Submit manuscript...
MOJ
eISSN: 2374-6939

Orthopedics & Rheumatology

Research Article Volume 15 Issue 2

“Accordion maneuver with Ilizarov” Regeneration process in managemet of non-union, hyporegeneration and infection with kept failure implant in situ: a research article

Chowdhury Foyzur Rob,1 Md. Jahangir Hossain2

1Chief Consultant, Department of Orthopaedics, Al-Haramain Hospital, Sylhet, Bangladesh
2Consultant, Department of Orthopaedic and Trauma, Care Medical Services, Nabigonj, Sylhet, Bangladesh

Correspondence: Chowdhury Foyzur Rob, Chief Consultant, Department of Orthopaedics, Al-Haramain Hospital, Kazi Tower, Samata-30, Subhani Ghat, Sylhet-3100, Bangladesh, Tel +880 1715250800

Received: March 15, 2023 | Published: March 28, 2023

Citation: Rob CF, Hossain J. “Accordion maneuver with Ilizarov” Regeneration process in managemet of non-union, hypo-regeneration and infection with kept failure implant in situ: a research article. MOJ Orthop Rheumatol. 2023;15(2):57-64. DOI: 10.15406/mojor.2023.15.00618

Download PDF

Abstract

Introduction: Accordion Maneuver is the “Bloodless Stimulation” of bone healing described by Professor G. A. Ilizarov. It converts biologically inactive tissue into tissue capable of neo-osteogenesis. The suggested management of non-union, hypo-regeneration and infection with implant failure by a single stage procedure with minimal or no debridement and if implant is provide sufficient stability it placed in situ.

Purpose of the study: Purpose of this study to evaluates the clinical efficacy and highlights their relevance of AM with Ilizarov in present and future orthopedics practice.

Methodology: This is a retrospective study of 3 years from 2019 to 2021. Apply AM with Ilizarov in the patient’s management of non-union, hypo-regeneration and infection with implant failure. Patients included ≥18 years, intra-articular fractures are excluded. Total patient 7. Patient`s age from 19-62 years. There were 5 male and 2 female patients. Affected bones were tibia-3, femur-2, humerus-1 and radius & ulna-1. Causes were fall and infection. Final diagnosis was broken implant-2, bending implant with quiescent type infected non-union-1, poly-trauma with broken implant -1 and infection -3. Primary fixation was done by ILIMN in 3 and DCP in 4 cases. We follow Baruah and Patowary suggested protocol of AM in all cases.

Summary: After 3-7 months follow up, according to ASAMI score, there were 4 excellent and 3 good outcomes. As per Paley`s classification, in 3 cases found shortening and angulation deformity. We were successfully managed all cases by AM with Ilizarov, kept failure implant in situ.

Conclusion: We pursue AM with Ilizarov kept failure implant in situ, as a single stage procedure for the treatment of the patients and found very good results. So, in future it may an ultimate procedure for the management of those helpless conditions.

Message for the reader: The article explores a new innovation in implant failure case management with various type of complications, because there are very few published literature of such type similar cases. In this study we discuss about AM with Ilizarov. Implant kept in situ, which provides stability and preserve soft tissue, vascularity and bony fragment in position. AM with ilizarov apparatus, placed failure implant in situ provides better outcomes in complicated helpless conditions.

Keywords: accordion maneuver, hypo-regeneration, ilizarov, in situ, infected non-union, quiescent infection, re-fracture

Abbreviations

AM, accordion maneuver; DCP, dynamic compression plate; ILIMN, inter locking intra-medullary nail; MVA, motor vehicle accident; POD, post-operative day; RTA, road traffic accident; SSI, surgical site infection; ST, std. deviation

Introduction

Accordion Maneuver is the “Bloodless Stimulation” of bone healing described by Professor G. A. Ilizarov. It converts biologically inactive tissue into tissue capable of neo-osteogenesis.1 The suggested management of non-union, hypo-regeneration and infection with implant failure by a single stage procedure with minimal or no debridement and if implant is provide sufficient stability it placed in situ.2 Accordion maneuvers with modified ilizarov apparatus, a single stage procedure in management of non-union, hypo-regeneration and infection with implant failure cases. AM comprises of alternate compression and distraction which produce stress in living tissue and also convert biologically inactive scar tissue into tissue capable of neo-osteogenesis.3

Methodology

This is a retrospective descriptive study of 3 years from 2019 to 2021, carried out in a private hospital, Sylhet, Bangladesh. It is a medium range costly hospital, where all costs paid by patients. A detailed patients history and informed written consent was taken. Data was collected from hospital records with written permission of authority. Patients included ≥18 years, intra-articular fractures are excluded. Total number of patients -7. Patient`s age from 19-62 years. There were 5 male and 2 female patients. Affected bones were tibia-3, femur-2, humerus-1 and radius & ulna-1. Causes were fall and infection. Final diagnosis was broken implant-2, bending implant with quiescent type infected non-union-1, poly-trauma with broken implant -1 and infection -3. Primary fixation was done by ILIMN in 3 and DCP in 4 cases. We follow Baruah and Patowary suggested protocol of AM in all cases. Apply AM with Ilizarov in all patient’s management. Each of them stabilized first and given necessary emergency treatment as per standard protocol of trauma management. Anti-tetanus prophylaxis and venous thrombo-prophylaxis guidelines were followed of all patients, where needed. Final outcomes of 7 patients, excellent were -4 and good -3. Data analysis was done by spss 25.0 statistical software, MS word and Excel version 2010.

Data analysis

Demographic data include age, sex, pre injury comorbidities and mobility.

Age: The maximum age of the patients was 19 years and the minimum was 62 years. The mean age (±SD) was 39.43 (±14.820) years (Table 1, Graph 1).

Age:

Mean

39.43

Std. Deviation

14.820

Minimum

19

Maximum

62

Table 1 Age distribution of patients. (n=7)

Graph 1 Age distribution.

Sex and medical co-morbidities: Male was 71.43% and female 28.57%. Diabetes 42.86%, smoker 42.86%. All patients need NSAIDs during treatment (Graph 2).

Graph 2 Sex and Medical co-morbidities.

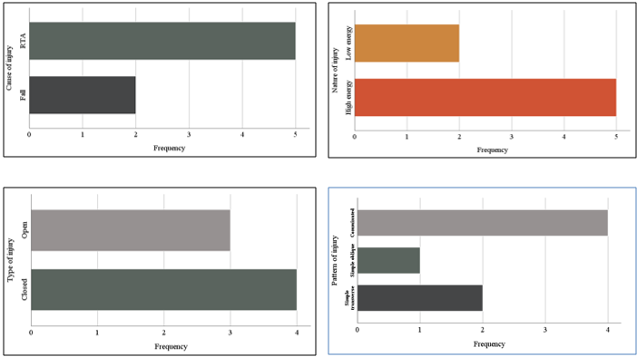
Cause, nature, type and pattern of injury: Main cause of injury was RTA. 5 patient`s injury due to RTA and 2 for fall. Most of the cases were high energy trauma. 4 were closed and 3 open fracture. Comminuted fracture-4, simple oblique-1 and simple transverse- 2 fracture in this study. I patient was H/O- poly-trauma. 4 patients reached in hospital with 6 hrs of injury and 3 patients after 6 hrs (Graph 3).

Graph 3 Type and pattern of injury.

Bone injury, site of bone affected, bone quality and primary management: Bone fracture found, Humerus-1, Radius & Ulna-1, Femur-2 and Tibia & Fibula-3. Proximal shaft fracture-1, mid shaft-3 and distal shaft- 3. 1 patient was mild osteoporotic, 1 sever osteoporotic and rest of the patients was good bone quality. Primary management was given1 patient by back slab, 1surgical toileting with back slab, 3 patients was needed surgical toileting, wound debridement with back slab and 2 patients given skeletal traction (Graph 4).

Graph 4 Site of bone affected, bone quality.

Definite management, post-operative and follow up complications: 42.86% cases done closed reduction & fixed by ILIMN and 57.14% MIPO with DCP. Definite fixation done on day 3- 57.14% cases and on day 5- 42.86% cases. There were no post-operative complications of the patients. Within1-3 months of follow up 4 patients complaints pain after fall and 3 patients found signs of infection (Graph 5).

Graph 5 Post-operative complications.

Diagnosis: Again the patients were diagnosed as, nail broken with re-fracture- 3, plate bending with quiescent infection- 1 and infection with plate loosening- 3 (Graph 6).

Graph 6 Patient diagnosis.

Management of implant failure cases: 4 patients were managed by Ilizarov fixation kept implant in situ and 3 patients were done exploration & debridement with Ilizarov fixation kept implant in situ, wound closed by secondary closure. Tourniquet applied in 4 patients (Graph 7).

Graph 7 Management of implant failure.

Duration and blood loss in surgery: Mean duration of surgery was 121.43(±17.728) minutes. Mean blood loss 85.71(±33.594) ml (Graph 8).

Graph 8 Blood loss in surgery.

Post-operative follow up and hospital stay: Full weight bearing with crutch or walker on 1st POD -5 patients and on 3rd POD -2 patients. Mean hospital stay time was 6.86(±1.952) days, Minimum -5 and maximum -10 days (Graph 9, Table 2).

Graph 9 Hospital stay.

Hospital stay

Mean

6.86

Std. Deviation

1.952

Minimum

5

Maximum

10

Table 2 Hospital stay in days. (n=7)

Union times and final outcomes: Mean union times were 5.57(±1.512) months, Minimum -3 and maximum -7 months. 4 patients were excellent and 3 good results (Table 3, Graph 10 & 11).

Union time:

Mean

5.57

Std. Deviation

1.512

Minimum

3

Maximum

7

Table 3 Union times in months. (n=7)

Graph 10 Union time.

Graph 11 Final Outcome.

Discussion

MVA, fall, sports, physical assault and osteoporosis in elderly peoples are the causes of musculoskeletal system injury. Worldwide, trauma due to RTA is the main cause of mortality and morbidity. Young males are mostly affected in injury due to their nature of activities. Over 73% of all RTA injuries were undergoing to men. 4 In this study male are 71.43% and mean age is 39.43 (±14.820) years.

Medical co-morbidities, there were diabetes and smoker 42.86% patients. Diabetes is the influencing factor of non-union. Smoking has an adverse effect on bone physiology, leading to decreased bone mineral density and increased incidence of osteoporotic fractures. Nicotine is a powerful vasoconstrictor causing reduction in peripheral blood flow causes poor bone healing.5,6 4 patients came in emergency of hospital within 6 hours of trauma. Infection in open fracture was observed 10-50% of the time.7 NSAIDs used during treatment in all patients. A significant association between the use of NSAIDs or opioids with non-union of long bone shaft fractures.

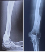
Case-I

19 years, male;

Broken ILIMN of femur (Ipsilateral fracture shaft of femur with tibia and fibula, H/O-poly-trauma) (Figure 1-4). Infection and non-union are the morbid complications of fracture management. Infections are more common in open fracture also caused by superficial surgical site infection. The incidence of infection in closed long bones fracture 1-2% and it is higher in open fracture, 5% Gustilo type-Ⅰ, 10% Gustilo type-Ⅱ and 15% Gustilo type-Ⅲ8 and surgical site infection (SSI) is 3.6 to 4.8%.9 The fracture complexity and soft tissue damage are the critical factors, influence the risk of infection.

Figure 1 X-ray broken IM nail after fall.

Figure 2&3 Post-operative x-ray after Ilizarov operation.

Figure 4 X-ray after union.

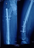
Case-II

26 years, male;

Re-fracture shaft of femur with bending plate and quiescent type infection. H/0-fall (Figure 5-10)

Figure 5 Post-operative x-ray after Plate Osteo-synthesis.

Figure 6 X-ray after re-fracture due to fall.

Figure 7 Post-operative x-ray after mount ilizarov frame kept plate in situ.

Figure 8 X-ray after removal of plate and consolidation.

Figure 9 Post-operative pictures with ilizarov frame.

Figure 10 Pictures after full recovery from fracture after one (1) year and four (4) months.

 Re-fractures are another complication by further trauma where implant failure (Broken, Bending, Loosening) in the region of improper callus formation. The incidence of re-fracture is 6.5 to 14.2%.10 Approximately 5 - 12% non-union occurs in all fracture and it is around 20% for diaphyseal fracture.11,12 On average 200 cases of long bone non-union occur per million populations, estimating of 150.000 cases in Europe each year.13–15

Non-unions are invariably occurred with multiple factors being implicated in this incidence. Those are systemic compromise of the host, local condition of the affected area, specific injury characteristics and iatrogenic factors relating to the treatment of the initial injury.16 Most commonly, inadequate stability, poor blood supply and deep seated hidden infection lead to develop non-union.

Case-III

62 years, female;

Broken IMN of fracture tibia and fibula (Implant failure) (Figure 11-13).

Figure 11 X-ray broken IM nail after fall.

Figure 12 Post-operative x-ray after Ilizarov operation.

Figure 13 X-ray after union.

Case-IV

39 years, female;

Comminuted fracture distal humerus (Figure 14-17).

Figure 14 Post-operative x-ray after Ilizarov operation.

Figure 15 Picture with Ilizarov frame.

Figure 16 X-ray after union.

Figure 17 Picture after union.

Our study of 3 years from 2019 to 2021, the patients were diagnosed as, nail broken with re-fracture- 3, plate bending with quiescent infection- 1 and infection with plate loosening- 3.

We were decided for the treatment of patients applying accordion maneuver with ilizarov apparatus, as a single stage procedure for implant failure cases with re-fracture, non-union and infection, kept implant in situ. The cases were managed by Ilizarov fixation kept implant in situ -4 patients and 3 patients done exploration & debridement with Ilizarov fixation kept implant in situ, wound closed by secondary closure.

Case-V

53 years, male;

Comminuted fracture mid shaft of Radius & Ulna (Figure 18-21).

Figure 18 Pre-operative x-ray.

Figure 19 Follow up x-ray DCP fixation with infection.

Figure 20 X-ray after Ilizaro Osteo-synthesis.

Figure 21 X-ray after union.

Surgery duration was 90-150 minutes, mean (±SD) 121.43 (±17.728). Blood loss was 50-130 ml, mean (±SD) 85.71 (±33.594). Tourniquet was used during operation in 4 cases. Duration of hospital stay 5-10 days, mean (±SD) 6.86 (±1.952). Full weight bearing was started with crutch or walker on 1st POD -5 patients and on 3rd POD -2 patients.

In all patients we applied AM stimulation with Ilizarov frame for regeneration and infection control. Failed implant kept in situ due to it provides stability and preserve soft tissue, vascularity and bony fragment in position. As screws became loosen after re-fracture, we were expected the bony fragments could be moved on it during compression and distraction of AM cycles.17

In 1950 Professor G. A. Ilizarov, a man of Russian physician introduce a new pioneer concept to treatment of fracture and orthopedics patients, which is memorable as Ilizarov methods. The circular external fixators attached with bone fragments by tensioned wires and rings are connected each other’s by rods or telescopic rods. Assembling the ring is the first components that provide stability, protect soft tissue and hold optimum mechanical with biological field for regeneration, remodeling and rehabilitation in the treatment of fracture and orthopedics diseases.18

Gradual traction on living tissues create stress which stimulate and maintain the regeneration of tissues, called law of tension-stress.19,20 Ilizarov osteosynthesis produce tension-stress effect to living tissue causes new tissue formation which is the basic principle of the treatment of many complex injuries and diseases of locomotor system.21

Accordion Maneuver (AM) is a "Bloodless stimulationʺ of tissue regeneration described by Professor G. A. ILIZAROV, which encircled with intermittent compression and distraction like a musical instrument and stimulate tissue neo-genesis and also convert inactive scar tissue into biologically active tissue for regeneration. A modified form of this tool can be apply in hypo-regenerate state, developed in bone transport and docking site after acute docking or after internal bone transport.18,22

Protocol of Accordion Maneuver

AM apply when patient become habituated with the ilizarov apparatus and start mobilization with support. It`s usually 5 to 10 days after mount of ilazarov apparatus (Latency period). Alternate distraction and compression force impose and every step follow by rest, these comprise a cycle of maneuver. How frequent, how long and when these forces should be applied to achieve optimum result, till now remain unanswered question.23 Distraction or compression, which forces apply first depend on non-union type and quality of tissue anticipated between fragments at fracture site. In hypertrophic (Stiff) non-union, distraction followed by compression in each cycle and the steps was reversed in atrophic (Mobile) non-union. In hypo-regenerate condition during bone transport, discontinue distraction and ensure stability, then compression done first, after 2 cycles of AM, check regenerate status by x-ray. After successful maneuver, again start distraction.17 Previous study on the use of distraction and compression in the treatment of long bone fracture, delayed union and non-union shows the protocol of AM in Table 4.

Writers

No. of patients               

Indication

Effectual outcomes                 

Procedure of distraction-compression

Kulkarni. 2004

N/A

Hypertrophic non-union                               

N/A

Distraction 0.5 mm/day for 20 days, then stopped for the next 20 days and finally compression

Inan et al. 2005

11

Femoral
pseudo-arthrosis

100% (11/11)

Cyclic compression and distraction at the non-union site

Madhusudhan et al. 2008                                   

2

Tibial non-union

100% (2/2)

Compression and distraction (no details)

Laursen et al. 2000

2

Tibial non-union

50%
(1/2)

Alternating distraction (1 week) with compression (1 week), until callus found on X-ray

Chand et al. 2010

2

Non-union of long bone fractures

100% (2/2)

Compression and distraction technique (no details)

Table 4 Previous reports on the use of distraction and compression in treatment of long bone fractures, delayed unions, and non-unions (AM protocol)24

Baruah and Patowary suggested protocol for the treatment of Postponed Fracture (PF)/Neglected Fracture with Fixation in situ (FIS) distraction done 1st at the rate of 0.25 mm, 2 times in a day for 7 days followed by rest for 3-4 days. Then, compression done at the same rate followed by rest. After 2 cycles of AM, final compression was done at the rate of 0.25 mm on every 3rd day for 1 month,13 and for hypo-regenerate and infected non-union management (B & P) follow Compression for 10 days followed by distraction up to 10 mm - 20 mm at the rate of 0.25 mm 2 times in a day, then rest for 7-10 days, after that slow compression again up to 7 mm-10 mm. After a rest period for 5-7 days, distraction is performed for 2nd time.23–25 Kulkarni suggested protocol for AM in hypertrophic non-union as distraction 0.5 mm/day for 20 days, followed by rest for next 20 days and final compression was done. We follow Baruah and Patowary suggested protocol of AM in all cases.1

All patients was came follow up at regular interval, weekly for 1 months then monthly up to bony union. Union time was defined as the time from injury to radiological follow up found a RUST score of 10 or more.26 Union time was 3-7 months, mean (±SD) 5.57 (±1.512). Final outcomes were excellent -4 and good -3 of our cases, according to ASAMI score and as per Paley`s classification, there were no deformity (Table 5).25–27 

Patients

ASAMI
 Bone                     

ASAMI Function                        

RUST Score               

Paley deformity type

Follow up duration (Months)                    

Union time (Months)                

Final outcomes

Paley-1                

Paley-2                

Paley-3                

Patient-1                   

Union,
no infection,
No angulation & No LLD

Active, no limp, ROM within normal range

10.8

No

No

No

7

7

Excellent

Patient-2

Union,
no infection,
No angulation & No LLD

Active, no limp, ROM within normal range

10.6

No

No

No

7

7

Excellent

Patient-3

Union,
no infection, Angulation-100 & No LLD

Active, no limp, ROM within normal range

10.2

No

No

No

6

6

Good

Patient-4

Union,
no infection,
No angulation & No LLD

Active, no limp, ROM within normal range

10.8

No

No

No

6

6

Excellent

Patient-5

Union,
no infection,
No angulation & No LLD

Active, no limp, ROM within normal range

10.6

No

No

No

3

3

Excellent

Patient-6

Union,
no infection,
No angulation & LLD-2.5 cm

Active, no limp, ROM within normal range

10.5

No

No

No

6

6

Good

Patient-7

Union,
no infection, Angulation-150 & No LLD

Active, no limp, ROM within normal range

10.4

No

No

No

4

4

Good

Table 5 Final results of the patients (n=7)

Summary

After 3 to 7 months follow up, we found 4 patients were excellent results and 3 good outcomes according to ASAMI score. As per Paley`s classification, 3 case found, 1-2.5 cm shortening and 10-150 angulation. We were successfully managed all patients of implant failure with bone re-fractures, non-union and infection by applying AM tools by Ilizarov frame.

Conclusion

We pursue AM with Ilizarov apparatus, as a single stage procedure for the treatment of implant failure with re-fractures, non-union and infected cases and found excellent results. So, in future it may an ultimate procedure for the management of those helpless conditions.

Limitations

There are very small sample size, insufficient patient`s data and some patients was not interested to come in regular follow up.

Consent

We have informed written consent from patients and legal guardian for publishing their treatment related information in all media.

Acknowledgments

We are both declared, not to take any benefits from others third party for the article directly or indirectly.

Conflicts of interest

The author declare no conflicts of interest.

Author contributions

Dr. C. F. Rob was contribute in writing and editing the manuscript and Dr. M. J. Hossain was contribute in writing and editing the manuscript, literature reviews, analyzed and interpreted data regarding the article.

References

  1. Baruah RK, Patowary S. Accordion maneuver: a bloodless tool in Ilizarov. J Limb Lengthen Reconstr. 2018;4(1):11–19.
  2. Baruah RK. Accordion manoeuvre with ilizarov frame over nail in situ in a case of infected non-union of femur: discussion on strategies: a case report. Open Journal of Orthopedics. 2014;4(7):183–188.
  3. Ahmed A K. Augmentation plating in treating non-union femur fracture after intra-medullary nailing. Ortho Res Online J. 2019;5(1):458–460.
  4. Lutge EE, Muirhead D. The epidemiology and cost of trauma to the orthopaedic department at a secondary-level hospital. S Afr J Surg. 2005;43(3):74–77.
  5. Ruifeng Tian, Fang Zheng, Wei Zhao, et al. Prevalence and influencing factors of nonunion in patients with tibial fracture: systematic review and meta-analysis. Journal of Orthopaedic Surgery and Research. 2020;15:377.  
  6. Arash Moghaddam, Claudia Ermisch, Gerhard Schmidmaier. Non-union current treatment concept. Shafa Ortho J. 2016;3(1):e4546.  
  7. Paul H, Kim MD, Seth S, et al. Gustilo-anderson classification. Clin Orthop Relat Res. 2012;470(11)3270–3274.  
  8. Alamgir MHM, Islam MM, Islam MN, et al. Management of chronic osteomyelitis of femur with interlocking intramedullary nail in a young man: a case report. Journal of Science Foundation. 2013;11(11):29–34.
  9. Vieira DAR, Cristianismo RS, Campos FF, et al. Surgical site infection in femoral osteosynthesis: incidence and associated factors. Cogit Enferm. 2021;26:e76087.
  10. Meizhen Guo, Yuxi Su. Risk factors for refracture of the femoral shaft in children after removal of external fixation. J Orthop Traumatol. 2021;22(1):4.  
  11. Qun Zhang, Wei Zhang, Zhuo Zhang, et al. Accordion technique combined with minimally invasive percutaneous decortication for the treatment of bone non-union. Injury. 2017;48(10):2270–2275.
  12. Nicholson JA, Makaram N, Simpson AHRW, et al. Fracture nonunion in long bones: A literature review of risk factors and surgical management. Injury. 2021;52(Suppl 2):S3-S11.
  13. Perisano C, Cianni L, Polichetti C, et al. Plate Augmentation in aseptic femoral shaft nonunion after intramedullary nailing: a literature review. Bioengineering. 2022;9(10):560.  
  14. Saleeb H, Tosounidis T, Papakostidis C, et al. Incidence of deep infection, union and malunion for open diaphyseal femoral shaft fractures treated with IM nailing: A systematic review. Surgeon. 2019;17(5):257–269.  
  15. Ekegren CL, Edwards ER, de Steiger R, et al. Incidence, costs and predictors of non-union, delayed union and mal-union following long bone fracture. Int J Environ Res Public Health. 2018;15:2845.  
  16. Ferreira N, Marais LC, Aldous C. Challenges and controversies in defining and classifying tibial non-unions. SA Orthopaedic Journal. 2014;13(2):52–56.  
  17. Kulkarni RM, Arora N, Saxena S, et al. Use of paley classification and superankle procedure in the management of fibular hemimelia. J Pediatr Orthop. 2019;39(9).
  18. Baruah RK, Sivaraman SS. Postponed fracture of femur treated by novel “fixation in situ” approach with ilizarov: a case report. Indian J Orthop. 2020;54(Suppl 2):S412–S415.
  19. Ilizarov GA. Transosseous Osteosynthesis. The tension-stress effect on the genesis and growth of Tissues. Springer-Verlag Berlin Heidelberg. 1992.
  20. Amir LR, Everts V, Bronckers ALJJ. Bone regeneration during distraction osteogenesis. Odontology. 2009;97:63–75.
  21. Ilizarova GM. The tension-stress effect on the genesis and growth of tissues. Part I. the influence of stability of fixation and soft-tissue preservation. Clin Orthop Relat Res. 1989;238:249–281.  
  22. Baruah RK, R. Haque. Accordion maneuver with modified ilizarov frame for treatment of recalcitrant nonunion of shaft of femur in a patient with Pycnodysostosis. J Clin Orthop Trauma. 2016;7(Suppl 1):45–47.  
  23. Makhdom AM, Cartaleanu AS, Rendon JS, et al. The Accordion maneuver: a noninvasive strategy for absent or delayed callus formation in cases of limb lengthening. Adv Orthop. 2015:912790.  
  24. Baruah RK. Accordion manoeuvre with ilizarov frame over nail in situ in a case of infected non-union of femur: discussion on strategies: a case report. Open Journal of Orthopedics. 2014;4:183–188.  
  25. Evgeniya Antonova, T Kim Le, Russel Burge, et al. Tibia shaft fractures: costly burden of nonunions. BMC Musculoskelet Disord. 2013;14:42.  
  26. Huang C, Ogawa R. Mechanotransduction in bone repair and regeneration. FASEB J. 2010;24;3625-3632.  
  27. Akdemira M, Biçenb C, Türkenb AM, et al. Treatment of femoral defective osteomyelitis with minimal invasive plates Mehmet. Trauma Case Reports. 2020;28:100317.  
Creative Commons Attribution License

©2023 Rob, et al. This is an open access article distributed under the terms of the, which permits unrestricted use, distribution, and build upon your work non-commercially.