Submit manuscript...
International Journal of
eISSN: 2574-9862

Avian & Wildlife Biology

Research Article Volume 3 Issue 4

Factors affecting nest site selection of Milvus migrans govinda (Pariah kite), in and around AMU campus, Aligarh

Amee Mehta, Orus Ilyas

Department of Wildlife Sciences, Aligarh Muslim University, India

Correspondence: Orus Ilyas, Department of Wildlife Sciences, Aligarh Muslim University, Aligarh-202002, India

Received: June 13, 2018 | Published: July 11, 2018

Citation: Mehta A, Ilyas O. Factors affecting nest site selection of Milvus migrans govinda (Pariah kite), in and around AMU campus, Aligarh. Int J Avian & Wildlife Biol. 2018;3(4):272-277. DOI: 10.15406/ijawb.2018.03.00099

Download PDF

Abstract

Pariah Kite Milvus migrans govinda is a widely distributed resident kite of the Indian subcontinent with reasonably good population and presently serving as one of the major facultative scavengers in most of the urban centers, holding importance as after the Indian sub–continent has almost lost its primary natural scavenger, White-rumped vulture (Gyps bengalensis), since the 1990’s from most of its range. A better management can help maintain Pariah kite's good population and one such crucial component, understanding its nesting site selection within the urban area, was the focus of our study. We investigated the various parameters such as substrate type, substrate height, nest height, GBH, canopy cover above the nest, green cover and distance from foraging sites of all the active nest (n=70) found. The Pearson product–moment correlation coefficient was found highly positively significant with tree height, GBH and foraging site distance favoring the nesting site selection. Highly negative significant correlation with canopy cover and the green cover was found indicating its selectiveness towards more urban areas where food is available. Also less canopy cover on the nest tree signifies for easy entry–exit to the nest as it has large wingspan and also for better vigilance. Also, the circular plots were plotted around the nest sites and random sites to compare the parameters between the utilized and available sites. The mean differences in the parameters came out to be significantly different, suggesting that the pariah kites are selective in nature for nest site selection.

Keywords: pariah kite, nest site, gbh, green cover, urbanization

Introduction

Nests of birds have been compared to the mammalian uterus which provides warmth and protection to the developing embryo. An individual’s fecundity and survival are likely to depend upon the choice of nest site which may, in turn, determine the structure and growth rate of population, and also the evolution of species.1–3

Natural selection favors individuals that choose resources that enhance breeding success, which maintains the population but limited availability of such resources can limit the number of individuals that breed. In a given species, nest site quality varies in space and time at different scales due to different environmental factors affecting reproductive success.4 Other environmental factors, besides nest site characteristics, which can have a strong influence on reproductive success is food availability.

Being free from persecution and with the adequate food supply, the urban landscapes often serve as ideal and safe habitats for raptors.5 Urban landscape produces a great diversity of habitats ranging from near natural to completely artificial. These habitats are characterized by small patch size of vegetation, intensive human management, an abrupt change in structure and high anthropogenic interference.6

Milvus migrans govinda is a widely distributed resident kite of the Indian subcontinent with reasonably good populations and it presently serves as one of the major facultative scavengers in most of the urban areas.7 This particular habit has helped evolve and adapt this species successfully in the urban areas. It holds even more importance after Indian sub–continent has almost lost its primary scavenger, White-rumped vulture (Gyps bengalensis), since the 1990s from most of its distribution range.8 The existence of PARIAH Kite, the govinda sub–species, as the secondary scavenger proves vital.9

Therefore, it is important to maintain its good population and to understand the behavioral characteristics especially the nest selection that allow kites to adapt to a highly urban landscape, nest amidst human habitation and forage on dump refuse.9

Hence, Study on nest site section by Pariah kite (Milvus migrans govinda) in the urban landscape of Aligarh was carried out to know the factors affecting the selection of nesting habitat, nest substrate characteristics and its implications for management of the species for conservation purpose.

Study area

The study was conducted in the campus of Aligarh Muslim University (AMU), Aligarh (27.9135° N, 78.0782° E) covering an area of about 4.21km2. It was divided into ten study sites by stratified stratified manner on the basis of amount of green cover and degree of urbanization differentiated by the help of Google earth Program; Stratifying the sites from most green covered to most urbanize. The climate is semi–arid, with 727mm of annual precipitation which is mainly concentrated in July and August. Temperature ranges from a mean maximum of 40.1°C to a minimum of less than 7.1°C in winters (India Meteorological Department 2018). The vegetation of the region falls within the ‘northern tropical thorn forest’ category (Champion & Seth 1968) (Figure 1).

Figure 1 Study area with 10 study sites.

Study sites included Jamalpur, being the market area with butcher shops which was most urbanized whereas Qila and Naqvi Park were semi–forested, with plantation and less human inhabitation. Other sites were urban colonies, hospital area, university area with buildings and roads. All areas had a minimum of 30% of green cover including Naqvi Park and Qila having the most up to 90%.

Methodology

The fieldwork spanned from January 2018 to May 2018 encompassing one breeding period of the Pariah kite in North–central region in India.7,10 All study sites were intensively searched for ‘active nest’ i.e. when an individual or pair was repeatedly observed to perch on the nest or its immediate surroundings.6 As the sites were located, type of substratum for nesting and its GPS location was taken and monitored every week. An alphanumeric code was allotted to each site comprising of abbreviations–type of site: N=nest; the number of the site and intensive study area in which it is located: JM=Jamalpur i.e. (N23JM). This helped create a nesting map within the study area (Figure 2).

Figure 2 Distribution of the nest sites within the study area.

Various parameters like type of nesting substrate, species of the trees used as nesting substrate, the height of the substrate, branching of the nesting tree, GBH of the tree, Canopy cover above and around the nest, distance from the foraging sites and available green cover within 30meter circular plot; for each nest site was taken. The Girth at breast height (GBH) was measured by fully encircling the tree trunk at 1.37meter height. Tree/canopy cover was measured using the gridded mirror of 25x25cm, moving five steps in four cardinal directions, just beneath the nest. The mirror was kept horizontally at 1.25m above the ground level and grids covered by foliage were counted and expressed as percent canopy cover. Tree height and nest height was estimated by using the trigonometry method. The landscape variables like the proportional green cover, distance from the foraging site and built up area were obtained using the latest Google Earth imagery of the study area (imagery date: 18/1/2018) within the 30meter plots.

Also to assess the difference between parameters of the available space for nest site selection vs. utilized space for nest site selection, circular plot method was used. One animal–centered plot (Nest plot) i.e. keeping the nest location in the center; a 10meter radius was plotted while two other random plots of the same radius were taken at two random points, 30m away from the animal–centered plot. Tree species, their number, individual height, individual GBH of each tree present in all the plots:- Nest as well as random, were measured.

To calculate an average number of nest per study site, a circular plot of radius 200meters (to keep the area constant) within the different study sites were plotted with the help of circle ruler from the ruler tool in Google Earth program and then the nest encompassing within each plot were counted. Mostly on an average one plot per study site could be plotted due to the small and irregular area.

To calculate the green cover around each nest site location, a new method was tried by plotting a 30meter circular plot by the circle ruler from the ruler tool in Google Earth program around the nest area on map. Then it was divided into four equal quarters, again by using a path ruler from the ruler tool. This helped to assess the green cover in each quarter (25%) separately and then summing it up for the whole plot (100%) for each site.

All the data were analyzed using IBM SPSS Software 22.0 version. The correlation between nest height (dependent) and other parameters (independent) was analyzed by using The Pearson product–moment correlation coefficient and to compare the means and investigate its significance for Available vs. utilized data, Student t–test was used.

Results

In total 75 Pariah kite nest were found within 10 study sites covering an area of 4.21km2. Several constraints like manpower, feasibility, time, inaccessibility and a few other hindrances associated with the urban environment prohibited from the assessment of all the nests identified. Therefore, for this study, data could be collected from 70 nests (n=70).

Nesting substrate

A total number of nests found were seventy (n=70), out of which 60 (86%) were built on trees, while 10 (14%) were built on towers.

Average number of nest per study site

Most numbers of the nest were at Jamalpur having nine nests per 200meter circular plot and least at Naqvi Park having 0 nests per 200meter circular plot.

Nesting parameters

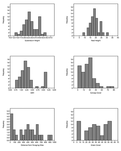
Overall (trees+towers) mean substrate height for Pariah kite's nest in Aligarh equals to 24.1±2.8m, mean nest height is 19.2±2.2m, mean GBH is 2.4±0.2m, mean canopy cover is 24±0.03%, mean foraging distance is 599.1±71.6m and mean green cover around (30m) is 35±0.04m. Also, most of the nest was found in the third quarter of the tree or tower height.

Towers as substrate

Total 10 (14%) nest were constructed on towers. As seen in the figures, mean height of the nesting towers was 30±9.5, mean Height of Nest Construction was 23.5±7.4, Mean GBH of Nesting towers was 5±1.6, Mean Canopy on Nesting towers was 0±0, Mean foraging Distance from Nesting towers was 685.6±216.8 and Mean Green Cover around (30m)nesting towers 16.5%±0.1. Also, the Mean difference between tower height and nest height was 6.5±2.0.

Trees as nesting substrate

Total 60 nest were constructed on different species of trees. The mean height of the nesting trees was 23.1±0.5, mean Height of Nest Construction was 20.2±0.5, Mean GBH of Nesting trees was 2.02±0.1, Mean Canopy of Nesting trees was 28%±0.02, Mean foraging Distance from Nesting trees was 584.8±50.3 and Mean Green Cover around (30m) nesting tree was 38%±0.02. Also, the Mean difference between tree height and nest height was 4.23±0.5.

Tree species used as nesting substrate

For 60 nest built on trees, a total of 18 tree species was used as substratum, out of 86 recorded tree species in and around AMU campus. Majority of the nest were found on Eucalyptus (Eucalyptus tereticornis), 22 (36.7%), followed by Jamun Syzygium cumini, 7 (11.67%), Neem Azadirachta indica, 6 (10.00%), Sheesham (Dalbergia sissoo) 5 (8.33%), Whistling Pine Casuarina equisetifolia, 4 (6.67%), Kanak–Champa Pterospermum acerifolium, 2 (3.33), Kassod tree (Senna siamea) , 2 (3.33%) and Teak (Tectona grandis). Other tree species had one tree each used for nesting.

Results from the independent sample t–test showed highly significant differences in the means of Tree height, nest height and canopy cover in Animal centered from random plots (utilized vs. random). The results of Pearson correlation between parameters of each nest sites were significantly correlated. There was a highly significant positive correlation (P<0.01) between nest height and tree height (0.830, P<0.01), nest height and GBH (0.478, P<0.01) but highly significant negative correlation between nest height and Canopy Cover (–0.461, P<0.01). Nest height and Distance from foraging site (0.270, P<0.05) was significantly positively correlated while Nest Height and Green cover were significantly negatively correlated (–0.243, P<0.05) (Figure 3–6) & (Table 1–3).

Figure 3 Average number of the nest at each study site.

Figure 4 Mean parameters for nesting substrate comparison.

Figure 5 Mean nesting parameters of pariah kite nest in Aligarh city.

Figure 6 Nesting of pariah kites on the tower and various tree species.

Correlations

Tree height

Nest height

GBH

Canopy cover

Distance from foraging site

Green cover

Tree height

1

0.830**

0.576**

-0.479**

0.345**

-0.143

Nest Height

0.830**

1

0.478**

-0.461**

0.270*

-0.243*

GBH

0.576**

0.478**

1

-0.388**

0.195

-0.351**

Canopy Cover

-0.479**

-0.461**

-0.388**

1

-0.029

0.237*

Distance from foraging site

0.345**

0.270*

0.195

-0.029

1

-0.024

Green Cover

-0.143

-0.243*

-0.351**

0.237*

-0.024

1

Table 1 Pearson correlation coefficient between nest height and other parameters of nest tree nesting
**P<0.01, *P<0.05

Parameters

t

df

Sig. (two-tailed)

Std. error difference

No. of trees

-2.34

208

0.02

0.27167

GBH

-4.774

208

0

0.42779

Height of trees

-8.42

208

0

1.27266

Canopy Cover

-8.752

208

0

2.45482

Table 2 Independent sample t-test for significant differences in mean of the animal and random plots

Tree species & % use

No. of nest

Mean tree height (m)

Mean nest height (m)

Difference between tree height and nest height

Mean GBH (m)

Mean canopy cover (%)

Eucalyptus Eucalyptus tereticornis

36.67%

26.6±0.8

21.2±1.0

5.4

2.2±0.1

20±0.0

Jamun Syzygiumcumini

11.67%

22.3±1.0

17.3±1.1

5

2.2±0.2

49±0.1

Neem Azadarictaindica

10.00%

19.8±0.7

17.1±1.0

2.7

2.3±0.2

32±0.0

Sheesham Dalbergiasisso

8.33%

22.3±0.7

17.46±1.1

4.9

2.08±0.2

37±0.1

Whistling Pine Casuarinaequisetifolia

6.67%

20.9±1.0

17.37±0.8

3.5

1.4±0.1

28±0.1

KanakChampa Pterospermumacerifolium

3.33%

21.8±2.8

18.15±3.0

3.6

1±0.0

13±0.1

Kassod tree Sennasiamea

3.33%

15.3±1.2

11.65±1.9

3.6

2.0±0.2

25±0.1

Teak Tectonagrandis

3.33%

22.3±0.1

17.43±1.3

4.9

1.5±0.7

15±0.1

Silver Oak Grevillearobusta

1.67%

24.4

18.2

6.2

1.2

25

AakashNeem Millingtoniahortensis

1.67%

23.5

17.4

6.2

2.8

40

Peepal Ficusreligiosa

1.67%

23

18.5

4.6

2.4

30

Cotton Tree Bombaxceiba

1.67%

22.2

17.7

4.5

2.1

0

Banyan Tree Ficusbenghalensis

1.67%

21.7

17.8

3.9

4.6

50

Pilkhan Ficusvirens

1.67%

21.5

19.4

2.1

2.3

10

Gulmohar Delonixregia

1.67%

21.3

18.7

2.6

0.8

30

Goolar Ficusglumerata

1.67%

20.8

15.1

5.7

1.8

30

Ashoka Polyalthialongifolia

1.67%

20.3

18.4

1.9

1.3

40

Babool Acacia nilotica

1.67%

13.1

8.1

5

0.7

50

Table 3 Comparative table for characteristics of trees (specie-vise) used for nesting

Discussion

A total of 86% nest were made on natural substrate i.e. trees and 14% on artificial i.e. towers, pylons. This signifies their selective nature and preference for the natural substrates.6,11

It was clearly seen that the preference was given to the tree with huge height and big GBH. This proves that they prefer big trees with strength. This could be seen as most of the nesting (22.7%) were on Eucalyptus tree with an average height of 26meters and GBH of 2.2meters.11,13

Our results indicate Pariah Kite appears to have a preference for nesting on Eucalyptus trees. Apart from its relatively larger height, GBH, less canopy cover its high use was justified because of its high relative availability at all the sites.9,11 Also due to its V–shaped terminating branches, this may be useful for securely fastening the nests, giving a huge and strong base.

High nest number at Jamalpur (9 nests/200m circular plot) was justified as it is a busy market with meat shops, dump yard and with an average of 50% green cover comprising of Eucalyptus trees and high towers thus providing food, nesting and roosting sites. Whereas Naqvi park has high tree density, high canopy cover and high green cover which is not favored for nesting and with scarce resources nearby. Almost the same observations were made on this species in the Delhi area by and Science, Kumar, The, & Of.11 This clearly suggests the selective behavior of Pariah Kites for nesting near foraging areas i.e mostly dumb yards which were near urban areas with less green cover. Nesting densities were influenced by the distance from the foraging sites. As the distance increases, the nest densities decreased.12,13

Areas with high densities like Jamalpur, AMU Campus, Shibli road, Shamshad, Katpulla were more or less similar in terms of ratios of green cover and urbanization (30:70) with the high relative availability of Eucalyptus, favoring nesting. A highly significant negative correlation with these two parameters was found, justifying the reason that more urbanized area with dump yard i.e foraging site will have less green cover. Jamalpur having the highest nest number comprise less green cover than Naqvi park and Qila.9,11 Also, the less canopy on the nest might be due to easy entry and exit to the nest because of the huge wingspan which needs space to open to take off and land. Also for the better vigilance. This could also be justified by 14% of nesting on towers which have almost no green cover around and no canopy cover been used as roosting and nesting site.

The nest density and roosting sites to be more near the dump sites. It was seen that the nesting density and roosting sites increased as the distance from the dump sites decreased. Breeding Milvus migrans forage preferentially nearby dump yards13,14 which minimize their foraging trips and also maximize the optimal foraging habitat around the nest.15

Acknowledgements

The authors are grateful to the Department of Wildlife Sciences, Aligarh Muslim University for providing the atmosphere and facilities to conduct this study. Thanks to Prof. Affifullah Khan, Chairman, Department of Wildlife Sciences and Dr. Satish Kumar for valuable inputs. The first author is also thankful to Prof. H.S.A Yahya, for always nurturing hir interest in birds. The study was done for the M.Sc. dissertation work of the first author at the Department of Wildlife Sciences, Aligarh Muslim University.

Conflict of interest

The author declares no conflict of interest.

References

  1. Tuomenpuro J. Effect of nest site on nest survival in the Dunnock Prunellamodularis. OrnisFennica. 1991;68(2):49–56.
  2. Godshe SV. Ecology of Black Kite (Milvus migrans govinda) with quantification of heavy metals in various tissues. Gujarat: The Maharaja Sayajirao University of Baroda; 2014.
  3. Rendell WB, Robertson RJ. Nest–site characteristics, reproductive success and cavity availability for Tree Swallows breeding in natural cavities. Condor. 1989;91:875–885.
  4. Li P, Martin TE. Nest–Site Selection and Nesting Success of Cavity–Nesting Birds in High Elevation Forest Drainages. The Auk. 1991;108(2):405–418.
  5. Cringan AT, Horak GC. Proceedings of the Western Raptor Management Symposium and Workshop, National Wildlife Federation, Washington, DC. Effects of urbanization on raptors in the western United States; 1989. p. 219–228.
  6. Kumar N, Mohan D, Jhala YV, et al. Density, laying date, breeding success and diet of Black Kites Milvus migrans govinda in the city of Delhi (India). Bird Study. 2014;61(1):1–8.
  7. Ali S, Ripley SD. Handbook of the Birds of India and Pakistan: together with those of Bangladesh, Nepal, Sikkim and Sri Lanka Compacted. In: Divers, Hawks, editors. Delhi: Oxford University Press; 1983:226–229.
  8. Prakash V, Bishwakarma MC, Chaudhary A, et al. The Population Decline of Gyps Vultures in India and Nepal Has Slowed since Veterinary Use of Diclofenac was Banned. PLoS ONE. 2012;7(11):e49118.
  9. Kumar N, Gupta U, Jhala YV, et al. Habitat selection by an avian top predator in the tropical megacity of Delhi: human activities and socio–religious practices as prey–facilitating tools. Urban Ecosystems. 2018;21(2):1–11.
  10. Malhotra AK. Tiger of sky–Pariah Kite. Delhi: Shilalekh Publishers; 2007.
  11. Science INW, Kumar N, The U, et al. A Study of Resource Selection by Black Kites (Milvusmigrans) in the Urban Landscape of National Capital Region, India: Wildlife institute of India; 2013.
  12. Mazumdar S, Ghose D, Saha GK. Foraging strategies of black kites (Milvusmigransgovinda) in urban garbage dumps. Journal of Ethology. 2016;34(3):243–247.
  13. Sergio F, Boto A. Nest dispersion, diet, and breeding success of Black Kites (Milvusmigrans) in the Italian pre–Alps. Journal of Raptor Research.1999;33(3):207–217.
  14. Roberts KS. The development of behavior in nestling Ospreys. 1982.
  15. Sergio F, Pedrini P, Marchesi L. Adaptive selection of foraging and nesting habitat by black kites (Milvus migrans) and its implications for conservation: A multi–scale approach. Biological Conservation. 2003;112(3):351–362.
Creative Commons Attribution License

©2018 Mehta, et al. This is an open access article distributed under the terms of the, which permits unrestricted use, distribution, and build upon your work non-commercially.