Submit manuscript...
eISSN: 2641-936X

Electrical & Electronic Technology Open Access Journal

Research Article Volume 2 Issue 1

Energy management system and interactive functions of smart plug for smart home

Win Thandar Soe,1,2 Innocent Mpawenimana,1,2 Mathieu Di Fazio,1 Cécile Belleudy,1,2 Aung Ze Ya3

1Department of Electronics, Université Côte d’Azur, Nice, France
2Laboratoire d’Electronique, Antennes et Télécommunications (LEAT), Sophia Antipolis, France
3Department of Electrical Power Engineering, Yangon Technological University, Yangon, Myanmar

Correspondence: Win Thandar Soe and Cécile Belleudy, Department of Electronics, Laboratoire d’ Electronique, Antennes et Télécommunications (LEAT), UMR CNRS 7248, 06903, Sophia Antipolis, France

Received: October 03, 2017 | Published: March 12, 2018

Citation: Soe WT, Mpawenimana I, Fazio MD, et al. Energy management system and interactive functions of smart plug for smart home. Electric Electron Tech Open Acc J. 2018;2(1):1-7. DOI: 10.15406/eetoaj.2018.02.00013

Download PDF

Abstract

Intelligent electronic equipment and automation network is the brain of high-technology energy management systems in the critical role of smart homes dominance. The smart home is a technology integration for greater comfort, autonomy, reduced cost, and energy saving as well. These services can be provided to homeowners for managing their home appliances locally or remotely and consequently allow them to automate intelligently and responsibly their consumption through an individual or collective control systems. In this study, some smart plugs with different features are analysed and one of them tested on typical household appliances. This article proposes to collect data with wireless technology with the aim to extract pertinent smart data for energy management system. This smart data allows quantifying the three kinds of load: intermittent load, phantom load and continuous load. Phantom load is a waste power that is one of the unnoticed power of each appliance while connected or disconnected to the main. Intermittent load and continuous load take into consideration the power and using time of home appliances. By using this classification, smart data will be defined to represent the different loads but also to reduce the communication of wireless sensor network in a smart home.

Keywords: Energy management, load profile, smart plug, wireless sensor network

Introduction

Among the various methods of smart home technologies, the home energy management system (HEMS) is probably the most important one to be addressed. HEMS is an extremely important issue to combat global warming crisis. Therefore, the goal of the energy management is evidently contributed to the priorities of modern smart home. Smart home would be one possible solution for home energy saving. The intelligent control system inside a household introduces the concept of the smart home. Smart home categories and applications are the late-stage products or services provided by the scientific community of Internet of Things. By inserting the sensors for different kinds of data (power, motion, temperature, etc.) in-home devices, a home will become a smarter and green home in the future. Because of this reason, the smart home is a good choice for people not only to consider about security, comfort but also energy saving as well. Many smart devices such as smart plug have been used to support smart home for assisting homeowners to control the home appliances and make better decisions about energy consumption. The smart plug was recently introduced, monitors and manages the power consumption of an individual appliance. Many of the electrical devices used in homes do not optimize energy consumption, or to automatically or semi-automatically manage the use of electricity in the home. From the electrical point of view, we can determine the complete power consumption for a home however we cannot individually identify and observe the energy consumption of the different devices. And then, the electronic devices are becoming an important source of power consumption that we must consider with their different power mode and an important thing is that this equipment, in general, can be powered by the battery. For this reason, smart data will become towards a solution. Smart data is a digital information that is formatted at a specific collection point and then sent to different devices along the network. Smart data is also the subset of the data that can be used intelligently in a way. The objective of this study is to collect the data from the wireless sensor network and to define the smart data for representing the different kinds of a load with the interactive function of a smart plug. In this paper, Section II contains state of the art of the smart home system. Section III presents infrastructure to collect information data and classification of loads for the proposed model. Section IV describes some results of the interactive function of smart plug and smart data. Section V presented concluding remarks and future work.

State of the art

In recent years, as the world’s energy consumption has increased alarmingly, energy management systems have a critical role: to manage the priorities of energy consumption in a modern smart home. Robles RJ et al.1 defined smart home technology as the integration of technology and services through home networking so as to provide a better quality of living. Cho2,3 defined three categories of home appliances: background loads, schedulable interactive loads and not schedulable (or “un-schedulable") interactive loads and simulated a 24-hours power consumption profile. Background loads (the examples include air conditioner and refrigerator) are appliances that usually operate in the background and are transparent to the home occupants. Schedulable interactive loads are appliances such as washing machine and dishwasher that can be controlled the magnitude and schedule of these loads when the power consumption of these loads for each hour is lower than the total power consumption during peak hours. Un-schedulable interactive loads take in a computer, microwave, television, and telephone: appliances that have a visible impact when there is a power draw and disrupt user’s comfort. The author3 provided mathematical models for each common electrical load as well as utility functions for three different categories of loads. In this paper, home appliances are divided into three kinds of load: intermittent load, phantom load and continuous load regarding terminologies are adopted from.3 To define these kinds of load, the smart home proposed in this paper is equipped with smart plugs to collect the data information from home appliances. We defined new functionalities of smart plug also for collecting data and controlling the consumption. The relevance of these functionalities is part of the architecture exploration of the wireless sensor network and need to be validated.

Architecture of home energy management system

The overall architecture of a representative smart HEMS is shown in Figure 1.4 The HEMS centre includes a centralized smart controller to provide the homeowner with monitoring modules and control functionalities based on the home communication network.5 The real-time electricity consumption data from home appliances, including schedulable and non-schedulable appliances, can also be collected by the main panel of smart HEMS to implement optimal demand dispatch. HEMS enable the use of the renewable energy. Currently, the distributed renewable generation in residential areas most commonly involves solar photovoltaic. The residential on-site energy sources can be fully integrated into the interactive generation management and operations of HEMS, and allow the smart home to not only rely on the bulk power of the transmission systems. Due to the inherent intermittency and randomness of solar energy, the energy storage devices play an important role to improve the power quality and energy efficiency as well as maintain the energy system reliability. 6

Figure 1 The overall architecture of a representative HEMS.4

Different kinds of smart plugs and their functions

To control the electrical loads in smart homes, the existing appliances are necessary to be smart or need to be controllable by an external device such as smart plugs. Smart plugs sit between the electrical outlet and the appliances in our home (smart or not) and can be controlled from a central computer using a special network application. The plugs then can also be connected to our portable phones, allowing us to remotely turn these appliances on and off.7 Therefore, the activation time of the appliances can be shifted in time when necessary.8 By using the smart plug, we can measure load profile of each appliance. The smart plug uses different wireless communication protocols such as Wi-Fi, Z-Wave, and Zigbee and can transfer data such as current, voltage and power. Wi-Fi and ZigBee communication protocols are more widely-used than other communication protocols in smart plugs. In this study, three smart plugs are chosen to illustrate the different wireless technologies.

nke WATTECO LoRaWAN smart plug: In the technical data sheet of nke WATTECO LoRaWAN smart plug,9 this smart plug is a LoRaWANTM Class C smart home device that monitors, controls and reports home’s electronic appliances connected and electrical line quality. The Class C LoRaWANTM smart plug from nke WATTECO is a compact, multi-purpose and easy-to-use device that allows monitoring, control and report home’s electronic devices from any wireless network using the LoRaWANTM protocol. This standardized protocol is IPv6 6LoWPAN. The embedded multifunction meter continuously measures active/reactive power and energy. It also provides power quality measurements such as average/minimum/maximum voltage (RMS/peak), frequency.10 This communication range transmits up to 4km in free field. Another significant feature of this smart plug is energy consumption for battery-operated sensors or self-sufficiency for energy harvesting sensors.10 nke WATTECO LoRaWAN Smart Plug is shown in Figure 2.

Figure 2 nke WATTECO LoRaWAN smart plug.9

Belkin WeMo insight switch: Figure 3 shows the Belkin WeMo insight switch, which is the smart device in the home automation technology that will allow the home appliance to connect the Wi-Fi network. By using a portable phone, we can program our home appliances to turn on or off remotely, wherever we want. These smart plugs need a wireless router for configuration and daily use of WeMo application. If remote access is enabled in the home network, an internet connection is not required for this plug. The unique feature of this smart plug is its ability to monitor the power consumption of devices.11 The user can be seen the real-time consumption data via the application. Moreover, the collected data can be exported manually or automatically (daily, weekly, or monthly). This smart plug can be saved export data in every 30 minutes and captured data up to 45 days.11

Figure 3 Belkin WeMo insight switch.11

Fibaro wall plug: In Figure 4, the Fibaro wall plug is a smart plug that uses Z-Wave technology. The operating manual data sheet of Fibaro wall plug,12 Fibaro is a bi-directional wireless system: the signal is not only sent to the receivers, but also the receivers send the confirmation of its reception. This operation confirms their status to check whether they are active. Fibaro operates in the free band for data transmission. Each Fibaro network has its own unique network identification number (home ID), which is why it is possible to have two or more independent systems in a single building without any interference. After Fibaro system is switched on, the location of its individual components is automatically updated in real-time through status confirmation signals received from devices operating in a mesh topology network. The unique feature of this smart plug is real-time energy consumption measuring through colour changing, crystal LED ring.12

Figure 4 Fibaro wall plug.12

Communication modules and proposed smart plug

From a customer’s point of view, nke WATTECO LoRaWAN smart plug is a good solution for the smart system because of the low power consumption wireless communication protocol, far transmission coverage and energy self-sufficiency for energy harvesting sensor. The drawback of LoRa is the emerging standards and its data package price also depends on the number of messages per hour or per day or per month. So, this is inconvenient for using it now. Even if Z-Wave technology used Fibaro wall plug is well-established standards and ten years over on smart home market, this will need for a hub or controller for internet-compatible. One thing about Z-Wave is that it is not IP-based, so it can’t easily work with Internet Protocol-based standards such as WiFi. To create own connected Internet of things, Belkin offers a WeMo marker kit to the customer. WeMo offers easily approach to modify its application and it is not expensive as compared to other plugs. WeMo smartplug is different from other home-automation ecosystems because this device sends a signal through a Wi-Fi router to each other, to the larger Wi-Fi local network and to the Internet. Lui13 shows that the WeMo system also boasts compatibility with IFTTT (“If This, Then, That”) represents a cloud automation platform which allows us to receive events and perform actions based on those events. WeMo’s integration with IFTTT along with more sophisticated scheduling possibilities (sundown/auto-off timer) also provides much better flexibility. As soon as the application is installed and opened, it can discover all the WeMo devices on the network automatically command them directly.13 For connecting other sensors and accessories, the micro USB port at the top of WeMo insight could be used. The characteristics of some smart plugs and their features are described in Table 1. As discussed above that under the objective of this study, we have chosen Belkin WeMo Insight Switch as an example of the smart plug. However, battery-operated smart home devices are a terrible choice for WeMo because it operates Wi-Fi technology that is much more power-hungry than other wireless technologies for the home.

Functions

nke WATTECO LoRaWAN  Smart Plug9

Belkin WeMo insight switch11

Fibaro wall plug 12

Radio protocol

LoRa (IPv6/6LoWPAN)

Wi-Fi 802.11n (3G/4G)

Z Wave

Radio frequency

EU: 863-870 MHz US: 902-928 MHz

2.4 GHz

868.42 MHz

Network type

Star Topology

Star Topology

Mesh Topology

Transmission distance

Up to 4 km in free field

Up to 95 m in free field

50 m in free field 30 m in indoor

Maximum power of connected devices

3500 W

3680 W

2500 W

Power consumption

1 W

Up to 1.5 W

Up to 1.6 W

Required configuration

ETSI M2M REST Interface

Free WeMo Application for Android and iOS, Wi- Fi Router, Android 4.0 or later

Wireless Update with the Box Fibaro Home Center 2

function

Active and Reactive Power, Voltage and Main Frequency

Power Consumption with Associated Cost

Power Consumption of the Connected Load

Advantages

Significant Optimization of Energy Consumptions for Battery-Operated Sensors, or Even Energy Self- Sufficiency for Energy Harvesting Sensor

Schedule Time Slots for the Devices and Alert in case of Overload, Work with IFTTT, connecting to a host of Web Application

Visual Indicator for Overview of Consumption and Alert in case of Overload

Table 1 Characteristics of some smart plugs and their features

Infrastructure to collect information data and classification of loads

Configuration of collection data from smart plugs

To measure the load profiles of home appliances, all appliances are plugged into a wireless technology enabled smart plug. The smart plug then communicates with energy management system throughout the wireless network. The architecture to collect data from smart plugs is shown in Figure 5. Each appliance is plugged into one of these smart plugs and each plug is labelled. The router generates a wireless network. To connect the network, the WeMo mobile application is used between WeMo smart plugs and router. All the data collected use data exchange format (.csv files) with JavaScript code (node.js server). By using a programming language, the profile of power consumption for home appliances can be plotted. Then, by consolidating the collecting data into a database, the real-time consumption of each appliance can be seen on the dashboard and its energy consumption managed.

Figure 5 Architecture to collect data from smart plugs.

Load classification

The load profile is the variation in power consumption of an electrical load with time. The load profile is a specific concept in a smart home system that can vary depending on the user activity, seasons and temperature condition. The aim is to define the new smart data to quantify the different kinds of the load in the smart home. For more efficient energy management, we used the following classification of loads: intermittent load, phantom load, and continuous load. To define these kinds of load, by using the architecture from Figure 5, some measurements have been tested on typical home appliances.

Intermitted load: The power consumption occurs occasionally or at a regular interval when an appliance is ON state. An appliance only operates a fraction of 24-hours periods depends on the user’s activity and the value can be variable, this load has the status of the intermittent load. In this state, the power consumption of home appliance is above zero during the operating time. If we use the home appliances at a regular interval, these appliances’ power consumption can be predictable. This load can be delayed when the consumption of an appliance is lower than the total power consumption during peak hours or not enough energy. Measurement and interpretation of intermittent load as in the example: Television (ON state) is shown in Figure 6.

 Phantom load: The phantom load or standby power also called wasted power occurs when the appliance is plugged into the socket and OFF state. In this state, the power consumption of home appliance is low almost zero, but not zero. This function can define as a phantom load in the smart data. After a while, this small amount of consumption took effect for the electricity bill. According to the Consumer Electronics Association, 75% of the electricity used to power most electronics is used while they are OFF.13 This accounts for 4% to 7% of every home’s electricity usage. For example, the home electricity usage of television at OFF state is represented in Figure 6. Where we analyzed the measurement and interpretation of phantom load. Some home appliances are tested to analyze the smart data using the architecture of Figure 5. Measurement and interpretation of intermittent loads of other home appliances such as handy heater called portable heater, microwave and washing machine are shown in Figures 7-9. According to the kinds of appliances, we can see that different load profiles of intermittent loads. Figures 7-9. are described measurement and interpretation of phantom loads. Phantom loads have different profiles depending on the user activities and kind of appliances.

Figure 6 (A) Measurement and interpretation of intermittent load, television (ON State; (B) Measurement and interpretation of phantom load, television (OFF State).

Figure 7 (A) Measurement and interpretation of intermittent load, portable heater (ON State); (B) Measurement and interpretation of phantom load, portable heater (OFF State)

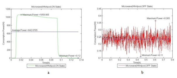
Figure 8 (A) Measurement and interpretation of intermittent load, microwave (ON State); (B) Measurement and interpretation of phantom load, microwave (OFF State).

Figure 9 (A) Measurement and interpretation of intermittent load, washing machine (ON State); (B) Measurement and interpretation of phantom load, washing machine (OFF State).

Continuous load: An appliance normally operates continuously or semi periodically consuming during a 24-hours’ period, this load has the status of the continuous load. The value can be variable depends on consumption mode of an appliance. In this state, the power consumption of home appliance is above zero. Some state, its power consumption is low almost zero, but not zero. Figure 10 illustrate electric clock radio and refrigerator of load profiles as an example of a continuous load.

Figure 10 (A) Measurement and interpretation of continuous load (continuously), electric clock radio; (B) Measurement and interpretation of continuous load (semi-periodically), refrigerator.

Measurement results and smart data

Some measurement results of home appliances using the architecture to collect data from smart plug are shown in Figures 11-13. As the highlight of power measurement, we expressed that maximum power (Pmax) of home appliances with using the time for each appliance. Although we can be defined three kinds of loads, the phantom load is composed of intermittent load and continuous load. The intermittent load can be identified usage of the home appliances on a regular interval or irregular interval of time. Depending on the measurement data of previous day, the number of mode for power usage and time duration is the fact to define the intermittent load. Then, this load can be shifted to the user’s preferred time and predictable for the next day. To define the smart data, all these parameters such as maximum current (Imax), minimum current (Imin), average current (Iavg), maximum time (tmax), a minimum time (tmin), average time (tavg), periodic of consumption, time duration, start time, delay time and end time extracted from home appliances for the intermittent load. We can see that, two kinds of power profiles in continuous load: continuously and semi-periodically consumption of home appliances. To define smart data for continuous load, all the parameters are same as intermittent load expects to start time, delay time and end time. Time parameters can be varied depending on the different kinds of classification of loads and user’s activities. Using the smart data expressed in Table 2, these functionalities are inserted in a smart plug to identify the kind of load and to quantify the different parameter related to them.

Kinds of Load

Functions

Parameters

Variation

 

Intermittent Load + Phantom Load

Regular/ Irregular/ Schedulable

Imax, Imin, Iavg, tmax, tmin, tavg, periodic, time duration, start time, delay time,end time

Fraction of 24 hours / Predictable

Continuous Load + Phantom Load

Continuously/ Semi-periodically/ Non-schedulable

Imax, Imin, Iavg, tmax, tmin, tavg, periodic, time duration

24 hours / Predictable

Table 2 List of smart data

Figure 11 Illumination of each intermittent load (Power vs. Time).

Figure 12 Illumination of each phantom load (Power Vs Time).

Figure 13 Illumination of each continuous load (Power vs. Time).

Conclusion

We built a wireless network to measure the energy consumption of collecting different data. The architecture to collect data from smart plugs permits to reduce home energy consumption as well as save on electricity bills. Smart plugs that are controlled through network applications for home appliances. Although this smart plug can use by mobile applications, to know the interactive function between smart plugs and interpretation of different appliances, we use a network database system. In this study, the magnitude and time of using these appliances are not controlled, yet it is assumed that they can be monitored by the home appliances. Thus, the homeowner can use this information for choosing the power source in the smart home. This research work considered two supply sources: utility grid and solar energy from the photovoltaic array. The power consumption of intermittent loads is lower than the total power consumption of home appliances, we can supply these loads from the storage battery. To reduce the phantom load, the simple solution is we should turn off or unplug appliances such as (computers, cell phone chargers, microwaves, coffee makers, etc.) when not in use. This may not only be to reduce electric consumption, but also for safety purposes. With the help of a sensor network, monitoring and controlling, we can decrease phantom load which is responsible for an incredible amount of electricity consumption. Intermittent load usage can be shifted to off-peak hours and lower total energy consumption. And, the continuous load is a mandatory load that can be predictable. These new functionalities are inserted in smart plug (Arduino plus RF like WiFi) to detect automatically the kind of load and reduced the number of communication because we don’t transmit the sense current periodically but only the smart data at the beginning of consumption to schedule the energy that will be consumed. At the end of consumption, this parameter will send another data to the database. The next step of this study will be to

Acknowledgements

None.

Conflict of interest

Authors have declared no conflict of interest.

References

  1. Robles RJ, Kim T. Applications, systems and methods in smart home technology: a review. Int J Adv Sci Technol. 2010;15:37‒47.
  2. Barker S, Mishra A, Irwin D, et al. Smartcap: Flattening peak electricity demand in smart homes. Pervasive Computing and Communications (PerCom) 2012 IEEE International Conference. 2012. p. 67–75.
  3. ChoS. Energy-efficient smart home system: optimization of residential electricity load management system. Syracuse Univ. Honors Program Capstone Projects. 2013;1–45.
  4. Zhou B, Chan KW, Wentao Li, et al. Smart home energy management systems: concept, configurations, and scheduling strategies. Renew Sustain Energy Rev. 2016;61:30–40.
  5. Kuzlu M, Pipattanasomporn M, Rahman S. Hardware demonstration of a home energy management System for demand response applications. IEEE Trans Smart Grid. 2012;3(4):1704–1711.
  6. Missaoui R, Joumaa H, Bacha S, et al. Managing energy smart homes according to energy prices: analysis of a building energy management system. Energy Build. 2014;71:155–167.
  7. Zhu T, Mishra A, Irwin DN, et al. The case for efficient renewable energy management in smart homes. Proceedings of the Third ACM Workshop on Embedded Sensing Systems for Energy-Efficiency in Buildings. 2011. p1–6.
  8. Elma O, Selamogullari US. A home energy management algorithm with smart plug for maximized customer comfort. Electric Power and Energy Conversion Systems (EPECS). 4th International Conference on. 2015:1–6.
  9. nke WATTECO. LoRaWAN-Smart-Plug. France: nke WATTECO. 2016.  p. 1‒2.
  10. nke WATTECO. Smart-plug-Lora-en.2016. p. 1–2
  11. Belkin. Interrupteur WeMo® Insight. Belkin. 2016.
  12. FIBARO. Wall Plug | FIBARO Manuals. 2017.
  13. lui_gough. Review. Teardown: Belkin WeMo Switch (F7C027au). Gough’s Tech Zone.  2015.
Creative Commons Attribution License

©2018 Soe, et al. This is an open access article distributed under the terms of the, which permits unrestricted use, distribution, and build upon your work non-commercially.