Submit manuscript...
Journal of
eISSN: 2378-3184

Aquaculture & Marine Biology

Research Article Volume 1 Issue 1

Effects of Salt and Bittern on Inosinic acid- and Inosine-Degrading Enzyme Activity in Pacific Cod Muscle

Naoko Hamada-Sato,1 Hiroko Seki1

1Course of Safety Management in Food Supply Chain, Tokyo University of Marine Science and Technology, Japan
1Course of Safety Management in Food Supply Chain, Tokyo University of Marine Science and Technology, Japan

Correspondence: Naoko Hamada-Sato, Course of Safety Management in Food Supply Chain, Tokyo University of Marine Science and Technology, 4-5-7, Konan, Minato-ku, Tokyo, Japan, Tel 81-3-5463-0389

Received: October 04, 2014 | Published: October 31, 2014

Citation: Seki H, Hamada-Sato N (2014) Effects of Salt and Bittern on Inosinic acid- and Inosine-Degrading Enzyme Activity in Pacific Cod Muscle. J Aquac Mar Biol 1(1): 00001 DOI: 10.15406/jamb.2014.01.00001

Download PDF

Abstract

Pacific cod is often preserved with salt, which maintains the flavor of the fish. The effects of salt on IMPase, an enzyme that degrades inosinic acid (a flavor component), and on HxRase, an enzyme that produces hypoxanthine (a non-flavor component) require investigation to improve our understanding of the influence of salt on the flavor of Pacific cod. Enzymes, including IMPase and HxRase, are strongly influenced by salts. Bitterns are compounds that include high salt concentrations and are sold as food additives, but the effects of bitterns on flavor are unknown. Because of their salt content, bitterns are expected to help maintain the flavor and quality of fish. In this study, we investigate the effects of NaCl and MgCl2, major salt and bittern compounds, on IMPase and HxRase in Pacific cod. In addition, we compare the effects of bitterns derived from seawater or from ion exchange, and of CaCl2 and MgSO4 (compounds in salts and bitterns), and consider the suitability of these compounds for fish preservation. The activity of IMPase and HxRase decreased with increasing concentrations of NaCl and MgCl2, and NaCl had a stronger effect on IMPase while HxRase was more strongly inhibited by MgCl2. We observed mixed noncompetitive inhibition of IMPase by NaCl and 1.7% MgCl2, and of HxRase by 0.42–1.7% MgCl2 and 1.7% NaCl. In contrast, 0.42–0.83% NaCl promoted HxRase activity. IMPase and HxRase activity in Pacific cod was both promoted and non-competitively inhibited by NaCl and MgCl2, depending on the salt concentrations. Furthermore, the characteristics of inhibition of IMPase and HxRase by NaCl and MgCl2 differed. CaCl2 inhibited the activity of both enzymes, but MgSO4 promoted IMPase activity significantly. We conclude that the use of salts or bitterns derived from ionic exchange is advantageous for preserving Pacific cod.

Keywords: Pacific cod, IMPase, HxRase, Salts, Bitterns

Abbreviations

ATP, Adenosine Triphosphate; IMP, Inosinic Acid; NaCl, Sodium Chloride; MgCl2, Magnesium Chloride; ANOVA, Analysis of Variance

Introduction

Pacific cod (Gadus macrocephalus) inhabits the entire North Pacific region and supports the third largest fishery after walleye pollock (Theragra chalcogramma) and Atlantic cod (Gadus morhua). Although walleye pollock is often processed into various food products, Pacific and Atlantic cod are often preserved using salt for transport and consumption worldwide. Salt suppresses bacterial growth and maintains the primary flavor compounds of walleye pollock and silver whiting (Sillago japonica);1 thus, salt is considered an optimal material for processing fish.

Inosinic acid (IMP) is the major flavor component of Pacific cod and accumulates in fish muscle as a breakdown product of adenosine triphosphate (ATP). ATP is broken down enzymatically via the following pathway:

ATP → adenosine diphosphate → adenosine monophosphate → IMP →inosine→ hypoxanthine.2

IMP accumulates in fish muscle, because the degradation of ATP occurs earlier than the breakdown of IMP.2 However, IMP is degraded by IMPase to the non-flavor compounds inosine (HxR) and hypoxanthine (Hx). Therefore, in order to preserve flavor compounds in fish, the most suitable conditions for suppressing IMPase activity must be determined. Several types of IMPases are known3 these enzymes function differently in different fish species, and their activity, thus, should be investigated individually for each species. Here, we investigate the ideal conditions for suppression of IMPase activity to preserve flavor compounds in Pacific cod.

Hypoxanthine is a bitter flavor component in cod flesh preserved on ice.4,5 Because Hx is produced by degradation of HxR by HxRase, HxRase activity must be suppressed to decrease the production of Hx. IMPase activity is relatively high in cod, and this fish tends to accumulate HxR, similar to European sea bass6 and Atlantic bonito.7 Therefore, suppression of IMPase and HxRase activity can inhibit the production of bitter compounds in Pacific cod.

Sodium chloride (NaCl) is frequently used in fish preservation, and bittern, which contains liquid magnesium chloride (MgCl2), has been marketed as a food additive in recent years and has potential for use in fish preservation.

Salts and bitterns are classified according to the manufacturing method used to produce them; some compounds can be produced by various methods. The first category consists of solar salts or seawater bitterns and includes MgSO4, MgCl2, and NaCl. The second category consists of compounds produced using ion-exchange membrane methods and includes NaCl, CaCl2, and MgCl2.8-11 Because enzymes are readily affected by salts,12 enzyme activity can be influenced by adjusting the salt compounds used in a given process. Therefore, the effects of various salts (i.e. NaCl, MgCl2, CaCl2, and MgSO4) on IMPase and HxRase activities in Pacific cod should be evaluated.

In this study, we investigated the effects of salts that are commonly used in fish preservation, and of bittern, which is produced by salt manufacture, on the preservation of flavor compounds and suppression of production of bitter compounds in Pacific cod. To do this, we examined the effects of NaCl and MgCl2 on IMPase and HxRase. In addition, we compared the effects of the salts and bitterns to determine the ideal compounds for preservation of Pacific cod.

Material and methods

Sample preparation

Pacific cod were obtained from the wild in Hokkaido, Japan, between December 2013 and March 2014, and samples of these fish were collected and analyzed. IMPase and HxRase were extracted as enzyme solution by homogenizing combined muscle samples from the three fish in water (1:3 v/v). The homogenate was dialyzed against water for 2 days, after which the dialyzate was filtered (No. 1; Advantec Co., Ltd., Tokyo, Japan) and diluted twice at 10 °C.

Comparison of reaction rate of IMPase and HxRase activity

Enzyme activity should be measured when the reaction rate is constant. We measured IMPase and HxRase activity at 0–50 h and confirmed the reaction rates to determine the appropriate time of measurement. We prepared three standard mixtures consisting of the following (total volume, 4 mL): 2 mL of 50 mM maleic acid/Tris/NaOH (pH 6.9) (for IMPase measurement) or 2 mL of 50 mM KH2PO4/NaOH (pH 6.9) (for HxRase measurement)13 as buffers; and 0.3 mL of 25 mM IMP or HxR with 0.5 mL of enzyme solution for IMPase measurement or 1 mL of enzyme solution for HxRase measurement. The reaction mixture was incubated at 20 °C for 0–50 h, and the reaction was stopped at regular intervals by adding 2 mL of 10% perchloric acid (IMPase measurement) or 15% perchloric acid (HxRase measurement). The precipitate was separated by centrifugation at 13,040 ×g for 5 min at 20 °C. For IMPase, the level of free inorganic phosphate was considered to reflect the level of enzyme activity and was determined using the molybdenum blue method.14 For HxRase, the level of Hx was determined using high-performance liquid chromatography (HPLC). The supernatant was neutralized in potassium hydroxide, and the neutralization salt was precipitated by centrifugation at 13,040 ×g for 5 min at 5 °C. Pure water was then added to obtain 10 mL of supernatant. The supernatant was passed through a Millipore filter (Millex-LG; 0.20 µm), and Hx was quantified using HPLC. The HPLC analyses were performed with the following materials and parameters: column, Shodex GS-320 HQ; solvent, 200 mm NaH2PO4·2H2O; flow rate, 0.6 mL min–1; pump, Hitachi L2130; temperature, 30 °C; detector, Hitachi L7420; wavelength, 260 nm.

Effects of NaCl and MgCl2 on IMPase and HxRase

We added NaCl and MgCl2 to the reaction mixtures in stages and compared the activity of IMPase and HxRase to confirm the effects of NaCl (the major component of salt) and MgCl2 (the major component of bittern) on these enzymes. The three standard reaction mixtures (4 mL) were prepared as described in comparison of reaction rate of IMPase and HxRase activity, and 0.25–1 mL of 10% NaCl or MgCl2 solution was used. Incubation and measurements were performed as described in comparison of reaction rate of IMPase and HxRase activity.

Inhibition of IMPase and HxRase activity by NaCl and MgCl2

We investigated the inhibition of IMPase and HxRase using the Michaels constant (Km) and maximum reaction rate (Vmax). The three standard reaction mixtures (4 mL) were as described in comparison of reaction rate of IMPase and HxRase activity, except that 0.1–0.5 mL of 25 mM IMP or HxR and 0.25–1 mL of 10% NaCl or MgCl2 solution were used. Incubation and measurements were performed as described in comparison of reaction rate of IMPase and HxRase activity.

Effects of bitterns and various salts on IMPase and HxRase

The three standard mixtures were used with the following modifications: 1 mL of bittern or 10% NaCl, MgCl2, CaCl2, or MgSO4 solution was added. Incubation and measurements were performed as described in comparison of reaction rate of IMPase and HxRase activity.

Statistical analysis

Data on levels of free inorganic phosphate or Hx were subjected to one-way analysis of variance (ANOVA) using the least significant difference method. The significance threshold was P< 0.05. All analyses were performed in Microsoft Excel (Microsoft Corp, Redmond, WA).

Results

Enzyme reaction rate and activity

IMPase and HxRase activity in Pacific cod are presented according to the relationship between the concentration of inorganic phosphate produced by IMP degradation or the concentration of Hx produced by HxR degradation and reaction time for 50 h (Figure 1). In general, reaction rates decrease and product concentrations reach a steady state over the course of an enzymatic reaction.15 However, IMPase activity was approximately 0.63 mg/L at 3 h and 58 mg/L at 50 h; HxRase activity was not detected within the first 3 h of the reaction, and 0.67 mM Hx was present at 50 h. The activity of both enzymes increased significantly, as the reaction time increased (P< 0.05). Because the reaction rate increased markedly over 24 h for both enzymes, we compared the average reaction rate over the first 24 h with that over the 50 h assessment for each enzyme. The average reaction rate for IMPase increased from 0.24 to 1.4 mg L–1 h–1 and that for HxRase increased from 0.0095 to 0.018 mM h–1. In addition, we compared the linear correlation for 0–24 h with the correlation for 0-50 h. The correlation for IMPase decreased from R2=0.94 to R2=0.86 and the correlation for HxRase decreased from R2=0.99 to R2=0.89. The correlation was high and the reaction rate remained constant until 24 h, but IMP and HxR degraded markedly after 24 h, as the reaction rate increased. With the objective of measuring enzyme activity when reaction rates were constant, we used the IMPase and HxRase activity at 24 h for subsequent analyses.

Figure 1 Activity of IMPase (A) and HxRase (B) in Pacific cod muscle as a function of reaction time until 48 h.
Enzyme activity was determined by concentrations of inorganic phosphate (PO4) and hypoxanthine (Hx). Bars denote standard deviation of the mean (n = 3). Mean relative activity differed significantly (P< 0.05) each hour. Equations on the left show the linear approximation and correlation coefficients for the entire reaction time (0–48 h); equations on the right are for the reaction from zero to 24 h.
♦: IMPase activity in Pacific cod (A) Linear approximation: y = 1.4x – 16, R2 = 0.86 (until 50h) Linear approximation: y = 0.24x – 0.31, R2 = 0.94 (until 24h)
: HxRase activity in Pacific cod (B) Linear approximation: y = 0.018x – 0.12, R2= 0.89 (until 50h) Linear approximation: y = 0.0095x – 0.022, R2= 0.99 (until 24h)

Effects of NaCl and MgCl2 on IMPase and HxRase activity

The effects of NaCl and MgCl2 are shown in Table 1. The results are presented as activity observed under exposure to the salts relative to activity in the absence of salt addition (considered as 100% activity). IMPase and HxRase activity decreased significantly (P< 0.05) as the concentration of NaCl and MgCl2 increased. Changes in MgCl2 concentration had a stronger effect on enzyme activity than did changes in NaCl concentration. IMPase was inhibited more strongly by NaCl, and HxRase was inhibited more strongly by MgCl2 in the examined concentration range, demonstrating the distinct properties of each enzyme.

Salt

Salt Concentration (%)

IMPase


HxRase

Km

Vmax

Km

Vmax

 

Additive-free

0.47

13

0.62

0.47

 

0.42

0.27

11

0.58

0.52

NaCl

0.83

0.45

11

0.58

0.54

 

1.7

0.37

6.8

0.76

0.51

 

0.42

0.28

164

0.85

0.54

MgCl2

0.83

0.11

51

0.97

0.43

 

1.7

0.43

9.0

0.76

0.34

Table 1 Effects of different concentrations of NaCl and MgCl2 on IMPase and HxRase activity in Pacific cod relative to activity in the absence of salt (100%).
The measured enzyme activities at 100% were as follows: IMPase, 10 mg PO4 (L 24 h)–1; HxRase, 0.33 mmolHx (L 24 h)–1 at pH 6.9. Values are shown as relative activity in the absence of salt addition (considered as 100% activity) and means (SD) of three independent determinations.

Inhibitory effects of NaCl and MgCl2 on IMPase and HxRase activity

We generated Lineweaver-Burk plots that showed the reciprocal substrate concentrations and reaction rates to investigate the inhibition of IMPase and HxRase by different final salt concentrations (Figure 2 and 3). The reaction rates increased when the concentrations of substrate increased (P< 0.05), as seen in the Km and Vmax values (Table 2).

Salt

Salt Concentration (%)

IMPase


HxRase

Km

Vmax

Km

Vmax

 

Additive-free

0.47

13

0.62

0.47

 

0.42

0.27

11

0.58

0.52

NaCl

0.83

0.45

11

0.58

0.54

 

1.7

0.37

6.8

0.76

0.51

 

0.42

0.28

164

0.85

0.54

MgCl2

0.83

0.11

51

0.97

0.43

 

1.7

0.43

9.0

0.76

0.34

Table 2 Changes in Km and Vmax values for IMPase and HxRase activity for each concentration of NaCl and MgCl2. *Km and V>max values were calculated from Figures 2 and 3.

The Km and Vmax values for IMPase activity in Pacific cod (Table 2 and Figure 2) indicated contrasting effects of different concentrations of various salts. Mixed noncompetitive inhibition of IMPase by NaCl and 1.7% MgCl2 was observed (Figure 2); product generation was inhibited as NaCl joined the IMPase and IMPase-substrate complex. As shown in Figure 4, noncompetitive enzyme inhibition was observed.

Figure 2 Lineweaver–Burk plots of IMPase activity in Pacific cod muscle in the presence of NaCl (A) and MgCl2 (B). Bars denote standard deviation of the mean (n = 3). (IMP) shows the concentration of inosinic acid (IMP) (mM). •: 0.42% NaCl or MgCl2; ■: 0.83% NaCl or MgCl2; ♦: 1.7% NaCl or MgCl2; ▲: No salt

The Michaelis–Menten equation is shown as follows:

V= Vmax[S] AKm+B[S] ,A=1+ [I] Ki ,B=1+ [I] Ki' MathType@MTEF@5@5@+= feaagKart1ev2aaatCvAUfeBSjuyZL2yd9gzLbvyNv2CaerbuLwBLn hiov2DGi1BTfMBaeXatLxBI9gBaerbd9wDYLwzYbItLDharqqtubsr 4rNCHbGeaGqiVu0Je9sqqrpepC0xbbL8F4rqqrFfpeea0xe9Lq=Jc9 vqaqpepm0xbba9pwe9Q8fs0=yqaqpepae9pg0FirpepeKkFr0xfr=x fr=xb9adbmqaaeGaciGaaiaabeqaamaabaabaaGcbaGaamOvaiabg2 da9maalaaabaGaamOvaiGac2gacaGGHbGaaiiEaiaacUfacaWGtbGa aiyxaaqaaiaadgeacaWGlbGaamyBaiabgUcaRiaadkeacaGGBbGaam 4uaiaac2faaaGaaiilaiaadgeacqGH9aqpcaaIXaGaey4kaSYaaSaa aeaacaGGBbGaamysaiaac2faaeaacaWGlbGaamyAaaaacaGGSaGaam Oqaiabg2da9iaaigdacqGHRaWkdaWcaaqaaiaacUfacaWGjbGaaiyx aaqaaiaadUeacaWGPbGaai4jaaaaaaa@5690@

And a Lineweaver-Burk plot was created using the following equation:

1 v = AKm Vmax[S] + B Vmax ,A=1+ [I] Ki ,B=1+ [I] Ki' MathType@MTEF@5@5@+= feaagKart1ev2aaatCvAUfeBSjuyZL2yd9gzLbvyNv2CaerbuLwBLn hiov2DGi1BTfMBaeXatLxBI9gBaerbd9wDYLwzYbItLDharqqtubsr 4rNCHbGeaGqiVu0Je9sqqrpepC0xbbL8F4rqqrFfpeea0xe9Lq=Jc9 vqaqpepm0xbba9pwe9Q8fs0=yqaqpepae9pg0FirpepeKkFr0xfr=x fr=xb9adbmqaaeGaciGaaiaabeqaamaabaabaaGcbaWaaSaaaeaaca aIXaaabaGaamODaaaacqGH9aqpdaWcaaqaaiaadgeacaWGlbGaamyB aaqaaiaadAfaciGGTbGaaiyyaiaacIhacaGGBbGaam4uaiaac2faaa Gaey4kaSYaaSaaaeaacaWGcbaabaGaamOvaiGac2gacaGGHbGaaiiE aaaacaGGSaGaamyqaiabg2da9iaaigdacqGHRaWkdaWcaaqaaiaacU facaWGjbGaaiyxaaqaaiaadUeacaWGPbaaaiaacYcacaWGcbGaeyyp a0JaaGymaiabgUcaRmaalaaabaGaai4waiaadMeacaGGDbaabaGaam 4saiaadMgacaGGNaaaaaaa@58A2@

The slope on the Lineweaver-Burk plot upon addition of 0.42% NaCl was smaller than that after no salt addition, whereas the intercept upon addition of 0.42% NaCl was higher than that after no salt addition. Because the lines crossed at x> 0 and y> 0, the conditions were as follows:

Km Vmax > AKm Vmax , 1 Vmax < B Vmax , 1B A1 >0, BA 1A >0 MathType@MTEF@5@5@+= feaagKart1ev2aaatCvAUfeBSjuyZL2yd9gzLbvyNv2CaerbuLwBLn hiov2DGi1BTfMBaeXatLxBI9gBaerbd9wDYLwzYbItLDharqqtubsr 4rNCHbGeaGqiVu0Je9sqqrpepC0xbbL8F4rqqrFfpeea0xe9Lq=Jc9 vqaqpepm0xbba9pwe9Q8fs0=yqaqpepae9pg0FirpepeKkFr0xfr=x fr=xb9adbmqaaeGaciGaaiaabeqaamaabaabaaGcbaWaaSaaaeaaca WGlbGaamyBaaqaaiaadAfaciGGTbGaaiyyaiaacIhaaaGaeyOpa4Za aSaaaeaacaWGbbGaam4saiaad2gaaeaacaWGwbGaciyBaiaacggaca GG4baaaiaacYcadaWcaaqaaiaaigdaaeaacaWGwbGaciyBaiaacgga caGG4baaaiabgYda8maalaaabaGaamOqaaqaaiaadAfaciGGTbGaai yyaiaacIhaaaGaaiilamaalaaabaGaaGymaiabgkHiTiaadkeaaeaa caWGbbGaeyOeI0IaaGymaaaacqGH+aGpcaaIWaGaaiilamaalaaaba GaamOqaiabgkHiTiaadgeaaeaacaaIXaGaeyOeI0IaamyqaaaacqGH +aGpcaaIWaaaaa@5C46@

From the above conditions, we determined that NaCl joined only ES (IMP-IMPase) when 0.42% NaCl was added. When 0.83% and 1.7% NaCl were added (Figure 2), the following conditions were observed:

Km Vmax < AKm Vmax , 1 Vmax < B Vmax , 1B A1 <0, BA 1A <0 MathType@MTEF@5@5@+= feaagKart1ev2aaatCvAUfeBSjuyZL2yd9gzLbvyNv2CaerbuLwBLn hiov2DGi1BTfMBaeXatLxBI9gBaerbd9wDYLwzYbItLDharqqtubsr 4rNCHbGeaGqiVu0Je9sqqrpepC0xbbL8F4rqqrFfpeea0xe9Lq=Jc9 vqaqpepm0xbba9pwe9Q8fs0=yqaqpepae9pg0FirpepeKkFr0xfr=x fr=xb9adbmqaaeGaciGaaiaabeqaamaabaabaaGcbaWaaSaaaeaaca WGlbGaamyBaaqaaiaadAfaciGGTbGaaiyyaiaacIhaaaGaeyipaWZa aSaaaeaacaWGbbGaam4saiaad2gaaeaacaWGwbGaciyBaiaacggaca GG4baaaiaacYcadaWcaaqaaiaaigdaaeaacaWGwbGaciyBaiaacgga caGG4baaaiabgYda8maalaaabaGaamOqaaqaaiaadAfaciGGTbGaai yyaiaacIhaaaGaaiilamaalaaabaGaaGymaiabgkHiTiaadkeaaeaa caWGbbGaeyOeI0IaaGymaaaacqGH8aapcaaIWaGaaiilamaalaaaba GaamOqaiabgkHiTiaadgeaaeaacaaIXaGaeyOeI0IaamyqaaaacqGH 8aapcaaIWaaaaa@5C3A@

Thus, NaCl joined both E (IMP) and ES (IMP–IMPase), with the E (IMPase) combination being stronger.

In contrast, although mixed noncompetitive inhibition of IMPase was observed with the addition of 1.7% MgCl2, IMPase activity was promoted markedly by lower concentrations of MgCl2. MgCl2 joined ES (IMP-IMPase) in a manner more similar to that observed after the addition of 0.83% and 1.7% NaCl. The higher IMPase Vmax values observed after addition of 0.42-0.83% MgCl2 than after no salt addition (Table 2) showed that the rate of enzyme–substrate reaction was rapid. The inhibitory effect of NaCl was higher than that of MgCl2 on IMPase because the Km and Vmax values were lower after addition of 1.7% NaCl than after addition of 1.7% MgCl2.

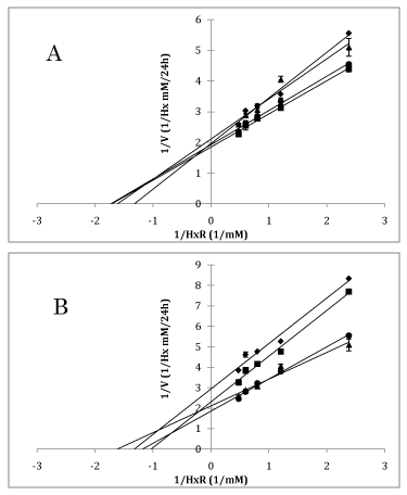
The Km and Vmax values for HxRase activity in Pacific cod (Table 2, Figure 3) revealed contrasting effects of the various salts (Figure 3). Mixed noncompetitive inhibition of HxRase was observed by 0.42-1.7% MgCl2 and 1.7% NaCl, whereas 0.42-0.83% NaCl promoted HxRase activity. Further, NaCl joined only E (HxRase) when 1.7% NaCl was added. This condition was as follows (Figure 3):

Km Vmax < AKm Vmax , 1 Vmax > B Vmax , 1B A1 >0, BA 1A >0 MathType@MTEF@5@5@+= feaagKart1ev2aaatCvAUfeBSjuyZL2yd9gzLbvyNv2CaerbuLwBLn hiov2DGi1BTfMBaeXatLxBI9gBaerbd9wDYLwzYbItLDharqqtubsr 4rNCHbGeaGqiVu0Je9sqqrpepC0xbbL8F4rqqrFfpeea0xe9Lq=Jc9 vqaqpepm0xbba9pwe9Q8fs0=yqaqpepae9pg0FirpepeKkFr0xfr=x fr=xb9adbmqaaeGaciGaaiaabeqaamaabaabaaGcbaWaaSaaaeaaca WGlbGaamyBaaqaaiaadAfaciGGTbGaaiyyaiaacIhaaaGaeyipaWZa aSaaaeaacaWGbbGaam4saiaad2gaaeaacaWGwbGaciyBaiaacggaca GG4baaaiaacYcadaWcaaqaaiaaigdaaeaacaWGwbGaciyBaiaacgga caGG4baaaiabg6da+maalaaabaGaamOqaaqaaiaadAfaciGGTbGaai yyaiaacIhaaaGaaiilamaalaaabaGaaGymaiabgkHiTiaadkeaaeaa caWGbbGaeyOeI0IaaGymaaaacqGH+aGpcaaIWaGaaiilamaalaaaba GaamOqaiabgkHiTiaadgeaaeaacaaIXaGaeyOeI0IaamyqaaaacqGH +aGpcaaIWaaaaa@5C46@

Figure 3 Lineweaver–Burk plots of HxRase activity in Pacific cod muscle in the presence of NaCl (A) and MgCl2 (B). Bars denote standard deviation of the mean (n = 3). (HxR) shows the concentration of inosine (HxR) (mM). •: 0.42% NaCl or MgCl2; ■: 0.83% NaCl or MgCl2; ♦: 1.7% NaCl and MgCl2; ▲: No salts

Figure 4 Model of the inhibition on enzyme. E: enzyme; S: substrate; I: inhibitor; P: product; in this study, E shows IMPase or HxRase, S shows IMP or HxR, I shows NaCl, and P shows PO4 or Hx.

On the other hand, as observed in the mixed noncompetitive inhibition, product generation was inhibited as MgCl2 joined HxRase and the HxRase-substrate complex. Characteristics of inhibition after the addition of MgCl2 depended on the concentration added. Because conditions were the same after addition of 0.42% MgCl2or 1.7% NaCl, MgCl2 joined only E (HxRase) at 0.83% (Figure 3), which is shown as follows:

Km Vmax < AKm Vmax , 1 Vmax < B Vmax , 1B A1 <0, BA 1A <0 MathType@MTEF@5@5@+= feaagKart1ev2aaatCvAUfeBSjuyZL2yd9gzLbvyNv2CaerbuLwBLn hiov2DGi1BTfMBaeXatLxBI9gBaerbd9wDYLwzYbItLDharqqtubsr 4rNCHbGeaGqiVu0Je9sqqrpepC0xbbL8F4rqqrFfpeea0xe9Lq=Jc9 vqaqpepm0xbba9pwe9Q8fs0=yqaqpepae9pg0FirpepeKkFr0xfr=x fr=xb9adbmqaaeGaciGaaiaabeqaamaabaabaaGcbaWaaSaaaeaaca WGlbGaamyBaaqaaiaadAfaciGGTbGaaiyyaiaacIhaaaGaeyipaWZa aSaaaeaacaWGbbGaam4saiaad2gaaeaacaWGwbGaciyBaiaacggaca GG4baaaiaacYcadaWcaaqaaiaaigdaaeaacaWGwbGaciyBaiaacgga caGG4baaaiabgYda8maalaaabaGaamOqaaqaaiaadAfaciGGTbGaai yyaiaacIhaaaGaaiilamaalaaabaGaaGymaiabgkHiTiaadkeaaeaa caWGbbGaeyOeI0IaaGymaaaacqGH8aapcaaIWaGaaiilamaalaaaba GaamOqaiabgkHiTiaadgeaaeaacaaIXaGaeyOeI0IaamyqaaaacqGH 8aapcaaIWaaaaa@5C3A@

From the above, MgCl2 was found to join both E (HxRase) and ES (HxR–HxRase), with the E combination being stronger. After the addition of 1.7% MgCl2, the condition was as follows (Figure 3):

Km Vmax < AKm Vmax , 1 Vmax < B Vmax , 1B A1 <0, BA 1A <0 MathType@MTEF@5@5@+= feaagKart1ev2aaatCvAUfeBSjuyZL2yd9gzLbvyNv2CaerbuLwBLn hiov2DGi1BTfMBaeXatLxBI9gBaerbd9wDYLwzYbItLDharqqtubsr 4rNCHbGeaGqiVu0Je9sqqrpepC0xbbL8F4rqqrFfpeea0xe9Lq=Jc9 vqaqpepm0xbba9pwe9Q8fs0=yqaqpepae9pg0FirpepeKkFr0xfr=x fr=xb9adbmqaaeGaciGaaiaabeqaamaabaabaaGcbaWaaSaaaeaaca WGlbGaamyBaaqaaiaadAfaciGGTbGaaiyyaiaacIhaaaGaeyipaWZa aSaaaeaacaWGbbGaam4saiaad2gaaeaacaWGwbGaciyBaiaacggaca GG4baaaiaacYcadaWcaaqaaiaaigdaaeaacaWGwbGaciyBaiaacgga caGG4baaaiabgYda8maalaaabaGaamOqaaqaaiaadAfaciGGTbGaai yyaiaacIhaaaGaaiilamaalaaabaGaaGymaiabgkHiTiaadkeaaeaa caWGbbGaeyOeI0IaaGymaaaacqGH8aapcaaIWaGaaiilamaalaaaba GaamOqaiabgkHiTiaadgeaaeaacaaIXaGaeyOeI0IaamyqaaaacqGH 8aapcaaIWaaaaa@5C3A@

Thus, after 1.7% MgCl2 was added, a strong ES (HxR–HxRase) combination was noted.

Effects of bitterns and other salts on IMPase and HxRase activity

The effects of bitterns (derived from seawater or ion-exchange membrane) and various salts (NaCl, MgCl2, CaCl2, and MgSO4) on IMPase and HxRase in Pacific cod are shown in Table 3. The results are presented as activity under salt exposure relative to activity in the absence of salts (considered as 100% activity). Both IMPase and HxRase activity were changed significantly by the addition of bitterns or various salts (P< 0.05). The activity of both enzymes was inhibited by bitterns, and a stronger effect was observed for bitterns obtained from ion exchange. Both enzymes were inhibited by all salts, with the exception of promotion of IMPase activity by MgSO4. IMPase and HxRase activity with addition of CaCl2 were shown as reference values, because Ca2+ reacts with PO43– in buffer and precipitates as Ca3(PO4)2.

 

IMPase Activity

HxRase Activity

Additive-free

100*

100*

Bitterns obtained by the ion- exchange membrane method

32(5.2)

24(0)

Bittern obtained from seawater

88(7.9)

56 (1.8)

NaCl

52(8.3)

85(1.8)

MgCl2

63(1.8)

59(1.8)

CaCl2

31(3.0)**

44(1.8)**

MgSO4

713(14)

70(0)

Table 3 Effects of bittern and salts on IMPase and HxRase activity in Pacific cod relative to activity in the absence of salt (100%).
Measured enzyme activities at 100% were as follows: IMPase, 10 mg PO4 (L 24 h)–1; HxRase, 0.33 mm ol Hx (L 24 h)–1 at pH 6.9. Values are shown as relative activity in the absence of salt addition (considered as 100% activity) and means (SD) of three independent determinations ** Reference values are shown for CaCl2 addition

Discussion

Effects of NaCl and MgCl2 on IMPase and HxRase activity

The influence of NaCl and MgCl2 on IMPase and HxRase activity in Pacific cod was confirmed by the inhibition of enzyme activity when the concentration of these salts increased. However, the effects of the salts differed for the two enzymes, with stronger inhibition of IMPase by NaCl than by MgCl2, and the inverse effects on HxRase.

IMPase activity in yellowtail (Seriola quinqueradiata),16,17 sardine (Sardinops melanostictus),17 and horse mackerel (Trachurus japonicus)3,17 was inhibited when NaCl concentrations were increased, consistent with the trend observed in the present study. Although IMPase activity was also inhibited by increasing concentrations of MgCl2, IMPase activity was markedly higher at MgCl2 concentrations below 0.83%. Oba et al. (1993)1 reported that IMPase activity in walleye pollock and silver whiting was inhibited by 4% MgCl2, but IMPase activity in club mackerel (Scomber japonicus)18 and snapper (Pagrusauratus)19 were promoted by approximately 0.095% and 0.019% MgCl2, respectively. Therefore, IMPase activity is readily influenced by changing concentrations of MgCl2, and the effects of MgCl2 on IMPase activity in Pacific cod differ from those of NaCl, in that enzyme activity is markedly promoted by low concentrations of MgCl2. The effects of MgCl2 on HxRase in sand dab

(Pseudopleuronectesobscurus[Herzenstein]) and Japanese common squid (Todarodespacificus) were reported previously, but the effects of NaCl have not been described. HxRase activity in sand dab with approximately 0.012% Mg2+was approximately 30% of that in the absence of salts.20 Thus, HxRase activity in sand dab was inhibited by a lower concentration of Mg2+than was examined in the present study. Here, HxRase activity in Pacific cod muscle treated with approximately 0.1% Mg2+was approximately 95% that of HxRase activity in the absence of salts, suggesting that HxRase activity will be promoted at Mg2+concentrations of <0.1%. Therefore, HxRase activity is inhibited more easily in sand dab than in Pacific cod. On the other hand, HxRase activity in common squid was promoted by 0.012% Mg2+,20 indicating that the effects of Mg2+on the activity of that enzyme differ in different fish. Therefore, the properties of HxRase are likely to vary among fish species. In summary, HxRase activity in Pacific cod tends to be inhibited when concentrations of MgCl2 are higher than those of NaCl, and HxRase activity is not influenced more markedly than IMPase activity by NaCl and MgCl2.

Inhibitory effects of NaCl and MgCl2 on IMPase and HxRase activities

The IMPase and HxRase activities in Pacific cod was both promoted and non-competitively inhibited by NaCl and MgCl2, depending on the salt concentrations. Furthermore, the inhibition style of NaCl and MgCl2 on IMPase and HxRase were different. In this study, all the enzymes of Pacific cod were investigated. Since IMPase and HxRase are not refined enzymes, future studies should investigate the effect of salts on refined IMPase and HxRase. It has been reported that IMPase and HxRase activity in walleye pollock and silver whiting were non-competitively and uncompetitively inhibited, respectively, by NaCl1 but that IMPase activity in yellowtail was competitively inhibited by NaCl,17 supporting that the type of enzymatic inhibition by salts differs among fish. The Km and Vmax values for IMPase and HxRase (Table 2) showed that IMPase activity was stronger than HxRase activity in Pacific cod.

Effects of bitterns and various salts on IMPase and HxRase activity

IMPase and HxRase were inhibited by bitterns obtained by ion exchange and from seawater, but with stronger inhibition produced by the former (Table 3). This is because bitterns obtained by ion exchange contain CaCl2, and both IMPase and HxRase were inhibited most strongly by CaCl2. Seawater bitterns contain MgSO4, which inhibited HxRase and promoted IMPase. In addition, because the composition of bitterns obtained by ion exchange is determined by the ionic concentrations of the membrane, the concentration of MgCl2 in these bitterns is higher than that of seawater bitterns. It is likely that the influence of the different bitterns on IMPase and HxRase activity differed because of the contrasting composition and concentration of MgCl2 in each compound. HxRase activity with added CaCl2 was shown as a reference value. However, when PO4 is released by degradation of IMP and precipitates with Ca as Ca3(PO4)2, PO4, which is required for HxRase activity, is removed from the solution, leading to a decrease in HxRase activity. Hence, it is preferable to use salt or bittern produced via ion exchange, because these compounds contain CaCl2.

Conclusion

In this study, we investigated the effect of various salts and bitterns on IMPase and HxRase in Pacific cod muscle, and we assessed the suitability of these process able salts and bitterns. IMPase and HxRase activities decreased with increasing concentrations of NaCl and MgCl2, and NaCl exerted stronger effect on IMPase while HxRase was more strongly inhibited by MgCl2. In addition, the style of inhibition by NaCl and MgCl2 depends on the salt concentration. Activity of both enzymes was more strongly inhibited by bitterns obtained via ion exchange membrane than from seawater. In addition, IMPase and HxRase activity was inhibited by CaCl2 but IMPase promoted by MgSO4. Therefore, it is preferable to use salt or bittern produced by ion exchange, because these compounds contain CaCl2. In addition, IMPase and HxRase activity was inhibited, flavor compounds were preserved, and the production of bitter components was inhibited when the concentration of salts exceeded 1.7%.

Acknowledgments

None.

Conflicts of interest

None.

References

  1. Oba K, Niwa E. The mode of inhibition by salts to two enzymes involved in IMP degradation in fish flesh. J Food Sci Technol. 1993;48(8):583–588.
  2. Srirangsan P, Hamada–Sato N, Kawai K, et al. Improvement of fish freshness determination method by the application of amorphous freeze–dried enzymes. J Agric Food Chem. 2010;58(23):12456–12461.
  3. Ooizumi T. Effect of sodium chloride on inosine monophosphatase activity in fish meats and degradation of inosinic acid during drying process of salted fish meats. Research Report of the Salt Science Research Foundation. 2010;133–140.
  4. Jones NR. Fish Flavors. Proceedings of the Flavor Chemistry Symposium. Campbell Soup Company. 1961;61.
  5. Japan Society of Refrigerating and Air Conditioning Engineers.ATP related compounds. Accessed May 20. 2014.
  6. Ozogul F, Ozden O, Ozogul Y, et al. The effects of gamma–irradiation on the nucleotide degradation compounds in sea bass (Dicentrarchuslabrax) stored in ice. Food Chem. 2010;122(3):789–794.
  7. Rzepka M, Oezogul F, Surowka K, et al. Freshness and quality attributes of cold–stored atlantic bonito (Sardasarda) gravid. Int J Food Sci Technol. 2013;48(6):1318–1326.
  8. Niino Y, Nishimura H, Koga A, et al. Quality of common salt. J Cookery Science of Japan. 1999;32(2):133–144.
  9. Hashimoto T, Murakami M. Science of Salt. Asakurasyoten, Tokyo. 2003;p.152.
  10. Niino Y, Nishimura H, Koga A, et al. Quality of common salt (part II). J Cookery Science of Japan. 2003;36(3):305–320.
  11. Haga M, Niino Y, Nishimura H, et al. Quality of bittern products. Journal of Cookery Science of Japan. 2005;38(3):281–285.
  12. Williams NH. Magnesium ion catalyzed ATP hydrolysis. J Am Chem Soc. 2000;122(48):12023–12024.
  13. Perrin DD, Tsuji K, Koudansya, et al. Buffers for pH and metal ion control. Trans Tokyo. 1981.
  14. The Salt Industry Center of Japan. Analysis Method of the Salt. The Salt Industry Center of Japan, Tokyo. 2007.
  15. Zeffren E, Hall PL, Tabushi I. The Study of Enzyme Mechanisms. Trans University of Tokyo Press, Tokyo. 1977.
  16. Yang S, Endo K. Processing Effects on the Decomposition of Inosinic Acid in Yellowtail Muscle. Research Journal of Living Science. 1992;38(2):51–57.
  17. Tomioka K, Endo K. Effect of sodium chloride and glycerine on activities of enzymes decomposing 5′–inosinic acid in fish muscle. Nippon Suisan Gakk. 1988;54(11):1947–1951.
  18. Obatake A, Doi T, Ono T. Post–mortem degradation of inosinic acid and related enzyme activity in the dark muscle of fish. Nippon Suisan Gakk. 1988;54(2):283–288.
  19. Nedachi K, Hirota N. Changes in ATP related compounds and IMP–degrading enzyme activity of New Zealand golden snapper. Nippon Suisan Gakk. 1991;57(2):329–335.
  20. Nakano T, Ito E, Nakagawa T, et al. Properties of inosine–decomposing enzymes from aquatic animal muscle. Nippon Suisan Gakk. 1990;56(4):633–639.
Creative Commons Attribution License

©2014 Seki, et al. This is an open access article distributed under the terms of the, which permits unrestricted use, distribution, and build upon your work non-commercially.