Submit manuscript...
Journal of
eISSN: 2378-3184

Aquaculture & Marine Biology

Research Article Volume 7 Issue 6

Toxicological evaluation of the herbicide glyphosate in the cultured oyster Crassostrea gasar

Patr cia Mirella da Silva,1 Mayara Cecile Nascimento Oliveira,1 Fernando Ramos Queiroga1,2

1Laborat rio de Imunologia e Patologia de Invertebrados LABIPI Departamento de Biologia Molecular Universidade Federal da Para ba Brazil
2Faculdade de Enfermagem Nova Esperan a FACENE Brazil

Correspondence: Patr cia Mirella da Silva Departamento de Biologia Molecular Universidade Federal da Para ba UFPB Jo o Pessoa Para ba Brazil, Tel 558332167643

Received: December 13, 2018 | Published: December 21, 2018

Citation: Oliveira MCN, Queiroga FR, Silva PM. Toxicological evaluation of the herbicide glyphosate in the cultured oyster Crassostrea gasar. J Aquac Mar Biol. 2018;7(6):343-350. DOI: 10.15406/jamb.2018.07.00231

Download PDF

Abstract

Glyphosate is the most widely used herbicide in the world. Crassostrea spp. Oysters farming is being developed in Northeast Brazil, and one of its most important threats is infection of oysters by Perkinsus protozoans. Host microbiota, including those in the gastrointestinal tract, are implicated in promoting host health and preventing infections and diseases. The effect of glyphosate on the oyster Crassostrea gasar was evaluated. Oysters were exposed for 7 days to Termifin, a commercial formulation of glyphosate (0.5mgL-1). Additionally, defence cells (haemocytes) were exposed for 4h to Termifin (0.5, 8.5, 16.9, 42.3, 84.5 and 169mgL-1) and technical grade glyphosate at equivalent molar concentrations. The toxicity of glyphosate was assessed by evaluating the total haemocyte count (THC), viability, production of reactive oxygen species (ROS), phagocytosis of haemocytes, total heterotrophic bacteria from the gastrointestinal tract and Perkinsus infection. Oysters exposed to Termifin had reduced THC and an increased haemocyte ROS level, but neither alteration of phagocytosis nor cell death was observed. In contrast, haemocytes had decreased viability when exposed to purified glyphosate (250µM) and decreased phagocytosis when treated with Termifin (169 and 1,000mgL-1).Termifin exposure caused an increase in total heterotrophic bacteria but did not change Perkinsus spp. infection. We conclude that the glyphosate-based commercial formulation and its active ingredient are toxic in oysters, affecting two major mechanisms of defence and altering the balance of microbiota, which consequently compromises the ability of oysters to defend themselves against infectious agents.

Keywords: bacteria, haemocytes, Perkinsus, phagocytosis, reactive oxygen species, toxic chemical

Introduction

The oyster Crassostrea gasar is a native species of commercial interest in northeast Brazil. C. gasar is naturally found in estuarine environments, settling mangrove roots, sediment bottoms and rocky shores. This species is primarily cultured in the north and northeast regions and shows a higher growth rate than C. rhizophorae.1

Threats to bivalve production systems involve protozoan parasites, notably those of the genus Perkinsus.2 Oysters infected by this parasite occur in northeast Brazil, where the disease has been studied. Several natural and cultured populations of native Crassostrea spp. oysters are affected by Perkinsus spp. with prevalences (5 to 100%) and intensities of infection (very light to heavy) that vary widely according to the region and environment.3–10 Therefore, this parasite may represent a risk to the development of oyster culture.

Another threat to bivalve farming is the contamination of marine and estuarine ecosystems by agrochemicals. Glyphosate is the most widely used herbicide in the world, and its use has been greatly intensified after the production of genetically modified herbicide-tolerant crops (soybean, maize and cotton) especially in the United States, Brazil and Argentina.11 In Brazil, with the increasing use of tolerant crop species, glyphosate use rates per hectare per crop year have risen sharply; for example, in soybeans, the rate increased from 1.70kg/ha in 1995 to 4.45kg/ha in 2014.11 Sugarcane, for sugar and ethanol production, is a traditional crop in Brazil, which became the world's largest producer. Glyphosate is used on sugarcane to control ratoon crops and emerging weeds and is also used as a ripener.12 In the state of Paraíba, the production of C.gasar oysters occurs only in the estuary of the Mamanguape River, which undergoes effluent interferences from sugarcane crops.13,14 Consequently, the river receives high concentrations of agrochemicals, including glyphosate, which is the main herbicide used in Brazil.11 In Brazil, glyphosate is classified as having low toxicity by the National Animal Surveillance Agency (ANVISA). However, following the classification of glyphosate in March 2015 as "probably carcinogenic to humans" by the International Agency for Research on Cancer (IARC), new toxicity analyses are underway in Brazil and are expected to be completed by 2019.

Studies that evaluate the behaviour, fate and amount of pesticides in soils, seawater and freshwater in tropical regions are limited compared to those performed in temperate regions (Annett et al. 2014).15 Concentrations of glyphosate in aquatic environments are variable; examples include 0.20µgL-1 in stream water from Switzerland,16 59µgL-1 in the Ruhr River in Germany,17 41µgL-1 in surface water from Ontario,18 54µgL-1 in drainage systems after sugarcane irrigation in Australia,19 and 100–700µgL-1 in water sampled near soybean cultivation in Argentina.20

Glyphosate acts by inhibiting the enzyme 5-enolpyruvylshikimate-3-phosphate synthase (EPSPS), thus stopping the sixth step in the shikimate pathway, which is required for the synthesis of aromatic amino acids and secondary compounds that have defence functions in plants and many microorganisms.21 The main metabolite of glyphosate biotransformation is amino methyl phosphonic acid (AMPA).22 Thus, it was believed that glyphosate would not pose a risk to non-target organisms. However, several reports have shown teratogenic effects in animals and humans23 and adverse effects on aquatic animals15,24–26 and seawater.27,28 Glyphosate also induces changes in fresh water quality and on pico and phytoplankton communities.29

Bivalves are sentinel organisms and little is known about the effect of glyphosate-based herbicides on them.30 Some studies have indicated physiological damage including negative effects on gametogenesis, alteration of the antioxidant enzymes of the gills and digestive glands, and DNA damage.31–33 Nevertheless, few studies have evaluated the functional activities of haemocytes from bivalves exposed to pesticides.34–37

The objective of this study was to evaluate the effect of glyphosate herbicide on different aspects of C. gasar oyster biology, including immune defence responses, gastrointestinal tract microbiota and Perkinsus spp. infection.

Material and methods

Exposure of oysters to the commercial herbicide glyphosate

Adult oysters (>7cm) of the species Crassostrea gasar were collected in May 2017 from a culture system located in the Mamanguape River estuary (S 06°47′08.2″; W34°59′46.7″). Oysters were cleaned of fouling organisms, washed in running water, and then were distributed in 6 tanks (15 oysters / tank), with 10L of sea water, a salinity of 20, and constant aeration. After 2 days of acclimation, seawater was changed and 3 tanks received daily doses of glyphosate herbicide (Termifin, Dexter Latina, Brazil; 1%) at 500µgL-1 for 7 days; the other 3 tanks received no treatment (control). This concentration was determined by considering the doses found in aquatic environments, which vary from 0.59-700µgL-1,16-20,38 and was at least 100xhigher than what is considered environmentally relevant 4µgL-1.39 The seawater in the tanks was changed twice and new additions of the herbicide were made in the treated group.

After 7 days, oysters were removed from tanks and prepared for different studies. For the immunocellular parameter analyses and Perkinsus spp. diagnosis, 5 oysters per tank (N=15/treatment) were used. For the microbiological analysis, five oysters per tank were pooled and 2pools were prepared for each tank, for a total of =6pools/treatment. The experiment was repeated 3 times (Figure 1).

Figure 1 Experimental design.

Microbiological analysis

The gastrointestinal tract (GT) of the 5 oysters from the same tank were aseptically excised, pooled, homogenized in filtered seawater (1:10, w:v), and serially diluted (1/10 to 1/100,000). The suspensions (1mL) were distributed (in triplicate or duplicate)in Petri dishes containing plate count agar medium (PCA, M091A, HIMEDIA). Plates were incubated for 48h at 30°C for bacterial growth. Colony forming units (CFU) were counted and the total cultivable heterotrophic bacteria was estimated as CFUg-1 of tissue.

Analysis of the presence and intensity of Perkinsus infection

Five oysters per tank (N=15/treatment) were opened by cutting the adductor muscle. The gills were removed and placed individually into 15mL tubes containing Ray's fluid thioglycollate medium (RFTM) supplemented with penicillin G, streptomycin and nystatin (final concentrations of 100UmL, 100μgmL and 100UmL, respectively). Samples were maintained at room temperature and in the dark for seven days. Then, gills were macerated and stained with Lugol (4%). The intensity of the infection was determined according to the scale described by Mackin40 and adapted by da Silva et al.5

Null infection (0): no Perkinsus spp. hypnospores detected in the whole slide (100x); Very light infection (1): up to 10 Perkinsus spp. Hypnospores observed in the whole slide (100x); Light infection (2): 11–100 Perkinsus spp. Hypnospores observed in the whole slide (100x); Moderate infection (3): up to 40 Perkinsus spp. Hypnospores observed in 10 random fields (400x) scattered throughout the preparation; Heavy infection (4): more than 40 Perkinsus spp. Hypnospores observed in 10 random fields (400x) scattered throughout the preparation.

For each tank, the prevalence of Perkinsus spp. was calculated as the number of infected oysters, divided by the total number of oysters and multiplied by 100. The Perkinsus spp. prevalence of each treatment (control and herbicide) was estimated as the mean prevalence of the 3 tanks. For each tank, the intensity of infection by Perkinsus spp. was calculated as the sum of infection levels of the infected animals (levels 1 to 4) divided by the total number of infected oysters. Perkinsus intensity of each treatment (control and herbicide) was estimated as the mean intensity of the 3 tanks.

Haemolymph sampling

Haemolymph was withdrawn from the adductor muscle of each oyster with a 21G needle attached to a 1mL syringe and deposited into a cooled micro tube on crushed ice. The evaluation of immune cell parameters for in vivo (oysters) exposure was performed with haemolymph from 5individual oysters per replicated tank (N=15 per treatment). For in vitro (haemocytes) exposure, haemolymph from 2 oysters was pooled (N=4 pools per treatment) to obtain a higher volume of haemolymph (2mL) to test various herbicides concentrations at the same time. For the in vivo exposure assay, an aliquot of the haemolymph (100μL) of each oyster was immediately fixed in formaldehyde (final concentration 2%) for determination of the total haemocyte count (THC).

Exposure of haemocytes to commercial and purified glyphosate herbicide

The pooled haemolymph was distributed in flow cytometry tubes containing glyphosate (treatment) or filtered sterilized seawater (FSSW) (control) (Figure 1). For in vitro assay, it was possible to test concentrations higher than that used in the in vivo assay (0.5 mg L-1). Eight concentrations of the herbicide were tested separately. For the commercial glyphosate Termifin, concentrations included 0.5, 5, 8.5, 16.9, 42.3, 84.5 and 169mgL-1,and for purified glyphosate (N-(phosphonomethyl) glycine; CAS no. 1071-83-6; MW: 169.07; ESTANAL®, Sigma), concentrations were equivalent in mM(3, 30, 50, 100, 250, 500, 1000). The flow cytometry tubes containing the haemocyte suspensions were kept at 20°C in the dark for a total period of 4h, which was estimated as sufficient to generate an acute response (Hégaret et al. 2011).41 The experiment was performed once.

Flow cytometry analysis

Fluorescent markers were added separately to the cell suspensions after 3h of incubation. The protocols used for the flow cytometry measurements were adapted from Hégaret et al.,42,43 and were previously tested with C.gasar.44 The protocols are briefly described below.

Haemocyte viability was determined using double staining with Sybr Green I (In vitrogen, final concentration: 10-3diluted from the original solution at 10,000x) and propidium iodide (PI, Sigma, final concentration: 10μg mL−1). The results are presented as the percentage of PI-unstained cells (dead) to Sybr Green I-stained cells (dead and live). Fixed haemolymph was also analysed with Sybr Green I to estimate the THC (cells mL-1). Phagocytosis was examined using fluorescent latex beads (Fluoresbrite® Yellow Green Microspheres, 2μm, Polysciences, Inc, 1x106particles mL-1) with a ratio of approximately 1:100 haemocytes: beads. The phagocytosis rate was estimated as the percentage of haemocytes that engulfed one or more fluorescent beads. Production of reactive oxygen species was determined using 2′,7′-dichlorofluorescein diacetate (DCFH-DA, Sigma, final concentration:10μM). The results are expressed as arbitrary units (U.A.) of fluorescence. The compound tert-butyl hydroperoxide (TBHP, Sigma, 10mM) was used as an ROS inductor45 for the in vivo assay.

All haemocyte suspensions were incubated for 1h at 20ºC with the fluorescent markers. The suspensions were immediately analysed using the flow cytometer FACS Calibur (BD Biosciences, San Jose, California, USA). Cells were run in high flow and 10,000 events were measured, except for the THC, in which samples were run for 30s to estimate the cell concentration. Flow cytometer data were processed using Flowing software (version 2.5.1, Turku, Finland).

Statistical analysis

Normality and homogeneity of variance were checked before comparisons to choose the most appropriate test. The percentage data were arcsin transformed prior to analysis. For the oyster exposure assay, the effect of the treatment (Termifin 0.5mgL-1) was analysed using t-tests when the data were normal, or by the Mann-Whitney test when the data were not normal. For the haemocyte exposure assay, the effect of the two herbicide formulations (commercial and purified glyphosate) and the various concentrations were analysed by a Two-way ANOVA. When differences were observed a One-way ANOVA was applied, followed by the LSD post hoc test. Differences were considered significant when P<0.05. Data are presented as the mean and standard error (SE). All statistical analyses were performed using Statgraphics Centurion Software, version XVI.II.

Results

Exposure of oysters to commercial glyphosate Termifin (0.5mgL-1) did not cause dead to haemocytes, which maintained high viability, as observed in oysters from the control group (Table 1). Similarly, haemocyte phagocytosis capacity was not altered (Table 1). In contrast, changes in two immunological parameters were detected after Termifin exposure; production of induced ROS significantly increased and the THC was significantly reduced (Table 1).

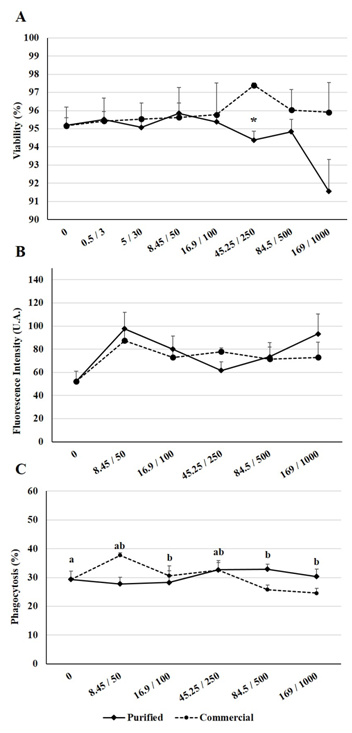
For the in vitro assays, the viability of the haemocytes was analysed after exposure to a wide range of concentrations of the two formulations of glyphosate. There was a difference in haemocyte viability between the two glyphosate formulations, but not among concentrations (Two-way ANOVA, P=0.0095 and P=0.7995, respectively). Purified glyphosate induced haemocyte mortality at 250µM (One-way ANOVA, P=0.0072), whereas no mortality was induced with the commercial formulation (Figure 2a).

 

Glyphosate

N

Control

N

p

Reactive oxygen species (Fluorescence A.U.)

54.8±6.48

45

30.9±4.65

45

0.0121*

Total haemocyte count (cellsx105 mL-1)

1.8±2.1

45

3.1± 2.6

45

0.0006*

Viability (%)

94.2±0.61

45

95.1±0.47

45

0.2294NS

Phagocytosis (%)

34.7±2.08

45

33.8±0.94

45

0.7463NS

Table 1 Results of immunecellular parameters of Crassostrea gasar oyster after exposure to commercial glyphosate Termifin (0.5mgL-1) or not (control). Data are reported as mean±SE. N: total number de oysters individually analysed in three independent experiments

*Mann-Whitney; NS Not significantly different; t test.

Figure 2 Effects of glyphosate (commercial and purified) on Crassostrea gasar haemocytes after 4 h of direct contact. (A) Haemocyte viability. *Significant difference between glyphosate formulations (One-way ANOVA, P< 0.05). (B) Production of reactive oxygen species. (C) Phagocytosis rate. Different letters indicate significant differences among concentrations (Two-way ANOVA, P<0.05). Concentrations of the compounds are given in w/v and its equivalent molarity (mgL-1/µM). Data are reported as mean±SE. N: 4 pools of 2 oysters per concentration and treatment.

ROS production and the phagocytosis rate of haemocytes was analysed with herbicide concentrations higher than 8.5mgL-1(50µM). ROS production was not modified by any glyphosate formulation or concentration (Two-way ANOVA, P=0.1560 and P=0.2011, respectively) (Figure 2b). The haemocyte phagocytosis rate did not vary between glyphosate formulations but was affected by concentration (Two-way ANOVA, P=0.1594 and P=0.0245, respectively); phagocytosis decreased to 84.5/500 and 169/000 (mgL-1/µM) (Figure 2c).

Parasitic indices of Perkinsus spp. on the gills of oysters exposed to the commercial glyphosate Termifin did not change in relation to the control oysters (Table 2). In contrast, the amount of total heterotrophic bacteria increased in the gastrointestinal tract of oysters exposed to glyphosate (Table 2).

 

Glyphosate

N

Control

N

P*

Prevalence (%)

65.6±12.6

9

78.9±5.88

9

0.4498

Intensity of infection (1-4)

1.65±0.32

9

2.22±0.21

9

0.1651

Amount of bacteria (UFC g-1x105)

3.2±0.24

18

2.4±0.26

18

0.0347

Table 2 Results of parasitic indices of Perkinsus spp. on gills and amount of total heterotrophic bacteria from the gastrointestinal tract of oysters exposed to commercial glyphosate Termifin (0.5mgL-1) and not (control). Data are reported as mean±SE. N: total number of pools of haemolymph analysed in three independent experiments

*t test.

Discussion

In the present study, the effect of glyphosate in the commercial formulation Termifin (1%) and its purified form were tested in a sessile and feed-filtered animal model, the oyster C. gasar, which is subject to environmental adversities and therefore, is considered a good bioindicator of environmental contamination.46 The response of oysters to the environment can be monitored in different ways; in this study, we chose to evaluate changes in haemocytes because these cells, in addition to acting in defence mechanisms against pathogens , are also implicated in innumerable physiological functions.47 Moreover, haemocytes are an excellent model for in vitro studies with contaminants.48

The exposure of oysters to commercial glyphosate was examined to understand effects of the herbicide on the animal. The in vitro approach using haemocytes was used to reveal the degree of cytotoxicity of glyphosate. C. gasar oysters exhibited an increase in haemocyte ROS production in response to Termifin exposure. Reactive oxygen intermediates are produced through internal cellular processes that consume oxygen, such as respiration and photosynthesis. Due to their chemical properties, these radicals interact and damage organic molecules; in contrast, antioxidant enzymes control the amount of these free radicals in cells.49 Herbicides, including glyphosate, are known to inhibit antioxidant enzymes and increase cellular oxidative stress.50 Catalase is an antioxidant enzyme and its activity was reduced after exposure of C. gigas to glyphosate (0.1, 1 and 100μgL-1) for 24 hours.32 Dos Santos & Martinez31 examined the effect of Roundupâ(10 ppm) on the freshwater shellfish Corbicula fuminea and found an increase in lipid peroxidation, which was consistent with changes in the activity of various antioxidant enzymes in the gills and digestive glands, including catalase, which had reduced activity. Therefore, the increase of ROS in the haemocytes can be explained by this effect, corroborating the previous literature.

C. gasar oysters exposed to Termifin exhibited a decrease in the number of circulating haemocytes. A similar study in mussels (Mytilus galloprovincialis) exposed for 7 days to purified glyphosate at concentrations of 10, 100 and 1,000μgL-1 also presented a decrease in the amount of circulating haemocytes.37 The decrease in THC could be explained by the migration of haemocytes to the tissues51 to repair damage or to aid in the biotransformation of toxic compounds at the digestive gland level.52 Significant haemocytic infiltration into the connective tissue and digestive glands in addition to changes in its architecture have been reported in juvenile C. gigas oysters after exposure to purified glyphosate at a concentration of 0.1mgL-1,32 a much lower dose than that used in the present study (500μgL-1). Moreover, Gagnaire et al., 35 hypothesized that the up-regulation of haemocyte defence genes in C. gigas oysters exposed to a combination of pesticides/herbicides following bacterial challenge caused tissue damage.

C. gasar oysters exposed to Termifin did not modify phagocytosis capacity, in contrast to the haemocytes at the two highest concentrations tested. Phagocytosis is one of the most important cellular defence mechanisms in bivalves53 and is also one of the major biomarkers of immune-toxicity.30,54 C. gigas oyster exposed to a mixture of eight xenobiotics, including glyphosate (0.7mgL-1), for seven days at environmentally relevant concentrations caused a reduction in the phagocytosis capacity of the haemocytes,35,55 whereas the other three cellular parameters (viability, quantity of esterase and ROS) did not change.35 The differences in results between the in vivo and in vitro assays may be in the concentrations tested, which were much lower for the in vivo exposure. Additionally, the commercial formulation used in the present study (Termifin) likely contains a complex mixture of adjuvants and surfactants, which in higher doses (in vitro) produced major effects on haemocytes. It is known that commercial formulations of glyphosate-based herbicides can be more harmful to organisms than their isolated active principles.26 Therefore, we hypothesize that if oysters had been exposed to Termifin at a higher concentration, inhibition of phagocytic capacity would have been observed.

The toxicity of glyphosate and its adjuvants were tested in larval and juvenile phases of the freshwater bivalve Lampsilis siliquoidea and it was demonstrated that Roundup® and its surfactant MON 0818 were more toxic than technical grade glyphosate.26,56 Similarly, Mottier et al.,57 tested two glyphosate commercial formulations, Roundup Express® (REX) and Roundup Allées et Terrasses® (RAT) during the embryo-larval development and metamorphosis of C. gigas oysters, and found that both were more toxic than isolated glyphosate and its metabolite AMPA. Mottier et al.,58 examined the same biological model and life stages and observed high toxicity of the surfactant polyethoxylated tallow amine (POEA, Genamin T200®). These reports highlight the need to characterize the toxicity of the adjuvants and not only the active ingredients of the herbicides.

Oysters exposed to Termifin did not undergo mortality. This result demonstrates that, despite the haemocyte oxidative stress observed, molecular mechanisms of cell repair and cell survival must be active,59 allowing for proper immune and physiological functions. Two in vitro studies on C. gigas haemocytes did not report cell mortality from the herbicide atrazine (9.3, 93, 930μM)34 or a mixture of 14 contaminants (herbicides, fungicides, insecticides and molluscicides). et al.,39 In contrast, among the eight herbicides tested (metolachlor, alachlor, terbutylazine, glyphosate, diuron, atrazine, 2,4-dichlorophenoxyacetic acid (2,4D), only the 2,4D caused mortality of C. virginica haemocytes after 4h of exposure, without modulating other haemocyte parameters (ROS, phagocytosis, esterases, lysosomes); glyphosate did not caused any change in haemocytes at the tested concentration (12μmolL-1).60 These results suggest that the mode of action of herbicide formulations on oyster haemocytes are different and require investigation.

Milan et al.,61 suggested modification in some physiological pathways by glyphosate on the digestive glands of the mussel Mytilus galloprovincialis. This group found (1) down-regulation of calcium- and calmodulin-dependent phosphodiesterase type 1, which interferes with calcium signalling, (2) down-regulation of ABC transporters proteins, which impairs the transport of deleterious compounds out of the cell, and (3) down-regulation of phosphoinositide phosphatase, which alters the degradation of phosphoinositides, a group of key signalling molecules involved in many cellular processes.

It is important to point out that the defence response of bivalves to infectious agents may be compromised due to cellular effects caused by xenobiotics. This was demonstrated in a study with C. gigas oysters that were challenged with pathogenic bacterial strains (Vibrio splendidus, LGP31 and LGP32) following exposure to a mixture of pesticides and herbicides, including glyphosate.35 Exposed and challenged oysters suffered higher mortality than untreated oysters.35 Haemocyte phagocytosis decreased and 19 selected genes were down-regulated,35 indicating that the contaminants may have altered the overall health of the animal, rendering the oysters more susceptible to vibrios is and death.

Considering that the immunological status of the C.gasar oysters exposed to Termifin was changed, we inferred a weaknesses of the oysters' ability to defend against the Perkinsus parasite, which would result in an increase of parasitic indices. Nevertheless, we observed a decrease of the Perkinsus parasitological indices, although not significant, that could suggest a direct toxicity effect of the herbicide against Perkinsus. Elandalloussi et al.,62 observed a reduction in P. olseni prevalence when Ruditapes decussatus was exposed to Roundup® at 25 mgL-1 for 5 days. The dose tested in the present study was 50 times lower (0.5mgmgL-1) than that used by the authors. This treatment caused a reduction of approximately 17% in parasite prevalence, suggesting that Termifin could have a similar effect to Roundup® when used in high concentrations. Elandalloussi et al.,62 also directly confirmed glyphosate cytotoxicity in P. olseni cells, revealing that Roundup® was 10 times more potent (IC50: 0.4mM) than its isolated active principle (IC50: 3.4 mM).This hypothesis can be tested in the future with P. marinus isolates from Brazil,5 a species that occurs in C. gasar oysters of the coast of Paraíba, together with the species P. beihaiensis.1,8

The present study also investigated whether exposure to Termifin affected the amount of total heterotrophic bacteria in the gastrointestinal tract of C. gasar. A 33% increase in the mean CFUs observed in oysters exposed to the herbicide indicates an impact to this parameter, suggesting an imbalance of bacterial communities. Significant effects on oyster health would be expected, since gastrointestinal microbiota play an important role in oyster health, as reported for several other aquatic invertebrates63 and humans.64 Recent studies have shown a complex and metabolically versatile of the resident gastrointestinal microbiota in oysters.65-69 It is also possible that some bacterial taxa prevail over others in the treated animals. Indeed, a study on poultry microbiota confirmed that glyphosate caused a disturbance in the normal bacterial community, altering the balance between pathogenic and beneficial resident bacteria.70 The authors observed that pathogenic bacteria (Clostridum botulinum, Salmonella Typhimurium) exposed to glyphosate in vitro were resistant to the herbicide, whereas others considered beneficial (Bacillus badius, Lactobacillus spp.) were susceptible. If similar selectivity occurred in oysters treated with Termifinin the present study, it is possible that treatment would favour opportunistic and pathogenic bacteria. Thus, glyphosate is a concern to aquaculture, because Vibrio are common bacteria in seawater and in the gastrointestinal tracts of bivalves,71,72 and are pathogenic to bivalves.73,74 The identification of the bacteria present after exposure to the herbicide would confirm this hypothesis.

We conclude that the herbicide glyphosate in its commercial formulation and its active ingredient are toxic to oysters, affecting two major mechanisms of defence and consequently compromising the ability of oysters to defend against infectious agents. In contrast, our data suggests that the gastrointestinal tract microbiota is sensitive to the commercial formulation of glyphosate, which could make oysters more susceptible to pathogenic bacterial strains. Overall, these results increase our understanding of the impact of the herbicide glyphosate on a non-target species, the oyster C. gasar.

Acknowledgements

This publication was paid with resources of the CNPQ, code 150768/2018-4.

Conflict of interest

Author declare that there is no conflicts of interest.

References

  1. Scardua M, Vianna R, Duarte S, et al. Growth, mortality and susceptibility of oyster Crassostrea to Perkinsus spp. infection during on-growing in northeast Brazil. Rev Bras Parasitol Veterinária. 2017;26(4):401–410.
  2. Villalba A, Gestal C, Casas SM, et al. Perkinsosis en moluscos. In: Figueras A, Novoa B, editors. Enfermedades de moluscos bilvalvos de interés en acuicultura. Madrid; 2011; p. 181–424.
  3. Brandão RP, Boehs G, Silva PM Da. Health assessment of the oyster Crassostrea rhizophorae on the southern coast of Bahia, northeastern Brazil. Rev Bras Parasitol Veterinária. 2013;22:84–91.
  4. Sabry RC, Gesteira TCV, Magalhães ARM, et al. Parasitological survey of mangrove oyster, Crassostrea rhizophorae, in the Pacoti River Estuary, Ceará State, Brazil. J Invertebr Pathol. 2013;112(1):24–32.
  5. da Silva PM, Vianna RT, Guertler C, et al. First report of the protozoan parasite Perkinsus marinus in South America, infecting mangrove oysters Crassostrea rhizophorae from the Paraíba River (NE, Brazil). J Invertebr Pathol. 2013;113(1):96–103.
  6. da Silva PM, Scardua MP, Vianna RT, et al. Two Perkinsus spp. infect Crassostrea gasar oysters from cultured and wild populations of the Rio São Francisco estuary, Sergipe, northeastern Brazil. J Invertebr Pathol.2014;119:62–71.
  7. da Silva PM, Costa CP, Araújo JPB de, et al. Epizootiology of Perkinsus in Crassostrea gasar oysters in polyculture with shrimps in northeastern Brazil. Rev Bras Parasitol Veterinária. 2016;25(1):37–45.
  8. Queiroga FR, Vianna RT, Vieira CB, et al. Parasites infecting the cultured oyster Crassostrea gasar (Adanson, 1757) in Northeast Brazil. Parasitology. 2015;142(6):756–766.
  9. Dantas-Neto MP, Sabry RC, Ferreira LP, et al. Perkinsus infecting the oyster Crassostrea rhizophorae from estuaries of the septentrional Northeast, Brazil. Brazilian J Biol. 2015;75:1030–1034.
  10. Luz MDSA, Boehs G. Perkinsus beihaiensis infectando a ostra Crassostrea rhizophorae em cultivo e em estoque natural na Baía de Camamu, Bahia, Brasil. Brazilian J Vet Res Anim Sci. 2016;53:191.
  11. Benbrook CM. Trends in glyphosate herbicide use in the United States and globally. Environ Sci Eur. 2016;28:3.
  12. Azania C, Pinto L, Adriano R, et al. The use of glyphosate in sugarcane: A Brazilian Experience. In: Herbicides - Current Research and Case Studies in Use. 2017; p. 135–152.
  13. Rocha M da SP, Mourao J da S, Souto W de MS, et al. Use of fishing resources in the Mamanguape River estuary, Paraiba state, Brazil. Interciencia. 2008;33:903–909.
  14. Arias D, Caballero J. Agriculture Sector Risk Assessment, Paraíba State, Brazil. In: Agriculture Global Practice Technical Assistance Paper. World Bank Group, Washington, DC, 2015; 167 p.
  15. Annett R, Habibi HR, Hontela A. Impact of glyphosate and glyphosate-based herbicides on the freshwater environment. J Appl Toxicol. 2014;34(5):458–479.
  16. Poiger T, Buerge IJ, Bächli A, et al. Occurrence of the herbicide glyphosate and its metabolite AMPA in surface waters in Switzerland determined with on-line solid phase extraction LC-MS/MS. Environ Sci Pollut Res. 2017;24(2):1588–1596.
  17. Skark C, Zullei-seibert N, Schöttler U, et al. The Occurrence of Glyphosate in Surface Water. Int J Environ Anal Chem. 1998; 70:93–104.
  18. Struger J, Thompson D, Staznik B, et al. Occurrence of Glyphosate in Surface Waters of Southern Ontario. Bull Environ Contam Toxicol. 2008;80(4):378–384.
  19. Davis AM, Thorburn PJ, Lewis SE, et al. Environmental impacts of irrigated sugarcane production: Herbicide run-off dynamics from farms and associated drainage systems. Agric Ecosyst Environ. 2013;180:123–135.
  20. Peruzzo PJ, Porta AA, Ronco AE. Levels of glyphosate in surface waters, sediments and soils associated with direct sowing soybean cultivation in north pampasic region of Argentina. Environ Pollut. 2008;156(1):61–66.
  21. Funke T, Han H, Healy-Fried ML, et al. Molecular basis for the herbicide resistance of Roundup Ready crops. Proc Natl Acad Sci. 2006;103(35):13010–13015.
  22. Battaglin W, Meyer M, Kuivila K, et al. Glyphosate and its degradation product AMPA occur frequently and widely in U.S. soils, surface water, groundwater, and precipitation. J Am Water Resour Assoc. 2014.
  23. Antoniou M, Habib M, Howard C, et al. Teratogenic Effects of Glyphosate-Based Herbicides: Divergence of Regulatory Decisions from Scientific Evidence. J Environ Anal Toxicol. 2012.
  24. Lasier PJ, Urich ML, Hassan SM, et al. Changing agricultural practices: potential consequences to aquatic organisms. Environ Monit Assess. 2016;188(12):672.
  25. Bridi D, Altenhofen S, Gonzalez JB, et al. Glyphosate and Roundup® alter morphology and behavior in zebrafish. Toxicology. 2017;392:32–39.
  26. Van Bruggen AHC, He MM, Shin K, et al. Environmental and health effects of the herbicide glyphosate. Sci Total Environ. 2018;616–617:255–268.
  27. Pérez GL, Vera MS, Miranda LA. Effects of Herbicide Glyphosate and Glyphosate-Based Formulations on Aquatic Ecosystems. Herbic Environ. 2011;343–368.
  28. Wang C, Lin X, Li L, et al. Differential Growth Responses of Marine Phytoplankton to Herbicide Glyphosate. PLoS One. 2016;11:e0151633.
  29. Gattás F, Vinocur A, Graziano M, et al. Differential impact of Limnoperna fortunei-herbicide interaction between Roundup Max® and glyphosate on freshwater microscopic communities. Environ Sci Pollut Res. 2016;23(18):18869–18882.
  30. Renault T. Immunotoxicological effects of environmental contaminants on marine bivalves. Fish Shellfish Immunol. 2015;46(1):88–93.
  31. dos Santos KC, Martinez CBR. Genotoxic and biochemical effects of atrazine and Roundup®, alone and in combination, on the Asian clam Corbicula fluminea. Ecotoxicol Environ Saf. 2014;100:7–14.
  32. Mottier A, Séguin A, Devos A, et al. Effects of subchronic exposure to glyphosate in juvenile oysters (Crassostrea gigas): From molecular to individual levels. Mar Pollut Bull. 2015;95(2):665–677.
  33. Séguin A, Mottier A, Perron C, et al. Sub-lethal effects of a glyphosate-based commercial formulation and adjuvants on juvenile oysters (Crassostrea gigas) exposed for 35 days. Mar Pollut Bull. 2017;117(1-2):348–358.
  34. Gagnaire B, Renault T, Bouilly K, et al. Study of atrazine effects on Pacific oyster, Crassostrea gigas, haemocytes. 2003;9(2):193–199.
  35. Gagnaire B, Gay M, Huvet A, et al. Combination of a pesticide exposure and a bacterial challenge: In vivo effects on immune response of Pacific oyster, Crassostrea gigas (Thunberg). Aquat Toxicol. 2007;84(1):92–102.
  36. Moreau P, Burgeot T, Renault T. A mixture of pesticides in short-term in vitro assays. Environ Sci Pollut Res. 2014.21:4940–4949
  37. Matozzo V, Fabrello J, Masiero L, et al. Ecotoxicological risk assessment for the herbicide glyphosate to non-target aquatic species: A case study with the mussel Mytilus galloprovincialis. Environ Pollut. 2018;233:623–632.
  38. Mercurio P, Flores F, Mueller JF, et al. Glyphosate persistence in seawater. Mar Pollut Bull. 2014;85(2):385–390.
  39. Moreau P, Burgeot T, Renault T. Pacific oyster (Crassostrea gigas) hemocyte are not affected by a mixture of pesticides in short-term in vitro assays. Environ Sci Pollut Res. 2014;21(7):4940–4949.
  40. Ray SM. A review of the culture method of detecting Dermocystidium marinum with suggested modifications and precautions. Proc Natl Shellfish Assoc. 1966;54:55–69.
  41. Hégaret H, da Silva PM, Wikfors GH, et al. In vitro interactions between several species of harmful algae and haemocytes of bivalve molluscs. Cell Biol Toxicol. 2011;27(4):249–266.
  42. Hégaret H, Wikfors GH, Soudant P. Flow cytometric analysis of haemocytes from eastern oysters, Crassostrea virginica, subjected to a sudden temperature elevation. II. Haemocyte functions: aggregation, viability, phagocytosis, and respiratory burst. J Exp Mar Bio Ecol. 2003;293:249–265.
  43. Hégaret H, Wikfors GH, Soudant P. Flow-cytometric analysis of haemocytes from eastern oysters, Crassostrea virginica, subjected to a sudden temperature elevation. I. Haemocyte types and morphology. J Exp Mar Bio Ecol. 2003;293:237–248.
  44. Queiroga FR, Marques-Santos LF, Hégaret H, et al. Immunological responses of the mangrove oysters Crassostrea gasar naturally infected by Perkinsus sp. in the Mamanguape Estuary, Paraíba state (Northeastern, Brazil). Fish Shellfish Immunol. 2013;35(2):319–327.
  45. Le Goïc N, Hégaret H, Boulais M, et al. Flow cytometric assessment of morphology, viability, and production of reactive oxygen species of Crassostrea gigas oocytes. Application to Toxic dinoflagellate (Alexandrium minutum) exposure. Cytom Part A. 2014;85(12):1049–1056.
  46. Raftos DA, Melwani AR, Haynes PA, et al. The biology of environmental stress: molecular biomarkers in Sydney rock oysters (Saccostrea glomerata). Environ Sci Process Impacts. 2016;18(9):1129–1139.
  47. Cheng TC (1996) Hemocytes: forms and functions. In: Kennedy VS, Newell RIE, Eble AF, editors. The Eastern Oyster: Crassostrea virginica. Maryland Sea Grant, College Park, MD, USA, p. 299–333
  48. Ladhar-Chaabouni R, Hamza-Chaffai A. The cell cultures and the use of haemocytes from marine molluscs for ecotoxicology assessment. Cytotechnology. 2016;68(5):1669–1685.
  49. Birben E, Sahiner UM, Sackesen C, et al. Oxidative Stress and Antioxidant Defense. World Allergy Organ J. 2012;5(1):9–19.
  50. Lushchak VI. Environmentally induced oxidative stress in aquatic animals. Aquat Toxicol. 2011;101(1):13–30.
  51. Carella F, Feist SW, Bignell JP, et al. Comparative pathology in bivalves: Aetiological agents and disease processes. J Invertebr Pathol. 2015;131:107–120.
  52. Bricelj VM, Shumway SE. Paralytic Shellfish Toxins in Bivalve Molluscs: Occurrence, Transfer Kinetics, and Biotransformation Paralytic Shellfish Toxins in Bivalve Molluscs: Occurrence, Transfer Kinetics, and Biotransformation. Rev Fish Sci. 1998;6(4):315–383.
  53. Allam B, Raftos D. Immune responses to infectious diseases in bivalves. J Invertebr Pathol. 2015;131:121–136.
  54. Fournier M, Cyr D, Blakley B, et al. Phagocytosis as a biomarker of immunotoxicity in wildlife species exposed to environmental xenobiotics. Am Zool. 2000;40(3):412–420.
  55. Geret F, Burgeot T, Haure J, et al. Effects of low-dose exposure to pesticide mixture on physiological responses of the pacific oyster, Crassostrea gigas. Environ Toxicol. 2013;28(12):689–699.
  56. Bringolf RB, Cope WG, Mosher S, et al. Acute and chronic toxicity of glyphosate compounds to glochidia and juveniles of Lampsilis siliquoidea (Unionidae). Environ Toxicol Chem. 2007;26(10):2094–2100.
  57. Mottier A, Kientz-Bouchart V, Serpentini A, et al. Effects of glyphosate-based herbicides on embryo-larval development and metamorphosis in the Pacific oyster, Crassostrea gigas. Aquat Toxicol. 2013;128–129:67–78.
  58. Mottier A, Pini J, Costil K. Effects of a POEA surfactant system (Genamin T-200) on two life stages of the Pacific oyster, Crassostrea gigas. J Toxicol Sci. 2014;39(2):211–215.
  59. Fulda S, Gorman AM, Hori O, et al. Cellular stress responses: Cell survival and cell death. Int J Cell Biol 2010.
  60. Gagnaire B, Thomas-Guyon H, Burgeot T, et al. Pollutant effects on Pacific oyster, Crassostrea gigas (Thunberg), hemocytes: Screening of 23 molecules using flow cytometry. Cell Biol Toxicol. 2006;22(1):1–14.
  61. Milan M, Dalla Rovere G, Smits M, et al. Ecotoxicological effects of the herbicide glyphosate in non-target aquatic species: Transcriptional responses in the mussel Mytilus galloprovincialis. Environ Pollut.2018;237:442–451.
  62. Elandalloussi LM, Leite RB, Rodrigues PM, et al. Effect of the herbicide Roundup on Perkinsus olseni in vitro proliferation and in vivo survival when infecting a permissive host, the clam Ruditapes decussatus. Bull Environ Contam Toxicol. 2008;80(6):512–515.
  63. Apprill A. Marine Animal Microbiomes: Toward Understanding Host–Microbiome Interactions in a Changing Ocean. Front Mar Sci. 2017;4:1–9.
  64. Scotti E, Boué S, Sasso G Lo, et al. Exploring the microbiome in health and disease. Toxicol Res Appl. 2017; 1:239784731774188.
  65. Green TJ, Barnes AC. Bacterial diversity of the digestive gland of Sydney rock oysters, Saccostrea glomerata infected with the paramyxean parasite, Marteilia sydneyi. J Appl Microbiol. 2010;109(2):613–622.
  66. King GM, Judd C, Kuske CR, et al. Analysis of stomach and gut microbiomes of the Eastern oyster (Crassostrea virginica) from coastal Louisiana, USA. PLoS One. 2012;7:e51475.
  67. Trabal Fernández N, Mazón-Suástegui JM, Vázquez-Juárez R, et al. Changes in the composition and diversity of the bacterial microbiota associated with oysters (Crassostrea corteziensis, Crassostrea gigas and Crassostrea sikamea) during commercial production. FEMS Microbiol Ecol. 2014;88(1):69–83.
  68. Li Z, Nicolae V, Akileh R, Liu T. A Brief Review of Oyster-associated Microbiota. Microbiol Res J Int. 2017;20(5):1–14.
  69. Ossai S, Ramachandran P, Ottesen A, et al. Microbiomes of american oysters (Crassostrea virginica) harvested from two sites in the Chesapeake Bay. Genome Announc. 2017;5:e00729-17.
  70. Shehata AA, Schrödl W, Aldin AA, et al. The effect of glyphosate on potential pathogens and beneficial members of poultry microbiota in vitro. Curr Microbiol. 2013;66(4):350–358.
  71. Romalde JL, Dieguez AL, Lasa A, et al. New Vibrio species associated to molluscan microbiota: A review. Front Microbiol. 2014;4:1–11.
  72. Wang R, He J, Wang J. Heterotrophic bacterial abundance and diversity in the farming environment and guts of the oyster Crassostrea hongkongensis. J Shellfish Res. 2016;35(2):343–350.
  73. Beaz-Hidalgo R, Balboa S, Romalde JL, et al. Diversity and pathogenecity of Vibrio species in cultured bivalve molluscs. Environ Microbiol Rep. 2010;2(1):34–43.
  74. Travers M-A, Boettcher Miller K, Roque A, et al. Bacterial diseases in marine bivalves. J Invertebr Pathol. 2015;131:11–31.
Creative Commons Attribution License

©2018 Oliveira, et al. This is an open access article distributed under the terms of the, which permits unrestricted use, distribution, and build upon your work non-commercially.