Submit manuscript...
eISSN: 2471-0016

International Clinical Pathology Journal

Review Article Volume 5 Issue 4

Effect of music therapy on adult patients undergoing dental treatment procedures

Janvi Chandure,1 Sandhya Tamgadge,1 Avinash Tamgadge1

1DY Patil Dental College, India
1DY Patil Dental College, India

Correspondence: Sandhya Tamgadge, Dept of Oral & Maxillofacial Pathology and Microbiology DY Patil Dental College, School of dentistry, Sector 7, Nerul, Navi Mumbai, Maharashtra, India, Tel +919222199770,, Fax 9122 2770 9590

Received: January 01, 1971 | Published: December 19, 2017

Citation: Chandure J, Tamgadge S, Tamgadge A. Effect of music therapy on adult patients undergoing dental treatment procedures. Int Clin Pathol J. 2017;5(4):270–274. DOI: 10.15406/icpjl.2017.05.00139

Download PDF

Abstract

Introduction: It is extremely difficult to deliver best dental treatment to highly anxious patients. Therefore there is an urgent need to find measures to reduce the anxiety levels without causing any side effects. Therefore this study was conducted to evaluate the effect of music on the anxiety level of the patients who were undergoing dental treatment.

Methodology: This comparative interventional study comprised of 100 randomly selected adult patients. The study group consists of 50 individuals who were exposed to arbitrary forms of music during the treatment and 50 individuals were in the control group and were not exposed to music. Patients were blinded regarding the music being played during study as they were not informed that the music is the part of study. Anxiety level was assessed through variable measures such as;

  1. Pre-treatment questionnaire based on Modified Corah’s Dental Anxiety Scale.
  2. Pulse rate
    1. While waiting in the waiting room
    2. During the dental treatment
    3. Post treatment procedure.

All the findings were statistically analyzed.

Results: The average value of the decrease in pulse rate for study group was 3.06 with a standard deviation of 2.97.Therfore patients in the study group had a relatively composed heart rate as compared to control.

Conclusion: Music therapy is like an exogenous cue that can be practiced in dentistry for anxious patients as it reduces anxiety.

Keywords: anxiety, pulse rate, questionnaire, dental treatment, pain, music therapy, feedback, adults

Introduction

Considering themany individuals hesitate to visit the dental clinics and hence they tend to avoid visiting dental clinics. This hesitation is due to the stomatological anxiety. Therefore, anxiety may often lead to severe oral health issues. Anxiety of the patients sometimes may result in the failure to provide excellent dental care by the dental health care providers. Studies have shown that one sixth of the patients suffer with dental anxiety.1 Dental anxiety denotes a state of apprehension that something dreadful is going to happen in the dental treatment and is coupled with the sense of losing control.1 It may also result in the misdiagnosis or improper treatment. Factors that mainly affect the anxiety are pain, bleeding, injections, rotary noise and smell of the medicines, other patients in the waiting room making noise or their past dental experience. There are a few treatment options to effectively reduce anxiety, they include pharmacological techniques like the use of benzodiazepines and antidepressants, hypnosis, biofeedback, etc. which may have side effects and drawbacks.2 Music have been proven to have effects on medical conditions like Autism,3 Parkinson’s disease,4 Schizophrenia,5 Depression,6 Dementia7 and other neurological disorders.8 Music is believed to reduce anxiety by either having a relaxing or distraction effect that in turn reduces activity of the neuroendocrine and sympathetic nervous system.8 Therefore, a unique study was done. Pulse being a direct measure of anxiety, pulse rate was used for the assessment of anxiety of the patients who were exposed to music compared to patients who were not exposed to music during the treatment threat of various objects in the dental office like the needles, sharp instruments and the rotaries, etc. and the analysis was done. Therefore this study evaluated the effect of music on anxious adult dental patients so that various pharmacological methods for reducing anxiety can be avoided.

Methodology

This comparative interventional study was conducted on patients visiting one particular dental clinic for their treatment procedures. Inclusion criteria-100 adult patients were randomly included. They were further divided according to gender as 50 males and 50 females, also divided according to their age-20-30 years old, 31-40 years old, 41-50 years old, 51-60 years old, 61 years old and above, 20 individuals in each group. Exclusion criteria

  1. Pediatric patients.
  2. Patients who are mentally or physically challenged, pregnant patients, patients having systemic diseases, and those taking anxiolytics or antidepressants.
  3. Patients unwilling to fill the questionnaire or any half-filled questionnaires.

The patients were selected as per lottery method (random allocation) to include in both the groups

  1. Study group- patients exposed to music therapy during treatments.
  2. Control group- patients not exposed to music therapy during the dental treatments.

Patients were blinded regarding the music being played during study and were not informed that is the part of the study.

Anxiety of the patients before coming to the dentist was assessed through two variable measures such as

Pre-treatment questionnaire based on Modified Corah’s Dental Anxiety Scale (Table 1).

1) If you go to your dentist for a TREATMENT TOMORROW, how would you feel?

Extremely Anxious

Very Anxious

Fairly Anxious

Slightly Anxious

Not Anxious

2) If you were sitting in the WAITING ROOM (waiting for treatment), how would you feel?

Extremely Anxious

Very Anxious

Fairly Anxious

Slightly Anxious

Not Anxious

3) If you were about to have a TOOTH DRILLED, how would you feel?

Extremely Anxious

Very Anxious

Fairly Anxious

Slightly Anxious

Not Anxious

4) If you were about to have your TEETH SCALED AND POLISHED, how would you feel?

Extremely Anxious

Very Anxious

Fairly Anxious

Slightly Anxious

Not Anxious

5) If you were about to have a LOCAL ANAESTHETIC INJECTION in your gum, how would you feel?

Extremely Anxious

Very Anxious

Fairly Anxious

Slightly Anxious

 

6) Which are the factors that increase your anxiety in the dental clinics?

Smell of the medicines.

Noise of dental instruments from inside the clinic.

Other patients in the waiting room making noise.

Reading about dental treatments online.

Table 1 Pre-treatment questionnaire based on Modified Corah’s Dental Anxiety Scale

PERSONAL DETAILS

PatientName_________________________________Age______________Sex______________

Contact No.____________________________Address________________________________

_____________________________________ Date _______

Can you tell us how anxious you get, if at all, with each dental visit?

(Please tick mark (✓) your appropriate preferred choice).

  1. Pulse rate of the patient
  2. While waiting in the waiting room,
  3. During the dental treatment,
  4. After the treatment procedure.

Feedback form was also given to patients in study group to know their experience with music therapy. All the findings were tabulated and statistically analyzed using two-sample t-test and conclusions were made. The pre-treatment questionnaire consisted of six questions (Table 1). The first five questions were from the Modified Corah’s Dental Anxiety scale,9 the sixth question was self-added in the pre-treatment questionnaire considering the factors that cause anxiety having 5 most common options. The Modified Dental Anxiety scale9 used to assess is a brief, validated questionnaire with a 5-point likert scale responses to each question ranging from “not anxious” to “extremely anxious. The responses were scored from 1 to 5. The score of the scale ranges from a minimum of 5 to a maximum of 25. Higher score denotes higher anxiety. The final assessment of anxiety levels is given by the sum of points of scale. Less than 8 considered to be no anxiety, 9 to 12 considered as moderate anxiety, 13 to 14 as high anxiety and 15 to 20 as severe anxiety.9 Along with the anxiety scale, their heart rate was assessed by measuring their pulse.10 The pulse rate of the patient was measured thrice.

  1. Patient waiting in the waiting room
  2. During the dental treatment
  3. After the treatment procedure.

Patients of the study group were exposed to arbitrary forms of music including upbeat music, repetitive rhythms, harmonic consonance, classical music, meditative or relaxation music. The music was played with the help of music system provided by the investigator. Patients were blinded and hence unaware of the study being undertaken. Invasive treatment procedures were included requiring around 20-25 minutes to complete so that the patient is exposed to music for a satisfactory time. Patients of the study group were given a post-therapy feedback form (Table 2) to acknowledge their opinion on the music therapy. Patients of control group were underwent the treatment normally without any music exposure.

1. Do you still feel anxious?

Neutral

Yes

No

2. Do you feel relaxed compared to the time you entered the clinic?

No Difference

Yes

No

3) Do you feel any reduction in the pain?

No Difference

Yes

No

4) Have you visited any dentist who practices music therapy? If yes, where?

Where

Yes

No

5) Would you recommend music therapy to be practiced by all dentists and in specialty clinics?

Necessary

No

Yes

6) How was your experience with the music therapy?

Very Good

Good

Not Bad

Bad

Table 2 Post music therapy feedback form

Observation and results

Pre-treatment anxiety levels assessment (modified corah’s dental anxiety scale)

The pre-therapy questionnaire (Table 1) was used to assess the anxiety levels of the patient and how he/she felt before coming for a dental treatment. The first five questions were from Modified Corah’s Dental Anxiety Scale9 and the answers received were statistically calculated, it was found that 45% of the patients were severely anxious. The sixth question in the pre-treatment questionnaire contained five options. This question assessed analysis of factors that cause anxiety before coming to the dentist were as shown in. It was found that almost all the factors increases the anxiety but noise of dental instruments was the most alarming factor

Pulse rate

Considering the heart rate of the patients, the pulse show variations in study group comparing to the pulse rate of the patients in control Group. The findings showed that the patients of study group had an evident decrease in the pulse rate from very high to normal. The patients of control group did not show major fluctuation in the pulse rate throughout the treatment (Figure 1).

Figure 1

  1. Pre-therapy questionnaire for anxiety levels.
  2. Sixth question in the pre-treatment questionnaire on factors that increases patient anxiety.
  3. Comparison of pulse rate amongst the patients of the study group and the control group.
  4. When patients were asked their anxiety level post music therapy.

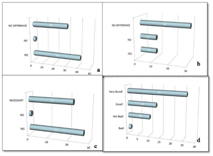
Figure 2

  1. When they were asked “do you feel relaxed as compared the time you entered the clinic”.
  2. Patients did not feel any difference in the reduction of pain.
  3. Patient’s views were asked on having similar music therapy set up in other clinics too, most of them agreed
  4. When patients were asked their experience on music therapy they graded it as “very good”.

Pulse rate statistical analysis

In order to statistically confirm the findings, an independent two-sample t-test was performed. The two samples being as follows. The average value of the decrease in pulse rate for study group was 3.06 with a standard deviation of 2.97. The average value of the decrease in pulse rate for control group was 0.18 with a standard deviation of 2.52. The critical t value for the given data is 1.66 for a 95% confidence interval with degrees of freedom = 95.45. Clearly, 5.22>1.66. Hence, the average decrease in pulse rate of patients exposed to music therapy is higher than that of patients not exposed to music therapy. Since pulse rate is a direct measure of a person's anxiety levels, the data is in favor of the claim that music therapy reduces anxiety in patients.

Post-therapy feedback form

The post-therapy feedback form was given only to patients who were exposed to music (study group). This feedback form was self-designed having six most relevant questions (Table 2). The statistical analysis of the fourth question was not done as it consisted patient’s individual personal response. The results of the statistics of the five questions were as follows. When patients were asked whether they still feel anxious, 27 said “No” When they were asked “Do you feel relaxed as compared the time you entered the clinic?” most of them said “Yes”, stressing on the role of music. Patients did not feel any difference in the reduction of pain Patient’s views were asked on having similar music therapy set up in other clinics too, most of them agreed. When patients were asked their experience on music therapy they graded it as ‘very good’ (Figure 2).

Discussion

The use of music in relation to illness and health has been known since ancient history. Pythagoras by dividing the monochord into simple ratios connected music, mathematics and medicine. Plato was the first authorized music medicine prescriber in the history of medicine Aristotle suggested that we can use music to alter various mood conditions and suggested Mixolydian, Dorian and Phrygian mode for different mood states. Hippocrates applied also music medicine.11 Shamans and medicine men of indigenous people have used music, drumming, singing, and dancing to heal people.12 In the 19th century, music was considered for healing purposes as addressed by Nightingale’s concerns regarding the effect of noise and music in the care of patients. Nightingale considered live music only, as recording music at that time was not an option.12 In the late 19th century the first recorded music was used in the hospitals as an intervention to diminish anxieties associated with surgery and it has been a growing field of development and research since after World War II, especially in the USA and in Germany.13 Music therapy has risen to the challenge of research in recent years. Not only is there a tradition of quantitative research but qualitative research approaches have been also incorporated within the discipline as is necessary for a clinical approach that involves science and art. Eitner studied music therapy on patients undergoing implant surgery. Mehr14 studied in various dental specialties. Dubar et al.15 proved its role in increasing the pain threshold.16 Many studies have been done on pediatric and gynecological patients and other specialties.3,17,18

Anxiety is mainly caused by sub-mentalities created in one’s mind. Music causes distraction to an individual from any task he is undergoing. The measures for anxiety used on adult patients were Steinberger’s anxiety scale Palo Alto19 we used questionnaire, modified cohra scale and puse rate to evaluate anxiety level which hasn’t been used so far as per extensive literature search ,which makes our study unique . Some of the patients were unable to perceive the questionnaire, so the questions were explained to them before they fill it on their own. One patient suggested one more parameter to be added in the pre-treatment questionnaire i.e. Fear caused by a third person experience conveyed to the patient.

Many Studies have been done on anxious pediatric patients.20–22 Studies were done on anxious patients with different types of music23 our findings showed that Patients exposed to music therapy overall had a relatively composed heart rate as compared to patients who were not exposed to music therapy. When the patients were asked for their opinion, majority of the patients said that they enjoyed the concept of background music and would like to keep listening to it in the following dental visits. No reduction in pain was noticed. However, patient’s distraction from the pain was evident. Music seems to be a psychological and spiritual way to calm oneself down as the patients showed an overwhelming response towards this therapy being practiced in dentistry. Most of the patients liked the music and seemed relaxed during the treatment. Some of the patients were noticed to have their eyes closed having relaxed facial expressions. Majority of the patients rated this therapy to be “good” or “very good”. Hence, considering a positive response towards the concept. The limitations of our study are that it should be conducted on a larger sample size, increasing the options of parameters of factors affecting dental anxiety in the pre-therapy questionnaire. It should be done in multiple-clinics.

Conclusion

Music therapy is like an exogenous cue that can be practiced in dentistry for anxious patients as it reduces anxiety, whereas having no effect on pain. Music therapy is an effective, complementary, non-pharmacological method contributing to the traditional clinical procedures. Dental visit can be made attractive by incorporating music during treatments with no significant financial input.

Acknowledgements

None.

Conflict of interest

The author declares no conflict of interest.

References

  1. Corah NL, Gale EN, Pace LF, et al. Relaxation and musical programming as means of reducing psychological stress during dental procedures. J Am Dent Assoc. 1981;103(2):232–234.
  2. Thoma MV, Zemp M, Kreienbühl L, et al. Effects of music listening on pre-treatment anxiety and stress levels in a dental hygiene recall population. Int J Behav Med. 2015;22(4):498–505.
  3. Kern P, Rivera NR, Chandler A, et al. Music therapy services for individuals with autism spectrum disorder: a survey of clinical practices and training needs. J Music Ther. 2013;50(4):274–303.
  4. Gordon D, Heimberg RG, Tellez M, et al. A critical review of approaches to the treatment of dental anxiety in adults. J Anxiety Disord. 2013;27(4):365–378.
  5. Elefant C, Baker FA, Lotan M, et al. The effect of group music therapy on mood, speech, and singing in individuals with Parkinsons disease-a feasibility study. J Music Ther. 2012;49(3):278–302.
  6. Mercedes Pavlicevic. Improvisational music therapy and the rehabilitation of persons suffering from chronic schizophrenia. J Music Ther. 1994;31(2):86–104.
  7. Henk Smeijsters, Gaby Wijzenbeek, Niek van Nieuwenhuijzen. The effect of musical excerpts on the evocation of values for depressed patients. Journal of Music Therapy. 1995;32(3):167–188.
  8. Sato Ashida MM, MT-BC. The effect of reminiscence music therapy sessions on changes in depressive symptom in elderly persons with dementia. Journal of Music Therapy. 2000;37(3):170–182.
  9. Magee WL, Davidson JW. The effect of music therapy on mood states in neurological patients: a pilot study. J Music Ther. 2002;39(1):20–29.
  10. Lahmann C, Schoen R, Henningsen P, et al. Brief relaxation versus music distraction in the treatment of dental anxiety: a randomized controlled clinical trial. J Am Dent Assoc. 2008;139(3):317–324.
  11. Dritsas A. Music: A double edge sword, Proceedings of the Euro prevent. Switzerland: EACPR; 2011.
  12. Nightingale F. Notes on nursing. Munksgaard, Denmark; 2004.
  13. Spintge R, Droh R. Music Medicine. USA: MMB Music; 1992.
  14. Eitner S, Sokol B, Wichmann M, et al. Clinical use of a novel audio pillow with recorded hypnotherapy instructions and music for anxiolysis during dental implant surgery: a prospective study. Int J Clin Exp Hypn. 2011;59(2):180–197.
  15. Mehr K, Wyganowska Swiatkowska M, Kowalkowska I, et al. Music therapy in different dental specialties. Przegl Lek. 2012;69(10):1049–1052.
  16. Dunbar RI, Kaskatis K, MacDonald I, et al. Performance of music elevates pain threshold and positive affect: implications for the evolutionary function of music. Evol Psychol. 2012;10(4):688–702.
  17. Aitken JC, Wilson S, Coury D, et al. The effect of music distraction on pain, anxiety and behavior in pediatric dental patients. Pediatr Dent. 2002;24(2):114–118.
  18. Cynthia Allison Davis. The effects of music and basic relaxation instruction on pain and anxiety of women undergoing in-office gynecological procedures. J Music Ther. 1992;29(4):202–216.
  19. Ayush Agrawal, Neil Makhijani, Penny Valentini. The effect of music on heart rate. Centerville, Ohio, USA; 2013.
  20. Bekhuis T. Music therapy may reduce pain and anxiety in children undergoing medical and dental procedures. J Evid Based Dent Pract. 2009;9(4):213–214.
  21. Navit S, Johri N, Khan SA, et al. Effectiveness and comparison of various audio distraction aids in management of anxious dental paediatric patients. J Clin Diagn Res. 2015;9(12):ZC05–C09.
  22. Singh D, Samadi F, Jaiswal JN, et al. Stress reduction through audio distraction in anxious pediatric dental patients: an adjunctive clinical study. Int J Clin Pediatr Dent. 2014;7(3):149–152.
  23. Moola S1, Pearson A, Hagger C. Effectiveness of music interventions on dental anxiety in pediatric and adult patients: a systematic review. JBI Libr Syst Rev. 2011;9(18):588–630.
Creative Commons Attribution License

©2017 Chandure, et al. This is an open access article distributed under the terms of the, which permits unrestricted use, distribution, and build upon your work non-commercially.