Submit manuscript...
eISSN: 2577-8307

Forestry Research and Engineering: International Journal

Research Article Volume 6 Issue 1

Effect of collection period on oleoresin yield of Pinus merkusii

Ganis Lukmandaru, Syaiful Amri, Sigit Sunarta, Tomy Listyanto, Rini Pujiarti, Ragil Ragil Widyorini

Department of Forest Products Technology, Universitas Gadjah Mada, Indonesia

Correspondence: Ganis Lukmandaru, Department of Forest Products Technology, Faculty of Forestry, Universitas Gadjah Mada, Jl. Agro No.1, Bulaksumur, Sleman 55281, Indonesia

Received: March 19, 2024 | Published: April 11, 2024

Citation: Lukmandaru G, Amri S, Sunarta S, et al. Effect of collection period on oleoresin yield of Pinus merkusii. Forest Res Eng Int J. 2024;6(1):19-24. DOI: 10.15406/freij.2024.06.00112

Download PDF

Abstract

Pinus merkusii is one of the most important timber species in Indonesia, the main product of which is its oleoresin. The objective of this study was to examine the effects of collection period (three periods, with 6-day observation each) on oleoresin yield in relation to two factors: growth sites of Pinus merkusii, which in the case of this study were East Banyumas, West Banyumas, and West Pekalongan Forest Management Units, and use of stimulants (sulfuric acid and ethephon mixtures, ETRAT, SR4, and no treatment). The average total oleoresin yield from a single tree or wound during the 18-day observation period was 110-185 g/tree for untreated trees and 159-442 g/tree for stimulant-treated trees. By analysis of variance, the interaction between each collection period (6-day observation period) and tree growing sites showed that the maximum average oleoresin yield for one hole was 109.32 g/tree measured in East Banyumas in the first collection period. Furthermore, the East Banyumas site consistently showed significantly the highest yield in each period. The interaction between the factors of stimulant and collection period (6-day observation) resulted in the highest average oleoresin yield (121.86 g/tree) measured for trees treated with sulfuric acid (20%) and Ethephon (2%) mixtures in aqueous solution (v/v) treatment in the first collecting period. In West Pekalongan, the resin yield from trees treated with different treatments tended to be positively related to tree diameter. In addition, a positive correlation was found between resin yield and tree height or crown closure, while a negative correlation was found between resin yield and site elevation in trees treated with certain stimulants.

Keywords: site effect, ethylene, quarre, resin production, tree diameter

Introduction

Pinus merkusii is one of the few conifers that is widely cultivated in Indonesia. It covers about half a million hectares of area, mostly in the islands of Sumatra and Java.1 Pinus merkusii stands are mostly managed by the state-owned company, Perum Perhutani. Besides timber construction, furniture and paper making purposes, the main product of Pinus merkusii is oleoresin. Through steam distillation process, it produces rosin and turpentine, which are sources of terpenes for the chemical and pharmaceutical industries.

In practice, oleoresin is obtained by local people living around the forests by tapping (bark chipping method) the trunk of trees up to 15 years old. Generally, the re-wound is 4-6 days and is done from the bottom to the top. Various methods of increasing oleoresin yield have been considered, including the use of stimulant pastes containing active components such as sulfuric acid and an ethylene precursor.2,3 The application of stimulating agents, mostly based on sulfuric acid, has been approached to increase resin yield. Although it would cause damage to the trees, sulfuric acid in a high concentration has been utilized by traditional tappers.4–6

Some studies have been conducted to explore the effect of stimulants on oleoresin yield of Pinus merkusii trees.7–10 However, the study regarding the effect of site and tapping period remains limited. Besides site and stimulant factors, tree characteristics have been reported to be related to the resin yield.2,11–13

This study is the part of previous works to explore the effect of site with different altitudes in relation to stimulant treatments.6,14,15 In this study, the effect of collection period on resin yield was evaluated. Moreover, the relationship between resin yield and tree characteristics had also been discussed. It is expected that the results would support the management of resin tapping forests in response to the high demand of gum rosin and turpentine in the international market.

Material and methods

Oleoresin samples were collected from three different sampling sites divided into three altitudinal clines, i.e., West Banyumas Forest Management Unit (FMU) or ‘Kesatuan Pemangkuan Hutan’ (KPH) (326 m asl), East Banyumas FMU (797 m asl), and West Pekalongan FMU (1150 m asl).15 At each site, tree diameter at breast height, tree height, crown closure, and site elevation were measured. Site temperature and relative humidity were measured daily, while annual rainfall data were obtained from the local stations. The trees were previously tapped. The experiments were conducted in November 2015. The sites and tree descriptions are presented in Table 1.

Forest Management Unit (KPH)

West Banyumas 

East Banyumas 

West Pekalongan

Altitude (m asl)

326

797

1150

Annual rainfall (mm/year)

3500

2157

216

Tree diameter (cm)

20.3-84.6

54.4-65.9

22.6-42.0

Tree height (m)

25-35

44-49

26-37

Tree age (years)

36-40

31-35

26-30

Crown closure (%)

20-75

60-90

40-75

Site elevation (%)

29-40

(-2) - 21

13-35

Spacing

3x2

3x2

3x2

Temperature (C0)

24-27

23-28

18-24

Relative humidity (%)

78-97

46-99

60-86

Compartment (number)

62A

58D

42C

RPH (Forest Management Resort)

Lumbir

Pandanarum

Dukuh Tengah

BKPH (Part of Forest Management Unit)

Lumbir

Karangkobar

Bumijawa

Soil type

Latosol/vulcanic

mediteran

latosol

Table 1 Sites and trees description of Pinus merkusii stand

Stimulant preparation

SR4 (unknown concentration of sulfuric acid as active compound) and ETRAT solutions (unknown concentration of ethylene and citric acid as active compounds) were provided by Perum Perhutani while sulfuric acid (H2SO4, technical grade) was purchased commercially (MKR Chemicals, 98% concentration). Ethephon solution containing ethylene substance was produced by PT Indobiotech Agro (concentration 10 mg/100 ml). The mixture of sulfuric acid and ethephon based on a certain ratio (v/v) with dilution of distilled water. The mixture in aqueous solution was prepared in two concentrations: sulfuric acid 20%-ethephon 1% (SAEt1) and sulfuric acid 20%-ethephon 2% (SAEt2). SR4 and ETRAT were also tested as the positive controls, and no stimulant spray was used as a negative control.

Resin tapping and stimulant treatments

Tapping was performed by bark chipping (quarre) method. The tapping wound was 2 cm (depth), 6 cm (width), 20 cm (height) and was made by a tapping knife (kedukul) from the bottom of the pine trunk gradually upwards. After that, a plastic container was installed on the part of the bottom of the tapping wound. A stimulant was sprayed on the wound 3 times (about 2 ml) with a plastic sprayer. This spraying was done 5 minutes after the tapping wound was made. The wound was covered with plastic to prevent rainwater from entering in the container (Figure 1). The collected oleoresin was weighed daily for the next day before 11 a.m. every day during the first 6-day period and replaced with a new container for another more 6 days for the second 6-day period, followed by the third 6-day period, for a total observation of 18 days (total oleoresin yield). Stimulant re-spraying was conducted for each period. The untreated control trees were not sprayed. Each treatment in the plot was replicated for 20 trees, giving a total of 300 trees for observation.

Figure 1 Pinus merkusi tapiing by bark chipping method (quarre).

Data analysis

The results of pine oleoresin production were assigned to a completely randomized experimental design. The effect of these factors was calculated by one-way analysis of variance (ANOVA). Duncan's new multiple range test was used for post-hoc testing. The relationship between oleoresin production and tree variables was analyzed with Pearson correlation. All calculations were performed with SPSS 10.0 (Windows).

Results and discussion

Interaction between the factors

The average total oleoresin yield of a single tree or tapping wound observed for 18 days was 110-185 g/tree for untreated trees and 159-442 g/tree for treated trees, respectively. Based on the collection period, the average oleoresin yield 32-64 g/tree (equivalent to 5.3-10.6 g/day/tree) for untreated trees and 39-164 g/day/tree (equivalent to 6.5-27.3 g/day/tree) for treated trees. Previously, using the bark chipping method, oleoresin yield from untreated P. merkusii trees ranged from 1.0 to 5.7 g/hole/tree/day4 and and from 4.15 to 8.90 g/tree/day.6 Furthermore, the value was 12-21 g/hole/tree/day by borehole method.1 ANOVA (Table 2) showed that there was no significant interaction between the three factors. However, significant interactions were found in the combination of two factors.

Source

Type III Sum of Squares

df

Mean Square

F

Sig.

Corrected Model

1019458.942a

44

23169.521

13,057

0.01

Intercept

5120043.597

1

5120043.6

2885.459

0.01

Stimulants (A)

404139.567

4

101034.89

56.939

0.01<**

Sites (B)

236974.,611

2

118487.31

66.775

0.01<**

Tapping period (C)

70208.949

2

35104.474

19.784

0.01<**

A × B

176190.425

8

22023.803

12.412

0.01<**

A × C

34273.73

8

4284.216

2.414

0.014*

B × C

71949.831

4

17987.458

10.137

0.01<**

A × B × C

25721.829

16

1607.614

0.906

0.562ns

Error

1517137.025

855

1774.429

Total

7656639.564

900

Corrected Total

2536595.967

899

 

 

 

Table 2 Factorial analysis of variance results for oleoresin yield from three different sites
Remarks: * = significant at 5% level, ** = significant at 1% level, ns = non-significant.

The interaction pattern between site and collection period factors (for each 6-day observation) is presented in Figure 2. The maximum average oleoresin yield for one hole was 109.32 g/tree, measured in East Banyumas during the first collection period, while the lowest value was 47.34 g/tree, measured in West Banyumas during the third collection period. Different patterns were observed in the three different sites. West Banyumas had significantly more yield in the first period than in other periods, whereas such pattern was not observed in West Pekalongan. East Banyumas had significantly less yield in the second period compared to other periods. In terms of site differences, East Banyumas consistently had significantly highest yield in each period. West Pekalongan produced significantly higher yield than West Banyumas in the second and third periods, but the reverse pattern was observed in the first period.

Figure 2 Oleoresin yield and collecting period (6-day observation) of Pinus merkusii trees. Mean of 20 trees, with the standard deviation error bar. The same letters are not significantly different at p<5% by Duncan’s test.

The interaction pattern between site and stimulant factors for the 18-day observation was presented in Figure 3. Without any treatments, East Banyumas produced the highest total oleoresin yield (185.61 g/tree) among the three sites. The lowest (110.29 g/tree) was observed from untreated trees in West Pekalongan. It is assumed that a site with a low rainfall rate will induce more resin canal formation to yield more resin.16 However, the average yield between trees in West Banyumas, the site with the highest rainfall and lowest elevation, and in West Pekalongan, the site with the lowest rainfall and highest elevation, did not show a significant difference.

Figure 3 Total oleoresin yield and stimulant treatments of Pinus merkusii trees. Mean of 20 trees, with the standard deviation error bar. The same letters are not significantly different at p<5% by Duncan’s test.

The growth site factor significantly affected trees with SAET2, SAEt1, and SR4 treatments and unstimulated trees. Based on Duncan’s multiple range test (Figure 3), East Banyumas showed the significantly highest values with SAEt1 (315.80 g/tree) and SR4 (442.75 g/tree) stimulant treatments, while West Banyumas showed the lowest values with SAEt2 (227.53 g/tree) and SAEt1 (204.00 g/tree) stimulant treatments. No significant interaction of growth site with ETRAT stimulant was observed. In a previous similar study, but with Pinus roxburghii trees, in India, the maximum resin ducts were measured in trees growing at sites between 1500 m and 2000 m elevation and the minimum resin ducts were measured in trees growing at sites up to 800 m elevation.17 Another paper reported that the highest resin flow in Pinus ponderosa trees in Arizona occurred when water stress was the highest and photosynthesis was low.18 This finding suggests that factors other than precipitation and elevation may trigger and control oleoresin production.

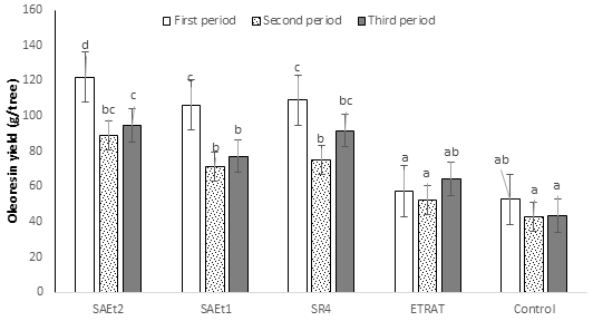
The interaction pattern between stimulant and collection period (6-day observation) factors is presented in Figure 4. The highest average oleoresin yield (121.86 g/tree) was measured from SAET2 treated trees in the first period and the lowest (42.68 g/tree) was measured from unstimulated trees in the second period. Resin yields in the second and third collection periods were not significanlty different among trees treated with different stimulants, whereas no significant yield differences were found between ETRAT-treated and control trees in all three collection periods. Treatments with SAEt2, SAEt1, and SR4 stimulants in the first collection period resulted in higher resin yield compared to the second period. Furthermore, the first collection period significantly gave the highest yield with SAEt2 and SAEt1 stimulant treatments.

Figure 4 Oleoresin yield and stimulant treatments of Pinus merkusii trees. Mean of 20 trees, with the standard deviation error bar. The same letters are not significantly different at p<5% by Duncan’s test.

The efficacy of sulfuric acid and ethephon mixtures on Pinus merkusii at different sites has been discussed in the previous reports.6,15 Technically, Ethephon leads to schizolysigenic formation of gum cavities in the axial parenchyma of sapwood without adversely affecting tree health.19 The efficacy of Ethephon has been observed in Pinus roxburghii20 and Pinus brutia.21 The SAEt2 treatment consisted of 20% sulfuric acid and 2% Ethephon, while the SR4 treatment contained mainly sulfuric acid. The SAEt2 treatment showed the highest efficacy to produce resin in the first collection period and the highest yield in West Banyumas and West Pekalongan. Comparison between SAEt2 treatment and SAEt1 treatment (lower Ethephon content) revealed that the former produced significantly more oleoresin in West Banyumas and West Pekalongan sites, but the production was not statistically different with that in East Banyumas site. Therefore, the results showed a site-dependent synergistic effect of combined sulfuric acid and Ethephon on oleoresin yield.

Aqueous sulfuric acid solution could be used to produce optimum yield and better-quality oleoresin with less damage to the tree. A significant increase of resin was also observed in trees treated with SR4 treatment in East Banyumas. However, the use of high concentration of sulfuric acid should be carefully considered as it would damage the trees. The ETRAT treatment, which contained citric acid and low concentration of sulfuric acid, resulted in an increase in resin yield of trees in West Banyumas and the dose administered was lower compared to other stimulants. In the long term, decreasing the amount of sulfuric acid in the SAEt1 and SAEt2 stimulants as a replacement for SR4 is projected to be an eco-friendly method to protect trees from harm and increase the income of local workers due to high productivity.

Regarding the collection period, the SAET1, SAEt2, and SR4 treatments increased the resin yield of the trees in all collection periods compared to control trees. A huge increase was observed especially in the first collection period. However, the reasons for the efficacy in the first period are not fully understood. It could be related to the redistribution of oleoresin and storage components due to the direct injection of Ethephon or paraquat between the collection periods.22 Further studies can test this hypothesis and investigate other related factors.

Correlation between oleoresin yield and tree factors

To achieve maximum resin yield, it is necessary to understand the variations and correlations between total oleoresin yield and tree variables need to be understood. Correlation coefficient values based on site factor is presented in Table 3. For unstimulated trees, correlations between total oleoresin yield and tree variables (tree diameter and crown closure) were observed only in West Pekalongan site. In West Banyumas site, only one significant correlation was observed, i.e. the correlation of oleoresin yield with tree diameter for trees treated with SAEt2 treatment (r=0.48*). A different trend was measured in East Banyumas, i.e. a significant correlation between oleoresin yield and tree height (r=0.56*). On the contrary, several significant correlations were observed in West Pekalongan site. In particular, except for SAEt2 treatment, the variation of oleoresin yield tended to be positively related to tree diameter. In the same site, a positive relation was found between resin yield and tree height for trees treated with ETRAT treatment (r=0.66**), while a negative relation was found between resin yield and site elevation for trees with SAEt1 treatment (r=-0.53*). For the crown closure, positive relations were found for trees treated with SR4 and ETRAT treatments and for unstimulated trees.

The highest degree of correlation was observed between oleoresin yield and tree diameter for trees treated with ETRAT stimulation (r=0.74**). The relation is presented as a third degree polynomial model (Figure 5). A similar pattern was also observed by Lukmandaru et al. for P. merkusii from two different sites.6 A positive relation trend in linear model was previously reported for P. merkusii (aged 15-24 years).5 A similar trend has also been published for P. Roxburghii20 and for Pinus brutia.21 It indicates that thicker trees had higher oleoresin yield in certain sites and treatments. A larger diameter is assumed to have a stronger channel differentiation response2 and to contain more sapwood23, where the resin is produced and stored. Previously, the effect of the auxin 2,4-D stimulant on P. elliottii was found only in small diameter trees in the first season of oleoresin production.2 In this experiment, however, the cause for the relation between oleoresin yield and tree diameter, which was mostly found in the West Pekalongan site, is still uncertain. It is thought that the differences on tree age and tree diameter range among sites (Table 3) would affect the results.

Figure 5 Scatterplots between total oleoresin yield and tree diameter at the breast height for ETRAT stimulant in West Pekalongan site.

Sites

Tree diameter

Tree height

Crown closure

Site elevation

West Banyumas

 

 

 

 

SAEt2

0.48*

0.33

0.43

0.05

SAEt1

0.05

0.42

0.38

0.18

SR4

0.2

0.21

0.17

-0.08

ETRAT

0.09

-0.07

0.14

-0.09

Control

0.06

0.09

0.26

-0.39

East Banyumas

SAEt2

0.03

0.56*

0.4

-0.38

SAEt1

0.11

-0.33

0.01

0.14

SR4

0.22

0.25

0.16

-0.01

ETRAT

0.12

0.07

-0.01

0.05

Control

0.01

0.17

0.3

-0.15

West Pekalongan

SAEt2

-0.19

-0.2

-0.06

0.02

SAEt1

0.68**

0.02

0.38

-0.53*

SR4

0.51*

0.04

0.48*

0.03

ETRAT

0.74**

0.66**

0.62**

-0.01

Control

0.56**

0.32

0.65**

0.19

Table 3 Pearson correlation coefficients between oleoresin yield with tree factors
Remarks: * = siginificant at 5 % level, ** = siginificant at 1 % level

Tree diameter and crown size, tapping method, and length of tapping season can alll affect yields.23 Oleoresin yields from slash pine vary with temperature, rainfall, tree diameter, tree crown size, genetic provenance, length, and tapping method.24 The variation in resin yield tended to be positively related to tree height and crown closure in some treatments (Table 2). Taller trees with greater crown closure influence light distribution to produce temperature and humidity favorable for photosynthetic processes. A similar pattern was observed by Lukmandaru et al.14 in Pinus merkusii treated with certain stimulants in a particular site. Furthermore, Tadesse et al.11 found that resin yield was positively correlated with tree height and crown diameter in Pinus pinaster, and Liu et al.12 found positive correlations between resin yield and tree height, crown width, and crown depth in di Pinus massoniana. The positive correlation between total oleoresin yield and tree height or crown closure in pine trees treated with ETRAT stimulant is shown in Figure 6, 7. On the contrary, only a single negative correlation was observed between resin yield and site elevation. The correlation implies that an elevated site would produce less sapwood. This is consistent with Sukarno et al.,1 who found that oleoresin yield of Pinus merkusii was negatively correlated with site elevation (r = -0.95).

Figure 6 Scatterplots between total oleoresin yield and tree height for ETRAT stimulant in West Pekalongan site.

Figure 7 Scatterplots between total oleoresin yield and crown closure for ETRAT stimulant in West Pekalongan site.

Conclusion

The interaction between collection period and sites, and between collection period and stimulating agents significantly affected the oleoresin yield. The first collection period had significantly more yield than other periods for West Banyumas, whereas no effect was observed for West Pekalongan. Furthermore, East Banyumas consistently showed significantly the highest yield for each period. In terms of stimulating agents, SAEt2 treatments (in the first collection period) resulted in a comparatively high oleoresin production. Total oleoresin yield mostly showed positive significant correlation coefficient with tree diameter and crown closure in West Pekalongan site. The highest degree of correlation was found between oleoresin yield and tree diameter for ETRAT stimulation treatment, while the highest degree of correlation between oleoresin yield and crown closure was found for untreated/control trees.

Acknowledgments

The authors are grateful to student enumerators for their support with data collection and the Administrators (West Pekalongan, East Banyumas, and West Banyumas) of the Perhutani Enterprise for kindly providing observation sites.

Conflicts of interest

The authors declare that there are no conflicts of interest.

Funding

This study was funded by PMDSU Grant 2018 (Ministry of Research-Technology and Higher Education of the Republic of Indonesia) and the Regional Division Unit I Perhutani.

References

  1. Sukarno A, Hardiyanto EB, Marsoem SN, et al. Oleoresin production, turpentine yield and components of Pinus merkusii from variousindonesian provenances. Journal of Tropical Forest Science. 2015;27(1):136–141.
  2. Rodrigues KCS, Azevedo PCN, Sobreiro LE, et al. Oleoresin yield of Pinus elliottii plantations in a subtropical climate: Effect of tree diameter, wound shape and concentration of active adjuvants in resin stimulating paste. Industrial and Crops Products. 2008;27(3):322–327.
  3. Pio CA, Valente AA. Atmospheric fluxes and concentrations of monoterpenes in resin-tapped pine forests. Atmospheric En­vironment. 1998;32(4):683–691.
  4. Sumantri I, Endom W. Resin tapping on Pinus merkusii using various tapping patterns and stimulant concentration levels. Jurnal Penelitian Hasil Hutan. 1989;6(3):152–159.
  5. Sudradjat R, Setyawan D, Sumadiwangsa S. The effect of pine trees (Pinus merkusii Jungh. et de Vries) diameter, ages, and dosages of stimulant on the productivity of their exudates. Jurnal Penelitian Hasil Hutan. 2002;20(2):143–158.
  6. Lukmandaru G, Sunarta S, Listyanto T, et al. Evaluation on Ethephon stimulant to Pinus merkusii tapping. Jurnal Ilmu dan Teknologi Kayu Tropis. 2018;16(2):194–206.
  7. Sukadaryati, Dulsalam. The techniques of tapping pine to enhance its gum production using biostimulant agents. Jurnal Penelitian Hasil Hutan. 2013;31(3):221–227.
  8. Sukadaryati, Santosa G, Pari G, et al. The use of stimulants on the pine tapping. Jurnal Penelitian Hasil Hutan. 2014;32(4):329–340.
  9. Darmastuti IN, Santosa G, Matangaran JR. Improvement of pine resin tapping with quarre method. Jurnal Penelitian Hasil Hutan. 2016;34(1):11–21.
  10. Lempang M. Study of pine resin tapping by drilling using H2SO4 stimulant. Jurnal Penelitian Hasil Hutan. 2017;35(3):221–230.
  11. Tadesse W, Nanos N, Aufion FJ, et al. Evaluation of high resin yielders of Pinus pinaster AIT. Forest Genetics. 2001;8(4):271–278.
  12. Liu Q, Zhou Z, Fan H, et al. Genetic variation and correlation among resin yield, growth, and morphologic traits of Pinus massoniana. Silvae Genetica. 2013;62:1–2.
  13. Gajšek D, Brecelj M, Jarni K, et al. Resin yield of Pinus nigra and Pinus sylvestris in the Slovenian Karst. Acta Silvae Et Ligni. 2018;115:21–28.
  14. Lukmandaru G, Amri S, Sunarta S, et al. Oleoresin yield of Pinus merkusii trees from East Banyumas. IOP Conf Series: Earth and Environmental Science. 2020;449:012024.
  15. Lukmandaru G, Amri S, Sunarta S, et al. The effect of stimulants and environmental factors on resin yield of Pinus merkusii tapping. Bio Resources. 2021;16(1):163–175.
  16. Rodríguez-García A, Martín JA, López R, et al. Influence of climate variables on resin yield and secretory structures in tapped Pinus pinaster Ait. in Central Spain. Agricultural and Forest Meteorology. 2015;202:83–93.
  17. Bhardwaj P, Sharma KR, Khosla PK. Variation in resin ducts and yield in chir pine population. International Journal of Pharmaceutical Sciences and Research. 2017;8(5):2213–2217.
  18. Gaylord ML, Kolb TE, Wallin KF, et al. Seasonal dynamics of tree growth, physiology, and resin defenses in a northern Arizona pine forest. Canadian Journal of Forest Research. 2007;37(7):1173–1183.
  19. Bau AM, Menon ARS. Ethephon induced gummosis in Bombax ceiba and Sterculia urens Roxb. The Indian Forester. 1989;115(1):22–27.
  20. Sharma KR, Lekha C. Tapping of Pinus roxburghii (chir pine) for oleoresin in Himachal Pradesh, India. Advances in Forestry Letter. 2013;2(3):51–55.
  21. Serin OZ, Ünaldi E, Çiçekler M. Oleoresin yield of Pinus brutia Ten. in Turkey: Effect of tree diameter, type of stimultant chemicals and concentration rate. IMCOFE.  Rome; 2017:223–227.
  22. Kossuth SV, Koch P. Paraquat and CEPA stimulation of oleoresin production in lodgepole pine central stump-root system. Wood and Fiber Science. 1989;21(3):263–273.
  23. Coppen JJ, Hone GA. Raw materials and inputs. In: Gum naval stores: Turpentine and rosin from pine resin. FAO, Rome, Italy; 1995:17–22.
  24. Kossuth, S.V. 1984. Multipurpose Slash Pine: Genetics and Physiology of Gum Naval Stores Production (GTR/NE-90), U.S. Department of Agriculture Forest Products Laboratory, Madison, WI, USA.
Creative Commons Attribution License

©2024 Lukmandaru, et al. This is an open access article distributed under the terms of the, which permits unrestricted use, distribution, and build upon your work non-commercially.