Submit manuscript...
eISSN: 2576-4462

Horticulture International Journal

Research Article Volume 3 Issue 6

Organic matter of tropical soil with coffee growthin COenriched atmosphere

Victor Sanches Ribeirinho,1 Cristina Silva Carvalho,2 Nilza Patrícia Ramos,3 Ana Paula Packer,3 Débora Marcondes Bastos Pereira Milori,4 Juliana de Oliveira Santos Marcatto,3 Carlos Eduardo Pellegrino Cerri,5 Cristiano Alberto de Andrade1

1Agronomist and Environmental Consultant, Italy
2Post-graduate Program in Agroecology, State University of Maranhão, Brazil
3Brazilian Agricultural Research Corporation (Embrapa), Embrapa Environment Unit, Brazil
4Brazilian Agricultural Research Corporation (Embrapa), Embrapa Instrumentation Unit, Brazil
5Soil Science Department, Luiz de Queiroz College of Agriculture, University of São Paulo, Brazil

Correspondence: Cristiano Alberto de Andrade, Soil Science Department, Luiz de Queiroz College of Agriculture, University of São Paulo, Embrapa Environment, Rodovia SP-340, Km 127,5; Tanquinho Velho CEP: 13918-110, Jaguariúna, Estado de São Paulo, Brazil

Received: November 18, 2019 | Published: December 2, 2019

Citation: Ribeirinho VS, Carvalho CS, Ramos NP, et al. Organic matter of tropical soil with coffee growth in CO2 enriched atmosphere. Horticult Int J. 2019;3(6):283?289. DOI: 10.15406/hij.2019.03.00143

Download PDF

Abstract

The increase of atmospheric CO2 should result in higher carbon fixation by plants of the C3 photosynthetic cycle, such as coffee. However, not much is known about the relationship between atmospheric CO2 increase, higher carbon fixation through photosynthesis and the potential carbon sequestration in soil. Based on the hypothesis that there will be greater stabilization of carbon in soil due to increase of atmospheric CO2 concentration, the study was carried a field coffee grown area with FACE (Free-Air Carbon dioxide Enrichment) system. The CO2 enrichment treatment maintained the concentration of this gas 200 μmol mol-1 above the ambient value. The stocks of carbon and nitrogen in soil and some attributes related to the humification of organic matter were evaluated 43 months after the beginning of the experiment. In addition, the decomposition of residues of coffee plants (leaves) and the emission of N2O were also evaluated. The stocks of carbon and nitrogen in soil of at 0-5 cm layer were in average 18% higher (2.6 Mg ha-1 carbon and 0.2 Mg ha-1 nitrogen) in CO2 enrichment treatment. As the decomposition of vegetal remains was not affected by atmospheric CO2 enrichment, the increase of carbon and nitrogen in soil was due to the greater contribution of vegetal material, which resulted in a less humic organic matter. In the equilibrium between carbon soil stabilization and N2O emission, the enrichment of atmospheric CO2 in the coffee crop resulted in negative feedback for global warming due to the increased sequestration potential of carbon by soil.

Keywords: Coffea arabica, carbon stock, humic substances, free-air carbon dioxide enrichment, humification index

Introduction

The atmospheric concentration of CO2 before Industrial Revolution was stable and with an approximated value of 270 μmol mol-1,1,2 however with the increase of emissions of this gas to the atmosphere due to coal burning and other fossil fuels, atmospheric concentration of CO2 began to rise, currently reaching concentrations around 400 μmol mol-1 2–4 and studies indicate a forecast for the year 2100 of 700 μmol mol-1.4

This increase in [CO2] may influence many aspects of human and natural world, but its effects on agricultural production may be particularly important.4 This scenario of elevation of CO2 concentration leads agronomic research to investigate the effects of this increase on agricultural crops, since CO2 constitutes a primary substrate for photosynthesis5  and its elevation might stimulate plant biomass production, and consequently increase soil carbon (C) concentration, which contributes to the increase of soil organic matter.6

With the increase of studies and hypothesis about agriculture impacts caused by atmospheric CO2 concentration increase, technology development was researched that could suppress the necessity of testing these hypothesis in free-air field, leading to the development of FACE technology (Free-Air Carbon Dioxide Enrichment).7–9

Over time, with FACE experiment studies, it is already possible to observe some important results such as increased carbon uptake by plants,10,1 impacts on photosynthetic nitrogen (N) efficiency use,8,11–13  the increase in agricultural production due to a possible effect of CO2 fertilization was lower than expected,1,14,15 the stimulation of carbon uptake by elevation of [CO2] in C4 plants is indirect and occurs only in water-restriction conditions,1 C3 and CAM plants show a positive response to the increase of CO2 concentration during growth, whereas C4 plants have a negative response.16,17

However, the dynamics of organic matter and nutrients in cultivated soil under high CO2 concentration is still poorly studied and understood, especially in tropical climate regions where organic matter dynamic is high.17 Studies have shown that with a higher carbon supply the plants tend to increase the efficiency of macronutrients use, such as nitrogen, due to the greater activity of the enzyme Rubisco.18

Therefore, understanding the impact of increasing atmospheric CO2 on crop, soil and SOM dynamics is necessary to formulate a possible adequate strategy for food safety and address environmental concerns.17

Coffee is one of main agricultural commodities in Brazil, the largest world producer,19 four countries in 2013 were responsible for 64.8% of world production: Brazil (33.2%), Vietnam (16.4%), Indonesia (7.8%) and Colombia (7.3%), all in tropical regions.20 According to some authors, climate change may directly interfere in coffee production.9,20,21 The objective of this study was to investigate the possible effects of CO2 increase in the atmosphere through FACE experiment in content and quality of soil organic matter with coffee cultivation.

Material and methods

The field experiment was conducted at Embrapa Environment Experimental Field, located in Jaguariúna, São Paulo State, Brazil (latitude 22o43’06” S, longitude 47o01’09” W and altitude 570 m). The climate is humid subtropical, a Cfa type according to the Köppen classification, with hot rainy summers and cold dry winters. The soil at the experimental area was Dark Red Dystroferric Oxisol (loamy/clayey-textured).

It used a coffee cultivar Catuaí IAC-144 (Coffea arabica cv. Catuaí Vermelho IAC-144). Coffee seedlings were transplanted in March 2010 with spacing of 3.5 m between rows and 0.6 m between plants with annual fertilization in the crown projection9 and brachiaria (Brachiaria decumbens) without fertilization,21 no irrigation was used for this experiment. The applications of limestone and fertilizers were based on the recommendation used for the State of São Paulo22 for expected yield of 30 sacks per hectare.21

The experimental used was a randomized block design, in which twelve ring plots spaced 70 m apart from one another and with a diameter of 10 meters were constructed. Six out of twelve ring plots received application of carbon dioxide (FACE) and the other six remained as controls (Ambient), which means, without application of CO2.

The atmospheric enrichment with CO2 was initiated in August 2011. The application of CO2was performed from a vertical tank with copper pipes leading the gas to the ring plots (Figure 1). The gas release was controlled so that the atmosphere had a concentration of approximately 200 μmol mol-1 CO2 higher than the natural atmosphere concentration. The speed and direction of the wind were constantly monitored to determine the gas injection flow, with the purpose of applying it only inside each ring, thus obtaining the values of 550 μmol mol-1 of CO2 for the treatment (FACE) and 390 μmol mol-1 of CO2 for the control treatment (Ambient), which corresponds to the value measured by the sensor in the normal situation of the site. Further details of the experiment can be found in Ghini et al.9 

Figure 1 Carbon concentration associated to fulvic acid fraction (A), humic acid fraction (B) and humin fraction (C) as a function of CO2 level in atmosphere in coffee growing area. Error bars = LSD (Least Significant Difference) of Student's t-test (p < 0.05).

Soil sampling was carried out in March 2015, that is, 43 months after the beginning of CO2 application. Undisturbed soil samples were collected for density analysis and deformed soil samples to determine the total C, C concentration associated in humic fractions of soil organic matter and humification index of soil organic matter.

Within each ring plot a trench was opened to remove undisturbed soil samples up to 1 m deep using metal kopeck cylinders with an internal capacity of 99.64 cm3. In the 0-5, 5-10, 10-20, 20-40 cm layers, the trenches were located perpendicular to the coffee line to allow sampling of the soil in the following positions: next to the crop line, in the center of the line and in intermediate positions between the crop lines and the center of the interline. For the other layers, 40-60, 60-80 and 80-100 cm, undisturbed soil samples were collected in only one portion of each treatment, open in the area outside the CO2 application ring. This decision was based on the fact that changes in soil density at these depths are not expected during this experiment period.

Soil density was determined gravimetrically by the ratio between the mass of the oven dried sample at 105-110 ° C and the kopeck ring volume.23 The deformed soil samples were collected using auger, in the same layers and positions collected for density. Nine points per ring plot were sampled, three in each of the previously mentioned positions, in order to compose the representative sample of the ring plot. After collection, the soil samples were air dried, homogenized and passed in a sieve with a 2 mm mesh. Then, the soil samples were grounded and passed through a 0.150 mm mesh (100-mesh) for quantification of total C and N concentration, determined by the dry combustion method, by CN elemental analyzer (TruSpec CN LECO®), from these values obtained the C:N ratio.

On the basis of these results and the results obtained from soil density, the stocks of C and N for each depth was calculated according to the equation:

C or N stock = 1000000×C×(SD) ×·L

Where:

C or N stock = kg ha-1

C=concentration of C or N in soil (%)

SD=soil density (g cm-3)

L=layer thickness (cm)

Possible changes in soil organic matter quality were investigated through chemical fractionation and humification index. The chemical fractionation of the soil organic matter separated it in fulvic acids (FA), humic acids (HA) and humin fraction (HU), performed in samples of layers 0-5, 5-10, 10-20, 20-40 and 40-60 cm as a function of the differential solubility in acidic and alkaline media24 and the determination of carbon via oxidation.25

The method used for quantification of humification index was laser-induced fluorescence (LIF) spectroscopy in intact soil sample26  and it was used in samples of soil analyzed for total of C (0-5, 5-10, 10-20, 20-40 and 40-60 cm). These samples were pressed into pellets of 1 cm diameter and 2 mm thickness and 0.5 grams of weight. The equipment has been configured for the minimum wavelength 435 nm and maximum 800 nm. The exposure time was 100 ms and luminous intensity minimum was 0 and maximum was 500 nm. The humification index of soil organic matter was then obtained by calculating the area under the emission curve divided by the total soil carbon concentration.

In order to observe if there was influence of atmospheric enrichment of CO2 on the decomposition of the coffee leaves in soil overturned by the harvest, in July 2014, 10 litterbags per ring plot in the dimensions of 20 x 20 cm were installed in the coffee growing line, with mesh screen of 35, according to Bocock and Gilbert,27 filled with the coffee leaves accumulated on the ground in the 2014 harvest, dried and homogenized, with initial dry mass of 20 g, equivalent to 5000 kg ha-1.28

The litterbags were collected at 0, 14, 36, 60, 90, 119, 179, 291 and 362 days after field installation. At each collection, the samples were randomly taken from the field, cleaned, dried and weighed. Remaining dry biomass (kg ha-1), nitrogen and carbon concentration were determined by the dry combustion method, using CN elemental analyzer (TruSpec CN LECO®).

The cumulative emissions of N2O and CO2 were measured using the closed-chamber method29,30  for two consecutive seasons (2013/2014 e 2014/2015). Gas chambers installed in the experimental ring plots were made of PVC cylinders (30 cm diameters), to collect the gas sample from the third fertilizer application in middle February until harvesting, around June. Each ring plot had three chambers locate in the canopy projection to evaluate either the N2O emission from the fertilizer and the CO2 from the soil respiration, two with and one without fertilizer application, for the enrichment of CO2 and ambient CO2 concentration treatment. The first sampling events occurred immediately after fertilizer application and every two or three days thereafter until harvesting.

Changes in the headspace gas concentrations were measured at a time interval of 0-15-30 min after the camber closure. N2O and CO2 concentration was analyzed by gas chromatography (Thermo Scientific™ TRACE™ GC systems). Flux rates of N2O and CO2 were calculated using the slope of the temporal changes in gas concentration within the closed chamber, considering chamber volume and surface area of the chamber. Daily results from each chamber were expressed in emission per chamber, and then extrapolated to emission per hectare. Cumulative emission was calculated by linear interpolation between subsequent daily fluxes.

Statistical analysis of the results was done using variance analysis (ANOVA), considering the randomized block design, and as a factor of interest variation the application or not of CO2. In case of significant effect of the interest factor, the Student's t-test was applied at a significance level of 5% (p < 0.05) to compare the means.

Results and discussion

Soil carbon and nitrogen stock

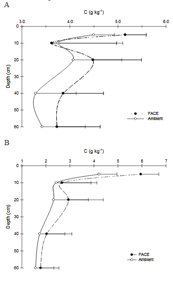
After 43 months of experimentation, there was an increase in soil C and N concentration only in the most superficial layer (0-5 cm) as a function of CO2 enrichment (Table 1). In 0-5 cm layer, the C and N concentrations in the treatment with atmospheric CO2 enrichment (FACE) were 18% higher for both, in comparison with those observed in control treatment.

Layer
(cm)

Soil Carbon

Soil Nitrogen

C:N Ration

g kg-1

g kg-1

--

FACE(1)

Ambient(2)

FACE(1)

Ambient(2)

FACE(1)

Ambient(2)

0-5

34.87 a

29.62 b

2.62 a

2.22 b

13.37 a

13.48 a

5-10

21.97 a

20.33 a

1.62 a

1.52 a

13.53 a

13.54 a

10-20

21.48 a

25.16 a

1.62 a

1.78 a

13.20 a

13.70 a

20-40

15.13 a

15.14 a

1.22 a

1.22 a

12.51 a

12.38 a

40-60

14.84 a

13.45 a

1.17 a

1.08 a

12.84 a

12.44 a

60-80

13.22 a

11.26 a

1.02 a

0.93 a

13.00 a

11.99 a

80-100

12.77 a

12.18 a

0.98 a

0.97 a

12.61 a

12.91 a

Table 1 Total carbon and nitrogen concentration and C:N ratio in soil as a function of CO2 level in atmosphere in coffee growing area
Averages followed by different letters in same line are statistically different by Student's t-test (p < 0.05).

1Treatment with atmospheric CO2 enrichment, concentration of 550 μmol mol-1 of CO2

2Treatment with ambient air, concentration of 390 µmol mol-1 of CO2

In general, concentration of C and N decreased along the soil profile, which is expected to happen with organic matter gradient as a function of soil depth. The C:N ratio of soil was not changed with treatments and the variation in soil profile (C:N from 12.0 to 13.7) could be considered low (Table 1).

The plant dry matter, whether from shoot or root, has an important role in carbon input in soil, so the increase in photosynthetic rate and, consequently, the increase of the dry matter production, can result in a higher contribution of carbon in soil.31 Ghini et al.9 in a study conducted in the same area two years after the beginning of the experiment, observed an increase in photosynthesis and coffee productivity due to the atmospheric enrichment of CO2, which may be the cause of the increase of the C concentration in the observed superficial layer in this present study.

Other authors also observed increases in soil C concentration due to CO2 enrichment. Dijkstra and Morgan (2012) presented a compilation of 27 studies with atmospheric enrichment of CO2 and observed the occurrence of increases in C concentration in soil surface layer, some studies up to the 20 cm layer, in 74% of these studies.

The soil density was not influenced by atmospheric CO2 enrichment (Table 2). The values of density up to 40 cm depth are within the appropriate range (1.25 to 1.40 gcm-3) for good root development without the occurrence of physical impediments.32 The soil density in the superficial layers can decrease when there is a constant supply of vegetal residues, since these residues present low density and greater porosity when compared to the mineral fraction of the soil.33

Due to the changes in C and N concentration in the soil and the absence of soil density response to CO2 treatments, the results of C and N stocks followed the results for the levels (Table 2). The modeling study about the dynamics of C in soil by Graff et al.34 with a compilation of 59 works using FACE-type experiments in the field, reached the result that the atmospheric enrichment of CO2 promotes a 1.2% increase of C in the layer up to 20 cm. However, the authors note that there is few long-term data with a FACE-type experiment. Smith35 using the “Rothamsted Carbon Model” soil organic carbon model estimated that it would take seven to ten years for C changes to occur due to the enrichment of CO2 in the atmosphere to a depth of 20 cm.

Layers
(cm)

Soil density

Soil carbon stock

Soil nitrogen stock

g cm-3

Mg ha-1

Mg ha-1

FACE(1)

Ambient(2)

FACE(1)

Ambient(2)

FACE(1)

Ambient(2)

0-5

1.27 a

1.32 a

22.12 a

19.57 b

1.65 a

1.45 b

5-10

1.42 a

1.39 a

15.59 a

14.09 a

1.15 a

1.04 a

10-20

1.43 a

1.43 a

30.63 a

36.23 a

2.32 a

2.56 a

20-40

1.41 a

1.41 a

42.46 a

42.68 a

3.40 a

3.45 a

40-60

1.33*

1.31*

39.29 a

35.63 a

3.06 a

2.86 a

60-80

1.28*

1.29*

34.04 a

28.97 a

2.61 a

2.41 a

80-100

1.26*

1.29*

32.62 a

31.12 a

2.52 a

2.47 a

Table 2 Soil density and soil carbon and nitrogen stock as a function of CO2 level in atmosphere in coffee growing area

1Treatment with atmospheric CO2 enrichment, concentration of 550 μmol mol-1 of CO2

2Treatment with ambient air, concentration of 390 µmol mol-1 of CO2

Chemical fractionation of SOM and humification index

It was observed an increase of the C concentration associated with fractions FA and HA in the layer 0-5 cm with atmospheric CO2 enrichment and no differences were noticed in the HU fraction (Figure 1). This result indicates that there was an increase in the most labile forms of soil C, since organic compounds presented in FA and HA fractions are more likely to mineralize C when compared to compounds of the HU fraction.36 It was also observed an increase in C concentration associated with the HA fraction in the 10-20 cm layer with atmospheric CO2 enrichment.

The increase, in surface layer, of C concentration in the most labile fractions of organic matter with atmospheric CO2 enrichment is due to the increase of fresh organic material9 and also the reduction of the mineralization rate of soil organic matter in the field.37 The reduction of the mineralization rate of soil organic matter can be indirectly influenced by atmospheric CO2 enrichment due to the increase of the photosynthesis rate of the plant9 and, consequently, a higher requirement for water, causing a reduction in soil moisture. With the reduction of moisture, there is a slower mineralization of soil organic matter. A study at controlled temperature and moisture soil conditions showed no changes at the rate of soil organic matter mineralization due to atmospheric CO2 enrichment.37

In a study about the evaluation of soil fertility in the same area, Maluf et al.21 observed that the pH of soil in the 0-5 cm layer of the treatment with atmospheric CO2 enrichment was higher when compared to the control. The authors suggested that this increase in pH can be caused by complexation of Al3+ ion by organic compounds, this fact that can be proven by the increase of the fractions FA and HA in the treatment with atmospheric CO2 enrichment, because these fractions present high power of complexation with ions.38

The results of the increase of less humi organic compounds in the superficial layer due to the atmospheric CO2 enrichment is in agreement with the one observed in the analysis of the humification index of soil organic matter. In the treatment with CO2 application the humification index presented 18.21% lower than the treatment with ambient air (Figure 2), for the first layer. In the other layers, there was no difference between the means of the treatments.

Figure 2 The humification index based on LIF spectroscopy (HLIF) of soil organic matter as a function of CO2 level in atmosphere in coffee growing area. Error bars = LSD (Least Significant Difference) of Student's t-test (p < 0.05). u.a.: means arbitrary units.

Decomposition of coffee leaves

Atmospheric CO2 enrichment did not influence the decomposition rate of the coffee leaves and the C:N ratio of the remaining material (Table 3). The average degradation of vegetal material was 73% in a 360-day period. Initially the plant material had a C:N ratio of 17:1, at the end of the 360-day period this ratio was 10:1, regardless of enrichment or non-atmospheric CO2. The N and C concentrations of the plant material in litterbag were also not influenced by atmospheric CO2 enrichment.

Days

Dry Mass

C

N

C:N

kg ha-1

%

%

---

 

FACE(1)

Ambient(2)

FACE(1)

Ambient(2)

FACE(1)

Ambient(2)

FACE(1)

Ambient(1)

0

5000 a

5000 a

51.18 a

51.18 a

3.01 a

3.01 a

17.0 a

17.0 a

14

3868 a

3763 a

51.36 a

50.82 a

3.17 a

3.15 a

16.3 a

16.1 a

36

3325 a

3382 a

51.21 a

51.05 a

3.13 a

3.18 a

16.4 a

16.1 a

60

3030 a

2915 a

51.42 a

51.64 a

3.32 a

3.24 a

15.5 a

15.9 a

90

2733 a

2580 a

50.65 a

50.30 a

3.49 a

3.40 a

14.5 a

14.9 a

120

2925 a

3022 a

49.06 a

48.93 a

3.90 a

3.80 a

12.6 a

12.9 a

180

2139 a

2247 a

48.98 a

49.79 a

4.16 a

4.38 a

11.8 a

11.5 a

290

1473 a

1688 a

48.57 a

47.84 a

4.82 a

4.72 a

10.1 a

10.1 a

360

1348 a

1356 a

48.07 a

48.25 a

4.74 a

4.64 a

10.2 a

10.4 a

Table 3 Decomposition of coffee leaves after harvesting, percentage of carbon and nitrogen and C:N ratio of remaining soil material as a function of CO2 level in atmosphere in coffee growing area

1Treatment with atmospheric CO2 enrichment, concentration of 550 μmol mol-1 of CO2

2Treatment with ambient air, concentration of 390 µmol mol-1 of CO2

Emissions of N2O and CO2

No differences were observed between treatments in accumulated emissions of N2O and CO2 during the period of two harvests (2013/2014 and 2014/2015) (Figure 3). These results confirm that the atmospheric enrichment with CO2 did not influence the decomposition dynamics of organic materials added in the study area, and it is possible to conclude that the increase of the C and N stock observed previously is due to the increase of organic material deposition that the atmospheric enrichment of CO2 provided.

Figure 3 Accumulated emission of N-N2O (A) e C-CO2 (B) of soil in two harvests of coffee cultivated in an area with different levels of CO2 atmospheric. Error bars = LSD (Least Significant Difference) of Student's t-test (p < 0.05).

Conclusion

After 43 months of experimentation, the atmospheric CO2 enrichment in the area with coffee cultivation promoted an increase in soil C and N stocks at the first 5 cm of soil layer and this effect occurred due to the higher organic residue addition provided by coffee plants, once the decomposition process was not modified. Considering that the N2O emission was not affected by atmospheric CO2 enrichment, the conclusion is that the increase of this gas in atmosphere results in negative feedback for global warming due to the increase of soil sequestration potential of C in coffee grown area.

Acknowledgements

The authors are grateful to Brazilian Agricultural Research Corporation (EMBRAPA – Empresa Brasileira de Pesquisa Agropecuária) for financial support (project Climapest - Impacts of global climate changes on plant diseases, pests and weeds - process number 01.07.06.002.00; and project Impact of increased atmospheric carbon dioxide concentration and water availability on coffee agroecosystem under FACE facility - process number 02.12.01.018.00); Researchers Dra. Raquel Ghini (in memorian) and Dra. Katia de Lima Nechet (Embrapa Environment) for planning and conduction of this FACE experimental system..

Conflicts of interest

Authors declare no conflict of interest exists.

References

  1. Leakey ADB, Ainsworth EA, Bernacchi CJ, et al. Elevated CO2 effects on plant carbon, nitrogen, and water relations: six important lessons from FACE. J Exp Bot. 2009;60:2859–2876.
  2.  Dijkstra FA, Morgan JA. Elevated CO2 and warming effects on soil carbon sequestration and greenhouse gas exchange in agroecosystems: a review. In: Liebig MA, Follett RF, Franzluebbers AJ, editors. Managing agricultural greenhouse gases. Elsevier, Amsterdam. 2012;467–486.
  3. Gerhart LM, Ward JK. Plant responses to low [CO2] of the past. New Phytol. 2010;188:674–695.
  4. IPCC. Climate change 2013: The physical science basic. Cambridge university press. Cambridge, United Kingdom and New York, NY. 2103.
  5. Walter LC, Rosa HY, Streck NA. Mecanismos de aclimatação das plantas à elevada concentração de CO2. Cienc Rural. 2015;45:1564-1571.
  6. Hungate BA, Groenigen KJ, Six J, et al. Assessing the effect of elevated carbon dioxide on soil carbon: a comparison of four meta-analyses. Glob Change Biol. 2009;15(8):2020–2034.
  7. Lewin KF, Hendrey GR, Nagy J, et al. Design and application of a free-air carbon dioxide enrichment facility. Agric For Meteorol. 1994;1-4:15–29.
  8. Butterly CR, Armstrong R, Chen D, et al. Carbon and nitrogen partitioning of wheat and field pea grown with two nitrogen levels under elevated CO2. Plant Soil. 2015;391:367–382.
  9. Ghini R, Torre‑Neto A, Dentzien AFM, et al. Coffee growth, pest and yield responses to free‑air CO2 enrichment. Clim Change. 2015;32:307–320.
  10. Ainsworth EA, Davey PA, Hymus GJ, et al. Is stimulation of leaf photosynthesis by elevated carbon dioxide concentration maintained in the long term? A test with Lolium perenne grown for 10 years at two nitrogen fertilization levels under free air CO2 enrichment (FACE). Plant Cell Environ. 2003;26:705–714.
  11. Rogers HH, Runion GB, Krupa SV. Plant responses to atmospheric CO2 enrichment with emphasis on roots and the rhizosphere. Environ Pollut. 1994;83:155–189.
  12. Jensen B, Christensen BT. Interactions between elevated CO2 and added N: effects on water use, biomass, and soil 15N uptake in wheat. Acta Agric Scand Sect B Soil Plant Sci. 2004;54:175–184.
  13. Tausz-Posch S, Seneweera S, Norton RM, et al. Can a wheat cultivar with high transpiration efficiency maintain its yield advantage over a near-isogenic cultivar under elevated CO2?. Field Crops Res. 2012;133:160–166.
  14.  Ainsworth EA, Davey PA, Bernacchi CJ, et al. A meta-analysis of elevated [CO2] effects on soybean (Glycine max) physiology, growth and yield. Glob Chang Biol. 2002;8:695–709.
  15. Long SP, Ainsworth EA, Leakey ADB, et al. Food for thought: lower-than-expected crop yield stimulation with rising CO2 conditions. Science. 2006;312:1918–1921.
  16. Reddy AR, Rasineni GK, Raghavendra AS. The impact of global elevated CO2 concentration on photosynthesis and plant productivity. Curr Sci. 2010;99:46–57.
  17. Srinivasarao C, Kundu S, Shanker AK, et al. Continuous cropping under elevated CO2: differential effects on C4 and C3 crops, soil properties and carbon dynamics in semi-arid alfisols. Agric Ecosyst Environ. 2016;218:73–86.
  18. Martins LD, Tomaz MA, Lidon FC, et al. Combined effects of elevated [CO2] and high temperature on leaf mineral balance in Coffea spp. plants. Clim Change. 2014;126:365–379.
  19. Amaral JFT, Martinez HEP, Laviola BG, et al. Eficiência de utilização de nutrientes por cultivares de cafeeiro. Cienc. Rural. 2011;41:621–629.
  20. Tozzi FRO, Ghini R. Impacto do aumento da concentração atmosférica de dióxido de carbono sobre a ferrugem e o crescimento do cafeeiro. Pes Agropec Bras. 2016;51:933–941.
  21. Maluf HJGM, Ghini R, Melo LBB, et al. Soil fertility and nutritional status of coffee cultivated in a CO2 enriched atmosphere. Pesq Agropec Bras. 2015;50:1087–1096.
  22. Raij BV, Cantarella H, Quaggio JA, et al. Fertilization and liming recommendations for the State of São Paulo. 2nd ed. Instituto Agronômico, Campinas. 1996.
  23. Camargo OA, Moniz AC, Jorge JA, et al. Chemical, mineralogical and physical soil analysis methods of the campinas agronomic institute. Agronomic Institute, Campinas. 2009.
  24. Swift RS. Organic matter characterization. In: Sparks DL, Page AL, editors. Methods of soil analysis. Part 3. Chemical methods. Soil Science Society America, Madison. 1996;1018-1020.
  25. Yeomans JC, Bremner JM. A rapid and precise method for routine determination of organic carbon in soil. Comm Soil Sci Plant Anal. 1988;19:1467–1476.
  26. Milori DMBP, Galeti HVA, Martin-Neto L, et al. Organic matter study of whole soil sample using laser induced fluorescence spectroscopy. Soil Sci Soc Am J. 2006;70:57–63.
  27. Bocock KL, Gilbert O. The disappearance of leaf litter under different woodland conditions. Plant Soil. 1975;9:179–185.
  28. Rodrigues WN, Martins LD, Tomaz MA. Reuse of coffee leaves after harvesting in nutrient recycling. Biosphere Encyclopedia: Centro Científico Conhecer. Goiânia. 2010.
  29. Hutchinson GL, Mosier AR. Improved soil cover method for field measurement of nitrous-oxide fluxes. Soil Sci Soc Am J. 1981;45:311–316.
  30. Varner RK, Keller M, Robertson JR, et al. Experimentally induced root mortality increased nitrous oxide emission from tropical forest soils. J Geophys Res. 2003;30:1144.
  31. Ainsworth EA, Long SP. What have we learned from 15 years of free-air CO2 enrichment (FACE)? A meta-analytic review of the responses of photosynthesis, canopy properties and plant production to rising CO2. New Phytol. 2005;165:351–372.
  32. Reynolds WD, Drury CF, Yang XM, et al. Land management effects on the near-surface physical quality of a clay loam soil. Soil Tillage Res. 2007;96:316–330.
  33. Celik I, Ortas I, Kilic S. Effects of compost, mycorrhiza, manure and fertilizer on some physical properties of a Chromoxerert soil. Soil Tillage Res. 2004;78:59–67.
  34. Graaff MA, Groenigen KJ, Six J, et al. Interactions between plant growth and soil nutrient cycling under elevated CO2: a meta-analysis. Glob Change Biol. 2006;12:2077–2091.
  35. Smith P. How long before a change in soil organic carbon can be detected?. Glob Change Biol. 2004;10:1878–1883.
  36. Ebeling AG, Anjos LHC, Pereira MG, et al. Substâncias húmicas e relação com atributos edáficos. Bragantia. 2011;70(1):157–165.
  37. Müller K, Deurer M, Newton PCD. Is there a link between elevated atmospheric carbon dioxide concentration, soil water repellency and soil carbon mineralization?. AgricEcosystEnviron1. 2010;39:98–109.
  38. Sherameti I, Varma A. Soil heavy metals. Soil biology. Springer, New York. 2010.
Creative Commons Attribution License

©2019 Ribeirinho, et al. This is an open access article distributed under the terms of the, which permits unrestricted use, distribution, and build upon your work non-commercially.