Submit manuscript...
eISSN: 2473-0815

Endocrinology & Metabolism International Journal

Research Article Volume 6 Issue 6

Some biological effects of Trigonella foenum- graecom L, in healthy men

Hmed Ben Nasr,1,2 Ameni Bouzidi,2 Abdelkarim Gharbi,3 Serria T Hammamy,1 Kahled M Zeghal1

1Laboratory of Pharmacology, Faculty of Medicine of Sfax, Tunisia
2Department of Life Sciences, Faculty of Sciences of Gafsa, Tunisia
3Hospital of Ouled Haffouz, Tunisia

Correspondence: Hmed Ben Nasr, Laboratory of Pharmacology, Faculty of Medicine of Sfax, Street of Magida Boulila 3029 Sfax, Tunisia, Tel 00216 74 247 036

Received: August 18, 2017 | Published: December 5, 2018

Citation: Ben-Nasr H, Bouzidi A, Gharbi A, et al. Some biological effects of Trigonella foenum- graecom L , in healthy men. Endocrinol Metab Int J. 2018;6(6):440-443. DOI: 10.15406/emij.2018.06.00231

Download PDF

Abstract

Fenugreek (Trigonella foenumm- graecum L.) is widely used against several diseases. It owned great interest because it contains numerous biologically active substances. In this work, the in vivo effect of fenugreek seeds’ intake on hemodynamic, blood sugar level and hematological parameters was evaluated in healthy volunteers. Ten healthy volunteer men were included in the experiment. Their overnight fasting blood sugar level, hemodynamic and hematological parameters were measured before, and one hour after the intake of 10 g of powdered fenugreek seeds in a water suspension. The T-paired test showed significant decrease in the arterial blood pressure (from 9,2 ± 0,65 to  8,43 ± 0,31cmHg for the mean arterial pressure; and 7,8 ± 1,03 to 6,7 ± 0,67cmHgfor the arterial diastolic pressure) and heart frequency (from 77,3 ± 3,23 to 75,40 ± 3,37 bits/min), and an increase in total white blood cell (8,24 ± 2,29and 9,16± 2,20.103/µL; p ≤0,01) and granulocytes (5,26± 1,94 to 5,70 ± 1,86 .103/µL, p ≤0,01) counts, one hour after fenugreek seeds intake. In addition the overnight- fasting blood sugar level was diminished from 5,71 ± 0,37 to 5,37± 0,44 mmol/L, at p ≤ 0,001.The present work demonstrates the potential anti-hypertensive and anti-hyperglycemic effects of fenugreek seeds, and may support its use as alternate remedy against these chronic pathologies but cautions its application before conducting specific allergic tests .

Keywords: fenugreek, seeds, anti-hyperglycemia, anti-hypertension

Introduction

Recently, great interest is brought back to therapeutic plants’ usage as nutritional supplement or medication for to manage and prevent several chronic diseases. Current researches highlighted that fenugreek (Trigonellafoenum- graecum L.), a Mediterranean annual Fabaceae herb, exerts beneficial effects on human and animal health. It is suggested to counteract obesity, cancer, diabetes, cardiovascular diseases, bacterial and fungal infestation, and reproductive tract problems, as well as much other pathology.1 The main phyto-therapeutic effects of T. foenum- graecum result from various bioactive compound it contains. Particularly, this plant is highly rich in proteins, amino acids, saponins, flavonoids, polyphenols, fibre, minerals and polysaccharides.2,3 The steroidal saponin, diosgenin, eugenol, gingenol, zingenone, cedrenefound in T. foenum- graecum seeds is owed great concern because of its anti-neoplastic activities.4–8 Other T. foenum- graecumfractions modulate blood sugar levels and insulin secretion and thereby ameliorate the woundhealing and prevent diabetes.9–12 The anti-obesity effect of fenugreek might be bypassed through repressing adipocytes’ proliferation and lipids metabolism.13,14 It also stimulates anti-oxidative enzymes activities and decreases the ROS release, a major protective pathway against several pathologies.15,16 In contrary, some case reports outlined that using fenugreek or its extract induced allergic reaction which was much pronounced in asthma patient.17

In this work, reprise thedescription of the effect of fenugreek intake on some clinic hematological parameters, in healthy volunteers.

Material and methods

Fenugreek preparation: a commercialized indigenous fenugreek (Trigonellafoenum-graecum L, Fabacae family) seeds were purchased from a local vendor. After washing using distillated water and dried into ambient temperature (20°C), 200 g of seeds were thinly powdered and mixed with drinking water in order to obtain a final solution’s volume of 2L.

Subjects: ten healthy men were admitted in the experiment. All patients did not have any pathological history, specifically diabetes and arterial hypertension. After being informed, they signed a written contentment for participation. Their anthropometric profile is shown in Table 1. Our experimental design was in conformity with the ethical guidelines of our country and was approved by a local ethical comity at the Laboratory of Pharmacology of the Medicine Faculty of Sfax.

Age (years)

          34,40 ± 3,23

Taille (m)

          1,71 ± 0,04

Poids (kg)

          76,64 ± 4,81

Table 1 Anthropometric parameters of the study-included volunteers

Study design

All subjects were kept fasting before and throughout the experimentation. Volunteers’ arterial blood pressure (systolic, diastolic and mean arterial pressures, and heart rate) and hematological (red blood cells (RBC), white blood cells (WBC), granuocytes and lymphocytes counts, hemoglobin concentration, mean corpuscular hemoglobin concentration (CCMH), mean corpuscular hemogloblin (TMH), mean globular volume (VGM), hematocrit (HCT), platelet count (PLT), Platelets distribution index (IDP) and mean platelets volume (VPM)) parameters, in addition to their blood sugar levels were diagnosed at admission and one hour after 100 ml of T. foenum- graecum solution’s intake.  Before the consumption the solution was vigorously shaked. All diagnostic measurements were carried out by a unawarephysicianat a local hospital.

The blood pressure (Systolic [SAP] and Diastolic [DAP] and mean arterial [MAP] pressures) and heart frequency were registered using arm cuff- stethoscope, at a setting position, after at least 15 minutes of rest. Thereafter, withdrawal of venous blood samples were carried out, in order to assess hematological parameters (Mindray BC-3000 plusautomated apparatus, Shenzhen Mindray Bio-medical Electronics Co., Ltd.) and glucose level (Mindray BA-88A automated apparatus, Shenzhen Mindray Bio-medical Electronics Co., Ltd.), at each time- point of the experimentation.

Throughout and 2 hours after the experiment, subjects did not experience any sign of intoxication (nausea, vomiting and discomfort) and felt well.

Statistical analysis

T-test for depended variables was used to compare the obtained results between the baseline and 60 minutes after the T. foenum- graecum solution’s intake. SPSS for Windows. 11 software was used to carry out the statistical analysis. All the obtained results are expressed as mean values ± standard deviation.

Results

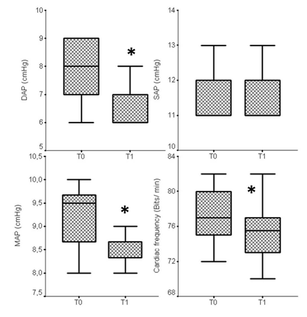
a significant decrease of about 1 cm mmHg in the mean arterial blood pressure, 60 minutes after the treatment was noted. Since the systolic pressure remained constant, the observed PAM lowering is attributed to either? The diastolic phase and heart frequency that significantly diminished following the solution intake (p≤ 0,01; for both) (Figure 1). Similarly, the Fenugreek- postprandial level of blood sugar diminished significantly from 5,71 mmol/L to 5,37 mmol/L, at p ≤ 0,001 (Figure 2).

Figure 1 Variation of the arterial pressure and the cardiac frequency following T. foenum-graecum intake. (*) significant difference at p ≤ 0,01.

Figure 2 Variation of the granulocytes and white blood cells (WBC) counts and blood glucose level following T. foenum-graecum intake. (*) significant difference at p ≤ 0,01.

The analysis of the hematological profile did not exhibit any significant modification in erythrocytes and thrombocytes numerations and indices, except for the mean thrombocytes’ volume (VMP). This later decreased from 8,85 fL to 8,54 fL at the end of the experiment (p ≤ 0,01) (Table 2), (Table 3). The Figure 2 & Figure 3 shows a significant increase in granulocytes number (from 5,26 103/µL at T0 to 5,70 103/µL at T1, p ≤0,01); that modifies the total count of white blood cells (8,24 103/µL and 9,16 103/µL; respectively before and 60 minutes after fenugreek intake; p ≤ 0,001). Other immune cell parameters were unchanged (Table 4).

Figure 3 schematic potential mechanism of the anti-diabetic effect of fenugreek seeds (T. foenum- graecum L.).
Two pathways are proposed to explain the anti-hyperglycemic effects of fenugreek seeds: the first is bypassed through glucose metabolic enzymes, and involves the repression of amylase and maltase activities, and the enhancement of which of 6-phosphofructo-1-kinase. The second pathway includes the stimulation of insulin secretion and binding to its receptor, and thereby decreases the insulin resistance.

Time

RBC (106/µL)

HGB (g/dL)

HCT (%)

CCMH (g/dL)

TMH (pg)

VGM (fL)

T0 (at admission)

4,97±0,37

15,69±2,15

48,20±7,07

32,44±3,27

30,70±2,26

89,19±14,10

T1 (1hr after treatment)

5,06±0,34

15,76±1,75

48,05±5,60

32,31±3,03

30,55±1,81

88,67±12,93

Table 2 Erythrocytes numeration and associated indices before and following T. foenum-graecum intake

Time

PCT (%)

IDP

MPV (fL)

T0 (at admission)

0,237±0,023

15,67±0,18

8,85±0,62

T1 (1hr after treatment)

0,228±0,024

15,54±0,23

8,54±0,51 (*)

Table 3 Thrombocytes numeration and associated indices before and following T. foenum-graecum intake (*) significant difference at p ≤ 0,01

Time

Lymphocytes (103/µL)

Lymphocytes (%)

Granulocytes (%)

T0 (at admission)

2,30±0,39

32,08±4,00

61,79±6,00

T1 (1hr after treatment)

2,40±0,41

30,35±4,70

65,04±9,31

Table 4 White blood cells numeration and associated indices before and following T. foenum-graecum intake

Discussion

Trigonellafoenum-graecum L has been used as a spice and medication against various diseases in folkloric medicine. Recently, great attention has been payed to its use, particularly for its anti-diabetic and anti tumor effects. In this work, some clinical hematological and hemodynamic outcomes are investigated in healthy volunteers following a water- suspension of powdered fenugreek, a traditional drink consumed by local Tunisian populations.

At the assayed dose (10 g of fenugreek seeds/ subject), there was a significant decrease in the mean arterial blood pressure which is attributed to the lowering of the diastolic event. Although several studies reported the use of this Fabacae plant as antihypertensive,18 few experimental works were reported, in such concern. Talpur et al.,20 found that a combination of various essential plants (olive, pumpkin, oregano, cinnamon, cumin, myrtle, fennel or ginger) oils, including which of T. foenum- graecum, exerts continual lowering of the arterial blood pressure, in fatty rats.19 The blood pressure decrease might result from the inhibitory effect of T. foenum- graecum L on the adrenergic and angiotensinergic vascular contractility.20 It was also shown that T. foenum- graecum’sseed extracts limit the angiotensin I conversion to its vasoconstrictor form (angiotensin II) by conformational docking to ACE site of action and its dislocation,4 thus reduces the systemic blood pressure.

As expected, substantial hypoglycemia was notedafter fenugreek seeds intake. The modulation of carbohydrate metabolic key enzymes, such as the repression of α-amylase and maltase activities and the enhancement of which of the phosphor-fructo-kinase in intestine mucosa and liver are the main modus operandi of the anti-hyperglycemic effect. In addition, it was evidenced that fenugreek (extracts) stimulates insulin secretion and/or activity and its receptor expression, and thereby improves diabetes mellitus wound healing.10,12,21

In our experimental series, granulocytes and total white blood cell counts were augmented. This event might explain Patil et al.,18 reported allergic reaction following fenugreek usage, in some clinical cases.17 Galactomannan, a polysaccharide found in T. foenum- graecum extracts, was shown to enhance the dentretic cells maturations.22 It also stimulates phagocytosis and macrophages proliferation.23,24 Some cell immune subsets mobilization / proliferationhave been also observed in 12- weeks treated Humans using a fenugreek extract (FurosapTM).25 This event might bring substantial explanation for the observed mobilization of immune cell lineages in our work.

Other authors reported that it exerts anti-inflammatory and anti-nociceptive action.25,26  Such divergence could be a consequence of the variability of the used part and extracts of the plant, and perhaps the dose and duration of administration.

In exception of the mean platelets’ volume decrease, we did not find significant changes in erythrocytes and thrombocytes parameters one hour after fenugreek intake. The decline in thrombocytes volume might be related to anti-aggregative effect of the plant.27 In long term? How long? Treatment usingthe phyto-therapeutic plant several reports outlined that it ameliorates hemoglobin synthesis and counteract anemia. Its richness in several metabolites and cofactors for hemoglobin synthesis such as iron, folate and ascorbate is sought as patent effectors against the pathology.26,28,29

Conclusion

Fenugreek seeds showed great potential to help the wound healing of several diabetes. In raison of its hypoglaecymic and anti- hypertensive effects, Trigonella foenum graecum consumption is suggested to remediate complicated diabetes. Because of the immune system activation by its extracts, particular measurement should be considered for allergic patients. Much deeper investigations are envisaged to better evaluate its usage as remedy for complicated diseases.

Acknowledgements

Authors acknowledge all the nursery staff of the Hospital of Ouled Haffouz (Sidi Bouzid- Tunisia) for their valuable collaboration.

Funding

This research did not receive any specific grant from funding agencies in the public, commercial, or not-for-profit sectors.

References

  1. Sheikhlar A. Trigonellafoenum- graecum L. (fenugreek) as a medicinal herb in animal’s growth and health. Sci Int. 2013;1(6):194–198.
  2. Acharya S, Srichamreon A, Basu S, et al. Improvement in the nutraceutical properties of fenugreek (Trigonellafoenum- graecum L.). Songklanakarin. J Sci Technol. 2006;28(Suppl 1):1–9.
  3. Sulieman AME, Ahmed HE, Abdelrahim AM. The chemical composition of fenugreek (Trigonellafoenumgraecum L) and the antimicrobial properties of its seed oil. Gezira J Eng Applied Sci. 2008;3(2):52–71.
  4. Priya V, Jananie RK, Vijayalakshmi K. Molecular docking analysis of compounds present in Trigonellafoenumgraecum with angiotensin converting enzyme insilico analysis. J Chem Pharm Res. 2011;3(4):129–139.
  5. Alizadeh S, Jahanmehr SA-H, Ardjimand AR, et al. antineoplastic effect of fenugreek (Trigonellafoenumgraecum) seed extract against acute myeloblastic leukemia cell line (KG-1). Iran J Blood Cancer. 2009;1(4):39–146.
  6. Khalil MIM, Ibrahim MM, El-Gaaly GA, et al. Trigonellafoenum (fenugreek) induced apoptosis in hepatocellular carcinoma cell line, HepG2, mediated by upregulation of p53 and proliferating cell nuclear antigen. BioMed Res Inter. 2015;2015:11.
  7. Taylor WG, Zaman MS, Mir Z, et al. analysis of steroidal sapogenins from amber fenugreek (Trigonellafoenum- graecum) by capillary gas chromatography and combined gas chromatography/ mass spectrometry. J Agric Food Chem. 1997;45:753–759.
  8. Taylor WG, Elder JL, Chang PR, et al. Microdetermination of diosgenin from fenugreek (Trigonellafoenum-graecum) seeds. J Agric Food Chem. 2000;48:5206–5210.
  9. Srinivasan S, Koduru S, Kumar R, et al. Diosgenin targets Akt-mediated signaling in human breast cancer cells. Int J Cancer. 2009;125(4):961–967.
  10. Ali NM, Zamzami MA, Khoja SM. Regulation of hepatic and mucosal 6- phosphofructo-1-kinase activity by Trigonellafoeum- graecumLinn (fenugreek) seeds of streptozoticin- induced diabetic rats. J Diab Res Clin Metabol. 2013;2:18.
  11. Goplapura PB, Jayanthi C, Dubey S. Effect of Trigonellafoenumgraecum seeds on the glycemic index of food: a clinical evaluation. Int J Diab Dev Ctries. 2007;27(2):41–45.
  12. Deng R. A review of the hypoglycemic effects of five commonly used herbal food supplements. Recent Pat Food Nutr Agric. 2012;1(4):50–60.
  13. Robert SD, Ismail AA-S, Wan-Rosli WI. Trigonellafoenum- graecum seeds lowers postprandial blood glucose in overweight and obese individuals. J Nutr Metabol. 2014;2014:5.
  14. Ilavenil S, Arasu MV, Lee J-C, et al. Trigonelline attenuates the adipocyte differentiation and lipid accumulation in 3T3-L1 cells. Phytomedicine. 2014;2(5)1:758–765.
  15. Sharma RD, Sarkar A, Hazra DK, et al. Hypolipidaemic effect of fenugreek seeds: a chronic study in non-insulin dependent diabetic patients. Phytotherapy Res. 1996;10:332–334.
  16. Bukhari SB, Bhanger MI, Memon S. Antioxidant activity of extracts of fenugreek seeds (Trigonellafoenum-graecum). Pak J anal Environ Chem. 2008;9(2):78–83.
  17. Devi R, Nandhini J, Madhavan M. The effect of fenugreek (Trigonellafoenum- graecum) intake on the oxidative stress in hypercholesterolaemic subjects. Nat J Lab Med. 2013;2(1):5–7.
  18. Patil SP, Niphadkar PV, Bapat MM. Allergy to fenugreek (Trigonellafoenumgraecum). Ann. Allergy Asthma Immunol. 1997;78(3):297– 300.
  19. Ziyyat A, Legssyer A, Mekhfi H, et al. Phytotherapyof hypertension and diabetes in oriental Morocco. J Ethnopharmacol. 1997;58(1):45–54.
  20. Talpur N, Echard B, Ingram C, et al. Effects of a novel formulation of essential oil on glucose–insulin metabolism in diabetic and hypertensive rats: a pilot study. Diabetes Obes Metab. 2005;7:193–199.
  21. Vaez-Mahdavi MR, Roghani M, Baluchnejadmorjarad T. The role of adrenergic and angiotensinergic systems in vascular effect of alcoholic extract of Trigonella foenum- graecum seed in diabetic rats. Iran J Pharmaceutical Res. 2010;10(1):83–88.
  22. Amin A, Alkaabi A, Al-Falasi S, et al. Chemoprotective activities of Trigonella foenum graecum (fenugreek) against breast cancer. Cell Biol Int. 2005;29(8):687–694.
  23. Santander SP, Aoki M, Hernandez JF, et al. Galactomannan from Caesalpinaspinosa induces phenotypic and functional maturation of human dendretic cells. Int Immunopharmacol. 2011;11(6):652–660.
  24. Ramesh HP, Yamaki K, Tsushida T. Effect of fenugreek (Trigonellafoenum-graecum L.) galactomannan fractions on phagocytosis in rat macrophages and on proliferation and IgM secretion in HB4C5 cells. Carbohydrate Polymers. 2002;50:79–83.
  25. Maheshwari A, Verma N, Swaroop A, et al. Efficacy of FurosapTM, a novel Trigonellafoenum- graecum seed extract, in enhancing testosterone level and improving sperm profile in male volunteers. Int J Med Sci. 2017;14(1):58–66.
  26. Mandegary A, Pourmamdari M, Sharififan F, et al. Alkaloid and flavonoid rich fractions of Fenugreek seeds with antinociceptive and anti-inflammatory effects. Food Chem Toxicol. 2012;50(7):2503–2507.
  27. Suresh P, Kavitha ChN, Babu SM, et al. Effect of ethanol extract of Trigonellafoenumgraecum (fenugreek) seeds on Freund’s adjuvant- induced arthritis in albino rats. Inflammation. 2012;35(4):1314–1321.
  28. Taj Eldin IM, Abdalmutalab MM, Bikir HE. An in vitro anticoagulant effect of fenugreek (Trigonellafoenum–graecum) in blood samples of normal Sudanese individuals. Sudan J Paediatrics. 2013;13(2):52–56.
  29. Doshi M, Mirza A, Umarji B. Effects of Trigonellafoenum- graecum (fenugreek/methi) on hemoglobin levels in females of child bearing age. Biochem Res. 2012;23(1):47–50.
Creative Commons Attribution License

©2018 Ben-Nasr, et al. This is an open access article distributed under the terms of the, which permits unrestricted use, distribution, and build upon your work non-commercially.