Submit manuscript...
Journal of
eISSN: 2373-4426

Pediatrics & Neonatal Care

Research Article Volume 4 Issue 5

IL6-174 G/C Gene Polymorphism in Children with Septicemia: Single Center Study

Walaa Aboulkasem Shahin,1 Iman Ehsan Abdel Meguid,1 Kariman Elhamamsy,1 Olfat Gamil Shaker2

1Department of pediatrics, Cairo University, Egypt
2Department of medical biochemistry, Cairo University, Egypt

Correspondence: Walaa Aboulkasem Shahin, Department of pediatrics, Postal code and address: Kasr-alainy post code 11562, Children’s Hospital, Cairo University Cairo, Egypt, Tel +202-122-008-8310

Received: April 25, 2016 | Published: June 6, 2016

Citation: Shahin WA, Abdel Meguid IE, Elhamamsy K, Shaker OG (2016) IL6-174 G/C Gene Polymorphism in Children with Septicemia: Single Center Study. J Pediatr Neonatal Care 4(5): 00156. DOI: 10.15406/jpnc.2016.04.00156

Download PDF

Abstract

Background: Sepsis represents the main cause of mortality at intensive care units, with mortality rates from 30–50%. Elderly, pediatric, and immune-compromised patients show atypical clinical manifestations of bacterial infection. Several studies showed that Cytokines are involved in the pathogenesis of sepsis. We conducted this study to investigate the association of IL6-174 G/C gene polymorphism with sepsis outcome in critically ill children admitted to pediatric intensive care units.

Patients and methods: Sixty children were included, thirty cases with sepsis and septic shock admitted to pediatric ICU in children’s hospital Cairo University. Their ages ranged from 2months to 24months (2years), with 18 (60%) males and 12 (40%) females in comparison to 30 healthy controls. Blood samples (5ml) were collected (2 ml. on EDTA for DNA extraction and RFLP of IL-6 gene at locus 174. The rest was used for separation of serum for determination of IL-6 protein by ELISA technique.

Results: IL6 serum levels were significantly elevated in those children with septicemia and septic shock (114 pg/ml) compared to healthy matched controls (2.60pg/ml), p <0.001. Regarding the IL6-174 genotype; G/C, G/G and CC represents 53.3%, 36.7% and 10%, respectively. Comparing the genotypes with mortality rates for those children with sepsis and septic shock, IL6-174, GC, GG and CC were 46.7%, 66.3%, and 100% respectively.

Conclusion: IL6 serum levels are elevated in patients with sepsis, supporting its role in the pathogenesis of sepsis. IL6-174 G/C gene polymorphism may contribute to the prognosis and outcome of sepsis.

Recommendation: Further large-scale studies are needed to clarify the role of IL6-174 genotypes in association with critical illnesses in children. Using IL-6 polymorphisms as a routine test in patients admitted to PICU may help us predict the prognosis of critically ill children, and allow for better treatment options for those who are at risk.

Keywords: IL6, IL6-174G/C, sepsis, children, Egypt

Abbreviations

IL6, interleukin-6; PICU, pediatric intensive care unit; SIRS, systemic inflammatory response syndrome; TNF, tumor necrosis factor; CRP, C-reactive protein; PCT, procalcitonin; SD, standard deviation

Introduction

Sepsis continues to be a disease with high fatality. Efforts are directed towards early diagnosis and treatment. The need to identify patients with severe clinical course or those at highest risk has led to the emergence of different models aimed at predicting mortality in such patients.1

Diagnosis of bacterial sepsis is difficult because the signs and symptoms of sepsis overlap with those of viral infections. Moreover, sepsis may be obscured by noninfectious causes of systemic inflammatory response syndrome (SIRS). In addition, culture-negative bacterial infection hinders the diagnosis of sepsis. Accurate and rapid diagnosis of septic shock and / or severe sepsis limits morbidity, potentially reduces cost, and can improve patient outcomes.2

Inflammatory mediators are the key players in the pathogenesis of sepsis. An initial step in the activation of innate immunity is the synthesis of cytokines that induce manifestations on most cell types from immune effector cells to vascular smooth muscle and parenchymal cells. Several cytokines are induced, including tumor necrosis factor (TNF) and interleukins (ILs). Both of these factors also help to keep infections localized, but, once the infection becomes systemic, the effects can be detrimental.3

More than 80 biological marker of sepsis (eg, C-reactive protein (CRP), IL-6, procalcitonin (PCT) and protein C) have been investigated, both for their diagnostic and prognostic capabilities. In general, presence of these markers has been associated with increasing morbidity and mortality. However lack of availability, long result turnaround times and non-standardized assays cutoff values limit their practical use.4 Circulating levels of IL-6 have been reported to correlate well with clinical outcome. High levels of IL-6 are associated with mortality.3

The expression of IL-6 is tightly regulated by a number of transcription factors, e.g., nuclear factor IL-6 (NF IL-6), which bind to the IL-6 promoter region. Recently, at position _174 of the human IL-6 promoter within a negative regulatory domain, a single nucleotide polymorphism deriving from a G to C substitution has been identified. In a luciferase reporter vector assay, the _174 G construct exhibited both an enhanced spontaneous and inducible expression of transcripts as compared to the _174 C construct. Additionally, the G allele was associated with significantly higher plasma levels of IL-6 in healthy adults. Thus, a certain IL-6 promoter genotype may be associated with a low or high IL-6 producer phenotype that, in turn, may cause an immunogenetic predisposition for diseases with IL-6-mediated pathology.5 Previous studies revealed that high IL-6 level was associated with increased severe sepsis mortality and risk.6−9

The aim of this study is to assess IL-6 level in serum of children with sepsis admitted to our pediatric intensive care unit and to determine whether IL-6 promoter polymorphism (-174 G/C) may help to explain the variability of the sepsis outcomes.

Methodology

Patients

This is a prospective study that was carried out in the pediatric intensive care unit (PICU) of the specialized children’s hospital, faculty of medicine, Cairo University. We enrolled 30 critically ill pediatric patients (age range from 2-14years old)with septicemia due to variable etiology who were admitted in pediatric intensive care unit (PICU) and a control group; 30 healthy age and sex matched children who came to the hospital for regular follow up or for vaccination. The study was done over a period of 1 year. All enrolled patients underwent assessment of their serum levels of IL-6 and its promoter polymorphism (-174 G/C).

Methods

Five ml blood samples were collected from all cases and controls. Two ml’s of each sample was collected on EDTA for DNA extraction and RFLP of IL-6 gene at 174.The remaining 3ml’s were used for separation of serum for determination of IL-6 protein and CRP by ELISA techniques.

Quantitation of IL-6 in serum: The level of IL-6 in all samples was quantitated using a AviBion Human IL-6 ELISA Kit provided by Orgenium Laboratories, Helsinki FINLAND. Orgenium Laboratories.

IL-6 promoter polymorphism (-174 G/C): DNA was extracted from whole blood using Qia-amplification extraction kit (Qiagene, USA). The concentration of the extracted DNA was determined by using a spectrophotometer at wave length 260 nm. A100 ng genomic DNA template was used to amplify the promotor region of IL-6 (-174 G/C) in a total volume of 25ul.The Primers used for amplification were:5’-TGACTTCAGCTTTACTCTTGT-3’ and 5’-CTGATTGG-AAACCTTATTAAG-3’. The PCR cycling condition was denaturation at 95°C for 10 min followed by 35 cycles of denaturation at 95°C for 45 sec, annealing at 52°C for 45sec, and extension at 72°C for 60sec. The PCR products were detected bygel electrophoresis at 190 bp.PCR product was digested with 10 U of the enzyme NlaIII (New England Biolabs) overnight at 37°C and visualized in a 2.5% agarose gel stained with ethidium bromide. The C allele creates a cut site for the restriction endonuclease NlaIII leading to 2 DNA fragments of 143 bp and 47 bp, respectively.

Statistical analysis

Analysis of the dataset was done by SPSS (statistical program for social science version 12). Description of quantitative variables is expressed as mean, standard deviation (SD) and range. Description of qualitative variables is expressed as number and percentage. ROC (receiver operator characteristic curve) was used to assess the best cut off and validity of certain variables. P values < 0.05 will be considered significant.

Results

This study included 30 children diagnosed with septicemia recruited from the pediatric intensive care unit (PICU) at specialized children hospital, faculty of medicine, Cairo University (study group) compared to 30 healthy age and sex matched children as a control group. Both groups were matched according to age and gender, with a median age of 10months and range of 2-24months. The underlying causes of sepsis in the study group were due to Pneumonia 40%, Bacteremia 33.3%, Encephalitis 16.7% and Postoperative surgical wound infection 10%.

The total serum level of IL6-174, at the first day of admission to PICU for the study group was significantly higher than the control group, 114 and 2.6 pg/ml, respectively with P value <0.001. IL6-174 polymorphism GG, GC, and CC were detected in the study group as follows 36.7%, 53.3%, and 10% respectively. In the control group, the majority of patients had IL6-174 GG polymorphism (86.7%), while none of the healthy control group had IL6-174 CC, as shown in table 1.

Variables

Study Group (N=30)

Control Group (N=30)

P

Average IL6 (pg/ml)

114

2.6

<0.001

IL6 polymorphism

GG

11(36.7%)

26(86.7%)

<0.001

GC

16(53.3%)

4(13.3%)

CC

3(10%)

0

CRP (mg/dl)

24.9+8

1.2+0.7

<0.001

Mean+SD

 

 

Table 1 Total serum level of CRP, IL6 and its genotypes in both groups

Patients homozygous for IL6-174 CC showed a very high predisposition to sepsis and septic shock including hypotension and hypo-perfusion. While those homozygous for IL6-174 GG and heterozygous GC showed a significantly lower incidence of sepsis and septic shock, with P values <0.001 and <0.05 respectively. There was no statistically significant difference between IL6-174 polymorphisms regarding other clinical manifestations such as pneumonia, or respiratory failure requiring mechanical ventilation, as shown in table 2.

Variables

IL6-174

 

 

P

GG

GC

CC

Sepsis

No

11(91.7%)

15(100%)

1(33.3%)

<0.001

Yes

1(8.3%)

0

2(66.7%)

Metabolic acidosis

No

8(66.7%)

13(86.7%)

0

<0.05

Yes

4(33.3%)

2(13.3%)

3(100%)

Blood Pressure

Normal

9(75%)

14(93.3%)

1(33.3%)

<0.05

Hypotension

3(25%)

1(6.7%)

2(66.7%)

Hypo-perfusion

No

6(50%)

13(86.7%)

0

<0.05

Yes

6(50%)

2(13.3%)

3(100%)

Pneumonia

No

6(50%)

8(53.3%)

2(66.7%)

>0.05

Yes

6(50%)

7(46.7%)

1(33.3%)

Mechanical ventilation

No

2(16.7%)

5(33.3%)

0

>0.05

Yes

10(83.3%)

10(66.7%)

3 (100%)

 

Table 2 Relation between different IL6-174 genotypes and different clinical parameters

Regarding the outcome of our septic study group; the total serum IL6 increased and peaked during sepsis and significantly correlated with poor outcome. The IL-6 polymorphism CC was associated with mortality, while the other polymorphisms showed near frequencies in both groups as shown in table 3.

 

IL6-174

 

 

 

 

 

Variables

GG

GC

CC

P value

Serum IL-6

P value

Improved (N=12)

4(33.3%)

8(53.3)

0

<0.05S

95(pg/ml)

0.001

Died (N=18)

8(44.4%)

7(46.7)

3(100%)

 

127(pg/ml)

Table 3 Relation between total IL6 level and polymorphism versus outcome

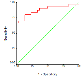
The validity of total serum IL6 level in prediction of sepsis was assessed using the receiver operating characteristic (ROC) curve which showed that area under the curve (AUC) = 0.87, best cut off = 5.5 pg/ml, sensitivity = 93%, specificity = 66% and accuracy = 73% as illustrated in figure 1.

Figure 1 ROC curve showing validity of total serum IL6 level in prediction of sepsis.

The validity of total serum IL6 level in prediction of mortality was assessed using ROC curve which showed that AUC= 0.50, best cut off =30 pg/ml, sensitivity=77%, specificity=40% and accuracy=53% as illustrated in figure 2.

Figure 2 ROC curve showing validity of IL6 level in prediction of mortality.

Discussion

Studies concerning the possible influence of IL6-174 and its’ different genotypes on sepsis outcome in children are very limited. Conflicting results are often inferred from adult studies. Thus we investigated in this study the effect of the presence of IL6-174 G/C SNP polymorphism among a cohort of critically ill children. In our study we aimed to evaluate the level of total serum IL-6 and its different polymorphisms in children with septicemia admitted to our PICU compared to healthy controls.

In our study, the serum IL6 level on the first day of admission to the PICU was significantly higher than levels in the control group, with a P value <0.001. As such, IL6 levels upon admission to the PICU were a better positive indicator in the diagnosis of sepsis, as demonstrated in figure 3.

Figure 3 Agarose gel electrophoresis stained with ethidium bromide showing genotyping of IL-6 gene after digestion by restriction endonucleases.
Lanes 1, 2: GG homozygous genotype
Lane 3: CC homozygous genotype
Lanes 4-6: GC heterozygous genotype
M: Molecular DNA marker

The high level of total serum IL6-174 in the septic group did not correlate to outcomes and it could not predict mortality of those septic patients, as illustrated in figure 1B. Our observation is similar to that reported by Oda et al in 2005, who found that, serum IL-6 level reflects the severity of SIRS and sepsis but it didn’t show any significant correlation with outcome.10

Regarding total serum level of IL6, we found that it was generally elevated in patients with sepsis with its different degrees ranging from septicemia, SIRS, septic shock and MOSF. Michalek recorded that elevated IL6 level was detected in septic patients and the G allele could be associated with increased levels of plasma IL6.11 Schlüter also found that the median systemic IL6 levels in septic patients were markedly elevated but were not associated with the IL6 promoter genotype.5 Müller- Steinhardt12 found that the allele IL6-174C was associated with increased IL6 secretion while the allele IL6- 174G was associated with low levels of IL6.12 On the contrary, Terry found that the IL6-174G/C polymorphism affects transcription by altering the serum levels of IL6, with the C allele associated with significantly lower levels of plasma IL6.13 It was described by Fishman that, individuals with IL6 C-174 allele have significantly lower plasma concentrations of IL6,14 in line with these results Kilpinen found this allele was associated with reduced IL6 plasma levels in newborns.15

Regarding the IL6-174 genotype; the heterozygous group G/C, Homozygous G/G and Homozygous CC represents 53.3%, 36.7% and 10%, respectively. In the study done by Zidan et al.,16 they showed that the percentages of these different genotypes were close to those we report here, at G/C 55%, G/G 32% and CC 13%.16

In this study, the patients with IL6-174 CC genotype had a very high possibility for sepsis and septic shock, and patients with IL6-174 homozygous GG and heterozygous GC appear to be more protected against sepsis and septic shock. Patients with heterozygous GC fared better than those with homozygous GG, suggesting that the presence of allele G gives more protection against sepsis. Zidan et al.,16 observed an association between homozygous IL6-174 GG and protection against severe sepsis complications, where GG and GC patients suffered severe sepsis by9.5% and 20%, respectively.16 Michalek et al.,11 were able to demonstrate that homozygous CC variant at position-174 of the IL6 gene seemed to be associated with septic shock and that the variant in the IL6 gene played an important role in children with sepsis. He also concluded that, C/C genotype in a general Caucasian population is probably less protective against serious conditions leading to sepsis.11

In our study, the children who presented with pneumonia expressed different genotypes; 50%, 46.7% and 33.3% for IL6-174 GG, GC and CC, respectively. While the percentage of acute respiratory failure (ARF) and mechanical ventilation inIL6-174 GG, GC and CC were 83.3%, 66.7 and 100%, respectively, without any significant differences. Zidan et al.,16 found that, G/G and G/C patients developed ARF by 6.3% and 9.1%, respectively.16 Martín-Loeches et al.,17 reached the same conclusion; they found IL6-174G/C polymorphism was not associated with risk and outcome of CAP in the Spanish, Caucasian population.17

Regarding the outcome of our study group, the mortality rate for patients with IL6-174 GG, GC and CC were 66.3%, 46.7% and 100%, respectively. On the contrary, Zidan et al.,16 found that the mortality rate in G/C patients and C/C patients were 5.4% and 0% respectively.16 This slight difference may be due to a larger sample size (100 patients). Similar to our results, a study done by Michalek revealed those individuals bearing IL6-174 heterozygous genotypes G/C had a higher susceptibility to sepsis and septic shock.11 Schaaf found no significant differences in the allele distribution of IL6-174 between patients and controls.18 Discrepancies between studies could be explained by the differences in age; study design or geographic/ethnicity, or by gene–gene or gene–environmental interactions.

Schlüter et al.,5 described that the IL6-174 G/G genotype was associated with improved sepsis outcome.5 Tischendorf19 demonstrated that a significantly lower frequency of the IL6-174 G/G genotype was associated with higher mortality in septic patients compared to surviving septic patients, that mean carriage the C allele put individuals at risk.19

Endler et al.20 tried to explain these conflicting findings, stating that other polymorphisms within theIL6 promoter, such as the IL6-572G/C promoter polymorphism or complex haplotypes of other promoter polymorphisms had been discussed as influencing IL6 concentrations. However, these genetic variants are considerably less frequent than the IL6-174G/C polymorphism and thus would have required a large sample size, which was not feasible in their study.20

Conclusion

Total serum level of IL6-174 can be used for the diagnosis of sepsis, but cannot predict the outcome of the patient. Genotype IL6-174 G/C can be used to predict a good outcome and select those patients who might benefit from anti-cytokine therapy for sepsis.

Acknowledgments

None.

Conflicts of interest

Author declares there are no conflicts of interest.

Funding

None.

References

  1. Naffaa M, Makhoul BF, Tobia A, et al. Interleukin-6 at discharge predicts all-cause mortality in patients with sepsis. Am J Emerg Med. 2013;31(9):1361−1364.
  2. Jekarl DW, Lee SY, Lee J, et al. Procalcitonin as a diagnostic marker and IL-6 as a prognostic marker for sepsis. Diagn Microbiol Infect Dis. 2013;75(4):342−347.
  3. http://emedicine.medscape.com/article/168402-overview#aw2aab6b2b3
  4. Marshall JC, Vincent JL, Fink MP, et al. Measures, markers, and mediators: toward a staging system for clinical sepsis: A report of the fifth Toronto Sepsis Rountable, Toronto, Ontario, Canada, October 25-26, 2000. Crit Care Med. 2003;31(5):1560−1567.
  5. Schlüter B, Raufhake C, Erren M, et al. Effect of the interleukin-6 promoter polymorphism (-174 G/C) on the incidence and outcome of sepsis. Crit Care Med. 2002;30(1):32−37.
  6. Uusitalo-Seppala R, Koskinen P, Leino A, et al. Early detection of severe sepsis in the emergency room: diagnostic value of plasma C-reactive protein, procalcitonin, and interleukin-6. Scand J Infect Dis. 2011;43(11−12):883−890.
  7. Miguel-Bayarri V, Casanoves-Laparra EB, Pallas-Beneyto L, et al. Prognostic value of the biomarkers procalcitonin, interleukin-6 and C-reactive protein in severe sepsis. Med Intensiva. 2012;36(8):556−562.
  8. Tschaikowsky K, Hedwig-Geissing M, Braun GG, et al. Predictive value of procalcitonin, interleukin-6, and C-reactive protein for survival in postoperative patients with severe sepsis. J Crit Care. 2011;26(1):54−64.
  9. Palmiere C, Augsburger M. Markers for sepsis diagnosis in the forensic setting: state of the art. Croat Med J. 2014; 55(2):103−114.
  10. Oda S, Hirasawa H, Shiga H, et al. Sequential measurement of IL-6 blood levels in patients with systemic inflammatory response syndrome (SIRS)/sepsis. Cytokine . 2005;29(4):169−175.
  11. Michalek J, Svetlikova P, Fedora M, et al. Interleukin-6 gene variants and the risk of sepsis development in children. Hum Immunol . 2007;68(9):756−760.
  12. Müller-Steinhardt M, Ebel B, Härtel C. The impact of interleukin-6 promoter-597/-572/-174 genotype on interleukin-6 production after lipopolysaccharide stimulation. Clin Exp Immunol. 2007;147(2):339−345.
  13. Terry CF, Loukaci V, Green FR. Cooperative influence of genetic polymorphisms on interleukin 6 transcriptional regulation. J Biol Chem. 2000;275(24):18138−18144.
  14. Fishman D, Faulds G, Jeffery R, et al. The effect of novel polymorphisms in the interleukin-6 (IL-6) gene on IL-6 transcription and plasma IL-6 levels, and an association with systemic-onset juvenile chronic arthritis. J Clin Invest. 1998;102(7):1369−1376.
  15. Kilpinen S, Hulkkonen J, Wang XY, et al. The promoter polymorphism of the interleukin-6 gene regulates interleukin-6 production in neonates but not in adults. Eur Cytokine Netw. 2001;12(1):62−68.
  16. Zidan HE, Elbehedy RM, Azab SF. IL6-174 G/C gene polymorphism and its relation to serum IL6 in Egyptian children with community-acquired pneumonia. Cytokine. 2014;67(2):60−64.
  17. Martín-Loeches I, Solé-Violán J, de Castro F, et al. Variants at the promoter of the interleukin-6 gene are associated with severity and outcome of pneumococcal community acquired pneumonia. Intensive Care Med. 2012;38(2):256−262.
  18. Schaaf B, Rupp J, Müller-Steinhardt M, et al. The interleukin-6_174 promoter polymorphism is associated with extrapulmonary bacterial dissemination in Streptococcus pneumoniae infection. Cytokine. 2005;31(4):324−328.
  19. Tischendorf JJ, Yagmur E, Scholten D, et al. The interleukin-6 (IL6)-174 G/C promoter genotype is associated with the presence of septic shock and the ex vivo secretion of IL6. Int J Immunogenet. 2007;34(6):413−418.
  20. Endler G, Marsik C, Joukhadar C, et al. The Interleukin-6 G (-174) C Promoter Polymorphism does not determine Plasma interleukin-6 concentrations in experimental endotoxemia in humans. Clin Chem. 2004;50(1):195−200.
Creative Commons Attribution License

©2016 Shahin, et al. This is an open access article distributed under the terms of the, which permits unrestricted use, distribution, and build upon your work non-commercially.

Citations