Submit manuscript...
eISSN: 2378-315X

Biometrics & Biostatistics International Journal

Research Article Volume 6 Issue 5

On two-parameter akash distribution

Rama Shanker, Kamlesh Kumar Shukla

Department of Statistics, Eritrea Institute of Technology, Eritrea

Correspondence: Rama Shanker, Department of Statistics, Eritrea Institute of Technology, Asmara, Eritrea

Received: November 03, 2017 | Published: November 22, 2017

Citation: Shanker R, Shukla KK. On two-parameter akash distribution. Biom Biostat Int J. 2017;6(5):416-425. DOI: 10.15406/bbij.2017.06.00178

Download PDF

Abstract

In this paper a two-parameter Akash distribution (TPAD), of which one parameter Akash distribution of Shanker1 is a particular case, has been introduced. Its mathematical and statistical properties including its shapes, moments, skewness, kurtosis, hazard rate function, mean residual life function, stochastic ordering, mean deviations, order statistics, Renyi entropy, Bonferroni and Lorenz curves and stress-strength reliability has been discussed. The estimation of its parameters has been discussed using method of moments and maximum likelihood estimation. A real lifetime data has been presented to test the goodness of fit of TPAD over exponential, Akash and Lognormal distributions.

Keywords: akash distribution, moments and associated measures, reliability measures, stochastic ordering, order statistics, renyi entropy measure, mean deviations, bonferroni and lorenz curves, estimation of parameters, goodness of fit

Introduction

Shanker1 proposed a one-parameter lifetime distribution, known as Akash distribution, defined by its probability density function (pdf) and cumulative distribution function (cdf)

  f 1 ( x;θ )= θ 3 θ 2 +2 ( 1+ x 2 ) e θx ;     x>0, θ>0 MathType@MTEF@5@5@+= feaagKart1ev2aaatCvAUfeBSjuyZL2yd9gzLbvyNv2CaerbuLwBLn hiov2DGi1BTfMBaeXatLxBI9gBaerbd9wDYLwzYbItLDharqqtubsr 4rNCHbGeaGqiVu0Je9sqqrpepC0xbbL8F4rqqrFfpeea0xe9Lq=Jc9 vqaqpepm0xbba9pwe9Q8fs0=yqaqpepae9pg0FirpepeKkFr0xfr=x fr=xb9adbaqaaeGaciGaaiaabeqaamaabaabaaGcbaqcfaOaamOzaS WaaSbaaKqbagaajugWaiaaigdaaKqbagqaamaabmaabaGaamiEaiaa cUdacqaH4oqCaiaawIcacaGLPaaacaaMc8UaaGPaVlabg2da9iaayk W7caaMc8+aaSaaaeaacqaH4oqCdaahaaqabeaajugWaiaaiodaaaaa juaGbaGaeqiUde3aaWbaaeqabaqcLbmacaaIYaaaaKqbakabgUcaRi aaikdaaaGaaGPaVlaaykW7daqadaqaaiaaigdacqGHRaWkcaWG4bWa aWbaaeqabaqcLbmacaaIYaaaaaqcfaOaayjkaiaawMcaaiaaykW7ca aMc8UaamyzamaaCaaabeqaaKqzadGaeyOeI0IaeqiUdeNaaGPaVlaa dIhaaaqcfaOaaGPaVlaaykW7caGG7aGaaeiiaiaabccacaqGGaGaae iiaiaabccacaWG4bGaeyOpa4JaaGimaiaacYcacaaMe8Uaaeiiaiab eI7aXjabg6da+iaaicdaaaa@7613@  (1.1)
F 1 ( x;θ )=1[ 1+ θx( θx+2 ) θ 2 +2 ] e θx ;x>0,θ>0 MathType@MTEF@5@5@+= feaagKart1ev2aaatCvAUfeBSjuyZL2yd9gzLbvyNv2CaerbuLwBLn hiov2DGi1BTfMBaeXatLxBI9gBaerbd9wDYLwzYbItLDharqqtubsr 4rNCHbGeaGqiVu0Je9sqqrpepC0xbbL8F4rqqrFfpeea0xe9Lq=Jc9 vqaqpepm0xbba9pwe9Q8fs0=yqaqpepae9pg0FirpepeKkFr0xfr=x fr=xb9adbaqaaeGaciGaaiaabeqaamaabaabaaGcbaqcfaOaamOraS WaaSbaaKqbagaajugWaiaaigdaaKqbagqaamaabmaabaGaamiEaiaa cUdacqaH4oqCaiaawIcacaGLPaaacqGH9aqpcaaMe8UaaGymaiabgk HiTmaadmaabaGaaGymaiabgUcaRmaalaaabaGaeqiUdeNaamiEamaa bmaabaGaeqiUdeNaamiEaiabgUcaRiaaikdaaiaawIcacaGLPaaaae aacqaH4oqCdaahaaqabeaajugWaiaaikdaaaqcfaOaey4kaSIaaGOm aaaaaiaawUfacaGLDbaacaaMe8UaamyzamaaCaaabeqaaKqzadGaey OeI0IaeqiUdeNaaGPaVlaadIhaaaqcfaOaaGPaVlaaykW7caGG7aGa amiEaiabg6da+iaaicdacaGGSaGaaGPaVlabeI7aXjabg6da+iaaic daaaa@6B97@  (1.2)

Akash distribution is a convex combination of exponential ( θ ) MathType@MTEF@5@5@+= feaagKart1ev2aaatCvAUfeBSjuyZL2yd9gzLbvyNv2CaerbuLwBLn hiov2DGi1BTfMBaeXatLxBI9gBaerbd9wDYLwzYbItLDharqqtubsr 4rNCHbGeaGqiVu0Je9sqqrpepC0xbbL8F4rqqrFfpeea0xe9Lq=Jc9 vqaqpepm0xbba9pwe9Q8fs0=yqaqpepae9pg0FirpepeKkFr0xfr=x fr=xb9adbaqaaeGaciGaaiaabeqaamaabaabaaGcbaqcfa4aaeWaae aacqaH4oqCaiaawIcacaGLPaaaaaa@39C3@ and gamma ( 3,θ ) MathType@MTEF@5@5@+= feaagKart1ev2aaatCvAUfeBSjuyZL2yd9gzLbvyNv2CaerbuLwBLn hiov2DGi1BTfMBaeXatLxBI9gBaerbd9wDYLwzYbItLDharqqtubsr 4rNCHbGeaGqiVu0Je9sqqrpepC0xbbL8F4rqqrFfpeea0xe9Lq=Jc9 vqaqpepm0xbba9pwe9Q8fs0=yqaqpepae9pg0FirpepeKkFr0xfr=x fr=xb9adbaqaaeGaciGaaiaabeqaamaabaabaaGcbaqcfa4aaeWaae aacaaIZaGaaiilaiabeI7aXbGaayjkaiaawMcaaaaa@3B30@ distributions with their mixing proportions θ 2 θ 2 +2 MathType@MTEF@5@5@+= feaagKart1ev2aaatCvAUfeBSjuyZL2yd9gzLbvyNv2CaerbuLwBLn hiov2DGi1BTfMBaeXatLxBI9gBaerbd9wDYLwzYbItLDharqqtubsr 4rNCHbGeaGqiVu0Je9sqqrpepC0xbbL8F4rqqrFfpeea0xe9Lq=Jc9 vqaqpepm0xbba9pwe9Q8fs0=yqaqpepae9pg0FirpepeKkFr0xfr=x fr=xb9adbaqaaeGaciGaaiaabeqaamaabaabaaGcbaqcfa4aaSaaae aacqaH4oqCdaahaaqabeaajugWaiaaikdaaaaajuaGbaGaeqiUde3c daahaaqcfayabeaajugWaiaaikdaaaqcfaOaey4kaSIaaGOmaaaaaa a@416B@ and 1 θ 2 +2 MathType@MTEF@5@5@+= feaagKart1ev2aaatCvAUfeBSjuyZL2yd9gzLbvyNv2CaerbuLwBLn hiov2DGi1BTfMBaeXatLxBI9gBaerbd9wDYLwzYbItLDharqqtubsr 4rNCHbGeaGqiVu0Je9sqqrpepC0xbbL8F4rqqrFfpeea0xe9Lq=Jc9 vqaqpepm0xbba9pwe9Q8fs0=yqaqpepae9pg0FirpepeKkFr0xfr=x fr=xb9adbaqaaeGaciGaaiaabeqaamaabaabaaGcbaqcfa4aaSaaae aacaaIXaaabaGaeqiUde3cdaahaaqcfayabeaajugWaiaaikdaaaqc faOaey4kaSIaaGOmaaaaaaa@3DD6@  respectively. Shanker1 has discussed its various mathematical and statistical properties and showed that in many ways (1.1) provides a better model for modeling lifetime data from medical science and engineering than Lindley2 and exponential distributions.

The first four moments about origin of Akash distribution obtained by Shanker1 are given by
μ 1 = θ 2 +6 θ( θ 2 +2 ) MathType@MTEF@5@5@+= feaagKart1ev2aaatCvAUfeBSjuyZL2yd9gzLbvyNv2CaerbuLwBLn hiov2DGi1BTfMBaeXatLxBI9gBaerbd9wDYLwzYbItLDharqqtubsr 4rNCHbGeaGqiVu0Je9sqqrpepC0xbbL8F4rqqrFfpeea0xe9Lq=Jc9 vqaqpepm0xbba9pwe9Q8fs0=yqaqpepae9pg0FirpepeKkFr0xfr=x fr=xb9adbaqaaeGaciGaaiaabeqaamaabaabaaGcbaqcfaOaeqiVd0 2cdaWgaaqcfayaaKqzadGaaGymaaqcfayabaWcdaahaaqcfayabeaa jugWaiadacUHYaIOaaqcfaOaeyypa0ZaaSaaaeaacqaH4oqCdaahaa qabeaajugWaiaaikdaaaqcfaOaey4kaSIaaGOnaaqaaiabeI7aXnaa bmaabaGaeqiUde3aaWbaaeqabaqcLbmacaaIYaaaaKqbakabgUcaRi aaikdaaiaawIcacaGLPaaaaaaaaa@50FF@ , μ 2 = 2( θ 2 +12 ) θ 2 ( θ 2 +2 ) MathType@MTEF@5@5@+= feaagKart1ev2aaatCvAUfeBSjuyZL2yd9gzLbvyNv2CaerbuLwBLn hiov2DGi1BTfMBaeXatLxBI9gBaerbd9wDYLwzYbItLDharqqtubsr 4rNCHbGeaGqiVu0Je9sqqrpepC0xbbL8F4rqqrFfpeea0xe9Lq=Jc9 vqaqpepm0xbba9pwe9Q8fs0=yqaqpepae9pg0FirpepeKkFr0xfr=x fr=xb9adbaqaaeGaciGaaiaabeqaamaabaabaaGcbaqcfaOaeqiVd0 2cdaWgaaqcfayaaKqzadGaaGOmaaqcfayabaWcdaahaaqcfayabeaa jugWaiadacUHYaIOaaqcfaOaeyypa0ZaaSaaaeaacaaIYaWaaeWaae aacqaH4oqClmaaCaaajuaGbeqaaKqzadGaaGOmaaaajuaGcqGHRaWk caaIXaGaaGOmaaGaayjkaiaawMcaaaqaaiabeI7aXTWaaWbaaKqbag qabaqcLbmacaaIYaaaaKqbaoaabmaabaGaeqiUde3aaWbaaeqabaqc LbmacaaIYaaaaKqbakabgUcaRiaaikdaaiaawIcacaGLPaaaaaaaaa@57C8@ , μ 3 = 6( θ 2 +20 ) θ 3 ( θ 2 +2 ) MathType@MTEF@5@5@+= feaagKart1ev2aaatCvAUfeBSjuyZL2yd9gzLbvyNv2CaerbuLwBLn hiov2DGi1BTfMBaeXatLxBI9gBaerbd9wDYLwzYbItLDharqqtubsr 4rNCHbGeaGqiVu0Je9sqqrpepC0xbbL8F4rqqrFfpeea0xe9Lq=Jc9 vqaqpepm0xbba9pwe9Q8fs0=yqaqpepae9pg0FirpepeKkFr0xfr=x fr=xb9adbaqaaeGaciGaaiaabeqaamaabaabaaGcbaqcfaOaeqiVd0 2cdaWgaaqcfayaaKqzadGaaG4maaqcfayabaWcdaahaaqcfayabeaa jugWaiadacUHYaIOaaqcfaOaeyypa0ZaaSaaaeaacaaI2aWaaeWaae aacqaH4oqClmaaCaaajuaGbeqaaKqzadGaaGOmaaaajuaGcqGHRaWk caaIYaGaaGimaaGaayjkaiaawMcaaaqaaiabeI7aXTWaaWbaaKqbag qabaqcLbmacaaIZaaaaKqbaoaabmaabaGaeqiUde3aaWbaaeqabaqc LbmacaaIYaaaaKqbakabgUcaRiaaikdaaiaawIcacaGLPaaaaaaaaa@57CD@ , μ 4 = 24( θ 2 +30 ) θ 4 ( θ 2 +2 ) MathType@MTEF@5@5@+= feaagKart1ev2aaatCvAUfeBSjuyZL2yd9gzLbvyNv2CaerbuLwBLn hiov2DGi1BTfMBaeXatLxBI9gBaerbd9wDYLwzYbItLDharqqtubsr 4rNCHbGeaGqiVu0Je9sqqrpepC0xbbL8F4rqqrFfpeea0xe9Lq=Jc9 vqaqpepm0xbba9pwe9Q8fs0=yqaqpepae9pg0FirpepeKkFr0xfr=x fr=xb9adbaqaaeGaciGaaiaabeqaamaabaabaaGcbaqcfaOaeqiVd0 2cdaWgaaqcfayaaKqzadGaaGinaaqcfayabaWcdaahaaqcfayabeaa jugWaiadacUHYaIOaaqcfaOaeyypa0ZaaSaaaeaacaaIYaGaaGinam aabmaabaGaeqiUde3cdaahaaqcfayabeaajugWaiaaikdaaaqcfaOa ey4kaSIaaG4maiaaicdaaiaawIcacaGLPaaaaeaacqaH4oqClmaaCa aajuaGbeqaaKqzadGaaGinaaaajuaGdaqadaqaaiabeI7aXTWaaWba aKqbagqabaqcLbmacaaIYaaaaKqbakabgUcaRiaaikdaaiaawIcaca GLPaaaaaaaaa@5923@

The central moments of Akash distribution obtained by Shanker1 are given by

μ 2 = θ 4 +16 θ 2 +12 θ 2 ( θ 2 +2 ) 2 MathType@MTEF@5@5@+= feaagKart1ev2aaatCvAUfeBSjuyZL2yd9gzLbvyNv2CaerbuLwBLn hiov2DGi1BTfMBaeXatLxBI9gBaerbd9wDYLwzYbItLDharqqtubsr 4rNCHbGeaGqiVu0Je9sqqrpepC0xbbL8F4rqqrFfpeea0xe9Lq=Jc9 vqaqpepm0xbba9pwe9Q8fs0=yqaqpepae9pg0FirpepeKkFr0xfr=x fr=xb9adbaqaaeGaciGaaiaabeqaamaabaabaaGcbaqcfaOaeqiVd0 2cdaWgaaqcfayaaKqzadGaaGOmaaqcfayabaGaeyypa0ZaaSaaaeaa cqaH4oqCdaahaaqabeaajugWaiaaisdaaaqcfaOaey4kaSIaaGymai aaiAdacqaH4oqClmaaCaaajuaGbeqaaKqzadGaaGOmaaaajuaGcqGH RaWkcaaIXaGaaGOmaaqaaiabeI7aXTWaaWbaaKqbagqabaqcLbmaca aIYaaaaKqbaoaabmaabaGaeqiUde3cdaahaaqcfayabeaajugWaiaa ikdaaaqcfaOaey4kaSIaaGOmaaGaayjkaiaawMcaaSWaaWbaaKqbag qabaqcLbmacaaIYaaaaaaaaaa@5A11@
μ 3 = 2( θ 6 +30 θ 4 +36 θ 2 +24 ) θ 3 ( θ 2 +2 ) 3 MathType@MTEF@5@5@+= feaagKart1ev2aaatCvAUfeBSjuyZL2yd9gzLbvyNv2CaerbuLwBLn hiov2DGi1BTfMBaeXatLxBI9gBaerbd9wDYLwzYbItLDharqqtubsr 4rNCHbGeaGqiVu0Je9sqqrpepC0xbbL8F4rqqrFfpeea0xe9Lq=Jc9 vqaqpepm0xbba9pwe9Q8fs0=yqaqpepae9pg0FirpepeKkFr0xfr=x fr=xb9adbaqaaeGaciGaaiaabeqaamaabaabaaGcbaqcfaOaeqiVd0 2cdaWgaaqcfayaaKqzadGaaG4maaqcfayabaGaeyypa0ZaaSaaaeaa caaIYaWaaeWaaeaacqaH4oqClmaaCaaajuaGbeqaaKqzadGaaGOnaa aajuaGcqGHRaWkcaaIZaGaaGimaiabeI7aXTWaaWbaaKqbagqabaqc LbmacaaI0aaaaKqbakabgUcaRiaaiodacaaI2aGaeqiUde3aaWbaae qabaqcLbmacaaIYaaaaKqbakabgUcaRiaaikdacaaI0aaacaGLOaGa ayzkaaaabaGaeqiUde3cdaahaaqcfayabeaajugWaiaaiodaaaqcfa 4aaeWaaeaacqaH4oqClmaaCaaajuaGbeqaaKqzadGaaGOmaaaajuaG cqGHRaWkcaaIYaaacaGLOaGaayzkaaWaaWbaaeqabaqcLbmacaaIZa aaaaaaaaa@630B@
μ 4 = 3( 3 θ 8 +128 θ 6 +408 θ 4 +576 θ 2 +240 ) θ 4 ( θ 2 +2 ) 4 MathType@MTEF@5@5@+= feaagKart1ev2aaatCvAUfeBSjuyZL2yd9gzLbvyNv2CaerbuLwBLn hiov2DGi1BTfMBaeXatLxBI9gBaerbd9wDYLwzYbItLDharqqtubsr 4rNCHbGeaGqiVu0Je9sqqrpepC0xbbL8F4rqqrFfpeea0xe9Lq=Jc9 vqaqpepm0xbba9pwe9Q8fs0=yqaqpepae9pg0FirpepeKkFr0xfr=x fr=xb9adbaqaaeGaciGaaiaabeqaamaabaabaaGcbaqcfaOaeqiVd0 2cdaWgaaqcfayaaKqzadGaaGinaaqcfayabaGaeyypa0ZaaSaaaeaa caaIZaWaaeWaaeaacaaIZaGaeqiUde3aaWbaaeqabaqcLbmacaaI4a aaaKqbakabgUcaRiaaigdacaaIYaGaaGioaiabeI7aXnaaCaaabeqa aKqzadGaaGOnaaaajuaGcqGHRaWkcaaI0aGaaGimaiaaiIdacqaH4o qClmaaCaaajuaGbeqaaKqzadGaaGinaaaajuaGcqGHRaWkcaaI1aGa aG4naiaaiAdacqaH4oqCdaahaaqabeaajugWaiaaikdaaaqcfaOaey 4kaSIaaGOmaiaaisdacaaIWaaacaGLOaGaayzkaaaabaGaeqiUde3c daahaaqcfayabeaajugWaiaaisdaaaqcfa4aaeWaaeaacqaH4oqClm aaCaaajuaGbeqaaKqzadGaaGOmaaaajuaGcqGHRaWkcaaIYaaacaGL OaGaayzkaaWcdaahaaqcfayabeaajugWaiaaisdaaaaaaaaa@6D7D@

Shanker3 obtained a Poisson- Akash distribution (PAD), a Poisson mixture of Akash distribution, and discussed its various statistical and mathematical properties along with estimation of parameter and applications for count data from different fields of knowledge. Shanker4,5 has also introduced size-biased and zero-truncated version of PAD and studied their properties, estimation of parameter using both the method of moments and the maximum likelihood estimation and applications for count datasets which structurally excludes zero counts. Shanker6 has introduced a quasi Akash distribution for modeling lifetime data and discussed its statistical properties, estimation of parameters using both the method of moments and the maximum likelihood estimation. Shanker and Shukla7 have obtained a weighted Akash distribution for modeling lifetime data and observed that it gives better fit than several one parameter and two-parameter lifetime distributions

Note that the pdf and the cdf of Lindley distribution introduced by Lindley2) are defined as

f 2 ( x;θ )= θ 2 θ+1 ( 1+x ) e θx MathType@MTEF@5@5@+= feaagKart1ev2aaatCvAUfeBSjuyZL2yd9gzLbvyNv2CaerbuLwBLn hiov2DGi1BTfMBaeXatLxBI9gBaerbd9wDYLwzYbItLDharqqtubsr 4rNCHbGeaGqiVu0Je9sqqrpepC0xbbL8F4rqqrFfpeea0xe9Lq=Jc9 vqaqpepm0xbba9pwe9Q8fs0=yqaqpepae9pg0FirpepeKkFr0xfr=x fr=xb9adbaqaaeGaciGaaiaabeqaamaabaabaaGcbaqcfaOaamOzam aaBaaabaqcLbmacaaIYaaajuaGbeaadaqadaqaaiaadIhacaGG7aGa eqiUdehacaGLOaGaayzkaaGaeyypa0ZaaSaaaeaacqaH4oqClmaaCa aajuaGbeqaaKqzadGaaGOmaaaaaKqbagaacqaH4oqCcqGHRaWkcaaI XaaaamaabmaabaGaaGymaiabgUcaRiaadIhaaiaawIcacaGLPaaaca WGLbWcdaahaaqcfayabeaajugWaiabgkHiTiabeI7aXjaaykW7caWG 4baaaaaa@5476@  (1.3)
F 2 ( x;θ )=1[ 1+ θx θ+1 ] e θx MathType@MTEF@5@5@+= feaagKart1ev2aaatCvAUfeBSjuyZL2yd9gzLbvyNv2CaerbuLwBLn hiov2DGi1BTfMBaeXatLxBI9gBaerbd9wDYLwzYbItLDharqqtubsr 4rNCHbGeaGqiVu0Je9sqqrpepC0xbbL8F4rqqrFfpeea0xe9Lq=Jc9 vqaqpepm0xbba9pwe9Q8fs0=yqaqpepae9pg0FirpepeKkFr0xfr=x fr=xb9adbaqaaeGaciGaaiaabeqaamaabaabaaGcbaqcfaOaamOraS WaaSbaaKqbagaajugWaiaaikdaaKqbagqaamaabmaabaGaamiEaiaa cUdacqaH4oqCaiaawIcacaGLPaaacqGH9aqpcaaIXaGaeyOeI0Yaam WaaeaacaaIXaGaey4kaSYaaSaaaeaacqaH4oqCcaWG4baabaGaeqiU deNaey4kaSIaaGymaaaaaiaawUfacaGLDbaacaWGLbWcdaahaaqcfa yabeaajugWaiabgkHiTiabeI7aXjaaykW7caWG4baaaiaaykW7aaa@5558@  (1.4)

Ghitany et al.8 studied Lindley distribution and discussed its various statistical and mathematical properties, estimation of parameter and application to model waiting time data in a Bank and showed that it gives better fit than exponential distribution. Shanker9 have detailed critical and comparative study on modeling of lifetime data using one parameter exponential and Lindley distribution and showed that there are many lifetime data where exponential distribution gives better fit than Lindley distribution. Further, Shanker10 have comparative study on lifetime data using one parameter Akash, Lindley and exponential distribution and showed that Akash distribution gives better fit in some of the datasets than both exponential and Lindley distributions.

In this paper, a two-parameter Akash distribution (TPAD) which includes one parameter Akash distribution of Shanker1 as a particular case has been suggested. Its shapes, moments and moments based properties have been derived and discussed. The hazard rate function, mean residual life function, stochastic ordering, mean deviations, order statistics, Renyi entropy measure, Bonferroni and Lorenz curves, stress-strength reliability of TPAD have been derived and discussed. The estimation of parameters has been discussed using both the maximum likelihood estimation and that of method of moments. Finally, goodness of fit of the proposed distribution has been discussed with a real lifetime dataset and the fit has been compared with some well known lifetime distributions.

A Two-parameter akash distribution

 A two-parameter Akash distribution (TPAD) with parameters θ MathType@MTEF@5@5@+= feaagKart1ev2aaatCvAUfeBSjuyZL2yd9gzLbvyNv2CaerbuLwBLn hiov2DGi1BTfMBaeXatLxBI9gBaerbd9wDYLwzYbItLDharqqtubsr 4rNCHbGeaGqiVu0Je9sqqrpepC0xbbL8F4rqqrFfpeea0xe9Lq=Jc9 vqaqpepm0xbba9pwe9Q8fs0=yqaqpepae9pg0FirpepeKkFr0xfr=x fr=xb9adbaqaaeGaciGaaiaabeqaamaabaabaaGcbaqcfaOaeqiUde haaa@383A@  and α MathType@MTEF@5@5@+= feaagKart1ev2aaatCvAUfeBSjuyZL2yd9gzLbvyNv2CaerbuLwBLn hiov2DGi1BTfMBaeXatLxBI9gBaerbd9wDYLwzYbItLDharqqtubsr 4rNCHbGeaGqiVu0Je9sqqrpepC0xbbL8F4rqqrFfpeea0xe9Lq=Jc9 vqaqpepm0xbba9pwe9Q8fs0=yqaqpepae9pg0FirpepeKkFr0xfr=x fr=xb9adbaqaaeGaciGaaiaabeqaamaabaabaaGcbaqcfaOaeqySde gaaa@3823@  is defined by its pdf and cdf

f 3 ( x;θ,α )= θ 3 α θ 2 +2 ( α+ x 2 ) e θx ;x>0,θ>0,α>0 MathType@MTEF@5@5@+= feaagKart1ev2aaatCvAUfeBSjuyZL2yd9gzLbvyNv2CaerbuLwBLn hiov2DGi1BTfMBaeXatLxBI9gBaerbd9wDYLwzYbItLDharqqtubsr 4rNCHbGeaGqiVu0Je9sqqrpepC0xbbL8F4rqqrFfpeea0xe9Lq=Jc9 vqaqpepm0xbba9pwe9Q8fs0=yqaqpepae9pg0FirpepeKkFr0xfr=x fr=xb9adbaqaaeGaciGaaiaabeqaamaabaabaaGcbaqcfaOaamOzaS WaaSbaaKqbagaajugWaiaaiodaaKqbagqaamaabmaabaGaamiEaiaa cUdacqaH4oqCcaGGSaGaeqySdegacaGLOaGaayzkaaGaeyypa0ZaaS aaaeaacqaH4oqCdaahaaqabeaajugWaiaaiodaaaaajuaGbaGaeqyS deMaaGPaVlabeI7aXnaaCaaabeqaaKqzadGaaGOmaaaajuaGcqGHRa WkcaaIYaaaaiaaysW7daqadaqaaiabeg7aHjabgUcaRiaaykW7caWG 4bWcdaahaaqcfayabeaajugWaiaaikdaaaaajuaGcaGLOaGaayzkaa GaaGjbVlaadwgadaahaaqabeaajugWaiabgkHiTiabeI7aXjaaykW7 caWG4baaaKqbakaacUdacaWG4bGaeyOpa4JaaGimaiaacYcacqaH4o qCcqGH+aGpcaaIWaGaaiilaiabeg7aHjabg6da+iaaicdaaaa@70F4@ ; (2.1)
F 3 ( x;θ,α )=1[ 1+ θx( θx+2 ) α θ 2 +2 ] e θx ;x>0,θ>0,α>0 MathType@MTEF@5@5@+= feaagKart1ev2aaatCvAUfeBSjuyZL2yd9gzLbvyNv2CaerbuLwBLn hiov2DGi1BTfMBaeXatLxBI9gBaerbd9wDYLwzYbItLDharqqtubsr 4rNCHbGeaGqiVu0Je9sqqrpepC0xbbL8F4rqqrFfpeea0xe9Lq=Jc9 vqaqpepm0xbba9pwe9Q8fs0=yqaqpepae9pg0FirpepeKkFr0xfr=x fr=xb9adbaqaaeGaciGaaiaabeqaamaabaabaaGcbaqcfaOaamOram aaBaaabaqcLbmacaaIZaaajuaGbeaadaqadaqaaiaadIhacaGG7aGa eqiUdeNaaiilaiabeg7aHbGaayjkaiaawMcaaiabg2da9iaaigdacq GHsisldaWadaqaaiaaigdacqGHRaWkdaWcaaqaaiabeI7aXjaaykW7 caWG4bWaaeWaaeaacqaH4oqCcaaMc8UaamiEaiabgUcaRiaaikdaai aawIcacaGLPaaaaeaacqaHXoqycaaMc8UaeqiUde3cdaahaaqcfaya beaajugWaiaaikdaaaqcfaOaey4kaSIaaGOmaaaaaiaawUfacaGLDb aacaWGLbWaaWbaaeqabaqcLbmacqGHsislcqaH4oqCcaaMc8UaamiE aaaajuaGcaGG7aGaamiEaiabg6da+iaaicdacaGGSaGaeqiUdeNaey Opa4JaaGimaiaacYcacqaHXoqycqGH+aGpcaaIWaaaaa@707E@ (2.2)

It can be easily verified that the Akash distribution defined in (1.1) is a particular case of TPAD (2.1) at α=1 MathType@MTEF@5@5@+= feaagKart1ev2aaatCvAUfeBSjuyZL2yd9gzLbvyNv2CaerbuLwBLn hiov2DGi1BTfMBaeXatLxBI9gBaerbd9wDYLwzYbItLDharqqtubsr 4rNCHbGeaGqiVu0Je9sqqrpepC0xbbL8F4rqqrFfpeea0xe9Lq=Jc9 vqaqpepm0xbba9pwe9Q8fs0=yqaqpepae9pg0FirpepeKkFr0xfr=x fr=xb9adbaqaaeGaciGaaiaabeqaamaabaabaaGcbaqcfaOaeqySde Maeyypa0JaaGymaaaa@39E4@ . Like the pdf of Akash distribution, the pdf of TPAD is also a convex combination of exponential ( θ ) MathType@MTEF@5@5@+= feaagKart1ev2aaatCvAUfeBSjuyZL2yd9gzLbvyNv2CaerbuLwBLn hiov2DGi1BTfMBaeXatLxBI9gBaerbd9wDYLwzYbItLDharqqtubsr 4rNCHbGeaGqiVu0Je9sqqrpepC0xbbL8F4rqqrFfpeea0xe9Lq=Jc9 vqaqpepm0xbba9pwe9Q8fs0=yqaqpepae9pg0FirpepeKkFr0xfr=x fr=xb9adbaqaaeGaciGaaiaabeqaamaabaabaaGcbaqcfa4aaeWaae aacqaH4oqCaiaawIcacaGLPaaaaaa@39C3@ and gamma ( 3,θ ) MathType@MTEF@5@5@+= feaagKart1ev2aaatCvAUfeBSjuyZL2yd9gzLbvyNv2CaerbuLwBLn hiov2DGi1BTfMBaeXatLxBI9gBaerbd9wDYLwzYbItLDharqqtubsr 4rNCHbGeaGqiVu0Je9sqqrpepC0xbbL8F4rqqrFfpeea0xe9Lq=Jc9 vqaqpepm0xbba9pwe9Q8fs0=yqaqpepae9pg0FirpepeKkFr0xfr=x fr=xb9adbaqaaeGaciGaaiaabeqaamaabaabaaGcbaqcfa4aaeWaae aacaaIZaGaaiilaiabeI7aXbGaayjkaiaawMcaaaaa@3B30@ distributions. We have

f 3 ( x;θ,α )=p g 1 ( x,θ )+( 1p ) g 2 ( x;3,θ ) MathType@MTEF@5@5@+= feaagKart1ev2aaatCvAUfeBSjuyZL2yd9gzLbvyNv2CaerbuLwBLn hiov2DGi1BTfMBaeXatLxBI9gBaerbd9wDYLwzYbItLDharqqtubsr 4rNCHbGeaGqiVu0Je9sqqrpepC0xbbL8F4rqqrFfpeea0xe9Lq=Jc9 vqaqpepm0xbba9pwe9Q8fs0=yqaqpepae9pg0FirpepeKkFr0xfr=x fr=xb9adbaqaaeGaciGaaiaabeqaamaabaabaaGcbaqcfaOaamOzam aaBaaabaqcLbmacaaIZaaajuaGbeaadaqadaqaaiaadIhacaGG7aGa eqiUdeNaaiilaiabeg7aHbGaayjkaiaawMcaaiabg2da9iaadchaca aMc8Uaam4zaSWaaSbaaKqbagaajugWaiaaigdaaKqbagqaamaabmaa baGaamiEaiaacYcacqaH4oqCaiaawIcacaGLPaaacqGHRaWkdaqada qaaiaaigdacqGHsislcaWGWbaacaGLOaGaayzkaaGaam4zaSWaaSba aKqbagaajugWaiaaikdaaKqbagqaamaabmaabaGaamiEaiaacUdaca aIZaGaaiilaiabeI7aXbGaayjkaiaawMcaaaaa@5D70@  (2.3)

where p= α θ 2 α θ 2 +2 , g 1 ( x,θ )=θ e θx , g 2 ( x )= θ 3 Γ( 3 ) e θx x 31 MathType@MTEF@5@5@+= feaagKart1ev2aaatCvAUfeBSjuyZL2yd9gzLbvyNv2CaerbuLwBLn hiov2DGi1BTfMBaeXatLxBI9gBaerbd9wDYLwzYbItLDharqqtubsr 4rNCHbGeaGqiVu0Je9sqqrpepC0xbbL8F4rqqrFfpeea0xe9Lq=Jc9 vqaqpepm0xbba9pwe9Q8fs0=yqaqpepae9pg0FirpepeKkFr0xfr=x fr=xb9adbaqaaeGaciGaaiaabeqaamaabaabaaGcbaqcfaOaamiCai abg2da9maalaaabaGaeqySdeMaaGPaVlabeI7aXTWaaWbaaKqbagqa baqcLbmacaaIYaaaaaqcfayaaiabeg7aHjaaykW7cqaH4oqCdaahaa qabeaajugWaiaaikdaaaqcfaOaey4kaSIaaGOmaaaacaGGSaGaaGjb VlaadEgalmaaBaaajuaGbaqcLbmacaaIXaaajuaGbeaadaqadaqaai aadIhacaGGSaGaeqiUdehacaGLOaGaayzkaaGaeyypa0JaeqiUdeNa amyzaSWaaWbaaKqbagqabaqcLbmacqGHsislcqaH4oqCcaaMc8Uaam iEaaaajuaGcaGGSaGaam4zamaaBaaabaqcLbmacaaIYaaajuaGbeaa daqadaqaaiaadIhaaiaawIcacaGLPaaacqGH9aqpcaaMe8UaaGjbVp aalaaabaGaeqiUde3cdaahaaqcfayabeaajugWaiaaiodaaaaajuaG baGaeu4KdC0aaeWaaeaacaaIZaaacaGLOaGaayzkaaaaaiaadwgada ahaaqabeaajugWaiabgkHiTiabeI7aXjaaykW7caWG4baaaKqbakaa dIhadaahaaqabeaajugWaiaaiodacqGHsislcaaIXaaaaaaa@8070@

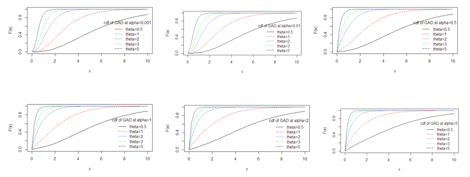
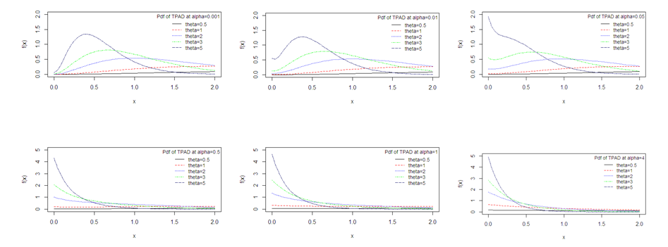
The graph of the pdf of TPAD has been drawn for varying values of the parameter and shown in figure 1. It is obvious that the pdf takes different shapes for varying values of the parameters. The graph of the cdf of TPAD has been shown for varying values of the parameters in figure 2.

Figure 1 pdf of TPAD for varying values of parameters θ and α.

Figure 2 cdf of TPAD for varying values of the parameters θ and α.

Moments associated measures

The r MathType@MTEF@5@5@+= feaagKart1ev2aaatCvAUfeBSjuyZL2yd9gzLbvyNv2CaerbuLwBLn hiov2DGi1BTfMBaeXatLxBI9gBaerbd9wDYLwzYbItLDharqqtubsr 4rNCHbGeaGqiVu0Je9sqqrpepC0xbbL8F4rqqrFfpeea0xe9Lq=Jc9 vqaqpepm0xbba9pwe9Q8fs0=yqaqpepae9pg0FirpepeKkFr0xfr=x fr=xb9adbaqaaeGaciGaaiaabeqaamaabaabaaGcbaqcfaOaamOCaa aa@377B@ th moment about origin of TPAD can be obtained as

μ r = r!{ α θ 2 +( r+1 )( r+2 ) } θ r ( α θ 2 +2 ) ; r=1,2,3,... MathType@MTEF@5@5@+= feaagKart1ev2aaatCvAUfeBSjuyZL2yd9gzLbvyNv2CaerbuLwBLn hiov2DGi1BTfMBaeXatLxBI9gBaerbd9wDYLwzYbItLDharqqtubsr 4rNCHbGeaGqiVu0Je9sqqrpepC0xbbL8F4rqqrFfpeea0xe9Lq=Jc9 vqaqpepm0xbba9pwe9Q8fs0=yqaqpepae9pg0FirpepeKkFr0xfr=x fr=xb9adbaqaaeGaciGaaiaabeqaamaabaabaaGcbaqcfaOaeqiVd0 2cdaWgaaqcfayaaKqzadGaamOCaaqcfayabaWcdaahaaqcfayabeaa jugWaiadacUHYaIOaaqcfaOaeyypa0ZaaSaaaeaacaWGYbGaaiyiam aacmaabaGaeqySdeMaaGPaVlabeI7aXnaaCaaabeqaaKqzadGaaGOm aaaajuaGcqGHRaWkdaqadaqaaiaadkhacqGHRaWkcaaIXaaacaGLOa GaayzkaaWaaeWaaeaacaWGYbGaey4kaSIaaGOmaaGaayjkaiaawMca aaGaay5Eaiaaw2haaaqaaiabeI7aXnaaCaaabeqaaKqzadGaamOCaa aajuaGdaqadaqaaiabeg7aHjaaykW7cqaH4oqClmaaCaaajuaGbeqa aKqzadGaaGOmaaaajuaGcqGHRaWkcaaIYaaacaGLOaGaayzkaaaaai aaykW7caGG7aGaaeiiaiaadkhacqGH9aqpcaaIXaGaaiilaiaaikda caGGSaGaaG4maiaacYcacaGGUaGaaiOlaiaac6caaaa@7189@  (3.1)

Taking r=1,2,3 MathType@MTEF@5@5@+= feaagKart1ev2aaatCvAUfeBSjuyZL2yd9gzLbvyNv2CaerbuLwBLn hiov2DGi1BTfMBaeXatLxBI9gBaerbd9wDYLwzYbItLDharqqtubsr 4rNCHbGeaGqiVu0Je9sqqrpepC0xbbL8F4rqqrFfpeea0xe9Lq=Jc9 vqaqpepm0xbba9pwe9Q8fs0=yqaqpepae9pg0FirpepeKkFr0xfr=x fr=xb9adbaqaaeGaciGaaiaabeqaamaabaabaaGcbaqcfaOaamOCai abg2da9iaaigdacaGGSaGaaGOmaiaacYcacaaIZaaaaa@3C15@  and 4 in (3.1), the first four moments about origin of TPAD are obtained as

  μ 1 = α θ 2 +6 θ( α θ 2 +2 ) , μ 2 = 2( α θ 2 +12 ) θ 2 ( α θ 2 +2 ) ,   μ 3 = 6( α θ 2 +20 ) θ 3 ( α θ 2 +2 ) ,    μ 4 = 24( α θ 2 +30 ) θ 4 ( α θ 2 +2 ) MathType@MTEF@5@5@+= feaagKart1ev2aaatCvAUfeBSjuyZL2yd9gzLbvyNv2CaerbuLwBLn hiov2DGi1BTfMBaeXatLxBI9gBaerbd9wDYLwzYbItLDharqqtubsr 4rNCHbGeaGqiVu0Je9sqqrpepC0xbbL8F4rqqrFfpeea0xe9Lq=Jc9 vqaqpepm0xbba9pwe9Q8fs0=yqaqpepae9pg0FirpepeKkFr0xfr=x fr=xb9adbaqaaeGaciGaaiaabeqaamaabaabaaGcbaqcfaOaeqiVd0 2cdaWgaaqcfayaaKqzadGaaGymaaqcfayabaWcdaahaaqcfayabeaa jugWaiadacUHYaIOaaqcfaOaeyypa0ZaaSaaaeaacqaHXoqycaaMc8 UaeqiUde3aaWbaaeqabaqcLbmacaaIYaaaaKqbakabgUcaRiaaiAda aeaacqaH4oqCdaqadaqaaiabeg7aHjaaykW7cqaH4oqClmaaCaaaju aGbeqaaKqzadGaaGOmaaaajuaGcqGHRaWkcaaIYaaacaGLOaGaayzk aaaaaiaacYcacaaMe8UaaGjbVlabeY7aTnaaBaaajuaibaGaaGOmaa qabaqcfa4aaWbaaKqbGeqabaGamai4gkdiIcaajuaGcqGH9aqpdaWc aaqaaiaaikdadaqadaqaaiabeg7aHjaaykW7cqaH4oqCdaahaaqabK qbGeaacaaIYaaaaKqbakabgUcaRiaaigdacaaIYaaacaGLOaGaayzk aaaabaGaeqiUde3aaWbaaeqajuaibaGaaGOmaaaajuaGdaqadaqaai abeg7aHjaaykW7cqaH4oqCdaahaaqabKqbGeaacaaIYaaaaKqbakab gUcaRiaaikdaaiaawIcacaGLPaaaaaGaaiilaiaaysW7caqGGaGaae iiaiabeY7aTnaaBaaajuaibaGaaG4maaqabaqcfa4aaWbaaKqbGeqa baGamai4gkdiIcaajuaGcqGH9aqpdaWcaaqaaiaaiAdadaqadaqaai abeg7aHjaaykW7cqaH4oqCdaahaaqabKqbGeaacaaIYaaaaKqbakab gUcaRiaaikdacaaIWaaacaGLOaGaayzkaaaabaGaeqiUde3aaWbaae qajuaibaGaaG4maaaajuaGdaqadaqaaiabeg7aHjaaykW7cqaH4oqC daahaaqcfasabeaacaaIYaaaaKqbakabgUcaRiaaikdaaiaawIcaca GLPaaaaaGaaiilaiaabccacaqGGaGaaeiiaiabeY7aTnaaBaaajuai baGaaGinaaqabaqcfa4aaWbaaKqbGeqabaGamai4gkdiIcaajuaGcq GH9aqpdaWcaaqaaiaaikdacaaI0aWaaeWaaeaacqaHXoqycaaMc8Ua eqiUde3aaWbaaKqbGeqabaGaaGOmaaaajuaGcqGHRaWkcaaIZaGaaG imaaGaayjkaiaawMcaaaqaaiabeI7aXnaaCaaajuaibeqaaiaaisda aaqcfa4aaeWaaeaacqaHXoqycaaMc8UaeqiUde3aaWbaaKqbGeqaba GaaGOmaaaajuaGcqGHRaWkcaaIYaaacaGLOaGaayzkaaaaaaaa@C335@  

Using the relationship between moments about origin and central moments, the central moments of TPAD are obtained as

μ 2 =  α 2 θ 4 +16α θ 2 +12 θ 2 ( α θ 2 +2 ) 2 μ 3 =  2( α 3 θ 6 +30 α 2 θ 4 +36α θ 2 +24 ) θ 3 ( α θ 2 +2 ) 3    μ 4 =  3( 3 α 4 θ 8 +128 α 3 θ 6 +408 α 2 θ 4 +576α θ 2 +240 ) θ 4 ( α θ 2 +2 ) 4       MathType@MTEF@5@5@+= feaagKart1ev2aaatCvAUfeBSjuyZL2yd9gzLbvyNv2CaerbuLwBLn hiov2DGi1BTfMBaeXatLxBI9gBaerbd9wDYLwzYbItLDharqqtubsr 4rNCHbGeaGqiVu0Je9sqqrpepC0xbbL8F4rqqrFfpeea0xe9Lq=Jc9 vqaqpepm0xbba9pwe9Q8fs0=yqaqpepae9pg0FirpepeKkFr0xfr=x fr=xb9adbaqaaeGaciGaaiaabeqaamaabaabaaGceaqabeaajuaGcq aH8oqBdaWgaaqaaKqzadGaaGOmaaqcfayabaGaeyypa0Jaaeiiamaa laaabaGaeqySde2cdaahaaqcfayabeaajugWaiaaikdaaaqcfaOaeq iUde3cdaahaaqcfayabeaajugWaiaaisdaaaqcfaOaey4kaSIaaGym aiaaiAdacqaHXoqycaaMc8UaeqiUde3aaWbaaeqabaqcLbmacaaIYa aaaKqbakabgUcaRiaaigdacaaIYaaabaGaeqiUde3cdaahaaqcfaya beaajugWaiaaikdaaaqcfa4aaeWaaeaacqaHXoqycaaMc8UaeqiUde 3aaWbaaKqbGeqabaGaaGOmaaaajuaGcqGHRaWkcaaIYaaacaGLOaGa ayzkaaWcdaahaaqcfayabeaajugWaiaaikdaaaaaaaqcfayaaiabeY 7aTnaaBaaabaqcLbmacaaIZaaajuaGbeaacqGH9aqpcaqGGaWaaSaa aeaacaaIYaWaaeWaaeaacqaHXoqylmaaCaaajuaGbeqaaKqzadGaaG 4maaaajuaGcqaH4oqCdaahaaqabeaajugWaiaaiAdaaaqcfaOaey4k aSIaaG4maiaaicdacqaHXoqydaahaaqcfasabeaacaaIYaaaaKqbak abeI7aXnaaCaaabeqcfasaaiaaisdaaaqcfaOaey4kaSIaaG4maiaa iAdacqaHXoqycaaMc8UaeqiUde3aaWbaaKqbGeqabaGaaGOmaaaaju aGcqGHRaWkcaaIYaGaaGinaaGaayjkaiaawMcaaaqaaiabeI7aXnaa Caaajuaibeqaaiaaiodaaaqcfa4aaeWaaeaacqaHXoqycaaMc8Uaeq iUde3aaWbaaKqbGeqabaGaaGOmaaaajuaGcqGHRaWkcaaIYaaacaGL OaGaayzkaaWaaWbaaKqbGeqabaGaaG4maaaaaaaakeaajuaGcaqGGa GaaeiiaiabeY7aTnaaBaaajuaibaGaaGinaaqabaqcfaOaeyypa0Ja aeiiamaalaaabaGaaG4mamaabmaabaGaaG4maiabeg7aHnaaCaaabe qcfasaaiaaisdaaaqcfaOaeqiUde3aaWbaaKqbGeqabaGaaGioaaaa juaGcqGHRaWkcaaIXaGaaGOmaiaaiIdacqaHXoqydaahaaqcfasabe aacaaIZaaaaKqbakabeI7aXnaaCaaabeqcfasaaiaaiAdaaaqcfaOa ey4kaSIaaGinaiaaicdacaaI4aGaeqySde2aaWbaaeqajuaibaGaaG OmaaaajuaGcqaH4oqCdaahaaqcfasabeaacaaI0aaaaKqbakabgUca RiaaiwdacaaI3aGaaGOnaiabeg7aHjaaykW7cqaH4oqCdaahaaqcfa sabeaacaaIYaaaaKqbakabgUcaRiaaikdacaaI0aGaaGimaaGaayjk aiaawMcaaaqaaiabeI7aXnaaCaaajuaibeqaaiaaisdaaaqcfa4aae WaaeaacqaHXoqycaaMc8UaeqiUde3aaWbaaKqbGeqabaGaaGOmaaaa juaGcqGHRaWkcaaIYaaacaGLOaGaayzkaaWaaWbaaKqbGeqabaGaaG inaaaaaaqcfaOaaeiiaiaabccacaqGGaGaaeiiaiaabccaaaaa@DA07@

It can be easily verified that at α=1 MathType@MTEF@5@5@+= feaagKart1ev2aaatCvAUfeBSjuyZL2yd9gzLbvyNv2CaerbuLwBLn hiov2DGi1BTfMBaeXatLxBI9gBaerbd9wDYLwzYbItLDharqqtubsr 4rNCHbGeaGqiVu0Je9sqqrpepC0xbbL8F4rqqrFfpeea0xe9Lq=Jc9 vqaqpepm0xbba9pwe9Q8fs0=yqaqpepae9pg0FirpepeKkFr0xfr=x fr=xb9adbaqaaeGaciGaaiaabeqaamaabaabaaGcbaqcfaOaeqySde Maeyypa0JaaGymaaaa@39E4@ , these raw moments and central moments of TPAD (2.1) reduce to the corresponding moments of the Akash distribution.

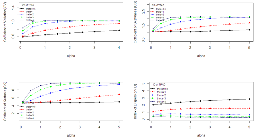
The coefficients of variation (C.V), skewness ( β 1 ) MathType@MTEF@5@5@+= feaagKart1ev2aaatCvAUfeBSjuyZL2yd9gzLbvyNv2CaerbuLwBLn hiov2DGi1BTfMBaeXatLxBI9gBaerbd9wDYLwzYbItLDharqqtubsr 4rNCHbGeaGqiVu0Je9sqqrpepC0xbbL8F4rqqrFfpeea0xe9Lq=Jc9 vqaqpepm0xbba9pwe9Q8fs0=yqaqpepae9pg0FirpepeKkFr0xfr=x fr=xb9adbaqaaeGaciGaaiaabeqaamaabaabaaGcbaqcfa4aaeWaae aadaGcaaqaaiabek7aInaaBaaabaqcLbmacaaIXaaajuaGbeaaaeqa aaGaayjkaiaawMcaaaaa@3C56@ , kurtosis ( β 2 ) MathType@MTEF@5@5@+= feaagKart1ev2aaatCvAUfeBSjuyZL2yd9gzLbvyNv2CaerbuLwBLn hiov2DGi1BTfMBaeXatLxBI9gBaerbd9wDYLwzYbItLDharqqtubsr 4rNCHbGeaGqiVu0Je9sqqrpepC0xbbL8F4rqqrFfpeea0xe9Lq=Jc9 vqaqpepm0xbba9pwe9Q8fs0=yqaqpepae9pg0FirpepeKkFr0xfr=x fr=xb9adbaqaaeGaciGaaiaabeqaamaabaabaaGcbaqcfa4aaeWaae aacqaHYoGydaWgaaqaaKqzadGaaGOmaaqcfayabaaacaGLOaGaayzk aaaaaa@3C47@ and index of dispersion ( γ ) MathType@MTEF@5@5@+= feaagKart1ev2aaatCvAUfeBSjuyZL2yd9gzLbvyNv2CaerbuLwBLn hiov2DGi1BTfMBaeXatLxBI9gBaerbd9wDYLwzYbItLDharqqtubsr 4rNCHbGeaGqiVu0Je9sqqrpepC0xbbL8F4rqqrFfpeea0xe9Lq=Jc9 vqaqpepm0xbba9pwe9Q8fs0=yqaqpepae9pg0FirpepeKkFr0xfr=x fr=xb9adbaqaaeGaciGaaiaabeqaamaabaabaaGcbaqcfa4aaeWaae aacqaHZoWzaiaawIcacaGLPaaaaaa@39B4@ of TPAD are given by

C.V= σ μ 1 = α 2 θ 4 +16α θ 2 +12 α θ 2 +6 β 1 = μ 3 μ 2 3/2 = 2( α 3 θ 6 +30 α 2 θ 4 +36α θ 2 +24 ) ( α 2 θ 4 +16α θ 2 +12 ) 3/2 β 2 = μ 4 μ 2 2 = 3( 3 α 4 θ 8 +128 α 3 θ 6 +408 α 2 θ 4 +576α θ 2 +240 ) ( α 2 θ 4 +16α θ 2 +12 ) 2      γ= σ 2 μ 1 α 2 θ 4 +16α θ 2 +12 θ( α θ 2 +2 )( α θ 2 +6 ) MathType@MTEF@5@5@+= feaagKart1ev2aaatCvAUfeBSjuyZL2yd9gzLbvyNv2CaerbuLwBLn hiov2DGi1BTfMBaeXatLxBI9gBaerbd9wDYLwzYbItLDharqqtubsr 4rNCHbGeaGqiVu0Je9sqqrpepC0xbbL8F4rqqrFfpeea0xe9Lq=Jc9 vqaqpepm0xbba9pwe9Q8fs0=yqaqpepae9pg0FirpepeKkFr0xfr=x fr=xb9adbaqaaeGaciGaaiaabeqaamaabaabaaGceaqabeaajuaGca WGdbGaaiOlaiaadAfacqGH9aqpdaWcaaqaaiabeo8aZbqaaiabeY7a TTWaaSbaaKqbagaajugWaiaaigdaaKqbagqaaSWaaWbaaKqbagqaba qcLbmacWaGGBOmGikaaaaajuaGcqGH9aqpdaWcaaqaamaakaaabaGa eqySde2aaWbaaeqabaqcLbmacaaIYaaaaKqbakabeI7aXnaaCaaabe qaaKqzadGaaGinaaaajuaGcqGHRaWkcaaIXaGaaGOnaiabeg7aHjaa ykW7cqaH4oqClmaaCaaajuaGbeqaaKqzadGaaGOmaaaajuaGcqGHRa WkcaaIXaGaaGOmaaqabaaabaGaeqySdeMaaGPaVlabeI7aXTWaaWba aKqbagqabaqcLbmacaaIYaaaaKqbakabgUcaRiaaiAdaaaaabaWaaO aaaeaacqaHYoGylmaaBaaajuaGbaqcLbmacaaIXaaajuaGbeaaaeqa aiabg2da9maalaaabaGaeqiVd02aaSbaaeaajugWaiaaiodaaKqbag qaaaqaaiabeY7aTTWaaSbaaKqbagaajugWaiaaikdaaKqbagqaaSWa aWbaaKqbagqabaWcdaWcgaqcfayaaKqzadGaaG4maaqcfayaaKqzad GaaGOmaaaaaaaaaKqbakabg2da9maalaaabaGaaGOmamaabmaabaGa eqySde2aaWbaaeqabaqcLbmacaaIZaaaaKqbakabeI7aXnaaCaaabe qaaKqzadGaaGOnaaaajuaGcqGHRaWkcaaIZaGaaGimaiabeg7aHnaa CaaabeqaaKqzadGaaGOmaaaajuaGcqaH4oqClmaaCaaajuaGbeqaaK qzadGaaGinaaaajuaGcqGHRaWkcaaIZaGaaGOnaiabeg7aHjaaykW7 cqaH4oqClmaaCaaajuaGbeqaaKqzadGaaGOmaaaajuaGcqGHRaWkca aIYaGaaGinaaGaayjkaiaawMcaaaqaamaabmaabaGaeqySde2aaWba aeqabaqcLbmacaaIYaaaaKqbakabeI7aXTWaaWbaaKqbagqabaqcLb macaaI0aaaaKqbakabgUcaRiaaigdacaaI2aGaeqySdeMaaGPaVlab eI7aXTWaaWbaaKqbagqabaqcLbmacaaIYaaaaKqbakabgUcaRiaaig dacaaIYaaacaGLOaGaayzkaaWcdaahaaqcfayabeaalmaalyaajuaG baqcLbmacaaIZaaajuaGbaqcLbmacaaIYaaaaaaaaaaajuaGbaGaeq OSdi2aaSbaaeaajugWaiaaikdaaKqbagqaaiabg2da9maalaaabaGa eqiVd02aaSbaaeaajugWaiaaisdaaKqbagqaaaqaaiabeY7aTTWaaS baaKqbagaajugWaiaaikdaaKqbagqaaSWaaWbaaKqbagqabaqcLbma caaIYaaaaaaajuaGcqGH9aqpdaWcaaqaaiaaiodadaqadaqaaiaaio dacqaHXoqylmaaCaaajuaGbeqaaKqzadGaaGinaaaajuaGcqaH4oqC lmaaCaaajuaGbeqaaKqzadGaaGioaaaajuaGcqGHRaWkcaaIXaGaaG OmaiaaiIdacqaHXoqylmaaCaaajuaGbeqaaKqzadGaaG4maaaajuaG cqaH4oqClmaaCaaajuaybeqaaKqzadGaaGOnaaaajuaGcqGHRaWkca aI0aGaaGimaiaaiIdacqaHXoqydaahaaqabeaajugWaiaaikdaaaqc faOaeqiUde3cdaahaaqcfayabeaajugWaiaaisdaaaqcfaOaey4kaS IaaGynaiaaiEdacaaI2aGaeqySdeMaaGPaVlabeI7aXTWaaWbaaKqb agqabaqcLbmacaaIYaaaaKqbakabgUcaRiaaikdacaaI0aGaaGimaa GaayjkaiaawMcaaaqaamaabmaabaGaeqySde2aaWbaaeqabaqcLbma caaIYaaaaKqbakabeI7aXTWaaWbaaKqbagqabaqcLbmacaaI0aaaaK qbakabgUcaRiaaigdacaaI2aGaeqySdeMaaGPaVlabeI7aXTWaaWba aKqbagqabaqcLbmacaaIYaaaaKqbakabgUcaRiaaigdacaaIYaaaca GLOaGaayzkaaWaaWbaaeqabaqcLbmacaaIYaaaaaaajuaGcaqGGaGa aeiiaiaabccacaqGGaaakeaajuaGcqaHZoWzcqGH9aqpdaWcaaqaai abeo8aZnaaCaaabeqaaKqzadGaaGOmaaaaaKqbagaacqaH8oqBlmaa BaaajuaGbaqcLbmacaaIXaaajuaGbeaalmaaCaaajuaGbeqaaKqzad Gamai4gkdiIcaaaaqcfaOaaeypaiaabccadaWcaaqaaiabeg7aHnaa CaaabeqaaKqzadGaaGOmaaaajuaGcqaH4oqClmaaCaaajuaGbeqaaK qzadGaaGinaaaajuaGcqGHRaWkcaaIXaGaaGOnaiabeg7aHjaaykW7 cqaH4oqCdaahaaqabeaajugWaiaaikdaaaqcfaOaey4kaSIaaGymai aaikdaaeaacqaH4oqCdaqadaqaaiabeg7aHjaaykW7cqaH4oqClmaa CaaajuaGbeqaaKqzadGaaGOmaaaajuaGcqGHRaWkcaaIYaaacaGLOa GaayzkaaWaaeWaaeaacqaHXoqycaaMc8UaeqiUde3cdaahaaqcfaya beaajugWaiaaikdaaaqcfaOaey4kaSIaaGOnaaGaayjkaiaawMcaaa aaaaaa@6227@

Graphs of coefficients of variation (C.V), skewness ( β 1 ) MathType@MTEF@5@5@+= feaagKart1ev2aaatCvAUfeBSjuyZL2yd9gzLbvyNv2CaerbuLwBLn hiov2DGi1BTfMBaeXatLxBI9gBaerbd9wDYLwzYbItLDharqqtubsr 4rNCHbGeaGqiVu0Je9sqqrpepC0xbbL8F4rqqrFfpeea0xe9Lq=Jc9 vqaqpepm0xbba9pwe9Q8fs0=yqaqpepae9pg0FirpepeKkFr0xfr=x fr=xb9adbaqaaeGaciGaaiaabeqaamaabaabaaGcbaqcfa4aaeWaae aadaGcaaqaaiabek7aInaaBaaabaqcLbmacaaIXaaajuaGbeaaaeqa aaGaayjkaiaawMcaaaaa@3C56@ , kurtosis ( β 2 ) MathType@MTEF@5@5@+= feaagKart1ev2aaatCvAUfeBSjuyZL2yd9gzLbvyNv2CaerbuLwBLn hiov2DGi1BTfMBaeXatLxBI9gBaerbd9wDYLwzYbItLDharqqtubsr 4rNCHbGeaGqiVu0Je9sqqrpepC0xbbL8F4rqqrFfpeea0xe9Lq=Jc9 vqaqpepm0xbba9pwe9Q8fs0=yqaqpepae9pg0FirpepeKkFr0xfr=x fr=xb9adbaqaaeGaciGaaiaabeqaamaabaabaaGcbaqcfa4aaeWaae aacqaHYoGydaWgaaqaaKqzadGaaGOmaaqcfayabaaacaGLOaGaayzk aaaaaa@3C47@ and index of dispersion ( γ ) MathType@MTEF@5@5@+= feaagKart1ev2aaatCvAUfeBSjuyZL2yd9gzLbvyNv2CaerbuLwBLn hiov2DGi1BTfMBaeXatLxBI9gBaerbd9wDYLwzYbItLDharqqtubsr 4rNCHbGeaGqiVu0Je9sqqrpepC0xbbL8F4rqqrFfpeea0xe9Lq=Jc9 vqaqpepm0xbba9pwe9Q8fs0=yqaqpepae9pg0FirpepeKkFr0xfr=x fr=xb9adbaqaaeGaciGaaiaabeqaamaabaabaaGcbaqcfa4aaeWaae aacqaHZoWzaiaawIcacaGLPaaaaaa@39B4@ of TPAD for varying values of the parameters are shown in figure 3.

Figure 3 Graphs of Coefficient of variation, skewness, kurtosis and index of dispersion of TPAD for varying values of parameters θ and α.

Statistical and mathematical properties

Hazard rate and mean residual life functions

Let f( x ) MathType@MTEF@5@5@+= feaagKart1ev2aaatCvAUfeBSjuyZL2yd9gzLbvyNv2CaerbuLwBLn hiov2DGi1BTfMBaeXatLxBI9gBaerbd9wDYLwzYbItLDharqqtubsr 4rNCHbGeaGqiVu0Je9sqqrpepC0xbbL8F4rqqrFfpeea0xe9Lq=Jc9 vqaqpepm0xbba9pwe9Q8fs0=yqaqpepae9pg0FirpepeKkFr0xfr=x fr=xb9adbaqaaeGaciGaaiaabeqaamaabaabaaGcbaqcLbsacaWGMb qcfa4aaeWaaOqaaKqzGeGaamiEaaGccaGLOaGaayzkaaaaaa@3B27@ and F( x ) MathType@MTEF@5@5@+= feaagKart1ev2aaatCvAUfeBSjuyZL2yd9gzLbvyNv2CaerbuLwBLn hiov2DGi1BTfMBaeXatLxBI9gBaerbd9wDYLwzYbItLDharqqtubsr 4rNCHbGeaGqiVu0Je9sqqrpepC0xbbL8F4rqqrFfpeea0xe9Lq=Jc9 vqaqpepm0xbba9pwe9Q8fs0=yqaqpepae9pg0FirpepeKkFr0xfr=x fr=xb9adbaqaaeGaciGaaiaabeqaamaabaabaaGcbaqcLbsacaWGgb qcfa4aaeWaaOqaaKqzGeGaamiEaaGccaGLOaGaayzkaaaaaa@3B07@  be the pdf and cdf of a continuous random variable X MathType@MTEF@5@5@+= feaagKart1ev2aaatCvAUfeBSjuyZL2yd9gzLbvyNv2CaerbuLwBLn hiov2DGi1BTfMBaeXatLxBI9gBaerbd9wDYLwzYbItLDharqqtubsr 4rNCHbGeaGqiVu0Je9sqqrpepC0xbbL8F4rqqrFfpeea0xe9Lq=Jc9 vqaqpepm0xbba9pwe9Q8fs0=yqaqpepae9pg0FirpepeKkFr0xfr=x fr=xb9adbaqaaeGaciGaaiaabeqaamaabaabaaGcbaqcLbsacaWGyb aaaa@3762@ .The hazard rate function (also known as the failure rate function) h( x ) MathType@MTEF@5@5@+= feaagKart1ev2aaatCvAUfeBSjuyZL2yd9gzLbvyNv2CaerbuLwBLn hiov2DGi1BTfMBaeXatLxBI9gBaerbd9wDYLwzYbItLDharqqtubsr 4rNCHbGeaGqiVu0Je9sqqrpepC0xbbL8F4rqqrFfpeea0xe9Lq=Jc9 vqaqpepm0xbba9pwe9Q8fs0=yqaqpepae9pg0FirpepeKkFr0xfr=x fr=xb9adbaqaaeGaciGaaiaabeqaamaabaabaaGcbaqcLbsacaWGOb qcfa4aaeWaaOqaaKqzGeGaamiEaaGccaGLOaGaayzkaaaaaa@3B29@  and the mean residual life function m( x ) MathType@MTEF@5@5@+= feaagKart1ev2aaatCvAUfeBSjuyZL2yd9gzLbvyNv2CaerbuLwBLn hiov2DGi1BTfMBaeXatLxBI9gBaerbd9wDYLwzYbItLDharqqtubsr 4rNCHbGeaGqiVu0Je9sqqrpepC0xbbL8F4rqqrFfpeea0xe9Lq=Jc9 vqaqpepm0xbba9pwe9Q8fs0=yqaqpepae9pg0FirpepeKkFr0xfr=x fr=xb9adbaqaaeGaciGaaiaabeqaamaabaabaaGcbaqcLbsacaWGTb qcfa4aaeWaaOqaaKqzGeGaamiEaaGccaGLOaGaayzkaaaaaa@3B2E@ are respectively defined as

h( x )= lim Δx0 P( X<x+Δx|X>x ) Δx = f( x ) 1F( x ) MathType@MTEF@5@5@+= feaagKart1ev2aaatCvAUfeBSjuyZL2yd9gzLbvyNv2CaerbuLwBLn hiov2DGi1BTfMBaeXatLxBI9gBaerbd9wDYLwzYbItLDharqqtubsr 4rNCHbGeaGqiVu0Je9sqqrpepC0xbbL8F4rqqrFfpeea0xe9Lq=Jc9 vqaqpepm0xbba9pwe9Q8fs0=yqaqpepae9pg0FirpepeKkFr0xfr=x fr=xb9adbaqaaeGaciGaaiaabeqaamaabaabaaGcbaqcLbsacaWGOb qcfa4aaeWaaOqaaKqzGeGaamiEaaGccaGLOaGaayzkaaqcLbsacqGH 9aqpjuaGdaWfqaGcbaqcLbsaciGGSbGaaiyAaiaac2gaaSqaaKqzGe GaeyiLdqKaamiEaiabgkziUkaaicdaaSqabaqcfa4aaSaaaOqaaKqz GeGaamiuaKqbaoaabmaakeaajuaGdaabcaGcbaqcLbsacaWGybGaey ipaWJaamiEaiabgUcaRiabgs5aejaadIhacaaMc8oakiaawIa7aKqz GeGaamiwaiabg6da+iaadIhaaOGaayjkaiaawMcaaaqaaKqzGeGaey iLdqKaamiEaaaacqGH9aqpjuaGdaWcaaGcbaqcLbsacaWGMbqcfa4a aeWaaOqaaKqzGeGaamiEaaGccaGLOaGaayzkaaaabaqcLbsacaaIXa GaeyOeI0IaamOraKqbaoaabmaakeaajugibiaadIhaaOGaayjkaiaa wMcaaaaaaaa@693C@  (4.1.1)
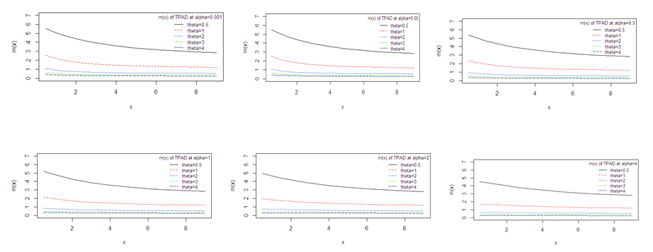
and  m( x )=E[ Xx|X>x ]= 1 1F( x ) x [ 1F( t ) ] dt MathType@MTEF@5@5@+= feaagKart1ev2aaatCvAUfeBSjuyZL2yd9gzLbvyNv2CaerbuLwBLn hiov2DGi1BTfMBaeXatLxBI9gBaerbd9wDYLwzYbItLDharqqtubsr 4rNCHbGeaGqiVu0Je9sqqrpepC0xbbL8F4rqqrFfpeea0xe9Lq=Jc9 vqaqpepm0xbba9pwe9Q8fs0=yqaqpepae9pg0FirpepeKkFr0xfr=x fr=xb9adbaqaaeGaciGaaiaabeqaamaabaabaaGcbaqcLbsacaqGGa GaamyBaKqbaoaabmaakeaajugibiaadIhaaOGaayjkaiaawMcaaKqz GeGaeyypa0JaamyraKqbaoaadmaakeaajuaGdaabcaGcbaqcLbsaca WGybGaeyOeI0IaamiEaaGccaGLiWoajugibiaadIfacqGH+aGpcaWG 4baakiaawUfacaGLDbaajugibiaaysW7cqGH9aqpcaaMe8Ecfa4aaS aaaOqaaKqzGeGaaGymaaGcbaqcLbsacaaIXaGaeyOeI0IaamOraKqb aoaabmaakeaajugibiaadIhaaOGaayjkaiaawMcaaaaajuaGdaWdXa Gcbaqcfa4aamWaaOqaaKqzGeGaaGymaiabgkHiTiaadAeajuaGdaqa daGcbaqcLbsacaWG0baakiaawIcacaGLPaaaaiaawUfacaGLDbaaaS qaaKqzGeGaamiEaaWcbaqcLbsacqGHEisPaiabgUIiYdGaaGjbVlaa ykW7caWGKbGaamiDaaaa@6BAB@  (4.1.2)

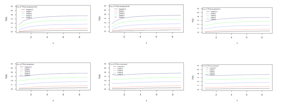
The corresponding h( x ) MathType@MTEF@5@5@+= feaagKart1ev2aaatCvAUfeBSjuyZL2yd9gzLbvyNv2CaerbuLwBLn hiov2DGi1BTfMBaeXatLxBI9gBaerbd9wDYLwzYbItLDharqqtubsr 4rNCHbGeaGqiVu0Je9sqqrpepC0xbbL8F4rqqrFfpeea0xe9Lq=Jc9 vqaqpepm0xbba9pwe9Q8fs0=yqaqpepae9pg0FirpepeKkFr0xfr=x fr=xb9adbaqaaeGaciGaaiaabeqaamaabaabaaGcbaqcLbsacaWGOb qcfa4aaeWaaOqaaKqzGeGaamiEaaGccaGLOaGaayzkaaaaaa@3B29@ and m( x ) MathType@MTEF@5@5@+= feaagKart1ev2aaatCvAUfeBSjuyZL2yd9gzLbvyNv2CaerbuLwBLn hiov2DGi1BTfMBaeXatLxBI9gBaerbd9wDYLwzYbItLDharqqtubsr 4rNCHbGeaGqiVu0Je9sqqrpepC0xbbL8F4rqqrFfpeea0xe9Lq=Jc9 vqaqpepm0xbba9pwe9Q8fs0=yqaqpepae9pg0FirpepeKkFr0xfr=x fr=xb9adbaqaaeGaciGaaiaabeqaamaabaabaaGcbaqcLbsacaWGTb qcfa4aaeWaaOqaaKqzGeGaamiEaaGccaGLOaGaayzkaaaaaa@3B2E@ of TPAD are thus obtained as

h( x )= θ 3 ( α+ x 2 ) θx( θx+2 )+( α θ 2 +2 ) MathType@MTEF@5@5@+= feaagKart1ev2aaatCvAUfeBSjuyZL2yd9gzLbvyNv2CaerbuLwBLn hiov2DGi1BTfMBaeXatLxBI9gBaerbd9wDYLwzYbItLDharqqtubsr 4rNCHbGeaGqiVu0Je9sqqrpepC0xbbL8F4rqqrFfpeea0xe9Lq=Jc9 vqaqpepm0xbba9pwe9Q8fs0=yqaqpepae9pg0FirpepeKkFr0xfr=x fr=xb9adbaqaaeGaciGaaiaabeqaamaabaabaaGcbaqcLbsacaWGOb qcfa4aaeWaaOqaaKqzGeGaamiEaaGccaGLOaGaayzkaaqcLbsacqGH 9aqpjuaGdaWcaaGcbaqcLbsacqaH4oqCjuaGdaahaaWcbeqcbasaaK qzadGaaG4maaaajuaGdaqadaGcbaqcLbsacqaHXoqycqGHRaWkcaWG 4bqcfa4aaWbaaSqabKqaGeaajugWaiaaikdaaaaakiaawIcacaGLPa aaaeaajugibiabeI7aXjaaykW7caWG4bqcfa4aaeWaaOqaaKqzGeGa eqiUdeNaaGPaVlaadIhacqGHRaWkcaaIYaaakiaawIcacaGLPaaaju gibiabgUcaRKqbaoaabmaakeaajugibiabeg7aHjaaykW7cqaH4oqC juaGdaahaaWcbeqcbasaaKqzadGaaGOmaaaajugibiabgUcaRiaaik daaOGaayjkaiaawMcaaaaaaaa@66EC@  (4.1.3)
And m( x )= 1 [ θx( θx+2 )+( α θ 2 +2 ) ] e θx x [ θt( θt+2 )+( α θ 2 +2 ) ] e θt dt MathType@MTEF@5@5@+= feaagKart1ev2aaatCvAUfeBSjuyZL2yd9gzLbvyNv2CaerbuLwBLn hiov2DGi1BTfMBaeXatLxBI9gBaerbd9wDYLwzYbItLDharqqtubsr 4rNCHbGeaGqiVu0Je9sqqrpepC0xbbL8F4rqqrFfpeea0xe9Lq=Jc9 vqaqpepm0xbba9pwe9Q8fs0=yqaqpepae9pg0FirpepeKkFr0xfr=x fr=xb9adbaqaaeGaciGaaiaabeqaamaabaabaaGcbaqcLbsacaWGTb qcfa4aaeWaaOqaaKqzGeGaamiEaaGccaGLOaGaayzkaaqcLbsacqGH 9aqpjuaGdaWcaaGcbaqcLbsacaaIXaaakeaajuaGdaWadaGcbaqcLb sacqaH4oqCcaaMc8UaamiEaKqbaoaabmaakeaajugibiabeI7aXjaa ykW7caWG4bGaey4kaSIaaGOmaaGccaGLOaGaayzkaaqcLbsacqGHRa WkjuaGdaqadaGcbaqcLbsacqaHXoqycaaMc8UaeqiUdexcfa4aaWba aSqabKqaGeaajugWaiaaikdaaaqcLbsacqGHRaWkcaaIYaaakiaawI cacaGLPaaaaiaawUfacaGLDbaajugibiaadwgajuaGdaahaaWcbeqc basaaKqzadGaeyOeI0IaeqiUdeNaamiEaaaaaaqcfa4aa8qCaOqaaK qbaoaadmaakeaajugibiabeI7aXjaaykW7caWG0bqcfa4aaeWaaOqa aKqzGeGaeqiUdeNaaGPaVlaadshacqGHRaWkcaaIYaaakiaawIcaca GLPaaajugibiabgUcaRKqbaoaabmaakeaajugibiabeg7aHjaaykW7 cqaH4oqCjuaGdaahaaWcbeqcbasaaKqzadGaaGOmaaaajugibiabgU caRiaaikdaaOGaayjkaiaawMcaaaGaay5waiaaw2faaaWcbaqcLbsa caWG4baaleaajugibiabg6HiLcGaey4kIipacaWGLbqcfa4aaWbaaS qabKqaGeaajugWaiabgkHiTiabeI7aXjaadshaaaqcLbsacaWGKbGa amiDaaaa@9160@
= θ 2 x 2 +4θx+( α θ 2 +6 ) θ[ θx( θx+2 )+( α θ 2 +2 ) ] MathType@MTEF@5@5@+= feaagKart1ev2aaatCvAUfeBSjuyZL2yd9gzLbvyNv2CaerbuLwBLn hiov2DGi1BTfMBaeXatLxBI9gBaerbd9wDYLwzYbItLDharqqtubsr 4rNCHbGeaGqiVu0Je9sqqrpepC0xbbL8F4rqqrFfpeea0xe9Lq=Jc9 vqaqpepm0xbba9pwe9Q8fs0=yqaqpepae9pg0FirpepeKkFr0xfr=x fr=xb9adbaqaaeGaciGaaiaabeqaamaabaabaaGcbaqcLbsacqGH9a qpjuaGdaWcaaGcbaqcLbsacqaH4oqCjuaGdaahaaWcbeqcbasaaKqz adGaaGOmaaaajugibiaaykW7caWG4bqcfa4aaWbaaSqabKqaGeaaju gWaiaaikdaaaqcLbsacqGHRaWkcaaI0aGaaGPaVlabeI7aXjaaykW7 caWG4bGaey4kaSscfa4aaeWaaOqaaKqzGeGaeqySdeMaaGPaVlabeI 7aXLqbaoaaCaaaleqajeaibaqcLbmacaaIYaaaaKqzGeGaey4kaSIa aGOnaaGccaGLOaGaayzkaaaabaqcLbsacqaH4oqCjuaGdaWadaGcba qcLbsacqaH4oqCcaaMc8UaamiEaKqbaoaabmaakeaajugibiabeI7a XjaaykW7caWG4bGaey4kaSIaaGOmaaGccaGLOaGaayzkaaqcLbsacq GHRaWkjuaGdaqadaGcbaqcLbsacqaHXoqycaaMc8UaeqiUdexcfa4a aWbaaSqabKqaGeaajugWaiaaikdaaaqcLbsacqGHRaWkcaaIYaaaki aawIcacaGLPaaaaiaawUfacaGLDbaaaaaaaa@78DA@ (4.1.4)

It can be easily verified that h( 0 )= α θ 3 α θ 2 +2 =f( 0 ) MathType@MTEF@5@5@+= feaagKart1ev2aaatCvAUfeBSjuyZL2yd9gzLbvyNv2CaerbuLwBLn hiov2DGi1BTfMBaeXatLxBI9gBaerbd9wDYLwzYbItLDharqqtubsr 4rNCHbGeaGqiVu0Je9sqqrpepC0xbbL8F4rqqrFfpeea0xe9Lq=Jc9 vqaqpepm0xbba9pwe9Q8fs0=yqaqpepae9pg0FirpepeKkFr0xfr=x fr=xb9adbaqaaeGaciGaaiaabeqaamaabaabaaGcbaqcLbsacaWGOb qcfa4aaeWaaOqaaKqzGeGaaGimaaGccaGLOaGaayzkaaqcLbsacqGH 9aqpjuaGdaWcaaGcbaqcLbsacqaHXoqycaaMc8UaeqiUdexcfa4aaW baaSqabKqaGeaajugWaiaaiodaaaaakeaajugibiabeg7aHjaaykW7 cqaH4oqCjuaGdaahaaWcbeqcbasaaKqzadGaaGOmaaaajugibiabgU caRiaaikdaaaGaeyypa0JaamOzaKqbaoaabmaakeaajugibiaaicda aOGaayjkaiaawMcaaaaa@553C@ and m( 0 )= α θ 2 +6 θ( α θ 2 +2 ) = μ 1 MathType@MTEF@5@5@+= feaagKart1ev2aaatCvAUfeBSjuyZL2yd9gzLbvyNv2CaerbuLwBLn hiov2DGi1BTfMBaeXatLxBI9gBaerbd9wDYLwzYbItLDharqqtubsr 4rNCHbGeaGqiVu0Je9sqqrpepC0xbbL8F4rqqrFfpeea0xe9Lq=Jc9 vqaqpepm0xbba9pwe9Q8fs0=yqaqpepae9pg0FirpepeKkFr0xfr=x fr=xb9adbaqaaeGaciGaaiaabeqaamaabaabaaGcbaqcLbsacaWGTb qcfa4aaeWaaOqaaKqzGeGaaGimaaGccaGLOaGaayzkaaqcLbsacqGH 9aqpjuaGdaWcaaGcbaqcLbsacqaHXoqycaaMc8UaeqiUdexcfa4aaW baaSqabKazba4=baqcLbmacaaIYaaaaKqzGeGaey4kaSIaaGOnaaGc baqcLbsacqaH4oqCjuaGdaqadaGcbaqcLbsacqaHXoqycaaMc8Uaeq iUdexcfa4aaWbaaSqabKazba4=baqcLbmacaaIYaaaaKqzGeGaey4k aSIaaGOmaaGccaGLOaGaayzkaaaaaKqzGeGaeyypa0JaeqiVd0wcfa 4aaSbaaSqaaKqzGeGaaGymaaWcbeaajuaGdaahaaWcbeqcbasaaKqz GeGamai4gkdiIcaaaaa@63B8@ . Graphs of h( x ) MathType@MTEF@5@5@+= feaagKart1ev2aaatCvAUfeBSjuyZL2yd9gzLbvyNv2CaerbuLwBLn hiov2DGi1BTfMBaeXatLxBI9gBaerbd9wDYLwzYbItLDharqqtubsr 4rNCHbGeaGqiVu0Je9sqqrpepC0xbbL8F4rqqrFfpeea0xe9Lq=Jc9 vqaqpepm0xbba9pwe9Q8fs0=yqaqpepae9pg0FirpepeKkFr0xfr=x fr=xb9adbaqaaeGaciGaaiaabeqaamaabaabaaGcbaqcLbsacaWGOb qcfa4aaeWaaOqaaKqzGeGaamiEaaGccaGLOaGaayzkaaaaaa@3B29@  and m( x ) MathType@MTEF@5@5@+= feaagKart1ev2aaatCvAUfeBSjuyZL2yd9gzLbvyNv2CaerbuLwBLn hiov2DGi1BTfMBaeXatLxBI9gBaerbd9wDYLwzYbItLDharqqtubsr 4rNCHbGeaGqiVu0Je9sqqrpepC0xbbL8F4rqqrFfpeea0xe9Lq=Jc9 vqaqpepm0xbba9pwe9Q8fs0=yqaqpepae9pg0FirpepeKkFr0xfr=x fr=xb9adbaqaaeGaciGaaiaabeqaamaabaabaaGcbaqcLbsacaWGTb qcfa4aaeWaaOqaaKqzGeGaamiEaaGccaGLOaGaayzkaaaaaa@3B2E@  of TPAD for varying values of parameters are shown in figure 4 and figure 5.

Figure 4 Hazard rate function of TPAD for varying values of parameters θ and α.

Figure 5 Mean residual life function of TPAD for varying values of parameters θ and α.

Stochastic ordering

Stochastic ordering of positive continuous random variables is an important tool for judging the comparative behavior. A random variable X MathType@MTEF@5@5@+= feaagKart1ev2aaatCvAUfeBSjuyZL2yd9gzLbvyNv2CaerbuLwBLn hiov2DGi1BTfMBaeXatLxBI9gBaerbd9wDYLwzYbItLDharqqtubsr 4rNCHbGeaGqiVu0Je9sqqrpepC0xbbL8F4rqqrFfpeea0xe9Lq=Jc9 vqaqpepm0xbba9pwe9Q8fs0=yqaqpepae9pg0FirpepeKkFr0xfr=x fr=xb9adbaqaaeGaciGaaiaabeqaamaabaabaaGcbaqcLbsacaWGyb aaaa@3762@ is said to be smaller than a random variable Y MathType@MTEF@5@5@+= feaagKart1ev2aaatCvAUfeBSjuyZL2yd9gzLbvyNv2CaerbuLwBLn hiov2DGi1BTfMBaeXatLxBI9gBaerbd9wDYLwzYbItLDharqqtubsr 4rNCHbGeaGqiVu0Je9sqqrpepC0xbbL8F4rqqrFfpeea0xe9Lq=Jc9 vqaqpepm0xbba9pwe9Q8fs0=yqaqpepae9pg0FirpepeKkFr0xfr=x fr=xb9adbaqaaeGaciGaaiaabeqaamaabaabaaGcbaqcLbsacaWGzb aaaa@3763@ in the

  1. stochastic order ( X st Y ) MathType@MTEF@5@5@+= feaagKart1ev2aaatCvAUfeBSjuyZL2yd9gzLbvyNv2CaerbuLwBLn hiov2DGi1BTfMBaeXatLxBI9gBaerbd9wDYLwzYbItLDharqqtubsr 4rNCHbGeaGqiVu0Je9sqqrpepC0xbbL8F4rqqrFfpeea0xe9Lq=Jc9 vqaqpepm0xbba9pwe9Q8fs0=yqaqpepae9pg0FirpepeKkFr0xfr=x fr=xb9adbaqaaeGaciGaaiaabeqaamaabaabaaGcbaqcfa4aaeWaaO qaaKqzGeGaamiwaiabgsMiJMqbaoaaBaaajeaibaqcLbmacaWGZbGa amiDaaWcbeaajugibiaadMfaaOGaayjkaiaawMcaaaaa@40B2@ if F X ( x ) F Y ( x ) MathType@MTEF@5@5@+= feaagKart1ev2aaatCvAUfeBSjuyZL2yd9gzLbvyNv2CaerbuLwBLn hiov2DGi1BTfMBaeXatLxBI9gBaerbd9wDYLwzYbItLDharqqtubsr 4rNCHbGeaGqiVu0Je9sqqrpepC0xbbL8F4rqqrFfpeea0xe9Lq=Jc9 vqaqpepm0xbba9pwe9Q8fs0=yqaqpepae9pg0FirpepeKkFr0xfr=x fr=xb9adbaqaaeGaciGaaiaabeqaamaabaabaaGcbaqcLbsacaWGgb qcfa4aaSbaaKqaGeaajugWaiaadIfaaSqabaqcfa4aaeWaaOqaaKqz GeGaamiEaaGccaGLOaGaayzkaaqcLbsacqGHLjYScaWGgbqcfa4aaS baaKqaGeaajugWaiaadMfaaSqabaqcfa4aaeWaaOqaaKqzGeGaamiE aaGccaGLOaGaayzkaaaaaa@47BD@ for all x MathType@MTEF@5@5@+= feaagKart1ev2aaatCvAUfeBSjuyZL2yd9gzLbvyNv2CaerbuLwBLn hiov2DGi1BTfMBaeXatLxBI9gBaerbd9wDYLwzYbItLDharqqtubsr 4rNCHbGeaGqiVu0Je9sqqrpepC0xbbL8F4rqqrFfpeea0xe9Lq=Jc9 vqaqpepm0xbba9pwe9Q8fs0=yqaqpepae9pg0FirpepeKkFr0xfr=x fr=xb9adbaqaaeGaciGaaiaabeqaamaabaabaaGcbaqcLbsacaWG4b aaaa@3782@
  2. hazard rate order ( X hr Y ) MathType@MTEF@5@5@+= feaagKart1ev2aaatCvAUfeBSjuyZL2yd9gzLbvyNv2CaerbuLwBLn hiov2DGi1BTfMBaeXatLxBI9gBaerbd9wDYLwzYbItLDharqqtubsr 4rNCHbGeaGqiVu0Je9sqqrpepC0xbbL8F4rqqrFfpeea0xe9Lq=Jc9 vqaqpepm0xbba9pwe9Q8fs0=yqaqpepae9pg0FirpepeKkFr0xfr=x fr=xb9adbaqaaeGaciGaaiaabeqaamaabaabaaGcbaqcfa4aaeWaaO qaaKqzGeGaamiwaiabgsMiJMqbaoaaBaaajeaibaqcLbmacaWGObGa amOCaaWcbeaajugibiaadMfaaOGaayjkaiaawMcaaaaa@40A5@ if h X ( x ) h Y ( x ) MathType@MTEF@5@5@+= feaagKart1ev2aaatCvAUfeBSjuyZL2yd9gzLbvyNv2CaerbuLwBLn hiov2DGi1BTfMBaeXatLxBI9gBaerbd9wDYLwzYbItLDharqqtubsr 4rNCHbGeaGqiVu0Je9sqqrpepC0xbbL8F4rqqrFfpeea0xe9Lq=Jc9 vqaqpepm0xbba9pwe9Q8fs0=yqaqpepae9pg0FirpepeKkFr0xfr=x fr=xb9adbaqaaeGaciGaaiaabeqaamaabaabaaGcbaqcLbsacaWGOb qcfa4aaSbaaKqaGeaajugWaiaadIfaaSqabaqcfa4aaeWaaOqaaKqz GeGaamiEaaGccaGLOaGaayzkaaqcLbsacqGHLjYScaWGObqcfa4aaS baaKqaGeaajugWaiaadMfaaSqabaqcfa4aaeWaaOqaaKqzGeGaamiE aaGccaGLOaGaayzkaaaaaa@4801@  for all x MathType@MTEF@5@5@+= feaagKart1ev2aaatCvAUfeBSjuyZL2yd9gzLbvyNv2CaerbuLwBLn hiov2DGi1BTfMBaeXatLxBI9gBaerbd9wDYLwzYbItLDharqqtubsr 4rNCHbGeaGqiVu0Je9sqqrpepC0xbbL8F4rqqrFfpeea0xe9Lq=Jc9 vqaqpepm0xbba9pwe9Q8fs0=yqaqpepae9pg0FirpepeKkFr0xfr=x fr=xb9adbaqaaeGaciGaaiaabeqaamaabaabaaGcbaqcLbsacaWG4b aaaa@3782@
  3. mean residual life order ( X mrl Y ) MathType@MTEF@5@5@+= feaagKart1ev2aaatCvAUfeBSjuyZL2yd9gzLbvyNv2CaerbuLwBLn hiov2DGi1BTfMBaeXatLxBI9gBaerbd9wDYLwzYbItLDharqqtubsr 4rNCHbGeaGqiVu0Je9sqqrpepC0xbbL8F4rqqrFfpeea0xe9Lq=Jc9 vqaqpepm0xbba9pwe9Q8fs0=yqaqpepae9pg0FirpepeKkFr0xfr=x fr=xb9adbaqaaeGaciGaaiaabeqaamaabaabaaGcbaqcfa4aaeWaaO qaaKqzGeGaamiwaiabgsMiJMqbaoaaBaaajeaibaqcLbmacaWGTbGa amOCaiaadYgaaSqabaqcLbsacaWGzbaakiaawIcacaGLPaaaaaa@419B@ if m X ( x ) m Y ( x ) MathType@MTEF@5@5@+= feaagKart1ev2aaatCvAUfeBSjuyZL2yd9gzLbvyNv2CaerbuLwBLn hiov2DGi1BTfMBaeXatLxBI9gBaerbd9wDYLwzYbItLDharqqtubsr 4rNCHbGeaGqiVu0Je9sqqrpepC0xbbL8F4rqqrFfpeea0xe9Lq=Jc9 vqaqpepm0xbba9pwe9Q8fs0=yqaqpepae9pg0FirpepeKkFr0xfr=x fr=xb9adbaqaaeGaciGaaiaabeqaamaabaabaaGcbaqcLbsacaWGTb qcfa4aaSbaaKqaGeaajugWaiaadIfaaSqabaqcfa4aaeWaaOqaaKqz GeGaamiEaaGccaGLOaGaayzkaaqcLbsacqGHKjYOcaWGTbqcfa4aaS baaKqaGeaajugWaiaadMfaaSqabaqcfa4aaeWaaOqaaKqzGeGaamiE aaGccaGLOaGaayzkaaaaaa@47FA@ for all x MathType@MTEF@5@5@+= feaagKart1ev2aaatCvAUfeBSjuyZL2yd9gzLbvyNv2CaerbuLwBLn hiov2DGi1BTfMBaeXatLxBI9gBaerbd9wDYLwzYbItLDharqqtubsr 4rNCHbGeaGqiVu0Je9sqqrpepC0xbbL8F4rqqrFfpeea0xe9Lq=Jc9 vqaqpepm0xbba9pwe9Q8fs0=yqaqpepae9pg0FirpepeKkFr0xfr=x fr=xb9adbaqaaeGaciGaaiaabeqaamaabaabaaGcbaqcLbsacaWG4b aaaa@3782@
  4. likelihood ratio order ( X lr Y ) MathType@MTEF@5@5@+= feaagKart1ev2aaatCvAUfeBSjuyZL2yd9gzLbvyNv2CaerbuLwBLn hiov2DGi1BTfMBaeXatLxBI9gBaerbd9wDYLwzYbItLDharqqtubsr 4rNCHbGeaGqiVu0Je9sqqrpepC0xbbL8F4rqqrFfpeea0xe9Lq=Jc9 vqaqpepm0xbba9pwe9Q8fs0=yqaqpepae9pg0FirpepeKkFr0xfr=x fr=xb9adbaqaaeGaciGaaiaabeqaamaabaabaaGcbaqcfa4aaeWaaO qaaKqzGeGaamiwaiabgsMiJMqbaoaaBaaajeaibaqcLbmacaWGSbGa amOCaaWcbeaajugibiaadMfaaOGaayjkaiaawMcaaaaa@40A9@ if f X ( x ) f Y ( x ) MathType@MTEF@5@5@+= feaagKart1ev2aaatCvAUfeBSjuyZL2yd9gzLbvyNv2CaerbuLwBLn hiov2DGi1BTfMBaeXatLxBI9gBaerbd9wDYLwzYbItLDharqqtubsr 4rNCHbGeaGqiVu0Je9sqqrpepC0xbbL8F4rqqrFfpeea0xe9Lq=Jc9 vqaqpepm0xbba9pwe9Q8fs0=yqaqpepae9pg0FirpepeKkFr0xfr=x fr=xb9adbaqaaeGaciGaaiaabeqaamaabaabaaGcbaqcfa4aaSaaaO qaaKqzGeGaamOzaKqbaoaaBaaajeaibaqcLbmacaWGybaaleqaaKqb aoaabmaakeaajugibiaadIhaaOGaayjkaiaawMcaaaqaaKqzGeGaam OzaKqbaoaaBaaajeaibaqcLbmacaWGzbaaleqaaKqbaoaabmaakeaa jugibiaadIhaaOGaayjkaiaawMcaaaaaaaa@46DF@  decreases in x MathType@MTEF@5@5@+= feaagKart1ev2aaatCvAUfeBSjuyZL2yd9gzLbvyNv2CaerbuLwBLn hiov2DGi1BTfMBaeXatLxBI9gBaerbd9wDYLwzYbItLDharqqtubsr 4rNCHbGeaGqiVu0Je9sqqrpepC0xbbL8F4rqqrFfpeea0xe9Lq=Jc9 vqaqpepm0xbba9pwe9Q8fs0=yqaqpepae9pg0FirpepeKkFr0xfr=x fr=xb9adbaqaaeGaciGaaiaabeqaamaabaabaaGcbaqcLbsacaWG4b aaaa@3782@ .

The following results due to Shaked and Shanthikumar11 are well known for establishing stochastic ordering of distributions

X lr YX hr YX mrl Y MathType@MTEF@5@5@+= feaagKart1ev2aaatCvAUfeBSjuyZL2yd9gzLbvyNv2CaerbuLwBLn hiov2DGi1BTfMBaeXatLxBI9gBaerbd9wDYLwzYbItLDharqqtubsr 4rNCHbGeaGqiVu0Je9sqqrpepC0xbbL8F4rqqrFfpeea0xe9Lq=Jc9 vqaqpepm0xbba9pwe9Q8fs0=yqaqpepae9pg0FirpepeKkFr0xfr=x fr=xb9adbaqaaeGaciGaaiaabeqaamaabaabaaGcbaqcLbsacaWGyb GaeyizImAcfa4aaSbaaKqaGeaajugWaiaadYgacaWGYbaaleqaaKqz GeGaamywaiabgkDiElaadIfacqGHKjYOjuaGdaWgaaqcbasaaKqzad GaamiAaiaadkhaaSqabaqcLbsacaWGzbGaeyO0H4TaamiwaiabgsMi JMqbaoaaBaaajeaibaqcLbmacaWGTbGaamOCaiaadYgaaSqabaqcLb sacaWGzbaaaa@5418@
X st Y MathType@MTEF@5@5@+= feaagKart1ev2aaatCvAUfeBSjuyZL2yd9gzLbvyNv2CaerbuLwBLn hiov2DGi1BTfMBaeXatLxBI9gBaerbd9wDYLwzYbItLDharqqtubsr 4rNCHbGeaGqiVu0Je9sqqrpepC0xbbL8F4rqqrFfpeea0xe9Lq=Jc9 vqaqpepm0xbba9pwe9Q8fs0=yqaqpepae9pg0FirpepeKkFr0xfr=x fr=xb9adbaqaaeGaciGaaiaabeqaamaabaabaaGcbaqcfa4aaCbeaO qaaKqzGeGaey40H8naleaajugibiaadIfacqGHKjYOjuaGdaWgaaqc casaaKqzadGaam4CaiaadshaaWqabaqcLbsacaWGzbaaleqaaaaa@4253@

The TPAD is ordered with respect to the strongest ‘likelihood ratio’ ordering as shown in the following theorem:
Theorem: Let X MathType@MTEF@5@5@+= feaagKart1ev2aaatCvAUfeBSjuyZL2yd9gzLbvyNv2CaerbuLwBLn hiov2DGi1BTfMBaeXatLxBI9gBaerbd9wDYLwzYbItLDharqqtubsr 4rNCHbGeaGqiVu0Je9sqqrpepC0xbbL8F4rqqrFfpeea0xe9Lq=Jc9 vqaqpepm0xbba9pwe9Q8fs0=yqaqpepae9pg0FirpepeKkFr0xfr=x fr=xb9adbaqaaeGaciGaaiaabeqaamaabaabaaGcbaqcLbsacaWGyb aaaa@3762@ MathType@MTEF@5@5@+= feaagKart1ev2aaatCvAUfeBSjuyZL2yd9gzLbvyNv2CaerbuLwBLn hiov2DGi1BTfMBaeXatLxBI9gBaerbd9wDYLwzYbItLDharqqtubsr 4rNCHbGeaGqiVu0Je9sqqrpepC0xbbL8F4rqqrFfpeea0xe9Lq=Jc9 vqaqpepm0xbba9pwe9Q8fs0=yqaqpepae9pg0FirpepeKkFr0xfr=x fr=xb9adbaqaaeGaciGaaiaabeqaamaabaabaaGcbaaccaqcLbsacq WF8iIFaaa@37F0@  TPAD ( θ 1 , α 1 ) MathType@MTEF@5@5@+= feaagKart1ev2aaatCvAUfeBSjuyZL2yd9gzLbvyNv2CaerbuLwBLn hiov2DGi1BTfMBaeXatLxBI9gBaerbd9wDYLwzYbItLDharqqtubsr 4rNCHbGeaGqiVu0Je9sqqrpepC0xbbL8F4rqqrFfpeea0xe9Lq=Jc9 vqaqpepm0xbba9pwe9Q8fs0=yqaqpepae9pg0FirpepeKkFr0xfr=x fr=xb9adbaqaaeGaciGaaiaabeqaamaabaabaaGcbaqcfa4aaeWaaO qaaKqzGeGaeqiUdexcfa4aaSbaaKqaGeaajugWaiaaigdaaSqabaqc LbsacaGGSaGaeqySdewcfa4aaSbaaKqaGeaajugWaiaaigdaaSqaba aakiaawIcacaGLPaaaaaa@42DE@  and Y MathType@MTEF@5@5@+= feaagKart1ev2aaatCvAUfeBSjuyZL2yd9gzLbvyNv2CaerbuLwBLn hiov2DGi1BTfMBaeXatLxBI9gBaerbd9wDYLwzYbItLDharqqtubsr 4rNCHbGeaGqiVu0Je9sqqrpepC0xbbL8F4rqqrFfpeea0xe9Lq=Jc9 vqaqpepm0xbba9pwe9Q8fs0=yqaqpepae9pg0FirpepeKkFr0xfr=x fr=xb9adbaqaaeGaciGaaiaabeqaamaabaabaaGcbaqcLbsacaWGzb aaaa@3763@ MathType@MTEF@5@5@+= feaagKart1ev2aaatCvAUfeBSjuyZL2yd9gzLbvyNv2CaerbuLwBLn hiov2DGi1BTfMBaeXatLxBI9gBaerbd9wDYLwzYbItLDharqqtubsr 4rNCHbGeaGqiVu0Je9sqqrpepC0xbbL8F4rqqrFfpeea0xe9Lq=Jc9 vqaqpepm0xbba9pwe9Q8fs0=yqaqpepae9pg0FirpepeKkFr0xfr=x fr=xb9adbaqaaeGaciGaaiaabeqaamaabaabaaGcbaaccaqcLbsacq WF8iIFaaa@37F0@  TPAD ( θ 2 , α 2 ) MathType@MTEF@5@5@+= feaagKart1ev2aaatCvAUfeBSjuyZL2yd9gzLbvyNv2CaerbuLwBLn hiov2DGi1BTfMBaeXatLxBI9gBaerbd9wDYLwzYbItLDharqqtubsr 4rNCHbGeaGqiVu0Je9sqqrpepC0xbbL8F4rqqrFfpeea0xe9Lq=Jc9 vqaqpepm0xbba9pwe9Q8fs0=yqaqpepae9pg0FirpepeKkFr0xfr=x fr=xb9adbaqaaeGaciGaaiaabeqaamaabaabaaGcbaqcfa4aaeWaaO qaaKqzGeGaeqiUdexcfa4aaSbaaKqaGeaajugWaiaaikdaaSqabaqc LbsacaGGSaGaeqySdewcfa4aaSbaaKqaGeaajugWaiaaikdaaSqaba aakiaawIcacaGLPaaaaaa@42E0@ . If α 1 = α 2 MathType@MTEF@5@5@+= feaagKart1ev2aaatCvAUfeBSjuyZL2yd9gzLbvyNv2CaerbuLwBLn hiov2DGi1BTfMBaeXatLxBI9gBaerbd9wDYLwzYbItLDharqqtubsr 4rNCHbGeaGqiVu0Je9sqqrpepC0xbbL8F4rqqrFfpeea0xe9Lq=Jc9 vqaqpepm0xbba9pwe9Q8fs0=yqaqpepae9pg0FirpepeKkFr0xfr=x fr=xb9adbaqaaeGaciGaaiaabeqaamaabaabaaGcbaqcLbsacqaHXo qyjuaGdaWgaaqcbasaaKqzadGaaGymaaWcbeaajugibiabg2da9iab eg7aHLqbaoaaBaaajeaibaqcLbmacaaIYaaaleqaaaaa@40F3@  and θ 1 θ 2 MathType@MTEF@5@5@+= feaagKart1ev2aaatCvAUfeBSjuyZL2yd9gzLbvyNv2CaerbuLwBLn hiov2DGi1BTfMBaeXatLxBI9gBaerbd9wDYLwzYbItLDharqqtubsr 4rNCHbGeaGqiVu0Je9sqqrpepC0xbbL8F4rqqrFfpeea0xe9Lq=Jc9 vqaqpepm0xbba9pwe9Q8fs0=yqaqpepae9pg0FirpepeKkFr0xfr=x fr=xb9adbaqaaeGaciGaaiaabeqaamaabaabaaGcbaqcLbsacqaH4o qCjuaGdaWgaaqcbasaaKqzadGaaGymaaWcbeaajugibiabgwMiZkab eI7aXLqbaoaaBaaajeaibaqcLbmacaaIYaaaleqaaaaa@41E1@ (or if θ 1 = θ 2 MathType@MTEF@5@5@+= feaagKart1ev2aaatCvAUfeBSjuyZL2yd9gzLbvyNv2CaerbuLwBLn hiov2DGi1BTfMBaeXatLxBI9gBaerbd9wDYLwzYbItLDharqqtubsr 4rNCHbGeaGqiVu0Je9sqqrpepC0xbbL8F4rqqrFfpeea0xe9Lq=Jc9 vqaqpepm0xbba9pwe9Q8fs0=yqaqpepae9pg0FirpepeKkFr0xfr=x fr=xb9adbaqaaeGaciGaaiaabeqaamaabaabaaGcbaqcLbsacqaH4o qCjuaGdaWgaaqcbasaaKqzadGaaGymaaWcbeaajugibiabg2da9iab eI7aXLqbaoaaBaaajeaibaqcLbmacaaIYaaaleqaaaaa@4121@  and α 1 α 2 MathType@MTEF@5@5@+= feaagKart1ev2aaatCvAUfeBSjuyZL2yd9gzLbvyNv2CaerbuLwBLn hiov2DGi1BTfMBaeXatLxBI9gBaerbd9wDYLwzYbItLDharqqtubsr 4rNCHbGeaGqiVu0Je9sqqrpepC0xbbL8F4rqqrFfpeea0xe9Lq=Jc9 vqaqpepm0xbba9pwe9Q8fs0=yqaqpepae9pg0FirpepeKkFr0xfr=x fr=xb9adbaqaaeGaciGaaiaabeqaamaabaabaaGcbaqcLbsacqaHXo qyjuaGdaWgaaqcbasaaKqzadGaaGymaaWcbeaajugibiabgwMiZkab eg7aHLqbaoaaBaaajeaibaqcLbmacaaIYaaaleqaaaaa@41B3@ ), then X lr Y MathType@MTEF@5@5@+= feaagKart1ev2aaatCvAUfeBSjuyZL2yd9gzLbvyNv2CaerbuLwBLn hiov2DGi1BTfMBaeXatLxBI9gBaerbd9wDYLwzYbItLDharqqtubsr 4rNCHbGeaGqiVu0Je9sqqrpepC0xbbL8F4rqqrFfpeea0xe9Lq=Jc9 vqaqpepm0xbba9pwe9Q8fs0=yqaqpepae9pg0FirpepeKkFr0xfr=x fr=xb9adbaqaaeGaciGaaiaabeqaamaabaabaaGcbaqcLbsacaWGyb GaeyizImAcfa4aaSbaaKqaGeaajugWaiaadYgacaWGYbaaleqaaKqz GeGaamywaaaa@3E7E@ and hence X hr Y MathType@MTEF@5@5@+= feaagKart1ev2aaatCvAUfeBSjuyZL2yd9gzLbvyNv2CaerbuLwBLn hiov2DGi1BTfMBaeXatLxBI9gBaerbd9wDYLwzYbItLDharqqtubsr 4rNCHbGeaGqiVu0Je9sqqrpepC0xbbL8F4rqqrFfpeea0xe9Lq=Jc9 vqaqpepm0xbba9pwe9Q8fs0=yqaqpepae9pg0FirpepeKkFr0xfr=x fr=xb9adbaqaaeGaciGaaiaabeqaamaabaabaaGcbaqcLbsacaWGyb GaeyizImAcfa4aaSbaaKqaGeaajugWaiaadIgacaWGYbaaleqaaKqz GeGaamywaaaa@3E7A@ , X mrl Y MathType@MTEF@5@5@+= feaagKart1ev2aaatCvAUfeBSjuyZL2yd9gzLbvyNv2CaerbuLwBLn hiov2DGi1BTfMBaeXatLxBI9gBaerbd9wDYLwzYbItLDharqqtubsr 4rNCHbGeaGqiVu0Je9sqqrpepC0xbbL8F4rqqrFfpeea0xe9Lq=Jc9 vqaqpepm0xbba9pwe9Q8fs0=yqaqpepae9pg0FirpepeKkFr0xfr=x fr=xb9adbaqaaeGaciGaaiaabeqaamaabaabaaGcbaqcLbsacaWGyb GaeyizImAcfa4aaSbaaKqaGeaajugWaiaad2gacaWGYbGaamiBaaWc beaajugibiaadMfaaaa@3F70@ and X st Y MathType@MTEF@5@5@+= feaagKart1ev2aaatCvAUfeBSjuyZL2yd9gzLbvyNv2CaerbuLwBLn hiov2DGi1BTfMBaeXatLxBI9gBaerbd9wDYLwzYbItLDharqqtubsr 4rNCHbGeaGqiVu0Je9sqqrpepC0xbbL8F4rqqrFfpeea0xe9Lq=Jc9 vqaqpepm0xbba9pwe9Q8fs0=yqaqpepae9pg0FirpepeKkFr0xfr=x fr=xb9adbaqaaeGaciGaaiaabeqaamaabaabaaGcbaqcLbsacaWGyb GaeyizImAcfa4aaSbaaKqaGeaajugWaiaadohacaWG0baaleqaaKqz GeGaamywaaaa@3E87@ .

Proof: We have
f X ( x; θ 1 , α 1 ) f Y ( x; θ 2 , α 2 ) = θ 1 3 ( α 2 θ 2 2 +2 ) θ 2 3 ( α 1 θ 1 2 +2 ) ( α 1 + x 2 α 2 + x 2 ) e ( θ 1 θ 2 )x ;x>0 MathType@MTEF@5@5@+= feaagKart1ev2aaatCvAUfeBSjuyZL2yd9gzLbvyNv2CaerbuLwBLn hiov2DGi1BTfMBaeXatLxBI9gBaerbd9wDYLwzYbItLDharqqtubsr 4rNCHbGeaGqiVu0Je9sqqrpepC0xbbL8F4rqqrFfpeea0xe9Lq=Jc9 vqaqpepm0xbba9pwe9Q8fs0=yqaqpepae9pg0FirpepeKkFr0xfr=x fr=xb9adbaqaaeGaciGaaiaabeqaamaabaabaaGcbaqcfa4aaSqaaS qaaKqzGeGaamOzaKqbaoaaBaaajiaibaqcLbmacaWGybaameqaaKqb aoaabmaaleaajugibiaadIhacaGG7aGaeqiUdexcfa4aaSbaaKGaGe aajugWaiaaigdaaWqabaqcLbsacaGGSaGaeqySdewcfa4aaSbaaKGa GeaajugWaiaaigdaaWqabaaaliaawIcacaGLPaaaaeaajugibiaadA gajuaGdaWgaaqccasaaKqzadGaamywaaadbeaajuaGdaqadaWcbaqc LbsacaWG4bGaai4oaiabeI7aXLqbaoaaBaaajiaibaqcLbmacaaIYa aameqaaKqzGeGaaiilaiabeg7aHLqbaoaaBaaajiaibaqcLbmacaaI YaaameqaaaWccaGLOaGaayzkaaaaaKqzGeGaeyypa0tcfa4aaSaaaO qaaKqzGeGaeqiUdexcfa4aaSbaaKqaGeaajugWaiaaigdaaSqabaqc fa4aaWbaaSqabKqaGeaajugWaiaaiodaaaqcfa4aaeWaaOqaaKqzGe GaeqySdewcfa4aaSbaaKqaGeaajugWaiaaikdaaSqabaqcLbsacaaM c8UaeqiUdexcfa4aaSbaaKqaGeaajugWaiaaikdaaSqabaqcfa4aaW baaSqabKqaGeaajugWaiaaikdaaaqcLbsacqGHRaWkcaaIYaaakiaa wIcacaGLPaaaaeaajugibiabeI7aXLqbaoaaBaaajeaibaqcLbmaca aIYaaaleqaaKqbaoaaCaaaleqajeaibaqcLbmacaaIZaaaaKqbaoaa bmaakeaajugibiabeg7aHLqbaoaaBaaajeaibaqcLbmacaaIXaaale qaaKqzGeGaaGPaVlabeI7aXLqbaoaaBaaajeaibaqcLbmacaaIXaaa leqaaKqbaoaaCaaaleqajeaibaqcLbmacaaIYaaaaKqzGeGaey4kaS IaaGOmaaGccaGLOaGaayzkaaaaaKqbaoaabmaakeaajuaGdaWcaaGc baqcLbsacqaHXoqyjuaGdaWgaaqcbasaaKqzadGaaGymaaWcbeaaju gibiabgUcaRiaadIhajuaGdaahaaWcbeqcbasaaKqzadGaaGOmaaaa aOqaaKqzGeGaeqySdewcfa4aaSbaaKqaGeaajugWaiaaikdaaSqaba qcLbsacqGHRaWkcaWG4bqcfa4aaWbaaSqabKqaGeaajugWaiaaikda aaaaaaGccaGLOaGaayzkaaqcLbsacaWGLbqcfa4aaWbaaSqabKazba 4=baqcLbmacqGHsisljuaGdaqadaqcKfaG=haajugWaiabeI7aXLqb aoaaBaaajiaibaqcLbgacaaIXaaajiaibeaajugWaiabgkHiTiabeI 7aXLqbaoaaBaaajiaibaqcLbgacaaIYaaajiaibeaaaKazba4=caGL OaGaayzkaaqcLbmacaaMc8UaamiEaaaajugibiaacUdacaWG4bGaey Opa4JaaGimaaaa@CB5F@  
Now
ln f X ( x; θ 1 , α 1 ) f Y ( x; θ 2 , α 2 ) =ln[ θ 1 3 ( α 2 θ 2 2 +2 ) θ 2 3 ( α 1 θ 1 2 +2 ) ]+ln( α 1 + x 2 α 2 + x 2 )( θ 1 θ 2 )x MathType@MTEF@5@5@+= feaagKart1ev2aaatCvAUfeBSjuyZL2yd9gzLbvyNv2CaerbuLwBLn hiov2DGi1BTfMBaeXatLxBI9gBaerbd9wDYLwzYbItLDharqqtubsr 4rNCHbGeaGqiVu0Je9sqqrpepC0xbbL8F4rqqrFfpeea0xe9Lq=Jc9 vqaqpepm0xbba9pwe9Q8fs0=yqaqpepae9pg0FirpepeKkFr0xfr=x fr=xb9adbaqaaeGaciGaaiaabeqaamaabaabaaGcbaqcLbsaciGGSb GaaiOBaKqbaoaaleaaleaajugibiaadAgajuaGdaWgaaqccasaaKqz adGaamiwaaadbeaajuaGdaqadaWcbaqcLbsacaWG4bGaai4oaiabeI 7aXLqbaoaaBaaajiaibaqcLbmacaaIXaaameqaaKqzGeGaaiilaiab eg7aHLqbaoaaBaaajiaibaqcLbmacaaIXaaameqaaaWccaGLOaGaay zkaaaabaqcLbsacaWGMbqcfa4aaSbaaKGaGeaajugWaiaadMfaaWqa baqcfa4aaeWaaSqaaKqzGeGaamiEaiaacUdacqaH4oqCjuaGdaWgaa qccasaaKqzadGaaGOmaaadbeaajugibiaacYcacqaHXoqyjuaGdaWg aaqccasaaKqzadGaaGOmaaadbeaaaSGaayjkaiaawMcaaaaajugibi abg2da9iGacYgacaGGUbqcfa4aamWaaOqaaKqbaoaalaaakeaajugi biabeI7aXLqbaoaaBaaajeaibaqcLbmacaaIXaaaleqaaKqbaoaaCa aaleqajeaibaqcLbmacaaIZaaaaKqbaoaabmaakeaajugibiabeg7a HLqbaoaaBaaajeaibaqcLbmacaaIYaaaleqaaKqzGeGaaGPaVlabeI 7aXLqbaoaaBaaajeaibaqcLbmacaaIYaaaleqaaKqbaoaaCaaaleqa jeaibaqcLbmacaaIYaaaaKqzGeGaey4kaSIaaGOmaaGccaGLOaGaay zkaaaabaqcLbsacqaH4oqCjuaGdaWgaaqcbasaaKqzadGaaGOmaaWc beaajuaGdaahaaWcbeqcbasaaKqzadGaaG4maaaajuaGdaqadaGcba qcLbsacqaHXoqyjuaGdaWgaaqcbasaaKqzadGaaGymaaWcbeaajugi biaaykW7cqaH4oqCjuaGdaWgaaqcbasaaKqzadGaaGymaaWcbeaaju aGdaahaaWcbeqcbasaaKqzadGaaGOmaaaajugibiabgUcaRiaaikda aOGaayjkaiaawMcaaaaaaiaawUfacaGLDbaajugibiabgUcaRiGacY gacaGGUbqcfa4aaeWaaOqaaKqbaoaalaaakeaajugibiabeg7aHLqb aoaaBaaajeaibaqcLbmacaaIXaaaleqaaKqzGeGaey4kaSIaamiEaK qbaoaaCaaaleqajeaibaqcLbmacaaIYaaaaaGcbaqcLbsacqaHXoqy juaGdaWgaaqcbasaaKqzadGaaGOmaaWcbeaajugibiabgUcaRiaadI hajuaGdaahaaWcbeqcbasaaKqzadGaaGOmaaaaaaaakiaawIcacaGL PaaajugibiaaykW7cqGHsisljuaGdaqadaGcbaqcLbsacqaH4oqCju aGdaWgaaqcbasaaKqzadGaaGymaaWcbeaajugibiabgkHiTiabeI7a XLqbaoaaBaaajeaibaqcLbmacaaIYaaaleqaaaGccaGLOaGaayzkaa qcLbsacaWG4baaaa@C7A3@ .
Thus
d dx { ln f X ( x; θ 1 , α 1 ) f Y ( x; θ 2 , α 2 ) }= 2( α 1 α 2 )x ( α 1 + x 2 )( α 2 + x 2 ) ( θ 1 θ 2 ) MathType@MTEF@5@5@+= feaagKart1ev2aaatCvAUfeBSjuyZL2yd9gzLbvyNv2CaerbuLwBLn hiov2DGi1BTfMBaeXatLxBI9gBaerbd9wDYLwzYbItLDharqqtubsr 4rNCHbGeaGqiVu0Je9sqqrpepC0xbbL8F4rqqrFfpeea0xe9Lq=Jc9 vqaqpepm0xbba9pwe9Q8fs0=yqaqpepae9pg0FirpepeKkFr0xfr=x fr=xb9adbaqaaeGaciGaaiaabeqaamaabaabaaGcbaqcfa4aaSaaaO qaaKqzGeGaamizaaGcbaqcLbsacaWGKbGaamiEaaaajuaGdaGadaGc baqcLbsaciGGSbGaaiOBaKqbaoaaleaaleaajugibiaadAgajuaGda WgaaqccasaaKqzadGaamiwaaadbeaajuaGdaqadaWcbaqcLbsacaWG 4bGaai4oaiabeI7aXLqbaoaaBaaajiaibaqcLbmacaaIXaaameqaaK qzGeGaaiilaiabeg7aHLqbaoaaBaaajiaibaqcLbmacaaIXaaameqa aaWccaGLOaGaayzkaaaabaqcLbsacaWGMbqcfa4aaSbaaKGaGeaaju gWaiaadMfaaWqabaqcfa4aaeWaaSqaaKqzGeGaamiEaiaacUdacqaH 4oqCjuaGdaWgaaqccasaaKqzadGaaGOmaaadbeaajugibiaacYcacq aHXoqyjuaGdaWgaaqccasaaKqzadGaaGOmaaadbeaaaSGaayjkaiaa wMcaaaaaaOGaay5Eaiaaw2haaKqzGeGaeyypa0tcfa4aaSaaaOqaaK qzGeGaeyOeI0IaaGOmaKqbaoaabmaakeaajugibiabeg7aHLqbaoaa BaaajeaibaqcLbmacaaIXaaaleqaaKqzGeGaeyOeI0IaeqySdewcfa 4aaSbaaKqaGeaajugWaiaaikdaaSqabaaakiaawIcacaGLPaaajugi biaadIhaaOqaaKqbaoaabmaakeaajugibiabeg7aHLqbaoaaBaaaje aibaqcLbmacaaIXaaaleqaaKqzGeGaey4kaSIaamiEaKqbaoaaCaaa leqajeaibaqcLbmacaaIYaaaaaGccaGLOaGaayzkaaqcfa4aaeWaaO qaaKqzGeGaeqySdewcfa4aaSbaaKqaGeaajugWaiaaikdaaSqabaqc LbsacqGHRaWkcaWG4bqcfa4aaWbaaSqabKqaGeaajugWaiaaikdaaa aakiaawIcacaGLPaaaaaqcLbsacqGHsisljuaGdaqadaGcbaqcLbsa cqaH4oqCjuaGdaWgaaqcbasaaKqzadGaaGymaaWcbeaajugibiabgk HiTiabeI7aXLqbaoaaBaaajeaibaqcLbmacaaIYaaaleqaaaGccaGL OaGaayzkaaaaaa@A14C@  

Case (i) If α 1 = α 2 MathType@MTEF@5@5@+= feaagKart1ev2aaatCvAUfeBSjuyZL2yd9gzLbvyNv2CaerbuLwBLn hiov2DGi1BTfMBaeXatLxBI9gBaerbd9wDYLwzYbItLDharqqtubsr 4rNCHbGeaGqiVu0Je9sqqrpepC0xbbL8F4rqqrFfpeea0xe9Lq=Jc9 vqaqpepm0xbba9pwe9Q8fs0=yqaqpepae9pg0FirpepeKkFr0xfr=x fr=xb9adbaqaaeGaciGaaiaabeqaamaabaabaaGcbaqcLbsacqaHXo qyjuaGdaWgaaqcbasaaKqzadGaaGymaaWcbeaajugibiabg2da9iab eg7aHLqbaoaaBaaajeaibaqcLbmacaaIYaaaleqaaaaa@40F3@  and θ 1 θ 2 MathType@MTEF@5@5@+= feaagKart1ev2aaatCvAUfeBSjuyZL2yd9gzLbvyNv2CaerbuLwBLn hiov2DGi1BTfMBaeXatLxBI9gBaerbd9wDYLwzYbItLDharqqtubsr 4rNCHbGeaGqiVu0Je9sqqrpepC0xbbL8F4rqqrFfpeea0xe9Lq=Jc9 vqaqpepm0xbba9pwe9Q8fs0=yqaqpepae9pg0FirpepeKkFr0xfr=x fr=xb9adbaqaaeGaciGaaiaabeqaamaabaabaaGcbaqcLbsacqaH4o qCjuaGdaWgaaqcbasaaKqzadGaaGymaaWcbeaajugibiabgwMiZkab eI7aXLqbaoaaBaaajeaibaqcLbmacaaIYaaaleqaaaaa@41E1@ , then d dx { ln f X ( x; θ 1 , α 1 ) f Y ( x; θ 2 , α 2 ) }<0 MathType@MTEF@5@5@+= feaagKart1ev2aaatCvAUfeBSjuyZL2yd9gzLbvyNv2CaerbuLwBLn hiov2DGi1BTfMBaeXatLxBI9gBaerbd9wDYLwzYbItLDharqqtubsr 4rNCHbGeaGqiVu0Je9sqqrpepC0xbbL8F4rqqrFfpeea0xe9Lq=Jc9 vqaqpepm0xbba9pwe9Q8fs0=yqaqpepae9pg0FirpepeKkFr0xfr=x fr=xb9adbaqaaeGaciGaaiaabeqaamaabaabaaGcbaqcfa4aaSaaaO qaaKqzGeGaamizaaGcbaqcLbsacaWGKbGaamiEaaaajuaGdaGadaGc baqcLbsaciGGSbGaaiOBaKqbaoaaleaaleaajugibiaadAgajuaGda WgaaqccasaaKqzadGaamiwaaadbeaajuaGdaqadaWcbaqcLbsacaWG 4bGaai4oaiabeI7aXLqbaoaaBaaajiaibaqcLbmacaaIXaaameqaaK qzGeGaaiilaiabeg7aHLqbaoaaBaaajiaibaqcLbmacaaIXaaameqa aaWccaGLOaGaayzkaaaabaqcLbsacaWGMbqcfa4aaSbaaKGaGeaaju gWaiaadMfaaWqabaqcfa4aaeWaaSqaaKqzGeGaamiEaiaacUdacqaH 4oqCjuaGdaWgaaqccasaaKqzadGaaGOmaaadbeaajugibiaacYcacq aHXoqyjuaGdaWgaaqccasaaKqzadGaaGOmaaadbeaaaSGaayjkaiaa wMcaaaaaaOGaay5Eaiaaw2haaKqzGeGaeyipaWJaaGimaaaa@68FF@ . This means that X lr Y MathType@MTEF@5@5@+= feaagKart1ev2aaatCvAUfeBSjuyZL2yd9gzLbvyNv2CaerbuLwBLn hiov2DGi1BTfMBaeXatLxBI9gBaerbd9wDYLwzYbItLDharqqtubsr 4rNCHbGeaGqiVu0Je9sqqrpepC0xbbL8F4rqqrFfpeea0xe9Lq=Jc9 vqaqpepm0xbba9pwe9Q8fs0=yqaqpepae9pg0FirpepeKkFr0xfr=x fr=xb9adbaqaaeGaciGaaiaabeqaamaabaabaaGcbaqcLbsacaWGyb GaeyizImAcfa4aaSbaaKqaGeaajugWaiaadYgacaWGYbaaleqaaKqz GeGaamywaaaa@3E7E@ and hence X hr Y MathType@MTEF@5@5@+= feaagKart1ev2aaatCvAUfeBSjuyZL2yd9gzLbvyNv2CaerbuLwBLn hiov2DGi1BTfMBaeXatLxBI9gBaerbd9wDYLwzYbItLDharqqtubsr 4rNCHbGeaGqiVu0Je9sqqrpepC0xbbL8F4rqqrFfpeea0xe9Lq=Jc9 vqaqpepm0xbba9pwe9Q8fs0=yqaqpepae9pg0FirpepeKkFr0xfr=x fr=xb9adbaqaaeGaciGaaiaabeqaamaabaabaaGcbaqcLbsacaWGyb GaeyizImAcfa4aaSbaaKqaGeaajugWaiaadIgacaWGYbaaleqaaKqz GeGaamywaaaa@3E7A@ , X mrl Y MathType@MTEF@5@5@+= feaagKart1ev2aaatCvAUfeBSjuyZL2yd9gzLbvyNv2CaerbuLwBLn hiov2DGi1BTfMBaeXatLxBI9gBaerbd9wDYLwzYbItLDharqqtubsr 4rNCHbGeaGqiVu0Je9sqqrpepC0xbbL8F4rqqrFfpeea0xe9Lq=Jc9 vqaqpepm0xbba9pwe9Q8fs0=yqaqpepae9pg0FirpepeKkFr0xfr=x fr=xb9adbaqaaeGaciGaaiaabeqaamaabaabaaGcbaqcLbsacaWGyb GaeyizImAcfa4aaSbaaKqaGeaajugWaiaad2gacaWGYbGaamiBaaWc beaajugibiaadMfaaaa@3F70@ and X st Y MathType@MTEF@5@5@+= feaagKart1ev2aaatCvAUfeBSjuyZL2yd9gzLbvyNv2CaerbuLwBLn hiov2DGi1BTfMBaeXatLxBI9gBaerbd9wDYLwzYbItLDharqqtubsr 4rNCHbGeaGqiVu0Je9sqqrpepC0xbbL8F4rqqrFfpeea0xe9Lq=Jc9 vqaqpepm0xbba9pwe9Q8fs0=yqaqpepae9pg0FirpepeKkFr0xfr=x fr=xb9adbaqaaeGaciGaaiaabeqaamaabaabaaGcbaqcLbsacaWGyb GaeyizImAcfa4aaSbaaKqaGeaajugWaiaadohacaWG0baaleqaaKqz GeGaamywaaaa@3E87@ .

Case (ii) If θ 1 = θ 2 MathType@MTEF@5@5@+= feaagKart1ev2aaatCvAUfeBSjuyZL2yd9gzLbvyNv2CaerbuLwBLn hiov2DGi1BTfMBaeXatLxBI9gBaerbd9wDYLwzYbItLDharqqtubsr 4rNCHbGeaGqiVu0Je9sqqrpepC0xbbL8F4rqqrFfpeea0xe9Lq=Jc9 vqaqpepm0xbba9pwe9Q8fs0=yqaqpepae9pg0FirpepeKkFr0xfr=x fr=xb9adbaqaaeGaciGaaiaabeqaamaabaabaaGcbaqcLbsacqaH4o qCjuaGdaWgaaqcbasaaKqzadGaaGymaaWcbeaajugibiabg2da9iab eI7aXLqbaoaaBaaajeaibaqcLbmacaaIYaaaleqaaaaa@4121@ and α 1 α 2 MathType@MTEF@5@5@+= feaagKart1ev2aaatCvAUfeBSjuyZL2yd9gzLbvyNv2CaerbuLwBLn hiov2DGi1BTfMBaeXatLxBI9gBaerbd9wDYLwzYbItLDharqqtubsr 4rNCHbGeaGqiVu0Je9sqqrpepC0xbbL8F4rqqrFfpeea0xe9Lq=Jc9 vqaqpepm0xbba9pwe9Q8fs0=yqaqpepae9pg0FirpepeKkFr0xfr=x fr=xb9adbaqaaeGaciGaaiaabeqaamaabaabaaGcbaqcLbsacqaHXo qyjuaGdaWgaaqcbasaaKqzadGaaGymaaWcbeaajugibiabgwMiZkab eg7aHLqbaoaaBaaajeaibaqcLbmacaaIYaaaleqaaaaa@41B3@ , then d dx { ln f X ( x; θ 1 , α 1 ) f Y ( x; θ 2 , α 2 ) }<0 MathType@MTEF@5@5@+= feaagKart1ev2aaatCvAUfeBSjuyZL2yd9gzLbvyNv2CaerbuLwBLn hiov2DGi1BTfMBaeXatLxBI9gBaerbd9wDYLwzYbItLDharqqtubsr 4rNCHbGeaGqiVu0Je9sqqrpepC0xbbL8F4rqqrFfpeea0xe9Lq=Jc9 vqaqpepm0xbba9pwe9Q8fs0=yqaqpepae9pg0FirpepeKkFr0xfr=x fr=xb9adbaqaaeGaciGaaiaabeqaamaabaabaaGcbaqcfa4aaSaaaO qaaKqzGeGaamizaaGcbaqcLbsacaWGKbGaamiEaaaajuaGdaGadaGc baqcLbsaciGGSbGaaiOBaKqbaoaaleaaleaajugibiaadAgajuaGda WgaaqccasaaKqzadGaamiwaaadbeaajuaGdaqadaWcbaqcLbsacaWG 4bGaai4oaiabeI7aXLqbaoaaBaaajiaibaqcLbmacaaIXaaameqaaK qzGeGaaiilaiabeg7aHLqbaoaaBaaajiaibaqcLbmacaaIXaaameqa aaWccaGLOaGaayzkaaaabaqcLbsacaWGMbqcfa4aaSbaaKGaGeaaju gWaiaadMfaaWqabaqcfa4aaeWaaSqaaKqzGeGaamiEaiaacUdacqaH 4oqCjuaGdaWgaaqccasaaKqzadGaaGOmaaadbeaajugibiaacYcacq aHXoqyjuaGdaWgaaqccasaaKqzadGaaGOmaaadbeaaaSGaayjkaiaa wMcaaaaaaOGaay5Eaiaaw2haaKqzGeGaeyipaWJaaGimaaaa@68FF@ . This means that X lr Y MathType@MTEF@5@5@+= feaagKart1ev2aaatCvAUfeBSjuyZL2yd9gzLbvyNv2CaerbuLwBLn hiov2DGi1BTfMBaeXatLxBI9gBaerbd9wDYLwzYbItLDharqqtubsr 4rNCHbGeaGqiVu0Je9sqqrpepC0xbbL8F4rqqrFfpeea0xe9Lq=Jc9 vqaqpepm0xbba9pwe9Q8fs0=yqaqpepae9pg0FirpepeKkFr0xfr=x fr=xb9adbaqaaeGaciGaaiaabeqaamaabaabaaGcbaqcLbsacaWGyb GaeyizImAcfa4aaSbaaKqaGeaajugWaiaadYgacaWGYbaaleqaaKqz GeGaamywaaaa@3E7E@ and hence X hr Y MathType@MTEF@5@5@+= feaagKart1ev2aaatCvAUfeBSjuyZL2yd9gzLbvyNv2CaerbuLwBLn hiov2DGi1BTfMBaeXatLxBI9gBaerbd9wDYLwzYbItLDharqqtubsr 4rNCHbGeaGqiVu0Je9sqqrpepC0xbbL8F4rqqrFfpeea0xe9Lq=Jc9 vqaqpepm0xbba9pwe9Q8fs0=yqaqpepae9pg0FirpepeKkFr0xfr=x fr=xb9adbaqaaeGaciGaaiaabeqaamaabaabaaGcbaqcLbsacaWGyb GaeyizImAcfa4aaSbaaKqaGeaajugWaiaadIgacaWGYbaaleqaaKqz GeGaamywaaaa@3E7A@ , X mrl Y MathType@MTEF@5@5@+= feaagKart1ev2aaatCvAUfeBSjuyZL2yd9gzLbvyNv2CaerbuLwBLn hiov2DGi1BTfMBaeXatLxBI9gBaerbd9wDYLwzYbItLDharqqtubsr 4rNCHbGeaGqiVu0Je9sqqrpepC0xbbL8F4rqqrFfpeea0xe9Lq=Jc9 vqaqpepm0xbba9pwe9Q8fs0=yqaqpepae9pg0FirpepeKkFr0xfr=x fr=xb9adbaqaaeGaciGaaiaabeqaamaabaabaaGcbaqcLbsacaWGyb GaeyizImAcfa4aaSbaaKqaGeaajugWaiaad2gacaWGYbGaamiBaaWc beaajugibiaadMfaaaa@3F70@ and X st Y MathType@MTEF@5@5@+= feaagKart1ev2aaatCvAUfeBSjuyZL2yd9gzLbvyNv2CaerbuLwBLn hiov2DGi1BTfMBaeXatLxBI9gBaerbd9wDYLwzYbItLDharqqtubsr 4rNCHbGeaGqiVu0Je9sqqrpepC0xbbL8F4rqqrFfpeea0xe9Lq=Jc9 vqaqpepm0xbba9pwe9Q8fs0=yqaqpepae9pg0FirpepeKkFr0xfr=x fr=xb9adbaqaaeGaciGaaiaabeqaamaabaabaaGcbaqcLbsacaWGyb GaeyizImAcfa4aaSbaaKqaGeaajugWaiaadohacaWG0baaleqaaKqz GeGaamywaaaa@3E87@ .

This theorem shows the flexibility of TPAD over Akash and exponential distributions.

Distribution of order statistics

Let X 1 , X 2 ,..., X n MathType@MTEF@5@5@+= feaagKart1ev2aaatCvAUfeBSjuyZL2yd9gzLbvyNv2CaerbuLwBLn hiov2DGi1BTfMBaeXatLxBI9gBaerbd9wDYLwzYbItLDharqqtubsr 4rNCHbGeaGqiVu0Je9sqqrpepC0xbbL8F4rqqrFfpeea0xe9Lq=Jc9 vqaqpepm0xbba9pwe9Q8fs0=yqaqpepae9pg0FirpepeKkFr0xfr=x fr=xb9adbaqaaeGaciGaaiaabeqaamaabaabaaGcbaqcLbsacaWGyb qcfa4aaSbaaKqaGeaajugWaiaaigdaaSqabaqcLbsacaGGSaGaaGPa VlaadIfajuaGdaWgaaqcbasaaKqzadGaaGOmaaWcbeaajugibiaacY cacaaMc8UaaiOlaiaac6cacaGGUaGaaiilaiaaykW7caWGybqcfa4a aSbaaKqaGeaajugWaiaad6gaaSqabaaaaa@4BA1@  be a random sample of size n from TPAD. Let X ( 1 ) < X ( 2 ) <...< X ( n ) MathType@MTEF@5@5@+= feaagKart1ev2aaatCvAUfeBSjuyZL2yd9gzLbvyNv2CaerbuLwBLn hiov2DGi1BTfMBaeXatLxBI9gBaerbd9wDYLwzYbItLDharqqtubsr 4rNCHbGeaGqiVu0Je9sqqrpepC0xbbL8F4rqqrFfpeea0xe9Lq=Jc9 vqaqpepm0xbba9pwe9Q8fs0=yqaqpepae9pg0FirpepeKkFr0xfr=x fr=xb9adbaqaaeGaciGaaiaabeqaamaabaabaaGcbaqcLbsacaWGyb qcfa4aaSbaaKqaGeaalmaabmaajeaybaqcLbmacaaIXaaajeaicaGL OaGaayzkaaaaleqaaKqzGeGaeyipaWJaamiwaKqbaoaaBaaajeaiba WcdaqadaqcbasaaKqzadGaaGOmaaqcbaIaayjkaiaawMcaaaWcbeaa jugibiabgYda8iaaykW7caaMc8UaaiOlaiaac6cacaGGUaGaaGPaVl aaykW7cqGH8aapcaWGybqcfa4aaSbaaKqaGeaalmaabmaajeaibaqc LbmacaWGUbaajeaicaGLOaGaayzkaaaaleqaaaaa@5420@ denote the corresponding order statistics. The pdf and the cdf of the k th order statistic, say Y= X ( k ) MathType@MTEF@5@5@+= feaagKart1ev2aaatCvAUfeBSjuyZL2yd9gzLbvyNv2CaerbuLwBLn hiov2DGi1BTfMBaeXatLxBI9gBaerbd9wDYLwzYbItLDharqqtubsr 4rNCHbGeaGqiVu0Je9sqqrpepC0xbbL8F4rqqrFfpeea0xe9Lq=Jc9 vqaqpepm0xbba9pwe9Q8fs0=yqaqpepae9pg0FirpepeKkFr0xfr=x fr=xb9adbaqaaeGaciGaaiaabeqaamaabaabaaGcbaqcLbsacaWGzb Gaeyypa0JaamiwaKqbaoaaBaaajeaibaWcdaqadaqcbasaaKqzadGa am4AaaqcbaIaayjkaiaawMcaaaWcbeaaaaa@3E30@ are given by

f Y ( y )= n! ( k1 )!( nk )! F k1 ( y ) { 1F( y ) } nk f( y ) MathType@MTEF@5@5@+= feaagKart1ev2aaatCvAUfeBSjuyZL2yd9gzLbvyNv2CaerbuLwBLn hiov2DGi1BTfMBaeXatLxBI9gBaerbd9wDYLwzYbItLDharqqtubsr 4rNCHbGeaGqiVu0Je9sqqrpepC0xbbL8F4rqqrFfpeea0xe9Lq=Jc9 vqaqpepm0xbba9pwe9Q8fs0=yqaqpepae9pg0FirpepeKkFr0xfr=x fr=xb9adbaqaaeGaciGaaiaabeqaamaabaabaaGcbaqcLbsacaWGMb qcfa4aaSbaaKqaGeaajugWaiaadMfaaSqabaqcfa4aaeWaaOqaaKqz GeGaamyEaaGccaGLOaGaayzkaaqcLbsacqGH9aqpjuaGdaWcaaGcba qcLbsacaWGUbGaaiyiaaGcbaqcfa4aaeWaaOqaaKqzGeGaam4Aaiab gkHiTiaaigdaaOGaayjkaiaawMcaaKqzGeGaaiyiaiaaykW7juaGda qadaGcbaqcLbsacaWGUbGaeyOeI0Iaam4AaaGccaGLOaGaayzkaaqc LbsacaGGHaaaaiaaykW7caWGgbqcfa4aaWbaaSqabKqaGeaajugWai aadUgacqGHsislcaaIXaaaaKqbaoaabmaakeaajugibiaadMhaaOGa ayjkaiaawMcaaKqbaoaacmaakeaajugibiaaigdacqGHsislcaWGgb qcfa4aaeWaaOqaaKqzGeGaamyEaaGccaGLOaGaayzkaaaacaGL7bGa ayzFaaqcfa4aaWbaaSqabKqaGeaajugWaiaad6gacqGHsislcaWGRb aaaKqzGeGaamOzaKqbaoaabmaakeaajugibiaadMhaaOGaayjkaiaa wMcaaaaa@6FA6@
= n! ( k1 )!( nk )! l=0 nk ( nk l ) ( 1 ) l F k+l1 ( y )f( y ) MathType@MTEF@5@5@+= feaagKart1ev2aaatCvAUfeBSjuyZL2yd9gzLbvyNv2CaerbuLwBLn hiov2DGi1BTfMBaeXatLxBI9gBaerbd9wDYLwzYbItLDharqqtubsr 4rNCHbGeaGqiVu0Je9sqqrpepC0xbbL8F4rqqrFfpeea0xe9Lq=Jc9 vqaqpepm0xbba9pwe9Q8fs0=yqaqpepae9pg0FirpepeKkFr0xfr=x fr=xb9adbaqaaeGaciGaaiaabeqaamaabaabaaGcbaqcLbsacqGH9a qpjuaGdaWcaaGcbaqcLbsacaWGUbGaaiyiaaGcbaqcfa4aaeWaaOqa aKqzGeGaam4AaiabgkHiTiaaigdaaOGaayjkaiaawMcaaKqzGeGaai yiaiaaykW7juaGdaqadaGcbaqcLbsacaWGUbGaeyOeI0Iaam4AaaGc caGLOaGaayzkaaqcLbsacaGGHaaaaiaaykW7juaGdaaeWbGcbaqcfa 4aaeWaaOqaaKqzGeqbaeqabiqaaaGcbaqcLbsacaWGUbGaeyOeI0Ia am4AaaGcbaqcLbsacaWGSbaaaaGccaGLOaGaayzkaaaaleaajugibi aadYgacqGH9aqpcaaIWaaaleaajugibiaad6gacqGHsislcaWGRbaa cqGHris5aKqbaoaabmaakeaajugibiabgkHiTiaaigdaaOGaayjkai aawMcaaKqbaoaaCaaaleqajeaibaqcLbmacaWGSbaaaKqzGeGaamOr aKqbaoaaCaaaleqajeaibaqcLbmacaWGRbGaey4kaSIaamiBaiabgk HiTiaaigdaaaqcfa4aaeWaaOqaaKqzGeGaamyEaaGccaGLOaGaayzk aaqcLbsacaWGMbqcfa4aaeWaaOqaaKqzGeGaamyEaaGccaGLOaGaay zkaaaaaa@7417@
and
F Y ( y )= j=k n ( n j ) F j ( y ) { 1F( y ) } nj MathType@MTEF@5@5@+= feaagKart1ev2aaatCvAUfeBSjuyZL2yd9gzLbvyNv2CaerbuLwBLn hiov2DGi1BTfMBaeXatLxBI9gBaerbd9wDYLwzYbItLDharqqtubsr 4rNCHbGeaGqiVu0Je9sqqrpepC0xbbL8F4rqqrFfpeea0xe9Lq=Jc9 vqaqpepm0xbba9pwe9Q8fs0=yqaqpepae9pg0FirpepeKkFr0xfr=x fr=xb9adbaqaaeGaciGaaiaabeqaamaabaabaaGcbaqcLbsacaWGgb qcfa4aaSbaaKqaGeaajugWaiaadMfaaSqabaqcfa4aaeWaaOqaaKqz GeGaamyEaaGccaGLOaGaayzkaaqcLbsacqGH9aqpjuaGdaaeWbGcba qcfa4aaeWaaOqaaKqzGeqbaeqabiqaaaGcbaqcLbsacaWGUbaakeaa jugibiaadQgaaaaakiaawIcacaGLPaaaaSqaaKqzGeGaamOAaiabg2 da9iaadUgaaSqaaKqzGeGaamOBaaGaeyyeIuoacaaMc8UaamOraKqb aoaaCaaaleqajeaibaqcLbmacaWGQbaaaKqbaoaabmaakeaajugibi aadMhaaOGaayjkaiaawMcaaKqbaoaacmaakeaajugibiaaigdacqGH sislcaWGgbqcfa4aaeWaaOqaaKqzGeGaamyEaaGccaGLOaGaayzkaa aacaGL7bGaayzFaaqcfa4aaWbaaSqabKqaGeaajugWaiaad6gacqGH sislcaWGQbaaaaaa@64AB@
= j=k n l=0 nj ( n j ) ( nj l ) ( 1 ) l F j+l ( y ) MathType@MTEF@5@5@+= feaagKart1ev2aaatCvAUfeBSjuyZL2yd9gzLbvyNv2CaerbuLwBLn hiov2DGi1BTfMBaeXatLxBI9gBaerbd9wDYLwzYbItLDharqqtubsr 4rNCHbGeaGqiVu0Je9sqqrpepC0xbbL8F4rqqrFfpeea0xe9Lq=Jc9 vqaqpepm0xbba9pwe9Q8fs0=yqaqpepae9pg0FirpepeKkFr0xfr=x fr=xb9adbaqaaeGaciGaaiaabeqaamaabaabaaGcbaqcLbsacqGH9a qpjuaGdaaeWbGcbaqcfa4aaabCaOqaaKqbaoaabmaakeaajugibuaa beqaceaaaOqaaKqzGeGaamOBaaGcbaqcLbsacaWGQbaaaaGccaGLOa GaayzkaaaaleaajugibiaadYgacqGH9aqpcaaIWaaaleaajugibiaa d6gacqGHsislcaWGQbaacqGHris5aKqbaoaabmaakeaajugibuaabe qaceaaaOqaaKqzGeGaamOBaiabgkHiTiaadQgaaOqaaKqzGeGaamiB aaaaaOGaayjkaiaawMcaaaWcbaqcLbsacaWGQbGaeyypa0Jaam4Aaa WcbaqcLbsacaWGUbaacqGHris5aiaaykW7juaGdaqadaGcbaqcLbsa cqGHsislcaaIXaaakiaawIcacaGLPaaajuaGdaahaaWcbeqcbasaaK qzadGaamiBaaaajugibiaadAeajuaGdaahaaWcbeqcbasaaKqzadGa amOAaiabgUcaRiaadYgaaaqcfa4aaeWaaOqaaKqzGeGaamyEaaGcca GLOaGaayzkaaaaaa@693B@ ,

respectively, for k=1,2,3,...,n MathType@MTEF@5@5@+= feaagKart1ev2aaatCvAUfeBSjuyZL2yd9gzLbvyNv2CaerbuLwBLn hiov2DGi1BTfMBaeXatLxBI9gBaerbd9wDYLwzYbItLDharqqtubsr 4rNCHbGeaGqiVu0Je9sqqrpepC0xbbL8F4rqqrFfpeea0xe9Lq=Jc9 vqaqpepm0xbba9pwe9Q8fs0=yqaqpepae9pg0FirpepeKkFr0xfr=x fr=xb9adbaqaaeGaciGaaiaabeqaamaabaabaaGcbaqcLbsacaWGRb Gaeyypa0JaaGymaiaacYcacaaIYaGaaiilaiaaiodacaGGSaGaaiOl aiaac6cacaGGUaGaaiilaiaad6gaaaa@4078@ .

  Thus, the pdf and the cdf of k th order statistics of TPAD are obtained as
f Y ( y )= n! θ 3 ( α+ x 2 ) e θx ( α θ 2 +2 )( k1 )!( nk )! l=0 nk ( nk l ) ( 1 ) l × [ 1 θx( θx+2 )+( α θ 2 +2 ) α θ 2 +2 e θx ] k+l1 MathType@MTEF@5@5@+= feaagKart1ev2aaatCvAUfeBSjuyZL2yd9gzLbvyNv2CaerbuLwBLn hiov2DGi1BTfMBaeXatLxBI9gBaerbd9wDYLwzYbItLDharqqtubsr 4rNCHbGeaGqiVu0Je9sqqrpepC0xbbL8F4rqqrFfpeea0xe9Lq=Jc9 vqaqpepm0xbba9pwe9Q8fs0=yqaqpepae9pg0FirpepeKkFr0xfr=x fr=xb9adbaqaaeGaciGaaiaabeqaamaabaabaaGcbaqcLbsacaWGMb qcfa4aaSbaaKqaGeaajugWaiaadMfaaSqabaqcfa4aaeWaaOqaaKqz GeGaamyEaaGccaGLOaGaayzkaaqcLbsacqGH9aqpjuaGdaWcaaGcba qcLbsacaWGUbGaaiyiaiabeI7aXLqbaoaaCaaaleqajeaibaqcLbma caaIZaaaaKqbaoaabmaakeaajugibiabeg7aHjabgUcaRiaadIhaju aGdaahaaWcbeqcbasaaKqzadGaaGOmaaaaaOGaayjkaiaawMcaaKqz GeGaamyzaKqbaoaaCaaaleqajeaibaqcLbmacqGHsislcqaH4oqCca WG4baaaaGcbaqcfa4aaeWaaOqaaKqzGeGaeqySdeMaaGPaVlabeI7a XLqbaoaaCaaaleqajeaibaqcLbmacaaIYaaaaKqzGeGaey4kaSIaaG OmaaGccaGLOaGaayzkaaqcfa4aaeWaaOqaaKqzGeGaam4AaiabgkHi TiaaigdaaOGaayjkaiaawMcaaKqzGeGaaiyiaiaaykW7juaGdaqada GcbaqcLbsacaWGUbGaeyOeI0Iaam4AaaGccaGLOaGaayzkaaqcLbsa caGGHaaaaiaaykW7juaGdaaeWbGcbaqcfa4aaeWaaOqaaKqzGeqbae qabiqaaaGcbaqcLbsacaWGUbGaeyOeI0Iaam4AaaGcbaqcLbsacaWG SbaaaaGccaGLOaGaayzkaaaaleaajugibiaadYgacqGH9aqpcaaIWa aaleaajugibiaad6gacqGHsislcaWGRbaacqGHris5aKqbaoaabmaa keaajugibiabgkHiTiaaigdaaOGaayjkaiaawMcaaKqbaoaaCaaale qajeaibaqcLbmacaWGSbaaaKqzGeGaey41aqBcfa4aamWaaOqaaKqz GeGaaGymaiabgkHiTKqbaoaalaaakeaajugibiabeI7aXjaadIhaju aGdaqadaGcbaqcLbsacqaH4oqCcaWG4bGaey4kaSIaaGOmaaGccaGL OaGaayzkaaqcLbsacqGHRaWkjuaGdaqadaGcbaqcLbsacqaHXoqyca aMc8UaeqiUdexcfa4aaWbaaSqabKqaGeaajugWaiaaikdaaaqcLbsa cqGHRaWkcaaIYaaakiaawIcacaGLPaaaaeaajugibiabeg7aHjaayk W7cqaH4oqCjuaGdaahaaWcbeqcbasaaKqzadGaaGOmaaaajugibiab gUcaRiaaikdaaaGaamyzaKqbaoaaCaaaleqajeaibaqcLbmacqGHsi slcqaH4oqCcaWG4baaaaGccaGLBbGaayzxaaqcfa4aaWbaaSqabKqa GeaajugWaiaadUgacqGHRaWkcaWGSbGaeyOeI0IaaGymaaaaaaa@C4B9@

 and
F Y ( y )= j=k n l=0 nj ( n j ) ( nj l ) ( 1 ) l [ 1 θx( θx+2 )+( α θ 2 +2 ) α θ 2 +2 e θx ] j+l MathType@MTEF@5@5@+= feaagKart1ev2aaatCvAUfeBSjuyZL2yd9gzLbvyNv2CaerbuLwBLn hiov2DGi1BTfMBaeXatLxBI9gBaerbd9wDYLwzYbItLDharqqtubsr 4rNCHbGeaGqiVu0Je9sqqrpepC0xbbL8F4rqqrFfpeea0xe9Lq=Jc9 vqaqpepm0xbba9pwe9Q8fs0=yqaqpepae9pg0FirpepeKkFr0xfr=x fr=xb9adbaqaaeGaciGaaiaabeqaamaabaabaaGcbaqcLbsacaWGgb qcfa4aaSbaaKqaGeaajugWaiaadMfaaSqabaqcfa4aaeWaaOqaaKqz GeGaamyEaaGccaGLOaGaayzkaaqcLbsacqGH9aqpjuaGdaaeWbGcba qcfa4aaabCaOqaaKqbaoaabmaakeaajugibuaabeqaceaaaOqaaKqz GeGaamOBaaGcbaqcLbsacaWGQbaaaaGccaGLOaGaayzkaaaaleaaju gibiaadYgacqGH9aqpcaaIWaaaleaajugibiaad6gacqGHsislcaWG QbaacqGHris5aKqbaoaabmaakeaajugibuaabeqaceaaaOqaaKqzGe GaamOBaiabgkHiTiaadQgaaOqaaKqzGeGaamiBaaaaaOGaayjkaiaa wMcaaaWcbaqcLbsacaWGQbGaeyypa0Jaam4AaaWcbaqcLbsacaWGUb aacqGHris5aiaaykW7juaGdaqadaGcbaqcLbsacqGHsislcaaIXaaa kiaawIcacaGLPaaajuaGdaahaaWcbeqcbasaaKqzadGaamiBaaaaju aGdaWadaGcbaqcLbsacaaIXaGaeyOeI0scfa4aaSaaaOqaaKqzGeGa eqiUdeNaamiEaKqbaoaabmaakeaajugibiabeI7aXjaadIhacqGHRa WkcaaIYaaakiaawIcacaGLPaaajugibiabgUcaRKqbaoaabmaakeaa jugibiabeg7aHjaaykW7cqaH4oqCjuaGdaahaaWcbeqcbasaaKqzad GaaGOmaaaajugibiabgUcaRiaaikdaaOGaayjkaiaawMcaaaqaaKqz GeGaeqySdeMaaGPaVlabeI7aXLqbaoaaCaaaleqajeaibaqcLbmaca aIYaaaaKqzGeGaey4kaSIaaGOmaaaacaWGLbqcfa4aaWbaaSqabKqa GeaajugWaiabgkHiTiabeI7aXjaadIhaaaaakiaawUfacaGLDbaaju aGdaahaaWcbeqcbasaaKqzadGaamOAaiabgUcaRiaadYgaaaaaaa@9AFA@

Renyi Entropy measure

An entropy of a random variable x is a measure of variation of uncertainty. A popular entropy measure is Renyi entropy.12 If x is a continuous random variable having probability density function f( . ) MathType@MTEF@5@5@+= feaagKart1ev2aaatCvAUfeBSjuyZL2yd9gzLbvyNv2CaerbuLwBLn hiov2DGi1BTfMBaeXatLxBI9gBaerbd9wDYLwzYbItLDharqqtubsr 4rNCHbGeaGqiVu0Je9sqqrpepC0xbbL8F4rqqrFfpeea0xe9Lq=Jc9 vqaqpepm0xbba9pwe9Q8fs0=yqaqpepae9pg0FirpepeKkFr0xfr=x fr=xb9adbaqaaeGaciGaaiaabeqaamaabaabaaGcbaqcLbsacaWGMb qcfa4aaeWaaOqaaKqzGeGaaiOlaaGccaGLOaGaayzkaaaaaa@3ADC@ , then Renyi entropy is defined as

T R ( γ )= 1 1γ log{ f γ ( x )dx } MathType@MTEF@5@5@+= feaagKart1ev2aaatCvAUfeBSjuyZL2yd9gzLbvyNv2CaerbuLwBLn hiov2DGi1BTfMBaeXatLxBI9gBaerbd9wDYLwzYbItLDharqqtubsr 4rNCHbGeaGqiVu0Je9sqqrpepC0xbbL8F4rqqrFfpeea0xe9Lq=Jc9 vqaqpepm0xbba9pwe9Q8fs0=yqaqpepae9pg0FirpepeKkFr0xfr=x fr=xb9adbaqaaeGaciGaaiaabeqaamaabaabaaGcbaqcLbsacaWGub qcfa4aaSbaaKqaGeaajugWaiaadkfaaSqabaqcfa4aaeWaaOqaaKqz GeGaeq4SdCgakiaawIcacaGLPaaajugibiabg2da9Kqbaoaalaaake aajugibiaaigdaaOqaaKqzGeGaaGymaiabgkHiTiabeo7aNbaaciGG SbGaai4BaiaacEgajuaGdaGadaGcbaqcfa4aa8qaaOqaaKqzGeGaam OzaKqbaoaaCaaaleqajeaibaqcLbmacqaHZoWzaaqcfa4aaeWaaOqa aKqzGeGaamiEaaGccaGLOaGaayzkaaqcLbsacaWGKbGaamiEaaWcbe qabKqzGeGaey4kIipaaOGaay5Eaiaaw2haaaaa@5A2F@
where γ>0andγ1 MathType@MTEF@5@5@+= feaagKart1ev2aaatCvAUfeBSjuyZL2yd9gzLbvyNv2CaerbuLwBLn hiov2DGi1BTfMBaeXatLxBI9gBaerbd9wDYLwzYbItLDharqqtubsr 4rNCHbGeaGqiVu0Je9sqqrpepC0xbbL8F4rqqrFfpeea0xe9Lq=Jc9 vqaqpepm0xbba9pwe9Q8fs0=yqaqpepae9pg0FirpepeKkFr0xfr=x fr=xb9adbaqaaeGaciGaaiaabeqaamaabaabaaGcbaqcLbsacqaHZo WzcqGH+aGpcaaIWaGaaGPaVlaaykW7caaMc8Uaaeyyaiaab6gacaqG KbGaaGPaVlaaykW7caaMc8Uaeq4SdCMaeyiyIKRaaGymaaaa@4A15@ .

Thus, the Renyi entropy of TPAD (2.1) can be obtained as

  T R ( γ )= 1 1γ log[ 0 θ 3γ ( α θ 2 +2 ) γ ( α+ x 2 ) γ e θγx dx ] MathType@MTEF@5@5@+= feaagKart1ev2aaatCvAUfeBSjuyZL2yd9gzLbvyNv2CaerbuLwBLn hiov2DGi1BTfMBaeXatLxBI9gBaerbd9wDYLwzYbItLDharqqtubsr 4rNCHbGeaGqiVu0Je9sqqrpepC0xbbL8F4rqqrFfpeea0xe9Lq=Jc9 vqaqpepm0xbba9pwe9Q8fs0=yqaqpepae9pg0FirpepeKkFr0xfr=x fr=xb9adbaqaaeGaciGaaiaabeqaamaabaabaaGcbaqcLbsacaWGub qcfa4aaSbaaKqaGeaajugWaiaadkfaaSqabaqcfa4aaeWaaOqaaKqz GeGaeq4SdCgakiaawIcacaGLPaaajugibiabg2da9Kqbaoaalaaake aajugibiaaigdaaOqaaKqzGeGaaGymaiabgkHiTiabeo7aNbaaciGG SbGaai4BaiaacEgajuaGdaWadaGcbaqcfa4aa8qCaOqaaKqbaoaala aakeaajugibiabeI7aXLqbaoaaCaaaleqajeaibaqcLbmacaaIZaGa eq4SdCgaaaGcbaqcfa4aaeWaaOqaaKqzGeGaeqySdeMaaGPaVlabeI 7aXLqbaoaaCaaaleqajeaibaqcLbmacaaIYaaaaKqzGeGaey4kaSIa aGOmaaGccaGLOaGaayzkaaqcfa4aaWbaaSqabKqaGeaajugWaiabeo 7aNbaaaaqcfa4aaeWaaOqaaKqzGeGaeqySdeMaey4kaSIaamiEaKqb aoaaCaaaleqajeaibaqcLbmacaaIYaaaaaGccaGLOaGaayzkaaqcfa 4aaWbaaSqabKqaGeaajugWaiabeo7aNbaajugibiaadwgajuaGdaah aaWcbeqcbasaaKqzadGaeyOeI0IaeqiUdeNaaGPaVlabeo7aNjaayk W7caWG4baaaKqzGeGaamizaiaadIhaaSqaaKqzGeGaaGimaaWcbaqc LbsacqGHEisPaiabgUIiYdaakiaawUfacaGLDbaaaaa@84A0@
= 1 1γ log[ 0 θ 3γ α γ ( α θ 2 +2 ) γ ( 1+ x 2 α ) γ e θγx dx ] MathType@MTEF@5@5@+= feaagKart1ev2aaatCvAUfeBSjuyZL2yd9gzLbvyNv2CaerbuLwBLn hiov2DGi1BTfMBaeXatLxBI9gBaerbd9wDYLwzYbItLDharqqtubsr 4rNCHbGeaGqiVu0Je9sqqrpepC0xbbL8F4rqqrFfpeea0xe9Lq=Jc9 vqaqpepm0xbba9pwe9Q8fs0=yqaqpepae9pg0FirpepeKkFr0xfr=x fr=xb9adbaqaaeGaciGaaiaabeqaamaabaabaaGcbaqcLbsacqGH9a qpjuaGdaWcaaGcbaqcLbsacaaIXaaakeaajugibiaaigdacqGHsisl cqaHZoWzaaGaciiBaiaac+gacaGGNbqcfa4aamWaaOqaaKqbaoaape hakeaajuaGdaWcaaGcbaqcLbsacqaH4oqCjuaGdaahaaWcbeqcbasa aKqzadGaaG4maiabeo7aNbaajugibiabeg7aHLqbaoaaCaaaleqaje aibaqcLbmacqaHZoWzaaaakeaajuaGdaqadaGcbaqcLbsacqaHXoqy caaMc8UaeqiUdexcfa4aaWbaaSqabKqaGeaajugWaiaaikdaaaqcLb sacqGHRaWkcaaIYaaakiaawIcacaGLPaaajuaGdaahaaWcbeqcbasa aKqzadGaeq4SdCgaaaaajuaGdaqadaGcbaqcLbsacaaIXaGaey4kaS scfa4aaSaaaOqaaKqzGeGaamiEaKqbaoaaCaaaleqajeaibaqcLbma caaIYaaaaaGcbaqcLbsacqaHXoqyaaaakiaawIcacaGLPaaajuaGda ahaaWcbeqcbasaaKqzadGaeq4SdCgaaKqzGeGaamyzaKqbaoaaCaaa leqajeaibaqcLbmacqGHsislcqaH4oqCcaaMc8Uaeq4SdCMaaGPaVl aadIhaaaqcLbsacaWGKbGaamiEaaWcbaqcLbsacaaIWaaaleaajugi biabg6HiLcGaey4kIipaaOGaay5waiaaw2faaaaa@8461@
= 1 1γ log[ 0 θ 3γ α γ ( α θ 2 +2 ) γ j=0 ( γ j ) ( x 2 α ) j e θγx dx ] MathType@MTEF@5@5@+= feaagKart1ev2aaatCvAUfeBSjuyZL2yd9gzLbvyNv2CaerbuLwBLn hiov2DGi1BTfMBaeXatLxBI9gBaerbd9wDYLwzYbItLDharqqtubsr 4rNCHbGeaGqiVu0Je9sqqrpepC0xbbL8F4rqqrFfpeea0xe9Lq=Jc9 vqaqpepm0xbba9pwe9Q8fs0=yqaqpepae9pg0FirpepeKkFr0xfr=x fr=xb9adbaqaaeGaciGaaiaabeqaamaabaabaaGcbaqcLbsacqGH9a qpjuaGdaWcaaGcbaqcLbsacaaIXaaakeaajugibiaaigdacqGHsisl cqaHZoWzaaGaciiBaiaac+gacaGGNbqcfa4aamWaaOqaaKqbaoaape hakeaajuaGdaWcaaGcbaqcLbsacqaH4oqCjuaGdaahaaWcbeqcbasa aKqzadGaaG4maiabeo7aNbaajugibiabeg7aHLqbaoaaCaaaleqaje aibaqcLbmacqaHZoWzaaaakeaajuaGdaqadaGcbaqcLbsacqaHXoqy caaMc8UaeqiUdexcfa4aaWbaaSqabKqaGeaajugWaiaaikdaaaqcLb sacqGHRaWkcaaIYaaakiaawIcacaGLPaaajuaGdaahaaWcbeqaaKqz GeGaeq4SdCgaaaaajuaGdaaeWbGcbaqcfa4aaeWaaOqaaKqzGeqbae qabiqaaaGcbaqcLbsacqaHZoWzaOqaaKqzGeGaamOAaaaaaOGaayjk aiaawMcaaaWcbaqcLbsacaWGQbGaeyypa0JaaGimaaWcbaqcLbsacq GHEisPaiabggHiLdqcfa4aaeWaaOqaaKqbaoaalaaakeaajugibiaa dIhajuaGdaahaaWcbeqcbasaaKqzadGaaGOmaaaaaOqaaKqzGeGaeq ySdegaaaGccaGLOaGaayzkaaqcfa4aaWbaaSqabKqaGeaajugWaiaa dQgaaaqcLbsacaWGLbqcfa4aaWbaaSqabKqaGeaajugWaiabgkHiTi abeI7aXjaaykW7cqaHZoWzcaaMc8UaamiEaaaajugibiaadsgacaWG 4baaleaajugibiaaicdaaSqaaKqzGeGaeyOhIukacqGHRiI8aaGcca GLBbGaayzxaaaaaa@8F59@
  = 1 1γ log[ j=0 ( γ j ) θ 3γ α γj ( α θ 2 +2 ) γ 0 e θγx x 2j+11 dx ] MathType@MTEF@5@5@+= feaagKart1ev2aaatCvAUfeBSjuyZL2yd9gzLbvyNv2CaerbuLwBLn hiov2DGi1BTfMBaeXatLxBI9gBaerbd9wDYLwzYbItLDharqqtubsr 4rNCHbGeaGqiVu0Je9sqqrpepC0xbbL8F4rqqrFfpeea0xe9Lq=Jc9 vqaqpepm0xbba9pwe9Q8fs0=yqaqpepae9pg0FirpepeKkFr0xfr=x fr=xb9adbaqaaeGaciGaaiaabeqaamaabaabaaGcbaqcfaOaeyypa0 ZaaSaaaeaacaaIXaaabaGaaGymaiabgkHiTiabeo7aNbaaciGGSbGa ai4BaiaacEgadaWadaqaamaaqahabaWaaeWaaeaafaqabeGabaaaba Gaeq4SdCgabaGaamOAaaaaaiaawIcacaGLPaaaaKqbGeaacaWGQbGa eyypa0JaaGimaaqaaiabg6HiLcqcfaOaeyyeIuoadaWcaaqaaiabeI 7aXnaaCaaabeqcfauaaiaaiodacqaHZoWzaaqcfaOaeqySde2aaWba aeqajuaibaGaeq4SdCMaeyOeI0IaamOAaaaaaKqbagaadaqadaqaai abeg7aHjaaykW7cqaH4oqCdaahaaqabKqbGeaacaaIYaaaaKqbakab gUcaRiaaikdaaiaawIcacaGLPaaadaahaaqabeaacqaHZoWzaaaaam aapehabaGaaGPaVlaadwgadaahaaqabKqbGeaacqGHsislcqaH4oqC caaMc8Uaeq4SdCMaaGPaVlaadIhaaaqcfaOaaGPaVlaadIhadaahaa qabKqbGeaacaaIYaGaamOAaiabgUcaRiaaigdacqGHsislcaaIXaaa aKqbakaadsgacaWG4baajuaibaGaaGimaaqaaiabg6HiLcqcfaOaey 4kIipaaiaawUfacaGLDbaaaaa@7D4E@
= 1 1γ log[ j=0 ( γ j ) θ 3γ α γj ( α θ 2 +2 ) γ Γ( 2j+1 ) ( θγ ) 2j+1 ] MathType@MTEF@5@5@+= feaagKart1ev2aaatCvAUfeBSjuyZL2yd9gzLbvyNv2CaerbuLwBLn hiov2DGi1BTfMBaeXatLxBI9gBaerbd9wDYLwzYbItLDharqqtubsr 4rNCHbGeaGqiVu0Je9sqqrpepC0xbbL8F4rqqrFfpeea0xe9Lq=Jc9 vqaqpepm0xbba9pwe9Q8fs0=yqaqpepae9pg0FirpepeKkFr0xfr=x fr=xb9adbaqaaeGaciGaaiaabeqaamaabaabaaGcbaqcfaOaeyypa0 ZaaSaaaeaacaaIXaaabaGaaGymaiabgkHiTiabeo7aNbaaciGGSbGa ai4BaiaacEgadaWadaqaamaaqahabaWaaeWaaeaafaqabeGabaaaba Gaeq4SdCgabaGaamOAaaaaaiaawIcacaGLPaaaaKqbGeaacaWGQbGa eyypa0JaaGimaaqaaiabg6HiLcqcfaOaeyyeIuoadaWcaaqaaiabeI 7aXnaaCaaabeqcfasaaiaaiodacqaHZoWzaaqcfaOaeqySde2aaWba aeqajuaibaGaeq4SdCMaeyOeI0IaamOAaaaaaKqbagaadaqadaqaai abeg7aHjaaykW7cqaH4oqCdaahaaqabKqbGeaacaaIYaaaaKqbakab gUcaRiaaikdaaiaawIcacaGLPaaadaahaaqabKqbGeaacqaHZoWzaa aaaKqbaoaalaaabaGaeu4KdC0aaeWaaeaacaaIYaGaamOAaiabgUca RiaaigdaaiaawIcacaGLPaaaaeaadaqadaqaaiabeI7aXjabeo7aNb GaayjkaiaawMcaamaaCaaabeqcfasaaiaaikdacaWGQbGaey4kaSIa aGymaaaaaaaajuaGcaGLBbGaayzxaaaaaa@721B@
= 1 1γ log[ j=0 ( γ j ) θ 3γ2j1 α γj ( α θ 2 +2 ) γ Γ( 2j+1 ) ( γ ) 2j+1 ] MathType@MTEF@5@5@+= feaagKart1ev2aaatCvAUfeBSjuyZL2yd9gzLbvyNv2CaerbuLwBLn hiov2DGi1BTfMBaeXatLxBI9gBaerbd9wDYLwzYbItLDharqqtubsr 4rNCHbGeaGqiVu0Je9sqqrpepC0xbbL8F4rqqrFfpeea0xe9Lq=Jc9 vqaqpepm0xbba9pwe9Q8fs0=yqaqpepae9pg0FirpepeKkFr0xfr=x fr=xb9adbaqaaeGaciGaaiaabeqaamaabaabaaGcbaqcfaOaeyypa0 ZaaSaaaeaacaaIXaaabaGaaGymaiabgkHiTiabeo7aNbaaciGGSbGa ai4BaiaacEgadaWadaqaamaaqahabaWaaeWaaeaafaqabeGabaaaba Gaeq4SdCgabaGaamOAaaaaaiaawIcacaGLPaaaaKqbGeaacaWGQbGa eyypa0JaaGimaaqaaiabg6HiLcqcfaOaeyyeIuoadaWcaaqaaiabeI 7aXnaaCaaabeqcfasaaiaaiodacqaHZoWzcqGHsislcaaIYaGaamOA aiabgkHiTiaaigdaaaqcfaOaeqySde2aaWbaaeqajuaibaGaeq4SdC MaeyOeI0IaamOAaaaaaKqbagaadaqadaqaaiabeg7aHjaaykW7cqaH 4oqCdaahaaqabKqbGeaacaaIYaaaaKqbakabgUcaRiaaikdaaiaawI cacaGLPaaadaahaaqabKqbGeaacqaHZoWzaaaaaKqbaoaalaaabaGa eu4KdC0aaeWaaeaacaaIYaGaamOAaiabgUcaRiaaigdaaiaawIcaca GLPaaaaeaadaqadaqaaiabeo7aNbGaayjkaiaawMcaamaaCaaabeqc fasaaiaaikdacaWGQbGaey4kaSIaaGymaaaaaaaajuaGcaGLBbGaay zxaaaaaa@74A5@ .

Mean deviations

The amount of scatter in a population is measured to a certain extent by the totality of deviations usually from mean and median. These are known as the mean deviation about the mean and the mean deviation about the median defined by
δ 1 ( X )= 0 < | xμ | f( x )dx MathType@MTEF@5@5@+= feaagKart1ev2aaatCvAUfeBSjuyZL2yd9gzLbvyNv2CaerbuLwBLn hiov2DGi1BTfMBaeXatLxBI9gBaerbd9wDYLwzYbItLDharqqtubsr 4rNCHbGeaGqiVu0Je9sqqrpepC0xbbL8F4rqqrFfpeea0xe9Lq=Jc9 vqaqpepm0xbba9pwe9Q8fs0=yqaqpepae9pg0FirpepeKkFr0xfr=x fr=xb9adbaqaaeGaciGaaiaabeqaamaabaabaaGcbaqcfaOaeqiTdq 2aaSbaaKqbGeaacaaIXaaajuaGbeaadaqadaqaaiaadIfaaiaawIca caGLPaaacqGH9aqpdaWdXbqaamaaemaabaGaamiEaiabgkHiTiabeY 7aTbGaay5bSlaawIa7aaqcfasaaiaaicdaaKqbafaacqGH8aapaKqb akabgUIiYdGaaGPaVlaadAgadaqadaqaaiaadIhaaiaawIcacaGLPa aacaWGKbGaamiEaaaa@4FEA@  and δ 2 ( X )= 0 | xM | f( x )dx MathType@MTEF@5@5@+= feaagKart1ev2aaatCvAUfeBSjuyZL2yd9gzLbvyNv2CaerbuLwBLn hiov2DGi1BTfMBaeXatLxBI9gBaerbd9wDYLwzYbItLDharqqtubsr 4rNCHbGeaGqiVu0Je9sqqrpepC0xbbL8F4rqqrFfpeea0xe9Lq=Jc9 vqaqpepm0xbba9pwe9Q8fs0=yqaqpepae9pg0FirpepeKkFr0xfr=x fr=xb9adbaqaaeGaciGaaiaabeqaamaabaabaaGcbaqcfaOaeqiTdq 2aaSbaaKqbGeaacaaIYaaabeaajuaGdaqadaqaaiaadIfaaiaawIca caGLPaaacqGH9aqpdaWdXbqaamaaemaabaGaamiEaiabgkHiTiaad2 eaaiaawEa7caGLiWoaaKqbGeaacaaIWaaabaGaeyOhIukajuaGcqGH RiI8aiaaykW7caWGMbWaaeWaaeaacaWG4baacaGLOaGaayzkaaGaam izaiaadIhaaaa@4F26@ , respectively, where μ=E( X ) MathType@MTEF@5@5@+= feaagKart1ev2aaatCvAUfeBSjuyZL2yd9gzLbvyNv2CaerbuLwBLn hiov2DGi1BTfMBaeXatLxBI9gBaerbd9wDYLwzYbItLDharqqtubsr 4rNCHbGeaGqiVu0Je9sqqrpepC0xbbL8F4rqqrFfpeea0xe9Lq=Jc9 vqaqpepm0xbba9pwe9Q8fs0=yqaqpepae9pg0FirpepeKkFr0xfr=x fr=xb9adbaqaaeGaciGaaiaabeqaamaabaabaaGcbaqcfaOaeqiVd0 Maeyypa0JaamyramaabmaabaGaamiwaaGaayjkaiaawMcaaaaa@3C70@  and M=Median ( X ) MathType@MTEF@5@5@+= feaagKart1ev2aaatCvAUfeBSjuyZL2yd9gzLbvyNv2CaerbuLwBLn hiov2DGi1BTfMBaeXatLxBI9gBaerbd9wDYLwzYbItLDharqqtubsr 4rNCHbGeaGqiVu0Je9sqqrpepC0xbbL8F4rqqrFfpeea0xe9Lq=Jc9 vqaqpepm0xbba9pwe9Q8fs0=yqaqpepae9pg0FirpepeKkFr0xfr=x fr=xb9adbaqaaeGaciGaaiaabeqaamaabaabaaGcbaqcfaOaamytai abg2da9iaab2eacaqGLbGaaeizaiaabMgacaqGHbGaaeOBaiaabcca daqadaqaaiaadIfaaiaawIcacaGLPaaaaaa@40C5@ . The measures δ 1 ( X ) MathType@MTEF@5@5@+= feaagKart1ev2aaatCvAUfeBSjuyZL2yd9gzLbvyNv2CaerbuLwBLn hiov2DGi1BTfMBaeXatLxBI9gBaerbd9wDYLwzYbItLDharqqtubsr 4rNCHbGeaGqiVu0Je9sqqrpepC0xbbL8F4rqqrFfpeea0xe9Lq=Jc9 vqaqpepm0xbba9pwe9Q8fs0=yqaqpepae9pg0FirpepeKkFr0xfr=x fr=xb9adbaqaaeGaciGaaiaabeqaamaabaabaaGcbaqcfaOaeqiTdq 2aaSbaaKqbGeaacaaIXaaabeaajuaGdaqadaqaaiaadIfaaiaawIca caGLPaaaaaa@3C27@  and δ 2 ( X ) MathType@MTEF@5@5@+= feaagKart1ev2aaatCvAUfeBSjuyZL2yd9gzLbvyNv2CaerbuLwBLn hiov2DGi1BTfMBaeXatLxBI9gBaerbd9wDYLwzYbItLDharqqtubsr 4rNCHbGeaGqiVu0Je9sqqrpepC0xbbL8F4rqqrFfpeea0xe9Lq=Jc9 vqaqpepm0xbba9pwe9Q8fs0=yqaqpepae9pg0FirpepeKkFr0xfr=x fr=xb9adbaqaaeGaciGaaiaabeqaamaabaabaaGcbaqcfaOaeqiTdq 2aaSbaaKqbGeaacaaIYaaabeaajuaGdaqadaqaaiaadIfaaiaawIca caGLPaaaaaa@3C28@ can be calculated using the following simplified relationships

δ 1 ( X )= 0 μ ( μx ) f( x )dx+ μ ( xμ ) f( x )dx MathType@MTEF@5@5@+= feaagKart1ev2aaatCvAUfeBSjuyZL2yd9gzLbvyNv2CaerbuLwBLn hiov2DGi1BTfMBaeXatLxBI9gBaerbd9wDYLwzYbItLDharqqtubsr 4rNCHbGeaGqiVu0Je9sqqrpepC0xbbL8F4rqqrFfpeea0xe9Lq=Jc9 vqaqpepm0xbba9pwe9Q8fs0=yqaqpepae9pg0FirpepeKkFr0xfr=x fr=xb9adbaqaaeGaciGaaiaabeqaamaabaabaaGcbaqcfaOaeqiTdq 2aaSbaaKqbGeaacaaIXaaabeaajuaGdaqadaqaaiaadIfaaiaawIca caGLPaaacqGH9aqpdaWdXbqaamaabmaabaGaeqiVd0MaeyOeI0Iaam iEaaGaayjkaiaawMcaaaqcfasaaiaaicdaaeaacqaH8oqBaKqbakab gUIiYdGaamOzamaabmaabaGaamiEaaGaayjkaiaawMcaaiaadsgaca WG4bGaey4kaSYaa8qCaeaadaqadaqaaiaadIhacqGHsislcqaH8oqB aiaawIcacaGLPaaaaKqbGeaacqaH8oqBaeaacqGHEisPaKqbakabgU IiYdGaamOzamaabmaabaGaamiEaaGaayjkaiaawMcaaiaadsgacaWG 4baaaa@5EC0@
=μF( μ ) 0 μ xf( x )dx μ[ 1F( μ ) ]+ μ x f( x )dx MathType@MTEF@5@5@+= feaagKart1ev2aaatCvAUfeBSjuyZL2yd9gzLbvyNv2CaerbuLwBLn hiov2DGi1BTfMBaeXatLxBI9gBaerbd9wDYLwzYbItLDharqqtubsr 4rNCHbGeaGqiVu0Je9sqqrpepC0xbbL8F4rqqrFfpeea0xe9Lq=Jc9 vqaqpepm0xbba9pwe9Q8fs0=yqaqpepae9pg0FirpepeKkFr0xfr=x fr=xb9adbaqaaeGaciGaaiaabeqaamaabaabaaGcbaqcfaOaeyypa0 JaeqiVd0MaamOramaabmaabaGaeqiVd0gacaGLOaGaayzkaaGaeyOe I0Yaa8qCaeaacaWG4bGaaGPaVlaadAgadaqadaqaaiaadIhaaiaawI cacaGLPaaacaWGKbGaamiEaaqcfasaaiaaicdaaeaacqaH8oqBaKqb akabgUIiYdGaeyOeI0IaeqiVd02aamWaaeaacaaIXaGaeyOeI0Iaam OramaabmaabaGaeqiVd0gacaGLOaGaayzkaaaacaGLBbGaayzxaaGa ey4kaSYaa8qCaeaacaWG4bGaaGPaVdqcfasaaiabeY7aTbqaaiabg6 HiLcqcfaOaey4kIipacaWGMbWaaeWaaeaacaWG4baacaGLOaGaayzk aaGaamizaiaadIhaaaa@64CF@
=2μF( μ )2μ+2 μ x f( x )dx MathType@MTEF@5@5@+= feaagKart1ev2aaatCvAUfeBSjuyZL2yd9gzLbvyNv2CaerbuLwBLn hiov2DGi1BTfMBaeXatLxBI9gBaerbd9wDYLwzYbItLDharqqtubsr 4rNCHbGeaGqiVu0Je9sqqrpepC0xbbL8F4rqqrFfpeea0xe9Lq=Jc9 vqaqpepm0xbba9pwe9Q8fs0=yqaqpepae9pg0FirpepeKkFr0xfr=x fr=xb9adbaqaaeGaciGaaiaabeqaamaabaabaaGcbaqcfaOaeyypa0 JaaGOmaiabeY7aTjaadAeadaqadaqaaiabeY7aTbGaayjkaiaawMca aiabgkHiTiaaikdacqaH8oqBcqGHRaWkcaaIYaWaa8qCaeaacaWG4b GaaGPaVdqcfasaaiabeY7aTbqaaiabg6HiLcqcfaOaey4kIipacaWG MbWaaeWaaeaacaWG4baacaGLOaGaayzkaaGaamizaiaadIhaaaa@5116@
=2μF( μ )2 0 μ x f( x )dx MathType@MTEF@5@5@+= feaagKart1ev2aaatCvAUfeBSjuyZL2yd9gzLbvyNv2CaerbuLwBLn hiov2DGi1BTfMBaeXatLxBI9gBaerbd9wDYLwzYbItLDharqqtubsr 4rNCHbGeaGqiVu0Je9sqqrpepC0xbbL8F4rqqrFfpeea0xe9Lq=Jc9 vqaqpepm0xbba9pwe9Q8fs0=yqaqpepae9pg0FirpepeKkFr0xfr=x fr=xb9adbaqaaeGaciGaaiaabeqaamaabaabaaGcbaqcfaOaeyypa0 JaaGOmaiabeY7aTjaadAeadaqadaqaaiabeY7aTbGaayjkaiaawMca aiabgkHiTiaaikdadaWdXbqaaiaadIhacaaMc8oajuaibaGaaGimaa qaaiabeY7aTbqcfaOaey4kIipacaWGMbWaaeWaaeaacaWG4baacaGL OaGaayzkaaGaamizaiaadIhaaaa@4D0B@  (4.5.1)
and
δ 2 ( X )= 0 M ( Mx ) f( x )dx+ M < ( xM ) f( x )dx MathType@MTEF@5@5@+= feaagKart1ev2aaatCvAUfeBSjuyZL2yd9gzLbvyNv2CaerbuLwBLn hiov2DGi1BTfMBaeXatLxBI9gBaerbd9wDYLwzYbItLDharqqtubsr 4rNCHbGeaGqiVu0Je9sqqrpepC0xbbL8F4rqqrFfpeea0xe9Lq=Jc9 vqaqpepm0xbba9pwe9Q8fs0=yqaqpepae9pg0FirpepeKkFr0xfr=x fr=xb9adbaqaaeGaciGaaiaabeqaamaabaabaaGcbaqcfaOaeqiTdq 2aaSbaaKqbGeaacaaIYaaajuaGbeaadaqadaqaaiaadIfaaiaawIca caGLPaaacqGH9aqpdaWdXbqaamaabmaabaGaamytaiabgkHiTiaadI haaiaawIcacaGLPaaaaKqbGeaacaaIWaaabaGaamytaaqcfaOaey4k IipacaWGMbWaaeWaaeaacaWG4baacaGLOaGaayzkaaGaamizaiaadI hacqGHRaWkdaWdXbqaamaabmaabaGaamiEaiabgkHiTiaad2eaaiaa wIcacaGLPaaaaKqbGeaacaWGnbaajuaqbaGaeyipaWdajuaGcqGHRi I8aiaadAgadaqadaqaaiaadIhaaiaawIcacaGLPaaacaWGKbGaamiE aaaa@5B12@
=MF( M ) 0 M xf( x )dx M[ 1F( M ) ]+ M x f( x )dx MathType@MTEF@5@5@+= feaagKart1ev2aaatCvAUfeBSjuyZL2yd9gzLbvyNv2CaerbuLwBLn hiov2DGi1BTfMBaeXatLxBI9gBaerbd9wDYLwzYbItLDharqqtubsr 4rNCHbGeaGqiVu0Je9sqqrpepC0xbbL8F4rqqrFfpeea0xe9Lq=Jc9 vqaqpepm0xbba9pwe9Q8fs0=yqaqpepae9pg0FirpepeKkFr0xfr=x fr=xb9adbaqaaeGaciGaaiaabeqaamaabaabaaGcbaqcfaOaeyypa0 JaamytaiaaykW7caWGgbWaaeWaaeaacaWGnbaacaGLOaGaayzkaaGa eyOeI0Yaa8qCaeaacaWG4bGaaGPaVlaadAgadaqadaqaaiaadIhaai aawIcacaGLPaaacaWGKbGaamiEaaqcfasaaiaaicdaaeaacaWGnbaa juaGcqGHRiI8aiabgkHiTiaad2eadaWadaqaaiaaigdacqGHsislca WGgbWaaeWaaeaacaWGnbaacaGLOaGaayzkaaaacaGLBbGaayzxaaGa ey4kaSYaa8qCaeaacaWG4bGaaGPaVdqcKvaG=haacaWGnbaajuaiba GaeyOhIukajuaGcqGHRiI8aiaadAgadaqadaqaaiaadIhaaiaawIca caGLPaaacaWGKbGaamiEaaaa@62F3@
=μ+2 M x f( x )dx MathType@MTEF@5@5@+= feaagKart1ev2aaatCvAUfeBSjuyZL2yd9gzLbvyNv2CaerbuLwBLn hiov2DGi1BTfMBaeXatLxBI9gBaerbd9wDYLwzYbItLDharqqtubsr 4rNCHbGeaGqiVu0Je9sqqrpepC0xbbL8F4rqqrFfpeea0xe9Lq=Jc9 vqaqpepm0xbba9pwe9Q8fs0=yqaqpepae9pg0FirpepeKkFr0xfr=x fr=xb9adbaqaaeGaciGaaiaabeqaamaabaabaaGcbaqcfaOaeyypa0 JaeyOeI0IaeqiVd0Maey4kaSIaaGOmamaapehabaGaamiEaiaaykW7 aKqbGeaacaWGnbaabaGaeyOhIukajuaGcqGHRiI8aiaadAgadaqada qaaiaadIhaaiaawIcacaGLPaaacaWGKbGaamiEaaaa@48FA@
=μ2 0 M x f( x )dx MathType@MTEF@5@5@+= feaagKart1ev2aaatCvAUfeBSjuyZL2yd9gzLbvyNv2CaerbuLwBLn hiov2DGi1BTfMBaeXatLxBI9gBaerbd9wDYLwzYbItLDharqqtubsr 4rNCHbGeaGqiVu0Je9sqqrpepC0xbbL8F4rqqrFfpeea0xe9Lq=Jc9 vqaqpepm0xbba9pwe9Q8fs0=yqaqpepae9pg0FirpepeKkFr0xfr=x fr=xb9adbaqaaeGaciGaaiaabeqaamaabaabaaGcbaqcfaOaeyypa0 JaeqiVd0MaeyOeI0IaaGOmamaapehabaGaamiEaiaaykW7aKqbGeaa caaIWaaabaGaamytaaqcfaOaey4kIipacaWGMbWaaeWaaeaacaWG4b aacaGLOaGaayzkaaGaamizaiaadIhaaaa@4761@  (4.5.2)

Using pdf (2.1) and expression for the mean of TPAD, we get

0 μ x f( x )dx=μ { θ 3 ( μ 3 +αμ )+ θ 2 ( 3 μ 2 +α )+6( θμ+1 ) } e θμ θ( α θ 2 +2 ) MathType@MTEF@5@5@+= feaagKart1ev2aaatCvAUfeBSjuyZL2yd9gzLbvyNv2CaerbuLwBLn hiov2DGi1BTfMBaeXatLxBI9gBaerbd9wDYLwzYbItLDharqqtubsr 4rNCHbGeaGqiVu0Je9sqqrpepC0xbbL8F4rqqrFfpeea0xe9Lq=Jc9 vqaqpepm0xbba9pwe9Q8fs0=yqaqpepae9pg0FirpepeKkFr0xfr=x fr=xb9adbaqaaeGaciGaaiaabeqaamaabaabaaGcbaqcfa4aa8qCae aacaWG4bGaaGPaVdqcfasaaiaaicdaaeaacqaH8oqBaKqbakabgUIi YdGaamOzamaabmaabaGaamiEaaGaayjkaiaawMcaaiaadsgacaWG4b Gaeyypa0JaeqiVd0MaeyOeI0YaaSaaaeaadaGadaqaaiabeI7aXnaa Caaabeqcfasaaiaaiodaaaqcfa4aaeWaaeaacqaH8oqBdaahaaqabK qbGeaacaaIZaaaaKqbakabgUcaRiabeg7aHjaaykW7cqaH8oqBaiaa wIcacaGLPaaacqGHRaWkcqaH4oqCdaahaaqabKqbGeaacaaIYaaaaK qbaoaabmaabaGaaG4maiabeY7aTnaaCaaabeqcfasaaiaaikdaaaqc faOaey4kaSIaeqySdegacaGLOaGaayzkaaGaey4kaSIaaGOnamaabm aabaGaeqiUdeNaaGPaVlabeY7aTjabgUcaRiaaigdaaiaawIcacaGL PaaaaiaawUhacaGL9baacaWGLbWaaWbaaeqajuaibaGaeyOeI0Iaeq iUdeNaaGPaVlabeY7aTbaaaKqbagaacqaH4oqCdaqadaqaaiabeg7a HjaaykW7cqaH4oqCdaahaaqcfasabeaacaaIYaaaaKqbakabgUcaRi aaikdaaiaawIcacaGLPaaaaaaaaa@80C2@ (4.5.3)
0 M x f( x )dx=μ { θ 3 ( M 3 +αM )+ θ 2 ( 3 M 2 +α )+6( θM+1 ) } e θM θ( α θ 2 +2 ) MathType@MTEF@5@5@+= feaagKart1ev2aaatCvAUfeBSjuyZL2yd9gzLbvyNv2CaerbuLwBLn hiov2DGi1BTfMBaeXatLxBI9gBaerbd9wDYLwzYbItLDharqqtubsr 4rNCHbGeaGqiVu0Je9sqqrpepC0xbbL8F4rqqrFfpeea0xe9Lq=Jc9 vqaqpepm0xbba9pwe9Q8fs0=yqaqpepae9pg0FirpepeKkFr0xfr=x fr=xb9adbaqaaeGaciGaaiaabeqaamaabaabaaGcbaqcfa4aa8qCae aacaWG4bGaaGPaVdqcfasaaiaaicdaaeaacaWGnbaajuaGcqGHRiI8 aiaadAgadaqadaqaaiaadIhaaiaawIcacaGLPaaacaWGKbGaamiEai abg2da9iabeY7aTjabgkHiTmaalaaabaWaaiWaaeaacqaH4oqCdaah aaqcfasabeaacaaIZaaaaKqbaoaabmaabaGaamytamaaCaaabeqcfa saaiaaiodaaaqcfaOaey4kaSIaeqySdeMaamytaaGaayjkaiaawMca aiabgUcaRiabeI7aXnaaCaaajuaibeqaaiaaikdaaaqcfa4aaeWaae aacaaIZaGaamytamaaCaaabeqcfasaaiaaikdaaaqcfaOaey4kaSIa eqySdegacaGLOaGaayzkaaGaey4kaSIaaGOnamaabmaabaGaeqiUde NaamytaiabgUcaRiaaigdaaiaawIcacaGLPaaaaiaawUhacaGL9baa caWGLbWaaWbaaeqajuaibaGaeyOeI0IaeqiUdeNaaGPaVlaad2eaaa aajuaGbaGaeqiUde3aaeWaaeaacqaHXoqycaaMc8UaeqiUde3aaWba aeqajuaibaGaaGOmaaaajuaGcqGHRaWkcaaIYaaacaGLOaGaayzkaa aaaaaa@7854@ (4.5.4)

Using expressions from (4.5.1), (4.5.2), (4.5.3), and (4.5.4), the mean deviation about mean, δ 1 ( X ) MathType@MTEF@5@5@+= feaagKart1ev2aaatCvAUfeBSjuyZL2yd9gzLbvyNv2CaerbuLwBLn hiov2DGi1BTfMBaeXatLxBI9gBaerbd9wDYLwzYbItLDharqqtubsr 4rNCHbGeaGqiVu0Je9sqqrpepC0xbbL8F4rqqrFfpeea0xe9Lq=Jc9 vqaqpepm0xbba9pwe9Q8fs0=yqaqpepae9pg0FirpepeKkFr0xfr=x fr=xb9adbaqaaeGaciGaaiaabeqaamaabaabaaGcbaqcfaOaeqiTdq 2aaSbaaKqbGeaacaaIXaaabeaajuaGdaqadaqaaiaadIfaaiaawIca caGLPaaaaaa@3C27@  and the mean deviation about median, δ 2 ( X ) MathType@MTEF@5@5@+= feaagKart1ev2aaatCvAUfeBSjuyZL2yd9gzLbvyNv2CaerbuLwBLn hiov2DGi1BTfMBaeXatLxBI9gBaerbd9wDYLwzYbItLDharqqtubsr 4rNCHbGeaGqiVu0Je9sqqrpepC0xbbL8F4rqqrFfpeea0xe9Lq=Jc9 vqaqpepm0xbba9pwe9Q8fs0=yqaqpepae9pg0FirpepeKkFr0xfr=x fr=xb9adbaqaaeGaciGaaiaabeqaamaabaabaaGcbaqcfaOaeqiTdq 2aaSbaaKqbGeaacaaIYaaajuaGbeaadaqadaqaaiaadIfaaiaawIca caGLPaaaaaa@3C28@  of TPAD are finally obtained as

δ 1 ( X )= 2{ θ 2 ( μ 2 +α )+2( 2θμ+3 ) } e θμ θ( α θ 2 +2 ) MathType@MTEF@5@5@+= feaagKart1ev2aaatCvAUfeBSjuyZL2yd9gzLbvyNv2CaerbuLwBLn hiov2DGi1BTfMBaeXatLxBI9gBaerbd9wDYLwzYbItLDharqqtubsr 4rNCHbGeaGqiVu0Je9sqqrpepC0xbbL8F4rqqrFfpeea0xe9Lq=Jc9 vqaqpepm0xbba9pwe9Q8fs0=yqaqpepae9pg0FirpepeKkFr0xfr=x fr=xb9adbaqaaeGaciGaaiaabeqaamaabaabaaGcbaqcfaOaeqiTdq 2aaSbaaKqbGeaacaaIXaaajuaGbeaadaqadaqaaiaadIfaaiaawIca caGLPaaacqGH9aqpdaWcaaqaaiaaikdadaGadaqaaiabeI7aXnaaCa aajuaibeqaaiaaikdaaaqcfa4aaeWaaeaacqaH8oqBdaahaaqabKqb GeaacaaIYaaaaKqbakabgUcaRiabeg7aHbGaayjkaiaawMcaaiabgU caRiaaikdadaqadaqaaiaaikdacqaH4oqCcqaH8oqBcqGHRaWkcaaI ZaaacaGLOaGaayzkaaaacaGL7bGaayzFaaGaamyzamaaCaaabeqcfa saaiabgkHiTiabeI7aXjaaykW7cqaH8oqBaaaajuaGbaGaeqiUde3a aeWaaeaacqaHXoqycaaMc8UaeqiUde3aaWbaaeqajuaibaGaaGOmaa aajuaGcqGHRaWkcaaIYaaacaGLOaGaayzkaaaaaaaa@66C5@  (4.5.5)
δ 2 ( X )= 2{ θ 3 ( M 3 +αM )+ θ 2 ( 3 M 2 +α )+6( θM+1 ) } e θM θ( α θ 2 +2 ) μ MathType@MTEF@5@5@+= feaagKart1ev2aaatCvAUfeBSjuyZL2yd9gzLbvyNv2CaerbuLwBLn hiov2DGi1BTfMBaeXatLxBI9gBaerbd9wDYLwzYbItLDharqqtubsr 4rNCHbGeaGqiVu0Je9sqqrpepC0xbbL8F4rqqrFfpeea0xe9Lq=Jc9 vqaqpepm0xbba9pwe9Q8fs0=yqaqpepae9pg0FirpepeKkFr0xfr=x fr=xb9adbaqaaeGaciGaaiaabeqaamaabaabaaGcbaqcfaOaeqiTdq 2aaSbaaKqbGeaacaaIYaaajuaGbeaadaqadaqaaiaadIfaaiaawIca caGLPaaacqGH9aqpdaWcaaqaaiaaikdadaGadaqaaiabeI7aXnaaCa aabeqcfasaaiaaiodaaaqcfa4aaeWaaeaacaWGnbWaaWbaaKqbGeqa baGaaG4maaaajuaGcqGHRaWkcqaHXoqycaWGnbaacaGLOaGaayzkaa Gaey4kaSIaeqiUde3aaWbaaeqajuaibaGaaGOmaaaajuaGdaqadaqa aiaaiodacaWGnbWaaWbaaeqajuaibaGaaGOmaaaajuaGcqGHRaWkcq aHXoqyaiaawIcacaGLPaaacqGHRaWkcaaI2aWaaeWaaeaacqaH4oqC caWGnbGaey4kaSIaaGymaaGaayjkaiaawMcaaaGaay5Eaiaaw2haai aadwgadaahaaqabKqbGeaacqGHsislcqaH4oqCcaaMc8Uaamytaaaa aKqbagaacqaH4oqCdaqadaqaaiabeg7aHjaaykW7cqaH4oqCdaahaa qabKqbGeaacaaIYaaaaKqbakabgUcaRiaaikdaaiaawIcacaGLPaaa aaGaeyOeI0IaeqiVd0gaaa@723C@  (4.5.6)

 Bonferroni and lorenz curves

Bonferroni and Lorenz curves introduced by Bonferroni13 and Bonferroni and Gini indices have applications not only in economics to study income and poverty, but also in other fields like reliability, demography, insurance and medicine. The Bonferroni and Lorenz curves are defined as

B( p )= 1 pμ 0 q xf( x ) dx= 1 pμ [ 0 xf( x )dx q xf( x ) dx ]= 1 pμ [ μ q xf( x ) dx ] MathType@MTEF@5@5@+= feaagKart1ev2aaatCvAUfeBSjuyZL2yd9gzLbvyNv2CaerbuLwBLn hiov2DGi1BTfMBaeXatLxBI9gBaerbd9wDYLwzYbItLDharqqtubsr 4rNCHbGeaGqiVu0Je9sqqrpepC0xbbL8F4rqqrFfpeea0xe9Lq=Jc9 vqaqpepm0xbba9pwe9Q8fs0=yqaqpepae9pg0FirpepeKkFr0xfr=x fr=xb9adbaqaaeGaciGaaiaabeqaamaabaabaaGcbaqcfaOaamOqam aabmaabaGaamiCaaGaayjkaiaawMcaaiabg2da9maalaaabaGaaGym aaqaaiaadchacqaH8oqBaaWaa8qCaeaacaWG4bGaaGPaVlaadAgada qadaqaaiaadIhaaiaawIcacaGLPaaacaaMc8oajuaibaGaaGimaaqa aiaadghaaKqbakabgUIiYdGaamizaiaadIhacqGH9aqpdaWcaaqaai aaigdaaeaacaWGWbGaeqiVd0gaamaadmaabaWaa8qCaeaacaWG4bGa aGPaVlaadAgadaqadaqaaiaadIhaaiaawIcacaGLPaaacaWGKbGaam iEaiabgkHiTaqcfasaaiaaicdaaeaacqGHEisPaKqbakabgUIiYdWa a8qCaeaacaWG4bGaaGPaVlaadAgadaqadaqaaiaadIhaaiaawIcaca GLPaaaaKqbGeaacaWGXbaabaGaeyOhIukajuaGcqGHRiI8aiaaykW7 caWGKbGaamiEaaGaay5waiaaw2faaiabg2da9maalaaabaGaaGymaa qaaiaadchacqaH8oqBaaWaamWaaeaacqaH8oqBcqGHsisldaWdXbqa aiaadIhacaaMc8UaamOzamaabmaabaGaamiEaaGaayjkaiaawMcaaa qcfasaaiaadghaaeaacqGHEisPaKqbakabgUIiYdGaaGPaVlaadsga caWG4baacaGLBbGaayzxaaaaaa@87AB@  (4.6.1)
and L( p )= 1 μ 0 q xf( x ) dx= 1 μ [ 0 xf( x )dx q xf( x ) dx ]= 1 μ [ μ q xf( x ) dx ] MathType@MTEF@5@5@+= feaagKart1ev2aaatCvAUfeBSjuyZL2yd9gzLbvyNv2CaerbuLwBLn hiov2DGi1BTfMBaeXatLxBI9gBaerbd9wDYLwzYbItLDharqqtubsr 4rNCHbGeaGqiVu0Je9sqqrpepC0xbbL8F4rqqrFfpeea0xe9Lq=Jc9 vqaqpepm0xbba9pwe9Q8fs0=yqaqpepae9pg0FirpepeKkFr0xfr=x fr=xb9adbaqaaeGaciGaaiaabeqaamaabaabaaGcbaqcfaOaamitam aabmaabaGaamiCaaGaayjkaiaawMcaaiabg2da9maalaaabaGaaGym aaqaaiabeY7aTbaadaWdXbqaaiaadIhacaaMc8UaamOzamaabmaaba GaamiEaaGaayjkaiaawMcaaaqcfasaaiaaicdaaeaacaWGXbaajuaG cqGHRiI8aiaaykW7caWGKbGaamiEaiabg2da9maalaaabaGaaGymaa qaaiabeY7aTbaadaWadaqaamaapehabaGaamiEaiaaykW7caWGMbWa aeWaaeaacaWG4baacaGLOaGaayzkaaGaamizaiaadIhacqGHsislaK qbGeaacaaIWaaabaGaeyOhIukajuaGcqGHRiI8amaapehabaGaamiE aiaaykW7caWGMbWaaeWaaeaacaWG4baacaGLOaGaayzkaaGaaGPaVd qcfasaaiaadghaaeaacqGHEisPaKqbakabgUIiYdGaamizaiaadIha aiaawUfacaGLDbaacqGH9aqpdaWcaaqaaiaaigdaaeaacqaH8oqBaa WaamWaaeaacqaH8oqBcqGHsisldaWdXbqaaiaadIhacaaMc8UaamOz amaabmaabaGaamiEaaGaayjkaiaawMcaaaqcfasaaiaadghaaeaacq GHEisPaKqbakabgUIiYdGaaGPaVlaadsgacaWG4baacaGLBbGaayzx aaaaaa@84D6@ (4.6.2)

respectively or equivalently

B( p )= 1 pμ 0 p F 1 ( x ) dx MathType@MTEF@5@5@+= feaagKart1ev2aaatCvAUfeBSjuyZL2yd9gzLbvyNv2CaerbuLwBLn hiov2DGi1BTfMBaeXatLxBI9gBaerbd9wDYLwzYbItLDharqqtubsr 4rNCHbGeaGqiVu0Je9sqqrpepC0xbbL8F4rqqrFfpeea0xe9Lq=Jc9 vqaqpepm0xbba9pwe9Q8fs0=yqaqpepae9pg0FirpepeKkFr0xfr=x fr=xb9adbaqaaeGaciGaaiaabeqaamaabaabaaGcbaqcfaOaamOqam aabmaabaGaamiCaaGaayjkaiaawMcaaiabg2da9maalaaabaGaaGym aaqaaiaadchacqaH8oqBaaWaa8qCaeaacaWGgbWaaWbaaeqajuaiba GaeyOeI0IaaGymaaaajuaGdaqadaqaaiaadIhaaiaawIcacaGLPaaa aKqbGeaacaaIWaaabaGaamiCaaqcfaOaey4kIipacaaMc8Uaamizai aadIhaaaa@4C49@ (4.6.3)
and L( p )= 1 μ 0 p F 1 ( x ) dx MathType@MTEF@5@5@+= feaagKart1ev2aaatCvAUfeBSjuyZL2yd9gzLbvyNv2CaerbuLwBLn hiov2DGi1BTfMBaeXatLxBI9gBaerbd9wDYLwzYbItLDharqqtubsr 4rNCHbGeaGqiVu0Je9sqqrpepC0xbbL8F4rqqrFfpeea0xe9Lq=Jc9 vqaqpepm0xbba9pwe9Q8fs0=yqaqpepae9pg0FirpepeKkFr0xfr=x fr=xb9adbaqaaeGaciGaaiaabeqaamaabaabaaGcbaqcfaOaamitam aabmaabaGaamiCaaGaayjkaiaawMcaaiabg2da9maalaaabaGaaGym aaqaaiabeY7aTbaadaWdXbqaaiaadAeadaahaaqabKqbGeaacqGHsi slcaaIXaaaaKqbaoaabmaabaGaamiEaaGaayjkaiaawMcaaaqcfasa aiaaicdaaeaacaWGWbaajuaGcqGHRiI8aiaaykW7caWGKbGaamiEaa aa@4B5E@  (4.6.4)

respectively, where μ=E( X ) MathType@MTEF@5@5@+= feaagKart1ev2aaatCvAUfeBSjuyZL2yd9gzLbvyNv2CaerbuLwBLn hiov2DGi1BTfMBaeXatLxBI9gBaerbd9wDYLwzYbItLDharqqtubsr 4rNCHbGeaGqiVu0Je9sqqrpepC0xbbL8F4rqqrFfpeea0xe9Lq=Jc9 vqaqpepm0xbba9pwe9Q8fs0=yqaqpepae9pg0FirpepeKkFr0xfr=x fr=xb9adbaqaaeGaciGaaiaabeqaamaabaabaaGcbaqcfaOaeqiVd0 Maeyypa0JaamyramaabmaabaGaamiwaaGaayjkaiaawMcaaaaa@3C70@  and q= F 1 ( p ) MathType@MTEF@5@5@+= feaagKart1ev2aaatCvAUfeBSjuyZL2yd9gzLbvyNv2CaerbuLwBLn hiov2DGi1BTfMBaeXatLxBI9gBaerbd9wDYLwzYbItLDharqqtubsr 4rNCHbGeaGqiVu0Je9sqqrpepC0xbbL8F4rqqrFfpeea0xe9Lq=Jc9 vqaqpepm0xbba9pwe9Q8fs0=yqaqpepae9pg0FirpepeKkFr0xfr=x fr=xb9adbaqaaeGaciGaaiaabeqaamaabaabaaGcbaqcfaOaamyCai abg2da9iaadAeadaahaaqcfasabeaacqGHsislcaaIXaaaaKqbaoaa bmaabaGaamiCaaGaayjkaiaawMcaaaaa@3E4F@ .

The Bonferroni and Gini indices are thus defined as

B=1 0 1 B( p ) dp MathType@MTEF@5@5@+= feaagKart1ev2aaatCvAUfeBSjuyZL2yd9gzLbvyNv2CaerbuLwBLn hiov2DGi1BTfMBaeXatLxBI9gBaerbd9wDYLwzYbItLDharqqtubsr 4rNCHbGeaGqiVu0Je9sqqrpepC0xbbL8F4rqqrFfpeea0xe9Lq=Jc9 vqaqpepm0xbba9pwe9Q8fs0=yqaqpepae9pg0FirpepeKkFr0xfr=x fr=xb9adbaqaaeGaciGaaiaabeqaamaabaabaaGcbaqcfaOaamOqai abg2da9iaaigdacqGHsisldaWdXbqaaiaadkeadaqadaqaaiaadcha aiaawIcacaGLPaaaaKqbGeaacaaIWaaabaGaaGymaaqcfaOaey4kIi pacaaMc8Uaamizaiaadchaaaa@4529@  (4.6.5)
and G=12 0 1 L( p ) dp MathType@MTEF@5@5@+= feaagKart1ev2aaatCvAUfeBSjuyZL2yd9gzLbvyNv2CaerbuLwBLn hiov2DGi1BTfMBaeXatLxBI9gBaerbd9wDYLwzYbItLDharqqtubsr 4rNCHbGeaGqiVu0Je9sqqrpepC0xbbL8F4rqqrFfpeea0xe9Lq=Jc9 vqaqpepm0xbba9pwe9Q8fs0=yqaqpepae9pg0FirpepeKkFr0xfr=x fr=xb9adbaqaaeGaciGaaiaabeqaamaabaabaaGcbaqcfaOaam4rai abg2da9iaaigdacqGHsislcaaIYaWaa8qCaeaacaWGmbWaaeWaaeaa caWGWbaacaGLOaGaayzkaaGaaGPaVdqcfasaaiaaicdaaeaacaaIXa aajuaGcqGHRiI8aiaadsgacaWGWbaaaa@45F4@  (4.6.6)

respectively.

 Using pdf of TPAD, we get

q , xf( x ) dx= { θ 3 ( q 3 +αq )+ θ 2 ( 3 q 2 +α )+6( θq+1 ) } e θq θ( α θ 2 +2 ) MathType@MTEF@5@5@+= feaagKart1ev2aaatCvAUfeBSjuyZL2yd9gzLbvyNv2CaerbuLwBLn hiov2DGi1BTfMBaeXatLxBI9gBaerbd9wDYLwzYbItLDharqqtubsr 4rNCHbGeaGqiVu0Je9sqqrpepC0xbbL8F4rqqrFfpeea0xe9Lq=Jc9 vqaqpepm0xbba9pwe9Q8fs0=yqaqpepae9pg0FirpepeKkFr0xfr=x fr=xb9adbaqaaeGaciGaaiaabeqaamaabaabaaGcbaqcfa4aa8qCae aacaWG4bGaaGPaVlaadAgadaqadaqaaiaadIhaaiaawIcacaGLPaaa aKqbGeaacaWGXbaajuaqbaGaaiilaaqcfaOaey4kIipacaaMc8Uaam izaiaadIhacqGH9aqpdaWcaaqaamaacmaabaGaeqiUde3aaWbaaeqa juaibaGaaG4maaaajuaGdaqadaqaaiaadghadaahaaqabKqbGeaaca aIZaaaaKqbakabgUcaRiabeg7aHjaaykW7caWGXbaacaGLOaGaayzk aaGaey4kaSIaeqiUde3aaWbaaeqajuaibaGaaGOmaaaajuaGdaqada qaaiaaiodacaaMc8UaamyCamaaCaaabeqcfasaaiaaikdaaaqcfaOa ey4kaSIaeqySdegacaGLOaGaayzkaaGaey4kaSIaaGOnamaabmaaba GaeqiUdeNaamyCaiabgUcaRiaaigdaaiaawIcacaGLPaaaaiaawUha caGL9baacaWGLbWaaWbaaeqajuaibaGaeyOeI0IaeqiUdeNaamyCaa aaaKqbagaacqaH4oqCdaqadaqaaiabeg7aHjaaykW7cqaH4oqCdaah aaqcfasabeaacaaIYaaaaKqbakabgUcaRiaaikdaaiaawIcacaGLPa aaaaaaaa@79E3@  (4.6.7)

Now using equation (4.6.7) in (4.6.1) and (4.6.2), we get

B( p )= 1 p [ 1 { θ 3 ( q 3 +αq )+ θ 2 ( 3 q 2 +α )+6( θq+1 ) } e θq α θ 2 +6 ] MathType@MTEF@5@5@+= feaagKart1ev2aaatCvAUfeBSjuyZL2yd9gzLbvyNv2CaerbuLwBLn hiov2DGi1BTfMBaeXatLxBI9gBaerbd9wDYLwzYbItLDharqqtubsr 4rNCHbGeaGqiVu0Je9sqqrpepC0xbbL8F4rqqrFfpeea0xe9Lq=Jc9 vqaqpepm0xbba9pwe9Q8fs0=yqaqpepae9pg0FirpepeKkFr0xfr=x fr=xb9adbaqaaeGaciGaaiaabeqaamaabaabaaGcbaqcfaOaamOqam aabmaabaGaamiCaaGaayjkaiaawMcaaiabg2da9maalaaabaGaaGym aaqaaiaadchaaaWaamWaaeaacaaIXaGaeyOeI0YaaSaaaeaadaGada qaaiabeI7aXnaaCaaabeqcfasaaiaaiodaaaqcfa4aaeWaaeaacaWG XbWaaWbaaeqajuaibaGaaG4maaaajuaGcqGHRaWkcqaHXoqycaWGXb aacaGLOaGaayzkaaGaey4kaSIaeqiUde3aaWbaaeqajuaibaGaaGOm aaaajuaGdaqadaqaaiaaiodacaWGXbWaaWbaaeqajuaibaGaaGOmaa aajuaGcqGHRaWkcqaHXoqyaiaawIcacaGLPaaacqGHRaWkcaaI2aWa aeWaaeaacqaH4oqCcaWGXbGaey4kaSIaaGymaaGaayjkaiaawMcaaa Gaay5Eaiaaw2haaiaadwgadaahaaqabKqbGeaacqGHsislcqaH4oqC caWGXbaaaaqcfayaaiabeg7aHjaaykW7cqaH4oqCdaahaaqabKqbGe aacaaIYaaaaKqbakabgUcaRiaaiAdaaaaacaGLBbGaayzxaaaaaa@6DC6@  (4.6.8)
and L( p )=1 { θ 3 ( q 3 +αq )+ θ 2 ( 3 q 2 +α )+6( θq+1 ) } e θq α θ 2 +6 MathType@MTEF@5@5@+= feaagKart1ev2aaatCvAUfeBSjuyZL2yd9gzLbvyNv2CaerbuLwBLn hiov2DGi1BTfMBaeXatLxBI9gBaerbd9wDYLwzYbItLDharqqtubsr 4rNCHbGeaGqiVu0Je9sqqrpepC0xbbL8F4rqqrFfpeea0xe9Lq=Jc9 vqaqpepm0xbba9pwe9Q8fs0=yqaqpepae9pg0FirpepeKkFr0xfr=x fr=xb9adbaqaaeGaciGaaiaabeqaamaabaabaaGcbaqcfaOaamitam aabmaabaGaamiCaaGaayjkaiaawMcaaiabg2da9iaaigdacqGHsisl daWcaaqaamaacmaabaGaeqiUde3aaWbaaKqbGeqabaGaaG4maaaaju aGdaqadaqaaiaadghadaahaaqabKqbGeaacaaIZaaaaKqbakabgUca Riabeg7aHjaaykW7caWGXbaacaGLOaGaayzkaaGaey4kaSIaeqiUde 3aaWbaaeqajuaibaGaaGOmaaaajuaGdaqadaqaaiaaiodacaWGXbWa aWbaaeqajuaibaGaaGOmaaaajuaGcqGHRaWkcqaHXoqyaiaawIcaca GLPaaacqGHRaWkcaaI2aWaaeWaaeaacqaH4oqCcaWGXbGaey4kaSIa aGymaaGaayjkaiaawMcaaaGaay5Eaiaaw2haaiaadwgadaahaaqabK qbGeaacqGHsislcqaH4oqCcaWGXbaaaaqcfayaaiabeg7aHjaaykW7 cqaH4oqCdaahaaqabKqbGeaacaaIYaaaaKqbakabgUcaRiaaiAdaaa aaaa@6BA9@ (4.6.9)

Now using equations (4.6.8) and (4.6.9) in (4.6.5) and (4.6.6), the Bonferroni and Gini indices of TPAD are thus obtained as

B=1 { θ 3 ( q 3 +αq )+ θ 2 ( 3 q 2 +α )+6( θq+1 ) } e θq α θ 2 +6 MathType@MTEF@5@5@+= feaagKart1ev2aaatCvAUfeBSjuyZL2yd9gzLbvyNv2CaerbuLwBLn hiov2DGi1BTfMBaeXatLxBI9gBaerbd9wDYLwzYbItLDharqqtubsr 4rNCHbGeaGqiVu0Je9sqqrpepC0xbbL8F4rqqrFfpeea0xe9Lq=Jc9 vqaqpepm0xbba9pwe9Q8fs0=yqaqpepae9pg0FirpepeKkFr0xfr=x fr=xb9adbaqaaeGaciGaaiaabeqaamaabaabaaGcbaqcfaOaamOqai abg2da9iaaigdacqGHsisldaWcaaqaamaacmaabaGaeqiUde3aaWba aKqbGeqabaGaaG4maaaajuaGdaqadaqaaiaadghadaahaaqabKqbGe aacaaIZaaaaKqbakabgUcaRiabeg7aHjaaykW7caWGXbaacaGLOaGa ayzkaaGaey4kaSIaeqiUde3aaWbaaeqajuaibaGaaGOmaaaajuaGda qadaqaaiaaiodacaWGXbWaaWbaaeqajuaibaGaaGOmaaaajuaGcqGH RaWkcqaHXoqyaiaawIcacaGLPaaacqGHRaWkcaaI2aWaaeWaaeaacq aH4oqCcaWGXbGaey4kaSIaaGymaaGaayjkaiaawMcaaaGaay5Eaiaa w2haaiaadwgadaahaaqabKqbGeaacqGHsislcqaH4oqCcaWGXbaaaa qcfayaaiabeg7aHjaaykW7cqaH4oqCdaahaaqabKqbGeaacaaIYaaa aKqbakabgUcaRiaaiAdaaaaaaa@6921@  (4.6.10)

G= 2{ θ 3 ( q 3 +αq )+ θ 2 ( 3 q 2 +α )+6( θq+1 ) } e θq α θ 2 +6 1 MathType@MTEF@5@5@+= feaagKart1ev2aaatCvAUfeBSjuyZL2yd9gzLbvyNv2CaerbuLwBLn hiov2DGi1BTfMBaeXatLxBI9gBaerbd9wDYLwzYbItLDharqqtubsr 4rNCHbGeaGqiVu0Je9sqqrpepC0xbbL8F4rqqrFfpeea0xe9Lq=Jc9 vqaqpepm0xbba9pwe9Q8fs0=yqaqpepae9pg0FirpepeKkFr0xfr=x fr=xb9adbaqaaeGaciGaaiaabeqaamaabaabaaGcbaqcfaOaam4rai abg2da9maalaaabaGaaGOmamaacmaabaGaeqiUde3aaWbaaKqbGeqa baGaaG4maaaajuaGdaqadaqaaiaadghadaahaaqcfasabeaacaaIZa aaaKqbakabgUcaRiabeg7aHjaaykW7caWGXbaacaGLOaGaayzkaaGa ey4kaSIaeqiUde3aaWbaaKqbGeqabaGaaGOmaaaajuaGdaqadaqaai aaiodacaWGXbWaaWbaaKqbGeqabaGaaGOmaaaajuaGcqGHRaWkcqaH XoqyaiaawIcacaGLPaaacqGHRaWkcaaI2aWaaeWaaeaacqaH4oqCca WGXbGaey4kaSIaaGymaaGaayjkaiaawMcaaaGaay5Eaiaaw2haaiaa dwgadaahaaqabKqbGeaacqGHsislcqaH4oqCcaWGXbaaaaqcfayaai abeg7aHjaaykW7cqaH4oqCdaahaaqcfasabeaacaaIYaaaaKqbakab gUcaRiaaiAdaaaGaeyOeI0IaaGymaaaa@69E2@  (4.6.11)

Stress-strength reliability

The stress- strength reliability describes the life of a component which has random strength X MathType@MTEF@5@5@+= feaagKart1ev2aaatCvAUfeBSjuyZL2yd9gzLbvyNv2CaerbuLwBLn hiov2DGi1BTfMBaeXatLxBI9gBaerbd9wDYLwzYbItLDharqqtubsr 4rNCHbGeaGqiVu0Je9sqqrpepC0xbbL8F4rqqrFfpeea0xe9Lq=Jc9 vqaqpepm0xbba9pwe9Q8fs0=yqaqpepae9pg0FirpepeKkFr0xfr=x fr=xb9adbaqaaeGaciGaaiaabeqaamaabaabaaGcbaGaamiwaaaa@36D3@ that is subjected to a random stress Y MathType@MTEF@5@5@+= feaagKart1ev2aaatCvAUfeBSjuyZL2yd9gzLbvyNv2CaerbuLwBLn hiov2DGi1BTfMBaeXatLxBI9gBaerbd9wDYLwzYbItLDharqqtubsr 4rNCHbGeaGqiVu0Je9sqqrpepC0xbbL8F4rqqrFfpeea0xe9Lq=Jc9 vqaqpepm0xbba9pwe9Q8fs0=yqaqpepae9pg0FirpepeKkFr0xfr=x fr=xb9adbaqaaeGaciGaaiaabeqaamaabaabaaGcbaqcfaOaamywaa aa@3762@ . When the stress applied to it exceeds the strength, the component fails instantly and the component will function satisfactorily till X>Y MathType@MTEF@5@5@+= feaagKart1ev2aaatCvAUfeBSjuyZL2yd9gzLbvyNv2CaerbuLwBLn hiov2DGi1BTfMBaeXatLxBI9gBaerbd9wDYLwzYbItLDharqqtubsr 4rNCHbGeaGqiVu0Je9sqqrpepC0xbbL8F4rqqrFfpeea0xe9Lq=Jc9 vqaqpepm0xbba9pwe9Q8fs0=yqaqpepae9pg0FirpepeKkFr0xfr=x fr=xb9adbaqaaeGaciGaaiaabeqaamaabaabaaGcbaqcfaOaamiwai abg6da+iaadMfaaaa@3947@ . Therefore, R=P( Y<X ) MathType@MTEF@5@5@+= feaagKart1ev2aaatCvAUfeBSjuyZL2yd9gzLbvyNv2CaerbuLwBLn hiov2DGi1BTfMBaeXatLxBI9gBaerbd9wDYLwzYbItLDharqqtubsr 4rNCHbGeaGqiVu0Je9sqqrpepC0xbbL8F4rqqrFfpeea0xe9Lq=Jc9 vqaqpepm0xbba9pwe9Q8fs0=yqaqpepae9pg0FirpepeKkFr0xfr=x fr=xb9adbaqaaeGaciGaaiaabeqaamaabaabaaGcbaqcfaOaamOuai abg2da9iaadcfadaqadaqaaiaadMfacqGH8aapcaWGybaacaGLOaGa ayzkaaaaaa@3D7E@ is a measure of component reliability and in statistical literature it is known as stress-strength parameter. It has wide applications in almost all areas of knowledge especially in engineering such as structures, deterioration of rocket motors, static fatigue of ceramic components, aging of concrete pressure vessels etc.

Let X MathType@MTEF@5@5@+= feaagKart1ev2aaatCvAUfeBSjuyZL2yd9gzLbvyNv2CaerbuLwBLn hiov2DGi1BTfMBaeXatLxBI9gBaerbd9wDYLwzYbItLDharqqtubsr 4rNCHbGeaGqiVu0Je9sqqrpepC0xbbL8F4rqqrFfpeea0xe9Lq=Jc9 vqaqpepm0xbba9pwe9Q8fs0=yqaqpepae9pg0FirpepeKkFr0xfr=x fr=xb9adbaqaaeGaciGaaiaabeqaamaabaabaaGcbaqcfaOaamiwaa aa@3761@ and Y MathType@MTEF@5@5@+= feaagKart1ev2aaatCvAUfeBSjuyZL2yd9gzLbvyNv2CaerbuLwBLn hiov2DGi1BTfMBaeXatLxBI9gBaerbd9wDYLwzYbItLDharqqtubsr 4rNCHbGeaGqiVu0Je9sqqrpepC0xbbL8F4rqqrFfpeea0xe9Lq=Jc9 vqaqpepm0xbba9pwe9Q8fs0=yqaqpepae9pg0FirpepeKkFr0xfr=x fr=xb9adbaqaaeGaciGaaiaabeqaamaabaabaaGcbaqcfaOaamywaa aa@3762@ be independent strength and stress random variables having TPAD with parameter ( θ 1 , α 1 ) MathType@MTEF@5@5@+= feaagKart1ev2aaatCvAUfeBSjuyZL2yd9gzLbvyNv2CaerbuLwBLn hiov2DGi1BTfMBaeXatLxBI9gBaerbd9wDYLwzYbItLDharqqtubsr 4rNCHbGeaGqiVu0Je9sqqrpepC0xbbL8F4rqqrFfpeea0xe9Lq=Jc9 vqaqpepm0xbba9pwe9Q8fs0=yqaqpepae9pg0FirpepeKkFr0xfr=x fr=xb9adbaqaaeGaciGaaiaabeqaamaabaabaaGcbaqcfa4aaeWaae aacqaH4oqCdaWgaaqcfasaaiaaigdaaeqaaKqbakaacYcacqaHXoqy daWgaaqcfasaaiaaigdaaeqaaaqcfaOaayjkaiaawMcaaaaa@3F42@  and ( θ 2 , α 2 ) MathType@MTEF@5@5@+= feaagKart1ev2aaatCvAUfeBSjuyZL2yd9gzLbvyNv2CaerbuLwBLn hiov2DGi1BTfMBaeXatLxBI9gBaerbd9wDYLwzYbItLDharqqtubsr 4rNCHbGeaGqiVu0Je9sqqrpepC0xbbL8F4rqqrFfpeea0xe9Lq=Jc9 vqaqpepm0xbba9pwe9Q8fs0=yqaqpepae9pg0FirpepeKkFr0xfr=x fr=xb9adbaqaaeGaciGaaiaabeqaamaabaabaaGcbaqcfa4aaeWaae aacqaH4oqCdaWgaaqcfasaaiaaikdaaKqbagqaaiaacYcacqaHXoqy daWgaaqcfauaaiaaikdaaKqbagqaaaGaayjkaiaawMcaaaaa@3F64@  respectively. Then the stress-strength reliability R can be obtained as

R=P( Y<X )= 0 P( Y<X|X=x ) f X ( x )dx MathType@MTEF@5@5@+= feaagKart1ev2aaatCvAUfeBSjuyZL2yd9gzLbvyNv2CaerbuLwBLn hiov2DGi1BTfMBaeXatLxBI9gBaerbd9wDYLwzYbItLDharqqtubsr 4rNCHbGeaGqiVu0Je9sqqrpepC0xbbL8F4rqqrFfpeea0xe9Lq=Jc9 vqaqpepm0xbba9pwe9Q8fs0=yqaqpepae9pg0FirpepeKkFr0xfr=x fr=xb9adbaqaaeGaciGaaiaabeqaamaabaabaaGcbaqcfaOaamOuai abg2da9iaadcfadaqadaqaaiaadMfacqGH8aapcaWGybaacaGLOaGa ayzkaaGaeyypa0Zaa8qCaeaacaWGqbWaaeWaaeaacaWGzbGaeyipaW JaamiwaiaacYhacaWGybGaeyypa0JaamiEaaGaayjkaiaawMcaaaqc fasaaiaaicdaaeaacqGHEisPaKqbakabgUIiYdGaamOzamaaBaaaba GaamiwaaqabaWaaeWaaeaacaWG4baacaGLOaGaayzkaaGaamizaiaa dIhaaaa@530E@
= 0 f( x; θ 1 , α 1 ) F( x; θ 2 , α 2 )dx MathType@MTEF@5@5@+= feaagKart1ev2aaatCvAUfeBSjuyZL2yd9gzLbvyNv2CaerbuLwBLn hiov2DGi1BTfMBaeXatLxBI9gBaerbd9wDYLwzYbItLDharqqtubsr 4rNCHbGeaGqiVu0Je9sqqrpepC0xbbL8F4rqqrFfpeea0xe9Lq=Jc9 vqaqpepm0xbba9pwe9Q8fs0=yqaqpepae9pg0FirpepeKkFr0xfr=x fr=xb9adbaqaaeGaciGaaiaabeqaamaabaabaaGcbaqcfaOaeyypa0 Zaa8qCaeaacaWGMbWaaeWaaeaacaWG4bGaai4oaiabeI7aXTWaaSba aKqbagaajugWaiaaigdaaKqbagqaaiaacYcacqaHXoqydaWgaaqaaK qzadGaaGymaaqcfayabaaacaGLOaGaayzkaaaabaqcLbmacaaIWaaa juaGbaqcLbmacqGHEisPaKqbakabgUIiYdGaaGPaVlaaykW7caWGgb WaaeWaaeaacaWG4bGaai4oaiabeI7aXnaaBaaabaqcLbmacaaIYaaa juaGbeaacaGGSaGaeqySde2aaSbaaeaajugWaiaaikdaaKqbagqaaa GaayjkaiaawMcaaiaadsgacaWG4baaaa@5FBF@
=1 θ 1 3 [ α 1 α 2 θ 2 6 +4 α 1 α 2 θ 1 θ 2 5 +2( 3 α 1 α 2 θ 1 2 +3 α 1 + α 2 ) θ 2 4 +2( 2 α 1 α 2 θ 1 2 +9 α 1 +2 α 2 ) θ 1 θ 2 3 +( α 1 α 2 θ 1 4 +20 α 1 θ 1 2 +2 α 2 θ 1 2 +40 ) θ 2 2 +10( α 1 θ 1 2 +2 )+2( α 1 θ 1 2 +2 ) θ 1 2 ] ( α 1 θ 1 2 +2 )( α 2 θ 2 2 +2 ) ( θ 1 + θ 2 ) 5 MathType@MTEF@5@5@+= feaagKart1ev2aaatCvAUfeBSjuyZL2yd9gzLbvyNv2CaerbuLwBLn hiov2DGi1BTfMBaeXatLxBI9gBaerbd9wDYLwzYbItLDharqqtubsr 4rNCHbGeaGqiVu0Je9sqqrpepC0xbbL8F4rqqrFfpeea0xe9Lq=Jc9 vqaqpepm0xbba9pwe9Q8fs0=yqaqpepae9pg0FirpepeKkFr0xfr=x fr=xb9adbaqaaeGaciGaaiaabeqaamaabaabaaGcbaqcfaOaeyypa0 JaaGymaiabgkHiTmaalaaabaGaeqiUde3cdaWgaaqcfayaaKqzadGa aGymaaqcfayabaWcdaahaaqcfayabeaajugWaiaaiodaaaqcfa4aam Waaqaabeqaaiabeg7aHTWaaSbaaKqbagaajugWaiaaigdaaKqbagqa aiaaykW7cqaHXoqylmaaBaaajuaGbaqcLbmacaaIYaaajuaGbeaaca aMc8UaeqiUde3cdaWgaaqcfayaaKqzadGaaGOmaaqcfayabaWcdaah aaqcfayabeaajugWaiaaiAdaaaqcfaOaey4kaSIaaGinaiabeg7aHT WaaSbaaKqbagaajugWaiaaigdaaKqbagqaaiaaykW7cqaHXoqydaWg aaqaaKqzadGaaGOmaaqcfayabaGaaGPaVlabeI7aXnaaBaaabaqcLb macaaIXaaajuaGbeaacqaH4oqCdaWgaaqaaKqzadGaaGOmaaqcfaya baWaaWbaaeqabaqcLbmacaaI1aaaaKqbakabgUcaRiaaikdadaqada qaaiaaiodacqaHXoqydaWgaaqaaKqzadGaaGymaaqcfayabaGaaGPa Vlabeg7aHnaaBaaabaqcLbmacaaIYaaajuaGbeaacaaMc8UaeqiUde 3aaSbaaeaajugWaiaaigdaaKqbagqaamaaCaaabeqaaKqzadGaaGOm aaaajuaGcqGHRaWkcaaIZaGaeqySde2aaSbaaeaajugWaiaaigdaaK qbagqaaiabgUcaRiabeg7aHnaaBaaabaqcLbmacaaIYaaajuaGbeaa aiaawIcacaGLPaaacqaH4oqCdaWgaaqaaKqzadGaaGOmaaqcfayaba WaaWbaaeqabaqcLbmacaaI0aaaaKqbakabgUcaRiaaikdadaqadaqa aiaaikdacqaHXoqydaWgaaqaaKqzadGaaGymaaqcfayabaGaaGPaVl abeg7aHnaaBaaabaqcLbmacaaIYaaajuaGbeaacaaMc8UaeqiUde3a aSbaaeaajugWaiaaigdaaKqbagqaamaaCaaabeqaaKqzadGaaGOmaa aajuaGcqGHRaWkcaaI5aGaeqySde2aaSbaaeaajugWaiaaigdaaKqb agqaaiabgUcaRiaaikdacqaHXoqydaWgaaqaaKqzadGaaGOmaaqcfa yabaaacaGLOaGaayzkaaGaeqiUde3aaSbaaeaajugWaiaaigdaaKqb agqaaiaaykW7cqaH4oqCdaWgaaqaaKqzadGaaGOmaaqcfayabaWaaW baaeqabaqcLbmacaaIZaaaaaqcfayaaiabgUcaRmaabmaabaGaeqyS de2aaSbaaeaajugWaiaaigdaaKqbagqaaiaaykW7cqaHXoqydaWgaa qaaKqzadGaaGOmaaqcfayabaGaaGPaVlabeI7aXnaaBaaabaqcLbma caaIXaaajuaGbeaadaahaaqabeaajugWaiaaisdaaaqcfaOaey4kaS IaaGOmaiaaicdacqaHXoqydaWgaaqaaKqzadGaaGymaaqcfayabaGa eqiUde3aaSbaaeaajugWaiaaigdaaKqbagqaamaaCaaabeqaaKqzad GaaGOmaaaajuaGcqGHRaWkcaaIYaGaeqySde2aaSbaaeaajugWaiaa ikdaaKqbagqaaiabeI7aXnaaBaaabaqcLbmacaaIXaaajuaGbeaada ahaaqabeaajugWaiaaikdaaaqcfaOaey4kaSIaaGinaiaaicdaaiaa wIcacaGLPaaacqaH4oqCdaWgaaqaaKqzadGaaGOmaaqcfayabaWaaW baaeqabaqcLbmacaaIYaaaaKqbakabgUcaRiaaigdacaaIWaWaaeWa aeaacqaHXoqydaWgaaqaaKqzadGaaGymaaqcfayabaGaeqiUde3aaS baaeaajugWaiaaigdaaKqbagqaamaaCaaabeqaaKqzadGaaGOmaaaa juaGcqGHRaWkcaaIYaaacaGLOaGaayzkaaGaey4kaSIaaGOmamaabm aabaGaeqySde2aaSbaaeaajugWaiaaigdaaKqbagqaaiabeI7aXnaa BaaabaqcLbmacaaIXaaajuaGbeaadaahaaqabeaajugWaiaaikdaaa qcfaOaey4kaSIaaGOmaaGaayjkaiaawMcaaiabeI7aXnaaBaaabaqc LbmacaaIXaaajuaGbeaadaahaaqabeaajugWaiaaikdaaaaaaKqbak aawUfacaGLDbaaaeaadaqadaqaaiabeg7aHnaaBaaabaqcLbmacaaI XaaajuaGbeaacqaH4oqCdaWgaaqaaKqzadGaaGymaaqcfayabaWaaW baaeqabaqcLbmacaaIYaaaaKqbakabgUcaRiaaikdaaiaawIcacaGL Paaadaqadaqaaiabeg7aHnaaBaaabaqcLbmacaaIYaaajuaGbeaacq aH4oqCdaWgaaqaaKqzadGaaGOmaaqcfayabaWaaWbaaeqabaqcLbma caaIYaaaaKqbakabgUcaRiaaikdaaiaawIcacaGLPaaadaqadaqaai abeI7aXnaaBaaabaqcLbmacaaIXaaajuaGbeaacqGHRaWkcqaH4oqC daWgaaqaaKqzadGaaGOmaaqcfayabaaacaGLOaGaayzkaaWaaWbaae qabaqcLbmacaaI1aaaaaaaaaa@5175@ .

It can be easily verified that at α 1 = α 2 =1 MathType@MTEF@5@5@+= feaagKart1ev2aaatCvAUfeBSjuyZL2yd9gzLbvyNv2CaerbuLwBLn hiov2DGi1BTfMBaeXatLxBI9gBaerbd9wDYLwzYbItLDharqqtubsr 4rNCHbGeaGqiVu0Je9sqqrpepC0xbbL8F4rqqrFfpeea0xe9Lq=Jc9 vqaqpepm0xbba9pwe9Q8fs0=yqaqpepae9pg0FirpepeKkFr0xfr=x fr=xb9adbaqaaeGaciGaaiaabeqaamaabaabaaGcbaqcfaOaeqySde 2cdaWgaaqcfayaaKqzadGaaGymaaqcfayabaGaeyypa0JaeqySde2a aSbaaeaajugWaiaaikdaaKqbagqaaiabg2da9iaaigdaaaa@4253@ , the above expression reduces to the corresponding expression for Akash distribution of Shanker.1

Estimation of parameters

Estimates from moments

Since the TPAD has two parameters to be estimated, the first two moments about origin are required to estimate its parameters. Using the first two moments about origin of TPAD, we have

μ 2 ( μ 1 ) 2 =k(Say)= 2( α θ 2 +12 )( α θ 2 +2 ) ( α θ 2 +6 ) 2 MathType@MTEF@5@5@+= feaagKart1ev2aaatCvAUfeBSjuyZL2yd9gzLbvyNv2CaerbuLwBLn hiov2DGi1BTfMBaeXatLxBI9gBaerbd9wDYLwzYbItLDharqqtubsr 4rNCHbGeaGqiVu0Je9sqqrpepC0xbbL8F4rqqrFfpeea0xe9Lq=Jc9 vqaqpepm0xbba9pwe9Q8fs0=yqaqpepae9pg0FirpepeKkFr0xfr=x fr=xb9adbaqaaeGaciGaaiaabeqaamaabaabaaGcbaqcfa4aaSaaae aacqaH8oqBlmaaBaaajuaGbaqcLbmacaaIYaaajuaGbeaalmaaCaaa juaGbeqaaKqzadGamai4gkdiIcaaaKqbagaadaqadaqaaiabeY7aTT WaaSbaaKqbagaajugWaiaaigdaaKqbagqaaSWaaWbaaKqbagqabaqc LbmacWaGGBOmGikaaaqcfaOaayjkaiaawMcaaSWaaWbaaKqbagqaba qcLbmacaaIYaaaaaaajuaGcqGH9aqpcaWGRbGaaGPaVlaaykW7caGG OaGaae4uaiaabggacaqG5bGaaiykaiabg2da9maalaaabaGaaGOmam aabmaabaGaeqySdeMaaGPaVlabeI7aXnaaCaaabeqaaKqzadGaaGOm aaaajuaGcqGHRaWkcaaIXaGaaGOmaaGaayjkaiaawMcaamaabmaaba GaeqySdeMaaGPaVlabeI7aXTWaaWbaaKqbagqabaqcLbmacaaIYaaa aKqbakabgUcaRiaaikdaaiaawIcacaGLPaaaaeaadaqadaqaaiabeg 7aHjaaykW7cqaH4oqClmaaCaaajuaGbeqaaKqzadGaaGOmaaaajuaG cqGHRaWkcaaI2aaacaGLOaGaayzkaaWcdaahaaqcfayabeaajugWai aaikdaaaaaaaaa@7F43@  (5.1.1)

Assuming α θ 2 =β MathType@MTEF@5@5@+= feaagKart1ev2aaatCvAUfeBSjuyZL2yd9gzLbvyNv2CaerbuLwBLn hiov2DGi1BTfMBaeXatLxBI9gBaerbd9wDYLwzYbItLDharqqtubsr 4rNCHbGeaGqiVu0Je9sqqrpepC0xbbL8F4rqqrFfpeea0xe9Lq=Jc9 vqaqpepm0xbba9pwe9Q8fs0=yqaqpepae9pg0FirpepeKkFr0xfr=x fr=xb9adbaqaaeGaciGaaiaabeqaamaabaabaaGcbaqcfaOaeqySde MaaGPaVlabeI7aXnaaCaaabeqaaKqzadGaaGOmaaaajuaGcqGH9aqp cqaHYoGyaaa@40A5@  in (5.2.1), we get a quadratic equation in β MathType@MTEF@5@5@+= feaagKart1ev2aaatCvAUfeBSjuyZL2yd9gzLbvyNv2CaerbuLwBLn hiov2DGi1BTfMBaeXatLxBI9gBaerbd9wDYLwzYbItLDharqqtubsr 4rNCHbGeaGqiVu0Je9sqqrpepC0xbbL8F4rqqrFfpeea0xe9Lq=Jc9 vqaqpepm0xbba9pwe9Q8fs0=yqaqpepae9pg0FirpepeKkFr0xfr=x fr=xb9adbaqaaeGaciGaaiaabeqaamaabaabaaGcbaqcfaOaeqOSdi gaaa@3825@ as
( 2k ) β 2 +4( 73k )β+12( 43k )=0 MathType@MTEF@5@5@+= feaagKart1ev2aaatCvAUfeBSjuyZL2yd9gzLbvyNv2CaerbuLwBLn hiov2DGi1BTfMBaeXatLxBI9gBaerbd9wDYLwzYbItLDharqqtubsr 4rNCHbGeaGqiVu0Je9sqqrpepC0xbbL8F4rqqrFfpeea0xe9Lq=Jc9 vqaqpepm0xbba9pwe9Q8fs0=yqaqpepae9pg0FirpepeKkFr0xfr=x fr=xb9adbaqaaeGaciGaaiaabeqaamaabaabaaGcbaqcfa4aaeWaae aacaaIYaGaeyOeI0Iaam4AaaGaayjkaiaawMcaaiaaykW7cqaHYoGy daahaaqabeaajugWaiaaikdaaaqcfaOaey4kaSIaaGinamaabmaaba GaaG4naiabgkHiTiaaiodacaWGRbaacaGLOaGaayzkaaGaeqOSdiMa ey4kaSIaaGymaiaaikdadaqadaqaaiaaisdacqGHsislcaaIZaGaam 4AaaGaayjkaiaawMcaaiabg2da9iaaicdaaaa@518B@  (5.1.2)

It should be noted that for real values of b MathType@MTEF@5@5@+= feaagKart1ev2aaatCvAUfeBSjuyZL2yd9gzLbvyNv2CaerbuLwBLn hiov2DGi1BTfMBaeXatLxBI9gBaerbd9wDYLwzYbItLDharqqtubsr 4rNCHbGeaGqiVu0Je9sqqrpepC0xbbL8F4rqqrFfpeea0xe9Lq=Jc9 vqaqpepm0xbba9pwe9Q8fs0=yqaqpepae9pg0FirpepeKkFr0xfr=x fr=xb9adbaqaaeGaciGaaiaabeqaamaabaabaaGcbaqcfaOaamOyaa aa@376B@ , k2.083 MathType@MTEF@5@5@+= feaagKart1ev2aaatCvAUfeBSjuyZL2yd9gzLbvyNv2CaerbuLwBLn hiov2DGi1BTfMBaeXatLxBI9gBaerbd9wDYLwzYbItLDharqqtubsr 4rNCHbGeaGqiVu0Je9sqqrpepC0xbbL8F4rqqrFfpeea0xe9Lq=Jc9 vqaqpepm0xbba9pwe9Q8fs0=yqaqpepae9pg0FirpepeKkFr0xfr=x fr=xb9adbaqaaeGaciGaaiaabeqaamaabaabaaGcbaqcfaOaam4Aai abgsMiJkaaikdacaGGUaGaaGimaiaaiIdacaaIZaaaaa@3CD0@ . Replacing μ 1 MathType@MTEF@5@5@+= feaagKart1ev2aaatCvAUfeBSjuyZL2yd9gzLbvyNv2CaerbuLwBLn hiov2DGi1BTfMBaeXatLxBI9gBaerbd9wDYLwzYbItLDharqqtubsr 4rNCHbGeaGqiVu0Je9sqqrpepC0xbbL8F4rqqrFfpeea0xe9Lq=Jc9 vqaqpepm0xbba9pwe9Q8fs0=yqaqpepae9pg0FirpepeKkFr0xfr=x fr=xb9adbaqaaeGaciGaaiaabeqaamaabaabaaGcbaqcfaOaeqiVd0 2cdaWgaaqcfayaaKqzadGaaGymaaqcfayabaWcdaahaaqcfayabeaa jugWaiadacUHYaIOaaaaaa@403C@ and μ 2 MathType@MTEF@5@5@+= feaagKart1ev2aaatCvAUfeBSjuyZL2yd9gzLbvyNv2CaerbuLwBLn hiov2DGi1BTfMBaeXatLxBI9gBaerbd9wDYLwzYbItLDharqqtubsr 4rNCHbGeaGqiVu0Je9sqqrpepC0xbbL8F4rqqrFfpeea0xe9Lq=Jc9 vqaqpepm0xbba9pwe9Q8fs0=yqaqpepae9pg0FirpepeKkFr0xfr=x fr=xb9adbaqaaeGaciGaaiaabeqaamaabaabaaGcbaqcfaOaeqiVd0 2cdaWgaaqcfayaaKqzadGaaGOmaaqcfayabaWcdaahaaqcfayabeaa jugWaiadacUHYaIOaaaaaa@403D@  by their respective sample moments in (5.1.1), an estimate of k MathType@MTEF@5@5@+= feaagKart1ev2aaatCvAUfeBSjuyZL2yd9gzLbvyNv2CaerbuLwBLn hiov2DGi1BTfMBaeXatLxBI9gBaerbd9wDYLwzYbItLDharqqtubsr 4rNCHbGeaGqiVu0Je9sqqrpepC0xbbL8F4rqqrFfpeea0xe9Lq=Jc9 vqaqpepm0xbba9pwe9Q8fs0=yqaqpepae9pg0FirpepeKkFr0xfr=x fr=xb9adbaqaaeGaciGaaiaabeqaamaabaabaaGcbaqcfaOaam4Aaa aa@3774@ can be obtained and substituting the value of k MathType@MTEF@5@5@+= feaagKart1ev2aaatCvAUfeBSjuyZL2yd9gzLbvyNv2CaerbuLwBLn hiov2DGi1BTfMBaeXatLxBI9gBaerbd9wDYLwzYbItLDharqqtubsr 4rNCHbGeaGqiVu0Je9sqqrpepC0xbbL8F4rqqrFfpeea0xe9Lq=Jc9 vqaqpepm0xbba9pwe9Q8fs0=yqaqpepae9pg0FirpepeKkFr0xfr=x fr=xb9adbaqaaeGaciGaaiaabeqaamaabaabaaGcbaqcfaOaam4Aaa aa@3774@ in equation (5.1.2), value of β MathType@MTEF@5@5@+= feaagKart1ev2aaatCvAUfeBSjuyZL2yd9gzLbvyNv2CaerbuLwBLn hiov2DGi1BTfMBaeXatLxBI9gBaerbd9wDYLwzYbItLDharqqtubsr 4rNCHbGeaGqiVu0Je9sqqrpepC0xbbL8F4rqqrFfpeea0xe9Lq=Jc9 vqaqpepm0xbba9pwe9Q8fs0=yqaqpepae9pg0FirpepeKkFr0xfr=x fr=xb9adbaqaaeGaciGaaiaabeqaamaabaabaaGcbaqcfaOaeqOSdi gaaa@3825@  can be obtained. Again taking α θ 2 =β MathType@MTEF@5@5@+= feaagKart1ev2aaatCvAUfeBSjuyZL2yd9gzLbvyNv2CaerbuLwBLn hiov2DGi1BTfMBaeXatLxBI9gBaerbd9wDYLwzYbItLDharqqtubsr 4rNCHbGeaGqiVu0Je9sqqrpepC0xbbL8F4rqqrFfpeea0xe9Lq=Jc9 vqaqpepm0xbba9pwe9Q8fs0=yqaqpepae9pg0FirpepeKkFr0xfr=x fr=xb9adbaqaaeGaciGaaiaabeqaamaabaabaaGcbaqcfaOaeqySde MaaGPaVlabeI7aXnaaCaaabeqaaKqzadGaaGOmaaaajuaGcqGH9aqp cqaHYoGyaaa@40A5@ in the expression for the mean of TPAD, we get the method of moment estimate (MOME) θ ˜ MathType@MTEF@5@5@+= feaagKart1ev2aaatCvAUfeBSjuyZL2yd9gzLbvyNv2CaerbuLwBLn hiov2DGi1BTfMBaeXatLxBI9gBaerbd9wDYLwzYbItLDharqqtubsr 4rNCHbGeaGqiVu0Je9sqqrpepC0xbbL8F4rqqrFfpeea0xe9Lq=Jc9 vqaqpepm0xbba9pwe9Q8fs0=yqaqpepae9pg0FirpepeKkFr0xfr=x fr=xb9adbaqaaeGaciGaaiaabeqaamaabaabaaGcbaqcfaOafqiUde NbaGaaaaa@3849@ of θ MathType@MTEF@5@5@+= feaagKart1ev2aaatCvAUfeBSjuyZL2yd9gzLbvyNv2CaerbuLwBLn hiov2DGi1BTfMBaeXatLxBI9gBaerbd9wDYLwzYbItLDharqqtubsr 4rNCHbGeaGqiVu0Je9sqqrpepC0xbbL8F4rqqrFfpeea0xe9Lq=Jc9 vqaqpepm0xbba9pwe9Q8fs0=yqaqpepae9pg0FirpepeKkFr0xfr=x fr=xb9adbaqaaeGaciGaaiaabeqaamaabaabaaGcbaqcfaOaeqiUde haaa@383A@ as θ ˜ = β+6 ( β+2 ) x ¯ MathType@MTEF@5@5@+= feaagKart1ev2aaatCvAUfeBSjuyZL2yd9gzLbvyNv2CaerbuLwBLn hiov2DGi1BTfMBaeXatLxBI9gBaerbd9wDYLwzYbItLDharqqtubsr 4rNCHbGeaGqiVu0Je9sqqrpepC0xbbL8F4rqqrFfpeea0xe9Lq=Jc9 vqaqpepm0xbba9pwe9Q8fs0=yqaqpepae9pg0FirpepeKkFr0xfr=x fr=xb9adbaqaaeGaciGaaiaabeqaamaabaabaaGcbaqcfaOafqiUde NbaGaacqGH9aqpdaWcaaqaaiabek7aIjabgUcaRiaaiAdaaeaadaqa daqaaiabek7aIjabgUcaRiaaikdaaiaawIcacaGLPaaaceWG4bGbae baaaaaaa@427F@  and thus the MOME α ˜ = β θ 2 = β ( β+2 ) 2 ( x ¯ ) 2 ( β+6 ) 2 MathType@MTEF@5@5@+= feaagKart1ev2aaatCvAUfeBSjuyZL2yd9gzLbvyNv2CaerbuLwBLn hiov2DGi1BTfMBaeXatLxBI9gBaerbd9wDYLwzYbItLDharqqtubsr 4rNCHbGeaGqiVu0Je9sqqrpepC0xbbL8F4rqqrFfpeea0xe9Lq=Jc9 vqaqpepm0xbba9pwe9Q8fs0=yqaqpepae9pg0FirpepeKkFr0xfr=x fr=xb9adbaqaaeGaciGaaiaabeqaamaabaabaaGcbaqcfaOafqySde MbaGaacqGH9aqpdaWcaaqaaiabek7aIbqaaiabeI7aXnaaCaaabeqa aKqzadGaaGOmaaaaaaqcfaOaeyypa0ZaaSaaaeaacqaHYoGydaqada qaaiabek7aIjabgUcaRiaaikdaaiaawIcacaGLPaaalmaaCaaajuaG beqaaKqzadGaaGOmaaaajuaGdaqadaqaaiqadIhagaqeaaGaayjkai aawMcaaSWaaWbaaKqbagqabaqcLbmacaaIYaaaaaqcfayaamaabmaa baGaeqOSdiMaey4kaSIaaGOnaaGaayjkaiaawMcaamaaCaaabeqaaK qzadGaaGOmaaaaaaaaaa@5694@ .

 Maximum likelihood estimates

Let ( x 1 , x 2 , x 3 ,..., x n ) MathType@MTEF@5@5@+= feaagKart1ev2aaatCvAUfeBSjuyZL2yd9gzLbvyNv2CaerbuLwBLn hiov2DGi1BTfMBaeXatLxBI9gBaerbd9wDYLwzYbItLDharqqtubsr 4rNCHbGeaGqiVu0Je9sqqrpepC0xbbL8F4rqqrFfpeea0xe9Lq=Jc9 vqaqpepm0xbba9pwe9Q8fs0=yqaqpepae9pg0FirpepeKkFr0xfr=x fr=xb9adbaqaaeGaciGaaiaabeqaamaabaabaaGcbaqcfa4aaeWaae aacaWG4bWcdaWgaaqcfayaaKqzadGaaGymaaqcfayabaGaaiilaiaa ykW7caWG4bWaaSbaaeaajugWaiaaikdaaKqbagqaaiaacYcacaaMc8 UaamiEamaaBaaabaqcLbmacaaIZaaajuaGbeaacaGGSaGaaGPaVlaa ykW7caGGUaGaaiOlaiaac6cacaaMc8UaaGPaVlaacYcacaWG4bWaaS baaeaajugWaiaad6gaaKqbagqaaaGaayjkaiaawMcaaaaa@554D@  be a random sample from TPAD .The likelihood function, L MathType@MTEF@5@5@+= feaagKart1ev2aaatCvAUfeBSjuyZL2yd9gzLbvyNv2CaerbuLwBLn hiov2DGi1BTfMBaeXatLxBI9gBaerbd9wDYLwzYbItLDharqqtubsr 4rNCHbGeaGqiVu0Je9sqqrpepC0xbbL8F4rqqrFfpeea0xe9Lq=Jc9 vqaqpepm0xbba9pwe9Q8fs0=yqaqpepae9pg0FirpepeKkFr0xfr=x fr=xb9adbaqaaeGaciGaaiaabeqaamaabaabaaGcbaqcfaOaamitaa aa@3755@ of TPAD is given by
L= ( θ 3 α θ 2 +2 ) n i=1 n ( α+ x i 2 ) e nθ x ¯ MathType@MTEF@5@5@+= feaagKart1ev2aaatCvAUfeBSjuyZL2yd9gzLbvyNv2CaerbuLwBLn hiov2DGi1BTfMBaeXatLxBI9gBaerbd9wDYLwzYbItLDharqqtubsr 4rNCHbGeaGqiVu0Je9sqqrpepC0xbbL8F4rqqrFfpeea0xe9Lq=Jc9 vqaqpepm0xbba9pwe9Q8fs0=yqaqpepae9pg0FirpepeKkFr0xfr=x fr=xb9adbaqaaeGaciGaaiaabeqaamaabaabaaGcbaqcfaOaamitai abg2da9maabmaabaWaaSaaaeaacqaH4oqClmaaCaaajuaGbeqaaKqz adGaaG4maaaaaKqbagaacqaHXoqycaaMc8UaeqiUde3aaWbaaeqaba qcLbmacaaIYaaaaKqbakabgUcaRiaaikdaaaaacaGLOaGaayzkaaWa aWbaaeqabaqcLbmacaWGUbaaaKqbaoaarahabaWaaeWaaeaacqaHXo qycqGHRaWkcaWG4bWcdaWgaaqcfayaaKqzadGaamyAaaqcfayabaWc daahaaqcfayabeaajugWaiaaikdaaaaajuaGcaGLOaGaayzkaaaaba qcLbmacaWGPbGaeyypa0JaaGymaaqcfayaaKqzadGaamOBaaqcfaOa ey4dIunacaaMc8UaamyzamaaCaaabeqaaKqzadGaeyOeI0IaamOBai aaykW7cqaH4oqCcaaMc8UabmiEayaaraaaaaaa@6B1E@

The natural log likelihood function is thus obtained as
lnL=nln( θ 3 α θ 2 +2 )+ i=1 n ln( α+ x i 2 ) nθ x ¯ MathType@MTEF@5@5@+= feaagKart1ev2aaatCvAUfeBSjuyZL2yd9gzLbvyNv2CaerbuLwBLn hiov2DGi1BTfMBaeXatLxBI9gBaerbd9wDYLwzYbItLDharqqtubsr 4rNCHbGeaGqiVu0Je9sqqrpepC0xbbL8F4rqqrFfpeea0xe9Lq=Jc9 vqaqpepm0xbba9pwe9Q8fs0=yqaqpepae9pg0FirpepeKkFr0xfr=x fr=xb9adbaqaaeGaciGaaiaabeqaamaabaabaaGcbaqcfaOaciiBai aac6gacaWGmbGaeyypa0JaamOBaiGacYgacaGGUbWaaeWaaeaadaWc aaqaaiabeI7aXnaaCaaabeqaaKqzadGaaG4maaaaaKqbagaacqaHXo qycaaMc8UaeqiUde3aaWbaaeqabaqcLbmacaaIYaaaaKqbakabgUca RiaaikdaaaaacaGLOaGaayzkaaGaey4kaSYaaabCaeaaciGGSbGaai OBamaabmaabaGaeqySdeMaey4kaSIaamiEaSWaaSbaaKqbagaajugW aiaadMgaaKqbagqaaSWaaWbaaKqbagqabaqcLbmacaaIYaaaaaqcfa OaayjkaiaawMcaaaqaaKqzadGaamyAaiabg2da9iaaigdaaKqbagaa jugWaiaad6gaaKqbakabggHiLdGaeyOeI0IaamOBaiaaykW7cqaH4o qCcaaMc8UabmiEayaaraaaaa@6B81@

The maximum likelihood estimates (MLE) θ ^ MathType@MTEF@5@5@+= feaagKart1ev2aaatCvAUfeBSjuyZL2yd9gzLbvyNv2CaerbuLwBLn hiov2DGi1BTfMBaeXatLxBI9gBaerbd9wDYLwzYbItLDharqqtubsr 4rNCHbGeaGqiVu0Je9sqqrpepC0xbbL8F4rqqrFfpeea0xe9Lq=Jc9 vqaqpepm0xbba9pwe9Q8fs0=yqaqpepae9pg0FirpepeKkFr0xfr=x fr=xb9adbaqaaeGaciGaaiaabeqaamaabaabaaGcbaqcfaOafqiUde NbaKaaaaa@384A@  and α ^ MathType@MTEF@5@5@+= feaagKart1ev2aaatCvAUfeBSjuyZL2yd9gzLbvyNv2CaerbuLwBLn hiov2DGi1BTfMBaeXatLxBI9gBaerbd9wDYLwzYbItLDharqqtubsr 4rNCHbGeaGqiVu0Je9sqqrpepC0xbbL8F4rqqrFfpeea0xe9Lq=Jc9 vqaqpepm0xbba9pwe9Q8fs0=yqaqpepae9pg0FirpepeKkFr0xfr=x fr=xb9adbaqaaeGaciGaaiaabeqaamaabaabaaGcbaqcfaOafqySde MbaKaaaaa@3833@  of θ MathType@MTEF@5@5@+= feaagKart1ev2aaatCvAUfeBSjuyZL2yd9gzLbvyNv2CaerbuLwBLn hiov2DGi1BTfMBaeXatLxBI9gBaerbd9wDYLwzYbItLDharqqtubsr 4rNCHbGeaGqiVu0Je9sqqrpepC0xbbL8F4rqqrFfpeea0xe9Lq=Jc9 vqaqpepm0xbba9pwe9Q8fs0=yqaqpepae9pg0FirpepeKkFr0xfr=x fr=xb9adbaqaaeGaciGaaiaabeqaamaabaabaaGcbaqcfaOaeqiUde haaa@383A@  and α MathType@MTEF@5@5@+= feaagKart1ev2aaatCvAUfeBSjuyZL2yd9gzLbvyNv2CaerbuLwBLn hiov2DGi1BTfMBaeXatLxBI9gBaerbd9wDYLwzYbItLDharqqtubsr 4rNCHbGeaGqiVu0Je9sqqrpepC0xbbL8F4rqqrFfpeea0xe9Lq=Jc9 vqaqpepm0xbba9pwe9Q8fs0=yqaqpepae9pg0FirpepeKkFr0xfr=x fr=xb9adbaqaaeGaciGaaiaabeqaamaabaabaaGcbaqcfaOaeqySde gaaa@3823@  are then the solutions of the following non-linear equations
dlnL dθ = 3n θ 2nαθ α θ 2 +2 n x ¯ =0 MathType@MTEF@5@5@+= feaagKart1ev2aaatCvAUfeBSjuyZL2yd9gzLbvyNv2CaerbuLwBLn hiov2DGi1BTfMBaeXatLxBI9gBaerbd9wDYLwzYbItLDharqqtubsr 4rNCHbGeaGqiVu0Je9sqqrpepC0xbbL8F4rqqrFfpeea0xe9Lq=Jc9 vqaqpepm0xbba9pwe9Q8fs0=yqaqpepae9pg0FirpepeKkFr0xfr=x fr=xb9adbaqaaeGaciGaaiaabeqaamaabaabaaGcbaqcfa4aaSaaae aacaWGKbGaciiBaiaac6gacaWGmbaabaGaamizaiabeI7aXbaacqGH 9aqpdaWcaaqaaiaaiodacaWGUbaabaGaeqiUdehaaiabgkHiTmaala aabaGaaGOmaiaad6gacaaMc8UaeqySdeMaaGPaVlabeI7aXbqaaiab eg7aHjaaykW7cqaH4oqCdaahaaqabeaajugWaiaaikdaaaqcfaOaey 4kaSIaaGOmaaaacqGHsislcaWGUbGaaGPaVlqadIhagaqeaiabg2da 9iaaicdaaaa@59BC@  

dlnL dα = 2 θ 2 α θ 2 +2 + i=1 n 1 α+ x i 2 =0 MathType@MTEF@5@5@+= feaagKart1ev2aaatCvAUfeBSjuyZL2yd9gzLbvyNv2CaerbuLwBLn hiov2DGi1BTfMBaeXatLxBI9gBaerbd9wDYLwzYbItLDharqqtubsr 4rNCHbGeaGqiVu0Je9sqqrpepC0xbbL8F4rqqrFfpeea0xe9Lq=Jc9 vqaqpepm0xbba9pwe9Q8fs0=yqaqpepae9pg0FirpepeKkFr0xfr=x fr=xb9adbaqaaeGaciGaaiaabeqaamaabaabaaGcbaqcfa4aaSaaae aacaWGKbGaciiBaiaac6gacaWGmbaabaGaamizaiabeg7aHbaacqGH 9aqpdaWcaaqaaiabgkHiTiaaikdacqaH4oqCdaahaaqabeaajugWai aaikdaaaaajuaGbaGaeqySdeMaaGPaVlabeI7aXnaaCaaabeqaaKqz adGaaGOmaaaajuaGcqGHRaWkcaaIYaaaaiabgUcaRmaaqahabaWaaS aaaeaacaaIXaaabaGaeqySdeMaey4kaSIaamiEaSWaaSbaaKqbagaa jugWaiaadMgaaKqbagqaamaaCaaabeqaaKqzadGaaGOmaaaaaaaaju aGbaqcLbmacaWGPbGaeyypa0JaaGymaaqcfayaaKqzadGaamOBaaqc faOaeyyeIuoacqGH9aqpcaaIWaaaaa@630E@

where x ¯ MathType@MTEF@5@5@+= feaagKart1ev2aaatCvAUfeBSjuyZL2yd9gzLbvyNv2CaerbuLwBLn hiov2DGi1BTfMBaeXatLxBI9gBaerbd9wDYLwzYbItLDharqqtubsr 4rNCHbGeaGqiVu0Je9sqqrpepC0xbbL8F4rqqrFfpeea0xe9Lq=Jc9 vqaqpepm0xbba9pwe9Q8fs0=yqaqpepae9pg0FirpepeKkFr0xfr=x fr=xb9adbaqaaeGaciGaaiaabeqaamaabaabaaGcbaqcfaOabmiEay aaraaaaa@3799@ is the sample mean.

These two natural log likelihood equations do not seem to be solved directly because these cannot be expressed in closed forms. However, the Fisher’s scoring method can be applied to solve these equations. We have

2 lnL θ 2 = 3n θ 2 + 2nα( α θ 2 2 ) ( α θ 2 +2 ) 2 2 lnL α 2 = n θ 4 ( α θ 2 +2 ) 2 i=1 n 1 ( α+ x i 2 ) 2 2 lnL θα = 4nθ ( α θ 2 +2 ) 2 The following equations can be solved for MLEs  θ ^  and  α ^   ofθ and  of TPAD                          [ 2 lnL θ 2 2 lnL θα 2 lnL θα 2 lnL α 2 ] θ ^ = θ 0 α ^ = α 0 [ θ ^ θ 0 α ^ α 0 ]= [ lnL θ lnL α ] θ ^ = θ 0 α ^ = α 0 MathType@MTEF@5@5@+= feaagKart1ev2aaatCvAUfeBSjuyZL2yd9gzLbvyNv2CaerbuLwBLn hiov2DGi1BTfMBaeXatLxBI9gBaerbd9wDYLwzYbItLDharqqtubsr 4rNCHbGeaGqiVu0Je9sqqrpepC0xbbL8F4rqqrFfpeea0xe9Lq=Jc9 vqaqpepm0xbba9pwe9Q8fs0=yqaqpepae9pg0FirpepeKkFr0xfr=x fr=xb9adbaqaaeGaciGaaiaabeqaamaabaabaaGceaqabeaajuaGda WcaaqaaiabgkGi2oaaCaaabeqaaKqzadGaaGOmaaaajuaGciGGSbGa aiOBaiaadYeaaeaacqGHciITcqaH4oqCdaahaaqabeaajugWaiaaik daaaaaaKqbakabg2da9iabgkHiTmaalaaabaGaaG4maiaad6gaaeaa cqaH4oqCdaahaaqabeaajugWaiaaikdaaaaaaKqbakabgUcaRmaala aabaGaaGOmaiaad6gacaaMc8UaeqySde2aaeWaaeaacqaHXoqycaaM c8UaeqiUde3aaWbaaeqabaqcLbmacaaIYaaaaKqbakabgkHiTiaaik daaiaawIcacaGLPaaaaeaadaqadaqaaiabeg7aHjaaykW7cqaH4oqC daahaaqabeaajugWaiaaikdaaaqcfaOaey4kaSIaaGOmaaGaayjkai aawMcaamaaCaaabeqaaKqzadGaaGOmaaaaaaaajuaGbaWaaSaaaeaa cqGHciITdaahaaqabeaajugWaiaaikdaaaqcfaOaciiBaiaac6gaca WGmbaabaGaeyOaIyRaeqySde2aaWbaaeqabaqcLbmacaaIYaaaaaaa juaGcqGH9aqpcqGHsisldaWcaaqaaiaad6gacaaMc8UaeqiUde3cda ahaaqcfayabeaajugWaiaaisdaaaaajuaGbaWaaeWaaeaacqaHXoqy caaMc8UaeqiUde3aaWbaaeqabaqcLbmacaaIYaaaaKqbakabgUcaRi aaikdaaiaawIcacaGLPaaadaahaaqabeaajugWaiaaikdaaaaaaKqb akabgkHiTmaaqahabaWaaSaaaeaacaaIXaaabaWaaeWaaeaacqaHXo qycqGHRaWkcaWG4bWaaSbaaeaacaWGPbaabeaadaahaaqabeaajugW aiaaikdaaaaajuaGcaGLOaGaayzkaaWaaWbaaeqabaqcLbmacaaIYa aaaaaaaKqbagaajugWaiaadMgacqGH9aqpcaaIXaaajuaGbaqcLbma caWGUbaajuaGcqGHris5aaqaamaalaaabaGaeyOaIy7aaWbaaeqaba qcLbmacaaIYaaaaKqbakGacYgacaGGUbGaamitaaqaaiabgkGi2kab eI7aXjaaykW7cqGHciITcqaHXoqyaaGaeyypa0ZaaSaaaeaacaaI0a GaamOBaiaaykW7cqaH4oqCaeaadaqadaqaaiabeg7aHjaaykW7cqaH 4oqCdaahaaqabeaajugWaiaaikdaaaqcfaOaey4kaSIaaGOmaaGaay jkaiaawMcaamaaCaaabeqaaKqzadGaaGOmaaaaaaaajuaGbaaeaaaa aaaaa8qacaWGubGaamiAaiaadwgacaqGGaGaamOzaiaad+gacaWGSb GaamiBaiaad+gacaWG3bGaamyAaiaad6gacaWGNbGaaeiiaiaadwga caWGXbGaamyDaiaadggacaWG0bGaamyAaiaad+gacaWGUbGaam4Cai aabccacaWGJbGaamyyaiaad6gacaqGGaGaamOyaiaadwgacaqGGaGa am4Caiaad+gacaWGSbGaamODaiaadwgacaWGKbGaaeiiaiaadAgaca WGVbGaamOCaiaabccacaWGnbGaamitaiaadweacaWGZbGaaiiOa8aa cuaH4oqCgaqca8qacaGGGcGaamyyaiaad6gacaWGKbGaaiiOa8aacu aHXoqygaqca8qacaGGGcGaaiiOaiaad+gacaWGMbWdaiabeI7aX9qa caGGGcGaamyyaiaad6gacaWGKbGaaiiOaiaacckacaWGVbGaamOzai aacckacaWGubGaamiuaiaadgeacaWGebGaaiiOaiaacckacaGGGcGa aiiOaiaacckacaGGGcGaaiiOaiaacckacaGGGcGaaiiOaiaacckaca GGGcGaaiiOaiaacckacaGGGcGaaiiOaiaacckacaGGGcGaaiiOaiaa cckacaGGGcGaaiiOaiaacckacaGGGcGaaiiOaaGcbaqcfa4damaadm aabaqbaeqabiGaaaqaamaalaaabaGaeyOaIy7aaWbaaeqabaqcLbma caaIYaaaaKqbakGacYgacaGGUbGaamitaaqaaiabgkGi2kabeI7aXn aaCaaabeqaaKqzadGaaGOmaaaaaaaajuaGbaWaaSaaaeaacqGHciIT daahaaqabeaajugWaiaaikdaaaqcfaOaciiBaiaac6gacaWGmbaaba GaeyOaIyRaeqiUdeNaaGPaVlabgkGi2kabeg7aHbaaaeaadaWcaaqa aiabgkGi2oaaCaaabeqaaKqzadGaaGOmaaaajuaGciGGSbGaaiOBai aadYeaaeaacqGHciITcqaH4oqCcaaMc8UaeyOaIyRaeqySdegaaaqa amaalaaabaGaeyOaIy7aaWbaaeqabaqcLbmacaaIYaaaaKqbakGacY gacaGGUbGaamitaaqaaiabgkGi2kabeg7aHnaaCaaabeqaaKqzadGa aGOmaaaaaaaaaaqcfaOaay5waiaaw2faamaaBaaaeaqabeaacuaH4o qCgaqcaiabg2da9iabeI7aXnaaBaaabaqcLbmacaaIWaaajuaGbeaa aeaacuaHXoqygaqcaiabg2da9iabeg7aHTWaaSbaaKqbagaajugWai aaicdaaKqbagqaaaaabeaadaWadaqaauaabeqaceaaaeaacuaH4oqC gaqcaiabgkHiTiabeI7aXnaaBaaabaqcLbmacaaIWaaajuaGbeaaae aacuaHXoqygaqcaiabgkHiTiabeg7aHnaaBaaabaqcLbmacaaIWaaa juaGbeaaaaaacaGLBbGaayzxaaGaeyypa0ZaamWaaeaafaqabeGaba aabaWaaSaaaeaacqGHciITciGGSbGaaiOBaiaadYeaaeaacqGHciIT cqaH4oqCaaaabaWaaSaaaeaacqGHciITciGGSbGaaiOBaiaadYeaae aacqGHciITcqaHXoqyaaaaaaGaay5waiaaw2faamaaBaaabaqbaeqa biqaaaqaaiqbeI7aXzaajaGaeyypa0JaeqiUde3aaSbaaeaajugWai aaicdaaKqbagqaaaqaaiqbeg7aHzaajaGaeyypa0JaeqySde2aaSba aeaajugWaiaaicdaaKqbagqaaaaaaeqaaaaaaa@9C01@  

where θ 0 MathType@MTEF@5@5@+= feaagKart1ev2aaatCvAUfeBSjuyZL2yd9gzLbvyNv2CaerbuLwBLn hiov2DGi1BTfMBaeXatLxBI9gBaerbd9wDYLwzYbItLDharqqtubsr 4rNCHbGeaGqiVu0Je9sqqrpepC0xbbL8F4rqqrFfpeea0xe9Lq=Jc9 vqaqpepm0xbba9pwe9Q8fs0=yqaqpepae9pg0FirpepeKkFr0xfr=x fr=xb9adbaqaaeGaciGaaiaabeqaamaabaabaaGcbaqcfaOaeqiUde 3cdaWgaaqaaKqzadGaaGimaaWcbeaaaaa@3A59@ and α 0 MathType@MTEF@5@5@+= feaagKart1ev2aaatCvAUfeBSjuyZL2yd9gzLbvyNv2CaerbuLwBLn hiov2DGi1BTfMBaeXatLxBI9gBaerbd9wDYLwzYbItLDharqqtubsr 4rNCHbGeaGqiVu0Je9sqqrpepC0xbbL8F4rqqrFfpeea0xe9Lq=Jc9 vqaqpepm0xbba9pwe9Q8fs0=yqaqpepae9pg0FirpepeKkFr0xfr=x fr=xb9adbaqaaeGaciGaaiaabeqaamaabaabaaGcbaqcfaOaeqySde 2aaSbaaeaajugWaiaaicdaaKqbagqaaaaa@3ABA@ are the initial values of θ ^ MathType@MTEF@5@5@+= feaagKart1ev2aaatCvAUfeBSjuyZL2yd9gzLbvyNv2CaerbuLwBLn hiov2DGi1BTfMBaeXatLxBI9gBaerbd9wDYLwzYbItLDharqqtubsr 4rNCHbGeaGqiVu0Je9sqqrpepC0xbbL8F4rqqrFfpeea0xe9Lq=Jc9 vqaqpepm0xbba9pwe9Q8fs0=yqaqpepae9pg0FirpepeKkFr0xfr=x fr=xb9adbaqaaeGaciGaaiaabeqaamaabaabaaGcbaqcfaOafqiUde NbaKaaaaa@384A@ and α ^ MathType@MTEF@5@5@+= feaagKart1ev2aaatCvAUfeBSjuyZL2yd9gzLbvyNv2CaerbuLwBLn hiov2DGi1BTfMBaeXatLxBI9gBaerbd9wDYLwzYbItLDharqqtubsr 4rNCHbGeaGqiVu0Je9sqqrpepC0xbbL8F4rqqrFfpeea0xe9Lq=Jc9 vqaqpepm0xbba9pwe9Q8fs0=yqaqpepae9pg0FirpepeKkFr0xfr=x fr=xb9adbaqaaeGaciGaaiaabeqaamaabaabaaGcbaqcfaOafqySde MbaKaaaaa@3833@ , respectively. These equations are solved iteratively till sufficiently close values of θ ^ MathType@MTEF@5@5@+= feaagKart1ev2aaatCvAUfeBSjuyZL2yd9gzLbvyNv2CaerbuLwBLn hiov2DGi1BTfMBaeXatLxBI9gBaerbd9wDYLwzYbItLDharqqtubsr 4rNCHbGeaGqiVu0Je9sqqrpepC0xbbL8F4rqqrFfpeea0xe9Lq=Jc9 vqaqpepm0xbba9pwe9Q8fs0=yqaqpepae9pg0FirpepeKkFr0xfr=x fr=xb9adbaqaaeGaciGaaiaabeqaamaabaabaaGcbaqcfaOafqiUde NbaKaaaaa@384A@  and α ^ MathType@MTEF@5@5@+= feaagKart1ev2aaatCvAUfeBSjuyZL2yd9gzLbvyNv2CaerbuLwBLn hiov2DGi1BTfMBaeXatLxBI9gBaerbd9wDYLwzYbItLDharqqtubsr 4rNCHbGeaGqiVu0Je9sqqrpepC0xbbL8F4rqqrFfpeea0xe9Lq=Jc9 vqaqpepm0xbba9pwe9Q8fs0=yqaqpepae9pg0FirpepeKkFr0xfr=x fr=xb9adbaqaaeGaciGaaiaabeqaamaabaabaaGcbaqcfaOafqySde MbaKaaaaa@3833@  are obtained. The initial values of the parameters are the values given by MOME.

Data analysis

The following data set represents the failure times (in minutes) for a sample of 15 electronic components in an accelerated life test given on page 204 of Lawless.14

1.4          5.1          6.3          10.8        12.1        18.5        19.7        22.2        23.0        30.6        37.3        46.3     53.9       59.8        66.2

For this data set, TPAD has been fitted along with one parameter exponential and Akash distributions and two-parameter Lognormal distribution introduced by Pearce.15 The ML estimates, values of 2lnL MathType@MTEF@5@5@+= feaagKart1ev2aaatCvAUfeBSjuyZL2yd9gzLbvyNv2CaerbuLwBLn hiov2DGi1BTfMBaeXatLxBI9gBaerbd9wDYLwzYbItLDharqqtubsr 4rNCHbGeaGqiVu0Je9sqqrpepC0xbbL8F4rqqrFfpeea0xe9Lq=Jc9 vqaqpepm0xbba9pwe9Q8fs0=yqaqpepae9pg0FirpepeKkFr0xfr=x fr=xb9adbaqaaeGaciGaaiaabeqaamaabaabaaGcbaqcfaOaeyOeI0 IaaGOmaiGacYgacaGGUbGaamitaaaa@3AE2@ and K-S statistics of the fitted distributions are presented in table 1. Recall that the best distribution corresponds to the lower values of 2lnL MathType@MTEF@5@5@+= feaagKart1ev2aaatCvAUfeBSjuyZL2yd9gzLbvyNv2CaerbuLwBLn hiov2DGi1BTfMBaeXatLxBI9gBaerbd9wDYLwzYbItLDharqqtubsr 4rNCHbGeaGqiVu0Je9sqqrpepC0xbbL8F4rqqrFfpeea0xe9Lq=Jc9 vqaqpepm0xbba9pwe9Q8fs0=yqaqpepae9pg0FirpepeKkFr0xfr=x fr=xb9adbaqaaeGaciGaaiaabeqaamaabaabaaGcbaqcfaOaeyOeI0 IaaGOmaiGacYgacaGGUbGaamitaaaa@3AE2@ and K-S.

Distribution

ML estimates

−2lnL

K-S statistics

TPAD

0.096

37.847

128.91

0.138

Lognormal

2.931

1.061

131.234

0.161

Akash

0.108

133.68

0.184

Exponential

0.036

129.47

0.156

Table 1 MLE’s, -2ln L and K-S Statistics of the fitted distributions

It can be easily seen from above table that the TPAD gives better fit than all the considered distributions and hence it can be considered as an important two-parameter lifetime distribution for modeling lifetime data.

Conclusions

A two-parameter Akash distribution (TPAD), of which one parameter Akash distribution of Shanker1 is a particular case, has been suggested and investigated. Its mathematical properties including moments, coefficient of variation, skewness, kurtosis, index of dispersion, hazard rate function, mean residual life function, stochastic ordering, mean deviations, order statistics, Bonferroni and Lorenz curves, Renyi entropy measure and stress-strength reliability have been discussed. For estimating its parameters, the method of moments and the method of maximum likelihood estimation have been discussed. Finally, a numerical example of real lifetime dataset has been presented to test the goodness of fit of TPAD over exponential, Akash and Lognormal distributions. It is obvious that TPAD gives a better fir over these distributions.

Acknowledgments

None.

Conflicts of interest

None.

References

  1. Shanker R. Akash distribution and Its Applications. International Journal of Probability and Statistics. 2015;4(3):65–75.
  2. Lindley DV. Fiducial distributions and Bayes’ theorem. Journal of the Royal Statistical Society, Series B. 1958;20(1):102–107.
  3. Shanker R. The Discrete Poisson-Akash Distribution. International Journal of Probability and Statistics. 2017;6(1):1–10.
  4. Shanker R. Size-biased Poisson-Akash distribution and its Applications. To appear in, International Journal of Statistics and Applications. 2017.
  5. Shanker R. Zero-truncated Poisson-Akash distribution and its Applications. To appear in, American Journal of Mathematics and Statistics. 2017.
  6. Shanker R. A quasi Akash distribution. Assam Statistical Review. 2016;30(1):135–160.
  7. Shanker R, Shukla KK. Weighted Akash distribution and its Application to model lifetime data. 2016;39(2):1138–1147.
  8. Ghitany ME, Atieh B, Nadarajah S. Lindley distribution and its Application. Mathematics Computing and Simulation. 2008;78(4):493–506.
  9. Shanker R, Hagos F, Sujatha S. On modeling of Lifetimes data using exponential and Lindley distributions. Biometrics & Biostatistics International Journal. 2015;2(5):1–9.
  10. Shanker R, Hagos F, Sujatha S. On modeling of Lifetimes Data using one parameter Akash, Lindley and exponential distributions. Biometrics & Biostatistics international Journal. 2016;3(2):1–10.
  11. Shaked M, Shanthikumar JG. Stochastic Orders and Their Applications. New York, USA: Academic Press; 1994.
  12. Renyi A. On measures of entropy and information. In proceedings of the 4th Berkeley symposium on Mathematical Statistics and Probability. Berkeley, USA: University of California press; 1961:547–561.
  13. Bonferroni CE. Elementi di Statistca generale, Seeber, Firenze. 1930.
  14. Lawless JF. Statistical Models and Methods for Lifetime data. 2nd ed. New York, USA: John Wiley and Sons; 2003.
  15. Pearce S. Lognormal distribution. Nature. 1945;156:747.
Creative Commons Attribution License

©2017 Shanker, et al. This is an open access article distributed under the terms of the, which permits unrestricted use, distribution, and build upon your work non-commercially.