Submit manuscript...
Journal of
eISSN: 2378-3184

Aquaculture & Marine Biology

Research Article Volume 12 Issue 2

Redescription of Astyanax brevoortii (Gill, 1858) (Characiformes, Characidae) and description of three new species of Astyanax subgenus Poecilurichthys, Caribbean Sea, Venezuela

Raquel I. Ruiz-C,1 César Román- Valencia,1 Donald C. Taphorn2

1Universidad del Quindío, Laboratorio de Ictiología, Colombia
21822 North Charles Street, USA

Correspondence: César Román-Valencia, Universidad del Quindío, Laboratorio de Ictiología, A. A. 2639, Armenia, Quindío, Colombia

Received: May 15, 2023 | Published: May 26, 2023

Citation: Ruiz-C, Román-Valencia & Taphorn. Redescription of Astyanax brevoortii (Gill, 1858) (Characiformes, Characidae) and description of three new species of Astyanax subgenus Poecilurichthys, from Caribbean Sea basins, Venezuela. J Aquac Mar Biol. 2023;12(2):116-127. DOI: 10.15406/jamb.2023.12.00364

Download PDF

Abstract

In Astyanax (Poecilurichthys), we recognize six species-groups defined by the distribution of melanophores on the body: 1. bimaculatus; 2. rupununi; 3. abramis: 4. orthodus; 5. asuncionensis; and 6. anterior, which are named for a representative species. Astyanax brevoortii1 is redescribed using specimens from Trinidad (including types). This species, as a member of the bimaculatus species-group, is distinguished by lacking a concentration of melanophores outlining the scale margins on the sides of body. Three new species of the bimaculatus species-group are described: A. caroni n. sp. from the Caroni River drainage, which differs in having all of the teeth of the internal premaxillary series pentacuspid (vs. heptacuspid), and the length of the caudal-peduncle spot which is less than two times the eye diameter (vs. at least twice eye diameter). A. garuttii n. sp. from the San Juan River and Gulf of Cariaco drainages is distinguished by osteological characters and by morphological characters identified by principal component analysis. A. cuyuni n. sp. from the Cuyuni River (Essequibo River Basin), is distinguished by having a foramen in the pterotic and sphenotic bones (vs. absent), and the shape of the last two neural spines that form a posteriorly directed arc, that covers the epineurals.

 Keywords: characid fish, cryptic species, diversity, evolution, morphology, osteology

Introduction

The numerous species of the genus Astyanax in many ways characterize the problematic taxonomic diversity of Neotropical characid genera with many superficially similar species with reportedly widespread geographical distributions. Astyanax species can be found from southern Texas in the United States of America throughout Central and South America to Patagonia, in the extreme southern tip of Argentina. They occupy a wide diversity of niches and bodies of water from the high Andes to lowland coastal swamps.2,3

Eigenmann4 presented a relationships scheme within the genus Astyanax and using morphological characters grouped species into three subgenera: Astyanax, Poecilurichthys and Zygogaster.3 Eigenmann4 included 24 species in Poecilurichthys, of which six have been reassigned to other genera of Characidae: Ctenobrycon alleni, Jupiaba assymetricus, J. polylepis, J. zonatus (Eigenmann 1908), J. abramoides (Eigenmann 1909), and J. potaroensis (Eigenmann 1909). The species A. riveti (Pellegrin 1907) and A. pellegrini (Eigenmann 1907), are currently considered species “inquirendae” within Characidae.2 Three species once considered to be subspecies of A. bimaculatus: A. bimaculatus borealis Eigenmann 1908, A. bimaculatus paraguayensis Eigenmann 1921,4 and A. bimaculatus vittatus (Castelnau 1855), are now treated as synonyms of A. bimaculatus.5 A. bimaculatus lacustris (Lütken 1875), and A. bimaculatus novae (Eigenmann 1911) are considered to be valid species.5

In the redescription of A. bimaculatus4 several species were proposed as synonyms, among them A. rupununi Fowler, 1914 and A. brevoortii (Gill 1858). A. rupununi was redescribed and recognized as a valid species by Garutti,6 but he still treated A. brevoortii as a synonym of A. bimaculatus.

Today fourteen species of those considered by Eigenmann4 are assigned to the subgenus Poecilurichthys: A. erythropterus (Holmberg 1891), A. correntinus (Holmberg 1891), A. festae (Boulenger 1898), A. symmetricus Eigenmann 1908, A. bourgeti Eigenmann 1908, A. anterior Eigenmann 1908, A. abramis (Jenyns 1842), A. bimaculatus (Linnaeus 1758), A. janeiroensis Eigenmann 1908, A. goyacensis Eigenmann 1908, A. lacustris (Lütken 1875), A. novae (Eigenmann 1911), A. orthodus Eigenmann 1907 and A. rupununi (Fowler 1914), of which A. erythropterus, A. correntinus, A. festae, and A. symmetricus do not have the characteristics typical of the subgenus Poecilurichthys.

Since Eigenmann,4 sixteen species have been described: A. poetzschkei Ahl 1932; A. superbus Myers 1942;7 A. myersi,8 A. asuncionensis Géry 1977;9 A. leopoldi Géry, Planquette & Le Bail 1988; A. maculisquamis Garutti & Britski 1997;10 A. unitaeniatus Garutti 1998;11 A. argyrimarginatus Garutti 1999;12 A. villwocki Zarske & Géry 1999;13 A. altiparanae Garutti & Britski 2000;14 A. clavitaeniatus Garutti 2003;6 A. siapae Garutti 2003; A. bockmanni Vari & Castro 2007; A. utiariti Bertaco & Garutti 2007;15 A. xavante Garutti & Venere 200916 and A. serratus Garavello & Sampaio 2010;17 which according the to definition presented below, can be considered members of the subgenus Poecilurichthys.

In this study we use morphological and osteological characters to revise the taxonomic status of A. brevoortii, described from the Island of Trinidad, and compare it with nearby populations previously identified as A. bimaculatus from the Orinoco River Basin in Venezuela, the Essequibo River basin of Guyana and the Caribbean coastal streams of Venezuela, with the intention of recognizing the rich taxonomic diversity of the bimaculatus species-group of the subgenus Poecilurichthys.

Material and methods

Specimens examined were previously identified as A. bimaculatus, from the Island of Trinidad, (type locality of A. brevoortii), and nearby locations in the Orinoco River basin, Caribbean coast streams of Venezuela, and Guyana including the Caroní, San Juan and Cuyuní River drainages in Venezuela. Comparative material includes A. bimaculatus from Suriname.3 Specimens were identified using keys4,9,18,19, original descriptions10,6, and lists2,5. Observations were made on the syntypes of A. brevoortii deposited in USNM (Figure 1)

Figure 1 Poecilurichthys brevoortii, syntypes, USNM 1113, 67.3 and 64.6 mm SL, Trinidad.

Morphological data were taken with digital calipers, with 0.1 mm precision, and are expressed as percentages of Standard Length (SL) and Head Length (HL). Counts and measurements follow Fink & Weitzman.20 To take allometric growth into consideration, all measurements were transformed using the methods of Burnaby,21 thus reducing the error inherent when comparing fishes of different sizes. The software package PAST (Version 1.81) for Windows22 was used to perform a multivariate analysis of principal components (PCA). The Kruskal-Wallis test was performed, to evaluate critical characters useful for discrimination of the species. Observations of cartilage and bone were made using cleared and stained specimens (abbreviated c&s) prepared with methods described by Song & Parenti.23 Bone nomenclature follows Weitzman.24 Institutional abbreviations follow Sabaj-Perez.25 The list of material examined includes the museum catalog number, followed by the number of individuals and the size range of standard length, locality information and date of collection.

Results

Considerations of the pigmentation patterns in Poecilurichthys: Most of the species of Poecilurichthys exhibit a common pigmentation pattern that varies in the distribution and concentration of melanophores in the humeral region (the humeral “spot”) also present in species of many other the genus Astyanax and of many other genera, such as Moenkhausia and Jupiaba. Subtle but consistent variations in the humeral region pigmentation pattern were found to be useful to reveal taxonomic diversity among species of Poecilurichthys. Besides the shape and distribution of the humeral spot(s), melanic pigmentation present in other regions of the body was also found to be systematically informative. These regions include pigment outlining the horizontal skeletal musculature septa, the caudal-peduncle “spot” on the lateral portion of the caudal peduncle, the presence, extent and intensity of black pigment on the middle caudal-fin rays, and melanophores on the borders of the scales on the sides of the body. We consider those regions to be homologous among the species studied, and document what seems to be a pattern of continuous variation among the species of Poecilurichthys.

Species of the subgenus Poecilurichthys have been characterized,6 as having two, sometimes vertically elongated humeral “spots” defined as the anterior and posterior spots. The anterior spot can have two configurations: vertical or horizontal, and sometimes both configurations are observed superimposed. The posterior humeral spot if present is usually vertical (Figure 2). Other pigmentation patterns of these species that have been recognized as useful for systematics include the caudal peduncle spot that may or may not extend anteriorly onto the lateral stripe of the body or posteriorly on to the middle caudal-fin rays. Some species of Poecilurichthys have a black border on the posterior margin of the scales of the humeral region on the sides. Other species have melanophores outlining the myosepta of the horizontal skeletal muscles, along the length of the lateral stripe. In this study we have recognized six generalized pigmentation patterns among species studied, that help define taxonomically useful species-groups (Figure 3, 1–6). These patterns, while usually including the defining characteristics of the group, can show individual phenotypic variation. The method of specimen preservation can also affect the expression of these characters. The groups defined for the species of Poecilurichthys are:

  1. Bimaculatus species-group: these species show a reticular pattern on the sides of the body consisting of black outlines of the posterior margins of the scales. This pattern is not present in A. brevoortii, but we include it in this species-group based on the other characters described below. Although a similar pigmentation pattern is also present species of other recognized species-groups of Poecilurichthys (A. asuncionensis and A. orthodus), in the bimaculatus group the melanophores are present on the posterior scale margins (vs. melanophores concentrated on medial portion of scales, or in the anterior angles where the scales make contact with adjacent scales). In this group the melanophores of the caudal peduncle spot are restricted to just the caudal peduncle (vs. melanophores extending anteriorly onto lateral stripe). The bimaculatus species-group includes: A. bimaculatus, A. bockmanni and A. janeiroensis (Figure 3A).
  2. Rupununi species-group: these species have a lateral stripe of melanophores that extends from the caudal peduncle anteriorly along the pored scales of the lateral line, reaching anterior to beyond a vertical line through the anal-fin origin, the stripe gets progressively thinner anteriorly, and runs along the dorsal border of the second horizontal series of scales above the pored scales of the lateral line. In some species this lance-shaped projection extends forward beyond the anterior humeral spot. This species-group includes: A. argyrimarginatus, A. clavitaeniatus, A. goyacensis, A. rupununi, A. siapae, A. unitaeniatus and A. utiariti (Figure 3B).
  3. Abramis species-group: in this group melanophores are not conspicuous on the caudal peduncle, and the relatively wide, lateral stripe covers the pored scales of the posterior portion of the lateral line, and reaches one or two horizontal scale rows above and below the lateral line. This species-group includes: A. abramis, A. altiparanae, A. serratus and A. xavante (Figure 3C).
  4. Orthodus species-group: in these species the humeral spot is polygonal in shape and positioned above the lateral line (vs. humeral spot a horizontal ellipse) and melanophores are present between the muscle septa along the sides, extending dorsal and ventral from the lateral midline forming a pattern of chevrons, this species-group includes: A. orthodus, A. leopoldi, A. superbus and A. villwocki, A. yariguies, A. embera, A. gandhiae, A. multidens, A. boliviensis and A. moorii (Figure 3D).
  5. Asuncionensis species-group: These species have melanophores present on the medial portion of the scales on the sides of the body, that are concentrated at the angle of contact between adjacent scales, giving the aspect of a reticulated pattern on sides, that is most noticeable in the region of the coelomic cavity. This species-group includes: A. asuncionensis and A. maculisquamis (Figure 3E).
  6. Anterior species-group: These species have the melanophores of the caudal region restricted to the proximal portion of the middle caudal-fin rays, melanophores are absent from the caudal peduncle except in A. anterior which has a thin and conspicuous black lateral stripe that extends posteriorly from the humeral spot, but is notably absent from the caudal peduncle, this species-group includes: A. anterior, A. bourgeti, A. novae, A. myersi and A. poetzschkei (Figure 3F).

Figure 2 Distribution of melanophores in humeral region of Astyanax subgenus Poecilurichthys. Anterior humeral spot consists of two superimposed configurations (1 and 2) and a posterior humeral spot (3) that consists of one configuration.
1: anterior vertical bar;
2: conspicuous horizontal spot;
3: posterior, vertically elongate spot.

Figure 3 Patterns of pigmentation present in the species of the subgenus Poecilurichthys, modified of Eigenmann (1921).
A. bimaculatus type,
B. rupununi type,
C. abramis type,
D. orthodus type,
E. asuncionensis type,
F. anterior type.

Astyanax brevoortii (Gill 1858)

Figure 1–4, Table 1

Figure 4 Astyanax brevoortii. MCNG 8241. Matura, Trinidad. Scale: 1 cm.

Poecilurichthys brevoortii Gill 1858:1 417 Annals of the Lyceum of Natural History of New York 6 (10-13); type locality: Trinidad Island, West Indies. Syntypes: USNM 1113 (2). Type catalog: Vari & Howe 1991:34. Synonym of Astyanax (Poecilurichthys) bimaculatus Eigenmann 1921:4 249.

Nontypes: MCNG 8197, (1 ex), 98.1 mm SL; río Guanapo, 21 Jun. 1986. MCNG 8228, (5 ex), 26.3-52.7 mm SL; caño Cedros, Trinidad, 22 Jun. 1983. MCNG 8241, (6 ex), 3.4-4.9 mm SL; Matura, Trinidad, 23 Jun. 1983. MCNG 8250, (4 ex + 2 ex c&s), 37.6-72.9 mm SL; Matura, Trinidad, 23 Jun. 1983. AMNH 215258, (14 ex + 1 c&s), 71.7-98.7 mm SL; Saint Andrew Country, Trinidad, 16 Jul. 1979. AMNH 215269 (5 ex), 74.3-97.5 mm SL; Arima, Trinidad, 16 Jul. 1979.

Diagnosis

brevoortii is a member of the bimaculatus species-group. It can be distinguished from members of the orthodus species-group (A. leopoldi, A. orthodus, A. superbus, A. yariguies, A. embera, A. gandhiae, A. multidens, A. boliviensis and A. moorii), by the lack of pigment outlining the muscle septa along the lateral midline of the body (vs. pigment outlining muscle septa present). From the species of the anterior group (A. anterior, A. bourgeti, A. novae, A. myersi and A. poetzschkei) by having conspicuous melanophores forming a caudal-peduncle spot that occupies more than one third of the caudal peduncle depth (vs. caudal peduncle spot without melanophores or restricted to middle caudal-fin rays). It differs from the species of the rupununi group (A. argyrimarginatus, A. clavitaeniatus, A. goyacensis, A. rupununi, A. siapae, A. unitaeniatus and A. utiariti) in having a short caudal peduncle spot (vs. caudal peduncle spot long, and extending anteriorly along midlateral stripe to beyond anal-fin origin); it differs from members of the abramis group (A. abramis, A. altiparanae, A. lacustris, A. serratus and A. xavante) by having a short but conspicuous caudal peduncle spot, restricted to just the caudal peduncle (vs. caudal peduncle spot not conspicuous, extended a short distance above lateral band).

Although A. brevoortii has a caudal peduncle spot similar to that of A. bimaculatus, a species now considered limited to Suriname,6 it differs from A. bimaculatus in lacking pigment outlining the scales of the sides to form a reticulated pattern (vs. scales of sides with margins outlined with melanophores to form a reticulated pattern), a character that also separates A. brevoortii from the species of the asuncionensis group (A. maculisquamis and A. asuncionensis). A. brevoortii differs from the other species of the bimaculatus group as follows: from A. janeiroensis, by the presence of only one tooth on the maxilla (vs. two); from A. bockmanni, by having only a diffuse, inconspicuous, vertical humeral patch of pigment overlying the denser, horizontally ovate humeral spot characteristic of most Poecilurichthys (vs. conspicuous vertical patch of pigmentation present overlying ovate, denser horizontal humeral spot, and more noticeable than horizontal element of the configuration). It differs from the other new species described herein as follows: posterior tip of quadrate in A. brevoortii forming a wide, convex arc (vs. quadrate tip narrow, transverse, Figure 5), except from A. garuttii n. sp. a species present in coastal Caribbean streams of Venezuela, from which it can be distinguished in having the lateral process of the palatine with a lateral notch where it unites with the anterior tip of the ectopterygoid (vs. notch absent, Figure 6); in having the dorsal surface of the cranium straight (vs. concave or sigmoidal shaped); and in having the internal ventral tip of the sphenotic transverse (vs. convex, concave).

Figure 5 Posterior tip of quadrate in:
A. A. brevoortii.
B. A. cuyuni n. sp. Scale 1 cm.

Figure 6 Form of junction between palatine and ectopterygoid in: A. A. brevoortii. B. A. garuttii n. sp. Scale1 cm.

Description

Body compressed, greatest body depth at or anterior to dorsal-fin origin. Mouth terminal. Dorsal profile of head straight between snout tip and posterior margin of supraoccipital spine. Predorsal profile convex, same as postdorsal region from last dorsal-fin ray to adipose-fin origin. Predorsal area lacking complete series of scales along dorsal midline, only 1-3 scales present anterior to dorsal-fin origin.

Preventral profile and anal-fin base convex, caudal peduncle elongate, dorsal and ventral profiles slightly convex.

Pored scales of lateral line 32-41 (36), scales from lateral line to dorsal-fin origin 7-8 (7), scales from lateral line to anal-fin origin 6-7 (6). Dorsal-fin rays iii, 9, first simple ray reduced in size, only visible in cleared and stained specimens, second simple ray about half length of third simple ray. Distal margin of dorsal fin slightly convex. Adipose fin anterior to vertical through insertion of last anal-fin ray. Pectoral-fin rays i-ii, 10-13. Anal-fin rays iii-iv, 26-31 (Table 1), first simple rays only visible in cleared and stained material. Anal-fin origin posterior to vertical through insertion of last dorsal-fin ray.

Color in alcohol

Head chestnut brown on dorsum, sides silver, ventrum white. Sides of body silver. Anterior humeral spot black, conspicuous, horizontally ovate, located over third to sixth scales of lateral line, arcs of less dense black pigment extending up from posterior part and down from anterior part of ovate spot, posterior humeral spot brown, vertically elongate forming arc opening anteriorly, spots separated by two to three scales without melanophores, forming an ocellus, characteristic of most Poecilurichthys species. Caudal-peduncle spot rhomboidal, horizontally elongate, anterior tip diffuse, over posterior part of lateral stripe, reaching anteriorly short distance beyond posterior tip of anal fin (Figure 3A).

Sexual dimorphism

Males with hooks on medial and distal portions of anterior 7-12 anal-fin rays including longest simple ray; hooks on medial and distal parts of all branched pelvic-fin rays (not developed in all individuals).

Distribution

Known only from the Island of Trinidad (Figure 7).

Figure 7 Geographic distribution of the species of the Astyanax bimaculatus group in northeastern South America. A. brevoortii (Δ), A. caroni n. sp. (○), A. garuttii n. sp. (+) and A. cuyuni n. sp.(□).

Comments

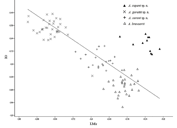
Principal Component Analysis (PCA) of A. brevoortii and other populations from northeastern South America previously identified as A. bimaculatus revealed significant differences among species, based on several characters, the most important of which are the postorbital length of the maxilla, upper jaw and head (Figure 8: the first component explained 45% of total variation, the second 33.1%, the first summed with the third, 61.4%; the sum of components 2 and 3 49.5%). Linear regression analysis of the upper jaw length and interorbital width showed negative correlation of these variables in A. brevoortii (vs. positive correlation in the other species studied) and so separated it from the other species included in the analysis (r=-0.57, P=2.18, (Figure 9). A Kruskal-Wallis test revealed significant differences among A. brevoortii and the populations present in the San Juan River drainages and tributaries of the Gulf of Paria, which are morphologically very similar (Table 2).

Figure 8 Plot of Principal Component Analysis for A. brevoortii (Δ), A. caroni n. sp. (+), A. garuttii n. sp. (Χ) and A. cuyuni n. sp. (▲). A. Between the first and third axis, which together explain 61.4 % of the variation; B. Between the second and third axis, which together explain 41.5%.

Figure 9 Linear regression between infraorbital width and upper jaw length for A. brevoortii (Δ), A. caroni n. sp. (+), A. garuttii n. sp. (Χ) and A. cuyuni n. sp. (▲).

Astyanax caroni, new species

zoobank.org:act:049AA88B-650C-408D-9726-E608FEED6CCB.

Figure 10, Table 1

Figure 10 Astyanax caroni n. sp. MCNG 56440, holotype, 70.8 mm SL. Tocomita River east of Guri airport, Caroní River drainage, Bolívar state, Venezuela.

Holotype

MCNG 56440, female, 70.8 mm SL, Venezuela, Bolívar state, Caroní River drainage, Creek tributary to Tocomita River, east of Guri airport, in pool at culvert, 7°76ꞌ94"N, 63°08ꞌ06"W. 03 Jul. 1988. D. C. Taphorn, A. Barbarino, O. Leon Mata, L. Balbas, R. Morales, A. Farrera.

Paratypes

All from Venezuela, Bolivar state. AUM 55081, (7 ex + 3 c&s), 25.5-59.1 mm SL; naciente del río Claro en el Fundo el Barco, entrando por casa verde desde la vía Puerto Ordaz-Ciudad Piar (7°60ꞌ50"N 63°34ꞌ58"W), cuenca del río Caroní, 03 Nov. 1988. MCNG 18212, (6 ex), 53.1-62.4 mm SL; cañito que cae al río Caroní, cerca de la playa río abajo de la presa (7°82ꞌ22"N 63°98ꞌ75"W), 17 Mar. 1988. MCNG 18234, (3 ex), 44.0-45.0 mm SL; río Tocoma al este de San Juan de Tocoma, cuenca Caroní (7°72ꞌ92"N 63°15ꞌ83"W), 03 Oct. 1988. MCNG 18252, (4 ex), 36.7-45.4 mm SL; río Claro en el puente en la vía a Gurí (7°91ꞌ67"N 63°08ꞌ89"W), cuenca Caroní, 03 Nov. 1988. MCNG 18283, (8 ex), 47.5-69.4 mm SL; río Tocomita 5 km al norte del cruce al aeropuerto de Gurí (7°80ꞌ69"N 63°09ꞌ86"W), cuenca Caroní, 03 Jul. 1988. MCNG 18331, (7 ex), 41.8-51.4 mm SL; río Tocoma medio, parte baja en una entrada por la vía del ferrocarril bajo cables de alta tensión (7°84ꞌ44" 63°08ꞌ50"W), cuenca Caroní, 3 May. 1988. MCNG 18387, (2 ex), 33.7-42.9 mm SL; río Claro al este de Los Tanques (7°92ꞌ22" 63°10ꞌ14"W), cuenca Caroní, 03 May. 1988. MCNG 18461, (8 ex), 44.5-58.5 mm SL; río Tocomita en pozo aislado 2 km arriba de RC_7, cuenca Caroní, 3 Jul. 1988. IUQ 3125, (6 ex), 49.4-77.6 mm SL; cañito afluente al rio Tocomita al este del aeropuerto en Gurí en pozo de la alcantarilla, cuenca Caroní, 1988. MCNG 18517, (2 ex), 68.3-72.7 mm SL; alto rio Tocoma, un morichal cerca de Mereycito (7°47ꞌ08"N 63°24ꞌ17"W), cuenca Caroní, 3 Aug. 1988. MCNG 18541, (3 ex), 45.3-54.5 mm SL; río Tocoma medio cerca de Santa Rosa (7°77ꞌ22"N 63°16ꞌ39"W), cuenca Caroní, Bolívar, 03 Aug. 1988. MCNG 18564, (5 ex), 39.9-64.6 mm SL; río Claro medio donde pasa el acueducto, en pozos aislados entre las piedras, (fundo La Elvira) (7°86ꞌ67"N 63°23ꞌ33"W), cuenca Caroní, 3 Sept. 1988. MCNG 18574, (6 ex), 43.9-55.4 mm SL; quebrada El Muerto cerca del Hato Mata linda (7°79ꞌ44"N 63°28ꞌ61"W), cuenca Caroní, 3 Sept. 1988. MCNG 18589, (10 ex), 45.7-53.0 mm SL; quebrada Mojacasabe 800 metros arriba de su desembocadura con el rio Tocoma (7°64ꞌ31"N 63°15ꞌ83"W), cuenca Caroní, 03 Oct. 1988. MCNG 18607, (9 ex), 23.5-48.4 mm SL; río Santa Isabel (naciente) Fundo el Chubasco entrando por casa verde, de la vía Puerto Ordaz-Cdd. Piar (7°64ꞌ17"N 63°35ꞌ42"W), cuenca Caroní, 3 Nov. 1988. MCNG 44892, (1 ex), 50.8 mm SL; quebrada afluente del río Uairén (4°57ꞌ67"N 61°25ꞌ19"W), cuenca Caroní, 8 Sept. 2001. MCNG 44936, (1 ex), 52.0 mm SL; río Yuruaní entre los km 247-248 en la vía a Luepa (5°08ꞌ00"N 61°09ꞌ72"W), cuenca Caroní, 13 Aug. 2001. MBUCV 4130, (5 ex), 39.7-63.4 mm SL; quebrada Agua Fría, afluente del río Paragua, La Paragua. 5 Oct. 1966.

Diagnosis

Astyanax caroni n. sp. is a member of the bimaculatus species-group, and differs from the members of the orthodus species-group (A. leopoldi, A. orthodus, A. superbus, A. villwocki, A. yariguies, A. embera, A. gandhiae, A. multidens, A. boliviensis and A. moorii), by the absence of melanophores between the muscle septa along the sides of body (vs. present). If differs from species of the anterior group (A. poetzschkei, A. anterior, A. novae, A. myersi and A. bourgeti) in having a conspicuous black caudal-peduncle spot present in all growth stages (vs. caudal-peduncle spot with melanophores absent or restricted to only middle caudal-fin rays). It differs from species of the rupununi group (A. argyrimarginatus, A. clavitaeniatus, A. goyacensis, A. rupununi, A. siapae, A. unitaeniatus and A. utiariti) by having the caudal-peduncle spot in the shape of a short nail (vs. caudal-peduncle spot extending anteriorly over lateral stripe beyond anterior tip of anal fin); it differs from species of the abramis group (A. abramis, A. altiparanae, A. lacustris, A. serratus and A. xavante) and the asuncionensis group (A. maculisquamis and A. asuncionensis) by having a conspicuous caudal-peduncle spot, that is short and restricted to just the caudal peduncle (vs. caudal peduncle spot not conspicuous, extending short distance anteriorly along midlateral stripe).

Although A. bimaculatus sensu Garutti6 has the same pattern of melanophores restricted to the caudal peduncle, A. caroni sp. n, differs from it as follows: in having all teeth of the internal row of the premaxillary with a maximum of five cusps (vs. at least one tooth of series heptacuspid, usually the symphyseal tooth); the caudal-peduncle spot less than two eye diameters in length (vs. at least two eye diameters in length), except from the population present in the Cuyuní River described below as new, which is distinguishes by caudal-peduncle length (12.5-17.1 vs. 7.0-10.5% SL). It differs from the other species of the bimaculatus group such as A. janeiroensis, by the presence of just one tooth present on maxilla (vs. two teeth present on maxilla). It differs from A. bockmanni, in having a diffuse vertical configuration of melanophores superimposed on and extending from the dark horizontally ovate humeral spot, characteristic of many Poecilurichthys (vs. vertical humeral spots conspicuous). A. caroni n. sp. also differs from its congeners in the following osteological characters: dorsal process of extrascapular with short apophysis bent towards posterior tip (vs. absent, Figure 11); ventral margin of third infraorbital with multiple undulations (vs. ventral margin not undulated). Ventral tip of sphenotic spine convex (vs. transverse, concave or pointed). Posterior portion of first infraorbital with sensory canal developed and continuous with canal of second infraorbital (vs. canal of first infraorbital not developed). Posterior tip of symplectic bent towards internal surface (vs. transverse over dorsal surface of quadrate, Figure 12). First postcleithrum separated from posterior lateral margin of cleithrum in adults (vs. in contact). Dorsal margin of maxilla underneath first concave infraorbital (vs. continuous). Anterior margin of maxillary tooth with multiple undulations (vs. undulations absent, Figure 13). Center of rhinosphenoid ossified (vs. cartilaginous).

Figure 11 Dorsal process of extrascapular showing short apophysis, bent towards posterior tip in A. caroni n. sp. Scale: 1mm.

Figure 12 Form and position of symplectic over dorsal surface of quadrate in A. caroni n. sp. Scale: 1 mm.

Figure 13 Anterior margin of maxillary tooth in A. caroni n. sp. Scale: 1 mm.

Description

Body compressed, greatest depth anterior to dorsal fin. Dorsal profile of cranium with slight depression over orbit. Predorsal profile convex, same as postdorsal area from last dorsal-fin ray base to adipose-fin origin. Predorsal area without continuous row of scales down midline, except for one to three media anterior to dorsal-fin origin. Preventral profile forming vertex of obtuse angle. Anal-fin base slightly convex at base of anterior rays and inclined in posterior portion. Caudal peduncle short, dorsal and ventral profiles slightly convex. Mouth terminal.

Lateral-line scales: 35-38 (37), between lateral line and dorsal-fin origin 6-7 (6), between lateral line and pelvic fin insertion 6-8 (6). Dorsal-fin rays iii, 9, first ray simple, reduced and only visible in cleared and stained specimens, second simple ray about half length of next.

Distal margin of dorsal slightly convex. Adipose fin position anterior to vertical through insertion of last anal-fin ray. Pectoral-fin rays i-ii, 10-16 (n=21). Anal-fin rays iii-iv, 24-30 (Table 1). Anal-fin origin posterior to vertical through insertion of last dorsal-fin ray.

Color in alcohol

Sides of body yellowish, with reticulated pattern present, predominant over coelomic cavity; dorsal region of head and body chestnut brown, with pattern of horizontal series of lighter spots that extend posterior to adipose fin. Sides of cranium light brown, not silvery, ventral portion of body similar. Humeral spot black, conspicuous, horizontally ovate, located from second to sixth or seventh scale of lateral series, with vertical projections from ovate spot present with dorsal and ventral tips of projections defining an arc directed anterior towards tip of midlateral stripe; the two vertical sections of humeral spots separated by area, two or three scales wide, lacking melanophores, that together with dark spot form an ocellus, typical of species of the bimaculatus type group. Caudal-peduncle spot shaped like short nail, with the anterior tip blunt.

Sexual dimorphism

Males have hooks on the medial and distal portions of the third to seventh anterior anal-fin rays including the longest simple ray; and also have hooks on the ventral surface of the medial and distal portions of the second to fourth branched pelvic-fin rays.

Distribution

Known only from the Caroní River drainage (Orinoco River Basin) in Venezuela (Figure 7).

Etymology

The name caroni refers to the type locality of this species, the Caroní River. It is to be treated as a noun in apposition.

Comments

Principal Component Analysis of A. caroni and other populations previously identified as A. bimaculatus from adjacent regions revealed significant morphological differences among the species, related to snout-pectoral fin distance, snout-pectoral fin distance, snout-dorsal fin distance and caudal peduncle length (Figure 8, the first component explained 45% of total variation, the second 33.1%; one plus three 61.4%, and two plus three 49.5%). Regression analysis of the snout-anal fin distance with the dorsal fin-hypural distance showed an inverse correlation between both distances for A. caroni, a significant difference that distinguishes it from A. brevoortii and the other species recognized here (r=0.62 y P=2.02, Figure 14).

Figure 14 Linear regression between snout - anal fin distance and anal fin - hypural distance, for the species A. brevoortii (Δ), A. caroni n. sp. (+), A. garuttii n. sp. (Χ) and A. cuyuni n. sp. (▲).

Astyanax garuttii new species

zoobank.org:act:53C26452-A333-4CF9-914D-CE2817576E49

Figure 15, Table 1

Figure 15 Astyanax garuttii n. sp. MCNG 56441, holotype, 86.7 mm SL. San Juan River, Gulf of Paria, Venezuela.

Holotype

MCNG 56441, 86.7 mm SL, female, Venezuela, Sucre state, San Juan River drainage, Río La Palencia (10°20ꞌ67"N 63°17ꞌ47"W). 9 Jan. 1998. D. C. Taphorn Col.

Paratypes

All from Venezuela: AUM 55082, (10 ex), 41.4-81.5 mm SL; Sucre, río Arenas, entre el pueblo de Quebrada-Cumanacoa, en el puente de la carretera local # 1 (10°26ꞌ67"N 63°93ꞌ33"W), afluente del río San Juan. 27 Aug. 1984; MCNG 11273, (1 ex), 47.3 mm SL; Sucre. Balneario Poza de Azufre. Al sur del límite de Estado, y al norte de Caripito (10°20ꞌ00"N 63°08ꞌ33"W), afluente de río San Juan. 30 Aug. 1984. MCNG 19692, (7 ex), 27.4-60.3 mm SL; Dto. Valdez, Sucre, río La Toma a 6 km N de crta. 9 a 4 km, oeste de Guiria (10°50ꞌ00"N 62°30ꞌ00"W), afluente de río San Juan. 13 Aug. 1988; MCNG 43484, (2 ex), 58.7-74.9 mm SL; Sucre, río San Miguel (10°20ꞌ67"N 63°17ꞌ47"W), afluente del río San Juan, cerca de La Palencia. 31 Aug. 1998; MCNG 17056, (3 ex), 81.3-91.6 mm SL; Sucre, caño Juan Antonio, en el puente (10°38ꞌ33"N 63°38ꞌ33"W), afluente del río San Juan, 29 Aug. 1984; MCNG 29747, (3 ex) 78.0-100.1 mm SL; Sucre, parque Nacional Península de Paría, sector Los Mangos, río Bautista (10°66ꞌ67"N 62°33ꞌ33"W), afluente del río San Juan, 22 Apr. 1993; MCNG 17036, (8 ex + 2 c&s), 51.3-90.6 mm SL; Sucre, caño 20 km E de El Pilar (10°58ꞌ33"N 63°06ꞌ67"W), Golfo de Paria, 28 Aug. 1984; MCNG 11208, (4 ex), 25.6-70.4 mm SL; Sucre, caño, 7 km al Sur de El Pilar, road to Guariquén (10°51ꞌ67"N 63°11ꞌ67"W), Golfo de Paría. 24 Aug. 1984; MCNG 17028, (5 ex), 61.0-86.0 mm SL; Sucre, río Pilar, cerca de la población El Pilar, que drena al Río Turuepano (10°53ꞌ33"N 63°13ꞌ33"W), Golfo de Paría. 28 Aug. 1984; MCNG 19271, (2 ex + 3 c&s, 43.6-67.8 mm SL), Caribe Anzoátegui, dique de la crta 9 a 10 km. al oeste de Barcelona, (10°10ꞌ00"N 64°66ꞌ67"W). 15 Aug. 1988; MCNG 17014, (14 ex), 44.6-76 mm SL; Caribe, Sucre, río Cariaco, en el puente, al oeste de Cariaco (10°41ꞌ67"N 63°58ꞌ33"W). 28 Aug. 1984; MBUCV 20235, (3 ex), 49.6-71.5 mm SL; Sucre, río Bohordal, cerca de la población del río del Medio, al norte de Bohordal (puente en la carretera), Turuepano. 25 Mar. 1990; MBUCV 9731, (7 ex), 58.5-95.2 mm SL; Monagas, quebrada río Chiquito, afluente del río Caripe, cerca de la Escuela, Granja río Caripe, Caripito, afluente del río San Juan. 26 Apr. 1977; MBUCV 12261, (2 ex + 2 c&s), 43.2-67.1 mm SL; Sucre, Asequia de Leandro, surde Guaraunos, Turuepano. 6 Dec. 1980. MBUCV 12322, (6 ex), 41.4-59.6 mm SL; Monagas, río Amara, bajo el puente, en la carretera Maturín-Temblador. 13 Dec. 1980. MBUCV 12409, (2 ex + 2 c&s), 78.9-89.3 mm SL; Monagas, río Caripe, en las Chorreras, cerca de Caripito, afluente del río San Juan. 12 Dec. 1980.

Diagnosis

Astyanax garuttii n. sp. is a member of the subgenus Poecilurichthys, bimaculatus species-group. It differs from the species of the orthodus group (A. leopoldi, A. orthodus, A. superbus, A. villwocki, A. yariguies, A. embera, A. gandhiae, A. multidens, A. boliviensis and A. moorii) by the absence of melanophores between the muscle septa along midlateral portion of the body (vs. present). It differs from species of the anterior group (A. poetzschkei, A. anterior, A. novae, A. myersi and A. bourgeti) by having a conspicuous caudal-peduncle spot formed by melanophores (vs. peduncle spot absent or restricted to middle caudal-fin rays. It differs from the species of the rupununi group (A. argyrimarginatus, A. clavitaeniatus, A. goyacensis, A. rupununi, A. siapae, A. unitaeniatus and A. utiariti), and those of the asuncionensis group (A. maculisquamis and A. asuncionensis) in having the caudal-peduncle spot shaped like a short nail (vs. caudal spot continuing anterior along midlateral stripe to beyond the origin of anal fin). It differs from the species of the abramis group (A. abramis, A. altiparanae, A. lacustris, A. serratus and A. xavante), and those of the asuncionensis group (A. asuncionensis and A. maculisquamis) by having a conspicuous but short caudal-peduncle spot that is restricted to just the caudal peduncle (vs. caudal peduncle spot not conspicuous, and extending for a short distance anteriorly along midlateral).

Although A. bimaculatus, sensu Garutti6 has the same sort of caudal-peduncle spot with the melanophores restricted to just the caudal peduncle, A. garuttii n. sp. differs from that species in having a third of the anterior dorsal margin of the orbitosphenoid not in contact with the frontal (vs. more than two-thirds of anterior margin of orbitosphenoid not in contact with the frontal); in having the ventral margin of the third infraorbital contact only with the posterior tip of the quadrate (vs. ventral margin of third infraorbital in contact with at least one half of posterior section of quadrate). In having the posterior tip of the uroneural bifurcated and asymmetrical that is the posterior part of the bifurcation is longer than the anterior (vs. arms of bifurcation of same size, or distal tip of uroneural forming a point).

A. garuttii sp. differs significantly in morphology from A. brevoortii and adjacent populations of species identified prior to this study as A. bimaculatus as revealed by Principal Component Analysis. Among the most significant characters identified by the analysis are: snout-pelvic fin distance, interorbital width, dorsal fin - pectoral fin distance (Figure 8). Regression analysis of interorbital width vs. maxilla length showed a significant negative correlation, differentiating A. garuttii n. sp. from the other species included in this study (r=-0.6 y P=6.16, Figure 16).

Figure 16 Linear regression of interorbital width and maxilla length for the species: A. brevoortii (Δ), A. caroni n. sp. (+), A. garuttii n. sp. (Χ) and A. cuyuni n. sp. (▲).

Description

Body compressed, greatest depth in region anterior to dorsal fin. Dorsal profile of cranium sigmoidal. Predorsal profile straight from supraoccipital spine tip to dorsal-fin origin. Postdorsal area profile straight from last dorsal-fin ray to adipose fin. Predorsal area without continuous series of scales along midline except for 1-3 scales anterior to dorsal fin. Preventral profile angular. Base of anal fin slightly convex along bases of anterior rays, then inclined in posterior part. Caudal peduncle short and deept, dorsal and ventral profiles slightly convex. Mouth terminal.

Lateral-line scales 33-43 (37), scales between lateral line and dorsal-fin origin 7-8 (7), scales between lateral line and pelvic-fin origin 5-7 (6). Dorsal-fin rays iii, 9, first ray simple, reduced and only visible in cleared and stained specimens, second simple ray about half length of third. Distal margin of dorsal slightly convex. Adipose fin located anterior to vertical through last anal-fin ray insertion. Pectoral fin rays i-ii, 11-13. Anal fin rays iii-iv, 24-31, first simple rays only visible in cleared and stained specimens. Anal-fin origin posterior to vertical through insertion of last dorsal-fin ray.

Color in alcohol

Body base color yellowish. Dorsum of head and body light to dark brown.

Side of head silvery, yellow ventrally. Humeral spot black, conspicuous, anterior spot horizontally ovate, located between third and sixth scale of lateral-line series, posterior humeral spot brown, arc shaped, separated from anterior spot by space lacking melanophores 2-3 scales wide, forming an ocellus characteristic of species of the bimaculatus group. Caudal-peduncle spot a short rhomboid, not extending to posterior tip of midlateral band.

Sexual dimorphism

Males with hooks on medial and distal parts of anterior anal-fin rays three to twelve, including the longest simple ray; hooks also present ventrally on medial and distal parts of pelvic-fin rays one to four rays.

Distribution

Known from the San Juan River drainage, and streams flowing into the Gulf of Paria and Gulf of Cariaco in Venezuela (Figure 7).

Etymology

This species is named garuttii, to honor Valdener Garutti (Brazil), for his contribution to our knowledge and understanding of the A. bimaculatus species-group.

Astyanax cuyuni n. sp.

zoobank.org:act:CA873948-CF9B-4CB5-9CAF-B294ED888A96

Figure 17, Table 1

Figure 17 Astyanax cuyuni n. sp. MCNG 56442, holotype, 78.4 mm SL. Parapapoy River, Cuyuni drainage, Bolívar, Venezuela.

Holotype

MCNG 56442, 78.4 mm SL, female, Venezuela, Bolivar State, Dto. Roscio, Essequibo/Cuyuni River drainage, Creek in forest of Parapapoy River. 9 Dec. 1992. Field Number: LN 92-40; date of collection: 9 Dec 1992 Locality: small blackwater stream in forest, tributary of Rio Parapapoy (samples sites were from a single meandering stream intersecting CVG-Tecmin “Eje” or “main trail” #2 at points 950 and 1450 meters south of Rio Parapapoy) Lat/Long: 6.574079, -62.654585 (=6° 34' 26.68"N, 62° 39' 16.51W). Collectors: Leo G. Nico and Victor Munoz, Gear: small seine; pH =6.5, water temperature =23 C. L. Nico Col.

Paratypes all from Venezuela, Bolivar state

AUM 55083, (5 ex + 2 c&s), 25.9-89.2 mm SL; río Parapapoy, 2 km río arriba de la pista, cuenca Cuyuní. 29 Nov. 1992. MCNG 16437, (2 ex), 59.8-65.0 mm SL; quebrada Clara, bajo el puente cerca de la isla Anacoco (6°70ꞌ00"N 61°15ꞌ00"W), cuenca Cuyuní. 15 Feb. 1980. MCNG 28262, (3 ex), 40.7-69.1 mm SL; río Parapapoy, 2 km arriba de la pista, cuenca Cuyuní. 29 Nov. 1992. MCNG 28375, (2 ex), 37.1-58.0 mm SL; caño en el bosque del río Parapapoy, cuenca Cuyuní. 12 Sep. 1992. MCNG 29347, (4 ex), 47.2-65.9 mm SL; afluente del río Yuruari, 3 km al oeste de Guasipati, vía la Pastora (7°47ꞌ14"N 61°91ꞌ69"W), afluente del Cuyuní. 01 Oct. 1994. MBUCV 10145, (3 ex), 70.0-74.0 mm SL; río Cuyuní, en pozo aislado del curso principal, cerca del raudal de Paruruvaca. 25 Jan. 1977. MBUCV 26194, (4 ex), 51.1-63.2 mm SL; quebrada en el km 72 en carretera El Dorado-Santa Elena de Uairen, cuenca Cuyuní. 26 Jan. 1991. MBUCV 26341, (4 ex), 34.9-47.9 mm SL; laguna a la orilla de la carretera Tumeremo-Anacoco, cuenca Cuyuní. 23 Jan. 1991. MBUCV 26349, (3 ex), 72.1-83.3 mm SL; morichal (área San Antonio), carretera El Manteco-El Yagual, cuenca Cuyuní. 20 Jan. 1991. MBUCV 26409, (4 ex), 58.6-66.0 mm SL; caño Corumito, afluente del río Botanamo, en carretera Tumeremo-Bochinche, cuenca Cuyuní. 22 Jan. 1991. MBUCV 26413, (2 ex), 40.2-45.4 mm SL; caño Corumito, afluente del río Botanamo, en carretera Tumeremo-Bochinche, cuenca Cuyuní. 22 Jan. 1991. MBUCV 28556, (1 ex), 71.7 mm SL; Tapón de Boterano, laguna en carretera Tumeremo-Bochinche (7°25ꞌ21"N 61°14ꞌ29"W), cuenca Cuyuní. 14 Feb. 1997. MBUCV 28254, (6 ex + 2 c&s), 26.1-89.1 mm SL; Río Parapapoy, 2 Km. río arriba de la pista, Dto. Roscio, cuenca Cuyuní. 29 Nov. 1992.

Diagnosis

Astyanax cuyuni is a member of the subgenus Poecilurichthys, and the bimaculatus species-group. It differs from species of the orthodus group (A. leopoldi, A. orthodus, A. villwocki, A. superbus, A. yariguies, A. embera, A. gandhiae, A. multidens, A. boliviensis and A. moorii), by the lack of melanophores between the muscle septa along the midlateral stripe of the body (vs. present). It differs from species of the anterior group (A. poetzschkei, A. novae, A. anterior, A. myersi and A. bourgeti) in having a conspicuous caudal-peduncle spot (vs. caudal peduncle spot without melanophores or restricted to only middle caudal-fin rays). It differs from species of the rupununi group (A. argyrimarginatus, A. clavitaeniatus, A. goyacensis, A. rupununi, A. siapae, A. unitaeniatus and A. utiariti) by having the caudal-peduncle spot in the shape of a short nail (vs. caudal-peduncle spot longer, extending anterior over midlateral stripe beyond origin of anal fin); it differs from species of the abramis group (A. abramis, A. altiparanae, A. lacustris, A. serratus and A. xavante) and from those of the asuncionensis group (A. maculisquamis and A. asuncionensis), by having a short conspicuous caudal-peduncle spot, restricted to just the caudal peduncle (vs. caudal peduncle spot extending short distance anterior, along midlateral stripe).

Although Garutti6 reported a similar pigmentation pattern for A. bimaculatus from Suriname with the caudal-peduncle spot limited to just the caudal peduncle, as also observed in A. cuyuni n. sp. the latter differs in having a well-developed foramen between the pterotic and sphenotic bones (vs. absent); in having the last two neural spines with an accentuated arc towards their posterior tips, covering the epineurals (vs. neural spines transverse, with at most a slight posterior bending towards the posterior section of the distal tip of the neural spine, Figure 18); in having the ventral margin of the sixth hypural without folds over the sevenths hypural (vs. folds present); in having the dorsal part of the rhinosphenoid rectangular (vs. arc shaped); posterior margin of sixth infraorbital contiguous with the canal not developed (vs. developed, Figure 19).

Figure 18 Specialized neural process over epurals in A. brevoortii and A. cuyuni n. sp. Scale: 1mm.

Figure 19 Shape of posterior margin of sixth infraorbital in A. cuyuni n. sp. Scale: 1mm.

Description

Body compressed, its greatest depth in region anterior to dorsal-fin origin. Dorsal profile of cranium with slight depression over orbit that can vary in intensity, predorsal and postdorsal profile convex to adipose-fin origin. Predorsal area without continuous series of medial scales except for one to three present just anterior to dorsal-fin origin. Preventral profile convex. Anal-fin base slightly convex along base of anterior rays, inclined in posterior part. Caudal peduncle short, with dorsal and ventral profiles slightly convex. Mouth terminal.

Scales

Lateral line 30-38 (35); between lateral line and dorsal-fin origin 6-8 (7); between lateral line and pelvic-fin origin 5-6 (6). Dorsal-fin rays iii, 9, the first simple ray reduced, only visible in cleared and stained specimens, the second simple ray about half length of third. Distal margin of dorsal slightly convex. Adipose fin located anterior to vertical through last anal-fin ray. pectoral fin rays i-ii, 11-13. Anal fin rays iii-iv, 25-29, first simple rays only visible in cleared and stained specimens. Origin of anal fin posterior to vertical through insertion of last dorsal-fin ray.

Color in alcohol

Body base color yellowish. Dorsum of head and body chestnut brown. Sides of cranium light gray, sometimes silvery, same as ventral region of body. Humeral spot black, conspicuous, horizontally ovate, located between third and sixth to seventh lateral-line scales; anterior spot followed by second, vertically elongated brown spot in form of arc opening anteriorly towards anterior tip of lateral stripe. Humeral spots separated by light area free of melanophores two or three scales wide, forming typical ocellus of species of bimaculatus group. Caudal-peduncle spot short diamond in shape, with blunt anterior tip, not extending over posterior part of lateral stripe.

Sexual dimorphism

Not observed

Distribution

Known only from the Cuyuní River (Figure 7), a tributary of the Essequibo River. In this study we used only material from Venezuela, but the species may also be present in the Cuyuni River drainage in adjacent Guyana.

Etymology

The specific name, cuyuni, refers to the location of the type locality in the Cuyuní River, and is to be treated as a noun in apposition.

Comments

Principal Component Analysis revealed significant morphological differences among this new species and adjacent populations previously identified as A. bimaculatus. The differences are associated with body depth, dorsal fin - anal fin distance, and caudal peduncle length (Figure 8). The first component explained 45% of total variation, the second 33.1%, the sum of one plus three 61.4%, and the sum of two plus three 49.5%. Regression analysis of snout length versus orbit diameter revealed an inverse correlation for A. cuyuni, which differs significantly from the other species included in this study (r=0.72 y P=2.21, Figure 20).

Figure 20 Linear regression of lengths of orbit and snout for A. brevoortii, A. caroni n. sp. A. garuttii n. sp.and A. cuyuni n. sp.

Figure 21 Dorsal surface of cranium
A Continuous or straight
B Sigmoidal. Scale:1 cm

Key to the species of the Astyanax bimaculatus group (those with a horizontally ovate, black humeral spot and caudal-peduncle spot that does not unite with lateral stripe) present in Trinidad and the Orinoco River Basin of Venezuela and Colombia.

  1. Caudal-peduncle spot less than two eye diameters in length, not extending posterior to vertical through posterior tip of anal fin; posterior margin of caudal-peduncle spot blunt ……………………………………………………………………………………………….…….2
  2. Caudal-peduncle spot equal to or longer than two eye diameters; extending posterior to vertical through posterior tip of anal fin; posterior margin of caudal-peduncle spot pointed.........3
  3. Melanophores outlining posterior margin of scales all along sides of body; maxillary tooth tricuspid…………………………………….……..…………………….. Astyanax caroni n. sp.
  4.  (Caroní River, tributary of Orinoco River)

  5. Melanophores outlining posterior margins of scales present in coelomic region, absent in area above anal-fin rays and caudal peduncle, maxillary tooth unicuspid… Astyanax cuyuni n. sp.
  6.  (Río Cuyuní, Venezuela and Guyana).

  7. Upper jaw length 26.3-35.2 % SL; dorsal profile of cranium sigmoidal (Figure 21)……………….................................................................................................. A. garuttii n. sp.
  8.  (San Juan River, Gulf of Paría and Gulf of Cariaco)

  9. Upper jaw length 13.4-20.3% SL; dorsal profile of cranium straight, (Figure 21).. A. brevoortii

 (Trinidad Island)

Discussion

The species of the A. bimaculatus group present in streams of the Caribbean coast of Venezuela, the Orinoco Basin, and the Cuyuní river of Venezuela and Guyana differ from A. brevoortii in morphological, pigmentation and osteological characters, and present a continuous gradient of variation. In similar fashion to the species of the subgenus Astyanax,25 those of the subgenus Poecilurichthys show diverse forms that conform species-groups that express similar aspects of morphology and pigmentation.

The subgenus Poecilurichthys1 based on P. brevoortii (=A. brevoortii), from western Trinidad Island was proposed by Eigenmann4 as a synonym of A. bimaculatus (Linnaeus 1758); however, as has been shown, A. bimaculatus is restricted to Suriname, and other species once considered to be synonyms of A. bimaculatus such as A. rupununi Fowler 1914, have been recognized as valid, and others have been described as new: A. siapae, A. clavitaeniatus6 and A. altiparanae,14 which differ from the species of the bimaculatus group in having a caudal-peduncle spot in the shape of a nail, that points anteriorly and extends over the lateral stripe.

bimaculatus comprises several species-groups, with many cryptic species. Most of the species descriptions are based on characters often considered being homoplasic,27,28 among which are included characters of the pigmentation pattern, such as the size, shape and position of the humeral and caudal spots. Those characters have been used to define species in many other groups of Characidae, many of which are also considered to be incertae sedis within Characidae such as Jupiaba, Moenkhausia, Hyphessobrycon and Tetragonopterus. Whether or not these types of characters contain information useful to construct hypotheses of relationships, the subtle but consistent pigmentation differences observed have been used successfully taxonomically to distinguish among similar species6 even when obvious morphological differences are not present. This phenomenon has been called cryptic diversity.29,30 We speculate that the basic A. bimaculatus body plan is very well suited for the life strategy of the numerous species that have adopted it.

The species of the A. bimaculatus group that have been studied show a compartmentalized geographic distribution, suggesting that each drainage might be expected to have other endemic, cryptic species with relatively small geographic distributions.31 Although species of the bimaculatus group with just one tooth present on the maxilla were previously only reported from the Amazon and Paraná River Basins and the Guianas,14 in this study we found this form to be widely distributed throughout the Caribbean streams of Venezuela and the Orinoco Basin, among the cryptic species of the bimaculatus group: A. brevoortii, A. garuttii n. sp. A. caroni n. sp. and A. cuyuni n. sp. (Figure 6).

The mechanism through which cryptic diversity arises has been discussed32 as well as the role of pigmentation patterns with regard to differentiation of closely related species and functional aspects of pigment patterns.33 In this study, the diversity and variability of pigment patterns of the diverse groups of species within the subgenus Poecilurichthys, show morphological development indicative of speciation, with subtle differences reflecting geographic isolation corresponding to existent hydrographic drainages.

Although it has been reported that the freshwater fishes of the Island of Trinidad shares about 60% of the species with drainages of the Gulf of Paria,34 we have found significant morphological differences sufficient to warrant recognition of distinct species. The Trinidad Island populations are A. brevoortii and those from mainland Venezuelan streams entering the Gulf of Paria described here as A. garuttii n. sp.35,36

Ferreira et al,37 described a species related to the group bimaculatus and orthodus by the presence of a horizontally elongated to rounded humeral spot, however, this is a common feature of Poecilurichthys, what we can indicate in this work is that the species described for them it belongs to Anterior species-group

Acknowledgments

The authors wish to thank Sandra J. Raredon (USNM) for the image of the syntypes of A. brevoortii. We also thank Hernán López-Fernández, Nathan Lujan and Carmen Montaña for suggestions to improve the manuscript. We thank Barbara Brown (AMNH), Jon Armbruster (AUM), David Werneke (AUM), Francisco Provenzano (UCV) and Alberto Marcano (UCV) for the loan of specimens in their care and Oscar León Mata († RIP) (MCNG) for his cooperation with field work and geographic localization of specimens examined from Venezuela.

Conflicts of interest

The authors do not have any conflicts of interest.

References

  1. Gill TN. Synopsis of the fresh water fishes of the western portion of the island of Trinidad, W. I. Annals of the Lyceum of Natural History of New York. 1858;6(10–13):363–430.
  2. Lima FCT, Malabarba LR, Buckup PA, et al. Genera in certae sedis in Characidae. In: Reis RE, Kullander SO, Ferraris Jr CJ, Editors. Check list of the freshwater fishes of South and Central America. Brazil: Edipucrs, Porto Alegre. 2003:729.
  3. Ruiz CRI, Valencia RC, Herrera B, et al. Variación morfológica de las especies de Astyanax subgénero Zygogaster (Teleostei: Characidae). Animal Biodivers Conserv. 2011;34(1):47–66.
  4. Eigenmann CH. The American Characidae. Memoirs of the museum of comparative zoology. 1921;(3):209–310.
  5. Eschmeyer W. Catalog of fishes. California academy of sciences. San Francisco: CA, USA. 2012.
  6. Garutti V. Revalidaçâo de Astyanax rupununi Fowler, 1914 (Teleostei, Characidae) e descriçâo de duas espécies novas para o género. Papéis Avulsos de Zoologia, São Paulo. 2003;43(1):1–9.
  7. Myers GS. Studies on South American fresh-water fishes. I. Stanford Ichthyological Bulletin. 1942;2(4):89–114.
  8. Fernández Yépez A. Algunos peces del Rio Autana. Novedades Científicas. Museo de Historia Natural La Salle. Serie Zoológica. 1950;2(1–18):1–13.
  9. Géry J. Characoids of the world. Tropical Fish Hobbyist Publications. Neptune City. 1977:672.
  10. Garutti V, Britskih A. Descrição de uma espécie nova de Astyanax (Teleostei, Characidae), com mancha umeral horizontalmente ovalada, da bacia do rio Guaporé, Amazônia. Papéis Avulsos de Zoologia, São Paulo. 1997;40(14):217–229.
  11. Garutti, V. Descrição de uma espécie nova de Astyanax (Teleostei, Characidae) da Bacia do Tocantins, Brazil. Iheringia Sér Zool Porto Alegre. 1998;85:115–122.
  12. Garutti, V. Description of Astyanax argyrimarginatus sp. n. (Characiformes, Characidae) from the Araguaia River basin, Brazil. Revista Brazilian Journal of Biology. 1999;59(4):585–591.
  13. Zarske A, Géry J. Astyanax villwocki n. sp. a new characid fish from the upper Amazon basin of Perú and Bolivia (Teleostei, Characiformes, Characidae). Mitteilungen aus dem Hamburgischen Zoologischen Museum und Institut v. 1999;96:199–206.
  14. Garutti V, Britski HA. Description of a new species of Astyanax (Teleostei: Characidae) from the upper Paraná River basin and considerations about the other species of the genus in the basin. Comm Museum Sci PUCRS Zoology Series. 2000;13:6–588.
  15. Bertaco VA, Garutti V. New Astyanax from the upper rio Tapajos drainage, central Brazil (Characiformes: Characidae). Neotrop Ichthyol. 2007;5(1):25–30.
  16. Garutti V, Venere PC. Astyanax xavante, a new species of characid from middle rio Araguaia in the Cerrado region, Central Brazil (Characiformes: Characidae). Neotrop Ichthyol. 2009;7(3):377–383.
  17. Garavello JC, Sampaio FAA. Five new species of genus Astyanax Baird & Girard, 1854 from Rio Iguaçu, Paraná, Brazil (Ostariophysi, Characiformes, Characidae). Braz J Biol. 2010;70(3):847–865.
  18. Eigenmann CH. The American Characidae. Memoirs of the museum of comparative zoology. 1917;43(1):1–102.
  19. Eigenmann CH. The American Characidae. Memoirs of the museum of comparative zoology. 1927;(4):311–428.
  20. Fink WL, Weitzman H. The so-called Cheirodontin fishes of central America with descriptions of two new species (Pisces:Characidae). Smithsonian Contribut Zoology. 1974;172:1–46.
  21. Burnaby TP. Growth invariant discriminant functions and generalized distances. Biometrics. 1966;22(1):96–110.
  22. Hammer O, Harper D. PAST: Paleontological statistics software package for education and data analysis, version 1.93. Palaeontologia Electronica. 2005;4(1):9.
  23. Song J, Parenti R. Clearing and staining whole fishes specimens for simultaneous demonstration of bone, cartilage and nerves. Copeia. 1995;1:114–118.
  24. Weitzman SH. The osteology of Brycon meeki, a generalized characid fish, with an osteological definition of the family. Stanford Ichthyol Bull. 1962;8:1–77.
  25. Sabaj Perez MH. Standard symbolic codes for institutional resource collections in herpetology and ichthyology: an on line reference, DC. 2010.
  26. Centofante L, Bertollo LAC, Justi AJ, et al. Correlation of chromosomal and morphologic characters in two Astyanax species (Teleostei: Characidae). Ichthyol Explor Freshwaters. 2003;14(4):361–368.
  27. Weitzman SH, Malabarba LR. Perspectives about the phylogeny and classification of the Characidae (Teleostei: Characiformes). In: Malabarba LR, Reis RE, Vari RP, Lucena, Z.M.S, Lucena CAS, editors. Phylogeny and classification of neotropical fishes. Edipucrs, Porto Alegre. 1998:603.
  28. Bertaco VA, Lucena CAS. Two new species of Astyanax (Ostariophysi: Characiformes: Characidae) from eastern Brazil, with a synopsis of the Astyanax scabripinnis species complex. Neotrop Ichthyol. 2006;4(1):53–60.
  29. Pfenninger M, Schwenk K. Cryptic animal species are homogeneously distributed among taxa and biogeographical regions. BMC Evol Biol. 2007;7:121.
  30. West Eberhard MJ. Developmental plasticity and evolution. New York: Oxford University Press, Inc. 2003:794.
  31. Moysés CB, Toledo ALF. Restriction fragment length polymorphisms of mitochondrial DNA among five freshwater fish species of the genus Astyanax (Pisces, Characidae). Genet Mol Biol. 2002;25(4):401–407.
  32. Trontelj P, Fiŝer C. Perspectives cryptic species diversity should not be trivialized. Syst Biodivers. 2009;7(1):1–3.
  33. Price AC, Weadick CJ, Shim J, et al. Pigments, patterns, and fish behavior. Zebrafish. 2008;5(4):297–307.
  34. Albert JS, Reis RE. Historical biogeography of neotropical freshwater fishes. University of California Press; 2011.
  35. Kobilov AM, Jalolov EB, Yusupov MU. Downstream ichthyofauna of the Zarafshan river. 2022;12(2).
  36. Garavello JC, Kannebley de Oliveira A. Ichthyological overview and remarks on freshwater fishes from capim river, lower amazon basin, Brazil. Open J Ecol. 2003;4(13):729.
  37. Ferreira KM, Lima FCT, Ribeiro AC, et al. A new species of Astyanax (Characiformes, Characidae) from the rio Apiacás, rio Teles Pires basin, with a discussion on its phylogenetic position. Canadian J Zoology. 2023;1–8.
Creative Commons Attribution License

©2023 Ruiz-C,, et al. This is an open access article distributed under the terms of the, which permits unrestricted use, distribution, and build upon your work non-commercially.