Research Article Volume 1 Issue 2
1Edinburgh Unit for Forensic Anthropology, University of Edinburgh, Scotland
2Department of Forensic Sciences, University of Crete, Greece
3Department of Epidemiology, University of Crete, Greece
Correspondence: Elena F Kranioti, Edinburgh Unit for Forensic Anthropology, School of History, Classics and Archaeology, The University of Edinburgh, Old Medical School, Teviot Place Edinburgh EH8 9AG, Scotland, UK, Tel 44-0-131-6502368, Fax 44-0-13-650-2378
Received: July 07, 2015 | Published: September 8, 2015
Citation: Kranioti EF, Tzanakis N. Estimation of sex from the upper limb in modern cretans with the aid of roc?analysis: a technical report. Forensic Res Criminol Int J. 2015;1(2):34-38. DOI: 10.15406/frcij.2015.01.00008
Discriminant function analysis is one of the most popular methods employed for grouping specimens according to optimal combination of linear measurements. Many studies have used this method with the objective of producing population specific formulae for sex estimation from different skeletal parts of the skeleton. This study focuses on the long bones of the upper limb using Receiving operation characteristics (ROC) curves. A total of 173 well preserved skeletons of Cretan origin were used. A total of 12 measurements are taken from the bones of the upper limn. The diagnostic value of the single variables was evaluated using the Area Under the Curve (AUC). The cut-off values and the diagnostic characteristics of each variable (Sensitivity, Specificity, Positive and Negative predictive values) are presented. The correlation of normally distributed the variables will be tested with the method Pearson correlation coefficient. The level of statistical significance is set to p<0.05 (a-error). Means, standard deviations and F-ratios for all single dimensions are calculated by performing ANOVA with SPSS 13.0.
All measurements are found statistically significant at the level of 0.0001. The best discriminatory variables was found to be radius length (91.3%) followed by humerus head vertical diameter (90.2%) and ulnar length (89%). Comparison with published standards for mainland Greece reaffirms a scope for developing additional standards for modern Cretans. Traditional methods use discriminant function analysis to study sexual dimorphism. Herein a different approach is proposed. ROC curves, known to be very effective in medical decision making, are employed in the evaluation of several variables as effective markers for sex identification. The method should complement multivariate statistical analyses.
Keywords: sex estimation, upper limb, forensic anthropology, ROC curves, crete, greece
Forensic investigations are conducted following specific protocols developed after decades of intensive training and experience of the forensic professionals. However, standard approaches don’t always meet the need of certain crime or death scenes, especially when highly decomposed or skeletonised cadavers are concerned. Extreme decomposition can destroy key features for the identification process as facial characteristics, fingerprints, eye and hair colour, tattoos, scars etc. Further, the remains can be found disturbed by the effect of animals, environmental conditions, fire, or even as an effort of the perpetrator to prevent positive identification. The corpse however, needs to be identified and the circumstances of death to be safely defined. An important step to precede the investigation is to exclude the largest possible number of missing people, by estimating the sex of the deceased.
In that context many skeletal elements were employed and studied. Pelvis and skull were traditionally considered as the most dimorphic elements of the skeleton; hence many studies on the past are focused on producing sex estimation methods from these bones. Lately, several postcranial elements have proven to be more effective sex predictors than skull.1-2 Special attention was given by several scholars to the sexual dimorphism of the long bones of the upper limb. Some studies dealt with combinations of the three bones3-7 while others focused on each bone separately. Humerus has been studied intensively and standards have been obtained for several different ethnic groups.8-15 Although not as popular as humerus, ulna has been the subject of several osteometric studies;16-23 so as the radius.22,24
The most popular method employed in osteometry is discriminant function analysis which is based on the development of effective discriminant functions for the separation of groups (eg. males from females) achieving high accuracies.7,9,25,26 With this method it can be determined which variables are more useful to separate one group from another and if different sets of variables perform equally well. Discriminant functions address single variables or combinations of them and they base the selection on the F-values. The F-value for a variable indicates its statistical significance in the discrimination between groups, that is, it is a measure of the extent to which a variable makes a unique contribution to the prediction of group membership.26 In most of these studies however no information on the reliability of the predictions is given.
Hence, it is difficult to judge if a specimen falls into the overlapping area or on the extremes when a formula is applied. The purpose of this study is to develop a sex estimation method based on classical osteometric dimensions of the upper limb bones, with the aid of the Receiver Operator Characteristics (ROC) Analysis, a technique basically used so far on medical decision making. The study will be carried out using a sample of modern Greeks from the island of Crete.25,26
The skeletal material for this study was selected from the cemeteries of St. Konstantinos and Pateles, Heraklion, Crete. Further information on this collection can be found elsewhere.25,26 A total of 173 well preserved skeletons of Cretan origin were used. A total of 12 measurements are taken according to Martin & Saller:27 Maximum Humeral Length (HL), Vertical Head Diameter (HVD), Maximum Midshaft Diameter (HMaxMid), Minimum Midshaft Diameter (HminMid), Midshaft Circumference (HmidCirc) and Epicondylar Breadth (HEB) in humerus, Maximum Length (UL), Notch Height (UNH) and Distal Breadth (UDB) in ulna and Maximum Length (RL), Head Diameter (RHD) and Distal Breadth (RDB) in radius.
Receiver operator characteristics (ROC) analysis
ROC analysis is commonly used to evaluate medical tests. Here ROC curves are employed in the evaluation of several variables as effective factors on sex estimation. The hypothesis tested is if a patient (specimen) is male (positive) or not (negative). If both diagnosis (true sex) and test (predicted sex) are positive, the test is called true positive (TP) while if diagnosis is positive and the test is negative is called false positive (FP). Similarly a negative diagnosis with a negative test is called true negative (TN) and a negative diagnosis with a positive test is called false positive (FP). The values described below are used to calculate different measurements of the quality of the test. The sensitivity of a diagnostic test is the proportion of specimens for whom the outcome is positive that are correctly identified by the test. The specificity is the proportion of specimens for whom the outcome is negative that are correctly identified by the test. Predictive value of a positive test is defined as: PVP= TP/(TP+FP). Similarly the predictive value of a negative test is defined as: PVN=TN/(TN+FN).
The diagnostic value of the single variables was evaluated using the UAC. The ROC curve is obtained by calculating sensitivity and specificity, and then plotting the true positive probability (sensitivity) on the vertical axis and the false positive probability (1-specificity) on the horizontal axis for the entire range of cut-off points. The larger the area under the curve is the better discriminant performance has the test. A straight line from the bottom left corner to the top right corner indicates that the test has equal true positive and false positive values for all cut-off points which automatically make it useless for discrimination.28 The correlation of normally distributed the variables was tested with the method Pearson correlation coefficient. The level of statistical significance is set to p<0.05 (a-error). Means, standard deviations and F-ratios for all single dimensions as well as he cut-off values and the diagnostic characteristics of each variable (Sensitivity, Specificity, Positive and Negative predictive values) were calculated with MedCalc.
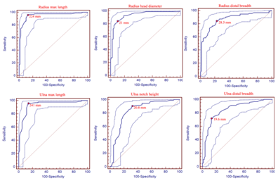
Descriptive statistics of humeral, radial and ulnar measurements and associated univariate F-ratio to measure the differences between the sexes are shown in Table 1. The differences between the means in males and females are significant (p<0.0001) for all variables. The results of the ROC analysis are shown in Table 2. Sensitivity, Specificity, Positive and Negative predictive values, AUC as well as the cut-off values for each measurement are presented. All measurements are found statistically significant at the level of 0.0001. According to the results each value equal or greater than the cut-off value for each measurement classifies the specimen as male while in the opposite case as a female. For instance an individual with radial length of 226mm will be assigned as a male. Figure 1 illustrates the ROC curves and the cut-off values for all humeral measurements and Figure 2 for radial and ulnar measurements. For UL the cut-off value is set in 241mm with Se=0.96, Sp=0.86 and AUC=0.935. The best discriminatory variables was found to be RL (91.3%) followed by HVD (90.2%) and UL (89%). UNH, UDB and HMaxMid did not performed well with less than 80% of correct group assignment.
Males |
Females |
||||||
N |
Mean |
SD |
N |
Mean |
SD |
aF-ratio |
|
HML |
94 |
321.34 |
14.47 |
79 |
294.18 |
13.7 |
158.73 |
HVD |
94 |
46.39 |
2.49 |
79 |
41.12 |
2.34 |
203.69 |
HMaxMid |
94 |
22.51 |
1.66 |
79 |
20.16 |
1.63 |
88.04 |
HMinMid |
94 |
18.43 |
1.57 |
79 |
15.75 |
1.52 |
128.74 |
HMidCirc |
94 |
65.89 |
4.86 |
79 |
58.3 |
4.72 |
107.6 |
HBB |
94 |
61.7 |
3.85 |
79 |
54.13 |
3.7 |
171.91 |
RL |
94 |
238.38 |
11.43 |
79 |
213.22 |
10.74 |
219.92 |
RHD |
94 |
22.74 |
1.63 |
79 |
19.86 |
1.17 |
172.34 |
RDB |
94 |
30.3 |
2.72 |
79 |
26.58 |
3.09 |
70.9 |
UL |
93 |
258.4 |
19.52 |
78 |
231.85 |
10.87 |
114.49 |
UNH |
93 |
23.41 |
2.29 |
78 |
20.72 |
2.46 |
54.55 |
HDB |
92 |
20.85 |
2.57 |
77 |
18.39 |
1.72 |
51.1 |
Table 1 Descriptive statistics, means, standard deviations and f ratios for humeral, ulnar and radial measurements.
ROC analysis comes from statistical decision theory,29 and was first used in the 1950's in an effort to investigate radio signals contaminated by noise. More recently it was introduced in medical decision-making as a tool to evaluate the quality of diagnostic tests. ROC analysis relies heavily on notations as sensitivity and specificity (values depending on the specific data set) and allows the calculation of predictive values for each specimen. The method contemplates the performance of a particular diagnostic measure (eg. metric variable/measurement) across the entire range of data points rather than just a single cut-off value.30 It has been used to investigate forensic problems as the ability of experts and non-experts to differentiate between adult and child human bite marks31 or for comparison between different methods.32 Traditional osteometric studies mainly use discriminant function analysis for the study of sexual dimorphism; yet, there are a few studies that utilised ROC curves.33 Herein ROC curves are employed in the evaluation of several measurements on the long bones of the upper extremity as effective markers for sex identification.
According to our data, single dimensions of the upper limb bones are very good indicators of sex. More specifically radial length (91%) is the most discriminatory variable for the upper limb measurements, followed by head vertical diameter of the humerus (90%) and ulnar length (89%). Vertical head diameter of the humerus was found to be very discriminatory for sex identification in a study on the same population that employed discriminant function analysis.25 Classification accuracy was similar (89.9%) and cut-off value was slightly higher (43.8mm vs 43.3mm) compared to the current study. However these differences could be attributed to the different sample size (N=168 in the DFA study vs. N=173 in the ROC study). Charisi et al.7 studied sexual dimorphism of the upper limb in a modern sample from Athens and gave 18 univariate formulae (F13-F30) for both left and right bones with classification accuracy from 78.5 to 94.6%. We calculated the cut-off point for 8 formulae developed for the left bones (F13-F16, F19-F21 and F25, F27) and tested these formulae for our sample. In a first glance F25 for the left ulna is presented as: F25=1.90764* Left ulna maximum length-46.7365.
According to this formula the sectioning point would be SP=46.7365/1.90764=24.49mm. This value is obviously wrong since the maximum length of ulna ranged between 206 and 289mm (Table 3).7 We assumed this is due to a typo in the coefficient (1.90764 instead of 0.190764). Correcting the equation would result in a threshold value of 244.9 mm which is an acceptable value. Table 3 illustrates the classification accuracy for the original study and our sample using the reported cut-off values. As expected in all cases the classification accuracy in our sample is lower (ranging from 1-24%). Some formulae resulted in high misclassification of the females (e.g. F27, F21) while in one case males showed higher misclassification rates (F21). It is worth noting that UDB gave the poorest results for females classifying correctly only one case (1.3%) while the cut-off value reported by the authors7 was 3.8 mm lower compared to our study (Table 2 & Table 3). This most probably represents a sampling effect rather than population differences between Cretans and mainland Greeks as for several other formulae (eg. F13, F14) the accuracy rates are reasonably close. Nevertheless, it is evident that the published standards for modern Greeks are not always representative of the Cretan population. If for example F27 is used in a case of unidentified heavily decomposed and/or fragmented remains in Crete the chances are that the remains will be assigned to a male individual due to the high percentage of misclassification for the females. This in fact reinforces the need for different standards that can result in more accurate and reliable sex estimation for casework in the island of Crete.
Cut-Off value |
Se |
Sp |
*AUC |
PV |
Males |
Females |
Total |
||
(+) |
(-) |
% |
% |
% |
|||||
HL |
309 |
0.8 |
0.9 |
0.922 |
0.9 |
0.79 |
81.91 |
86.08 |
83.82 |
HVD |
43.3 |
0.9 |
0.89 |
0.929 |
0.91 |
0.91 |
92.55 |
87.34 |
90.17 |
HMaxMid |
21.2 |
0.77 |
0.8 |
0.851 |
0.82 |
0.74 |
78.72 |
77.22 |
78.03 |
HMinMid |
17.1 |
0.8 |
0.86 |
0.885 |
0.87 |
0.78 |
80.85 |
82.28 |
81.5 |
HMidCirc |
60 |
0.85 |
0.77 |
0.876 |
0.82 |
0.81 |
92.55 |
68.35 |
81.5 |
HBB |
57.1 |
0.9 |
0.84 |
0.928 |
0.88 |
0.87 |
89.36 |
82.28 |
86.13 |
RL |
224 |
0.96 |
0.87 |
0.952 |
0.9 |
0.95 |
96.81 |
84.81 |
91.33 |
RHD |
21 |
0.84 |
0.9 |
0.933 |
0.91 |
0.83 |
86.17 |
86.08 |
86.13 |
RDB |
28.5 |
0.84 |
0.77 |
0.87 |
0.81 |
0.8 |
85.11 |
74.68 |
80.35 |
UL |
241 |
0.96 |
0.86 |
0.935 |
0.89 |
0.94 |
95.7 |
83.33 |
89.02 |
UNH |
20.8 |
0.9 |
0.68 |
0.833 |
0.77 |
0.86 |
91.4 |
60.26 |
76.3 |
UBD |
19.6 |
0.72 |
0.87 |
0.846 |
0.87 |
0.72 |
72.04 |
84.62 |
76.88 |
Table 2 Results of the ROC analysis for all measurements: sensitivity, specificity, AUC, positive and negative predictive values, cut-off values and classification accuracy are presented.
*p<0.0001.
Males |
Females |
||||||
Cut Off |
N |
% |
N |
% |
Total |
||
F13 |
308 |
85.3 |
Charisi et al.7 |
||||
81/94 |
86.2 |
65/79 |
82.3 |
84.4 |
Present study |
||
F14 |
43.9 |
89.9 |
Charisi et al.7 |
||||
84/94 |
89.4 |
71/79 |
89.9 |
89.6 |
Present study |
||
F15 |
56.6 |
92 |
Charisi et al.7 |
||||
86/94 |
91.5 |
63/79 |
79.7 |
86.1 |
Present study |
||
F19 |
221.9 |
89.4 |
Charisi et al.7 |
||||
91/94 |
96.8 |
62/79 |
78.5 |
88.4 |
Present study |
||
F20 |
20.3 |
94.6 |
Charisi et al.7 |
||||
90/94 |
95.7 |
55/79 |
69.6 |
83.8 |
Present study |
||
F21 |
30.2 |
86.7 |
Charisi et al.7 |
||||
55/94 |
59.6 |
75/79 |
94.9 |
75.7 |
Present study |
||
F25 |
244.9 |
89.5 |
Charisi et al.7 |
||||
86/93 |
91.4 |
68/78 |
87.2 |
89.5 |
Present study |
||
F27 |
15.8 |
78.5 |
Charisi et al.7 |
||||
92/92 |
100 |
1/77 |
1.3 |
55 |
Present study |
Table 3 Comparison of classification accuracy reported by Charisi et al.,7 and the results on our sample using their cut-off values.
Formulae reported by Charisi et al.,7 for Left Humerus Length (F13); Humerus Head Vertical Diameter (F14); Humerus Epicondylar Width (F15); Radius Maximum Length (F19); Radius Proximal Width (F20); Radius Distal Width (F21); Ulna Maximum Length (F25); Ulna Distal Width (F27).
ROC analysis has proven to be an efficient method for creating cut-off standards for single measurements on three bones (Humerus, Radius and Ulna) as it has been suggested by other studies.34 An important disadvantage of the method is the fact that it can only be used for single measurements while other methods such as discriminant function analysis and logistic regression allow the development of multivariate discriminant functions. A comparison between ROC and other methods exceeds the purpose of this paper however it could be attempted in a future work employing a sample with no missing data. We recommend the use of ROC analysis as complementary method to other more powerful statistical tools that allow multivariate discriminant analyses.
The aim of this work is to provide criteria for sex estimation from measurements of the long bones of the upper limn, with the aid of the Receiver Operator Characteristics (ROC) Analysis, a technique basically used so far on medical decision making. The results of this study indicate that ROC-analysis is an efficient method to study metric sex differences on the long bones of the upper limb. From forensic standpoint the standards that are produced here can be useful for sex identification in forensic cases that unidentified skeletal remains of the upper extremity are recovered. It must be stressed though that the method cannot be used for multivariate analysis thus it is recommended to be used in combination with other statistical methods for achieving optimal results.
The authors would like to thank the District Attorney of Heraklion and Mr. C. Kavalos, Director of Cemeteries, Crete, for their permission to study the remains; Mr. K. Maragakis for the demographic and archival information; Messrs S. Kougios and A. Katsounas, autopsy technicians of the Department of Forensic Sciences, University of Crete, for their contribution to cleaning, preserving and preparing the skeletons for analysis; and Mrs A. Rosakis for secretarial assistance. EK is grateful to Dr. A. Papadomanolakis, Head of the Forensic Department of the Ministry of Justice in Crete for providing facilities for the study and storage of the Cretan collection.
©2015 Kranioti, et al. This is an open access article distributed under the terms of the, which permits unrestricted use, distribution, and build upon your work non-commercially.