4 +69120 ) ( α 2 θ 8 +528α θ 4 +2880 ) 3/2 MathType@MTEF@5@5@+= feaagKart1ev2aaatCvAUfeBSjuyZL2yd9gzLbvyNv2CaerbuLwBLn hiov2DGi1BTfMBaeXatLxBI9gBaerbd9wDYLwzYbItLDharqqtubsr 4rNCHbGeaGqkY=Mj0xXdbba91rFfpec8Eeeu0xXdbba9frFj0=OqFf ea0dXdd9vqaq=JfrVkFHe9pgea0dXdar=Jb9hs0dXdbPYxe9vr0=vr 0=vqpWqaaeaabiGaciaacaqabeaadaqaaqaaaOqaamaakaaabaGaeq OSdi2aaSbaaSqaaiaaigdaaeqaaaqabaGccqGH9aqpdaWcaaqaaiab eY7aTnaaBaaaleaacaaIZaaabeaaaOqaamaabmaabaGaeqiVd02aaS baaSqaaiaaikdaaeqaaaGccaGLOaGaayzkaaWaaWbaaSqabeaadaWc gaqaaiaaiodaaeaacaaIYaaaaaaaaaGccqGH9aqpdaWcaaqaaiaaik dadaqadaqaaiabeg7aHnaaCaaaleqabaGaaG4maaaakiabeI7aXnaa CaaaleqabaGaaGymaiaaikdaaaGccqGHRaWkcaaIXaGaaGynaiaaig dacaaIYaGaeqySde2aaWbaaSqabeaacaaIYaaaaOGaeqiUde3aaWba aSqabeaacaaI4aaaaOGaey4kaSIaaGymaiaaiEdacaaIYaGaaGioai abeg7aHjabeI7aXnaaCaaaleqabaGaaGinaaaakiabgUcaRiaaiAda caaI5aGaaGymaiaaikdacaaIWaaacaGLOaGaayzkaaaabaWaaeWaae aacqaHXoqydaahaaWcbeqaaiaaikdaaaGccqaH4oqCdaahaaWcbeqa aiaaiIdaaaGccqGHRaWkcaaI1aGaaGOmaiaaiIdacqaHXoqycqaH4o qCdaahaaWcbeqaaiaaisdaaaGccqGHRaWkcaaIYaGaaGioaiaaiIda caaIWaaacaGLOaGaayzkaaWaaWbaaSqabeaadaWcgaqaaiaaiodaae aacaaIYaaaaaaaaaaaaa@7653@  

β 2 = μ 4 μ 2 2 = 9( α 4 θ 16 +2656 α 3 θ 12 +58752 α 2 θ 8 +1234944α θ 4 +3870720 ) ( α 2 θ 8 +528α θ 4 +2880 ) 2 MathType@MTEF@5@5@+= feaagKart1ev2aaatCvAUfeBSjuyZL2yd9gzLbvyNv2CaerbuLwBLn hiov2DGi1BTfMBaeXatLxBI9gBaerbd9wDYLwzYbItLDharqqtubsr 4rNCHbGeaGqkY=Mj0xXdbba91rFfpec8Eeeu0xXdbba9frFj0=OqFf ea0dXdd9vqaq=JfrVkFHe9pgea0dXdar=Jb9hs0dXdbPYxe9vr0=vr 0=vqpWqaaeaabiGaciaacaqabeaadaqaaqaaaOqaaiabek7aInaaBa aaleaacaaIYaaabeaakiabg2da9maalaaabaGaeqiVd02aaSbaaSqa aiaaisdaaeqaaaGcbaGaeqiVd02aaSbaaSqaaiaaikdaaeqaaOWaaW baaSqabeaacaaIYaaaaaaakiabg2da9maalaaabaGaaGyoamaabmaa baGaeqySde2aaWbaaSqabeaacaaI0aaaaOGaeqiUde3aaWbaaSqabe aacaaIXaGaaGOnaaaakiabgUcaRiaaikdacaaI2aGaaGynaiaaiAda cqaHXoqydaahaaWcbeqaaiaaiodaaaGccqaH4oqCdaahaaWcbeqaai aaigdacaaIYaaaaOGaey4kaSIaaGynaiaaiIdacaaI3aGaaGynaiaa ikdacqaHXoqydaahaaWcbeqaaiaaikdaaaGccqaH4oqCdaahaaWcbe qaaiaaiIdaaaGccqGHRaWkcaaIXaGaaGOmaiaaiodacaaI0aGaaGyo aiaaisdacaaI0aGaeqySdeMaeqiUde3aaWbaaSqabeaacaaI0aaaaO Gaey4kaSIaaG4maiaaiIdacaaI3aGaaGimaiaaiEdacaaIYaGaaGim aaGaayjkaiaawMcaaaqaamaabmaabaGaeqySde2aaWbaaSqabeaaca aIYaaaaOGaeqiUde3aaWbaaSqabeaacaaI4aaaaOGaey4kaSIaaGyn aiaaikdacaaI4aGaeqySdeMaeqiUde3aaWbaaSqabeaacaaI0aaaaO Gaey4kaSIaaGOmaiaaiIdacaaI4aGaaGimaaGaayjkaiaawMcaamaa CaaaleqabaGaaGOmaaaaaaaaaa@8176@  

γ= μ 2 μ 1 = α 2 θ 8 +528α θ 4 +2880 θ( α θ 4 +24 )( α θ 4 +120 ) MathType@MTEF@5@5@+= feaagKart1ev2aaatCvAUfeBSjuyZL2yd9gzLbvyNv2CaerbuLwBLn hiov2DGi1BTfMBaeXatLxBI9gBaerbd9wDYLwzYbItLDharqqtubsr 4rNCHbGeaGqkY=Mj0xXdbba91rFfpec8Eeeu0xXdbba9frFj0=OqFf ea0dXdd9vqaq=JfrVkFHe9pgea0dXdar=Jb9hs0dXdbPYxe9vr0=vr 0=vqpWqaaeaabiGaciaacaqabeaadaqaaqaaaOqaaiabeo7aNjabg2 da9maalaaabaGaeqiVd02aaSbaaSqaaiaaikdaaeqaaaGcbaGaeqiV d02aaSbaaSqaaiaaigdaaeqaaOWaaWbaaSqabeaakiadacUHYaIOaa aaaiabg2da9maalaaabaGaeqySde2aaWbaaSqabeaacaaIYaaaaOGa eqiUde3aaWbaaSqabeaacaaI4aaaaOGaey4kaSIaaGynaiaaikdaca aI4aGaeqySdeMaeqiUde3aaWbaaSqabeaacaaI0aaaaOGaey4kaSIa aGOmaiaaiIdacaaI4aGaaGimaaqaaiabeI7aXnaabmaabaGaeqySde MaeqiUde3aaWbaaSqabeaacaaI0aaaaOGaey4kaSIaaGOmaiaaisda aiaawIcacaGLPaaadaqadaqaaiabeg7aHjabeI7aXnaaCaaaleqaba GaaGinaaaakiabgUcaRiaaigdacaaIYaGaaGimaaGaayjkaiaawMca aaaaaaa@66A0@  

The behaviors of these descriptive measures are shown in the Figures 3-6 respectively.

Figure 3 Coefficient of variation of TPSD.

Figure 4 Coefficient of skewness of TPSD.

Figure 5 Coefficient of kurtosis of TPSD.

Figure 6 Index of dispersion of TPSD.

Reliability measures

The hazard rate function h(x) and the mean residual life function m(x) of a random variable X having pdf f(x) and cdf F(x) are defined as

h( x )= lim Δx0 P( x<X<x+Δx|X>x ) Δx = f( x ) 1F( x ) MathType@MTEF@5@5@+= feaagKart1ev2aaatCvAUfeBSjuyZL2yd9gzLbvyNv2CaerbuLwBLn hiov2DGi1BTfMBaeXatLxBI9gBaerbd9wDYLwzYbItLDharqqtubsr 4rNCHbGeaGqkY=Mj0xXdbba91rFfpec8Eeeu0xXdbba9frFj0=OqFf ea0dXdd9vqaq=JfrVkFHe9pgea0dXdar=Jb9hs0dXdbPYxe9vr0=vr 0=vqpWqaaeaabiGaciaacaqabeaadaqaaqaaaOqaaiaadIgadaqada qaaiaadIhaaiaawIcacaGLPaaacqGH9aqpdaWfqaqaaiGacYgacaGG PbGaaiyBaaWcbaGaeyiLdqKaamiEaiabgkziUkaaicdaaeqaaOWaaS aaaeaacaWGqbWaaeWaaeaadaabcaqaaiaadIhacqGH8aapcaWGybGa eyipaWJaamiEaiabgUcaRiabgs5aejaadIhaaiaawIa7aiaadIfacq GH+aGpcaWG4baacaGLOaGaayzkaaaabaGaeyiLdqKaamiEaaaacqGH 9aqpdaWcaaqaaiaadAgadaqadaqaaiaadIhaaiaawIcacaGLPaaaae aacaaIXaGaeyOeI0IaamOramaabmaabaGaamiEaaGaayjkaiaawMca aaaaaaa@5E94@  and

 m( x )=E[ Xx|X>x ]= 1 1F( x ) x [ 1F( t ) ]dt = 1 S( x ) x tf( t ) dtx MathType@MTEF@5@5@+= feaagKart1ev2aaatCvAUfeBSjuyZL2yd9gzLbvyNv2CaerbuLwBLn hiov2DGi1BTfMBaeXatLxBI9gBaerbd9wDYLwzYbItLDharqqtubsr 4rNCHbGeaGqkY=Mj0xXdbba91rFfpec8Eeeu0xXdbba9frFj0=OqFf ea0dXdd9vqaq=JfrVkFHe9pgea0dXdar=Jb9hs0dXdbPYxe9vr0=vr 0=vqpWqaaeaabiGaciaacaqabeaadaqaaqaaaOqaaiaabccacaWGTb WaaeWaaeaacaWG4baacaGLOaGaayzkaaGaeyypa0Jaamyramaadmaa baWaaqGaaeaacaWGybGaeyOeI0IaamiEaaGaayjcSdGaamiwaiabg6 da+iaadIhaaiaawUfacaGLDbaacqGH9aqpdaWcaaqaaiaaigdaaeaa caaIXaGaeyOeI0IaamOramaabmaabaGaamiEaaGaayjkaiaawMcaaa aadaWdXbqaamaadmaabaGaaGymaiabgkHiTiaadAeadaqadaqaaiaa dshaaiaawIcacaGLPaaaaiaawUfacaGLDbaacaWGKbGaamiDaaWcba GaamiEaaqaaiabg6HiLcqdcqGHRiI8aOGaeyypa0ZaaSaaaeaacaaI XaaabaGaam4uamaabmaabaGaamiEaaGaayjkaiaawMcaaaaadaWdXa qaaiaadshacaWGMbWaaeWaaeaacaWG0baacaGLOaGaayzkaaaaleaa caWG4baabaGaeyOhIukaniabgUIiYdGccaWGKbGaamiDaiabgkHiTi aadIhaaaa@6CA0@ .

Thus h(x) and m(x) of the TPSD are obtained as

h( x )= θ 4 ( α+ x 4 ) θ 4 x 4 +4 θ 3 x 3 +12 θ 2 x 2 +24θx+( α θ 4 +24 ) MathType@MTEF@5@5@+= feaagKart1ev2aaatCvAUfeBSjuyZL2yd9gzLbvyNv2CaerbuLwBLn hiov2DGi1BTfMBaeXatLxBI9gBaerbd9wDYLwzYbItLDharqqtubsr 4rNCHbGeaGqkY=Mj0xXdbba91rFfpec8Eeeu0xXdbba9frFj0=OqFf ea0dXdd9vqaq=JfrVkFHe9pgea0dXdar=Jb9hs0dXdbPYxe9vr0=vr 0=vqpWqaaeaabiGaciaacaqabeaadaqaaqaaaOqaaiaadIgadaqada qaaiaadIhaaiaawIcacaGLPaaacqGH9aqpdaWcaaqaaiabeI7aXnaa CaaaleqabaGaaGinaaaakmaabmaabaGaeqySdeMaey4kaSIaamiEam aaCaaaleqabaGaaGinaaaaaOGaayjkaiaawMcaaaqaaiabeI7aXnaa CaaaleqabaGaaGinaaaakiaadIhadaahaaWcbeqaaiaaisdaaaGccq GHRaWkcaaI0aGaeqiUde3aaWbaaSqabeaacaaIZaaaaOGaamiEamaa CaaaleqabaGaaG4maaaakiabgUcaRiaaigdacaaIYaGaeqiUde3aaW baaSqabeaacaaIYaaaaOGaamiEamaaCaaaleqabaGaaGOmaaaakiab gUcaRiaaikdacaaI0aGaeqiUdeNaamiEaiabgUcaRmaabmaabaGaeq ySdeMaeqiUde3aaWbaaSqabeaacaaI0aaaaOGaey4kaSIaaGOmaiaa isdaaiaawIcacaGLPaaaaaaaaa@6428@  

 and m( x )= θ 4 x 4 +8 θ 3 x 3 +36 θ 2 x 2 +96θx+( α θ 4 +120 ) θ[ θ 4 x 4 +4 θ 3 x 3 +12 θ 2 x 2 +24θx+( α θ 4 +24 ) ] MathType@MTEF@5@5@+= feaagKart1ev2aaatCvAUfeBSjuyZL2yd9gzLbvyNv2CaerbuLwBLn hiov2DGi1BTfMBaeXatLxBI9gBaerbd9wDYLwzYbItLDharqqtubsr 4rNCHbGeaGqkY=Mj0xXdbba91rFfpec8Eeeu0xXdbba9frFj0=OqFf ea0dXdd9vqaq=JfrVkFHe9pgea0dXdar=Jb9hs0dXdbPYxe9vr0=vr 0=vqpWqaaeaabiGaciaacaqabeaadaqaaqaaaOqaaiaad2gadaqada qaaiaadIhaaiaawIcacaGLPaaacqGH9aqpdaWcaaqaaiabeI7aXnaa CaaaleqabaGaaGinaaaakiaadIhadaahaaWcbeqaaiaaisdaaaGccq GHRaWkcaaI4aGaeqiUde3aaWbaaSqabeaacaaIZaaaaOGaamiEamaa CaaaleqabaGaaG4maaaakiabgUcaRiaaiodacaaI2aGaeqiUde3aaW baaSqabeaacaaIYaaaaOGaamiEamaaCaaaleqabaGaaGOmaaaakiab gUcaRiaaiMdacaaI2aGaeqiUdeNaamiEaiabgUcaRmaabmaabaGaeq ySdeMaeqiUde3aaWbaaSqabeaacaaI0aaaaOGaey4kaSIaaGymaiaa ikdacaaIWaaacaGLOaGaayzkaaaabaGaeqiUde3aamWaaeaacqaH4o qCdaahaaWcbeqaaiaaisdaaaGccaWG4bWaaWbaaSqabeaacaaI0aaa aOGaey4kaSIaaGinaiabeI7aXnaaCaaaleqabaGaaG4maaaakiaadI hadaahaaWcbeqaaiaaiodaaaGccqGHRaWkcaaIXaGaaGOmaiabeI7a XnaaCaaaleqabaGaaGOmaaaakiaadIhadaahaaWcbeqaaiaaikdaaa GccqGHRaWkcaaIYaGaaGinaiabeI7aXjaadIhacqGHRaWkdaqadaqa aiabeg7aHjabeI7aXnaaCaaaleqabaGaaGinaaaakiabgUcaRiaaik dacaaI0aaacaGLOaGaayzkaaaacaGLBbGaayzxaaaaaaaa@7FE2@ .

The h(x) and m(x) of TPSD are shown in Figures 7 & 8 respectively.

Figure 7 Hazard rate function of TPSD.

Figure 8 Mean residual life function of TPSD.

Mean deviations

The mean deviation about the mean and the mean deviation about the median are defined as

δ 1 ( X )= 0 | xμ | f( x )dx=2μF( μ )2 0 μ x f( x )dx MathType@MTEF@5@5@+= feaagKart1ev2aaatCvAUfeBSjuyZL2yd9gzLbvyNv2CaerbuLwBLn hiov2DGi1BTfMBaeXatLxBI9gBaerbd9wDYLwzYbItLDharqqtubsr 4rNCHbGeaGqkY=Mj0xXdbba91rFfpec8Eeeu0xXdbba9frFj0=OqFf ea0dXdd9vqaq=JfrVkFHe9pgea0dXdar=Jb9hs0dXdbPYxe9vr0=vr 0=vqpWqaaeaabiGaciaacaqabeaadaqaaqaaaOqaaiabes7aKnaaBa aaleaacaaIXaaabeaakmaabmaabaGaamiwaaGaayjkaiaawMcaaiab g2da9maapehabaWaaqWaaeaacaWG4bGaeyOeI0IaeqiVd0gacaGLhW UaayjcSdaaleaacaaIWaaabaGaeyOhIukaniabgUIiYdGccaWGMbWa aeWaaeaacaWG4baacaGLOaGaayzkaaGaamizaiaadIhacqGH9aqpca aIYaGaeqiVd0MaamOramaabmaabaGaeqiVd0gacaGLOaGaayzkaaGa eyOeI0IaaGOmamaapehabaGaamiEaaWcbaGaaGimaaqaaiabeY7aTb qdcqGHRiI8aOGaamOzamaabmaabaGaamiEaaGaayjkaiaawMcaaiaa dsgacaWG4baaaa@6229@  

and δ 2 ( X )= 0 | xM | f( x )dx=μ2 0 M x f( x )dx MathType@MTEF@5@5@+= feaagKart1ev2aaatCvAUfeBSjuyZL2yd9gzLbvyNv2CaerbuLwBLn hiov2DGi1BTfMBaeXatLxBI9gBaerbd9wDYLwzYbItLDharqqtubsr 4rNCHbGeaGqkY=Mj0xXdbba91rFfpec8Eeeu0xXdbba9frFj0=OqFf ea0dXdd9vqaq=JfrVkFHe9pgea0dXdar=Jb9hs0dXdbPYxe9vr0=vr 0=vqpWqaaeaabiGaciaacaqabeaadaqaaqaaaOqaaiabes7aKnaaBa aaleaacaaIYaaabeaakmaabmaabaGaamiwaaGaayjkaiaawMcaaiab g2da9maapehabaWaaqWaaeaacaWG4bGaeyOeI0IaamytaaGaay5bSl aawIa7aaWcbaGaaGimaaqaaiabg6HiLcqdcqGHRiI8aOGaamOzamaa bmaabaGaamiEaaGaayjkaiaawMcaaiaadsgacaWG4bGaeyypa0Jaeq iVd0MaeyOeI0IaaGOmamaapehabaGaamiEaiaaykW7aSqaaiaaicda aeaacaWGnbaaniabgUIiYdGccaWGMbWaaeWaaeaacaWG4baacaGLOa GaayzkaaGaamizaiaadIhaaaa@5D27@ , respectively,

where μ=E( X ) MathType@MTEF@5@5@+= feaagKart1ev2aaatCvAUfeBSjuyZL2yd9gzLbvyNv2CaerbuLwBLn hiov2DGi1BTfMBaeXatLxBI9gBaerbd9wDYLwzYbItLDharqqtubsr 4rNCHbGeaGqkY=Mj0xXdbba91rFfpec8Eeeu0xXdbba9frFj0=OqFf ea0dXdd9vqaq=JfrVkFHe9pgea0dXdar=Jb9hs0dXdbPYxe9vr0=vr 0=vqpWqaaeaabiGaciaacaqabeaadaqaaqaaaOqaaiabeY7aTjabg2 da9iaadweadaqadaqaaiaadIfaaiaawIcacaGLPaaaaaa@3CFA@  and M=Median ( X ) MathType@MTEF@5@5@+= feaagKart1ev2aaatCvAUfeBSjuyZL2yd9gzLbvyNv2CaerbuLwBLn hiov2DGi1BTfMBaeXatLxBI9gBaerbd9wDYLwzYbItLDharqqtubsr 4rNCHbGeaGqkY=Mj0xXdbba91rFfpec8Eeeu0xXdbba9frFj0=OqFf ea0dXdd9vqaq=JfrVkFHe9pgea0dXdar=Jb9hs0dXdbPYxe9vr0=vr 0=vqpWqaaeaabiGaciaacaqabeaadaqaaqaaaOqaaiaad2eacqGH9a qpcaqGnbGaaeyzaiaabsgacaqGPbGaaeyyaiaab6gacaqGGaWaaeWa aeaacaWGybaacaGLOaGaayzkaaaaaa@414F@ .

We have

0 μ x f( x;θ,α )dx=μ { θ 5 μ 5 +5 θ 4 μ 4 +20 θ 3 μ 3 +60 θ 2 μ 2 +( α θ 4 +120 )θμ+( α θ 4 +120 ) } e θμ θ( α θ 4 +24 ) MathType@MTEF@5@5@+= feaagKart1ev2aaatCvAUfeBSjuyZL2yd9gzLbvyNv2CaerbuLwBLn hiov2DGi1BTfMBaeXatLxBI9gBaerbd9wDYLwzYbItLDharqqtubsr 4rNCHbGeaGqkY=Mj0xXdbba91rFfpec8Eeeu0xXdbba9frFj0=OqFf ea0dXdd9vqaq=JfrVkFHe9pgea0dXdar=Jb9hs0dXdbPYxe9vr0=vr 0=vqpWqaaeaabiGaciaacaqabeaadaqaaqaaaOqaamaapehabaGaam iEaaWcbaGaaGimaaqaaiabeY7aTbqdcqGHRiI8aOGaamOzamaabmaa baGaamiEaiaacUdacqaH4oqCcaGGSaGaeqySdegacaGLOaGaayzkaa GaamizaiaadIhacqGH9aqpcqaH8oqBcqGHsisldaWcaaqaamaacmaa baGaeqiUde3aaWbaaSqabeaacaaI1aaaaOGaeqiVd02aaWbaaSqabe aacaaI1aaaaOGaey4kaSIaaGynaiabeI7aXnaaCaaaleqabaGaaGin aaaakiabeY7aTnaaCaaaleqabaGaaGinaaaakiabgUcaRiaaikdaca aIWaGaeqiUde3aaWbaaSqabeaacaaIZaaaaOGaeqiVd02aaWbaaSqa beaacaaIZaaaaOGaey4kaSIaaGOnaiaaicdacqaH4oqCdaahaaWcbe qaaiaaikdaaaGccqaH8oqBdaahaaWcbeqaaiaaikdaaaGccqGHRaWk daqadaqaaiabeg7aHjabeI7aXnaaCaaaleqabaGaaGinaaaakiabgU caRiaaigdacaaIYaGaaGimaaGaayjkaiaawMcaaiabeI7aXjabeY7a TjabgUcaRmaabmaabaGaeqySdeMaeqiUde3aaWbaaSqabeaacaaI0a aaaOGaey4kaSIaaGymaiaaikdacaaIWaaacaGLOaGaayzkaaaacaGL 7bGaayzFaaGaamyzamaaCaaaleqabaGaeyOeI0IaeqiUdeNaeqiVd0 gaaaGcbaGaeqiUde3aaeWaaeaacqaHXoqycqaH4oqCdaahaaWcbeqa aiaaisdaaaGccqGHRaWkcaaIYaGaaGinaaGaayjkaiaawMcaaaaaaa a@8EF7@  

0 M x f( x;θ,α )dx=μ { θ 5 M 5 +5 θ 4 M 4 +20 θ 3 M 3 +60 θ 2 M 2 +( α θ 4 +120 )θM+( α θ 4 +120 ) } e θM θ( α θ 4 +24 ) MathType@MTEF@5@5@+= feaagKart1ev2aaatCvAUfeBSjuyZL2yd9gzLbvyNv2CaerbuLwBLn hiov2DGi1BTfMBaeXatLxBI9gBaerbd9wDYLwzYbItLDharqqtubsr 4rNCHbGeaGqkY=Mj0xXdbba91rFfpec8Eeeu0xXdbba9frFj0=OqFf ea0dXdd9vqaq=JfrVkFHe9pgea0dXdar=Jb9hs0dXdbPYxe9vr0=vr 0=vqpWqaaeaabiGaciaacaqabeaadaqaaqaaaOqaamaapehabaGaam iEaiaaykW7aSqaaiaaicdaaeaacaWGnbaaniabgUIiYdGccaWGMbWa aeWaaeaacaWG4bGaai4oaiabeI7aXjaacYcacqaHXoqyaiaawIcaca GLPaaacaWGKbGaamiEaiabg2da9iabeY7aTjabgkHiTmaalaaabaWa aiWaaeaacqaH4oqCdaahaaWcbeqaaiaaiwdaaaGccaWGnbWaaWbaaS qabeaacaaI1aaaaOGaey4kaSIaaGynaiabeI7aXnaaCaaaleqabaGa aGinaaaakiaad2eadaahaaWcbeqaaiaaisdaaaGccqGHRaWkcaaIYa GaaGimaiabeI7aXnaaCaaaleqabaGaaG4maaaakiaad2eadaahaaWc beqaaiaaiodaaaGccqGHRaWkcaaI2aGaaGimaiabeI7aXnaaCaaale qabaGaaGOmaaaakiaad2eadaahaaWcbeqaaiaaikdaaaGccqGHRaWk daqadaqaaiabeg7aHjabeI7aXnaaCaaaleqabaGaaGinaaaakiabgU caRiaaigdacaaIYaGaaGimaaGaayjkaiaawMcaaiabeI7aXjaad2ea cqGHRaWkdaqadaqaaiabeg7aHjabeI7aXnaaCaaaleqabaGaaGinaa aakiabgUcaRiaaigdacaaIYaGaaGimaaGaayjkaiaawMcaaaGaay5E aiaaw2haaiaadwgadaahaaWcbeqaaiabgkHiTiabeI7aXjaaykW7ca WGnbaaaaGcbaGaeqiUde3aaeWaaeaacqaHXoqycqaH4oqCdaahaaWc beqaaiaaisdaaaGccqGHRaWkcaaIYaGaaGinaaGaayjkaiaawMcaaa aaaaa@8BD1@  

Using above expressions and after little simplifications, the mean deviation about mean, δ 1 ( X ) MathType@MTEF@5@5@+= feaagKart1ev2aaatCvAUfeBSjuyZL2yd9gzLbvyNv2CaerbuLwBLn hiov2DGi1BTfMBaeXatLxBI9gBaerbd9wDYLwzYbItLDharqqtubsr 4rNCHbGeaGqkY=Mj0xXdbba91rFfpec8Eeeu0xXdbba9frFj0=OqFf ea0dXdd9vqaq=JfrVkFHe9pgea0dXdar=Jb9hs0dXdbPYxe9vr0=vr 0=vqpWqaaeaabiGaciaacaqabeaadaqaaqaaaOqaaiabes7aKnaaBa aaleaacaaIXaaabeaakmaabmaabaGaamiwaaGaayjkaiaawMcaaaaa @3C0A@  and the mean deviation about median, δ 2 ( X ) MathType@MTEF@5@5@+= feaagKart1ev2aaatCvAUfeBSjuyZL2yd9gzLbvyNv2CaerbuLwBLn hiov2DGi1BTfMBaeXatLxBI9gBaerbd9wDYLwzYbItLDharqqtubsr 4rNCHbGeaGqkY=Mj0xXdbba91rFfpec8Eeeu0xXdbba9frFj0=OqFf ea0dXdd9vqaq=JfrVkFHe9pgea0dXdar=Jb9hs0dXdbPYxe9vr0=vr 0=vqpWqaaeaabiGaciaacaqabeaadaqaaqaaaOqaaiabes7aKnaaBa aaleaacaaIYaaabeaakmaabmaabaGaamiwaaGaayjkaiaawMcaaaaa @3C0B@ of TPSD are obtained as

δ 1 ( X )= 2{ θ 4 μ 4 +8 θ 3 μ 3 +36 θ 2 μ 2 +96θμ+( α θ 4 +120 ) } e θμ θ( α θ 4 +24 ) MathType@MTEF@5@5@+= feaagKart1ev2aaatCvAUfeBSjuyZL2yd9gzLbvyNv2CaerbuLwBLn hiov2DGi1BTfMBaeXatLxBI9gBaerbd9wDYLwzYbItLDharqqtubsr 4rNCHbGeaGqkY=Mj0xXdbba91rFfpec8Eeeu0xXdbba9frFj0=OqFf ea0dXdd9vqaq=JfrVkFHe9pgea0dXdar=Jb9hs0dXdbPYxe9vr0=vr 0=vqpWqaaeaabiGaciaacaqabeaadaqaaqaaaOqaaiabes7aKnaaBa aaleaacaaIXaaabeaakmaabmaabaGaamiwaaGaayjkaiaawMcaaiab g2da9maalaaabaGaaGOmamaacmaabaGaeqiUde3aaWbaaSqabeaaca aI0aaaaOGaeqiVd02aaWbaaSqabeaacaaI0aaaaOGaey4kaSIaaGio aiabeI7aXnaaCaaaleqabaGaaG4maaaakiabeY7aTnaaCaaaleqaba GaaG4maaaakiabgUcaRiaaiodacaaI2aGaeqiUde3aaWbaaSqabeaa caaIYaaaaOGaeqiVd02aaWbaaSqabeaacaaIYaaaaOGaey4kaSIaaG yoaiaaiAdacqaH4oqCcqaH8oqBcqGHRaWkdaqadaqaaiabeg7aHjab eI7aXnaaCaaaleqabaGaaGinaaaakiabgUcaRiaaigdacaaIYaGaaG imaaGaayjkaiaawMcaaaGaay5Eaiaaw2haaiaadwgadaahaaWcbeqa aiabgkHiTiabeI7aXjabeY7aTbaaaOqaaiabeI7aXnaabmaabaGaeq ySdeMaeqiUde3aaWbaaSqabeaacaaI0aaaaOGaey4kaSIaaGOmaiaa isdaaiaawIcacaGLPaaaaaaaaa@7304@  

δ 2 ( X )= 2{ θ 5 M 5 +5 θ 4 M 4 +20 θ 3 M 3 +60 θ 2 M 2 +( α θ 4 +120 )θM+( α θ 4 +120 ) } e θM θ( α θ 4 +24 ) μ MathType@MTEF@5@5@+= feaagKart1ev2aaatCvAUfeBSjuyZL2yd9gzLbvyNv2CaerbuLwBLn hiov2DGi1BTfMBaeXatLxBI9gBaerbd9wDYLwzYbItLDharqqtubsr 4rNCHbGeaGqkY=Mj0xXdbba91rFfpec8Eeeu0xXdbba9frFj0=OqFf ea0dXdd9vqaq=JfrVkFHe9pgea0dXdar=Jb9hs0dXdbPYxe9vr0=vr 0=vqpWqaaeaabiGaciaacaqabeaadaqaaqaaaOqaaiabes7aKnaaBa aaleaacaaIYaaabeaakmaabmaabaGaamiwaaGaayjkaiaawMcaaiab g2da9maalaaabaGaaGOmamaacmaabaGaeqiUde3aaWbaaSqabeaaca aI1aaaaOGaamytamaaCaaaleqabaGaaGynaaaakiabgUcaRiaaiwda cqaH4oqCdaahaaWcbeqaaiaaisdaaaGccaWGnbWaaWbaaSqabeaaca aI0aaaaOGaey4kaSIaaGOmaiaaicdacqaH4oqCdaahaaWcbeqaaiaa iodaaaGccaWGnbWaaWbaaSqabeaacaaIZaaaaOGaey4kaSIaaGOnai aaicdacqaH4oqCdaahaaWcbeqaaiaaikdaaaGccaWGnbWaaWbaaSqa beaacaaIYaaaaOGaey4kaSYaaeWaaeaacqaHXoqycqaH4oqCdaahaa WcbeqaaiaaisdaaaGccqGHRaWkcaaIXaGaaGOmaiaaicdaaiaawIca caGLPaaacqaH4oqCcaWGnbGaey4kaSYaaeWaaeaacqaHXoqycqaH4o qCdaahaaWcbeqaaiaaisdaaaGccqGHRaWkcaaIXaGaaGOmaiaaicda aiaawIcacaGLPaaaaiaawUhacaGL9baacaWGLbWaaWbaaSqabeaacq GHsislcqaH4oqCcaWGnbaaaaGcbaGaeqiUde3aaeWaaeaacqaHXoqy cqaH4oqCdaahaaWcbeqaaiaaisdaaaGccqGHRaWkcaaIYaGaaGinaa GaayjkaiaawMcaaaaacqGHsislcqaH8oqBaaa@7F5D@  .

Order statistics

Let X ( 1 ) < X ( 2 ) <...< X ( n ) MathType@MTEF@5@5@+= feaagKart1ev2aaatCvAUfeBSjuyZL2yd9gzLbvyNv2CaerbuLwBLn hiov2DGi1BTfMBaeXatLxBI9gBaerbd9wDYLwzYbItLDharqqtubsr 4rNCHbGeaGqkY=Mj0xXdbba91rFfpec8Eeeu0xXdbba9frFj0=OqFf ea0dXdd9vqaq=JfrVkFHe9pgea0dXdar=Jb9hs0dXdbPYxe9vr0=vr 0=vqpWqaaeaabiGaciaacaqabeaadaqaaqaaaOqaaiaadIfadaWgaa WcbaWaaeWaaeaacaaIXaaacaGLOaGaayzkaaaabeaakiabgYda8iaa dIfadaWgaaWcbaWaaeWaaeaacaaIYaaacaGLOaGaayzkaaaabeaaki abgYda8iaac6cacaGGUaGaaiOlaiabgYda8iaadIfadaWgaaWcbaWa aeWaaeaacaWGUbaacaGLOaGaayzkaaaabeaaaaa@4664@ denote the order statistics corresponding to random sample ( X 1 , X 2 ,..., X n ) MathType@MTEF@5@5@+= feaagKart1ev2aaatCvAUfeBSjuyZL2yd9gzLbvyNv2CaerbuLwBLn hiov2DGi1BTfMBaeXatLxBI9gBaerbd9wDYLwzYbItLDharqqtubsr 4rNCHbGeaGqkY=Mj0xXdbba91rFfpec8Eeeu0xXdbba9frFj0=OqFf ea0dXdd9vqaq=JfrVkFHe9pgea0dXdar=Jb9hs0dXdbPYxe9vr0=vr 0=vqpWqaaeaabiGaciaacaqabeaadaqaaqaaaOqaamaabmaabaGaam iwamaaBaaaleaacaaIXaaabeaakiaacYcacaWGybWaaSbaaSqaaiaa ikdaaeqaaOGaaiilaiaac6cacaGGUaGaaiOlaiaacYcacaWGybWaaS baaSqaaiaad6gaaeqaaaGccaGLOaGaayzkaaaaaa@4260@ . The pdf and the cdf of the kth order statistic, say Y= X ( k ) MathType@MTEF@5@5@+= feaagKart1ev2aaatCvAUfeBSjuyZL2yd9gzLbvyNv2CaerbuLwBLn hiov2DGi1BTfMBaeXatLxBI9gBaerbd9wDYLwzYbItLDharqqtubsr 4rNCHbGeaGqkY=Mj0xXdbba91rFfpec8Eeeu0xXdbba9frFj0=OqFf ea0dXdd9vqaq=JfrVkFHe9pgea0dXdar=Jb9hs0dXdbPYxe9vr0=vr 0=vqpWqaaeaabiGaciaacaqabeaadaqaaqaaaOqaaiaadMfacqGH9a qpcaWGybWaaSbaaSqaamaabmaabaGaam4AaaGaayjkaiaawMcaaaqa baaaaa@3C74@ are given by

f Y ( y )= n! ( k1 )!( nk )! F k1 ( y ) { 1F( y ) } nk f( y ) MathType@MTEF@5@5@+= feaagKart1ev2aaatCvAUfeBSjuyZL2yd9gzLbvyNv2CaerbuLwBLn hiov2DGi1BTfMBaeXatLxBI9gBaerbd9wDYLwzYbItLDharqqtubsr 4rNCHbGeaGqkY=Mj0xXdbba91rFfpec8Eeeu0xXdbba9frFj0=OqFf ea0dXdd9vqaq=JfrVkFHe9pgea0dXdar=Jb9hs0dXdbPYxe9vr0=vr 0=vqpWqaaeaabiGaciaacaqabeaadaqaaqaaaOqaaiaadAgadaWgaa WcbaGaamywaaqabaGcdaqadaqaaiaadMhaaiaawIcacaGLPaaacqGH 9aqpdaWcaaqaaiaad6gacaGGHaaabaWaaeWaaeaacaWGRbGaeyOeI0 IaaGymaaGaayjkaiaawMcaaiaacgcadaqadaqaaiaad6gacqGHsisl caWGRbaacaGLOaGaayzkaaGaaiyiaaaacaWGgbWaaWbaaSqabeaaca WGRbGaeyOeI0IaaGymaaaakmaabmaabaGaamyEaaGaayjkaiaawMca amaacmaabaGaaGymaiabgkHiTiaadAeadaqadaqaaiaadMhaaiaawI cacaGLPaaaaiaawUhacaGL9baadaahaaWcbeqaaiaad6gacqGHsisl caWGRbaaaOGaamOzamaabmaabaGaamyEaaGaayjkaiaawMcaaaaa@5BCB@  

= n! ( k1 )!( nk )! l=0 nk ( nk l ) ( 1 ) l F k+l1 ( y )f( y ) MathType@MTEF@5@5@+= feaagKart1ev2aaatCvAUfeBSjuyZL2yd9gzLbvyNv2CaerbuLwBLn hiov2DGi1BTfMBaeXatLxBI9gBaerbd9wDYLwzYbItLDharqqtubsr 4rNCHbGeaGqkY=Mj0xXdbba91rFfpec8Eeeu0xXdbba9frFj0=OqFf ea0dXdd9vqaq=JfrVkFHe9pgea0dXdar=Jb9hs0dXdbPYxe9vr0=vr 0=vqpWqaaeaabiGaciaacaqabeaadaqaaqaaaOqaaiabg2da9maala aabaGaamOBaiaacgcaaeaadaqadaqaaiaadUgacqGHsislcaaIXaaa caGLOaGaayzkaaGaaiyiamaabmaabaGaamOBaiabgkHiTiaadUgaai aawIcacaGLPaaacaGGHaaaamaaqahabaWaaeWaaeaafaqabeGabaaa baGaamOBaiabgkHiTiaadUgaaeaacaWGSbaaaaGaayjkaiaawMcaaa WcbaGaamiBaiabg2da9iaaicdaaeaacaWGUbGaeyOeI0Iaam4Aaaqd cqGHris5aOWaaeWaaeaacqGHsislcaaIXaaacaGLOaGaayzkaaWaaW baaSqabeaacaWGSbaaaOGaamOramaaCaaaleqabaGaam4AaiabgUca RiaadYgacqGHsislcaaIXaaaaOWaaeWaaeaacaWG5baacaGLOaGaay zkaaGaamOzamaabmaabaGaamyEaaGaayjkaiaawMcaaaaa@6063@  

and

F Y ( y )= j=k n ( n j ) F j ( y ) { 1F( y ) } nj = j=k n l=0 nj ( n j ) ( nj l ) ( 1 ) l F j+l ( y ) MathType@MTEF@5@5@+= feaagKart1ev2aaatCvAUfeBSjuyZL2yd9gzLbvyNv2CaerbuLwBLn hiov2DGi1BTfMBaeXatLxBI9gBaerbd9wDYLwzYbItLDharqqtubsr 4rNCHbGeaGqkY=Mj0xXdbba91rFfpec8Eeeu0xXdbba9frFj0=OqFf ea0dXdd9vqaq=JfrVkFHe9pgea0dXdar=Jb9hs0dXdbPYxe9vr0=vr 0=vqpWqaaeaabiGaciaacaqabeaadaqaaqaaaOqaaiaadAeadaWgaa WcbaGaamywaaqabaGcdaqadaqaaiaadMhaaiaawIcacaGLPaaacqGH 9aqpdaaeWbqaamaabmaabaqbaeqabiqaaaqaaiaad6gaaeaacaWGQb aaaaGaayjkaiaawMcaaaWcbaGaamOAaiabg2da9iaadUgaaeaacaWG UbaaniabggHiLdGccaaMc8UaamOramaaCaaaleqabaGaamOAaaaakm aabmaabaGaamyEaaGaayjkaiaawMcaamaacmaabaGaaGymaiabgkHi TiaadAeadaqadaqaaiaadMhaaiaawIcacaGLPaaaaiaawUhacaGL9b aadaahaaWcbeqaaiaad6gacqGHsislcaWGQbaaaOGaeyypa0ZaaabC aeaadaaeWbqaamaabmaabaqbaeqabiqaaaqaaiaad6gaaeaacaWGQb aaaaGaayjkaiaawMcaaaWcbaGaamiBaiabg2da9iaaicdaaeaacaWG UbGaeyOeI0IaamOAaaqdcqGHris5aOWaaeWaaeaafaqabeGabaaaba GaamOBaiabgkHiTiaadQgaaeaacaWGSbaaaaGaayjkaiaawMcaaaWc baGaamOAaiabg2da9iaadUgaaeaacaWGUbaaniabggHiLdGccaaMc8 +aaeWaaeaacqGHsislcaaIXaaacaGLOaGaayzkaaWaaWbaaSqabeaa caWGSbaaaOGaamOramaaCaaaleqabaGaamOAaiabgUcaRiaadYgaaa GcdaqadaqaaiaadMhaaiaawIcacaGLPaaaaaa@7A3D@  

The pdf and the cdf of the kth order statistics of TPSD are thus obtained as

and

F Y ( y )= j=k n l=0 nj ( n j ) ( nj l ) ( 1 ) l [ 1{ θ 4 x 4 +4 θ 3 x 3 +12 θ 2 x 2 +24θx+( α θ 4 +24 ) α θ 4 +24 } e θx ] j+l MathType@MTEF@5@5@+= feaagKart1ev2aaatCvAUfeBSjuyZL2yd9gzLbvyNv2CaerbuLwBLn hiov2DGi1BTfMBaeXatLxBI9gBaerbd9wDYLwzYbItLDharqqtubsr 4rNCHbGeaGqkY=Mj0xXdbba91rFfpec8Eeeu0xXdbba9frFj0=OqFf ea0dXdd9vqaq=JfrVkFHe9pgea0dXdar=Jb9hs0dXdbPYxe9vr0=vr 0=vqpWqaaeaabiGaciaacaqabeaadaqaaqaaaOqaaiaadAeadaWgaa WcbaGaamywaaqabaGcdaqadaqaaiaadMhaaiaawIcacaGLPaaacqGH 9aqpdaaeWbqaamaaqahabaWaaeWaaeaafaqabeGabaaabaGaamOBaa qaaiaadQgaaaaacaGLOaGaayzkaaaaleaacaWGSbGaeyypa0JaaGim aaqaaiaad6gacqGHsislcaWGQbaaniabggHiLdGcdaqadaqaauaabe qaceaaaeaacaWGUbGaeyOeI0IaamOAaaqaaiaadYgaaaaacaGLOaGa ayzkaaaaleaacaWGQbGaeyypa0Jaam4Aaaqaaiaad6gaa0GaeyyeIu oakmaabmaabaGaeyOeI0IaaGymaaGaayjkaiaawMcaamaaCaaaleqa baGaamiBaaaakmaadmaabaGaaGymaiabgkHiTmaacmaabaWaaSaaae aacqaH4oqCdaahaaWcbeqaaiaaisdaaaGccaWG4bWaaWbaaSqabeaa caaI0aaaaOGaey4kaSIaaGinaiabeI7aXnaaCaaaleqabaGaaG4maa aakiaadIhadaahaaWcbeqaaiaaiodaaaGccqGHRaWkcaaIXaGaaGOm aiabeI7aXnaaCaaaleqabaGaaGOmaaaakiaadIhadaahaaWcbeqaai aaikdaaaGccqGHRaWkcaaIYaGaaGinaiabeI7aXjaadIhacqGHRaWk daqadaqaaiabeg7aHjaaykW7cqaH4oqCdaahaaWcbeqaaiaaisdaaa GccqGHRaWkcaaIYaGaaGinaaGaayjkaiaawMcaaaqaaiabeg7aHjab eI7aXnaaCaaaleqabaGaaGinaaaakiabgUcaRiaaikdacaaI0aaaaa Gaay5Eaiaaw2haaiaadwgadaahaaWcbeqaaiabgkHiTiabeI7aXjaa dIhaaaaakiaawUfacaGLDbaadaahaaWcbeqaaiaadQgacqGHRaWkca WGSbaaaaaa@8D37@  

Stochastic orderings

Stochastic ordering of positive continuous random variables is an important tool for judging their comparative behavior. A random variable Y is said to be greater than a random variable X in the

  1. stochastic order ( X st Y ) MathType@MTEF@5@5@+= feaagKart1ev2aaatCvAUfeBSjuyZL2yd9gzLbvyNv2CaerbuLwBLn hiov2DGi1BTfMBaeXatLxBI9gBaerbd9wDYLwzYbItLDharqqtubsr 4rNCHbGeaGqkY=Mj0xXdbba91rFfpec8Eeeu0xXdbba9frFj0=OqFf ea0dXdd9vqaq=JfrVkFHe9pgea0dXdar=Jb9hs0dXdbPYxe9vr0=vr 0=vqpWqaaeaabiGaciaacaqabeaadaqaaqaaaOqaamaabmaabaGaam iwaiabgsMiJoaaBaaaleaacaWGZbGaamiDaaqabaGccaWGzbaacaGL OaGaayzkaaaaaa@3E2E@ if F X ( x ) F Y ( x ) MathType@MTEF@5@5@+= feaagKart1ev2aaatCvAUfeBSjuyZL2yd9gzLbvyNv2CaerbuLwBLn hiov2DGi1BTfMBaeXatLxBI9gBaerbd9wDYLwzYbItLDharqqtubsr 4rNCHbGeaGqkY=Mj0xXdbba91rFfpec8Eeeu0xXdbba9frFj0=OqFf ea0dXdd9vqaq=JfrVkFHe9pgea0dXdar=Jb9hs0dXdbPYxe9vr0=vr 0=vqpWqaaeaabiGaciaacaqabeaadaqaaqaaaOqaaiaadAeadaWgaa WcbaGaamiwaaqabaGcdaqadaqaaiaadIhaaiaawIcacaGLPaaacqGH LjYScaWGgbWaaSbaaSqaaiaadMfaaeqaaOWaaeWaaeaacaWG4baaca GLOaGaayzkaaaaaa@419D@ for all x
  2. hazard rate order ( X hr Y ) MathType@MTEF@5@5@+= feaagKart1ev2aaatCvAUfeBSjuyZL2yd9gzLbvyNv2CaerbuLwBLn hiov2DGi1BTfMBaeXatLxBI9gBaerbd9wDYLwzYbItLDharqqtubsr 4rNCHbGeaGqkY=Mj0xXdbba91rFfpec8Eeeu0xXdbba9frFj0=OqFf ea0dXdd9vqaq=JfrVkFHe9pgea0dXdar=Jb9hs0dXdbPYxe9vr0=vr 0=vqpWqaaeaabiGaciaacaqabeaadaqaaqaaaOqaamaabmaabaGaam iwaiabgsMiJoaaBaaaleaacaWGObGaamOCaaqabaGccaWGzbaacaGL OaGaayzkaaaaaa@3E21@ if h X ( x ) h Y ( x ) MathType@MTEF@5@5@+= feaagKart1ev2aaatCvAUfeBSjuyZL2yd9gzLbvyNv2CaerbuLwBLn hiov2DGi1BTfMBaeXatLxBI9gBaerbd9wDYLwzYbItLDharqqtubsr 4rNCHbGeaGqkY=Mj0xXdbba91rFfpec8Eeeu0xXdbba9frFj0=OqFf ea0dXdd9vqaq=JfrVkFHe9pgea0dXdar=Jb9hs0dXdbPYxe9vr0=vr 0=vqpWqaaeaabiGaciaacaqabeaadaqaaqaaaOqaaiaadIgadaWgaa WcbaGaamiwaaqabaGcdaqadaqaaiaadIhaaiaawIcacaGLPaaacqGH LjYScaWGObWaaSbaaSqaaiaadMfaaeqaaOWaaeWaaeaacaWG4baaca GLOaGaayzkaaaaaa@41E1@ for all x
  3. mean residual life order ( X mrl Y ) MathType@MTEF@5@5@+= feaagKart1ev2aaatCvAUfeBSjuyZL2yd9gzLbvyNv2CaerbuLwBLn hiov2DGi1BTfMBaeXatLxBI9gBaerbd9wDYLwzYbItLDharqqtubsr 4rNCHbGeaGqkY=Mj0xXdbba91rFfpec8Eeeu0xXdbba9frFj0=OqFf ea0dXdd9vqaq=JfrVkFHe9pgea0dXdar=Jb9hs0dXdbPYxe9vr0=vr 0=vqpWqaaeaabiGaciaacaqabeaadaqaaqaaaOqaamaabmaabaGaam iwaiabgsMiJoaaBaaaleaacaWGTbGaamOCaiaadYgaaeqaaOGaamyw aaGaayjkaiaawMcaaaaa@3F17@ if m X ( x ) m Y ( x ) MathType@MTEF@5@5@+= feaagKart1ev2aaatCvAUfeBSjuyZL2yd9gzLbvyNv2CaerbuLwBLn hiov2DGi1BTfMBaeXatLxBI9gBaerbd9wDYLwzYbItLDharqqtubsr 4rNCHbGeaGqkY=Mj0xXdbba91rFfpec8Eeeu0xXdbba9frFj0=OqFf ea0dXdd9vqaq=JfrVkFHe9pgea0dXdar=Jb9hs0dXdbPYxe9vr0=vr 0=vqpWqaaeaabiGaciaacaqabeaadaqaaqaaaOqaaiaad2gadaWgaa WcbaGaamiwaaqabaGcdaqadaqaaiaadIhaaiaawIcacaGLPaaacqGH KjYOcaWGTbWaaSbaaSqaaiaadMfaaeqaaOWaaeWaaeaacaWG4baaca GLOaGaayzkaaaaaa@41DA@ for all x
  4. Likelihood ratio order ( X lr Y ) MathType@MTEF@5@5@+= feaagKart1ev2aaatCvAUfeBSjuyZL2yd9gzLbvyNv2CaerbuLwBLn hiov2DGi1BTfMBaeXatLxBI9gBaerbd9wDYLwzYbItLDharqqtubsr 4rNCHbGeaGqkY=Mj0xXdbba91rFfpec8Eeeu0xXdbba9frFj0=OqFf ea0dXdd9vqaq=JfrVkFHe9pgea0dXdar=Jb9hs0dXdbPYxe9vr0=vr 0=vqpWqaaeaabiGaciaacaqabeaadaqaaqaaaOqaamaabmaabaGaam iwaiabgsMiJoaaBaaaleaacaWGSbGaamOCaaqabaGccaWGzbaacaGL OaGaayzkaaaaaa@3E25@ if f X ( x ) f Y ( x ) MathType@MTEF@5@5@+= feaagKart1ev2aaatCvAUfeBSjuyZL2yd9gzLbvyNv2CaerbuLwBLn hiov2DGi1BTfMBaeXatLxBI9gBaerbd9wDYLwzYbItLDharqqtubsr 4rNCHbGeaGqkY=Mj0xXdbba91rFfpec8Eeeu0xXdbba9frFj0=OqFf ea0dXdd9vqaq=JfrVkFHe9pgea0dXdar=Jb9hs0dXdbPYxe9vr0=vr 0=vqpWqaaeaabiGaciaacaqabeaadaqaaqaaaOqaamaalaaabaGaam OzamaaBaaaleaacaWGybaabeaakmaabmaabaGaamiEaaGaayjkaiaa wMcaaaqaaiaadAgadaWgaaWcbaGaamywaaqabaGcdaqadaqaaiaadI haaiaawIcacaGLPaaaaaaaaa@4027@ decreases in x.

The well-known results due to Shaked and Shanthikumar6 for establishing stochastic ordering of distributions is

X lr YX hr YX mrl Y                     X st Y MathType@MTEF@5@5@+= feaagKart1ev2aaatCvAUfeBSjuyZL2yd9gzLbvyNv2CaerbuLwBLn hiov2DGi1BTfMBaeXatLxBI9gBaerbd9wDYLwzYbItLDharqqtubsr 4rNCHbGeaGqkY=Mj0xXdbba91rFfpec8Eeeu0xXdbba9frFj0=OqFf ea0dXdd9vqaq=JfrVkFHe9pgea0dXdar=Jb9hs0dXdbPYxe9vr0=vr 0=vqpWqaaeaabiGaciaacaqabeaadaqaaqaaaOabaeqabaGaamiwai abgsMiJoaaBaaaleaacaWGSbGaamOCaaqabaGccaWGzbGaeyO0H4Ta amiwaiabgsMiJoaaBaaaleaacaWGObGaamOCaaqabaGccaWGzbGaey O0H4TaamiwaiabgsMiJoaaBaaaleaacaWGTbGaamOCaiaadYgaaeqa aOGaamywaaqaaabaaaaaaaaapeGaaiiOaiaacckacaGGGcGaaiiOai aacckacaGGGcGaaiiOaiaacckacaGGGcGaaiiOaiaacckacaGGGcGa aiiOaiaacckacaGGGcGaaiiOaiaacckacaGGGcGaaiiOa8aadaWfqa qaaiabgoDiFdWcbaGaamiwaiabgsMiJoaaBaaameaacaWGZbGaamiD aaqabaWccaWGzbaabeaaaaaa@6B73@  

Using above results, we have shown in the following theorem that TPSD is ordered with respect to the strongest ‘likelihood ratio’ ordering.

Theorem: Let X∼ TPSD ( θ 1 , α 1 ) MathType@MTEF@5@5@+= feaagKart1ev2aaatCvAUfeBSjuyZL2yd9gzLbvyNv2CaerbuLwBLn hiov2DGi1BTfMBaeXatLxBI9gBaerbd9wDYLwzYbItLDharqqtubsr 4rNCHbGeaGqkY=Mj0xXdbba91rFfpec8Eeeu0xXdbba9frFj0=OqFf ea0dXdd9vqaq=JfrVkFHe9pgea0dXdar=Jb9hs0dXdbPYxe9vr0=vr 0=vqpWqaaeaabiGaciaacaqabeaadaqaaqaaaOqaamaabmaabaGaeq iUde3aaSbaaSqaaiaaigdaaeqaaOGaaiilaiabeg7aHnaaBaaaleaa caaIXaaabeaaaOGaayjkaiaawMcaaaaa@3E7E@  and Y∼ TPSD ( θ 2 , α 1 ) MathType@MTEF@5@5@+= feaagKart1ev2aaatCvAUfeBSjuyZL2yd9gzLbvyNv2CaerbuLwBLn hiov2DGi1BTfMBaeXatLxBI9gBaerbd9wDYLwzYbItLDharqqtubsr 4rNCHbGeaGqkY=Mj0xXdbba91rFfpec8Eeeu0xXdbba9frFj0=OqFf ea0dXdd9vqaq=JfrVkFHe9pgea0dXdar=Jb9hs0dXdbPYxe9vr0=vr 0=vqpWqaaeaabiGaciaacaqabeaadaqaaqaaaOqaamaabmaabaGaeq iUde3aaSbaaSqaaiaaikdaaeqaaOGaaiilaiabeg7aHnaaBaaaleaa caaIXaaabeaaaOGaayjkaiaawMcaaaaa@3E7F@ . If α 1 > α 2   and   θ 1 = θ 2 MathType@MTEF@5@5@+= feaagKart1ev2aaatCvAUfeBSjuyZL2yd9gzLbvyNv2CaerbuLwBLn hiov2DGi1BTfMBaeXatLxBI9gBaerbd9wDYLwzYbItLDharqqtubsr 4rNCHbGeaGqkY=Mj0xXdbba91rFfpec8Eeeu0xXdbba9frFj0=OqFf ea0dXdd9vqaq=JfrVkFHe9pgea0dXdar=Jb9hs0dXdbPYxe9vr0=vr 0=vqpWqaaeaabiGaciaacaqabeaadaqaaqaaaOqaaiabeg7aHnaaBa aaleaacaaIXaaabeaakiabg6da+iabeg7aHnaaBaaaleaacaaIYaaa beaakabaaaaaaaaapeGaaiiOaiaacckapaGaaeyyaiaab6gacaqGKb WdbiaacckacaGGGcWdaiabeI7aXnaaBaaaleaacaaIXaaabeaakiab g2da9iabeI7aXnaaBaaaleaacaaIYaaabeaaaaa@4B1C@ , or α 1 = α 2   and   θ 1 = θ 2 MathType@MTEF@5@5@+= feaagKart1ev2aaatCvAUfeBSjuyZL2yd9gzLbvyNv2CaerbuLwBLn hiov2DGi1BTfMBaeXatLxBI9gBaerbd9wDYLwzYbItLDharqqtubsr 4rNCHbGeaGqkY=Mj0xXdbba91rFfpec8Eeeu0xXdbba9frFj0=OqFf ea0dXdd9vqaq=JfrVkFHe9pgea0dXdar=Jb9hs0dXdbPYxe9vr0=vr 0=vqpWqaaeaabiGaciaacaqabeaadaqaaqaaaOqaaiabeg7aHnaaBa aaleaacaaIXaaabeaakiabg2da9iabeg7aHnaaBaaaleaacaaIYaaa beaakabaaaaaaaaapeGaaiiOaiaacckapaGaaeyyaiaab6gacaqGKb WdbiaacckacaGGGcWdaiabeI7aXnaaBaaaleaacaaIXaaabeaakiab g2da9iabeI7aXnaaBaaaleaacaaIYaaabeaaaaa@4B1A@ then X lr Y MathType@MTEF@5@5@+= feaagKart1ev2aaatCvAUfeBSjuyZL2yd9gzLbvyNv2CaerbuLwBLn hiov2DGi1BTfMBaeXatLxBI9gBaerbd9wDYLwzYbItLDharqqtubsr 4rNCHbGeaGqkY=Mj0xXdbba91rFfpec8Eeeu0xXdbba9frFj0=OqFf ea0dXdd9vqaq=JfrVkFHe9pgea0dXdar=Jb9hs0dXdbPYxe9vr0=vr 0=vqpWqaaeaabiGaciaacaqabeaadaqaaqaaaOqaaiaadIfacqGHKj YOdaWgaaWcbaGaamiBaiaadkhaaeqaaOGaamywaaaa@3C9C@ and hence X hr Y MathType@MTEF@5@5@+= feaagKart1ev2aaatCvAUfeBSjuyZL2yd9gzLbvyNv2CaerbuLwBLn hiov2DGi1BTfMBaeXatLxBI9gBaerbd9wDYLwzYbItLDharqqtubsr 4rNCHbGeaGqkY=Mj0xXdbba91rFfpec8Eeeu0xXdbba9frFj0=OqFf ea0dXdd9vqaq=JfrVkFHe9pgea0dXdar=Jb9hs0dXdbPYxe9vr0=vr 0=vqpWqaaeaabiGaciaacaqabeaadaqaaqaaaOqaaiaadIfacqGHKj YOdaWgaaWcbaGaamiAaiaadkhaaeqaaOGaamywaaaa@3C98@ , X mrl Y MathType@MTEF@5@5@+= feaagKart1ev2aaatCvAUfeBSjuyZL2yd9gzLbvyNv2CaerbuLwBLn hiov2DGi1BTfMBaeXatLxBI9gBaerbd9wDYLwzYbItLDharqqtubsr 4rNCHbGeaGqkY=Mj0xXdbba91rFfpec8Eeeu0xXdbba9frFj0=OqFf ea0dXdd9vqaq=JfrVkFHe9pgea0dXdar=Jb9hs0dXdbPYxe9vr0=vr 0=vqpWqaaeaabiGaciaacaqabeaadaqaaqaaaOqaaiaadIfacqGHKj YOdaWgaaWcbaGaamyBaiaadkhacaWGSbaabeaakiaadMfaaaa@3D8E@ and X st Y MathType@MTEF@5@5@+= feaagKart1ev2aaatCvAUfeBSjuyZL2yd9gzLbvyNv2CaerbuLwBLn hiov2DGi1BTfMBaeXatLxBI9gBaerbd9wDYLwzYbItLDharqqtubsr 4rNCHbGeaGqkY=Mj0xXdbba91rFfpec8Eeeu0xXdbba9frFj0=OqFf ea0dXdd9vqaq=JfrVkFHe9pgea0dXdar=Jb9hs0dXdbPYxe9vr0=vr 0=vqpWqaaeaabiGaciaacaqabeaadaqaaqaaaOqaaiaadIfacqGHKj YOdaWgaaWcbaGaam4CaiaadshaaeqaaOGaamywaaaa@3CA5@ .

Proof: We have

f X ( x ) f Y ( x ) = θ 1 5 ( α 2 θ 2 4 +24 ) θ 2 5 ( α 1 θ 1 4 +24 ) ( α 1 + x 4 α 2 + x 4 ) e ( θ 1 θ 2 )x ;x>0 MathType@MTEF@5@5@+= feaagKart1ev2aaatCvAUfeBSjuyZL2yd9gzLbvyNv2CaerbuLwBLn hiov2DGi1BTfMBaeXatLxBI9gBaerbd9wDYLwzYbItLDharqqtubsr 4rNCHbGeaGqkY=Mj0xXdbba91rFfpec8Eeeu0xXdbba9frFj0=OqFf ea0dXdd9vqaq=JfrVkFHe9pgea0dXdar=Jb9hs0dXdbPYxe9vr0=vr 0=vqpWqaaeaabiGaciaacaqabeaadaqaaqaaaOqaamaaleaaleaaca WGMbWaaSbaaWqaaiaadIfaaeqaaSWaaeWaaeaacaWG4baacaGLOaGa ayzkaaaabaGaamOzamaaBaaameaacaWGzbaabeaalmaabmaabaGaam iEaaGaayjkaiaawMcaaaaakiabg2da9maalaaabaGaeqiUde3aaSba aSqaaiaaigdaaeqaaOWaaWbaaSqabeaacaaI1aaaaOWaaeWaaeaacq aHXoqydaWgaaWcbaGaaGOmaaqabaGccqaH4oqCdaWgaaWcbaGaaGOm aaqabaGcdaahaaWcbeqaaiaaisdaaaGccqGHRaWkcaaIYaGaaGinaa GaayjkaiaawMcaaaqaaiabeI7aXnaaBaaaleaacaaIYaaabeaakmaa CaaaleqabaGaaGynaaaakmaabmaabaGaeqySde2aaSbaaSqaaiaaig daaeqaaOGaeqiUde3aaSbaaSqaaiaaigdaaeqaaOWaaWbaaSqabeaa caaI0aaaaOGaey4kaSIaaGOmaiaaisdaaiaawIcacaGLPaaaaaWaae WaaeaadaWcaaqaaiabeg7aHnaaBaaaleaacaaIXaaabeaakiabgUca RiaadIhadaahaaWcbeqaaiaaisdaaaaakeaacqaHXoqydaWgaaWcba GaaGOmaaqabaGccqGHRaWkcaWG4bWaaWbaaSqabeaacaaI0aaaaaaa aOGaayjkaiaawMcaaiaadwgadaahaaWcbeqaaiabgkHiTmaabmaaba GaeqiUde3aaSbaaWqaaiaaigdaaeqaaSGaeyOeI0IaeqiUde3aaSba aWqaaiaaikdaaeqaaaWccaGLOaGaayzkaaGaamiEaaaakiaacUdaca WG4bGaeyOpa4JaaGimaaaa@776A@  

Now  ln f X ( x ) f Y ( x ) =ln θ 1 5 ( α 2 θ 2 4 +24 ) θ 2 5 ( α 1 θ 1 4 +24 ) +ln( α 1 + x 4 α 2 + x 4 )( θ 1 θ 2 )x MathType@MTEF@5@5@+= feaagKart1ev2aaatCvAUfeBSjuyZL2yd9gzLbvyNv2CaerbuLwBLn hiov2DGi1BTfMBaeXatLxBI9gBaerbd9wDYLwzYbItLDharqqtubsr 4rNCHbGeaGqkY=Mj0xXdbba91rFfpec8Eeeu0xXdbba9frFj0=OqFf ea0dXdd9vqaq=JfrVkFHe9pgea0dXdar=Jb9hs0dXdbPYxe9vr0=vr 0=vqpWqaaeaabiGaciaacaqabeaadaqaaqaaaOqaaiGacYgacaGGUb WaaSqaaSqaaiaadAgadaWgaaadbaGaamiwaaqabaWcdaqadaqaaiaa dIhaaiaawIcacaGLPaaaaeaacaWGMbWaaSbaaWqaaiaadMfaaeqaaS WaaeWaaeaacaWG4baacaGLOaGaayzkaaaaaOGaeyypa0JaciiBaiaa c6gadaWcaaqaaiabeI7aXnaaBaaaleaacaaIXaaabeaakmaaCaaale qabaGaaGynaaaakmaabmaabaGaeqySde2aaSbaaSqaaiaaikdaaeqa aOGaeqiUde3aaSbaaSqaaiaaikdaaeqaaOWaaWbaaSqabeaacaaI0a aaaOGaey4kaSIaaGOmaiaaisdaaiaawIcacaGLPaaaaeaacqaH4oqC daWgaaWcbaGaaGOmaaqabaGcdaahaaWcbeqaaiaaiwdaaaGcdaqada qaaiabeg7aHnaaBaaaleaacaaIXaaabeaakiabeI7aXnaaBaaaleaa caaIXaaabeaakmaaCaaaleqabaGaaGinaaaakiabgUcaRiaaikdaca aI0aaacaGLOaGaayzkaaaaaiabgUcaRiGacYgacaGGUbWaaeWaaeaa daWcaaqaaiabeg7aHnaaBaaaleaacaaIXaaabeaakiabgUcaRiaadI hadaahaaWcbeqaaiaaisdaaaaakeaacqaHXoqydaWgaaWcbaGaaGOm aaqabaGccqGHRaWkcaWG4bWaaWbaaSqabeaacaaI0aaaaaaaaOGaay jkaiaawMcaaiabgkHiTmaabmaabaGaeqiUde3aaSbaaSqaaiaaigda aeqaaOGaeyOeI0IaeqiUde3aaSbaaSqaaiaaikdaaeqaaaGccaGLOa GaayzkaaGaamiEaaaa@7955@

This gives  d dx ln f X ( x ) f Y ( x ) = 4( α 2 α 1 ) x 3 ( α 1 + x 4 )( α 2 + x 4 ) ( θ 1 θ 2 ) MathType@MTEF@5@5@+= feaagKart1ev2aaatCvAUfeBSjuyZL2yd9gzLbvyNv2CaerbuLwBLn hiov2DGi1BTfMBaeXatLxBI9gBaerbd9wDYLwzYbItLDharqqtubsr 4rNCHbGeaGqkY=Mj0xXdbba91rFfpec8Eeeu0xXdbba9frFj0=OqFf ea0dXdd9vqaq=JfrVkFHe9pgea0dXdar=Jb9hs0dXdbPYxe9vr0=vr 0=vqpWqaaeaabiGaciaacaqabeaadaqaaqaaaOqaamaalaaabaGaam izaaqaaiaadsgacaWG4baaaiGacYgacaGGUbWaaSqaaSqaaiaadAga daWgaaadbaGaamiwaaqabaWcdaqadaqaaiaadIhaaiaawIcacaGLPa aaaeaacaWGMbWaaSbaaWqaaiaadMfaaeqaaSWaaeWaaeaacaWG4baa caGLOaGaayzkaaaaaOGaeyypa0ZaaSaaaeaacaaI0aWaaeWaaeaacq aHXoqydaWgaaWcbaGaaGOmaaqabaGccqGHsislcqaHXoqydaWgaaWc baGaaGymaaqabaaakiaawIcacaGLPaaacaWG4bWaaWbaaSqabeaaca aIZaaaaaGcbaWaaeWaaeaacqaHXoqydaWgaaWcbaGaaGymaaqabaGc cqGHRaWkcaWG4bWaaWbaaSqabeaacaaI0aaaaaGccaGLOaGaayzkaa WaaeWaaeaacqaHXoqydaWgaaWcbaGaaGOmaaqabaGccqGHRaWkcaWG 4bWaaWbaaSqabeaacaaI0aaaaaGccaGLOaGaayzkaaaaaiabgkHiTm aabmaabaGaeqiUde3aaSbaaSqaaiaaigdaaeqaaOGaeyOeI0IaeqiU de3aaSbaaSqaaiaaikdaaeqaaaGccaGLOaGaayzkaaaaaa@66ED@

Thus, for α 1 > α 2   and   θ 1 = θ 2 MathType@MTEF@5@5@+= feaagKart1ev2aaatCvAUfeBSjuyZL2yd9gzLbvyNv2CaerbuLwBLn hiov2DGi1BTfMBaeXatLxBI9gBaerbd9wDYLwzYbItLDharqqtubsr 4rNCHbGeaGqkY=Mj0xXdbba91rFfpec8Eeeu0xXdbba9frFj0=OqFf ea0dXdd9vqaq=JfrVkFHe9pgea0dXdar=Jb9hs0dXdbPYxe9vr0=vr 0=vqpWqaaeaabiGaciaacaqabeaadaqaaqaaaOqaaiabeg7aHnaaBa aaleaacaaIXaaabeaakiabg6da+iabeg7aHnaaBaaaleaacaaIYaaa beaakabaaaaaaaaapeGaaiiOaiaacckapaGaaeyyaiaab6gacaqGKb WdbiaacckacaGGGcWdaiabeI7aXnaaBaaaleaacaaIXaaabeaakiab g2da9iabeI7aXnaaBaaaleaacaaIYaaabeaaaaa@4B1C@ , or α 1 = α 2   and   θ 1 > θ 2 MathType@MTEF@5@5@+= feaagKart1ev2aaatCvAUfeBSjuyZL2yd9gzLbvyNv2CaerbuLwBLn hiov2DGi1BTfMBaeXatLxBI9gBaerbd9wDYLwzYbItLDharqqtubsr 4rNCHbGeaGqkY=Mj0xXdbba91rFfpec8Eeeu0xXdbba9frFj0=OqFf ea0dXdd9vqaq=JfrVkFHe9pgea0dXdar=Jb9hs0dXdbPYxe9vr0=vr 0=vqpWqaaeaabiGaciaacaqabeaadaqaaqaaaOqaaiabeg7aHnaaBa aaleaacaaIXaaabeaakiabg2da9iabeg7aHnaaBaaaleaacaaIYaaa beaakabaaaaaaaaapeGaaiiOaiaacckapaGaaeyyaiaab6gacaqGKb WdbiaacckacaGGGcWdaiabeI7aXnaaBaaaleaacaaIXaaabeaakiab g6da+iabeI7aXnaaBaaaleaacaaIYaaabeaaaaa@4B1C@ , d dx ln f X ( x ) f Y ( x ) <0 MathType@MTEF@5@5@+= feaagKart1ev2aaatCvAUfeBSjuyZL2yd9gzLbvyNv2CaerbuLwBLn hiov2DGi1BTfMBaeXatLxBI9gBaerbd9wDYLwzYbItLDharqqtubsr 4rNCHbGeaGqkY=Mj0xXdbba91rFfpec8Eeeu0xXdbba9frFj0=OqFf ea0dXdd9vqaq=JfrVkFHe9pgea0dXdar=Jb9hs0dXdbPYxe9vr0=vr 0=vqpWqaaeaabiGaciaacaqabeaadaqaaqaaaOqaamaalaaabaGaam izaaqaaiaadsgacaWG4baaaiGacYgacaGGUbWaaSqaaSqaaiaadAga daWgaaadbaGaamiwaaqabaWcdaqadaqaaiaadIhaaiaawIcacaGLPa aaaeaacaWGMbWaaSbaaWqaaiaadMfaaeqaaSWaaeWaaeaacaWG4baa caGLOaGaayzkaaaaaOGaeyipaWJaaGimaaaa@46C2@ . This means that X lr Y MathType@MTEF@5@5@+= feaagKart1ev2aaatCvAUfeBSjuyZL2yd9gzLbvyNv2CaerbuLwBLn hiov2DGi1BTfMBaeXatLxBI9gBaerbd9wDYLwzYbItLDharqqtubsr 4rNCHbGeaGqkY=Mj0xXdbba91rFfpec8Eeeu0xXdbba9frFj0=OqFf ea0dXdd9vqaq=JfrVkFHe9pgea0dXdar=Jb9hs0dXdbPYxe9vr0=vr 0=vqpWqaaeaabiGaciaacaqabeaadaqaaqaaaOqaaiaadIfacqGHKj YOdaWgaaWcbaGaamiBaiaadkhaaeqaaOGaamywaaaa@3C9C@ and hence X hr Y MathType@MTEF@5@5@+= feaagKart1ev2aaatCvAUfeBSjuyZL2yd9gzLbvyNv2CaerbuLwBLn hiov2DGi1BTfMBaeXatLxBI9gBaerbd9wDYLwzYbItLDharqqtubsr 4rNCHbGeaGqkY=Mj0xXdbba91rFfpec8Eeeu0xXdbba9frFj0=OqFf ea0dXdd9vqaq=JfrVkFHe9pgea0dXdar=Jb9hs0dXdbPYxe9vr0=vr 0=vqpWqaaeaabiGaciaacaqabeaadaqaaqaaaOqaaiaadIfacqGHKj YOdaWgaaWcbaGaamiAaiaadkhaaeqaaOGaamywaaaa@3C98@ , X mrl Y MathType@MTEF@5@5@+= feaagKart1ev2aaatCvAUfeBSjuyZL2yd9gzLbvyNv2CaerbuLwBLn hiov2DGi1BTfMBaeXatLxBI9gBaerbd9wDYLwzYbItLDharqqtubsr 4rNCHbGeaGqkY=Mj0xXdbba91rFfpec8Eeeu0xXdbba9frFj0=OqFf ea0dXdd9vqaq=JfrVkFHe9pgea0dXdar=Jb9hs0dXdbPYxe9vr0=vr 0=vqpWqaaeaabiGaciaacaqabeaadaqaaqaaaOqaaiaadIfacqGHKj YOdaWgaaWcbaGaamyBaiaadkhacaWGSbaabeaakiaadMfaaaa@3D8E@ and X st Y MathType@MTEF@5@5@+= feaagKart1ev2aaatCvAUfeBSjuyZL2yd9gzLbvyNv2CaerbuLwBLn hiov2DGi1BTfMBaeXatLxBI9gBaerbd9wDYLwzYbItLDharqqtubsr 4rNCHbGeaGqkY=Mj0xXdbba91rFfpec8Eeeu0xXdbba9frFj0=OqFf ea0dXdd9vqaq=JfrVkFHe9pgea0dXdar=Jb9hs0dXdbPYxe9vr0=vr 0=vqpWqaaeaabiGaciaacaqabeaadaqaaqaaaOqaaiaadIfacqGHKj YOdaWgaaWcbaGaam4CaiaadshaaeqaaOGaamywaaaa@3CA5@ .

Renyi entropy measure

A measure of variation of uncertainty of a random variable X is known as Renyi entropy measure and given by Renyi.7 If X is a continuous random variable having pdf f(.), then Renyi entropy is defined as

T R ( γ )= 1 1γ log{ f γ ( x )dx } MathType@MTEF@5@5@+= feaagKart1ev2aaatCvAUfeBSjuyZL2yd9gzLbvyNv2CaerbuLwBLn hiov2DGi1BTfMBaeXatLxBI9gBaerbd9wDYLwzYbItLDharqqtubsr 4rNCHbGeaGqkY=Mj0xXdbba91rFfpec8Eeeu0xXdbba9frFj0=OqFf ea0dXdd9vqaq=JfrVkFHe9pgea0dXdar=Jb9hs0dXdbPYxe9vr0=vr 0=vqpWqaaeaabiGaciaacaqabeaadaqaaqaaaOqaaiaadsfadaWgaa WcbaGaamOuaaqabaGcdaqadaqaaiabeo7aNbGaayjkaiaawMcaaiab g2da9maalaaabaGaaGymaaqaaiaaigdacqGHsislcqaHZoWzaaGaci iBaiaac+gacaGGNbWaaiWaaeaadaWdbaqaaiaadAgadaahaaWcbeqa aiabeo7aNbaakmaabmaabaGaamiEaaGaayjkaiaawMcaaiaadsgaca WG4baaleqabeqdcqGHRiI8aaGccaGL7bGaayzFaaaaaa@4F7F@  ,where γ>0  and  γ1 MathType@MTEF@5@5@+= feaagKart1ev2aaatCvAUfeBSjuyZL2yd9gzLbvyNv2CaerbuLwBLn hiov2DGi1BTfMBaeXatLxBI9gBaerbd9wDYLwzYbItLDharqqtubsr 4rNCHbGeaGqkY=Mj0xXdbba91rFfpec8Eeeu0xXdbba9frFj0=OqFf ea0dXdd9vqaq=JfrVkFHe9pgea0dXdar=Jb9hs0dXdbPYxe9vr0=vr 0=vqpWqaaeaabiGaciaacaqabeaadaqaaqaaaOqaaiabeo7aNjabg6 da+iaaicdaqaaaaaaaaaWdbiaacckacaGGGcWdaiaabggacaqGUbGa aeiza8qacaGGGcGaaiiOa8aacqaHZoWzcqGHGjsUcaaIXaaaaa@463A@ .

Thus, the Renyi entropy of TPSD can be obtained as

T R ( γ )= 1 1γ log[ 0 θ 5 γ ( α θ 4 +24 ) γ ( α+ x 4 ) γ e θγx dx ] MathType@MTEF@5@5@+= feaagKart1ev2aaatCvAUfeBSjuyZL2yd9gzLbvyNv2CaerbuLwBLn hiov2DGi1BTfMBaeXatLxBI9gBaerbd9wDYLwzYbItLDharqqtubsr 4rNCHbGeaGqkY=Mj0xXdbba91rFfpec8Eeeu0xXdbba9frFj0=OqFf ea0dXdd9vqaq=JfrVkFHe9pgea0dXdar=Jb9hs0dXdbPYxe9vr0=vr 0=vqpWqaaeaabiGaciaacaqabeaadaqaaqaaaOqaaiaadsfadaWgaa WcbaGaamOuaaqabaGcdaqadaqaaiabeo7aNbGaayjkaiaawMcaaiab g2da9maalaaabaGaaGymaaqaaiaaigdacqGHsislcqaHZoWzaaGaci iBaiaac+gacaGGNbWaamWaaeaadaWdXbqaamaalaaabaGaeqiUde3a aWbaaSqabeaacaaI1aaaaOWaaWbaaSqabeaacqaHZoWzaaaakeaada qadaqaaiabeg7aHjabeI7aXnaaCaaaleqabaGaaGinaaaakiabgUca RiaaikdacaaI0aaacaGLOaGaayzkaaWaaWbaaSqabeaacqaHZoWzaa aaaOWaaeWaaeaacqaHXoqycqGHRaWkcaWG4bWaaWbaaSqabeaacaaI 0aaaaaGccaGLOaGaayzkaaWaaWbaaSqabeaacqaHZoWzaaGccaWGLb WaaWbaaSqabeaacqGHsislcqaH4oqCcqaHZoWzcaWG4baaaOGaamiz aiaadIhaaSqaaiaaicdaaeaacqGHEisPa0Gaey4kIipaaOGaay5wai aaw2faaaaa@6973@  

= 1 1γ log[ j=0 ( γ j ) θ 5 γ4j1 α γj ( α θ 4 +24 ) γ Γ( 4j+1 ) ( γ ) 4j+1 ] MathType@MTEF@5@5@+= feaagKart1ev2aaatCvAUfeBSjuyZL2yd9gzLbvyNv2CaerbuLwBLn hiov2DGi1BTfMBaeXatLxBI9gBaerbd9wDYLwzYbItLDharqqtubsr 4rNCHbGeaGqkY=Mj0xXdbba91rFfpec8Eeeu0xXdbba9frFj0=OqFf ea0dXdd9vqaq=JfrVkFHe9pgea0dXdar=Jb9hs0dXdbPYxe9vr0=vr 0=vqpWqaaeaabiGaciaacaqabeaadaqaaqaaaOqaaiabg2da9maala aabaGaaGymaaqaaiaaigdacqGHsislcqaHZoWzaaGaciiBaiaac+ga caGGNbWaamWaaeaadaaeWbqaamaabmaabaqbaeqabiqaaaqaaiabeo 7aNbqaaiaadQgaaaaacaGLOaGaayzkaaaaleaacaWGQbGaeyypa0Ja aGimaaqaaiabg6HiLcqdcqGHris5aOWaaSaaaeaacqaH4oqCdaahaa WcbeqaaiaaiwdaaaGcdaahaaWcbeqaaiabeo7aNjabgkHiTiaaisda caWGQbGaeyOeI0IaaGymaaaakiabeg7aHnaaCaaaleqabaGaeq4SdC MaeyOeI0IaamOAaaaaaOqaamaabmaabaGaeqySdeMaaGPaVlabeI7a XnaaCaaaleqabaGaaGinaaaakiabgUcaRiaaikdacaaI0aaacaGLOa GaayzkaaWaaWbaaSqabeaacqaHZoWzaaaaaOWaaSaaaeaacqqHtoWr daqadaqaaiaaisdacaWGQbGaey4kaSIaaGymaaGaayjkaiaawMcaaa qaamaabmaabaGaeq4SdCgacaGLOaGaayzkaaWaaWbaaSqabeaacaaI 0aGaamOAaiabgUcaRiaaigdaaaaaaaGccaGLBbGaayzxaaaaaa@7251@  .

Stress-strength reliability

Let X and Y denote the strength and the stress of a component. The stress- strength reliability describes the life of a component whose random strength is subjected to a random stress. When X<Y MathType@MTEF@5@5@+= feaagKart1ev2aaatCvAUfeBSjuyZL2yd9gzLbvyNv2CaerbuLwBLn hiov2DGi1BTfMBaeXatLxBI9gBaerbd9wDYLwzYbItLDharqqtubsr 4rNCHbGeaGqkY=Mj0xXdbba91rFfpec8Eeeu0xXdbba9frFj0=OqFf ea0dXdd9vqaq=JfrVkFHe9pgea0dXdar=Jb9hs0dXdbPYxe9vr0=vr 0=vqpWqaaeaabiGaciaacaqabeaadaqaaqaaaOqaaiaadIfacqGH8a apcaWGzbaaaa@39CD@ , the component fails instantly and the component will function satisfactorily till X>Y MathType@MTEF@5@5@+= feaagKart1ev2aaatCvAUfeBSjuyZL2yd9gzLbvyNv2CaerbuLwBLn hiov2DGi1BTfMBaeXatLxBI9gBaerbd9wDYLwzYbItLDharqqtubsr 4rNCHbGeaGqkY=Mj0xXdbba91rFfpec8Eeeu0xXdbba9frFj0=OqFf ea0dXdd9vqaq=JfrVkFHe9pgea0dXdar=Jb9hs0dXdbPYxe9vr0=vr 0=vqpWqaaeaabiGaciaacaqabeaadaqaaqaaaOqaaiaadIfacqGH+a GpcaWGzbaaaa@39D1@ . Therefore, R=P( Y<X ) MathType@MTEF@5@5@+= feaagKart1ev2aaatCvAUfeBSjuyZL2yd9gzLbvyNv2CaerbuLwBLn hiov2DGi1BTfMBaeXatLxBI9gBaerbd9wDYLwzYbItLDharqqtubsr 4rNCHbGeaGqkY=Mj0xXdbba91rFfpec8Eeeu0xXdbba9frFj0=OqFf ea0dXdd9vqaq=JfrVkFHe9pgea0dXdar=Jb9hs0dXdbPYxe9vr0=vr 0=vqpWqaaeaabiGaciaacaqabeaadaqaaqaaaOqaaiaadkfacqGH9a qpcaWGqbWaaeWaaeaacaWGzbGaeyipaWJaamiwaaGaayjkaiaawMca aaaa@3E08@ is the measure of component reliability and is known as stress-strength parameter. It has wide applications in engineering, biomedical science, social science etc.

Let X and Y are independent strength and stress random variables having TPSD with parameter ( θ 1 , α 1 ) MathType@MTEF@5@5@+= feaagKart1ev2aaatCvAUfeBSjuyZL2yd9gzLbvyNv2CaerbuLwBLn hiov2DGi1BTfMBaeXatLxBI9gBaerbd9wDYLwzYbItLDharqqtubsr 4rNCHbGeaGqkY=Mj0xXdbba91rFfpec8Eeeu0xXdbba9frFj0=OqFf ea0dXdd9vqaq=JfrVkFHe9pgea0dXdar=Jb9hs0dXdbPYxe9vr0=vr 0=vqpWqaaeaabiGaciaacaqabeaadaqaaqaaaOqaamaabmaabaGaeq iUde3aaSbaaSqaaiaaigdaaeqaaOGaaiilaiabeg7aHnaaBaaaleaa caaIXaaabeaaaOGaayjkaiaawMcaaaaa@3E7E@  and ( θ 2 , α 2 ) MathType@MTEF@5@5@+= feaagKart1ev2aaatCvAUfeBSjuyZL2yd9gzLbvyNv2CaerbuLwBLn hiov2DGi1BTfMBaeXatLxBI9gBaerbd9wDYLwzYbItLDharqqtubsr 4rNCHbGeaGqkY=Mj0xXdbba91rFfpec8Eeeu0xXdbba9frFj0=OqFf ea0dXdd9vqaq=JfrVkFHe9pgea0dXdar=Jb9hs0dXdbPYxe9vr0=vr 0=vqpWqaaeaabiGaciaacaqabeaadaqaaqaaaOqaamaabmaabaGaeq iUde3aaSbaaSqaaiaaikdaaeqaaOGaaiilaiabeg7aHnaaBaaaleaa caaIYaaabeaaaOGaayjkaiaawMcaaaaa@3E80@ , respectively. Then, the stress-strength reliability R of TPSD can be obtained as

R=P( Y<X )= 0 P( Y<X|X=x ) f X ( x )dx= 0 f( x; θ 1 , α 1 )   F( x; θ 2 , α 2 )dx MathType@MTEF@5@5@+= feaagKart1ev2aaatCvAUfeBSjuyZL2yd9gzLbvyNv2CaerbuLwBLn hiov2DGi1BTfMBaeXatLxBI9gBaerbd9wDYLwzYbItLDharqqtubsr 4rNCHbGeaGqkY=Mj0xXdbba91rFfpec8Eeeu0xXdbba9frFj0=OqFf ea0dXdd9vqaq=JfrVkFHe9pgea0dXdar=Jb9hs0dXdbPYxe9vr0=vr 0=vqpWqaaeaabiGaciaacaqabeaadaqaaqaaaOqaaiaadkfacqGH9a qpcaWGqbWaaeWaaeaacaWGzbGaeyipaWJaamiwaaGaayjkaiaawMca aiabg2da9maapehabaGaamiuamaabmaabaGaamywaiabgYda8iaadI facaGG8bGaamiwaiabg2da9iaadIhaaiaawIcacaGLPaaaaSqaaiaa icdaaeaacqGHEisPa0Gaey4kIipakiaadAgadaWgaaWcbaGaamiwaa qabaGcdaqadaqaaiaadIhaaiaawIcacaGLPaaacaWGKbGaamiEaiab g2da9maapehabaGaamOzamaabmaabaGaamiEaiaacUdacqaH4oqCda WgaaWcbaGaaGymaaqabaGccaGGSaGaeqySde2aaSbaaSqaaiaaigda aeqaaaGccaGLOaGaayzkaaaaleaacaaIWaaabaGaeyOhIukaniabgU IiYdGcqaaaaaaaaaWdbiaacckacaGGGcWdaiaadAeadaqadaqaaiaa dIhacaGG7aGaeqiUde3aaSbaaSqaaiaaikdaaeqaaOGaaiilaiabeg 7aHnaaBaaaleaacaaIYaaabeaaaOGaayjkaiaawMcaaiaadsgacaWG 4baaaa@7124@  

=1 θ 1 5 [ 40320 θ 2 4 +20160 θ 2 3 ( θ 1 + θ 2 )+8640 θ 2 2 ( θ 1 + θ 2 ) 2 +2880 θ 2 ( θ 1 + θ 2 ) 3 +24( 2 α 1 θ 2 4 +24 ) ( θ 1 + θ 2 ) 4 +24 α 1 θ 2 3 ( θ 1 + θ 2 ) 5 +24 α 1 θ 2 2 ( θ 1 + θ 2 ) 6 +24 α 1 θ 2 ( θ 1 + θ 2 ) 7 + α 1 ( α 2 θ 2 4 +24 ) ( θ 1 + θ 2 ) 8 ] ( α 1 θ 1 4 +24 )( α 2 θ 2 4 +24 ) ( θ 1 + θ 2 ) 9 MathType@MTEF@5@5@+= feaagKart1ev2aaatCvAUfeBSjuyZL2yd9gzLbvyNv2CaerbuLwBLn hiov2DGi1BTfMBaeXatLxBI9gBaerbd9wDYLwzYbItLDharqqtubsr 4rNCHbGeaGqkY=Mj0xXdbba91rFfpec8Eeeu0xXdbba9frFj0=OqFf ea0dXdd9vqaq=JfrVkFHe9pgea0dXdar=Jb9hs0dXdbPYxe9vr0=vr 0=vqpWqaaeaabiGaciaacaqabeaadaqaaqaaaOqaaiabg2da9iaaig dacqGHsisldaWcaaqaaiabeI7aXnaaBaaaleaacaaIXaaabeaakmaa CaaaleqabaGaaGynaaaakmaadmaaeaqabeaacaaI0aGaaGimaiaaio dacaaIYaGaaGimaiabeI7aXnaaBaaaleaacaaIYaaabeaakmaaCaaa leqabaGaaGinaaaakiabgUcaRiaaikdacaaIWaGaaGymaiaaiAdaca aIWaGaeqiUde3aaSbaaSqaaiaaikdaaeqaaOWaaWbaaSqabeaacaaI ZaaaaOWaaeWaaeaacqaH4oqCdaWgaaWcbaGaaGymaaqabaGccqGHRa WkcqaH4oqCdaWgaaWcbaGaaGOmaaqabaaakiaawIcacaGLPaaacqGH RaWkcaaI4aGaaGOnaiaaisdacaaIWaGaeqiUde3aaSbaaSqaaiaaik daaeqaaOWaaWbaaSqabeaacaaIYaaaaOWaaeWaaeaacqaH4oqCdaWg aaWcbaGaaGymaaqabaGccqGHRaWkcqaH4oqCdaWgaaWcbaGaaGOmaa qabaaakiaawIcacaGLPaaadaahaaWcbeqaaiaaikdaaaGccqGHRaWk caaIYaGaaGioaiaaiIdacaaIWaGaeqiUde3aaSbaaSqaaiaaikdaae qaaOWaaeWaaeaacqaH4oqCdaWgaaWcbaGaaGymaaqabaGccqGHRaWk cqaH4oqCdaWgaaWcbaGaaGOmaaqabaaakiaawIcacaGLPaaadaahaa WcbeqaaiaaiodaaaaakeaacqGHRaWkcaaIYaGaaGinamaabmaabaGa aGOmaiabeg7aHnaaBaaaleaacaaIXaaabeaakiabeI7aXnaaBaaale aacaaIYaaabeaakmaaCaaaleqabaGaaGinaaaakiabgUcaRiaaikda caaI0aaacaGLOaGaayzkaaWaaeWaaeaacqaH4oqCdaWgaaWcbaGaaG ymaaqabaGccqGHRaWkcqaH4oqCdaWgaaWcbaGaaGOmaaqabaaakiaa wIcacaGLPaaadaahaaWcbeqaaiaaisdaaaGccqGHRaWkcaaIYaGaaG inaiabeg7aHnaaBaaaleaacaaIXaaabeaakiabeI7aXnaaBaaaleaa caaIYaaabeaakmaaCaaaleqabaGaaG4maaaakmaabmaabaGaeqiUde 3aaSbaaSqaaiaaigdaaeqaaOGaey4kaSIaeqiUde3aaSbaaSqaaiaa ikdaaeqaaaGccaGLOaGaayzkaaWaaWbaaSqabeaacaaI1aaaaOGaey 4kaSIaaGOmaiaaisdacqaHXoqydaWgaaWcbaGaaGymaaqabaGccqaH 4oqCdaWgaaWcbaGaaGOmaaqabaGcdaahaaWcbeqaaiaaikdaaaGcda qadaqaaiabeI7aXnaaBaaaleaacaaIXaaabeaakiabgUcaRiabeI7a XnaaBaaaleaacaaIYaaabeaaaOGaayjkaiaawMcaamaaCaaaleqaba GaaGOnaaaaaOqaaiabgUcaRiaaikdacaaI0aGaeqySde2aaSbaaSqa aiaaigdaaeqaaOGaeqiUde3aaSbaaSqaaiaaikdaaeqaaOWaaeWaae aacqaH4oqCdaWgaaWcbaGaaGymaaqabaGccqGHRaWkcqaH4oqCdaWg aaWcbaGaaGOmaaqabaaakiaawIcacaGLPaaadaahaaWcbeqaaiaaiE daaaGccqGHRaWkcqaHXoqydaWgaaWcbaGaaGymaaqabaGcdaqadaqa aiabeg7aHnaaBaaaleaacaaIYaaabeaakiabeI7aXnaaBaaaleaaca aIYaaabeaakmaaCaaaleqabaGaaGinaaaakiabgUcaRiaaikdacaaI 0aaacaGLOaGaayzkaaWaaeWaaeaacqaH4oqCdaWgaaWcbaGaaGymaa qabaGccqGHRaWkcqaH4oqCdaWgaaWcbaGaaGOmaaqabaaakiaawIca caGLPaaadaahaaWcbeqaaiaaiIdaaaaaaOGaay5waiaaw2faaaqaam aabmaabaGaeqySde2aaSbaaSqaaiaaigdaaeqaaOGaeqiUde3aaSba aSqaaiaaigdaaeqaaOWaaWbaaSqabeaacaaI0aaaaOGaey4kaSIaaG OmaiaaisdaaiaawIcacaGLPaaadaqadaqaaiabeg7aHnaaBaaaleaa caaIYaaabeaakiabeI7aXnaaBaaaleaacaaIYaaabeaakmaaCaaale qabaGaaGinaaaakiabgUcaRiaaikdacaaI0aaacaGLOaGaayzkaaWa aeWaaeaacqaH4oqCdaWgaaWcbaGaaGymaaqabaGccqGHRaWkcqaH4o qCdaWgaaWcbaGaaGOmaaqabaaakiaawIcacaGLPaaadaahaaWcbeqa aiaaiMdaaaaaaaaa@F179@  .

Estimation of parameters

Method of moments

Since TPSD has two parameters to be estimated, the first two moments about origin are required to estimate its parameters. We have

μ 2 ( μ 1 ) 2 = 2( α θ 4 +360 )( α θ 4 +24 ) ( α θ 4 +120 ) 2 =k MathType@MTEF@5@5@+= feaagKart1ev2aaatCvAUfeBSjuyZL2yd9gzLbvyNv2CaerbuLwBLn hiov2DGi1BTfMBaeXatLxBI9gBaerbd9wDYLwzYbItLDharqqtubsr 4rNCHbGeaGqkY=Mj0xXdbba91rFfpec8Eeeu0xXdbba9frFj0=OqFf ea0dXdd9vqaq=JfrVkFHe9pgea0dXdar=Jb9hs0dXdbPYxe9vr0=vr 0=vqpWqaaeaabiGaciaacaqabeaadaqaaqaaaOqaamaalaaabaGaeq iVd02aaSbaaSqaaiaaikdaaeqaaOWaaWbaaSqabeaakiadacUHYaIO aaaabaWaaeWaaeaacqaH8oqBdaWgaaWcbaGaaGymaaqabaGcdaahaa WcbeqaaOGamai4gkdiIcaaaiaawIcacaGLPaaadaahaaWcbeqaaiaa ikdaaaaaaOGaeyypa0ZaaSaaaeaacaaIYaWaaeWaaeaacqaHXoqycq aH4oqCdaahaaWcbeqaaiaaisdaaaGccqGHRaWkcaaIZaGaaGOnaiaa icdaaiaawIcacaGLPaaadaqadaqaaiabeg7aHjabeI7aXnaaCaaale qabaGaaGinaaaakiabgUcaRiaaikdacaaI0aaacaGLOaGaayzkaaaa baWaaeWaaeaacqaHXoqycqaH4oqCdaahaaWcbeqaaiaaisdaaaGccq GHRaWkcaaIXaGaaGOmaiaaicdaaiaawIcacaGLPaaadaahaaWcbeqa aiaaikdaaaaaaOGaeyypa0Jaam4Aaaaa@63E3@  (Say)

Taking b=α θ 4 MathType@MTEF@5@5@+= feaagKart1ev2aaatCvAUfeBSjuyZL2yd9gzLbvyNv2CaerbuLwBLn hiov2DGi1BTfMBaeXatLxBI9gBaerbd9wDYLwzYbItLDharqqtubsr 4rNCHbGeaGqkY=Mj0xXdbba91rFfpec8Eeeu0xXdbba9frFj0=OqFf ea0dXdd9vqaq=JfrVkFHe9pgea0dXdar=Jb9hs0dXdbPYxe9vr0=vr 0=vqpWqaaeaabiGaciaacaqabeaadaqaaqaaaOqaaiaadkgacqGH9a qpcqaHXoqycqaH4oqCdaahaaWcbeqaaiaaisdaaaaaaa@3D3B@ , above equation becomes

2( b+360 )( b+24 ) ( b+120 ) 2 =k MathType@MTEF@5@5@+= feaagKart1ev2aaatCvAUfeBSjuyZL2yd9gzLbvyNv2CaerbuLwBLn hiov2DGi1BTfMBaeXatLxBI9gBaerbd9wDYLwzYbItLDharqqtubsr 4rNCHbGeaGqkY=Mj0xXdbba91rFfpec8Eeeu0xXdbba9frFj0=OqFf ea0dXdd9vqaq=JfrVkFHe9pgea0dXdar=Jb9hs0dXdbPYxe9vr0=vr 0=vqpWqaaeaabiGaciaacaqabeaadaqaaqaaaOqaamaalaaabaGaaG OmamaabmaabaGaamOyaiabgUcaRiaaiodacaaI2aGaaGimaaGaayjk aiaawMcaamaabmaabaGaamOyaiabgUcaRiaaikdacaaI0aaacaGLOa GaayzkaaaabaWaaeWaaeaacaWGIbGaey4kaSIaaGymaiaaikdacaaI WaaacaGLOaGaayzkaaWaaWbaaSqabeaacaaIYaaaaaaakiabg2da9i aadUgaaaa@4A9B@  

2( b 2 +384b+8670 ) b 2 +240b+14400 =k MathType@MTEF@5@5@+= feaagKart1ev2aaatCvAUfeBSjuyZL2yd9gzLbvyNv2CaerbuLwBLn hiov2DGi1BTfMBaeXatLxBI9gBaerbd9wDYLwzYbItLDharqqtubsr 4rNCHbGeaGqkY=Mj0xXdbba91rFfpec8Eeeu0xXdbba9frFj0=OqFf ea0dXdd9vqaq=JfrVkFHe9pgea0dXdar=Jb9hs0dXdbPYxe9vr0=vr 0=vqpWqaaeaabiGaciaacaqabeaadaqaaqaaaOqaamaalaaabaGaaG OmamaabmaabaGaamOyamaaCaaaleqabaGaaGOmaaaakiabgUcaRiaa iodacaaI4aGaaGinaiaadkgacqGHRaWkcaaI4aGaaGOnaiaaiEdaca aIWaaacaGLOaGaayzkaaaabaGaamOyamaaCaaaleqabaGaaGOmaaaa kiabgUcaRiaaikdacaaI0aGaaGimaiaadkgacqGHRaWkcaaIXaGaaG inaiaaisdacaaIWaGaaGimaaaacqGH9aqpcaWGRbaaaa@4F7C@  

( k2 ) b 2 +( 240k768 )b+( 14400k17340 )=0 MathType@MTEF@5@5@+= feaagKart1ev2aaatCvAUfeBSjuyZL2yd9gzLbvyNv2CaerbuLwBLn hiov2DGi1BTfMBaeXatLxBI9gBaerbd9wDYLwzYbItLDharqqtubsr 4rNCHbGeaGqkY=Mj0xXdbba91rFfpec8Eeeu0xXdbba9frFj0=OqFf ea0dXdd9vqaq=JfrVkFHe9pgea0dXdar=Jb9hs0dXdbPYxe9vr0=vr 0=vqpWqaaeaabiGaciaacaqabeaadaqaaqaaaOqaamaabmaabaGaam 4AaiabgkHiTiaaikdaaiaawIcacaGLPaaacaWGIbWaaWbaaSqabeaa caaIYaaaaOGaey4kaSYaaeWaaeaacaaIYaGaaGinaiaaicdacaWGRb GaeyOeI0IaaG4naiaaiAdacaaI4aaacaGLOaGaayzkaaGaamOyaiab gUcaRmaabmaabaGaaGymaiaaisdacaaI0aGaaGimaiaaicdacaWGRb GaeyOeI0IaaGymaiaaiEdacaaIZaGaaGinaiaaicdaaiaawIcacaGL PaaacqGH9aqpcaaIWaaaaa@5414@  (11.1.1)

Now, for real root of, the discriminant of the above equation should be greater than and equal to zero. That is

( 240k768 ) 2 4( k2 )( 14400k17340 )0k2.45 MathType@MTEF@5@5@+= feaagKart1ev2aaatCvAUfeBSjuyZL2yd9gzLbvyNv2CaerbuLwBLn hiov2DGi1BTfMBaeXatLxBI9gBaerbd9wDYLwzYbItLDharqqtubsr 4rNCHbGeaGqkY=Mj0xXdbba91rFfpec8Eeeu0xXdbba9frFj0=OqFf ea0dXdd9vqaq=JfrVkFHe9pgea0dXdar=Jb9hs0dXdbPYxe9vr0=vr 0=vqpWqaaeaabiGaciaacaqabeaadaqaaqaaaOqaamaabmaabaGaaG OmaiaaisdacaaIWaGaam4AaiabgkHiTiaaiEdacaaI2aGaaGioaaGa ayjkaiaawMcaamaaCaaaleqabaGaaGOmaaaakiabgkHiTiaaisdada qadaqaaiaadUgacqGHsislcaaIYaaacaGLOaGaayzkaaWaaeWaaeaa caaIXaGaaGinaiaaisdacaaIWaGaaGimaiaadUgacqGHsislcaaIXa GaaG4naiaaiodacaaI0aGaaGimaaGaayjkaiaawMcaaiabgwMiZkaa icdacqGHshI3caWGRbGaeyizImQaaGOmaiaac6cacaaI0aGaaGynaa aa@5ADA@ .

This means that the method of moments estimate is applicable if k= m 2 ( x ¯ ) 2 2.45 MathType@MTEF@5@5@+= feaagKart1ev2aaatCvAUfeBSjuyZL2yd9gzLbvyNv2CaerbuLwBLn hiov2DGi1BTfMBaeXatLxBI9gBaerbd9wDYLwzYbItLDharqqtubsr 4rNCHbGeaGqkY=Mj0xXdbba91rFfpec8Eeeu0xXdbba9frFj0=OqFf ea0dXdd9vqaq=JfrVkFHe9pgea0dXdar=Jb9hs0dXdbPYxe9vr0=vr 0=vqpWqaaeaabiGaciaacaqabeaadaqaaqaaaOqaaiaadUgacqGH9a qpdaWcaaqaaiaad2gadaWgaaWcbaGaaGOmaaqabaGcdaahaaWcbeqa aOGamai4gkdiIcaaaeaadaqadaqaaiqadIhagaqeaaGaayjkaiaawM caamaaCaaaleqabaGaaGOmaaaaaaGccqGHKjYOcaaIYaGaaiOlaiaa isdacaaI1aaaaa@4648@ , where m 2 MathType@MTEF@5@5@+= feaagKart1ev2aaatCvAUfeBSjuyZL2yd9gzLbvyNv2CaerbuLwBLn hiov2DGi1BTfMBaeXatLxBI9gBaerbd9wDYLwzYbItLDharqqtubsr 4rNCHbGeaGqkY=Mj0xXdbba91rFfpec8Eeeu0xXdbba9frFj0=OqFf ea0dXdd9vqaq=JfrVkFHe9pgea0dXdar=Jb9hs0dXdbPYxe9vr0=vr 0=vqpWqaaeaabiGaciaacaqabeaadaqaaqaaaOqaaiaad2gadaWgaa WcbaGaaGOmaaqabaGcdaahaaWcbeqaaOGamai4gkdiIcaaaaa@3C11@ is the second moment about origin and x ¯ MathType@MTEF@5@5@+= feaagKart1ev2aaatCvAUfeBSjuyZL2yd9gzLbvyNv2CaerbuLwBLn hiov2DGi1BTfMBaeXatLxBI9gBaerbd9wDYLwzYbItLDharqqtubsr 4rNCHbGeaGqkY=Mj0xXdbba91rFfpec8Eeeu0xXdbba9frFj0=OqFf ea0dXdd9vqaq=JfrVkFHe9pgea0dXdar=Jb9hs0dXdbPYxe9vr0=vr 0=vqpWqaaeaabiGaciaacaqabeaadaqaaqaaaOqaaiqadIhagaqeaa aa@3823@ is the sample mean of the dataset. Now taking b=α θ 4 MathType@MTEF@5@5@+= feaagKart1ev2aaatCvAUfeBSjuyZL2yd9gzLbvyNv2CaerbuLwBLn hiov2DGi1BTfMBaeXatLxBI9gBaerbd9wDYLwzYbItLDharqqtubsr 4rNCHbGeaGqkY=Mj0xXdbba91rFfpec8Eeeu0xXdbba9frFj0=OqFf ea0dXdd9vqaq=JfrVkFHe9pgea0dXdar=Jb9hs0dXdbPYxe9vr0=vr 0=vqpWqaaeaabiGaciaacaqabeaadaqaaqaaaOqaaiaadkgacqGH9a qpcqaHXoqycqaH4oqCdaahaaWcbeqaaiaaisdaaaaaaa@3D3B@  in the expression for mean, we get the moment estimate θ ˜ MathType@MTEF@5@5@+= feaagKart1ev2aaatCvAUfeBSjuyZL2yd9gzLbvyNv2CaerbuLwBLn hiov2DGi1BTfMBaeXatLxBI9gBaerbd9wDYLwzYbItLDharqqtubsr 4rNCHbGeaGqkY=Mj0xXdbba91rFfpec8Eeeu0xXdbba9frFj0=OqFf ea0dXdd9vqaq=JfrVkFHe9pgea0dXdar=Jb9hs0dXdbPYxe9vr0=vr 0=vqpWqaaeaabiGaciaacaqabeaadaqaaqaaaOqaaiqbeI7aXzaaia aaaa@38D3@ of θ MathType@MTEF@5@5@+= feaagKart1ev2aaatCvAUfeBSjuyZL2yd9gzLbvyNv2CaerbuLwBLn hiov2DGi1BTfMBaeXatLxBI9gBaerbd9wDYLwzYbItLDharqqtubsr 4rNCHbGeaGqkY=Mj0xXdbba91rFfpec8Eeeu0xXdbba9frFj0=OqFf ea0dXdd9vqaq=JfrVkFHe9pgea0dXdar=Jb9hs0dXdbPYxe9vr0=vr 0=vqpWqaaeaabiGaciaacaqabeaadaqaaqaaaOqaaiabeI7aXbaa@38C4@ as

α θ 4 +120 θ( α θ 4 +24 ) = b+120 θ( b+24 ) = x ¯ θ ˜ = b+120 ( b+24 ) x ¯ MathType@MTEF@5@5@+= feaagKart1ev2aaatCvAUfeBSjuyZL2yd9gzLbvyNv2CaerbuLwBLn hiov2DGi1BTfMBaeXatLxBI9gBaerbd9wDYLwzYbItLDharqqtubsr 4rNCHbGeaGqkY=Mj0xXdbba91rFfpec8Eeeu0xXdbba9frFj0=OqFf ea0dXdd9vqaq=JfrVkFHe9pgea0dXdar=Jb9hs0dXdbPYxe9vr0=vr 0=vqpWqaaeaabiGaciaacaqabeaadaqaaqaaaOqaamaalaaabaGaeq ySdeMaeqiUde3aaWbaaSqabeaacaaI0aaaaOGaey4kaSIaaGymaiaa ikdacaaIWaaabaGaeqiUde3aaeWaaeaacqaHXoqycqaH4oqCdaahaa WcbeqaaiaaisdaaaGccqGHRaWkcaaIYaGaaGinaaGaayjkaiaawMca aaaacqGH9aqpdaWcaaqaaiaadkgacqGHRaWkcaaIXaGaaGOmaiaaic daaeaacqaH4oqCdaqadaqaaiaadkgacqGHRaWkcaaIYaGaaGinaaGa ayjkaiaawMcaaaaacqGH9aqpceWG4bGbaebacqGHshI3cuaH4oqCga acaiabg2da9maalaaabaGaamOyaiabgUcaRiaaigdacaaIYaGaaGim aaqaamaabmaabaGaamOyaiabgUcaRiaaikdacaaI0aaacaGLOaGaay zkaaGabmiEayaaraaaaaaa@6520@ .

Using the moment estimate of θ MathType@MTEF@5@5@+= feaagKart1ev2aaatCvAUfeBSjuyZL2yd9gzLbvyNv2CaerbuLwBLn hiov2DGi1BTfMBaeXatLxBI9gBaerbd9wDYLwzYbItLDharqqtubsr 4rNCHbGeaGqkY=Mj0xXdbba91rFfpec8Eeeu0xXdbba9frFj0=OqFf ea0dXdd9vqaq=JfrVkFHe9pgea0dXdar=Jb9hs0dXdbPYxe9vr0=vr 0=vqpWqaaeaabiGaciaacaqabeaadaqaaqaaaOqaaiabeI7aXbaa@38C4@  in b=α θ 4 MathType@MTEF@5@5@+= feaagKart1ev2aaatCvAUfeBSjuyZL2yd9gzLbvyNv2CaerbuLwBLn hiov2DGi1BTfMBaeXatLxBI9gBaerbd9wDYLwzYbItLDharqqtubsr 4rNCHbGeaGqkY=Mj0xXdbba91rFfpec8Eeeu0xXdbba9frFj0=OqFf ea0dXdd9vqaq=JfrVkFHe9pgea0dXdar=Jb9hs0dXdbPYxe9vr0=vr 0=vqpWqaaeaabiGaciaacaqabeaadaqaaqaaaOqaaiaadkgacqGH9a qpcqaHXoqycqaH4oqCdaahaaWcbeqaaiaaisdaaaaaaa@3D3B@ , we get the moment estimate α ˜ MathType@MTEF@5@5@+= feaagKart1ev2aaatCvAUfeBSjuyZL2yd9gzLbvyNv2CaerbuLwBLn hiov2DGi1BTfMBaeXatLxBI9gBaerbd9wDYLwzYbItLDharqqtubsr 4rNCHbGeaGqkY=Mj0xXdbba91rFfpec8Eeeu0xXdbba9frFj0=OqFf ea0dXdd9vqaq=JfrVkFHe9pgea0dXdar=Jb9hs0dXdbPYxe9vr0=vr 0=vqpWqaaeaabiGaciaacaqabeaadaqaaqaaaOqaaiqbeg7aHzaaia aaaa@38BC@ of α as

α ˜ = b ( θ ˜ ) 4 = b ( b+124 ) 4 ( x ¯ ) 4 ( b+120 ) 4 MathType@MTEF@5@5@+= feaagKart1ev2aaatCvAUfeBSjuyZL2yd9gzLbvyNv2CaerbuLwBLn hiov2DGi1BTfMBaeXatLxBI9gBaerbd9wDYLwzYbItLDharqqtubsr 4rNCHbGeaGqkY=Mj0xXdbba91rFfpec8Eeeu0xXdbba9frFj0=OqFf ea0dXdd9vqaq=JfrVkFHe9pgea0dXdar=Jb9hs0dXdbPYxe9vr0=vr 0=vqpWqaaeaabiGaciaacaqabeaadaqaaqaaaOqaaiqbeg7aHzaaia Gaeyypa0ZaaSaaaeaacaWGIbaabaWaaeWaaeaacuaH4oqCgaacaaGa ayjkaiaawMcaamaaCaaaleqabaGaaGinaaaaaaGccqGH9aqpdaWcaa qaaiaadkgadaqadaqaaiaadkgacqGHRaWkcaaIXaGaaGOmaiaaisda aiaawIcacaGLPaaadaahaaWcbeqaaiaaisdaaaGcdaqadaqaaiqadI hagaqeaaGaayjkaiaawMcaamaaCaaaleqabaGaaGinaaaaaOqaamaa bmaabaGaamOyaiabgUcaRiaaigdacaaIYaGaaGimaaGaayjkaiaawM caamaaCaaaleqabaGaaGinaaaaaaaaaa@5176@

Thus the method of moment estimates ( θ ˜ , α ˜ ) MathType@MTEF@5@5@+= feaagKart1ev2aaatCvAUfeBSjuyZL2yd9gzLbvyNv2CaerbuLwBLn hiov2DGi1BTfMBaeXatLxBI9gBaerbd9wDYLwzYbItLDharqqtubsr 4rNCHbGeaGqkY=Mj0xXdbba91rFfpec8Eeeu0xXdbba9frFj0=OqFf ea0dXdd9vqaq=JfrVkFHe9pgea0dXdar=Jb9hs0dXdbPYxe9vr0=vr 0=vqpWqaaeaabiGaciaacaqabeaadaqaaqaaaOqaamaabmaabaGafq iUdeNbaGaacaGGSaGafqySdeMbaGaaaiaawIcacaGLPaaaaaa@3CBA@  of parameters ( θ,α ) MathType@MTEF@5@5@+= feaagKart1ev2aaatCvAUfeBSjuyZL2yd9gzLbvyNv2CaerbuLwBLn hiov2DGi1BTfMBaeXatLxBI9gBaerbd9wDYLwzYbItLDharqqtubsr 4rNCHbGeaGqkY=Mj0xXdbba91rFfpec8Eeeu0xXdbba9frFj0=OqFf ea0dXdd9vqaq=JfrVkFHe9pgea0dXdar=Jb9hs0dXdbPYxe9vr0=vr 0=vqpWqaaeaabiGaciaacaqabeaadaqaaqaaaOqaamaabmaabaGaeq iUdeNaaiilaiabeg7aHbGaayjkaiaawMcaaaaa@3C9C@  of TPSD are given by

( θ ˜ , α ˜ )=( b+120 ( b+24 ) x ¯ , b ( b+124 ) 4 ( x ¯ ) 4 ( b+120 ) 4 ) MathType@MTEF@5@5@+= feaagKart1ev2aaatCvAUfeBSjuyZL2yd9gzLbvyNv2CaerbuLwBLn hiov2DGi1BTfMBaeXatLxBI9gBaerbd9wDYLwzYbItLDharqqtubsr 4rNCHbGeaGqkY=Mj0xXdbba91rFfpec8Eeeu0xXdbba9frFj0=OqFf ea0dXdd9vqaq=JfrVkFHe9pgea0dXdar=Jb9hs0dXdbPYxe9vr0=vr 0=vqpWqaaeaabiGaciaacaqabeaadaqaaqaaaOqaamaabmaabaGafq iUdeNbaGaacaGGSaGafqySdeMbaGaaaiaawIcacaGLPaaacqGH9aqp daqadaqaamaalaaabaGaamOyaiabgUcaRiaaigdacaaIYaGaaGimaa qaamaabmaabaGaamOyaiabgUcaRiaaikdacaaI0aaacaGLOaGaayzk aaGaaGPaVlqadIhagaqeaaaacaGGSaWaaSaaaeaacaWGIbWaaeWaae aacaWGIbGaey4kaSIaaGymaiaaikdacaaI0aaacaGLOaGaayzkaaWa aWbaaSqabeaacaaI0aaaaOWaaeWaaeaaceWG4bGbaebaaiaawIcaca GLPaaadaahaaWcbeqaaiaaisdaaaaakeaadaqadaqaaiaadkgacqGH RaWkcaaIXaGaaGOmaiaaicdaaiaawIcacaGLPaaadaahaaWcbeqaai aaisdaaaaaaaGccaGLOaGaayzkaaaaaa@5CED@ ,

 where b MathType@MTEF@5@5@+= feaagKart1ev2aaatCvAUfeBSjuyZL2yd9gzLbvyNv2CaerbuLwBLn hiov2DGi1BTfMBaeXatLxBI9gBaerbd9wDYLwzYbItLDharqqtubsr 4rNCHbGeaGqkY=Mj0xXdbba91rFfpec8Eeeu0xXdbba9frFj0=OqFf ea0dXdd9vqaq=JfrVkFHe9pgea0dXdar=Jb9hs0dXdbPYxe9vr0=vr 0=vqpWqaaeaabiGaciaacaqabeaadaqaaqaaaOqaaiaadkgaaaa@37F5@ is the value of the quadratic equation in (11.1.1).

Method of maximum likelihood

Let ( x 1 , x 2 , x 3 ,..., x n ) MathType@MTEF@5@5@+= feaagKart1ev2aaatCvAUfeBSjuyZL2yd9gzLbvyNv2CaerbuLwBLn hiov2DGi1BTfMBaeXatLxBI9gBaerbd9wDYLwzYbItLDharqqtubsr 4rNCHbGeaGqkY=Mj0xXdbba91rFfpec8Eeeu0xXdbba9frFj0=OqFf ea0dXdd9vqaq=JfrVkFHe9pgea0dXdar=Jb9hs0dXdbPYxe9vr0=vr 0=vqpWqaaeaabiGaciaacaqabeaadaqaaqaaaOqaamaabmaabaGaam iEamaaBaaaleaacaaIXaaabeaakiaacYcacaWG4bWaaSbaaSqaaiaa ikdaaeqaaOGaaiilaiaadIhadaWgaaWcbaGaaG4maaqabaGccaGGSa GaaiOlaiaac6cacaGGUaGaaiilaiaadIhadaWgaaWcbaGaamOBaaqa baaakiaawIcacaGLPaaaaaa@4560@  be a random sample of size n from TPSD (θ,α). Then the log- likelihood function of TPSD is given by

logL=n[ 5logθlog( α θ 4 +24 ) ]+ i=1 n log( α+ x i 4 ) nθ x ¯ MathType@MTEF@5@5@+= feaagKart1ev2aaatCvAUfeBSjuyZL2yd9gzLbvyNv2CaerbuLwBLn hiov2DGi1BTfMBaeXatLxBI9gBaerbd9wDYLwzYbItLDharqqtubsr 4rNCHbGeaGqkY=Mj0xXdbba91rFfpec8Eeeu0xXdbba9frFj0=OqFf ea0dXdd9vqaq=JfrVkFHe9pgea0dXdar=Jb9hs0dXdbPYxe9vr0=vr 0=vqpWqaaeaabiGaciaacaqabeaadaqaaqaaaOqaaiGacYgacaGGVb Gaai4zaiaadYeacqGH9aqpcaWGUbWaamWaaeaacaaI1aGaciiBaiaa c+gacaGGNbGaeqiUdeNaeyOeI0IaciiBaiaac+gacaGGNbWaaeWaae aacqaHXoqycqaH4oqCdaahaaWcbeqaaiaaisdaaaGccqGHRaWkcaaI YaGaaGinaaGaayjkaiaawMcaaaGaay5waiaaw2faaiabgUcaRmaaqa habaGaciiBaiaac+gacaGGNbWaaeWaaeaacqaHXoqycqGHRaWkcaWG 4bWaaSbaaSqaaiaadMgaaeqaaOWaaWbaaSqabeaacaaI0aaaaaGcca GLOaGaayzkaaGaeyOeI0caleaacaWGPbGaeyypa0JaaGymaaqaaiaa d6gaa0GaeyyeIuoakiaad6gacqaH4oqCceWG4bGbaebaaaa@6536@ .

The maximum likelihood estimates ( θ ^ , α ^ ) MathType@MTEF@5@5@+= feaagKart1ev2aaatCvAUfeBSjuyZL2yd9gzLbvyNv2CaerbuLwBLn hiov2DGi1BTfMBaeXatLxBI9gBaerbd9wDYLwzYbItLDharqqtubsr 4rNCHbGeaGqkY=Mj0xXdbba91rFfpec8Eeeu0xXdbba9frFj0=OqFf ea0dXdd9vqaq=JfrVkFHe9pgea0dXdar=Jb9hs0dXdbPYxe9vr0=vr 0=vqpWqaaeaabiGaciaacaqabeaadaqaaqaaaOqaamaabmaabaGafq iUdeNbaKaacaGGSaGafqySdeMbaKaaaiaawIcacaGLPaaaaaa@3CBC@  of parameters (θ,α) are the solution of the following log-likelihood equations

logL θ = 5n θ + 4nθα α θ 4 +24 n x ¯ =0 MathType@MTEF@5@5@+= feaagKart1ev2aaatCvAUfeBSjuyZL2yd9gzLbvyNv2CaerbuLwBLn hiov2DGi1BTfMBaeXatLxBI9gBaerbd9wDYLwzYbItLDharqqtubsr 4rNCHbGeaGqkY=Mj0xXdbba91rFfpec8Eeeu0xXdbba9frFj0=OqFf ea0dXdd9vqaq=JfrVkFHe9pgea0dXdar=Jb9hs0dXdbPYxe9vr0=vr 0=vqpWqaaeaabiGaciaacaqabeaadaqaaqaaaOqaamaalaaabaGaey OaIyRaciiBaiaac+gacaGGNbGaamitaaqaaiabgkGi2kabeI7aXbaa cqGH9aqpdaWcaaqaaiaaiwdacaWGUbaabaGaeqiUdehaaiabgUcaRm aalaaabaGaaGinaiaad6gacqaH4oqCcqaHXoqyaeaacqaHXoqycqaH 4oqCdaahaaWcbeqaaiaaisdaaaGccqGHRaWkcaaIYaGaaGinaaaacq GHsislcaWGUbGabmiEayaaraGaeyypa0JaaGimaaaa@5512@  

logL α = n θ 4 α θ 4 +24 + i=1 n 1 α+ x i 4 =0 MathType@MTEF@5@5@+= feaagKart1ev2aaatCvAUfeBSjuyZL2yd9gzLbvyNv2CaerbuLwBLn hiov2DGi1BTfMBaeXatLxBI9gBaerbd9wDYLwzYbItLDharqqtubsr 4rNCHbGeaGqkY=Mj0xXdbba91rFfpec8Eeeu0xXdbba9frFj0=OqFf ea0dXdd9vqaq=JfrVkFHe9pgea0dXdar=Jb9hs0dXdbPYxe9vr0=vr 0=vqpWqaaeaabiGaciaacaqabeaadaqaaqaaaOqaamaalaaabaGaey OaIyRaciiBaiaac+gacaGGNbGaamitaaqaaiabgkGi2kabeg7aHbaa cqGH9aqpdaWcaaqaaiabgkHiTiaad6gacqaH4oqCdaahaaWcbeqaai aaisdaaaaakeaacqaHXoqycqaH4oqCdaahaaWcbeqaaiaaisdaaaGc cqGHRaWkcaaIYaGaaGinaaaacqGHRaWkdaaeWbqaamaalaaabaGaaG ymaaqaaiabeg7aHjabgUcaRiaadIhadaWgaaWcbaGaamyAaaqabaGc daahaaWcbeqaaiaaisdaaaaaaaqaaiaadMgacqGH9aqpcaaIXaaaba GaamOBaaqdcqGHris5aOGaeyypa0JaaGimaaaa@5A4E@  

We have to use Fisher’s scoring method for solving these two log-likelihood equations because these two log-likelihood equations cannot be solved directly. We have

2 logL θ 2 = 5n θ 2 + 4n α 2 θ 6 288nα θ 2 ( α θ 4 +24 ) 2 MathType@MTEF@5@5@+= feaagKart1ev2aaatCvAUfeBSjuyZL2yd9gzLbvyNv2CaerbuLwBLn hiov2DGi1BTfMBaeXatLxBI9gBaerbd9wDYLwzYbItLDharqqtubsr 4rNCHbGeaGqkY=Mj0xXdbba91rFfpec8Eeeu0xXdbba9frFj0=OqFf ea0dXdd9vqaq=JfrVkFHe9pgea0dXdar=Jb9hs0dXdbPYxe9vr0=vr 0=vqpWqaaeaabiGaciaacaqabeaadaqaaqaaaOqaamaalaaabaGaey OaIy7aaWbaaSqabeaacaaIYaaaaOGaciiBaiaac+gacaGGNbGaamit aaqaaiabgkGi2kabeI7aXnaaCaaaleqabaGaaGOmaaaaaaGccqGH9a qpdaWcaaqaaiabgkHiTiaaiwdacaWGUbaabaGaeqiUde3aaWbaaSqa beaacaaIYaaaaaaakiabgUcaRmaalaaabaGaaGinaiaad6gacqaHXo qydaahaaWcbeqaaiaaikdaaaGccqaH4oqCdaahaaWcbeqaaiaaiAda aaGccqGHsislcaaIYaGaaGioaiaaiIdacaWGUbGaeqySdeMaeqiUde 3aaWbaaSqabeaacaaIYaaaaaGcbaWaaeWaaeaacqaHXoqycqaH4oqC daahaaWcbeqaaiaaisdaaaGccqGHRaWkcaaIYaGaaGinaaGaayjkai aawMcaamaaCaaaleqabaGaaGOmaaaaaaaaaa@60E7@

2 logL α 2 = n θ 8 ( α θ 4 +24 ) 2 i=1 n 1 ( α+ x i 4 ) 2 MathType@MTEF@5@5@+= feaagKart1ev2aaatCvAUfeBSjuyZL2yd9gzLbvyNv2CaerbuLwBLn hiov2DGi1BTfMBaeXatLxBI9gBaerbd9wDYLwzYbItLDharqqtubsr 4rNCHbGeaGqkY=Mj0xXdbba91rFfpec8Eeeu0xXdbba9frFj0=OqFf ea0dXdd9vqaq=JfrVkFHe9pgea0dXdar=Jb9hs0dXdbPYxe9vr0=vr 0=vqpWqaaeaabiGaciaacaqabeaadaqaaqaaaOqaamaalaaabaGaey OaIy7aaWbaaSqabeaacaaIYaaaaOGaciiBaiaac+gacaGGNbGaamit aaqaaiabgkGi2kabeg7aHnaaCaaaleqabaGaaGOmaaaaaaGccqGH9a qpdaWcaaqaaiaad6gacqaH4oqCdaahaaWcbeqaaiaaiIdaaaaakeaa daqadaqaaiabeg7aHjabeI7aXnaaCaaaleqabaGaaGinaaaakiabgU caRiaaikdacaaI0aaacaGLOaGaayzkaaWaaWbaaSqabeaacaaIYaaa aaaakiabgkHiTmaaqahabaWaaSaaaeaacaaIXaaabaWaaeWaaeaacq aHXoqycqGHRaWkcaWG4bWaaSbaaSqaaiaadMgaaeqaaOWaaWbaaSqa beaacaaI0aaaaaGccaGLOaGaayzkaaWaaWbaaSqabeaacaaIYaaaaa aaaeaacaWGPbGaeyypa0JaaGymaaqaaiaad6gaa0GaeyyeIuoaaaa@5E84@

2 logL θα = 96n θ 3 ( α θ 4 +24 ) 2 = 2 logL αθ MathType@MTEF@5@5@+= feaagKart1ev2aaatCvAUfeBSjuyZL2yd9gzLbvyNv2CaerbuLwBLn hiov2DGi1BTfMBaeXatLxBI9gBaerbd9wDYLwzYbItLDharqqtubsr 4rNCHbGeaGqkY=Mj0xXdbba91rFfpec8Eeeu0xXdbba9frFj0=OqFf ea0dXdd9vqaq=JfrVkFHe9pgea0dXdar=Jb9hs0dXdbPYxe9vr0=vr 0=vqpWqaaeaabiGaciaacaqabeaadaqaaqaaaOqaamaalaaabaGaey OaIy7aaWbaaSqabeaacaaIYaaaaOGaciiBaiaac+gacaGGNbGaamit aaqaaiabgkGi2kabeI7aXjabgkGi2kabeg7aHbaacqGH9aqpdaWcaa qaaiabgkHiTiaaiMdacaaI2aGaamOBaiabeI7aXnaaCaaaleqabaGa aG4maaaaaOqaamaabmaabaGaeqySdeMaeqiUde3aaWbaaSqabeaaca aI0aaaaOGaey4kaSIaaGOmaiaaisdaaiaawIcacaGLPaaadaahaaWc beqaaiaaikdaaaaaaOGaeyypa0ZaaSaaaeaacqGHciITdaahaaWcbe qaaiaaikdaaaGcciGGSbGaai4BaiaacEgacaWGmbaabaGaeyOaIyRa eqySdeMaeyOaIyRaeqiUdehaaaaa@60AF@ .

The following equations can be solved for MLEs ( θ ^ , α ^ ) MathType@MTEF@5@5@+= feaagKart1ev2aaatCvAUfeBSjuyZL2yd9gzLbvyNv2CaerbuLwBLn hiov2DGi1BTfMBaeXatLxBI9gBaerbd9wDYLwzYbItLDharqqtubsr 4rNCHbGeaGqkY=Mj0xXdbba91rFfpec8Eeeu0xXdbba9frFj0=OqFf ea0dXdd9vqaq=JfrVkFHe9pgea0dXdar=Jb9hs0dXdbPYxe9vr0=vr 0=vqpWqaaeaabiGaciaacaqabeaadaqaaqaaaOqaamaabmaabaGafq iUdeNbaKaacaGGSaGafqySdeMbaKaaaiaawIcacaGLPaaaaaa@3CBC@  of (θ,α) of TPSD

[ 2 lnL θ 2 2 lnL θα 2 lnL θα 2 lnL α 2 ] θ ^ = θ 0 α ^ = α 0 [ θ ^ θ 0 α ^ α 0 ]= [ lnL θ lnL α ] θ ^ = θ 0 α ^ = α 0 MathType@MTEF@5@5@+= feaagKart1ev2aaatCvAUfeBSjuyZL2yd9gzLbvyNv2CaerbuLwBLn hiov2DGi1BTfMBaeXatLxBI9gBaerbd9wDYLwzYbItLDharqqtubsr 4rNCHbGeaGqkY=Mj0xXdbba91rFfpec8Eeeu0xXdbba9frFj0=OqFf ea0dXdd9vqaq=JfrVkFHe9pgea0dXdar=Jb9hs0dXdbPYxe9vr0=vr 0=vqpWqaaeaabiGaciaacaqabeaadaqaaqaaaOqaamaadmaabaqbae qabiGaaaqaamaalaaabaGaeyOaIy7aaWbaaSqabeaacaaIYaaaaOGa ciiBaiaac6gacaWGmbaabaGaeyOaIyRaeqiUde3aaWbaaSqabeaaca aIYaaaaaaaaOqaamaalaaabaGaeyOaIy7aaWbaaSqabeaacaaIYaaa aOGaciiBaiaac6gacaWGmbaabaGaeyOaIyRaeqiUdeNaeyOaIyRaeq ySdegaaaqaamaalaaabaGaeyOaIy7aaWbaaSqabeaacaaIYaaaaOGa ciiBaiaac6gacaWGmbaabaGaeyOaIyRaeqiUdeNaeyOaIyRaeqySde gaaaqaamaalaaabaGaeyOaIy7aaWbaaSqabeaacaaIYaaaaOGaciiB aiaac6gacaWGmbaabaGaeyOaIyRaeqySde2aaWbaaSqabeaacaaIYa aaaaaaaaaakiaawUfacaGLDbaadaWgaaWceaqabeaacuaH4oqCgaqc aiabg2da9iabeI7aXnaaBaaameaacaaIWaaabeaaaSqaaiqbeg7aHz aajaGaeyypa0JaeqySde2aaSbaaWqaaiaaicdaaeqaaaaaleqaaOWa amWaaeaafaqabeGabaaabaGafqiUdeNbaKaacqGHsislcqaH4oqCda WgaaWcbaGaaGimaaqabaaakeaacuaHXoqygaqcaiabgkHiTiabeg7a HnaaBaaaleaacaaIWaaabeaaaaaakiaawUfacaGLDbaacqGH9aqpda WadaqaauaabeqaceaaaeaadaWcaaqaaiabgkGi2kGacYgacaGGUbGa amitaaqaaiabgkGi2kabeI7aXbaaaeaadaWcaaqaaiabgkGi2kGacY gacaGGUbGaamitaaqaaiabgkGi2kabeg7aHbaaaaaacaGLBbGaayzx aaWaaSbaaSqaauaabeqaceaaaeaacuaH4oqCgaqcaiabg2da9iabeI 7aXnaaBaaameaacaaIWaaabeaaaSqaaiqbeg7aHzaajaGaeyypa0Ja eqySde2aaSbaaWqaaiaaicdaaeqaaaaaaSqabaaaaa@95BA@

where θ 0 MathType@MTEF@5@5@+= feaagKart1ev2aaatCvAUfeBSjuyZL2yd9gzLbvyNv2CaerbuLwBLn hiov2DGi1BTfMBaeXatLxBI9gBaerbd9wDYLwzYbItLDharqqtubsr 4rNCHbGeaGqkY=Mj0xXdbba91rFfpec8Eeeu0xXdbba9frFj0=OqFf ea0dXdd9vqaq=JfrVkFHe9pgea0dXdar=Jb9hs0dXdbPYxe9vr0=vr 0=vqpWqaaeaabiGaciaacaqabeaadaqaaqaaaOqaaiabeI7aXnaaBa aaleaacaaIWaaabeaaaaa@39AA@ and α 0 MathType@MTEF@5@5@+= feaagKart1ev2aaatCvAUfeBSjuyZL2yd9gzLbvyNv2CaerbuLwBLn hiov2DGi1BTfMBaeXatLxBI9gBaerbd9wDYLwzYbItLDharqqtubsr 4rNCHbGeaGqkY=Mj0xXdbba91rFfpec8Eeeu0xXdbba9frFj0=OqFf ea0dXdd9vqaq=JfrVkFHe9pgea0dXdar=Jb9hs0dXdbPYxe9vr0=vr 0=vqpWqaaeaabiGaciaacaqabeaadaqaaqaaaOqaaiabeg7aHnaaBa aaleaacaaIWaaabeaaaaa@3993@ are the initial values of θ and α, as given by the method of moments. These equations are solved iteratively till close estimates of parameters are obtained.

A simulation study

A simulation study has been carried out to check the performance of maximum likelihood estimates by taking sample sizes (n = 20,40,60,80) for values of θ=0.5,1.0,1.5,2.0 MathType@MTEF@5@5@+= feaagKart1ev2aaatCvAUfeBSjuyZL2yd9gzLbvyNv2CaerbuLwBLn hiov2DGi1BTfMBaeXatLxBI9gBaerbd9wDYLwzYbItLDharqqtubsr 4rNCHbGeaGqkY=Mj0xXdbba91rFfpec8Eeeu0xXdbba9frFj0=OqFf ea0dXdd9vqaq=JfrVkFHe9pgea0dXdar=Jb9hs0dXdbPYxe9vr0=vr 0=vqpWqaaeaabiGaciaacaqabeaadaqaaqaaaOqaaiabeI7aXjabg2 da9iaaicdacaGGUaGaaGynaiaacYcacaaIXaGaaiOlaiaaicdacaGG SaGaaGymaiaac6cacaaI1aGaaiilaiaaikdacaGGUaGaaGimaaaa@4480@  and α=0.5 MathType@MTEF@5@5@+= feaagKart1ev2aaatCvAUfeBSjuyZL2yd9gzLbvyNv2CaerbuLwBLn hiov2DGi1BTfMBaeXatLxBI9gBaerbd9wDYLwzYbItLDharqqtubsr 4rNCHbGeaGqkY=Mj0xXdbba91rFfpec8Eeeu0xXdbba9frFj0=OqFf ea0dXdd9vqaq=JfrVkFHe9pgea0dXdar=Jb9hs0dXdbPYxe9vr0=vr 0=vqpWqaaeaabiGaciaacaqabeaadaqaaqaaaOqaaiabeg7aHjabg2 da9iaaicdacaGGUaGaaGynaaaa@3BDE@ and 4. Acceptance and rejection method is used to generate random number for data simulation using R-software. The process was repeated 1,000 times for the calculation of Average Bias error (ABE) and MSE (Mean square error) of parameters θ and α are presented in Tables 1 &2 respectively. For the TPSD decreasing trend has been observed in ABE and MSE as the sample size increases and this shows that the performance of maximum likelihood estimators is quite good and consistent.

Sample

θ 

ABE(θ)

MSE (θ)

ABE (α)

MSE (α)

20

0.5

0.0323

0.02083

0.0645

0.7180

1.0

0.0073

0.0010

0.1145

0.2621

1.5

-0.0177

0.0063

0.0645

0.0831

2.0

-0.0427

0.0365

0.0144

0.0041

40

0.5

0.0168

0.0113

-0.0074

0.1210

1.0

0.0043

0.0007

0.0175

0.0122

1.5

-0.0081

0.0026

-0.0074

0.0022

2.0

-0.0206

0.0170

-0.0324

0.0422

60

0.5

0.0098

0.0058

-0.0011

0.0982

1.0

0.0015

0.0001

0.0143

0.0154

1.5

-0.0067

0.0027

-0.0011

0.0008

2.0

-0.0151

0.0136

-0.0178

0.0191

80

0.5

0.0057

0.0026

0.0292

0.2932

1.0

-0.0004

0.0001

0.0417

0.1397

1.5

-0.0067

0.0035

0.0292

0.0686

2.0

-0.0129

0.01342

0.0167

0.0225

Table 1 ABE and MSE of parameters at fixed value α=0.5

Sample

θ 

ABE (θ)

MSE (θ)

ABE (α)

MSE (α)

20

 

0.5

0.0156

0.0048

0.0387

0.5365

1.0

-0.0093

0.0017

0.0887

0.1576

1.5

-0.0343

0.0236

0.0387

0.0300

2.0

-0.0593

0.0704

-0.0112

0.0025

40

 

0.5

0.0168

0.0113

-0.0074

0.1210

1.0

0.0043

0.0007

0.01750

0.0122

1.5

-0.0081

0.0026

-0.0074

0.0022

2.0

-0.0206

0.0170

-0.0324

0.0422

60

 

0.5

0.0100

0.0060

-0.0064

0.0745

1.0

0.0016

0.0001

0.0102

0.0063

1.5

-0.0066

0.0026

-0.0064

0.0024

2.0

-0.0149

0.0134

-0.0230

0.0319

80

 

0.5

0.0057

0.0026

0.0306

  0.3063

1.0

-0.0004

0.0017

0.0431

0.1488

1.5

-0.0068

0.0036

0.0306

0.0750

2.0

-0.0129

0.0134

0.0181

0.0262

Table 2 ABE and MSE of parameters at fixed value of α=4

Applications

The goodness of fit of TPSD along with its comparison with one parameter Suja distribution and two-parameter lifetime distributions including quasi Lindley distribution (QLD) of Shanker and Mishra,8 a two-parameter Lindley distribution (TPLD-I b) of Shanker and Mishra,9 a two-parameter Lindley distribution (TPLD-II) of Shanker et al.10 for two real lifetime datasets relating to failure times have been discussed. The applications of the TPSD can also be extended to model the survival times of patients suffering from serious disease in medical sciences. The pdf and the cdf of these distributions are presented in the following Table 3.

Distributions

                        pdf

                   Cdf

TPLD-I

f( x;θ,α )= θ 2 θα+1 ( α+x ) e θx ;x>0,θ>0,θα>1 MathType@MTEF@5@5@+= feaagKart1ev2aaatCvAUfeBSjuyZL2yd9gzLbvyNv2CaerbuLwBLn hiov2DGi1BTfMBaeXatLxBI9gBaerbd9wDYLwzYbItLDharqqtubsr 4rNCHbGeaGqkY=Mj0xXdbba91rFfpec8Eeeu0xXdbba9frFj0=OqFf ea0dXdd9vqaq=JfrVkFHe9pgea0dXdar=Jb9hs0dXdbPYxe9vr0=vr 0=vqpWqaaeaabiGaciaacaqabeaadaqaaqaaaOqaaiaadAgadaqada qaaiaadIhacaGG7aGaeqiUdeNaaiilaiabeg7aHbGaayjkaiaawMca aiabg2da9maalaaabaGaeqiUde3aaWbaaSqabeaacaaIYaaaaaGcba GaeqiUdeNaeqySdeMaey4kaSIaaGymaaaadaqadaqaaiabeg7aHjab gUcaRiaadIhaaiaawIcacaGLPaaacaWGLbWaaWbaaSqabeaacqGHsi slcqaH4oqCcaWG4baaaOGaai4oaiaadIhacqGH+aGpcaaIWaGaaiil aiabeI7aXjabg6da+iaaicdacaGGSaGaeqiUdeNaeqySdeMaeyOpa4 JaeyOeI0IaaGymaaaa@6017@   F( x;θ,α )=1( 1+ θx αθ+1 ) e θx MathType@MTEF@5@5@+= feaagKart1ev2aaatCvAUfeBSjuyZL2yd9gzLbvyNv2CaerbuLwBLn hiov2DGi1BTfMBaeXatLxBI9gBaerbd9wDYLwzYbItLDharqqtubsr 4rNCHbGeaGqkY=Mj0xXdbba91rFfpec8Eeeu0xXdbba9frFj0=OqFf ea0dXdd9vqaq=JfrVkFHe9pgea0dXdar=Jb9hs0dXdbPYxe9vr0=vr 0=vqpWqaaeaabiGaciaacaqabeaadaqaaqaaaOqaaiaadAeadaqada qaaiaadIhacaGG7aGaeqiUdeNaaiilaiabeg7aHbGaayjkaiaawMca aiabg2da9iaaigdacqGHsisldaqadaqaaiaaigdacqGHRaWkdaWcaa qaaiabeI7aXjaadIhaaeaacqaHXoqycqaH4oqCcqGHRaWkcaaIXaaa aaGaayjkaiaawMcaaiaadwgadaahaaWcbeqaaiabgkHiTiabeI7aXj aadIhaaaaaaa@5163@  

TPLD-II

f( x;θ,α )= θ 2 θ+α ( 1+αx ) e θx ;x>0,θ>0,α>0 MathType@MTEF@5@5@+= feaagKart1ev2aaatCvAUfeBSjuyZL2yd9gzLbvyNv2CaerbuLwBLn hiov2DGi1BTfMBaeXatLxBI9gBaerbd9wDYLwzYbItLDharqqtubsr 4rNCHbGeaGqkY=Mj0xXdbba91rFfpec8Eeeu0xXdbba9frFj0=OqFf ea0dXdd9vqaq=JfrVkFHe9pgea0dXdar=Jb9hs0dXdbPYxe9vr0=vr 0=vqpWqaaeaabiGaciaacaqabeaadaqaaqaaaOqaaiaadAgadaqada qaaiaadIhacaGG7aGaeqiUdeNaaiilaiabeg7aHbGaayjkaiaawMca aiabg2da9maalaaabaGaeqiUde3aaWbaaSqabeaacaaIYaaaaaGcba GaeqiUdeNaey4kaSIaeqySdegaamaabmaabaGaaGymaiabgUcaRiab eg7aHjaadIhaaiaawIcacaGLPaaacaWGLbWaaWbaaSqabeaacqGHsi slcqaH4oqCcaWG4baaaOGaai4oaiaadIhacqGH+aGpcaaIWaGaaiil aiabeI7aXjabg6da+iaaicdacaGGSaGaeqySdeMaeyOpa4JaaGimaa aa@5D73@   F( x;θ,α )=1( 1+ αθx θ+α ) e θx MathType@MTEF@5@5@+= feaagKart1ev2aaatCvAUfeBSjuyZL2yd9gzLbvyNv2CaerbuLwBLn hiov2DGi1BTfMBaeXatLxBI9gBaerbd9wDYLwzYbItLDharqqtubsr 4rNCHbGeaGqkY=Mj0xXdbba91rFfpec8Eeeu0xXdbba9frFj0=OqFf ea0dXdd9vqaq=JfrVkFHe9pgea0dXdar=Jb9hs0dXdbPYxe9vr0=vr 0=vqpWqaaeaabiGaciaacaqabeaadaqaaqaaaOqaaiaadAeadaqada qaaiaadIhacaGG7aGaeqiUdeNaaiilaiabeg7aHbGaayjkaiaawMca aiabg2da9iaaigdacqGHsisldaqadaqaaiaaigdacqGHRaWkdaWcaa qaaiabeg7aHjabeI7aXjaadIhaaeaacqaH4oqCcqGHRaWkcqaHXoqy aaaacaGLOaGaayzkaaGaamyzamaaCaaaleqabaGaeyOeI0IaeqiUde NaamiEaaaaaaa@5247@  

QLD

f( x;θ,α )= θ α+1 ( α+θx ) e θx MathType@MTEF@5@5@+= feaagKart1ev2aaatCvAUfeBSjuyZL2yd9gzLbvyNv2CaerbuLwBLn hiov2DGi1BTfMBaeXatLxBI9gBaerbd9wDYLwzYbItLDharqqtubsr 4rNCHbGeaGqkY=Mj0xXdbba91rFfpec8Eeeu0xXdbba9frFj0=OqFf ea0dXdd9vqaq=JfrVkFHe9pgea0dXdar=Jb9hs0dXdbPYxe9vr0=vr 0=vqpWqaaeaabiGaciaacaqabeaadaqaaqaaaOqaaiaadAgadaqada qaaiaadIhacaGG7aGaeqiUdeNaaiilaiabeg7aHbGaayjkaiaawMca aiabg2da9maalaaabaGaeqiUdehabaGaeqySdeMaey4kaSIaaGymaa aadaqadaqaaiabeg7aHjabgUcaRiabeI7aXjaadIhaaiaawIcacaGL PaaacaWGLbWaaWbaaSqabeaacqGHsislcqaH4oqCcaWG4baaaaaa@50BF@   F( x;θ,α )=1( 1+ θx α+1 ) e θx MathType@MTEF@5@5@+= feaagKart1ev2aaatCvAUfeBSjuyZL2yd9gzLbvyNv2CaerbuLwBLn hiov2DGi1BTfMBaeXatLxBI9gBaerbd9wDYLwzYbItLDharqqtubsr 4rNCHbGeaGqkY=Mj0xXdbba91rFfpec8Eeeu0xXdbba9frFj0=OqFf ea0dXdd9vqaq=JfrVkFHe9pgea0dXdar=Jb9hs0dXdbPYxe9vr0=vr 0=vqpWqaaeaabiGaciaacaqabeaadaqaaqaaaOqaaiaadAeadaqada qaaiaadIhacaGG7aGaeqiUdeNaaiilaiabeg7aHbGaayjkaiaawMca aiabg2da9iaaigdacqGHsisldaqadaqaaiaaigdacqGHRaWkdaWcaa qaaiabeI7aXjaadIhaaeaacqaHXoqycqGHRaWkcaaIXaaaaaGaayjk aiaawMcaaiaadwgadaahaaWcbeqaaiabgkHiTiabeI7aXjaadIhaaa aaaa@4FAD@  

Table 3 pdf and the cdf of two-parameter distributions

The two datasets considered for testing the goodness of fit of TPSD over other one parameter and two-parameter lifetime distributions are as follows:

Dataset 1: The positively skewed data relating to the accelerated life testing of item ( n=55 MathType@MTEF@5@5@+= feaagKart1ev2aaatCvAUfeBSjuyZL2yd9gzLbvyNv2CaerbuLwBLn hiov2DGi1BTfMBaeXatLxBI9gBaerbd9wDYLwzYbItLDharqqtubsr 4rNCHbGeaGqkY=Mj0xXdbba91rFfpec8Eeeu0xXdbba9frFj0=OqFf ea0dXdd9vqaq=JfrVkFHe9pgea0dXdar=Jb9hs0dXdbPYxe9vr0=vr 0=vqpWqaaeaabiGaciaacaqabeaadaqaaqaaaOqaaiaad6gacqGH9a qpcaaI1aGaaGynaaaa@3A85@ ) with changes in stress from 100 to 150 at time t=15 MathType@MTEF@5@5@+= feaagKart1ev2aaatCvAUfeBSjuyZL2yd9gzLbvyNv2CaerbuLwBLn hiov2DGi1BTfMBaeXatLxBI9gBaerbd9wDYLwzYbItLDharqqtubsr 4rNCHbGeaGqkY=Mj0xXdbba91rFfpec8Eeeu0xXdbba9frFj0=OqFf ea0dXdd9vqaq=JfrVkFHe9pgea0dXdar=Jb9hs0dXdbPYxe9vr0=vr 0=vqpWqaaeaabiGaciaacaqabeaadaqaaqaaaOqaaiaadshacqGH9a qpcaaIXaGaaGynaaaa@3A87@ , available in Murthy et al (2004).

0.032, 0.035, 0.104, 0.169, 0.196, 0.260, 0.326, 0.445, 0.449, 0.496, 0.543, 0.544, 0.577, 0.648, 0.666, 0.742, 0.757, 0.808, 0.857, 0.858, 0.882, 1.005, 1.025, 1.472, 1.916, 2.313, 2.457, 2.530, 2.543, 2.617, 2.835, 2.940, 3.002, 3.158, 3.430, 3.459, 3.502, 3.691, 3.861, 3.952, 4.396, 4.744, 5.346, 5.479, 5.716, 5.825, 5.847, 6.084, 6.127, 7.241, 7.560, 8.901, 9.000, 10.482, 11.133.

Dataset 2: The positively skewed failure time data ( n=40 MathType@MTEF@5@5@+= feaagKart1ev2aaatCvAUfeBSjuyZL2yd9gzLbvyNv2CaerbuLwBLn hiov2DGi1BTfMBaeXatLxBI9gBaerbd9wDYLwzYbItLDharqqtubsr 4rNCHbGeaGqiVCI8FfYJH8YrFfeuY=Hhbbf9v8qqaqFr0xc9pk0xbb a9q8WqFfeaY=biLkVcLq=JHqpepeea0=as0Fb9pgeaYRXxe9vr0=vr 0=vqpWqaaeaabiGaciaacaqabeaadaqaaqaaaOqaaiaad6gacqGH9a qpcaaI0aGaaGimaaaa@395C@ ), available in Murthy et al (2004).

0.13, 0.62, 0.75, 0.87, 1.56, 2.28, 3.15, 3.25, 3.55, 4.49, 4.50, 4.61, 4.79, 7.17, 7.31, 7.43, 7.84, 8.49, 8.94, 9.40, 9.61, 9.84, 10.58, 11.18, 11.84, 13.28, 14.47, 14.79, 15.54, 16.90, 17.25, 17.37, 18.69, 18.78, 19.88, 20.06, 20.10, 20.95, 21.72, 23.87.

The corresponding maximum likelihood estimates of parameters along with -2logL, AIC, kolmogorov-Smirnov (K-S) and p-values of the considered datasets for the given distributions are presented in Table 4 & 5, respectively. The fitted plots of the distributions for the considered two datasets have been shown in Figures 9 & 10 respectively. The goodness of fit in Tables 4 & 5 and the fitted plots in Figures 9 & 10 shows that TPSD gives much closer fit for the considered datasets in Table 4 while in Table 5 TPLD-1 gives better fit over other distributions. Therefore, it can be concluded that TPSD and TPLD-1 can be considered the best distributions for lifetime data.

Distributions

ML estimates

-2logL 

AIC 

K-S

p-value

 

θ 

α 

 

 

 

 

TPSD

0.9563

32.1684

226.65

230.65

0.086

0.774

QLD

0.3848

5.19455

231.44

235.44

0.135

0.244

TPLD-I

0.3907

11.6595

231.45

235.45

0.136

0.235

TPLD-II

0.383

0.07082

231.44

235.44

0.134

0.246

SD

1.4504

……..

265.86

267.86

0.282

0.0002

Table 4 ML estimates of the parameters of distributions and values of 2logL,AIC,KS,pvalue MathType@MTEF@5@5@+= feaagKart1ev2aaatCvAUfeBSjuyZL2yd9gzLbvyNv2CaerbuLwBLn hiov2DGi1BTfMBaeXatLxBI9gBaerbd9wDYLwzYbItLDharqqtubsr 4rNCHbGeaGqkY=Mj0xXdbba91rFfpec8Eeeu0xXdbba9frFj0=OqFf ea0dXdd9vqaq=JfrVkFHe9pgea0dXdar=Jb9hs0dXdbPYxe9vr0=vr 0=vqpWqaaeaabiGaciaacaqabeaadaqaaqaaaOqaaiabgkHiTiaaik daciGGSbGaai4BaiaacEgacaWGmbGaaiilaiaadgeacaWGjbGaam4q aiaacYcacaWGlbGaeyOeI0Iaam4uaiaacYcacaWGWbGaeyOeI0Iaam ODaiaadggacaWGSbGaamyDaiaadwgaaaa@49F1@ for data set 1.

Distributions

ML estimates

-2logL 

AIC 

      K-S

p-value

 

θ 

α 

 

 

 

 

TPSD

0.4175

158.423

262.10

266.10

0.136

0.406

QLD

0.16453

0.3914

263.24

267.24

0.107

0.708

TPLD-I

0.16456

2.3745

263.25

263.25

0.106

0.711

TPLD-II

0.16453

0.42038

263.24

267.24

0.107

0.709

SD

0.4778

……..

301.17

303.17

0.24

0.015

Table 5 ML estimates of the parameters of distributions values of 2logL,AIC,KS,pvalue MathType@MTEF@5@5@+= feaagKart1ev2aaatCvAUfeBSjuyZL2yd9gzLbvyNv2CaerbuLwBLn hiov2DGi1BTfMBaeXatLxBI9gBaerbd9wDYLwzYbItLDharqqtubsr 4rNCHbGeaGqkY=Mj0xXdbba91rFfpec8Eeeu0xXdbba9frFj0=OqFf ea0dXdd9vqaq=JfrVkFHe9pgea0dXdar=Jb9hs0dXdbPYxe9vr0=vr 0=vqpWqaaeaabiGaciaacaqabeaadaqaaqaaaOqaaiabgkHiTiaaik daciGGSbGaai4BaiaacEgacaWGmbGaaiilaiaadgeacaWGjbGaam4q aiaacYcacaWGlbGaeyOeI0Iaam4uaiaacYcacaWGWbGaeyOeI0Iaam ODaiaadggacaWGSbGaamyDaiaadwgaaaa@49F1@ for data

Figure 9 Fitted plots of distributions for data set1.

Figure 10 Fitted plots of distributions for datasets 2.

Conclusion

In this paper, a two-parameter Suja distribution has been proposed by introducing an additional parameter in one parameter Suja distribution to see its effect regarding goodness of fit over Suja distribution and other two-parameter lifetime distributions. Its various descriptive measures based on moments and reliability properties have been discussed. The estimation of parameters using method of moments and maximum likelihood method has been discussed. A simulation study has been presented to know the performance of maximum likelihood estimates. The goodness of fit of the proposed distribution has been presented with two real lifetime datasets.

Acknowledgments

Authors are grateful to the editor in chief and the anonymous reviewer for some minor comments which improved both the quality and the presentation.

Conflicts of interest

None.

Funding

None.

References

  1. Shanker R. Suja distribution and its application. International Journal of Probability and Statistics. 2017;6(2):11–19.
  2. Al-Omari AI, Alsmairam I.K. Length-biased Suja distribution and Its application, Journal of Applied Probability and Statistics. 2019;14(3):95–116.
  3. Al-Omari AI, Alhyasat IK, Abu B.M.A. Power length-biased Suja distribution –properties and application. Electronic Journal of Applied Statistical Analysisl. 2019;12(2):429–452.
  4. Alsmairan IK, Al-Omari AI. Weighted Suja distribution with application to ball bearings data, Life Cycle Reliability and Safety Engineering. 2020;9:195–211.
  5. Todorka T, Anton I, Asen R, et al. Comments on some modification of Suja Cumulative Functions with applications to the theory of computer viruses propagation. International Journal of Differential Equations and Applications. 2020;19(1):83–95.
  6. Shaked M, Shanthikumar JG. Stochastic orders and their applications. Academic Press; New York. 1994.
  7. Renyi A. On measures of entropy and information. Berkeley Symp on Math Statist Prob. 1961;1:547–561.
  8. Shanker R, Mishra A. A quasi Lindley distribution. African Journal of Mathematics and Computer Science Research. (2013 a);6(4):64– 71.
  9. Shanker R, Mishra A. A two-parameter Lindley distribution. Statistics in Transition New Series. 2013(b);14(1):45–56.
  10. Shanker R, Sharma S, Shanker R. A two -parameter Lindley distribution for modeling waiting and survival times data. Applied Mathematics. 2013;4(2):363–368.
  11. Murthy DNP, Xie M, Jiang R. Weibull Models. John Wiley& sons Inc; Hoboken. 2004.
  12. Bonferroni CE. Elementi di Statistca generale. Seeber; Firenze. 1930.
Creative Commons Attribution License

©2024 Shanker, et al. This is an open access article distributed under the terms of the, which permits unrestricted use, distribution, and build upon your work non-commercially.