Submit manuscript...
Journal of
eISSN: 2378-3184

Aquaculture & Marine Biology

Research Article Volume 2 Issue 3

Critical Analysis of Legislation and Management of Ballast Water: A Case Study in the Amazon

Alan Cavalcanti da Cunha, Jose Pinheiro Neto Pereira Fragoso

Department of Environmental Sciences, Federal University of Amapa, Brazil

Correspondence: Alan Cavalcanti da Cunha, Department of Environmental Sciences, Federal University of Amapa, Macapa-Amapa, CEP 68902-280, Brazil

Received: November 25, 2014 | Published: June 12, 2015

Citation: Scavuzzo A, Noveron NR, Rios ZAS and Angel JRM (2015) Critical Analysis of Legislation and Management of Ballast Water: A Case Study in the Amazon. J Aquac Mar Biol 2(3): 00025 DOI: 10.15406/jamb.2015.02.00025

Download PDF

Abstract

The Amazon estuary is port of entry and exit of ships from the Maritime Trade International (CMI). This mode of transport is capable of introducing invasive species and export in oceans and coastal areas around the planet. The bioinvasion represents considerable threat to ecosystems and can cause environmental damage, social and economic. To prevent these damages are needed legal instruments and management of ballast water carried by these vessels. The objective was to analyze legal and management concerning national and international ballast water, based on the Ballast Water Management International Convention for Sediment in ships. The methodology consisted of evaluating the adequacy of laws and managerial procedures applied to the case of the Port of Santana (AP). The results indicated a potential for bioinvasion because it’s characteristic importer of ballast water. It was concluded that Amazon presents itself as open border and devoid of managerial devices to prevent or mitigate such risks in these waters, as occurs in the Port of Santana in Amapa. The main hypothesis is that this region has characteristics of considerable ecological vulnerability and public health actions are required and management strategies as the exchange of ballast water.

Keywords: Ballast water management (BWM), Ballast water risk assessment (BWRA), Alien invasive species (AIS), Risks to public health, Environment, Amazon river

Abbreviations

BWM, Ballast Water Management; BWRA, Ballast Water Risk Assessment; AIS, Alien Invasive Species; UNCTAD, The United Nations Conference on Trade and Development; IMO, International Maritime Organization; WHO, World Health Organization; DO, Dissolved Oxygen

Introduction

The international maritime trade can be considered as one of the most important industries in the world when considering, in terms of weight, that about 96% of the world trade is transported by sea. Thus, the volume of goods being transported by ships has increased significantly, especially due to the globalization of economic phenomenon. However, the representative marine businesses of large vessels are both means of transport, between different countries and regions, goods and ballast water.1 The United Nations Conference on Trade and Development (UNCTAD) estimated in 2006 that the world seaborne trade (goods loaded) reached the figure of 7.4 billion tons and global freight back accounted for 5.9% of the value of world imports.

Thus, it is estimated that this cargo is transported around the world by a fleet of more than 50,000 ships, consisting of more than 700 million GT, which are registered in more than 150 Member States, although only a small number of them control most of the gross fillers in the world. On the other hand to these positive benefits on the world economy undertaken by the shipping charges, there are the negative impacts caused by ballast water to the environment. The function of water is ballast maintain balance during its navigation of ships or when anchored in ports, loading and unloading goods, vessel weight loss compensation resulting from the discharge and due to the significant fuel consumption operations. It is also used to aid propulsion, maneuvering and control trims, as well as the stability of the hulls of ships, keeping stress levels in its structure within acceptable limits.2 Figure 1 shows the basic process of ballast water exchange in large vessels.3 In Figure 1 we observe three basic steps: 1) at the port of origin, the removal of cargo and ballast water filling; 2) route, no load and full of ballast water and 3) the port of destination, receiving cargo and discharging ballast water.

Figure 1 Process Ballast Water Exchange in large vessels (Source: OLIVEIRA, 2008)

The vessels commonly have many ballast tanks distributed throughout its structure and, if necessary, can also use the cargo holds to carry the ballast water. The suspended matter tends to sink and accumulate at the bottom of the ballast tanks to form sediment layers consisting of organic and inorganic particles.4 During ballast water exchange procedures can occur negative impacts on the environment, which are eminently sanitary character (public health) and ecological.5 To understand the need for more structured and effective control of ballast water in ports, it is important to consider how the waters of the ports are affecting the environment and human beings, due to transfer and the introduction of potentially harmful species, both in the short and in the long run, including already realized in some aquatic Amazon borders.6 In these tanks it is estimated that approximately 10 billion tons of ballast water is transferred each year, containing about 3,000 species of plants and animals transported daily around the world.

Silva e Souza4 report that over 50,000 species zooplankton and phytoplankton 10 million cells can be found in 1 m3 of ballast water and more than 22,500 cysts were observed in the ballast tanks during sediment studies in Australia. Some authors as Medcof,7 Carlton,8 Williams et al.,2 Khambaty and Mccarthy,9 Gollasch et al.10 Ruiz et al.,11 Drake et al.12 suggest that ballast water may contain protozoa, toxic dinoflagellates, including pathogenic microorganisms and other forms. On this point the problem of ballast water is a major threat to the integrity of ecosystems, to be an efficient mechanism of dispersal of marine organisms and freshwater, inter and intra ecosystems, identified as the most important means of transferring invasive species (AIS).3,5,6

Any organism that passes through the ships ballast water system can be switched between port areas. This includes bacteria and other microbes, viruses, small invertebrates, eggs and larvae, cysts of various animals and plants. Some live fish were also found in ballast tanks. While transport seems currently to be the main vector of invasion by ballast water, there is the scale factor in the hull. And the relative importance of the invasion of vectors may vary according to their economic significance in different countries or regions.2 The long-distance transport contributes to eliminate or reduce natural barriers that always separated ecosystems and maintained their integrity. This process has intensified the homogenization of flora and fauna in the world, with damage to the environment, biodiversity and human health. Therefore, a high concentration of different types of pathogenic bacteria, in the ballast water is potentially an environmental and human health risk in inhabited areas.13

Ballasting and de-ballasting operations are usually carried out in ports or adjacent to, during loading, unloading or fuel supply. Their volumes may vary according to the "ship size and type of route. Ships Tanks and Bulk Ships account for about 76% of total volumes of ballast water carried by the planet.3 Currently, ballast water exchange is the most important measure, and perhaps the only, adopted by several countries for ballast water management (BWM), because it is believed that, if applied correctly, can significantly reduce the risk of bioinvasoes because coming to shore organisms do not survive in the open sea and vice versa.14

The potential environmental impact of ballast water discharge in terms of damage has been recognized not only by the International Maritime Organization (IMO), but also by the World Health Organization (WHO), due to concern about the spread of bacteria of epidemic diseases.15-17 In the Brazilian Amazon, according to information provided by the Department of Ports and Coasts of the Navy of Brazil - Santana Office / AP (DPC-20), only in 2011 circulated by its waters 639 large vessels, whose entries were by the waters of Amazon River, crossing the border of the cities of Macapa and Santana.3 Besides the Port of Santana, another six of Continental North Platform Ports are in the ratio of the largest exporters of cargo in 2006, as the Ponta da Madeira Port, Itaqui and Alumar, located in Maranhao state, Trumpets and Port Vila do Conde State of Para, and the Itacoatiara port in the state of Amazonas. These are places of intense movement of international maritime trade ships and also carry ballast water. Thus, they can act as dispersers of biological agents of the waters of the Amazon Basin.5,6 This confirmation has been suggested by recent research showing that the Amazon frontier serves as environment for the exchange of invasive species, harmful to ecological and sanitary conditions of the northern region and other exhaust ports of the South, Southeast and Midwest, with the potential to disrupt niches of the Amazonian biota / or emergence of epidemics.6 For these reasons monitoring programs are needed to allow rapid detection of introduction of invasive species, which can make it possible to adopt measures for its control and / or eradication. However, in most cases when an invasive species is established, eradication becomes virtually impossible.18 In this case, the only alternative would be to control the population of this species Invasive to keep the impacts and losses at acceptable levels.

In view of the potential of large shipping activity risk scenario at the Port of Santana, or in this stretch of the Amazon River, the main objective of this study was to establish a parallel between the guidelines adopted by the Water Management Convention Ballast (BWMC) and the managerial and legal measures implemented by the authorities involved locally. With this research is expected to primarily alert and suggest the managers of the port sector and water resources new practical guidelines that could be adopted with two basic purposes: a) generating auxiliary bases on aquatic ecosystems conservation processes under threat or risk bioinvasion and; b) understand the legal basis of ballast water management and key parameters for vulnerability analysis to bioinvasion or public health problem in these environments.

Material and methods

The fieldwork took place between August 2012 and January 2013. The research methodology followed the main guidelines established by BWMC, as can be seen in Table 1. Technical data about the ballast water management processes were obtained from forms filled in by commanders and their technical teams in their own vessels (BWRF – Figure 2). After filling, the BWRF were given to the authors the information about the procedures for ballast water exchange shipped and dumped in exchange procedures. The BWRF are filling out documents and mandatory delivery of the WCC vessels crew. These reports are found information on the ship, as the name, origin (flag), load capacity, ballast water capacity, last port, and also information concerning the management of ballast water, as the amount of ballast water in tanks, and changed amount of ballast water temperature and salinity, and this charged water ballast. Despite being an extremely important document for the preservation of environments exposed to WCC ships ballast water, most of them was presented with failure or inaccuracy of the data presented.3,5 During the technical visits on board the ships were analyzed the main parameters contained in these forms, which were filled by the masters of vessels. In addition, we defined which procedures were actually made by foreign agents in the studied vessels.

Stage

Detailing

Observations

Documents

1. Planning and send authorization letters to board the Captain of Ports. Initiation of proceedings in November 2011. Obtaining the first authorization for shipment in August 2012.

2. Termination of authorization in August 2012. Institutional Questions about the methodology and sampling - number of ships to be investigated.

3. Boarding released by the Federal Police and ANVISA and Navigation Agencies.

Excessive delay to start the search.

 

Access problems via institutional and bureaucratic authorization channels.

Resumption of interrupted pilot stage in the period.

 

Planning Pilot

1. Participation in inspection performed by the DPC 20 for determination methodology to adopt.

2. Sample collection Conducting water: chemical and microbiological physical analysis.

3. Decision of the sample quantity - number of vessels to be monitored by the survey.

On-site visit in two ships.

 

Use of chemical multiparameter probe. Sampling by opening the tank - manhole.

Sample: 8% on the quantitative ships in 2011 in Porto.

 

Diagnosisofmonitoringsituation

1. Documentation, identification of agencies involved, the role of each institution within the ship; managerial aspects, collection Ballast Water Reporting Form (BWRF).

2. Evaluation of the management of ballast water by the institutions involved.

ANVISA receives the form, but does not process information on ballast water.

 

Federal police only comes to migration issues. The Navy deals with the verification of navigation equipment and only test salinity of ballast water.

 

Chemical, physical and microbiological quality of Ballast Water

1. Collection and analysis of water quality in ballast water samples (on-site).

Microbiological analysis - Total Coliforms and E. coli were performed in the laboratory Chemistry and Environmental Sanitation - UNIFAP.

 

RiskAnalysis

1. Evaluation of managerial aspects of the visited ships ballast water;

 

2. WaterAssessment

 

3. Evaluation of origin (home port) - GloBallast Program Methodology Adaptation to determine risk levels4,15, 17,18

Use the information in the Ballast Water Reporting Form (BWRF).

Chemical and microbiological analysis of water quality - Experimental.

Information about the "level of risk" associated with health and environmental conditions.

Table 1 Details of the methodological stages of the research - Ballast Water in Santana-AP Harbour.

Legislation for Ballast Water

After the first bio invasions reports caused by ballast water of ships WCC, the international community, concerned with growing environmental and economic damage, has come a long way over the last 40 years ago solutions or reasonable steps to this confrontation. The International Maritime Organization (IMO) is the technical and specialized United Nations agency responsible for the increase of marine safety, preventing pollution from ships, and promoting technical cooperation among member states. The Agency was established by the International Maritime Organization adopted in Geneva in 1948. The IMO actions follow the chronology (Table 2). The Brazil, internalized some of the provisions of the Convention, but it is important to note that the ecologically balanced environment is a constitutional right of all Brazilians, and that the trajectory of the preservation and protection laws have come a long way over 80 years, started with the code of legend Waters 1934, and can be seen in (Table 3).

1972

United Nations Convention on the Human Environment
Ballast Water not mentioned directly in the scope of the Convention

1973/1978

MARPOL
mentions contamination Ballast Water with oil residues

1982

UNCLOS
Establishes that States have a responsibility to preserve and protect the marine environment
Define "Pollution of the Marine Environment"

1992

UNCED (RIO 92)
Agenda 21
Does the adoption of rules for water discharge Ballast
Convention on Biological Diversity (CBD)

Table 2 Evolution of the international framework related to ballast water legislation

1958

Beginning of activities

1977

Resolution A 371

1990

The creation of the Working Group on Ballast Water MPEC

1991/1993/1997

The adoption of Guidelines for the control and management of ballast water to minimize the transfer of harmful aquatic organisms and pathogens.

2000

The definition of a joint initiative with the Global Environmental Facility (GEF) and the Development Programme of the United Nations (UNDP) to identify and assess the barriers related to Ballast Water in some of the developing regions of the world so these barriers can be effectively overcome.

2004

The development of a new international legal instrument in the BWM to be considered for adoption by a Diplomatic Conference of the IMO (BWMC).

Table 3 Activities of the observations above IMO

Study area

Research performing area receives the Pilotage name of Fazendinha, located in the port area of Santana / AP (Figure 2). The port area of Santana has the body responsible for ballast water inspection of all vessels that enter the Amazon Basin the Captaincy of the Navy Ports of Brazil, which performs daily procedure of "inspection".3 These inspections are usually organized by the shipping agencies operating in the region. These agencies are responsible for paying the shipping fees, transportation arrangements and displacement of the inspection team, gathering information on the vessel, cargo and crew. They are also responsible for mobilizing other government agencies such as ANVISA, and the Department of Environment and municipal and state Health. All ships engaged in commercial operations in the Amazon Basin (Figure 3) must pass through the waters that bathe the cities of Macapa and Santana.

Figure 2 Study area comprising the map of Brazil (Scale 1: 1000), the State of Amapá map (scale 1: 100) and satellite image Pilotage Fazendinha - Macapa / AP (GoogleEarth).

Figure 3 a) ship anchored in front Macapa / Santana in the North Channel in Rio Amazonas- State of Amapá; b) sampling system overflow (Source: Pereira, 2013)

The office of the Port Authority of Amapa Brazil Navy, located in Santana, has its functions plus great responsibility because it depends on your actions in water management ballast the conservation and preservation of water in the Amazon River. As described by Pereira,3 such responsibilities were critically examined and evaluated in this study, described below. The technical visits occurred in 50 ships, and, in just 44 were used in the analyzes. Six were disregarded for not containing the technical information so that their ballast water reports were disregarded. And of those 44, only 4 had the Santana Port of final destination (Table 4). Regarding the type or class of vessels studied, there were nine: Bulk Carrier, Oil/Chemical Tanker, Multi-Purpose Cargo, General Cargo, Woodchip S Carrier, Dry Bulk Carrier, LPG, Log Bulk Carrier e Product Tanker, browsing Amazon River waters in the WCC mode.3

1934

Code of Waters

1988

Federal Constitution

1997

National Water Resources Policy

1998

Environmental Crimes Law

2005

Norman-20 (internalization of BWMC)

Table 4 Evolution of Environmental Law in Brazil.

Results and discussion

Critical evaluation of ballast water management in the Amazon Basin

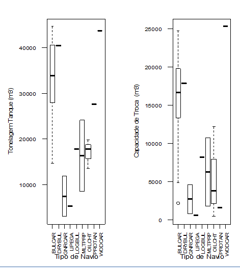
For this sample, the results for the "type" parameter ship indicate the most frequent type of cargo handling performed in the Amazon Basin. As the region is an exporter of goods, the predominant type of ship is the Bulk Carrier (Bulk), followed by tankers that supply the region with fuel. In Figure 4 is shown two-Box Wiskas type graphics that relate the type of ships with the storage capacity (tonnage) and ballast water exchange (m3), with the predominance of the vessels was the type Bulk Carrier (72,7%- BULCAR), Oil/Chemical Tanker (6,8% - OILCHT), Multi-purpuse Cargo (4,5% - MLTPRP), General Cargo (4,5% - GNRCAR), Cavaqueiro (Woodchip S Carrier) (2,3% - WODCAR), Dry Bulk Carrier (2,3% - DRYBUL), LPG(2,3% LIPEGA), Log Bulk Carrier (2,3% - LOGBUL), Product Tanker (2,3% - PROTAN). For comparison with the Port of Santana, the Port of Itajai, in 2003, 75% of these vessels consisted of containers ships class, followed by general cargo and refrigerated 8.2%.17

Figure 4 Wiskas type graphics that relate the type of ships with the storage capacity (tonnage) and ballast water exchange (m3).

As the volume of ballast water discharged in the various locations contributes to the risk of bioinvasoes, this is a parameter of major interest for management. In theory it is considered that the higher the value greater the number of organisms that can potentially be introduced by ballast water.14 However, it is important to note, however, that some of the most prominent bioinvasoes occurred in ports receiving small ballast water volumes, while other ports that receive large amounts are not invaded,19 suggesting that this is not the only parameter important in the management analysis of these waters. The value reported in deballasting BWRF vessel 44 for checking was 592,789.51 m3, but for the four vessels moored in Santana, the deslastred volume was 32,531 m3. Figure 5 shows an overview as a percentage of ballast water by country circulating in Amazonian waters (Port of Santana), represented by ballast water chart by donor country.

Figure 5 Percentage by Type of vessel (PEREIRA, 2013)

An analysis of Figure 5 allows us to observe the distribution of the frequency of vessels in twenty-one different countries, including Brazil as the largest ballast water supplier 115,119.18 m3 (19.5%), followed by Italy (16.5%) and Spain (9.3%). In addition, Figure 6 shows a graph of percentage of Ballast Water continent (there were no reports of ships from Oceania). According to Figure 6, distribution is observed in six different continents, with South America and Africa as larger ballast water suppliers with 50% added, followed by Europe with 40.9% for the Port of Santana, was a result of 50% for African countries, and 50% for Brazilian origin of ballast water, which makes this port at a high level of risk bioinvasion.(Table 5)

Ship

Last port (country)

Next port (country)

Ship Type

Gross Tonnage (t)

Bw Onboard(m3)

Bw Capacity(m3)

 
 

1a

Owendo (Gabão)

Santana (Brasil)

Bulk carrier

32.839

14.937,50

31.728,80

 

12

Owendo (Gabão)

Santana (Brasil)

Bulk carrier

27.996

11.385,60

15.749,20

 

14

São luiz (Brasil)

Santana (Brasil)

Tank ship

27.627

1.596,00

20.425,20

 

42

Rio de janeiro (Brasil)

Santana (Brasil)

General
Cargo

11.864

4.612,00

5.412,00

 

Table 5 Operational characteristics of ballast water exchange from ships in the Port of Santana-AP

The Amazon, despite belonging to the Brazilian territory, is in isolation condition in relation to other States of the Union, and the land access relatively difficult. Therefore the transportation of cargo by water and air medium are the best and often the only options. Furthermore, it is important to understand that aquatic environments with geographically isolated biota other similar areas tend to have large number of endemic species, which are threatened by function invasions of their tracks or restricted ecological niches 6,19. As a result, it is clear that the narrowing of requests for ships in navigation by Amazonian waters should be accompanied by inspection and more aggressive oversight by Brazilian government officials. Strictly speaking, it would cover 100% of vessels (even genuinely Brazilian), because each represents a potential risk, such as the problem occurred in the Great Lakes faced by Canadian and American authorities.18,20

Some experiments show that certain biological species grew during the trip.10 And, in addition to temperature, some studies on the survival and growth of bacteria examined variables including tolerance of microorganisms to abrupt changes in temperature and salinity, temperature and salinity annual cycles in ports, historical tanks and concentrations of dissolved oxygen in the receiving waters of Ballast Water.12. As these variables are not monitored (or are not efficiently) in the Amazon ports, ballast water exchange procedures are potentially dangerous for the next environments port areas. Indeed, the ballast water exchange is still one of the most important practical tools for verification of information provided on ships in ports. Nevertheless, the availability and reliability of information is extremely necessary to ensure proper management and quality control of ballast water.5

On this point, it was found that 18 out of 47 completed forms by crews were not answered correctly or completely filled, typically having errors related to conditions where ballast water it was collected, such as salinity, temperature and depth of the place where the source waters were exchanged. It was found that two ships reported that performed the exchange of ballast water conditions in terrestrial environments. Given the coordinates reported by the crew on the forms, this is a gross error that would be legally inadmissible or generate controversy in managerial and legal processes. Furthermore, it was common (11 ships) not even provided information on its origin, suggesting that there were no checks this information in forms.

These observations were cited by Caron Jr17 and Pereira et al.5 which had records of ships that had deslastred water in a 450 km location within the continent. In addition, there are several relevant information to consider which are direct violations of the DPC 2005: 6 ships have changed the waters of his closest tanks of 50 nautical miles from shore, 3 changed less than 95% of the tank capacity of the water and 2 did not perform even the first exchange of water. This fact testifies in favor of a clear vulnerability and suggests the existence of risk n Santana harbor area because this perimeter there is the water collection system in the city of Macapa.21,22

On the other hand, the forms observed suggested an indication that the physical, chemical and microbiological parameters presented unsatisfactory quality of ballast water in ships anchored in the port of Santana based on NORMAM 20/2005. For example, temperature controls the maximum concentration of dissolved oxygen (DO), which is extremely important for the development of aerobic or facultative processes by micro-organisms present in the ballast water. Furthermore, the ballast water must be in accordance with the resolution which recommended CONAMA 357/2005, it is one of the most important factors affecting the survival of microorganisms in ballast water.23 Indeed, microbiological analysis obtained from the ballast water of ships in the Port of Santana resulted in the second exchange in a significant variation and level values outside the standards established by Resolution 357/05 of CONAMA to E. coli and Total Coliformes (CT), which represents risk to the local environment with the presence of ballast water in port area of the Amazon basin.24

On this point it is clear that there is potential risk. In this case, a similar procedure to that which occurs in the Great Lakes in the USA should guide the ballast water management procedures in the Amazon, at least as a preventive measure. The BWMC was adopted by consensus at a diplomatic conference organized by IMO in London in February 2004, and is on marine pollution prevention category, which is one of the three main groups of IMO conventions. Eight states (Argentina, Australia, Brazil, Finland, Maldives, Netherlands, Spain and Syria) signed the instrument indicating agreement with the proposals. Brazil signed in 2005 and ratified in 2009. The Convention19 consists of 22 followed Articles of five sessions with Regulations. Two appendices revealed no BWM International Certification formats as well as data reporting and verification of the Ballast Water Record Book.

The standards for BWM are established by the Convention in the Regulations D-1 and D-2. The Convention introduces these two protective regimes as a sequential stage of implementation: 1) Regulation D-1, which deals with the Ballast Water Standards and requires a minimum of 95% of the exchange of ballast water volume; 2) Regulation D-2, which deals with the Ballast Water Performance Standards requires that the Ballast Water discharge bodies have concentrations below the specified limits. In the absence of a Water Treatment System Ballast (BWTS), is suggested by the MPEC that the exchange of ballast water at sea can reduce the risk of species introductions. This exchange can be conducted by the sequential method, the overflow of the method or the dilution method.

According to the Convention, a ship must carry out, whenever possible, the BWE at least 200 nautical miles (nm) from the nearest land and in water with minimum depth of 200 m. When this procedure is not possible, the BWE should be performed at least 50 nm from the nearest land in waters with a minimum depth of 200 m. However, a vessel is not required to divert their route to meet these required terms. In cases where the distance and depth cannot be reached, the port authority shall designate an area for BWE. The duration of BWE operation at sea, while the boat is moving, is 18-36 h, and ranges from 300-500 km. Questions regarding the positioning of this exchange, and operational safety factors emerge as frequent obstacle to the implementation of the Convention. The philosophy behind the BWE is that coastal organisms when discharged into the sea do not survive and that deep-sea organisms pumped into the tanks when discharged not survive in coastal regions. However, it is established that the densities of organisms are much lower compared to offshore coastal regions, which reduces the risk of introducing species.

As the result of a single BWE is not sufficient to reduce the amount of charged bodies, IMO Convention found that the required adjustment D-1 at least 95% exchange is achieved only when the process is repeated three times. It is good to note that 95% of BWE does not always equate to 95% removal of bodies, as these are not homogeneously distributed in the tanks. BWE is seen as an interim solution, as several studies have shown that the depth and distance to exchange are not followed in different circumstances. However, when possible, until the BWTS is available, the BWE should be performed.

The Ballast Water Performance Standards are positioned in regulation D-2, which stipulates that vessels comply with the discharge values: 1) less than 10 viable organisms per cubic meter greater than or equal to 50 mm in size; 2) less than 10 viable organisms per ml, less than 50 mm in minimum and greater than or equal to 10 mm in minimum size dimensions; 3) unless the following microbes indication concentrations as standards for human health: a) toxic Vibrio cholerae (O1 and O139) with less than 1 colony forming unit (cfu) per 100 ml or less than 1 cfu per 1 g of zooplankton samples, b) E. coli less than 250 cfu per 100 ml, and c) intestinal Enterococci less than 100 cfu per 100 ml.

Figure 6 illustrates a similarity analysis of the operational conditions of 44 ships ballast water which were collected and analyzed on board. In this analysis, between 18 operating variables 9 are storage characteristics, exchange capacity, port of origin and destination, type of vessel, etc. and 9 parameters of water quality. With this type of result is possible to perform a risk assessment for environmental similarity and salinity, and for this important reason the origin of ballast water.25 Moreover, based on the information of (Figure 5) (vessel type) is revealed vulnerable position, since it is primarily a port receives a type of the ship, such as the Amazon region, over 70% of bulk carriers (bulk carrier). Moreover, these are larger than the other types that stop there. So carry larger volumes of ballast water, exposing the region visited to the risks of pollution potential.

Figure 6 Ballast Water Percentage continent (PEREIRA, 2013).

This review can be checked with the ballast water by continent, which reveals risk levels by the similarity, as in the case of ships entering the Amazon to source 50% of this water is African and South America, whose environments tend to provide greater environmental similarity and therefore greater risk to bioinvasion.3,5,6 The BWE and the BWT required in the Convention do not apply to vessels which intend to discharge ballast water in a structure of reception and processing of water on land (onshore). This structure can be constructed following the Guidance G5. However, there is no obligation to build such a structure in the Convention.

In this large ports can be problematic because additional pump must be installed so that the water reaches the treatment structure. Today the ships have standardized connections, making it possible to discharge these treatment facilities. Also under discussion is the development of mobile reception structures. The fact that major exporters of crude oil ports, as Valdez and Scarpa Flow holding such structures since the 70's for the treatment of water contaminated by oil, prove that this whole procedure of treatment is possible and economically viable with the operating costs of ships and modern ports. As part of port State control and to demonstrate compliance with the D-2, port authorities may conduct Ballast Water sampling for subsequent analysis. The IMO has a sampling tab in G2 Policy. The lack of precision in sampling techniques can determine false positive results as a result of failure of organisms.10

Conclusion

This analysis of the management of ballast water in the ports of international movement of ships, is a contribution to Public sector policies, it points the existence of knowledge gaps about the practice of ballast water exchange in the Amazon. Little is known whether or not some existing case of water contamination in the Amazonian ecosystems caused by ballast water issues. But without doubt, the port regions can be considered as high risk. Indeed, it was observed that the main threat or vulnerability management, in addition to international trade, perhaps as compared to the Brazilian ports, intra-Amazon (between different regions with different endemic biota, but environmentally similar). Coastal shipping would be a prime example.

Based on these observations, the following conclusions were drawn:

  1. If there is synergistic effects between contaminated ballast water (living organisms: bacteria E. coli, for example) and negative effects of poor sanitation in urban surroundings of the Port of Santana, both can trigger or worsen an environmental impact situation unprecedented in the region;
  2. The study sheds light on important approaches to be considered, with emphasis on the necessity to establish monitoring systems of the ship ballast water in the Amazon, mainly as a preventive procedure, following the recommendations provided in the environmental legislation (NORMAM-20 and the Environmental Crimes Law - LCA).
  3. The current regulations should be improved and supplemented, based on the precautionary principle, the objective would be to avoid potential damage (irreversible or not), ecosystems, for invasive alien species in the natural environment tends to be irreversible and only partially controllable high technical and financial cost;
  4. The legislation provides, in case of pollution of continental or maritime waters, the framework of polluting actions as environmental crime offense in the case of ballast water cause some damage to the former. Therefore, the protection of Amazonian ecosystems, its waters in general, as well as its economy and public health, is provided for by law. However, there is need to operationalize process management and supervision, especially regarding the monitoring aspects of ballast water in port areas, presenting the greatest risk;
  5. The monitoring of water quality with the "Pilotage Fazendinha" should be started and be able to show propose potential risk scenarios about the environmental damage (eg, propensity to bioinvasion) for being the Amazon basin gateway to the ships of the CMI. But, in general, the recommendations of IMO BWMC Guidelines are implemented in Brazilian ports the effects of pollution can be minimized or controlled. However, few studies available to demonstrate any existing damage;
  6. There is a lack of integration between local leaders of public officials throughout the inspection process observed on board. Included in the Navigation Agencies, Pilotage Fazendinha, to the participation of the Federal Police (Immigration Police), and the Navy of Brazil (the Port). Stands out, especially the batch monitoring system salinity Ballast Water run by the Navy, which is provided by the crew of the ships according to the rules of NORMAM-20;
  7. It is recommended that the BWM Pilotage in the region of Fazendinha is carried out promptly following the standards and guidelines established by BWMC. That is, all vessels step into the Amazon River waters or towards the internal ports of the Amazon Basin to pass through the inspection process, regardless of previous surveys deadlines, since every trip, Ballast Water transported presents characteristics distinct from their homes;
  8. In addition to BWMC, Brazil has various legal mechanisms that can provide support for the protection of the Amazon Environment, as the CF 1988 and other environmental protection laws, such as the Environmental Crimes Law. Above all, there is the matter of national sovereignty, leaving the Brazilian state to protect their wealth through vulnerability evident due to mismanagement or wrongdoing adopted by other countries that they enter here to transport their goods, considering that the authors present this research to realize in Overall, significant flaws in this system in Brazil and even more so in the Amazon.

Acknowledgments

The authors acknowledge the financial support from CAPES and CNPq for financial support through Master's Purse / CAPES, PPGDAPP / UNIFAP and the logistical support to the Chemistry Laboratory and Environmental Sanitation / UNIFAP.

Conflicts of interest

None.

References

  1. UNCTAD. Review of Maritime Transport. UNCTAD Report. 2008.
  2. Williamsa RJ, Griffithsb FB, Van der Wala EJ,et al. Cargo vessel ballast water as a vector for the transport of nonindigenous marine species. Estuarine Coast Shelf Science. 1988;26(4):409–420.
  3. Pereira JPFN. Monitoramento de água de lastro na zona portuária de Santana/AP: suporte às políticas públicas de gerenciamento. Dissertação de Mestrado do PPGDAPP/UNIFAP. 2013.
  4. Silva JSV, Souza RCCL. Água de Lastro e Bioinvasão. Rio de Janeiro. Interciência. 2004.
  5. Pereira NN, Botter RC, Folena RD, et al. Ballast water: a threat to the Amazon Basin. Mar Pollut Bull. 2014;84(1–2):330–338.
  6. Uliano–silva M, Fernandes FCF, De Holanda IBB, et al. Invasive species as a threat to biodiversity: The golden mussel Limnoperna fortune approaching the Amazon River basin. Exploring Themes on Aquatic Toxicology. 2013.
  7. Medcof JC. Living Marine Animals in a Ships' Ballast Water. Proceedings National Shellfish Association. 1975;65:54–55.
  8. Carlton JT. Transoceanic and Intraoceanic dispersal of coastal marine organisms: the biology of ballast water. Oceanogr Mar Biol Ann Rev. 1985;23:313–371.
  9. Mccarthy SA, Khambaty FM. International Dissemination of Epidemic Vibrio cholerae by Cargo Ship Ballast and Other Non–potable Waters. Appl Environ Microbiol. 1994;60(7):2597–2601.
  10. Gollasch S, Jürgen L, Mark D, et al. Survival of Tropical Ballast Water Organisms During a Cruise from the Indian Ocean to the North Sea. Journal of Plankton Research. 2000;22(5):923–937.
  11. Ruiz GM, Rawlings TK, Dobbs FC, et al. Global spread of microorganisms by ships. Nature. 2000;408(6808):49–50.
  12. Drake LA, Doblin MA, Dobbs FC. Potential microbial bioinvasions via ships’ ballast water, sediment, and biofilm. Mar Pollut Bull. 2007;55(7–9):331–341.
  13. Hua J, Huang WH. Effects of voyage routing on the survival of microbes in ballast water. Ocean Engineering. 2012;42:165–175.
  14. Carlton JT. The Impact of Maritime Commerce on Marine Biodiversity. Brown Journal of World Affairs. 2010;16(2):131.
  15. Leal Neto ADE C. Identificando similaridades: Uma aplicação para a avaliação de risco de água de lastro. Tese (Doutorado) apresentada a Universidade Federal do Rio de Janeiro em Ciências em Planejamento Energético. 2007.
  16. Chris C, Rob H, Andrea de ORJ, et al. Ballast Water Risk Assessment, Port of Sepetiba, Federal Republic of Brazil. GloBallast Monograph Series no 14 Final Report. 2003.
  17. Altevir CJ, Luis AOP. Avaliação do risco de introdução de espécies exóticas no Porto de Itajaí E Entorno por meio de água de lastro. Comunicação sobre projeto em andamento. 2007.
  18. Oliveira UC. The Role of the Brazilian Ports in the Improvement of the National Ballast Water Management Program According the Provisions of the International Ballast Water Convention. The United Nations–Nippon Foundation Fellowship Programme 2007–2008. New York. 2008.
  19. IMO. International Convention for the Control and Management of Ships’ Ballast Water and Sediments (BWMC). International Maritime Organization. 2004.
  20. JoAnn MB, Gustaaf MH, Gregory M, et al. Phytoplankton and bacterial assemblages in ballast water of U.S. military ships as a function of port of origin, voyage time, and ocean exchange practices. Harmful Algae. 2007;6(4):486–518.
  21. Cunha AC, Cunha HFA, Brasil AC, et al. Qualidade microbiológica da água em rios de áreas urbanas e periurbanas no Baixo Amazonas: o caso do Amapá. Eng Sanit Ambient. 2004;9(4):322–328.
  22. Cunha AC, Brito DC, Junior ACB, et al.  Challenges and Solutions for Hydrodynamic and Water Quality in Rivers in the Amazon Basin. In: Schulz HE (Eds.), Hydrodynamics – Natural Water Bodies. InTech, Rijeka/Croácia,. 2012;pp.67–88.
  23. Ruiz GM, Carlton JT, Grosholz ED, et al. Global Invasions of Marine and Estuarine Habitats by Non–Indigenous Species: Mechanisms, Extent, and Consequences. Integrative and Comparative Biology. 1997;37(6):621–632.
  24. BRASIL. Resolução CONAMA n° 357 – Dispõe sobre a classificação dos corpos de água E diretrizes ambientais para o seu enquadramento, bem como estabelece as condições e padrões de lançamento de efluentes, e dá outras providências,pp. 2005.58–63
  25. BRASIL. Lei NO 9.605. Lei dos Crimes Ambientais. 1998.
Creative Commons Attribution License

©2015 Scavuzzo, et al. This is an open access article distributed under the terms of the, which permits unrestricted use, distribution, and build upon your work non-commercially.