Submit manuscript...
eISSN: 2378-315X

Biometrics & Biostatistics International Journal

Mini Review Volume 11 Issue 4

Prognostic equations on COVID-19 in the province of Cienfuegos, Cuba

C Manuel Eduardo Cortés Cortés, Juan Felipe Medina Mendieta, Manuel Cortés Iglesias, C Ridelio Miranda Pérez

Universidad de Cienfuegos Carlos Rafael Rodríguez, Cuba

Correspondence: Manuel Cortés Cortés, Consultant Professor, Doctor in Economic Sciences, University of Cienfuegos Carlos Rafael Rodríguez, Cuba

Received: October 21, 2022 | Published: November 28, 2022

Citation: Cortés CMEC, Mendieta JFM, Iglesias MC, et al. Prognostic equations on COVID-19 in the province of Cienfuegos, Cuba. Biom Biostat Int J. 2022;11(4):148-150. DOI: 10.15406/bbij.2022.11.00369

Download PDF

Abstract

Cuba and all its provinces have been affected by Covid-19 disease. The government and the health system carry out measures to avoid contagion. To take these measures it is important to have estimates of the rate of infection. To this aim the authors' research evaluate the effectiveness of three important stochastic mathematic models (Weibull, Gompiertz and Log-logarithm models) on the prognostic equations of COVID-19 in the 8 Municipalities of the Province of Cienfuegos. The obtained results allows to confirm the good quality of the three predictive models.

Objective: The objective of this work is to analyze effectiveness of the application of these models in order to predict the behavior of pandemics in the case of the city Cienfuegos, results that can be of great help to the authorities that must deals with such situations.

Keywords: Covid-19, predictive equations, Gompiertz, log-logaritms, weibull

Main text

Many natural phenomena put the development of the human species at risk. In 2007, a warning was issued in the manuscript "unprepared for a pandemic" Osterholm1, in which the author warned of the economic and social consequences of a new pandemic for which the current generation was not fully prepared. Just in 2020 a new pandemic was unleashed of which its precise place of origin is not known.

Although it is difficult to predict a global catastrophe of any kind, the actions that are generally taken during health emergencies are clearly based on foresight and scenario analysis to make decisions in advance while retaining a certain percentage of the collateral damage caused by this type of virulent phenomena. The outcome of the Sars-Cov2 virus has surprised the world community in different ecological, social, and economic dimensions, even though the world's governments have some experience in the fight against other recent epidemics such as H1N1 in 2009, cholera in Haiti in 2010 or the Ebola outbreak that hit Africa hard in 2014.

Mathematical models for the study and prediction of the behavior of infectious diseases are a primary objective in the search for solutions to help reduce the consequences of these diseases. The main task of a mathematical model in this context is to improve the understanding of a system for the prevention of future diseases, the determination of the prevalence and incidence of a disease and the support in decision making for the control and eradication of these diseases.2

There are two essential types of mathematical models: deterministic and stochastic. For the deterministic model, a set of inputs produces the same number of invariable outputs and neither the existence of chance nor the principle of certainty is considered. In a stochastic model, chance is considered so that a set of inputs can produce several outputs in an unpredictable way and therefore, the possible outcomes will be generated with a probability function.3

Most of the studies on predictive equations for Covid-19 are based on the stochastic models known as logistic differential equations.4

dP(t) dt =r.P(t).( 1 P(t) K ) MathType@MTEF@5@5@+= feaagKart1ev2aaatCvAUfeBSjuyZL2yd9gzLbvyNv2CaerbuLwBLn hiov2DGi1BTfMBaeXatLxBI9gBaerbd9wDYLwzYbItLDharqqtubsr 4rNCHbGeaGqkY=gjVeeu0dXdh9vqqj=hEeeu0xXdbba9frFj0=OqFf ea0dXdd9vqaq=JfrVkFHe9pgea0dXdar=Jb9hs0dXdbPYxe9vr0=vr 0=vqpWqaaeaabiGaciaacaqabeaadaqaaqaaaOqaamaalaaabaGaam izaiaadcfacaGGOaGaamiDaiaacMcaaeaacaWGKbGaamiDaaaacqGH 9aqpcaWGYbGaaiOlaiaadcfacaGGOaGaamiDaiaacMcacaGGUaWaae WaaeaacaaIXaGaeyOeI0YaaSaaaeaacaWGqbGaaiikaiaadshacaGG PaaabaGaam4saaaaaiaawIcacaGLPaaaaaa@49FE@ Logistic differential equation and

dP(t) dt =r.P(t).1n( K P(t) ) MathType@MTEF@5@5@+= feaagKart1ev2aaatCvAUfeBSjuyZL2yd9gzLbvyNv2CaerbuLwBLn hiov2DGi1BTfMBaeXatLxBI9gBaerbd9wDYLwzYbItLDharqqtubsr 4rNCHbGeaGqkY=gjVeeu0dXdh9vqqj=hEeeu0xXdbba9frFj0=OqFf ea0dXdd9vqaq=JfrVkFHe9pgea0dXdar=Jb9hs0dXdbPYxe9vr0=vr 0=vqpWqaaeaabiGaciaacaqabeaadaqaaqaaaOqaamaalaaabaGaam izaiaadcfacaGGOaGaamiDaiaacMcaaeaacaWGKbGaamiDaaaacqGH 9aqpcaWGYbGaaiOlaiaadcfacaGGOaGaamiDaiaacMcacaGGUaGaaG ymaiaad6gadaqadaqaamaalaaabaGaam4saaqaaiaadcfacaGGOaGa amiDaiaacMcaaaaacaGLOaGaayzkaaaaaa@4A04@ Gompertz differential equation

Both equations describe the growth of population at a given time , where  represents the instantaneous rate of increase and  corresponds to the carrying capacity of the environment or the maximum number of individuals that the population can sustain.  and  are positive real numbers and the function is positive, monotonically increasing and suitable for representing epidemiological models, because it presents a rapid initial growth that is approximately exponential and as the number of infections increases, the number of non-infected individuals in the population decreases.5

The objective of this work is to analyze effectiveness of the application of these models in order to predict the behavior of pandemics in the case of the city Cienfuegos, results that can be of great help to the authorities that must deals with such situations.

To this aim an experimental analysis was designed consisted of a cross-sectional case study, and the statistical analysis of the confirmed cases of COVID -19 in the 8 municipalities of the province of Cienfuegos, from March 2020 to August 2021.

The analysis allows to studies the behavior of number of confirmed cases in the time and the relationships of this magnitude with other variables, like, age, place, time and the dates on which the confirmed cases are presented.

In this case were used five-parameter models obtained from the Gompertz, Weibull and Log-Logistic models, which have been used successfully in the Covid-19 epidemic for the cases of China, Italy, South Korea, Costa Rica and various countries.6–11

The application of the Weibull, Gompiertz and Log-logarithm models on the giving data can be summarized in the following best predictive fit equations for the municipalities of Cienfuegos (Table 1).

Modelo

Rodas

Aguada

Cumanayagua

Abreus

Cruces

Palmira

Cienfuegos

Lajas

Weibull

b= 40.50

b=51.18

b= 50.76

b=39.87

c= 366.03

c=110.41

c=281.78

c=1212.31

d= 4415.47

d=3008.3

d=4005.08

d=29772.14

e= 525.11

e=524.78

e=524.48

e=523.15

RCAdj=

RCAdj=

RCAdj=

RCAdj=

0.995

0..997

0.997

0.999

Gompertz

b=-0.04

c=500.59

d=4839.37

e=519.29

RCAdj=

0.993

Log Logarítm

b=-54.21

b=-01.88

b=-00.34

c=347.64

c=57.52

c=492.01

d=3546.44

d=3461.66

d=3411.02

e=508.73

e=529.70

e=555.04

f=1.66

f=0.29

f=0.14

RCAdj=

RCAdj=

RCAdj=

0.99

0.997

0.996

Table 1 Results of predictive equations

f(t)=c+( dc ).( 1 e e b.( 1nt1na ) ) MathType@MTEF@5@5@+= feaagKart1ev2aaatCvAUfeBSjuyZL2yd9gzLbvyNv2CaerbuLwBLn hiov2DGi1BTfMBaeXatLxBI9gBaerbd9wDYLwzYbItLDharqqtubsr 4rNCHbGeaGqkY=Mj0xXdbba91rFfpec8Eeeu0xXdbba9frFj0=OqFf ea0dXdd9vqaq=JfrVkFHe9pgea0dXdar=Jb9hs0dXdbPYxe9vr0=vr 0=vqpWqaaeaabiGaciaacaqabeaadaqaaqaaaOqaaabaaaaaaaaape GaamOzaiaacIcacaWG0bGaaiykaiabg2da9iaadogacqGHRaWkdaqa daqaaiaadsgacqGHsislcaWGJbaacaGLOaGaayzkaaGaaiOlamaabm aabaGaaGymaiabgkHiTiaadwgadaahaaWcbeqaaiabgkHiTiaadwga daahaaadbeqaaiaadkgacaGGUaWaaeWaaeaacaaIXaGaamOBaiaads hacqGHsislcaaIXaGaamOBaiaadggaaiaawIcacaGLPaaaaaaaaaGc caGLOaGaayzkaaaaaa@51D5@ 5-parameter Weibull model

f(t)=c+( dc ). e e b.( ta ) MathType@MTEF@5@5@+= feaagKart1ev2aaatCvAUfeBSjuyZL2yd9gzLbvyNv2CaerbuLwBLn hiov2DGi1BTfMBaeXatLxBI9gBaerbd9wDYLwzYbItLDharqqtubsr 4rNCHbGeaGqkY=Mj0xXdbba91rFfpec8Eeeu0xXdbba9frFj0=OqFf ea0dXdd9vqaq=JfrVkFHe9pgea0dXdar=Jb9hs0dXdbPYxe9vr0=vr 0=vqpWqaaeaabiGaciaacaqabeaadaqaaqaaaOqaaabaaaaaaaaape GaamOzaiaacIcacaWG0bGaaiykaiabg2da9iaadogacqGHRaWkdaqa daqaaiaadsgacqGHsislcaWGJbaacaGLOaGaayzkaaGaaiOlaiaadw gadaahaaWcbeqaaiabgkHiTiaadwgadaahaaadbeqaaiaadkgacaGG UaWaaeWaaeaacaWG0bGaeyOeI0IaamyyaaGaayjkaiaawMcaaaaaaa aaaa@4B3E@ Gompertz model

f(t)=C+ dc 1 e e b. ( 1nt1na ) h MathType@MTEF@5@5@+= feaagKart1ev2aaatCvAUfeBSjuyZL2yd9gzLbvyNv2CaerbuLwBLn hiov2DGi1BTfMBaeXatLxBI9gBaerbd9wDYLwzYbItLDharqqtubsr 4rNCHbGeaGqkY=Mj0xXdbba91rFfpec8Eeeu0xXdbba9frFj0=OqFf ea0dXdd9vqaq=JfrVkFHe9pgea0dXdar=Jb9hs0dXdbPYxe9vr0=vr 0=vqpWqaaeaabiGaciaacaqabeaadaqaaqaaaOqaaabaaaaaaaaape GaamOzaiaacIcacaWG0bGaaiykaiabg2da9iaadoeacqGHRaWkdaWc aaqaaiaadsgacqGHsislcaWGJbaabaGaaGymaiabgkHiTiaadwgada ahaaWcbeqaaiaadwgadaahaaadbeqaaiaadkgacaGGUaWaaeWaaeaa caaIXaGaamOBaiaadshacqGHsislcaaIXaGaamOBaiaadggaaiaawI cacaGLPaaadaahaaqabeaacaWGObaaaaaaaaaaaaaa@4E19@ 5-parameter Log-Logaritsm

Results of predictive equations in the Province of Cienfuegos. Cuban 9

The calculated parameters shows values of RCAdj (Adjusted Regression Coefficient) close to 1, which implies a good regression quality for all the three models.

Daily data were downloaded as .csv files, decoded using Maxima 5.41.0 symbolic software programs and R 3.6.1 programming language.12

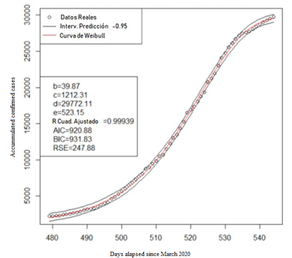
From the predictive models found for each municipality, the value and date of the peak of the pandemic were calculated. The forecast peak date in the municipalities of Abreus, Cumanayagua, Palmira and Cienfuegos totally coincided with the actual date; in the rest of the municipalities the forecast was a few days apart from reality.11,13–15 Figure 1 shows the peak curve for the municipality Cienfuegos.

Figure 1 Peak curve for municipality Cienfuegos by the data from March 2020 to August 2021.

The obtained results were wery usefull for health authorities in order to make decisions in advance regarding the pandemic diseases.

Conclusion

Predictive models were obtained using the Gompiertz, Weibull and Log-logarithm equations for the forecast equations of COVID-19 in the 8 Municipalities of the Province of Cienfuegos with satisfactory results.

The investigation consisted of a cross-sectional case study, making a statistical analysis of confirmed cases of COVID -19, from March 2020 to August 2021.

The best Weibull, Gompiertz and Log - logarithm models were selected for the data of each of the 8 municipalities of the province of Cienfuegos, Cuba.

The application of the predictive models of the populations studied for the forecasts of the COVID-19 pandemic in the province of Cienfuegos, Cuba constitute reliable models for use by Health representatives in the Province.

Acknowledgments

The authors are greatly grateful by the support given by the project “Development of new mathematical models and methods for decision making” of the Department of Mathematics and Computation of the University of Havana.

Conflicts of interest

None.

References

  1. Osterholm MT. Unprepared for a Pandemic. Foreign Aff. 2007;86:47–57.
  2. Liu M, Cao J, Liang J, et al. Epidemic-logistics modeling: A new perspective on operations research. Springer; 2019. pp. 259–280.
  3. Sacca D, Caro Z. Deterministic and non-deterministic stable models. J Log Comput. 1997;7(5):555–579.
  4. Winsor CP. The Gompertz curve as a growth curve. Proc Natl Acad Sci U S A. 1932;18(1):1–8.
  5. Juan Felipe Medina-Mendieta, Manuel Cortés-Cortés, Manuel Cortés-Iglesias. COVID-19 Forecasts for Cuba Using Logistic Regression and Gompertz Curves MEDICC Review. 2020;22(3):32–39.
  6. Medina Mendieta JF, Cortés Cortés ME, Cortés Iglesias M. Ajuste de curvas de crecimiento poblacional aplicadas a la COVID-19 en Cuba. Rev Haban Cienc Méd. 2020;19 (Supl 1):e3353.
  7. Batista M. Estimation of the final size of the COVID-19 epidemic. MedRxiv BioRxiv. 2020;11:34–37.
  8. Jia L, Li K, Jiang Y, et al. Prediction and analysis of Coronavirus Disease 2019. Ithaca: Cornell University;2020.
  9. Qeadan F, Honda T, Gren LH, et al. Naive Forecast for COVID-19 in Utah Based on the South Korea and Italy Models-the Fluctuation between Two Extremes. Int J Environ Res Public Health. 2020;17(8):2750.
  10. Wang CJ, Ng CY, Brook RH. Response to COVID-19 in Taiwan: big data analytics, new technology, and proactive testing. JAMA. 2020;323(14):1341–1342.
  11. Hu Z, Ge Q, Jin L, Xiong M. Artificial intelligence forecasting of COVID-19 in China. ArXiv.org. 2020.
  12. Maxima, a Computer Algebra System. Massachusetts: Massachusetts Institute of Technology (MIT);c2020.
  13. Ministry of Public Health (CU). Protocolo de Actuación Nacional para la COVID-19 Versión 1. Havana: Ministry of Public Health (CU); 2020:131 p.
  14. Yang Z, Zeng Z, Wang K, et al. Modifi ed SEIR and AI prediction of the epidemics trend of COVID-19 in China under public health interventions. J Thorac Dis. 2020;12(3):165–174.
  15. Manuel Eduardo Cortés Cortés, Felipe Medina Mendieta, Miguel Santana Justiz, Manuel Cortés Iglesias, et al. Mathematical Statistical Study of the behavior of COVID-19 in the province of Cienfuegos. Cuba. 2022;20(4). .
Creative Commons Attribution License

©2022 Cortés, et al. This is an open access article distributed under the terms of the, which permits unrestricted use, distribution, and build upon your work non-commercially.