Submit manuscript...
eISSN: 2473-0815

Endocrinology & Metabolism International Journal

Research Article Volume 2 Issue 4

Valvular heart disease in patients with prolactinomas on cabergoline treatment

Daiana Arrestia, Lucia Florio, Mauricio Gutierrez, Mariana Elhordoy, Elisa Seoane, Cristina Alonso, Mercedes Pineyro

Department of Endocrinology, Hospital de Clinicas, Montevideo, Uruguay

Correspondence: Daiana Arrestia, Department of Endocrinology, Hospital de Clinicas, Montevideo, Uruguay

Received: July 27, 2015 | Published: November 19, 2015

Citation: Arrestia D, Florio L, Gutierrez M, et al. Valvular heart disease in patients with prolactinomas on cabergoline treatment. Endocrinol Metab Int J. 2015;2(4):139-150. DOI: 10.15406/emij.2015.02.00030

Download PDF

Abstract

Dopamine agonists are the first line treatment of prolactinomas and Parkinson's disease. Ergot dopamine agonists have been associated with the development of (moderate to severe) clinically significant valvular thickening and retraction in patients with Parkinson's disease heart valve insufficiency. In patients receiving dopamine agonists for hyperprolactinemia, most studies show no increased risk of valvulopathy.
Objective: The objective was to document any possible association between the use of cabergoline (CB) in patients with prolactinomas treated at the clinic of Endocrinology and Metabolism Clinics Hospital and echocardiographic findings of valvular heart disease. Furthermore, to assess the presence of alterations in the structure and function related to heart valve dose and duration of treatment with cabergoline.
Methods: We performed an analytical, observational and retrospective study of such cases-matched controls. Data from 22 patients with prolactinomas treated with cabergoline for a minimum of six months, treated between 2010 and 2012. They were matched with a control group consisting of 22 healthy subjects’ staff members and patients attending this clinic, adjusted analyzed for age and sex. We performed transthoracic echocardiography with color Doppler on the same team, by acardiologist experienced in echocardiography. Heart valve regurgitation was quantified according to the guidelines of the American Society of Echocardiography. Abnormal mitral or its peak as one greater than 5 mm valve thickening was defined.
Results: There were no cases of moderate-severe valvular regurgitation in either group. The prevalence of mild regurgitation was similar between patients and controls. There were no cases of pulmonary valve insufficiency. Only three patients and three subclinical valvular fibrosis controls (p=0.66) was evidenced. There were no cases of abnormal mitral valve thickening and no significant differences between the average thickness of the mitral valve between the two groups (p=0.65). There was no thickening of the other leaflets. We not observe a correlation between the cumulative dose of cabergoline or duration of treatment and valvular regurgitation. We found a significant correlation between the cumulative dose of cabergoline and mitral valve thickness (p=0.002 r 2=0.37). If we exclude from the analysis the patient presented mitral valve thicker (3.8mm), who received the highest doses of cabergoline(1962), this correlation is not observed (p=0.753). We also found a correlation between the maximum dose of cabergoline and mitral valve thickness (p=0.0008). Again, excluding the single patient who received the maximum dose this correlation is not observed (p=0.116). We found no relationship between the mitral valve thickness and length of treatment (p=0.084). There was no increase in the mitral tenting area. Patients treated with cabergoline had an ejection fraction (LVEF) significantly lower (60.9% ± 1.97) than controls (64.8%±4.9) (p = 0.004). Those with overweight-obesity had significantly lower LVEF (60%) compared to those with normal weight (65%) (p=0.045). No relationship between LVEF and sex, high blood pressure (hypertension), smoking, diabetes (DM), impaired fasting glucose (IFG), oral glucose (IOG) or dyslipidemia in either group met intolerance. Nor association between cumulative dose of cabergoline (p=0.64) or duration of treatment (p=0.93) with LVEF.
Conclusion: Cabergoline at doses commonly used in patients with prolactinomas not associated with higher prevalence of clinically significant valvular regurgitation, but with greater thickness mitral valvular (though without being abnormal thickening) associated with the cumulative dose.

Keywords: prolactinoma, parkinson's disease, ergot dopamine agonist, cabergoline, valvular heart disease, heart valve regurgitation, valvular thickening; mitral valve, regurgitation, diabetes, hypertension, intolerance, valvulopathy

Abbreviations

LVEF, left ventricular ejection fraction; DM, diabetes mellitus; IFG, impaired fasting glucose; IOG, impaired oral glucose; FDA, us food and drug administration

Introduction

Dopamine agonists are the first line treatment of prolactinomas and Parkinson's disease. Has shown an association between the use of high doses of ergot dopamine agonists, cabergoline and pergolide, and development of clinically significant (moderate to severe) heart valve regurgitation, valvular thickening and retraction in patients with Parkinson's disease.1,2 Because of this, he has appeared among endocrinologists concern about the safety of long term treatment with cabergoline in patients with hyperprolactinemia.k #ref3  Most studies in these patients cabergoline hyperprolactinemic not show increased risk of valvulopathy.2,4–6 By contrast, few studies reported increased risk of mild moderate valvular insufficiency7,8 and9 it is currently unknown whether a low dose of cabergoline, as are commonly used in patients with prolactinoma, is associated with clinically significant valve disease.2

Theoretical framework

Overview of prolactinomas

Prolactinomas are pituitary adenomas that express and secrete prolactin (PRL) in varying degrees, almost invariably benign but often clinically significant.10 They constitute 40% of all pituitary tumors.10–12 Is the most frequent secreting pituitary tumor.11 The estimated prevalence of clinically evident prolactinomas varies between 6-10 per 100,000 to about 100,000 50.12–14 The prevalence of prolactinomas varies according to age and gender are more common in women aged 20-50 years, with a female to male ratio of 10: 1.11 Prolactinomas are classified by size into microadenomas (less than 10 mm) and macroadenomas (greater than or equal to 10 mm).10 Approximately 90% are small, intrasellar rarely grow in size.10 Microprolactinomas are more common in women,10 while macroprolactinomas are more common in men.11 Approximately 90% of premenopausal women with prolactinomas are presented with oligomenorrhea, and about 80% present with galactorrhea. Furthermore, these tumors may present with anovulatory infertility and decreased libido10 Hyperprolactinemia in men causes impotence, infertility and decreased libido. Usually prolactinomas in men present with compressive symptoms.This may be due to failure to recognize the symptoms of hypogonadism or biological differences in tumor growth. In large tumors, compression of other pituitary cells or pituitary stalk can cause hypopituitarism.10 A dosage of prolactin at any time of day over the upper limit of normal confirms the diagnosis of hyperprolactinemia, provided that the blood sample was obtained without excessive stress by venipuncture.10,12 When initial prolactin levels are not diagnostic (eg, are slightly above the upper limit of normal but not as high as is usually seen in prolactinomas) sample should be repeated another day.10–12 In this case, since prolactin is secreted in a pulsatile manner, it should be obtained from 2 or 3 separate for 15 minutes10–12 samples.

In prolactinomas serum prolactin levels are generally proportional to tumor size, and most patients with prolactin values ​​greater than 250 mg / liter carry a prolactinoma.12 Prolactin levels above 500 mg / L is diagnostic of macroprolactinoma.12,15 Although prolactin levels above 250 mg / liter usually indicate the presence of prolactinoma, some including risperidone and metoclopramide, drugs may cause elevation of prolactin above 200 g / liter in patients without evidence of adenoma.12,16 After the diagnosis of hyperprolactinemia should exclude secondary causes of it such as: use of medication, renal failure, liver failure, and hypothyroidism.10,12 After excluding potential secondary causes including pregnancy, you should apply a magnetic resonance imaging (MRI) of the head with focus on sella.10 The primary goals of treatment of prolactinomas are decreased tumor size and prolactin normalization with complete recovery of gonadal function (including fertility).11 The indications for treatment include all patients and those with symptomatic macroprolactinoma microprolactinoma.10,11,17,18 In 90-95% of cases microadenomas not increase in size,11,18–20 thus suppressing tumor growth is not a therapeutic target. If treated by present with symptoms, usually they shrink and sometimes disappear with chronic medical treatment.10,19

Treatment of prolactinomas with dopamine agonists

Medical treatment is frontline prolactinomas, using dopamine agonists.11,12 Bromocriptine and cabergoline are the most commonly used.11 Dopamine normally inhibits prolactin secretion by acting on dopamine type 2 receptors (which inhibit adenylate cyclase) expressed in tumor and normal lactotrophs.11,12 Medical treatment is highly effective. Dopamine agonists normalize the prolactin and reduce tumor size in most patients macroprolactinoma.10 80% of prolactinomas treated with dopamine agonists reduce its size by more than 25% of its original size, and almost all are associated with 50% decrease in the levels of prolactin.10 Dopamine agonists usually improve visual disturbances similar to those that produce surgical decompression of the optic chiasm in patients with macroprolactinoma therefore visual disturbances are not currently considered as a criterion for surgical treatment.10 Cabergoline is an ergot dopamine agonist with high affinity and specificity for the dopamine type 2 receptor6,8,22 and high affinity for serotonin receptors, notably serotonin receptor subtype 2B (5HT2B).1,7–9,23–25 The difference of bromocriptine that have longer half-life, is better tolerated and can be administered 1 or 2 times per week.11 Cabergoline is initiated at a dose of 0.25-0.5 mg 1 or 2 times per week, and the dose is increased monthly to normalize prolactin levels.10,11 The use of cabergoline in preference to other dopamine agonists is recommended. Long comparative studies of cabergoline and bromocriptine have convincingly demonstrated the superiority of the first in the better tolerability and adherence to treatment, as well as its effectiveness in reducing prolactin levels, restore gonadal function and reduce tumor size.7,11,26–28 It is not known yet either because cabergoline is more effective than bromocriptine, but greater efficiency can be explained because it has a higher affinity for dopamine receptors. In addition the incidence of undesirable side effects is lower cabergoline, whereby adherence may be higher.12,29 In patients with hyperprolactinemia, including prolactinomas, normalization of prolactin levels are generally obtained with doses of cabergoline between 0.5-2 mg / week. Higher doses have been used in cases of significant resistance to dopamine agonists. Approximately 20% of patients and 10% macroprolactinoma microprolactinoma require doses higher than 2 mg / week (up to 11mg / week) to normalize prolactin levels.22,30 The adverse effects of cabergoline are similar to those reported with other dopamine agonists, but usually less frequent less severe and of shorter duration.11,31 It can cause gastrointestinal side effects, cardiovascular and neurological level.11 The most common are nausea and vomiting, followed by headache and asthenia.11,32 Symptoms and signs of psychosis or exacerbation of pre-existing psychoses have been described. A cardiovascular level can cause postural hypotension.11

Dopamine agonists for Parkinson's disease

In the last decade, ergot dopamine agonists have been used most often for Parkinson's disease. There have been several studies (observational studies and case-control studies) show that patients with Parkinson's disease treated with cabergoline and pergolide have a prevalence of heart valve insufficiency 5 times greater than the general population.33,34 It has been reported most frequently valve thickening and shrinkage, resulting in an incomplete closure of valves, and heart valve regurgitation.1,33,34 In the 1990s there were already reports describing the occurrence of valve disease and constrictive pericarditis related to the use of pergolide, cabergoline as well as in patients with Parkinson's disease.3,35,36 Two large population studies, the Schade et al.,33 and Zanettini et al.,34 have reinforced the association between valvular heart disease and high doses of dopamine agonist in patients with Parkinson's disease.3 These studies showed an increased risk of valvular insufficiency after treatment with cabergoline and pergolide. These studies also found that cabergoline was associated with fibrotic changes in the valves.37 Chade S et al.,33 reported data from a population cohort in the UK (United Kingdom General Practice Research Database) comprising 11,417 individuals aged 40-80 years treated with anti-between 1988 and 2005. It was observed that 31 patients had heart valve insufficiency recently diagnosed, in which 6 patients were receiving pergolide, cabergoline received another 6, and 19 patients had not been exposed to any dopamine agonist in the last year. They found that the rate of heart valve insufficiency was greater with cabergoline (RR 4.9; 95% CI, 1.5-15.6) and pergolide (RR 7.1; 95% CI 2.3-22.3) but not with the current use of other dopamine agonists such as bromocriptine and lisuride and others. It was concluded that the use of pergolide and cabergoline was associated with an increased risk of new heart valve insufficiency. Zanettini et al.,34 conducted a study of echocardiographic prevalence of valvular heart disease in 155 patients taking dopamine agonists for Parkinson's disease and 90 control individuals, particularly daily doses greater than 3 mg / day administered by a period equal to or greater than six months. (Moderate to severe) clinically significant valve failure was more frequent in patients taking pergolide (23.4%) and cabergoline (28.6%) but not in patients taking non-ergot (0%) dopamine agonists, as compared to subjects controls (5.6%). The relative risk for moderate to severe valve regurgitation in the pergolide group was 6.3 for mitral regurgitation (P=0.008), 4.2 for aortic regurgitation (P = 0.01), and 5.6 for tricuspid regurgitation (P=0.16); also for the group with cabergoline the corresponding relative risk was 4.6 (P = 0.09), 7.3 (P <0.001), and 5.5 (P=0.12) respectively. Further, in Parkinson's disease the severity of heart valve insufficiency have been shown to be directly related to the cumulative exposure (dose and duration) of cabergoline and pergolide.33,34,38–40 Schade et al.,33 Zanettini et al.,34 and Van Camp et al.,38 suggest increased risk of significant valvular regurgitation in patients treated with cabergoline daily dose of 3 mg or more after six months of treatment. For example, Zanetinni et al.,34 observed that in the group of patients treated with pergolide and cabergoline, those with moderate to severe impairment in any of the heart valves, had received on average higher cumulative doses of the drug (4015 ± 3208 mg) than patients with degrees under impairment (2341 ± 2039 mg). In addition, they observed a significant linear relationship between cumulative dose of pergolide and degree of heart valve insufficiency. Andersohn et al.,40 conducted a review of reported cases of fibrosis in the heart, lungs and retroperitoneum associated with the use of dopamine agonists obtained from the database of US Adverse Event Reporting System. They identified 159 cases of heart valve insufficiency in patients treated with dopamine agonists ergot, and most patients (57%) received cabergoline.3,40 Although not distinguished between patients in this review with Parkinson's disease and those with hyperprolactinemia, it showed increased risk of valvular insufficiency associated with ergot dopamine agonists in high doses [odds ratio (OR), 288; 95% CI, 210.5-390.6] compared with low doses [odds ratio (or), 79; 95% CI, 52.7-114.5]. The association between the cumulative dose of cabergoline and the risk of clinically significant valvular insufficiency in Parkinson's disease was confirmed by other studies.41,42

Several studies in patients with Parkinson's disease have shown an association between treatment with pergolide or cabergoline and increased mitral tenting area.34,38,43 Tenting area mitral index is a quantitative apical shift valve coaptation, related to the severity of regurgitation.1 Including Van Camp et al.,38 found a significant correlation between cumulative dose of pergolide and mitral tenting area (r = 0.412, p = 0.017). Similarly, Zanettini et al.,34 found that the average mitral tenting area was significantly higher in the group of patients with dopamine agonists, showing a linear relationship with the severity of mitral regurgitation. Furthermore in patients in group with ergot dopamine agonist which had no clinically significant valvular regurgitation, mitral tenting area was higher than in the control group. Thus increasing mitral tenting area may be an early sign of alterations in heart valve structure.6,33,37,38 Studies in patients with Parkinson's disease also observed that cabergoline is associated with increased risk of fibrotic changes in heart valves.6,37 This in turn causes thickening, retraction and stiffness generated with poor coaptation incomplete closure, being the most asymptomatic.22,37,44 As for the mechanism it is proposed that is a restrictive valve disease characterized by deposition of fibrous non-calcified plaques in the leaflets and subvalvular apparatus including chordal, with the consequent restriction of valvular thickening and ostium, which leads to valvular insufficiency.3-5 This fibrosis is primarily mediated by the activation of serotonin receptor subtype 2B (5-HT2B). These receptors are expressed in large amounts in human heart valves.6,44-46 When stimulated, promote mitogenesis and proliferation of fibroblasts, resulting in overgrowth of the valve, causing cardiac fibrosis.9,22,25,37,47 Pergolide and cabergoline are potent agonists of these receptors1,9,22,24 while other agents of this class such as bromocriptine and lisuride, have weak agonist activity at the serotonin 5HT2B.1,3,9,22,24,44,45

Histopathological studies showed fibroblast proliferation with extracellular matrix deposition in myxoid valve surfaces.22 All reported valvular changes associated with development failure and no stenosis, suggesting that the mechanism is different from that produced by the age.22 Histopathologic findings of heart valves obtained from patients after treatment with cabergoline and pergolide for Parkinson's disease reminds histologic abnormalities seen in patients with carcinoid tumors9,48–54 and those who take anti-migraine drug ergotamine or anorexics (fenfluramine).1,9,25,37,39,46,55–59 Some publications have reported regression or improvement of valvular damage to discontinue these drugs.25,38,60,61 The evidence of valvulopathy associated with the use of pergolide resulted in his recall in the United States by the US Food and Drug Administration (FDA).3,62–64

Cabergoline in prolactinomas and valvular heart disease

Cabergoline, as mentioned previously, is the first-line drug (along with bromocriptine) for the treatment of patients with hyperprolactinemia of various etiologies, including prolactinoma. After published studies in patients with Parkinson's disease, has appeared concerned about the safety of long term treatment with dopamine agonists, especially those with high affinity for serotonin receptor subtype 2B.3 That's why they have been several studies that have investigated the possible heart valve disease in patients with prolactinoma treated with cabergoline3 In general the results of these studies are reassuring, discarding the valvular compromise in these patients. However, no controlled long-term3 studies. The authors Sophie Vallette, Karim Serri and Omar Serri22 conducted a review of publications in PubMed since the first description that occurred on the association of the use of dopamine agonists and its association with heart valve disease in 2003 until March 2009. Case-control studies were included in prolactinoma patients compared with control subjects, both examined with echocardiograms. Case reports were excluded. These authors evaluated the seven available studies to date of publication, which examined the association between heart valve abnormalities and cabergoline in patients with non-tumor prolactinoma and hyperprolactinemia.2,4–9

The seven studies were similar in design, sample size (between 44-102 patients), and inclusion and exclusion criteria. A total of 463 patients and 965 control subjects were included is these studies.22 In all these studies, valvular insufficiency was defined and graduated as recommended by the American Society of Echocardiography, and was classified as absent (grade 0), low (grade 1), mild (grade 2), moderate (grade 3) or severe (grade 4).3 It was considered clinically significant valvular regurgitation at least the presence of mitral regurgitation, tricuspid and pulmonary moderate, and at least mild aortic regurgitation.3 We describe the studies evaluated in this review. Bogazzi et al.,4 comparing 100 patients (79 women; mean age 41 years) treated with a mean dose of 279 mg cabergoline for an average 67 months, with 100 controls. Standard echocardiographic evaluations were performed by a single operator. No increase was observed in clinically significant valvular insufficiency. They found that seven patients with hyperprolactinemia (7%) and six controls (6%) had a moderate valve regurgitation (p = 0.980). They also found a relationship between the cumulative dose of cabergoline and the presence or severity of heart valve insufficiency. Lancelotti et al.,5 compared 102 patients (73 women, mean age 51 years) treated with cabergoline for hyperprolactinemia with 51 control subjects. The average length of treatment was 79 months with a mean cumulative dose of 204 mg. Two experienced operators performed echocardiograms, which were then reviewed by the blind operator.

It was observed that the insufficiency of the aortic, mitral, tricuspid and pulmonary was equally prevalent in both patients treated with cabergoline and control subjects. In both groups, the valve failure was almost exclusively mild and clinically insignificant. Only two patients had moderate mitral regurgitation was asymptomatic. The cumulative dose of cabergoline in these two patients was 184 mg, similar to patients treated with cabergoline without regurgitation or insignificant valvular insufficiency. No patient was treated with cabergoline severe regurgitation in any of the valves. In this study, there was no relationship between the cumulative dose of cabergoline and the presence and severity of heart valve insufficiency. However, mitral valve thickening was observed and increased mitral tenting area in the two patients with moderate mitral insufficiency but not in other patients or controls. This also related to the cumulative dose or clinically significant valvular compromise. Colao et al.,9 compared 50 patients (44 women; mean age 37 years) treated with cabergoline with an average cumulative dose of 280 mg with 50 controls. Analyses were performed echocardiographic standards, but do not mention whether they were blind. The authors noted increased prevalence of moderate tricuspid regurgitation (54% vs 18%) without any increase in mild regurgitation. Documented that moderate tricuspid regurgitation was more frequent in patients than in de novo patients and in patients receiving a cumulative dose of cabergoline above the average (72%, p = 0.023) than in those receiving a lower dose (36%, p = 0.036). In this study patient with moderate tricuspid regurgitation also they had levels of systolic and diastolic higher compared to those without valvular disorders, so that hypertension may have contributed to the injury. This is the only job they noticed a difference in blood pressure between the groups, where patients treated with cabergoline had higher systolic and diastolic blood pressure than controls.

In the study of Kars et al.,7 78 patients (58 women; mean age 47 years) treated for prolactinoma (47 treated with cabergoline and 31 treated with other drugs, including bromocriptine, or surgery)They were compared with 78 normal subjects recruited from a database and adjusted for age, sex, BMI and systolic ventricular function. There was no difference in the prevalence of moderate to severe heart valve disease in patients with dopamine agonists compared with control subjects. However, the frequency of mild tricuspid regurgitation was higher in patients receiving cabergoline than in control subjects (43 vs 26%; P = 0.050). Vallette et al.,6 analyzed 70 patients (37 women; mean age 44 years) treated with cabergoline for a period of 55 months with a mean cumulative dose of 282 mg, and 70 control subjects. Standards echocardiograms were performed by two experienced technicians and were reviewed by a third observer. Moderate heart valve regurgitation was observed in 5.7% of patients, similar to that found in the control subjects (7.1%) adjusted for age and sex. Therefore, there was no clinically significant increase in valvular heart disease. Valve morphology was analyzed in detail in cases of moderate valvular not reveal any abnormalities. Nor relationship between the cumulative dose of cabergoline and the prevalence or severity of heart valve regurgitation was observed.

Wakil et al.,8 studied 44 patients (32 women; mean age 42 years) treated with a mean dose of 311 mg cabergoline with an average duration of 45 months. He was compared with 566 control subjects drawn from contemporary echocardiographic base data that had undergone echocardiography palpitations. Routine echocardiograms were performed by a non-blind operator and re-analyzed for a second experienced operator. It was observed that the tricuspid regurgitation and mild pulmonary failure was more prevalent in patients with cabergoline (11.3%) compared with controls (6.7%) with an odds ratio of 3.1 (p = 0.04) and 7.8 (p < 0.001) respectively. No moderate or severe in any valve regurgitation was observed.

Finally, Herring et al.,2 examined 50 patients (20 women; mean age 51 years) with prolactinoma treated with cabergoline. The average cumulative dose was higher than in the previous studies Mentioned (443 mg), with a median duration of treatment of 79 months. Similar to other studies, no significant changes were observed in the valvular insufficiency. The authors also found no differences in the mitral valve tenting area of height and in patients treated with Cabergoline. Additional effects in the patient group were treated with Cabergoline described by some studies.3 Kars et al.,7 described greater number of calcifications in the mitral and aortic valve (40 vs 18%) and increased thickening of the tricuspid valve. Colao et al.,9 They found That Significantly tricuspid tenting area was wider in patients than in controls ( P <0.0001). Other studies confirmed These findings and reported almost no significant difference in the thickening of the valve of any of the valves Between subjects and patients receiving cabergoline Control.2,6,8 If well Lancellotti et al.5 That found 6 of the 102 patients receiving cabergoline had thickened mitral valve leaflet, Their cumulative doses were slightly lower than in patients with no signs of cardiac valvular restriction.

In all, esta examined a full review of 463 patients exposed to cabergoline with an average Between 204-443 mg dose and a median duration of treatment Between 45-79 months in these included seven studies22 All patients were asymptomatic without clinical signs of heart disease. In short, most of the studies analyzed agree on the lack of association between cabergoline treatment with short-term, clinically significant valvular heart disease [22]. However, the study of Colao et al.,9 they found an Increase in the rate of moderate tricuspid regurgitation. The results of Colao et al.9 Have not been reproduced by other studies.3,9 While two studies7,8 showed an Increased prevalence of mild tricuspid and pulmonary insufficiency, we emphasize That these are classified as clinically relevant by the FDA. In This regard, Kars et al.,7 observed a slight increase in tricuspid regurgitation in patients taking cabergoline. Finally in studying Wakil et al.,8 there was an increase in the prevalence of mild tricuspid regurgitation and mild pulmonary insufficiency in patients with cabergoline.22

A meta-analysis by Bogazzi et al.,65 that pooled the results of six2,4,5,7–9 seven clinical studies reviewed by Vallette,22 a significant showed increase in risk of mild to moderate tricuspid regurgitation in all 393 subjects (PR , 1.40 ;. 95% CI, 1.17-1.67) . However, Bogazzi et al.,65 That only emphasized studying Colao et al.,9 found a higher prevalence of moderate tricuspid regurgitation, then a concluding that the clinical significance of their findings is still difficult to establish. The results of the available studies suggest that cabergoline at doses most commonly used in patients with non-tumor hyperprolactinemia or prolactinoma (2 mg / week) is not associated with clinically significant valvular disease.22

Prolactinomas versus parkinson's disease

Patients treated with Cabergoline for prolactinoma differ in several aspects of patients treated for Parkinson's disease. They Differ in gender and age, and very important in the cumulative dose of cabergoline and duration of treatment.9,37 Patients with Parkinson's disease generally unavailable about 65 years, and occurs equally in both sexes.37 By contrast, patients’ prolactinoma have with an approximate age of 45, and women predominate.37 The cumulative dose of cabergoline is probably the most important in the development of valvular heart disease.37 explanation. The cumulative dose of cabergoline varies between studies between 2600 and 6700 mg in patients with Parkinson's disease, while patients with prolactinoma cumulative dose is more than 10 times lower, 200-500 mg.1,3,37 That is, the cumulative doses in patients with prolactinoma are significantly lower. The risk increases especially from a cumulative dose of 3000 mg and from 35 months of treatment, exceptionally before 6 months.1 But since the treatment in patients with prolactinoma usually it starts in young patients and may require continued for up to 3 decades, the risk of cumulative doses of dopamine agonists for long periods of treatment are unknown currently.9

Valvular disorders in the overall population

A previously mentioned is the fact that the prevalence of tricuspid regurgitation and mild mitral insufficiency in the overall population is high and increases with age.1,66,67 The slight or minimal tricuspid regurgitation varies in the 13-15% in subjects under 60 years and 20-26% after 70 years.67 In fact it is not uncommon finding isolated regurgitation during evaluation of healthy subjects without structural heart disease.1 Analysis of echocardiographic data bases, after excluding patients with structural heart disease, show a prevalence of 17% and 19% of mitral regurgitation and tricuspid regurgitation, respectively.1,68 This minimal regurgitation, and tricuspid especially is considered by cardiologists as little clinical relevance, and in the absence of other echocardiographic abnormalities, can be Reached Reported "normal" as.1 Clearly, systematic echocardiographic analysis of patients undergoing with cabergoline treatment in search of valvular insufficiency entails selection bias, especially when compared with historical databases. For example, if Wakil et al study commented on page 18 which could explain the increased prevalence of mild tricuspid regurgitation found in patients versus controls (11.3 versus 6.7%).1 Based on the available evidence it suggests that lower doses of cabergoline used in patients with prolactinomas are safe for the heart.1 In this paper we assess whether there is any possible association between the use of cabergoline in patients with prolactinoma and echocardiographic findings of valvular disease here.

Goals

  1. Document any possible association between the use of cabergoline in patients with prolactinomas Treated at the clinic of Endocrinology and Metabolism Clinics Hospital and echocardiographic findings of valvular heart disease.
  2. Assess changes in the structure and function related valvular heart dose and duration of treatment with Cabergoline

Materials and methods

We performed an analytical, observational and retrospective study of such cases-matched controls. With prolactinomas Patients Treated with Cabergoline for a period of at least 6 months treated at the clinic of Endocrinology and Metabolism Clinics Hospital of Montevideo, between the years 2010 to 2012 were selected.

Exclusion criteria were:

  1. Patients with medical checks prolactinomas that were not met since 2009.
  2. Prolactinoma who had been treated patients only with bromocriptine.
  3. Previous history of heart valve disease.
  4. Anorexics previous use of drugs or medicines known to cause adverse effects as hyperprolactinemia.
  5. Pituitary adenoma cosecretor Presence of growth hormone and prolactin.
  6. Patients With echocardiographic evidence of heart valve abnormalities or major alterations associated with a specific cause: such as valvular calcification, mitral annular dilatation associated with failure or left ventricular dysfunction.

The cumulative dose of cabergoline for each patient was calculated as the sum of each dose used multiplied by the months of treatment at that dose was used (from the start of treatment with cabergoline until the day of the performance of echocardiogram). In all, data from 22 patients Control WHO Were matched group of 22 healthy subjects consisting staff members of Endocrinology and Metabolism (Teachers, Masters and nurses) and patients attending esta clinic, in a 1 were analyzed. 1 for age and sex exclusion criteria was the same as for patients with prolactinoma. , Moreover, no control subject had a history of hyperprolactinemia and was treated with dopamine agonists, drugs anorexics or cause hyperprolactinemia. Age, sex, weight, height, BMI, cardiovascular risk factors such as: smoking, hypertension, diabetes, impaired fasting glucose; oral glucose intolerance and dyslipidemia were collected data. Also in patients prolactinomas related parameters are listed below That They Were Collected. Date and patient age at diagnosis, dose and duration of treatment with cabergoline. Diagnostic value of prolactin and prolactin available last dosing expressed in ng / ml. Size of the prolactinoma diagnosis (Greater diameter) mm and last image available (RNN region of seal TAC or if the above was not available) and locoregional extension to the optic chiasm, cavernous sinus and sphenoid sinus. Those Prolactinoma was defined as referral presented in normalizing prolactin levels and 50% reduction in tumor diameter.

Between December 2010 and April 2012 transthoracic echocardiography (Performed Siemens Acuson 512) in 22 patients Control With prolactinomas and 22 subjects matched for age and sex. This was done on the same computer by a cardiologist experienced in echocardiography with focus on the heart valves. Heart valve regurgitation was diagnosed using color Doppler echocardiography (by displaying multiple windows).

Heart valve regurgitation was quantified according to the guidelines of the American Society of Echocardiography: 0=absent; 1=minimal (physiological line); 2=mild, 3=moderate and 4=severe. Clinically significant valvular insufficiency was determined to according to the definition of the US Food and Drug Administration: mild, moderate or severe aortic insufficiency, mitral regurgitation, tricuspid and pulmonary moderate and severe. The Presence of subclinical valvular fibrosis to the Presence of fibrosis is considered (if brightness was Observed Increase) without functional impairment. STI or abnormal mitral peak as one Greater than 5 mm valve thickening was defined. The other valves valve thickness was only measured morphological if Alterations Were Observed. The tricuspid and mitral valves Recorded Were Identified as restrictive as limitation in the valvular with tironeamiento of the same toward the apex movement. Mitral valve/stenotic tricuspid whether it considered the mitral valve area (Calculated by pressure half time the slope of the E wave deceleration) was less than 2 cm2. The mitral valve tenting area (mitral valve marker displacement) was Obtained from the parasternal column in average systolic and the area Between the valve and the mitral valve ring was Measured, Being More significant than 2 cm2. Limiting movement of aortic valves it was considered if image dome opening and stenosis identified transaortic if more speed 2.5 m / sec are consigned. The dimension of left ventricular end-diastolic was measured. The ejection fraction of the left ventricle was calculated using the biplane Simpson method. 

Statistical methods

In the descriptive analysis of summary Measures (mean and median) Central tendency, dispersion (standard deviation and confidence intervals of 95%) and frequency (relative and absolute) were used. In the inferential bivariate analysis Continuous variables to test Studied Were Anderson to verify Gaussian behavior, Barttlet test to verify homogeneity of the groups, ANOVA when the groups were homoskedastic and normal distribution and non-parametric test of Kruskal Wallis (for groups heteroscedastic and/or abnormal). To search for association between two continuous variables using the simple linear regression. As an index of goodness of fit of the determination Pearson correlation coefficient (r was used2). In the comparison of categorical and dichotomous variables chi-square test (x was Carried out 2) by the Mantel-Haenszel; When Were the expected values ​​less than 5; Fischer's exact test was used. P values ​​less than 0.05 were considered statistically significant. SPSS version 20, Epi-Info Version 7.1.1 and Microsoft Excel 2003. For a better analysis and discussion, the data were presented in graphs and tables: for statistical processing were the following software packages used.

Results

The Clinical Characteristics of patients and controls and features cardiovascular risk factors are shown in Table 1. Both groups were adjusted for age and sex. Greater tendency was Observed in the prevalence of overweight-obesity in patients than in controls, although not significant (72.7 vis. 45.5%; p=0.068). There Were No Significant Differences Between groups in terms of arterial hypertension, diabetes or pre-diabetes, dyslipidemia and smoking. None of the patients or controls had symptoms suggestive of valvular heart disease, history of heart failure, and history of rheumatic fever or valvular known (Table 1). The clinical and biochemical Characteristics of prolactinomas is shown in Table 2. The median prolactin at diagnosis was 228ng/ml (range: 49.9-13377). Most were macroprolactinomas with loco-regional extension in 87.5% of cases. The reason for surgery in four patients is as Follows: one case of stroke, one case of resistance to dopamine agonists, initially tumor diagnosed as non-functioning adenoma and finally to secondary empty sella to prolactinoma. Most patients had been treated with bromocriptine and cabergoline (72.7%). The median cumulative dose was 102.7 mg (range: 16.21 to 1961.6) for a period of 45 months (range: 8-108). With 59% of patients normalized prolactin treatment, cure criteria (Table 2). Echocardiographic findings in patients and controls are shown in Table 3. Most of the patients (68.2%) and controls (59.1%) had no echocardiographic Changes (p=0.53). Both patients and controls the inadequacies of the aortic valve, mitral, tricuspid and pulmonary equally prevalent and was minimum degree. There were no cases of moderate to severe in 22 patients both as valvular regurgitation in 22 controls. There were no significant differences in the presence of mitral regurgitation and mild tricuspid between groups. Only one patient and one subject in the Control group had mild aortic regurgitation (mild valve sclerosis) considered clinically significant. With prolactinoma the patient was 38 years old and had cardiovascular risk factors: such as smoking., dyslipidemia and overweight the controlling subject were male, aged 75 and also presented as cardiovascular risk factors: type 2 diabetes and dyslipidemia. We found no significant differences between the average thickness of the mitral valve patients (2.29 mm) and controls (2.07 mm) (p=0.65). There was no thickening of other valves. Most patients had subclinical cardiac valvular fibrosis. Only three patients and three of the same controls (p=0.66) was evidenced. Of these, all had Involvement of the aortic valve and one subject in each group had also fibrosed the mitral valve.

 

Patients (n=22)

Controls (n=22)

P

Age (years)

41±16

41.5±16

0.91

Sex (F/M)

17/5

17/5

0.99

Smoking; n (%)

4 (18.2)

3 (13.6)

0.50

HTA; n (%)

3 (13.6)

5 (22.7)

0.34

DM; n (%)

3 (13.6)

3 (13.6)

0.66

GAA; n (%)

1 (4.5)

1 (4.5)

0.75

IOG; n (%)

1 (4.5)

0 (0)

0.50

BMI (kg/m2) ≥ 25; n (%)

16 (72.7)

10 (45.5)

0.068

Dyslipidemia; n (%)

7 (31.8)

4 (18.2)

0.30

Table 1 Characteristics of patients and controls

Patients (n = 22)

Tumor size; n(%)
Macroadenoma
Microadenoma

16 (72.7)
6 (27.3)

Loco-regional extension; n(%)

14 (87.5)

Diagnosis PRL (ng/ml)

228 (49.9-13377)

Last PRL (ng/ml)

19.1 (4.9-172.1)

BC pretreatment; n(%)

16 (72.7)

Minimum weekly dose of CB

0.43 (0.125-1)

Maximum weekly doses of CB

1 (0.25-9)

Cumulative doses of CB

102.8 (16.2-1961.6)

Treatment duration in months

45.2 (8.1-108.2)

Table 2 Clinical and biochemical Characteristics of prolactinomas. Data is expressed as median (range)

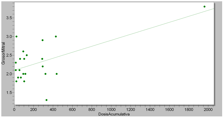
We did not observe a correlation between the cumulative dose of cabergoline and the degree of valvular regurgitation (aortic insufficiency: p=0.58; mitral insufficiency: p=0.14; tricuspid regurgitation: p=0.91). We also found no relationship between duration of treatment and significant valvular regurgitation (aortic insufficiency: p=0.93; mitral insufficiency: p=0.32; tricuspid regurgitation: p=0.47). We found a significant correlation between the cumulative dose of cabergoline and mitral valve thickness (p=0.002 r2 =0.37) (Figure 1).

Figure 1 Relationship between cumulative dose of CB and thickness of mitral valve.

We note that there was a patient with a higher cumulative dose (1961.6 mg) than other patients receiving cabergoline. This provided a thicker mitral leaflet (3.8 mm) than patients with lower cumulative doses. There were no patients received a cumulative dose who between 437 and 1961 mg. The correlation between cumulative dose and mitral thickness not observed if the aforementioned patient (P=0.753) is excluded in the analysis. We also found a correlation between the maximum dose of cabergoline and mitral valve thickness (p=0.0008 r2 =0.44) (Figure 2).

Figure 2 Relationship between maximum dose of CB and mitral valve thickness.

Excluding one patient with the maximum dose of 9 mg with the thicker shell, this is not observed correlation (p=0.116). We found no relationship between the mitral valve thickness and length of treatment (p=0.084).

Either we observe in group Increased mitral or mitral tenting area tironeamiento. Patients Were Treated with Cabergoline significantly lower than controls (Table 3) LVEF. We found no association between cumulative dose of cabergoline (p=0.64) or duration of treatment with LVEF (p = 0.93). To assess whether esta other difference is associated with factors, LVEF Interact with different variables. LVEF Analyzed in relation to body weight of the participants in the study. Those with overweight-obesity had significantly lower LVEF (60%) Compared to those with normal weight (65%) (p=0.045). On the Contrary, we observed no relationship between LVEF and sex (p= 0.24) nor with other cardiovascular risk factors such as: hypertension (p=0.23), smoking (p=0.38), diabetes (p= 0.20), GAA (p=0.90), IOG (p=0.38) and dyslipidemia (p=0.15) in either group. No significant differences in end diastolic diameter of the left ventricle between the groups (p=0.96) was found.

Patients
(N=22)

Controls
(N=22)

P

Degree aortic insufficiency; n (%)
Absent or minimal
Slight
Moderate
Severe

21 (95.5)
1 (4.5)
0 (0)
0 (0)

21 (95.5)
1 (4.5)
0 (0)
0 (0)

0.75

Degree mitral insufficiency; n (%)
Absent or minimal
Slight
Moderate
Severe

18 (81.8)
4 (18.2)
0 (0)
0 (0)

19 (86.4)
3 (13.6)
0 (0)
0 (0)

0.50

Degree tricuspid insufficiency; n (%)
Absent or minimal
Slight
Moderate
Severe

18 (81.8)
4 (18.2)
0 (0)
0 (0)

21 (95.5)
1 (4.5)
0 (0)
0 (0)

0.17

Grade pulmonary insufficiency; n (%)
Absent or minimal
Slight
Moderate
Severe

22 (100)
0 (0)
0 (0)
0 (0)

22 (100)
0 (0)
0 (0)
0 (0)

0.23

Subclinical valvular fibrosis; n (%)

3 (13.6)

3 (13.6)

0.66

LVEF (mean±SD)

60.9±1.97

64.7±4.8

0.0004

DDVI (mean±SD)

45.4±6.32

45.3±5.7

0.96

Mitral valve thickness (mean±SD)

2.29±0.53

2.07±0.93

0.65

Table 3 Valvular insufficiency and echocardiographic parameters

Discussion

Our results show that prolactinomas with treated with patients cabergoline at doses ranging from 0.125 to 9 mg / week for an average period of 45 months (median cumulative dose 102.7 mg with a range of 16.21-1961) had a frequency of asymptomatic mild regurgitation similar to controls. We found no increased risk of valvular insufficiency in patients treated with Cabergoline. We did not observe any moderate or severe heart valve insufficiency. These results are similar to observations of other recently published studies found no That Increased prevalence of valvular insufficiency. Elenkova et al.,69 compared 334 patients (103 patients treated with cabergoline, bromocriptine 55, 74 with prolactinoma newly diagnosed, and 102 healthy controls matched for age, sex, BMI and hypertension) in which the mitral regurgitation, aortic and tricuspid was equally prevalent in all groups. No participant had moderate or severe valvular insufficiency as in esta investigation. Also, Lefeber et al.,70 compared with cabergoline treated 119 patients for at least 6 months with healthy age-matched controls. They found also no increased risk of heart valve insufficiency in patients receiving cabergoline compared with controls. Only moderate regurgitation in 2.6 % of cases was observed.

Recently, another large study71 cohort study in Denmark nationwide monitoring for a period from January 1994 until March 2010. They published 2,381 analyzed individuals diagnosed first hyperprolactinemia with no history of heart valve disease taken from a database of all hospitals. They were compared with 23,810 healthy people in the overall population without hyperprolactinemia, adjusted for age and sex, taken from the civil registry of Danish citizens. The results were similar to other studies. They found Studied That of the patients, 19 of them (0.80%) valvular with heart disease was diagnosed commitment mainly of the aortic and mitral valves-during the monitoring period of years-17759.8 Compared to 75 people in the overall population (0.31%). followed by 179940.6 years of these hyperprolactinemia with 19 patients developed heart valve disease 10 had been treated with Cabergoline, mean cumulative dose of 521 ± 453 mg. Of the remaining 9 patients, none had received cabergoline. In that study, 8 patients (42%) had mitral insufficiency and 5 (26%) or aortic stenosis insufficiency. In the remaining patients it is not specified what type of valve disorder presented. Most of valvular abnormalities were mild. They close up commercial that their findings do not show a strong association between with cabergoline treatment and valvular disease in Danish patients diagnosed manifests with hyperprolactinemia.

In our study, two cases of mild aortic insufficiency (patient and control) considered clinically significant, There were not differences by gender and cardiovascular risk factors both had. The cumulative dose of cabergoline to the patient that mild aortic regurgitation was found not Differ from the cumulative dose of the other patients. There was no difference between the presence of mitral regurgitation and mild tricuspid between prolactinomas and controls (as defined by clinically irrelevant FDA). Also, Tan et al.,72 compared with prolactinoma 72 patients treated with Cabergoline with 72 subjects, unlike ours, controls were not only adjusted for sex and age but also for cardiovascular risk factors. The average cumulative dose of cabergoline was 126 (58-258) mg; mean treatment duration of 53 (26-96) months, similar to the cumulative and duration of treatment dose of our patients. They found mild mitral regurgitation that was like in both groups (5/72,7%). Nor there were great differences in the presence of mild aortic insufficiency in patients (2/72) vs controls (4/72, p = 0.681). Only one patient treated with mild tricuspid regurgitation had cabergoline.

In our study we found higher prevalence of subclinical cardiac valvular fibrosis in any of the valves. Two studies, published in 2012, which Differ from ours In This respect. Delgado et al.,73 with prolactinoma Analyzed 74 patients treated with dopamine agonists (45 and 29 patient’s cabergoline with other dopamine agonists or surgery) making an initial echocardiogram, repeating two years. They observed a significant increase in the prevalence of valvular calcification and aortic valve thickening predominantly level after two years of follow up, mainly in patients receiving cabergoline. However, these were not changes associated with increased prevalence of valvular insufficiency. These results that should be interpreted considering the study population was small and did not have control group adjusted for age and sex to compare the degree of progression of valvular calcification. Also Elenkova et al.,69 found higher prevalence and high risk of subclinical valvular fibrosis developing Involving 2 or more valves in patients treated with Cabergoline and bromocriptine, Compared to newly diagnosed patients and subjects control. They Also evaluated the predictive value of age, gender, hypertension, the cumulative dose and duration of treatment of dopamine agonists as risk factors for valvular fibrosis they found that age (OR 1.07, 95% CI 1.04-1.10 P ˂0.0001) and hypertension (OR 2.35; 95% CI 1.16- 4.41;. P = 0.018) were the factors associated with increased risk of developing valvular fibrosis It is emphasized esta that finding of subclinical fibrosis was not associated with increased prevalence of valvular insufficiency.

In our study we found no mitral tenting area increased nor abnormal mitral valve thickening, similar to the results of other studies.2,4,6,8 By contrast only a few studies have reported an Increase in mitral tenting area both in patients with Parkinson's disease34,38,43 and in prolactinomas.5,9 Others have reported higher level valvular mitral valve5 and tricuspid7 and two or more valves69 thickening .In our study we found no relationship between cumulative dose of cabergoline and valvular insufficiency, nor with the duration of treatment. This is similar to the studies analyzed in the theoretical framework.2,4–8 We note that, although our study has some methodological differences with these studies, These results are like. The differences are noted below. First, in all studies the sample size was greater than ours. Second, in two studies were controls adjusted for age, sex and cardiovascular risk factors also for.5,7 We note that despite having not adjusted for cardiovascular risk factors, the groups did not differ in this regard. There was only a nonsignificant trend of pathological BMI for patients with prolactinomas. Finally, the average cumulative doses were higher than ours, for the same time period8 greater than or our.2,4–7 Also finding similar to our findings in regard esta.

There are only two studies reporting different results. As it already mentioned previously, Colao et al.,9 reported an Increased risk of valvular insufficiency with a positive correlation between cumulative dose and risk of failure in patients with prolactinomas treated with Cabergoline. Also recently Halperin et al.,74 but found no Increased prevalence of valvular insufficiency in 83 patients hyperprolactinemia compared with individuals with 58 healthy That did note who had 15 patients received higher doses of cabergoline (greater than 180 mg) had a higher prevalence of tricuspid regurgitation (6/15 8/58 40% vs. 12.5%; p = 0.024). However, it was mild, not clinically significant and unrelated to sex, obesity and hypertension there was no relationship between duration of treatment and valvular insufficiency. In contrast, as already mentioned, in Parkinson's disease has been observed that with cumulative doses greater than 3000 mg of high risk of valve failure and subclinical fibrotic changes. But in studies in patients with hyperprolactinemia the highest cumulative doses it has been about 1800 mg. This dose is similar to our maximum dose of 1961 mg; take about another 10 years to reach the dose of cabergoline they have been associated with valvular complications described in studies in Parkinson's disease. While it would lack several years to achieve cumulative doses, patients with prolactinomas may eventually reach it. Often treatment starts at a young age and probably required for long periods of time.

We emphasize that we found a relationship between cumulative dose and mitral valve thickness, Latter remained within, although the standard limits. The patient who received the highest cumulative dose of cabergoline 1961.6 mg for a period of 75.2 months was the mitral valve had a higher thickness. No patients had a cumulative dose between 437 and 1961 mg. in our work. We question if we had patients with cumulative doses between the Indicated doses, whether they greater be related to mitral valve thickness. Kars et al.,7 found a significant tricuspid valve thickening in patients treated with Cabergoline. In Addition, They Reported to mitral valvular thickening achieved borderline significance (p=0.056). Lancellotti et al.,5 Although a correlation reported between mitral valve tenting area with thickening in two patients Treated With Cabergoline moderate mitral regurgitation they had, this did not correlate with the cumulative dose of cabergoline. Halperin et al.,74 also found differences with no significant mitral tenting area and LVEF who had among patients received the highest cumulative doses and controls. We found an inverse relationship between BMI and LVEF. There are jobs that correlation between reported to obesity and left ventricular mass, diastolic and systolic dysfunction and coronary artery disease.75,76 Other studies that have reported myocardial performance index (MPI) which it is useful to Evaluate systolic and diastolic function together is lower in obese patients Significantly compared with healthy controls.77–79 The especially morbid obesity causes a gradual Increase in LV mass, progressive deterioration of systolic function, diastolic dysfunction and a marked.80 Compared to healthy individuals, the morbidly obese generally have abnormal diastolic filling pattern.81 For example Fatih Koç et al.,82 studied 44 obese individuals with metabolic syndrome (MS) and 32 obese subjects without MS, Compared with 21 regular individuals with healthy weight. The left ventricular mass and diastolic parameters were similarly in the two groups of obese, but significantly differed from controls (p <0.05). BMI correlated With LV mass (r = 0.42, p = 0.001). The IPM was like in obese both groups (0.59 ± 0.10) and without (0.59 ± 0.11) metabolic syndrome, but higher than in controls (0.48 ± 0.06, p <0.05). They close up commercial that obesity with and without metabolic syndrome affects IPM VI. Furthermore, this index showed significant association with BMI, abdominal circumference, and LV mass.

Work limitations

There are several Limitations in our work, making interpret the results with caution. First, the low sample number. However, we emphasize that our country has a population of 3.2 million, and the number of patients with prolactinomas is lower than in Countries With larger Populations. Second, there May be risk of selection bias since they were analyzed only patients attending the department of endocrinology and metabolism hospital, tertiary referral center. Third, patients were only adjusted for sex and age, but not to other cardiovascular risk factors. However, there were not Differences between groups in this regard. Finally, echocardiograms were performed by a single cardiologist, who was not blinded to the groups. The limitations do not invalidate our findings discussed. It is a methodologically comprehensive multidisciplinary work, reinforcing the results. To our knowledge, this is the first work on this subject in our country. These data will serve as a starting point for future work and for future follow-up of these patients.

Conclusion

Cabergoline in conventional doses used in patients with prolactinoma is not associated with higher prevalence of clinically significant valvular regurgitation, but mitral valve with greater thickness (though without being abnormal thickening) associated with the cumulative dose. Long prospective studies are needed to investigate whether Cabergoline at various doses and duration of treatment can produce subclinical valvular changes. Also It would be interesting to evaluate whether changes these can be clinically significant long-term.

Acknowledgments

None.

Conflict of interest

The author declares that there are no conflicts of interest.

References

  1. Vargas ML, Cervantes CE, Hernando CA, et al. Cabergoline in hyperprolactinemia and valvular heart disease. Endocrinol Nut. 2009;56(8):412–417.
  2. Herring N, Szmigielski C, Becher H, et al. Valvular heart disease and the use of cabergoline for the treatment of prolactinoma. Clin Endocrinol (OXF). 2009;70(1):104–108.
  3. Valassi E, Klibanski A, Biller BM. Clinical Review#: Potential cardiac effects of dopamine agonists in hyperprolactinemia valve.J Clin Endocrinol Metab. 2010;95(3):1025–1033.
  4. Bogazzi F, S Buralli, Manetti L, et al. Treatment With low doses of cabergoline is not Associated with increased prevalence of cardiac valve regurgitation in patients with hyperprolactinaemia. Int J Clin Pract. 2008;62(12):1864–1869.
  5. Lancellotti P, Livadariu E, Markov M, et al. Cabergoline and the risk of valvular lesions in endocrine disease. Eur J Endocrinol. 2008;159(1):1–5.
  6. Vallette S, Serri K, Rivera J, et al. Long–term cabergoline therapy is not Associated with valvular heart disease in patients with prolactinomas. 2009;12:153–157.
  7. Kars M, Delgado V, Holman ER, et al. Aortic valve calcification and mild tricuspid regurgitation but no clinical heart disease after eight years of dopamine agonist therapy for prolactinoma. J Clin Endocrinol Metab. 2008;93(9):3348–3356.
  8. Wakil A, Rigby AS, Clark AL, et al. Low dose cabergoline for hyperprolactinaemia is not associated With clinically significant valvular heart disease. Eur J Endocrinol. 2008;159(4):R11–R14.
  9. Colao A, Galderisi M, Di Sarno A, et al.  Increased prevalence of tricuspid regurgitation in patients chronically prolactinomas With Treated With Cabergoline. J Clin Endocrinol Metab. 2008;93(10):3777–3784.
  10. Casanueva FF, Molitch ME, Schlechte JA, Abs R, Bonert V, et al. (2006) Guidelines of the Pituitary Society for the diagnosis and management of prolactinomas. Clin Endocrinol (OXF) 65(2): 265–273.
  11. Mancini T, Casanueva FF, Giustina A. Hyperprolactinemia and prolactinomas. Endocrinol Metab Clin North Am. 2008;37(1):67–99.
  12. Melmed S, Casanueva FF, Hoffman AR, et al. Diagnosis and treatment of hyperprolactinemia. an Endocrine Society clinical practice guideline. J Clin Endocrinol Metab. 2011;96(2):273–288.
  13. Daly AF, Rixhon M, Adam C, et al. High prevalence of pituitary adenomas: a cross–sectional study in the province of Liege, Belgium. J Clin Endocrinol Metab. 2006;91(12):4769–4775.
  14. Fernandez A, Karavitaki N, Wass JA. Prevalence of pituitary adenomas: a community–based, cross–sectional study in Banbury (Oxfordshire, UK). Clin Endocrinol (OXF). 2010;72(3):377–382.
  15. Vilar L, Freitas MC, Naves LA, et al. Diagnosis and management of hyperprolactinemia: results of a Brazilian multicenter study With 1234 patients.J Endocrinol Invest. 2008;31:436–444.
  16. Kearns AE, Goff DC, DL Hayden, et al. Risperidone–associated hyperprolactinemia. Endocr Pract. 2000;6(6):425–429.
  17. Molitch ME. Disorders of prolactin secretion. Endocrinol Metab Clin North Am. 2001;30(3):585–610.
  18. March CM, Kletzky OA, Davajan V, et al. Longitudinal evaluation of patients untreated prolactin–secreting pituitary adenomas. Am J Obstet Gynecol. 1981;139(7):835–844.
  19. Schlechte J, K Dolan, Sherman B, ey al. The natural history of untreated hyperprolactinemia. A prospective analysis. J Clin Endocrinol Metab. 1989;68(2):412–418.
  20. Shy KK, McTiernan AM, Daling JR, et al. Oral contraceptive use and the occurrence of pituitary prolactinoma. 1983;249(16):2204–2207.
  21. Wood City, JM Johnston, Johnston DG. Dopamine, the dopamine D2 receptor and pituitary Tumours. Clin Endocrinol (Oxf). 1991;35(6):455–466.
  22. Vallette S, Serri K, Serri O. Cabergoline therapy for prolactinomas: is valvular heart disease a real safety concern? Rev Cardiovasc 2010;8(1):49–54.
  23. Kvernmo T, Hartter S, Burger E. A review of the receptor–binding and pharmacokinetic properties of dopamine agonists. Clin Ther. 2006;28(8):1065–1078.
  24. Jahnichen S, R Horowski, Pertz HH. Agonism at 5–HT2B receptors is not a class effect of the ergolines. Eur J Pharmacol. 2005;513(3):225–228.
  25. Horvath J, Fross RD, Kleiner–Fisman G, et al. Severe multivulvular heart disease. a new complication of the ergot derivative dopamine agonists. Mov Disord. 2004l;19(6):656–662.
  26. Ferrari CI, Abs R, Bevan JS, et al. Treatment of macroprolactinoma With cabergoline: a study of 85 patients. Clin Endocrinol (OXF). 1997;46(4):409–413.
  27. Webster J, Piscitelli G, Polli A, et al. A comparison of cabergoline and bromocriptine in the treatment of amenorrhea hyperprolactinemic. Cabergoline Comparative Study Group. N Engl J Med. 1994;331(14):904–909.
  28. Wang AT, Mullan RJ, Lane MA, et al. Treatment of hyperprolactinemia: a systematic review and meta–analysis. Syst Rev. 2012;1:33.
  29. Verhelst J, Abs R, Maiter D, et al. Cabergoline in the treatment of hyperprolactinemia. a study in 455 patients. J Clin Endocrinol Metab. 1999;84(7):2518–2522.
  30. Molitch ME. The cabergoline–resistant prolactinoma patient: new challenges. J Clin Endocrinol Metab. 2008;93(12):4643–4645.
  31. Webster J. A comparative review of the tolerability profiles of dopamine agonists in the treatment of hyperprolactinaemia and inhibition of lactation. Drug Saf. 1996;14(5):228–238.
  32. Rains CP, Bryson HM, Fitton A . Cabergoline A review of Its pharmacological properties and therapeutic potential in the treatment of hyperprolactinaemia and inhibition of lactation. 1995;49(2):255–279.
  33. Schade R, Andersohn F, Suissa S, et al. Dopamine agonists and the risk of cardiac–valve regurgitation. N Engl J Med. 2007;356(1):29–38.
  34. Zanettini R, Antonini A, Gatto G, et al. Valvular heart disease and the use of dopamine agonists for Parkinson's disease. N Engl J Med. 2007;356(1):39–46.
  35. Flowers CM, Racoosin JA, Lu SL, et al. The US Food and Drug Administration's registry of patients With pergolide–associated heart disease. Mayo Clin Proc. 2003;78(6):730–731.
  36. Ling LH, Ahlskog JE, Munger TM, et al. Constrictive pericarditis and pleuropulmonary disease linked to ergot dopamine agonist therapy (cabergoline) for Parkinson's disease. Mayo Clin Proc. 1999;74(4):371–375.
  37. Kars M, Pereira AM, Bax JJ, et al. Cabergoline and cardiac valve disease in prolactinoma patients. During additional long–term studies are required treatment. Eur J Endocrinol. 2008;159(4):363–367.
  38. Van Camp G, Flamez A, Cosyns B, et al. Treatment of Parkinson's disease With relation to restrictive pergolide and valvular heart disease. 2004;363(9416):1179–1183.
  39. Pinero A Marcos–Alberca P, Fortes J. Cabergoline–related severe restrictive mitral regurgitation. N Engl J Med. 2005;353(18):1976–1977.
  40. Andersohn F, Garbe E. Cardiac and noncardiac fibrotic reactions Caused by ergot–derived dopamine and nonergot–agonists. Mov Disord. 2009;24(1):129–133.
  41. Yamashiro K, Kobayashi M–Komine, Hatano T, et al. The frequency of cardiac valvular regurgitation in Parkinson's disease. Mov Disord. 2008;23(7):935–941.
  42. Yamamoto M, Uesugi T, Nakayama T. Dopamine agonists and cardiac valvulopathy in Parkinson's disease. a case–control study. 2006;67(7):1225–1229.
  43. Kim JY, Chung EJ, Park SW, et al. Valvular heart disease in Parkinson's disease Treated With ergot derivative dopamine agonists. Mov Disord. 2006;21(8):1261–1264.
  44. Antonini A, Poewe W. Fibrotic heart–valve reactions to dopamine–agonist treatment in Parkinson's disease. Lancet Neurol. 2007;6(9):826–829.
  45. Roth BL. Drugs and valvular heart disease. N Engl J Med. 2007;356(1):6–9.
  46. Rothman RB, Baumann MH, Savage JE, et al. Evidence for possible Involvement of 5–HT (2B) receptors in the cardiac valvulopathy Associated With fenfluramine and other serotonergic medications.  2000;102(23):2836–2841.
  47. Redfield MM, Nicholson WJ, Edwards WD, et al. Valve Disease Associated With ergot alkaloid use: echocardiographic and pathologic correlations. Ann Intern Med. 1992;117(1):50–52.
  48. Simula DV, Edwards WD, Tazelaar HD, et al. Surgical pathology of carcinoid heart disease: a study of 139 patients spanning 20 years from 75 valves. Mayo Clin Proc. 2002;77(2):139–147.
  49. Botero M, Fuchs R, Paulus DA, et al. Carcinoid heart disease: a case report and literature review. J Clin Anesth. 2002;14(1):57–63.
  50. Castillo JG, Silvay G, Solis J. Current Concepts in Diagnosis and Perioperative Management of Carcinoid Heart Disease. Semin Vasc Anesth Cardiothorac. 2012;17(3):212–223. 
  51. Santos AR, Stuart B, C Cotrim, et al. [Carcinoid heart – case report]. Rev Port Cardiol. 2012;31(10):661–665.
  52. Palaniswamy C, Frishman WH, Aronow WS. Carcinoid heart disease. Cardiol Rev. 2002;20(4):167–176.
  53. Evora PR, Bassetto S, VS Augusto Vicente WV. Carcinoid heart valve disease: still a puzzle and a challenge. Arq Bras Cardiol. 2011;97(5):e111–e112.
  54. Dumoulein M, Verslype C, van Cutsem E, et al. Carcinoid heart disease. Case and literature review. Acta Cardiol. 2010;65(2):261–264.
  55. Connolly HM, Crary JL, McGoon MD, et al.  Associated With Valvular heart disease fenfluramine–phentermine. N Engl J Med. 1997;337(9):581–588.
  56. Hauck AJ, Edwards WD, Danielson GK, et al. Mitral and aortic valve disease Associated With ergotamine for migraine therapy. Report of two cases and review of literature. Arch Pathol Lab Med. 1990;114(1):62–64.
  57. Bana DS, MacNeal Lecompte PM, Shah Y, et al. Cardiac murmurs and endocardial fibrosis Associated With methysergide therapy. Am Heart J. 1974;88(5):640–655.
  58. KA Misch. Development of heart valve lesions methysergide therapy During. Br Med J. 1974;2(5915):365–366.
  59. Pritchett AM, Morrison JF, Edwards WD, et al. Valvular heart disease in patients taking pergolide. Mayo Clin Proc. 2002;77(12):1280–1286.
  60. Zanettini R, Antonini A, Gatto G, et al. Regression of cardiac valvulopathy related to ergot–derived dopamine agonists.Cardiovasc Ther. 2011;29(6):404–410.
  61. Baseman DG, O'Suilleabhain PE, Reimold SC, et al. Pergolide use in Parkinson disease is Associated With cardiac valve regurgitation.  2004;63(2):301–304.
  62. FDA Health Advisory Pergolide. (Marketed as Permax), 2007.
  63. Nakaoka S, Ishizaki T, Urushihara K, et al. Echocardiography for the detection of valvulopathy associated with the use of ergot–derived dopamine agonists in patients with Parkinson's disease. Intern Med. 2011;50(7):687–694.
  64. Pullan PT. Dopamine agonists, Dopplers and doubt: cabergoline–associated cardiac valvulopathy. Intern Med J. 2009;39(4):213–215.
  65. Bogazzi F, Manetti L, Raffaelli V, et al. Cabergoline therapy and the risk of cardiac valve regurgitation in patients With hyperprolactinemia: a meta–analysis from clinical studies. J Endocrinol Invest. 2008;31(12):1119–1123.
  66. Reid CL, Anton–Culver H, Yunis C, et al. Prevalence and clinical correlates of mitral isolated, isolated aortic regurgitation, and Both in adults aged 21 to 35 years (from the CARDIA study). Am J Cardiol. 2007;99(6):830–834.
  67. Singh JP, Evans JC, Levy D, et al. Prevalence and clinical determinants of mitral, tricuspid, and aortic regurgitation (the Framingham Heart Study). Am J Cardiol. 1999;83(6):897–902.
  68. Choong CY, Abascal VM, Weyman J, et al.  Prevalence of valvular regurgitation by Doppler echocardiography in patients With structurally normal hearts by two–dimensional echocardiography. Am Heart J. 1989;117(3):636–642.
  69. Elenkova A, Shabani R, Kalinov K, et al. Increased prevalence of subclinical cardiac valve fibrosis in patients With prolactinomas on long–term bromocriptine and cabergoline treatment. Eur J Endocrinol. 2012;167(1):17–25.
  70. Lafeber M, Stades AM, Valk GD, et al. Absence of major fibrotic adverse events in patients hyperprolactinemic Treated With Cabergoline. Eur J Endocrinol. 2010;162(4):667–675.
  71. Steffensen C, Maegbaek ML, Laurberg P, et al. Heart valve disease among patients With hyperprolactinemia: a nationwide population–based cohort study. J Clin Endocrinol Metab. 2012;97(5):1629–1634.
  72. Tan T, Cabrita IZ, Hensman D, et al.  Assessment of cardiac valve dysfunction in patients receiving cabergoline treatment for hyperprolactinaemia. Clin Endocrinol (OXF). 2010;73(3):369–374.
  73. Delgado V, Biermasz NR, van Thiel SW, et al. Changes in heart valve structure and function in patients treated with dopamine agonists for prolactinomas, a 2–year follow–up study. Clin Endocrinol (OXF). 2012;77(1):99–105.
  74. Halperin I, Aller J, Varela C, et al.  No clinically significant valvular regurgitation in long–term cabergoline treatment for prolactinoma. Clin Endocrinol (OXF). 2012;77(2):275–280.
  75. Iacobellis G, Ribaudo MC, Zappaterreno A, et al. Adapted Changes in left ventricular structure and function in severe uncomplicated obesity. Obes Res. 2004;12(10):1616–1621.
  76. Chinali M, Simone G, Roman MJ, et al. Impact of obesity on cardiac geometry and function in a population of adolescents. The Strong Heart Study. J Am Coll Cardiol. 2006;47(11):2267–2273.
  77. Dursunoglu D, Evrengul H, Tanriverdi H, et al. Do female patients with metabolic syndrome have masked left ventricular dysfunction?Anadolu Kardiyol Derg. 2005;5(4):283–288.
  78. Andersen NH, SH Poulsen, Helleberg K, et al. Impact of essential hypertension and diabetes mellitus on left ventricular systolic and diastolic performance. Eur J Echocardiogr. 2003;4(4):306–312.
  79. Levent E, D Goksen, Ozyurek AR, et al. Usefulness of the myocardial performance index (MPI) for Assessing ventricular function in obese pediatric patients. Turk J Pediatr. 2005;47(1):34–38.
  80. Alpert MA, Lambert CR, Panayiotou H, et al. Relation of duration of morbid obesity to left ventricular mass, systolic function, and diastolic filling, and effect of weight loss. Am J Cardiol. 1995;76(16):1194–1197.
  81. CS Ku, Lin SL, Wang DJ, et al. Left ventricular filling in normotensive obese young adults.Am J Cardiol. 1994;73(8):613–615.
  82. Koc F, Tokac M, Kaya C, et al. Diastolic functions and myocardial performance index in obese patients With or without metabolic syndrome: a tissue Doppler study. Turk Kardiyol Dern Ars. 2010;38(6):400–404.
Creative Commons Attribution License

©2015 Arrestia, et al. This is an open access article distributed under the terms of the, which permits unrestricted use, distribution, and build upon your work non-commercially.