Submit manuscript...
eISSN: 2576-4543

Physics & Astronomy International Journal

Review Article Volume 9 Issue 3

On innovative strategies for load management, unit commitment, and demand response in modern power systems: a review

Manyika Kabuswa Davy, Davies Tembo

Mulungushi University, School of Natural and Applied Sciences, Department of Physics, Zambia

Correspondence: Manyika Kabuswa Davy, Mulungushi University, School of Natural and Applied Sciences, Department of Physics, Zambia

Received: August 05, 2025 | Published: September 19, 2025

Citation: Davy MK, Tembo D. On innovative strategies for load management, unit commitment, and demand response in modern power systems: a review. Phys Astron Int J. 2025;9(3):215-217. DOI: 10.15406/paij.2025.09.00391

Download PDF

Abstract

The evolution of electrical power systems towards higher flexibility, renewable integration, and demand-side participation necessitates advanced control and optimization techniques. This review synthesizes recent progress in hierarchical load control strategies for peak regulation, stochastic unit commitment considering energy-consuming loads, group control of thermostatically controlled loads, and non-intrusive load identification methods. Emphasizing hierarchical coordination, stochastic modeling, and data-driven load recognition, these methodologies aim to improve system stability, operational efficiency, and customer engagement with minimal intrusion. Collectively, these strategies support a transition towards smarter, more resilient, and customer-centric power grids.

Keywords: Load management, demand response, unit commitment, thermostatically controlled loads, load identification, hierarchical control, stochastic optimization

Introduction

Modern power systems are increasingly challenged by the rising integration of renewables, variable loads, and the demand for grid stability and economic efficiency. Managing flexible demands and controlling loads precisely offers substantial benefits for peak shaving, congestion mitigation, and operational cost reduction.1,2 Recent innovations incorporate hierarchical control architectures, stochastic models, and advanced demand response techniques to meet these challenges.3-5 This review explores latest advances across four key domains: hierarchical control strategies for air conditioning loads, stochastic unit commitment models with energy consuming loads, group control mechanisms for thermostatically controlled loads (TCLs), non-intrusive methods for load identification in residential environments.6,7 These strategies significantly contribute to smarter demand response and load balancing, laying the foundation for resilient and sustainable grid operation.

Hierarchical coordinated control of air conditioning loads for peak regulation

Air conditioning (AC) units represent a predominant load component in residential and commercial sectors. Their controllability offers a promising resource for peak demand management, especially during system stress periods. Recent research introduces a layered control scheme where a high-level coordinator allocates desired load reductions based on grid signals, while lower-level controllers adjust individual AC units to follow these directives.8,9 This hierarchical approach ensures effective load modulation without compromising indoor comfort excessively.10,11 Moreover, the control system employs real-time data and predictive models to balance supply-demand and improve response speed. Limitations due to user comfort constraints are integrated into the control objectives, ensuring consumer satisfaction. Simulations demonstrate that such an approach effectively flattens peak loads and alleviates grid stress during peak hours.

Figure 1 Schematic of the hierarchical AC load control framework.

Stochastic unit commitment considering energy-intensive loads participating in renewable power generation

In contemporary grids, unit commitment involves scheduling generation units to meet demand while minimizing operation costs. However, with increased renewable penetration, uncertainties in generation outputs and energy consumption must be incorporated. Recent models treat energy-intensive loads, such as industrial processes and district heating, as flexible resources capable of adjusting their consumption to better align with renewable generation patterns.12,13 By integrating these loads into stochastic unit commitment frameworks, the system can take advantage of their flexibility to reduce reliance on peaking plants and enhance renewable utilization. The approach employs probabilistic models to account for uncertainties in renewable outputs and energy prices.14-16 Optimization algorithms generate scheduling plans that balance the probabilistic risks with operational costs, ensuring reliable supply under variability.17,18 Results indicate improved renewable energy integration and reduced emissions through coordinated flexible load participation.

Technique

Advantages

Disadvantages

EE

Optimal solution

Computationally intractable

ES

Fast resolution - Handles a lot of information - Combines theoretical–practical knowledge

Non-optimal solution - Difficult implementation - Problems if schedules are unexpected in database

PL

Fast resolution - Mathematical background - Generally easy to implement

Non-optimal solution - Difficult identification of new cost-saving trends - Solution can be far from optimum value

FL

Qualitative interpretation - Effective solution to complex problems - Handles any type of unit characteristic data

Non-optimal solution - Fuzzy rules are difficult to implement - Results are difficult to analyze in-depth

NN

Handles complex systems efficiently - Hidden relationships can be identified - Flexible utilization of non-linear functions - Flexible treatment of noisy data

Non-optimal solution - Intricate network structure - new additions require retraining - Exponential computation-time/problem-size rate

OP

Optimal solution - Generally easy to implement - Advances in commercial solvers - Much information in the literature

Exponential computation-time/problem-size rate - Modeling simplifications sometimes needed - Function linearizations sometimes needed - Unable to work with noisy data

Table 1 Comparing traditional vs. stochastic unit commitment with flexible loads

Group control strategy for aggregated thermostatically controlled loads

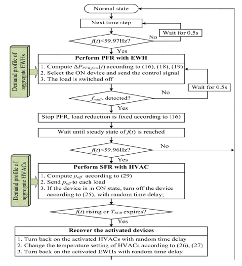
Thermostatically controlled loads (TCLs), such as refrigerators, water heaters, and HVAC systems, are widespread and highly controllable. Coordinated control of TCL groups offers demand response potential while maintaining user comfort. A recent strategy involves classifying TCLs into groups based on their operational characteristics and applying a collective control protocol that dynamically adjusts setpoints and duty cycles.19 This reduces the aggregate load during peak periods or grid emergencies.20,21 The control algorithm uses a feedback mechanism to monitor the real-time state of TCL ensembles and adjusts control signals to optimize aggregate power consumption. Simulations demonstrate that this method achieves significant load reduction with minimal discomfort, enhances grid stability, and provides ancillary services such as frequency regulation.

Figure 2 Flowchart of the TCL group control process.

Non-intrusive load identification via quadratic programming techniques

Non-intrusive load monitoring (NILM) aims to recognize appliance-specific consumption without installing dedicated sensors.22 This is vital for demand response, energy auditing, and fault detection. A recent method employs quadratic programming to decompose the combined power consumption signals into individual appliance signatures.23,24 This technique frames load identification as an optimization problem, minimizing differences between measured and reconstructed signals within physical and operational constraints. This approach effectively balances computational efficiency, accuracy, and practicality.25 Evaluations on residential data sets reveal high recognition accuracy for multiple appliances, even amid overlapping load signatures. Its non-intrusive nature and robustness make it particularly suitable for residential energy management platforms.

Figure 3 Diagram illustrating the quadratic programming process for load disaggregation

Practical implications and future trends

The integration of hierarchical control, stochastic optimization, group demand management, and advanced load identification enhances the agility and resilience of contemporary power systems. These innovations facilitate more effective demand-side participation, improve renewable resource utilization, and enable utilities to manage loads proactively. Looking forward, incorporating artificial intelligence and machine learning into these frameworks promises even greater accuracy and adaptability. The development of interoperable, scalable control architectures integrating consumer data privacy and cybersecurity will be critical for real-world deployment. Furthermore, increasing customer engagement through transparent and automated demand response programs will play a pivotal role in achieving a sustainable, smart grid ecosystem.

Conclusion

Emerging strategies in load management and system operation, from hierarchical AC control to non-intrusive appliance identification, are transforming the landscape of modern power grids. These approaches address key challenges related to peak demand, renewable integration, system reliability, and customer participation. By leveraging advanced modeling techniques and demand response mechanisms, power systems will become more adaptable, efficient, and sustainable. Continuing innovations in this field will be integral to meeting the energy transition goals and ensuring future grid stability.

Acknowledgments

None.

Conflicts of interest

None.

References

  1. Wang W, Lin S, Wang L, et al. A hierarchical coordinated control strategy for air conditioning loads to provide peak regulation services. IET Gener Transm Distrib.
  2. Qian L, Lin S, Zhou B, et al. Stochastic unit commitment considering energy–intensive load participation in renewable–rich environments. IET Renew Power Gener.
  3. Lin S, Liu D, Hu F, et al. Group control strategy for aggregated thermostatically controlled loads. Electr Power Syst Res. 2019;171:97–104.
  4. Lin S, Zhao L, Li F, et al. A nonintrusive load identification method for residential applications based on quadratic programming. Electr Power Syst Res. 2016;133:241–248.
  5. Davy MK, Matindih LK, Hamweendo A. A brief overview of radiation waste management and nuclear safety. Phys Astron Int J. 2023;7(2):150–151.
  6. Qian L, Lin S, Muyeen SM, et al. Integrated energy–water nexus optimization in rural microgrids: Leveraging quantum–classical robust optimization for sustainability. Prot Control Mod Power Syst.
  7. Judith K, Davy MK. Gluon jets evolution in the quest for new physics. Phys Astron Int J. 2023;7(2):109–111.
  8. Ge C, Lin S, Li F, et al. Optimal coordination method for an ADN with multiple network–constrained VPPs. IEEE Trans Power Syst. 2025;40(1):394–407.
  9. Lin S, Salles D, Freitas W, et al. An intelligent control strategy for power factor compensation on distorted low voltage power systems. IEEE Trans Smart Grid. 2012;3(3):1562–1570.
  10. Davy MK, Banda PJ, Hamweendo A. Automatic vehicle number plate recognition system. Phys Astron Int 2023;7:69–72.
  11. Davy MK, Hamweendo A, Banda PJ. On radiation protection and climate change–a summary. Phys Astron Int J. 2022;6(3):126–129.
  12. Davy MK, Hamweendo A, Banda PJ. On radiation protection and climate change–a summary. Phys Astron Int J. 2022;6(3):126–129.
  13. Davy MK, Xiao BW. D meson decays and new physics. J Phys Astron. 2017;5(1):110.
  14. Lin S, Li F, Tian E, et al. Clustering load profiles for demand response applications. IEEE Trans Smart Grid. 2019;10(2):1599–1607.
  15. Davy MK. The future of theoretical particle physics: A summary. J Phys Astron. 2017;5(1):109.
  16. Lin S, Li T, Shen Y, et al. Energy sharing optimization strategy of smart building cluster considering mobile energy storage characteristics of electric vehicles. Electr Power Syst Res. 2025;238.
  17. Qian L, Lin S, Li F, et al. Low carbon optimization dispatching of energy intensive industrial park based on adaptive step. Electric Power Systems Research. 2024;233.
  18. Michael M, Manyika KD. Prospects of the Higgs boson: An overview. Phys Astron Int J. 2024;8(2):127–131.
  19. George LA, Davy MK. The Coleman–Weinberg potential and its application to the hierarchy problem. Phys Astron Int J. 2023;7(2):104–107.
  20. Lin S, Jiayu Y, Yi L, et al. Nonintrusive load disaggregation based on attention neural networks. Int Trans Electr Energy Syst. 2025;2025:3405849.
  21. Davy MK, Matindih LK. On the radiation of gluon jets: A summary. Int J Sci Eng Inv. 2019;5(6):2455–4286.
  22. Davy MK, Nawa N. On the future of nuclear energy and climate change: A summary. Int J Sci Eng Inv. 2019;5(9).
  23. Davy MK, Banda PJ, Hamweendo A. Automatic vehicle number plate recognition system. Phys Astron Int 2023;7:69–72.
  24. Matindih LK. Some results of upper and lower M–asymmetric irresolute multifunctions in bitopological spaces. Adv Pure Math. 2021;11(6):611–627.
  25. Lin S, Liu C, Shen Y, et al. Stochastic planning of integrated energy system via Frank–Copula function and scenario reduction. IEEE Trans Smart Grid. 2022;13(1):202–212.
Creative Commons Attribution License

©2025 Davy, et al. This is an open access article distributed under the terms of the, which permits unrestricted use, distribution, and build upon your work non-commercially.