Submit manuscript...
Advances in
eISSN: 2373-6402

Plants & Agriculture Research

Research Article Volume 1 Issue 4

Influencing of some factors on regreening of “Valencia” orange fruits

Karim M Farag,1 Ahmed A Essa,2 Neven MN Nagy,1 Amr M Haikal,1 Said M Attia1

1Department of Horticulture, Damanhur University, Egypt
2Department of Pomology, Alexandria University, Egypt

Correspondence: Karim M Farag, Department of Horticulture, Faculty of Agriculture, Damanhur University, P.O. Box 22516, Damanhur, Egypt, Tel 0-106-773-9552

Received: July 22, 2014 | Published: August 14, 2014

Citation: Farag KM, Essa AA, Nagy NMN, et al. Influencing of some factors on regreening of “Valencia” orange fruits. Adv Plants Agric Res. 2014;1(4):135-140. DOI: 10.15406/apar.2014.01.00022

Download PDF

Abstract

Many factors involved the regreening process of “Valencia” oranges under warm climate. Researchers focused on the difference between day and night temperatures in relation to the regreening process. This study paid a special attention to the branch-bearing fruits whether its temperature or its nitrogen content before the regreening process till appearance of regreening. In addition, growth degree hours (GDH), which took into consideration the duration of effective temperature from sunrise to sunset considering the minimum degree as 13°C was also studied. Thus, the main objective of this study was to evaluate the role of the branch-bearing fruit temperature and nitrogen content on the regreening process during 2012 and 2013 seasons. The results proved that regreened “Valencia” fruits were growing on branches with greater nitrogen content, higher temperature and GDH. Furthermore, there were a high correlation between cumulative nitrogen content, temperature of branch-bearing fruits and GDH and the incidence of regreened “Valencia” oranges. Moreover, warm temperature throughout the season especially the period preceding harvest enhanced the uptake of nitrogen which reflected on more regreened “Valencia” oranges.

Keywords: growth degree hours, valencia oranges, citrus fruits, regreen, chromoplasts, carotenoid

Abbreviations

GDH, growth degree hours; RCBD, randomized complete block design; NH, number of hours; Ta, average daily air temperature; T base, the threshold temperature using threshold temperature limits of 13°C

Introduction

Color is considered to be one of the most important external factors of fruit quality, as the appearance of the fruit greatly influences consumer preference when purchasing citrus fruit. In general, consumers prefer a deep orange-colored fruit.1 Valencia orange has been considered as one of the most successful cultivars under Egyptian conditions. This cultivar is characterized by its high yield, high fruit quality, heavy load, medium size and round fruits. It is smaller than the “Washington Navel”, with a thinner, tighter rind, far juicier, richer in flavor and almost seedless. The fruits on the trees will regreen if left there during spring or hot summer (loses their orange color and turn green at the stem end). The marketing season of the fruit in Egypt extends from February to June. However, most fruits are harvested during the period from the beginning of February.

In the tropics, the green peel color caused by high temperatures which prevent the breakdown of chlorophyll. The remaining chloroplasts in the flavedo throughout fruit development, in contrast to cooler areas where chlorophyll disappears and chloroplasts are converted to chromoplasts.2 The regreening process has been attracting the concur of researchers since it adversely affect the fruit marketability. The main factors involved in the regreening process remained controversial. Coggins et al.3 reported that warm air temperatures (30°C/15°C, day/night) decreased the carotenoid level, whereas cool air temperatures (20°C/15°C, day/night) increased the carotenoids content of “Valencia” orange fruits. However, no correlation was found between carotenoid biosynthesis and soil temperature.

Eventhougth the temperature of branch-bearing fruits is very significant since it could affect its activity especially in absorbing and translocation of some nutrients such as nitrogen, the major focus of researchers was on the difference between day and night temperatures. Nitrogen is the dominant nutrient element that affects fruit quality. High nitrogen rates, On the other hand, were found to lead to the formation of more green fruit. In addition, excess N (160kg/ ha/annum) delayed rind color formation and increased the amount of green fruit at harvest from 18.3% to 31.8%.4

Many other factors have been involved in the regreening process of “Valencia” oranges especially under warm climate.5 This study paid a special attention to the branch-bearing fruits whether its temperature or its nitrogen content. It also investigated the effect of GDH during the day in relation to the incidence of regreening. Thus, the objective of this study was to evaluate the role of the branch-bearing fruit temperature and nitrogen content on the regreening process.

Materials and methods

The present study was conducted during the two successive seasons 2012 and 2013 using nine years old “Valencia” Orange trees (Citrus sinensis L.) spaced at 4×5m (4m between trees and 5m between rows). Trees were grown in private orchard at El Boustan region, Behira governorate, Egypt. Fifty uniform trees, free from various physiological and pathological disorders were selected for investigation. Trees were budded on “Volkameriana” lemon (Citrus volkameriana) rootstock and received the standard agricultural practices. Soil texture was sandy and drip irrigation system was adopted. The following procedures were monitored throughout the study:

Temperature measurement

Four branches located at the northern half of each tree were labeled. Branch temperature at the point of forming the lateral branches bearing the fruits was monitored throughout the period duration from February; 24th to March; 6th in 2012 season, and from February; 22th to March; 15th in 2013 season, until the incidence of regreening. At midday, the branch temperature was detected by touching the probe at a fixed spot (the sub-branching spot of the main one) using a digital thermometer (Extech instruments, Type-K Digital Thermometer, Model: EA11A).

Growth Degree Hours (GDH)

GDH was employed to study the duration of effective temperature from sunrise to sunset considering the minimum degree as 13°C (Temperature base).

The following equation was used to calculate GDH:

Growth degree hours (GDH) (Ta-T base)×NH.

Where,
Ta: average daily air temperature.

T base: the threshold temperature using threshold temperature limits of 13°C, this limit is in agreement with.6
NH: number of hours from sunrise to sunset.

Leaf sample analysis

Ten leaves (first fully expanded mature leaf) in each sample were taken from the middle of fruiting shoots around the periphery of tree.7 Samples were taken throughout the duration period from February 24 to March 16 in the first season, and from February 22 to March 15 during the second season, until the incidence of regreening. Samples were carefully placed in plastic bags and transferred from the orchard to the laboratory as quickly as possible for analysis. Each sample was washed with tap water to remove dust and possible remains of pesticides, then first dried in the laboratory in an airy place under room temperature (22±2°C) then transferred to a furnace a (60±5°C) for 72hours. after reaching to a consistent weight, the material was finally ground and homogenized. The dried and ground samples were stored in paper bags in a cool and dried place protected against direct exposure to sun light. Half gram of ground samples were digested using 2.5ml sulphuric acid concentration and hydrogen peroxide according to Evenhuis et al.8 The clear digest was quantitatively transferred to 100ml volumetric flask. In this solution, total nitrogen percentage was determined. Nitrogen was calorimetrically determined according to Evenhuis.9

Regreened “Valencia” orange surveyed

The number of “Valencia” orange trees bearing regreened fruits was surveyed and counted after the period (from February; 24th to March; 23th in 2012 season, and from February; 22th to March; 22th in 2013 season). This number was 26 and 28 during 2012 and 2013 seasons out of 50 studied trees, respectively.

Data analysis

The experiment was arranged in a randomized complete block design (RCBD). Mean values of regreened and non-regreened were recorded and standard deviation was calculated.10 Moreover, Comparisons between cumulative means were made by the T-test in groups at 0.05 levels according to Sendecor et al.10 In addition, Correlation coefficients were estimated between nitrogen concentrations, shoot temperature, and Growth Degree Hours (GDH) and rind regreening of “Valencia” orange fruits according to.11

Results and discussion

The results of the present investigation during 2012 and 2013 seasons included the determination of nitrogen content and temperature measurement of branch-bearing fruit before the regreening process till its appearance on the rind, as well as correlation coefficients between leaf nitrogen concentrations of branch-bearing fruit on one side and rind regreening of “Valencia” orange fruits in the other. In additions, correlation coefficients between temperature of branch-bearing fruit on one side and rind regreening of “Valencia” orange fruits in the other side were calculation.

Average of weekly leaf nitrogen content

The data in Figure 1 and Table 1 illustrated the differences in nitrogen content of the branch between regreened and non-regreened fruits throughout the period preceding harvest. The trends in the graphs clearly showed that regreened occurred in the branches with greater nitrogen content compared with branches of non-regreened fruits. Such differences in nitrogen content were considerable with the second sampling week in both seasons as indicated by the standard deviation values (the vertical bars in the line graph). The increase in nitrogen content in the branch-bearing fruits was associated with the increased uptake by these branches since these branches had higher temperature. However, the slight decline in nitrogen content (March 16 sample in the first season) could be attributed either to a little reduction in temperature that occurred at that time or it could be ascribed to the incidence of the new spring flush since they represent a strong sink.

Figure 1 (A,B) Average weekly leaf nitrogen content of branch-bearing fruits of regreened and non-regreened “Valencia” oranges throughout the two growing seasons 2012 and 2013, respectively.
*Vertical bars in the line graph represent standard deviation of the mean

Time (Week)

Non-regreened "Valencia" Orange

Regreened "Valencia" Orange

2012

2013

2012

2013

First Week

1.93±0.10

1.97±0.09

2.06±0.08

2.09±0.08

Second Week

1.99±0.10

2.09±0.08

2.14±0.07

2.24±0.06

Third Week

2.14±0.08

2.17±0.08

2.41±0.09

2.41±0.04

Fourth Week

2.07±0.08

2.24±0.06

2.28±0.02

2.47±0.04

Table 1 Average of weekly leaf nitrogen content of branch-bearing fruits of regreened and non-regreened "Valencia" oranges throughout the two growing seasons 2012 and 2013, respectively.
-Values represent the mean±standard deviation

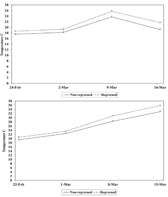
Average weekly temperature (°C)

The data in Figure 2 and Table 2 represented line graphs of average weekly temperature (°C) of branch-bearing fruits of regreened and non-regreened “Valencia” oranges throughout the period preceding harvest. The data revealed that there was a trend of increased branch temperature as the season progressed from Feb. to Mar. except during the last measurement in the first season were the branch temperature slightly declined in either branches bearing regreened or those bearing non-regreened “Valencia” oranges. However, branch-temperature was consistently greater in branching-bearing regreened fruits as compared with those bearing regreened fruits. Based on the standard deviation values, the differences in temperature between branches-bearing regreened or non-regreened fruits were considerable during the third and fourth samples preceding harvest while there was no marked difference in branch temperature during the first and second samples in both seasons.

Figure 2 (A,B) Average weekly temperature (C) of branch-bearing fruits of regreened and non-regreened “Valencia” oranges throughout the two growing seasons 2012 and 2013, respectively.
*Vertical bars in the line graph represent standard deviation of the mean

Time (Week)

Non-regreened "Valencia" Orange

Regreened "Valencia" Orange

2012

2013

2012

2013

First Week

17.53±0.24

19.40±0.2

18.62±0.25

20.60±0.26

Second Week

18.19±0.2

22.40±0.2

19.30±0.17

23.50±0.15

Third Week

23.73±0.26

28.30±0.3

25.86±0.28

30.90±0.17

Fourth Week

19.16±0.43

32.90±0.5

21.65±0.24

35.80±0.21

Table 2 Average weekly temperature (C) of branch-bearing fruits of regreened and non-regreened "Valencia" oranges throughout the two growing seasons 2012 and 2013, respectively
-Values represent the mean±standard deviation

Average growth degree hours (GDH)

Changes in GDH during the period preceding harvest were monitored in the branch-bearing regreened and non-regreened fruits and represented in Figure 3 and Table 3 the data of GDH took into consideration the duration of effective temperature from sunrise to sunset considering the minimum degree as 13°C. It was evident that during the two-week period preceding harvest, there was a remarkable difference in the GDH values since the regreened fruits had greater GDH than non-regreened fruits. This trend remained valid throughout the four weekly measurements and determinations of GDH. It was also found that the GDH value of the fourth week was slight declined as compared with that of the third week indicating to a reduction of effective temperature (above 13°C) during the day of measuring the temperature. This trend was also consistent with similar decline in temperature found in Figure 2 during the fourth week prior to harvest.

Figure 3 (A,B) Growth degree hours (GDH) of branch-bearing fruits of regreened and non-regreened “Valencia” oranges throughout the two growing seasons 2012 and 2013, respectively.
*Vertical bars in the line graph represent standard deviation of the mean

Time (Week)

Non-regreened "Valencia" Orange

Regreened "Valencia" Orange

2012

2013

2012

2013

First Week

51.59±2.74

73.1±2.64

64.10±2.85

86.26±2.96

Second Week

59.92±2.29

108.08±2.38

72.77±1.96

120.84±1.73

Third Week

126.56±3.12

179.69±3.57

151.77±3.29

209.87±2.04

Fourth Week

73.78±5.20

237.56±5.43

103.67±2.92

271.97±2.46

Table 3 Growth degree hours (GDH) of branch-bearing fruits of regreened and non-regreened "Valencia" oranges throughout the two growing seasons 2012 and 2013, respectively
-Values represent the mean±standard deviation

Average cumulative leaf nitrogen content

The data in Table 4 and Figure 4 illustrated the average cumulative effect of leaf nitrogen in the branch-bearing regreened or non-regreened “Valencia” oranges during the two seasons 2012 and 2013. It was evident that regreened fruits were growing on branches with greater nitrogen content than those non-regreened fruits in a significant and consistent manner in both seasons. Such finding further explained the greater uptake of nitrogen throughout the season led to the conversion of more chromoplasts to chloroplasts.12

Figure 4 Average cumulative effect of leaf nitrogen content of branch-bearing fruits of regreened and non-regreened “Valencia” oranges throughout the two growing seasons 2012 and 2013, respectively.

 

Season

Average cumulative of leaf nitrogen content

Non-regreened "Valencia" Orange

Regreened "Valencia" Orange

First Season 2012

2.03

2.22*

Second Season 2013

2.12

2.30*

Table 4 Average cumulative effect of leaf nitrogen content of branch-bearing fruits of regreened and non-regreened "Valencia" oranges throughout the two growing seasons 2012 and 2013, respectively
*Values, significantly different according to the T-test in groups at 0.05 levels

In support of found results, it was reported that most regreened “Valencia” oranges occurred when nitrogen fertilization was applied during the summer, coinciding with high temperatures. In addition, Nitrogen has a profound effect on regreening of cultured citrus fruit peel segments.13 Furthermore, higher N treatments decreased the concentration of K in leaves and increased the amount of green color on the fruits, which became an important obstacle to high pack-out.14 Meanwhile, warm shoot environment lead to increased vegetative and reproductive growth and the resulting translocation of N to physiological sinks. Moreover, high N increased the proportion of green fruit by 65%. These conditions occured to “Valencia” oranges which promoted the regreening process15 and16 who reported that excess nitrogen application enhanced vegetative tree growth in Citrus trees, which increased GA production and the inhibition of senescence and thus poor coloration of citrus fruits.4 In addition, Ahmed17 reported that the incidence of regreening was due to increased nitrogen assimilation or reduction in carbohydrate metabolism within the tissues of citrus varieties.

Average cumulative branch temperature (C)

The data in Table 5 and Figure 5 presented cumulative shoot temperature over the season during the period preceding harvest of “Valencia” oranges. It was obvious again those branches bearing regreened fruits had greater temperatures over the season as compared with those branches bearing non-regreened fruits in a significant manner in both seasons. Warm temperature throughout the season especially the period preceding harvest enhances the uptake of nitrogen which reflects on more regreened “Valencia” orange. In support of these results, it was reported that low temperatures may have a dual effect, by causing a reduction in the import of maturation inhibitors and by promoting ethylene production and in this way favoring senescence.18 Furthermore, low temperatures stimulated chlorophyll destruction and increased carotenoid levels. In addition, carotenoid levels continued to increase after chlorophyll destruction.19 In addition, low night air and soil temperatures did not stimulate rind color formation directly, but rather slowed vegetative growth by reducing the formation of vegetative growth promoting hormones (GA3), which in turn, is antagonistic to the conversion of chloroplasts to chromoplasts20 and21 and cause stress that stimulates production of endogenous ethylene. In addition, internal production of ethylene in stressed fruits was in quantities large enough to destroy chlorophyll in flavedo and enhanced color development.22 Furthermore, cold weather (5-10°C) increased ABA level in “Valencia” oranges peel.23 On the other hand, high temperatures prevented the breakdown of chlorophyll since chloroplasts remain in the flavedo throughout fruit development.2

Figure 5 Average cumulative effect of shoot temperature (C) of branch-bearing fruits of regreened and non-regreened “Valencia” oranges throughout the two growing seasons 2012 and 2013, respectively.

Season

Average cumulative of leaf nitrogen content

Non-regreened "Valencia" Orange

Regreened "Valencia" Orange

First Season 2012

2.03

2.22*

Second Season 2013

2.12

2.30*

Table 5 Average cumulative effect of shoot temperature (C) of branch-bearing fruits of regreened and non-regreened "Valencia" oranges throughout the two growing seasons 2012 and 2013, respectively
*Values, significantly different according to the T-test in groups at 0.05 levels

Average cumulative growth degree hours during the day

In Table 6 and Figure 6 cumulative growth degree hours were presented for the two types of “Valencia” branches, the ones with regreened and the others that were not regreened. Consistently with the previous findings, it was clear that the value of GDH was greater in branches bearing regreened fruits than those bearing non-regreened fruit during both seasons. Thus, cumulative effective temperature was required to activate the uptake and translocation of nitrogen and probably reduction of carbohydrates metabolism needed for the production of some chlorophylls in the fruit. Thus, Ahmed17 recommended reducing nitrogen fertilization towards the end of the season to minimize the problem of regreening.

Figure 6 Average cumulative effect of growth degree hours (GDH) of regreened and non-regreened “Valencia” oranges throughout the two growing seasons 2012 and 2013, respectively.

Season

Average cumulative of GDH**

Non-regreened "Valencia" Orange

Regreened "Valencia" Orange

First Season 2012

77.96

98.08*

Second Season 2013

149.61

172.24*

Table 6 Average cumulative effect of growth degree hours (GDH) of regreened and non-regreened "Valencia" oranges throughout the two growing seasons 2012 and 2013, respectively
*Values, significantly different according to the T-test in groups at 0.05 levels
**GDH, growth degree hours

Correlation between nitrogen branch content, branch temperature and growth degree hours and the incidence of regreening “Valencia” oranges

The correlation coefficients were determined to document if there was any positive correlation between the three reported factors, namely nitrogen content, average branch temperature and GDH, and incidence of regreening in both seasons. The analysis Table 7 showed that there was a high correlation between cumulative nitrogen content in the branch bearing oranges and the incidence of regreening in both seasons (0.87 and 0.92) in 2012 and 2013, respectively. In a similar manner, branch temperature was highly correlated with the incidence of regreening in “Valencia” rinds in both seasons (0.88 and 0.87) respectively. Another novel approach in this study was the correlation between GDH during the day and the incidence of regreening in “Valencia” orange rind. The analysis emphasized again that there was a strong correlation between the GDH and the regreening process during the period preceding harvest as these values were (0.87 and 0.86) for the two seasons respectively.

Season

Cumulative Nitrogen Content

Cumulative Branch Temperature

Cumulative GDH**

First Season 2012

0.87*

0.88*

0.87*

Second Season 2013

0.92*

0.87*

0.86*

Table 7 Correlation between nitrogen branch content, branch temperature and growth degree hours (GDH) and the incidence of regreening "Valencia" oranges in 2012 and 2013 seasons
**GDH, growth degree hours

In conclusion, this study provided evidences on the role of nitrogen content, branch-bearing fruits temperature and GDH on the regreening of “Valencia” oranges. There are many important implications for the involvement of nitrogen content in the regreening incidence. Thus, the time of application of the nitrogen fertilizer may contribute to the conversion of chromoplasts to chloroplasts especially with greater branch temperature. Such temperature may activate the uptake of more nitrogen. The coincidence of the emerging spring flush as a strong sink must be also considered since its plays a role as a driving force for the translocation of nitrogen and its availability to the fruit. The remarkable difference in the GDH during the period preceding regreening further emphasized the significance of the branch-bearing fruits physiological activity which reflected on the incidence of regreening.

Acknowledgements

None.

Conflicts of interest

The author declares no conflict of interest.

References

  1. Krajewski A. Guidelines for the improvement of fruit color in citrus. von Broembsen LA editor. South Africa: Outspan International; 1997. p. 1–25.
  2. Coggins CW, Jones WW. Growth regulators and coloring of citrus fruits. International Citrus Congress, International Society of Citriculture. 1977;2:686–688.
  3. Coggins CW, Hall AE, Jones WW. The influence of temperature on regreening and carotenoid content of the ‘Valencia’ orange rind. J Amer Soc Hort Sci. 1981;106(2):251–254.
  4. Koo RCJ. Fertilization and irrigation effects on fruit quality. In: Ferguson JJ, et al. editors. Factors affecting fruit quality. Proceeding, Citrus short course, Lake Alfred, Florida: Citrus Research and Education Centre; 1988. p. 35–42.
  5. Spiegel–Roy P, Goldschmidt EE. Fruit development and maturation. Biology of Horticultural crops. Great Brittan: Cambridge University Press; 1996. p. 92–107.
  6. Bevington KB, Castle WS. Annual root growth pattern of young citrus trees in relation to shoot growth, soil temperature and soil water content. J Amer Soc Hort Sci. 1986;110(6):840–845.
  7. CRI. Rootstock choice. Production guidelines for expert citrus. Vol. 1. ch6. South Africa: Citrus Research International; 1995.
  8. Evenhuis B, Dewaard PW. Principles and practices plant analysis. FAO Soil Bull. 1980;39(1):152–163.
  9. Evenhuis B. Nitrogen determination. Dept Agric Les, Amsterdam: Royal Tropical Inst; 1976.
  10. Snedecor GW, Cochran WG. Statistical Methods. 6th ed. Ames, Iowa. USA: Iowa State University Press; 1980.
  11. Taylor JMG. Kendall’s and Spearman’s correlation coefficients in the presence of a blocking variable. Biometrics. 1987;43(2):409–416.
  12. Mayfield SP, Huff A. Accumulation of chlorophyll, chloroplastic proteins, and Thylakoid membranes during reversion of Chromoplasts to Chloroplasts in Citrus sinensis Epicarp. Plant Physiol. 1986;81(1):31–35.
  13. Jones WW, Embleton TW. The visual effect of nitrogen nutrition on fruit quality of "Valencia" oranges. Proc Am Soc Hortic Sci. 1959;73:234–236.
  14. Reitz HJ, Koo RCJ. Effect of nitrogen and potassium fertilization on yield and fruit quality of 'Valencia' orange on calcareous soil. Florida State Horticultural Society. 1959. p. 12–16.
  15. Koo RCJ, Reese RL. Influence of nitrogen, potassium, and irrigation on citrus fruit quality. Proc Int Soc Citricult.1977;1:34–38.
  16. Alva AK, Paramasivam S, Graham WD, et al. Best nitrogen and irrigation management practices for citrus production in sandy soils. Water Air Soil Pollut. 2003;143(1–4):139–154.
  17. Ahmed OK. Sugar regulation of plastid reversion in citrus epicarp is mediated through organic acid metabolism. Pak J Biol Sci. 2009;12(3):246–251.
  18. Cooper WC, Rasmussenn GK, Waldon ES. Ethylene evolution stimulated by chilling in citrus and Persea Sp. Plant Physiol. 1969;44(8):1194–1196.
  19. Young RO, Jahn O. Ethylene induced carotenoid accumulation in citrus fruit rinds. Journal of American Society for Horticultural Science. 1972;97(2):258–261.
  20. Goldschmidt EE. Regulatory aspects of chloro–chromoplast inter–conversions in senescing citrus fruit peel. Israel J Bot. 1988;37(2–4):123–130.
  21. Barry GH, van Wyk AA. Low–temperature cold shock may induce rind color development of ‘Nules Clementine’ mandarin (Citrus reticulata Blanco) fruit. Postharvest Biology and Technology. 2006;40(1):82–88.
  22. Grierson W, Soule J, Kawada K. Beneficial aspects of physiological stress. In Janick, J Horticul tural Review. 1982;4:247–271.
  23. Yuan B, Hartmond U, Kender WJ. Physiological factors affecting response of mature 'Valencia' orange to CMN–Pyrazole. II. Endogenous concentrations of indole–3–acetic acid, abscisic acid and ethylene. J Amer Soc Hort Sci. 2001;126(4):420–426.
Creative Commons Attribution License

©2014 Farag, et al. This is an open access article distributed under the terms of the, which permits unrestricted use, distribution, and build upon your work non-commercially.