Submit manuscript...
eISSN: 2471-0016

International Clinical Pathology Journal

Case Report Volume 4 Issue 3

Prediction of preeclampsia with novel biomarkers at second trimester of pregnancy

Amel Mahmoud Kamal Eldin,1 Ahmed Abdel Samie Omran,1 Ashraf Mohammed Mohammed Osman,1 Yasser Makram Elsherbeeny,1 Maged Salah,2 Ahmed Kotb,3 Mahmoud Mohammed Moussa1

1Department of Clinical pathology, Minia University, Egypt
1Department of Clinical pathology, Minia University, Egypt
2Department of Clinical pathology, Assiut University, Egypt
2Department of Clinical pathology, Assiut University, Egypt
3Department of Gynecology & Obstetrics, Minia Uiversity, Egypt
3Department of Gynecology & Obstetrics, Minia Uiversity, Egypt

Correspondence: Amel Mahmoud Kamal Eldin, Department of Clinical pathology, Minia University, Egypt, Tel 2010 2000 0000

Received: January 01, 1971 | Published: March 28, 2017

Citation: Eldin AMK, Omran AAS, Osman AMM, et al. Prediction of preeclampsia with novel biomarkers at second trimester of pregnancy. Int Clin Pathol J. 2017;4(3):60–64. DOI: 10.15406/icpjl.2017.04.00095

Download PDF

Abstract

Objective: To evaluate the ability of the soluble vascular endothelial growth factor receptor (sFlt-1), neutrophil-flt-1, monocyte-flt-1, pentraxin3 (PTX3), nitric oxide (NO) and alpha fetoprotein (AFP) measurements at gestational weeks 14-18 to predict preeclampsia (PE).

Subjects & methods: Fifty pregnant females at second trimester of pregnancy divided into 25 normotensive pregnant females who remained normotensive till delivery (group I) and 25 high risk pregnant females who subsequently developed PE (group II). Twenty five healthy non-pregnant females served as control (group III). Maternal blood samples were collected at 14-18 gestational weeks. EDTA samples were investigated for both neutrophil- and monocyte-flt-1 by flowcytometer. Stored serum samples were analyzed for sFlt-1, PTX3, NO and AFP by ELISA.

Results: Alpha fetoprotein, sflt-1 and pentraxin 3 were found to be statistically significantly increased in group II when compared with group I (P-value=0.024, <0.001 & 0.006) and group III (P-value=<0.001). However, there was statistically significant decrease in neutrophil-flt-1 and nitric oxide in group II when compared with group I (P-value=<0.001 & 0.016). Group II had significant negative correlation between soluble flt-1 and both neutrophil- & monocyte-flt-1 (P-value=˂0.001 & 0.009) and between neutrophil-flt-1 and PTX3 (P-value=0.007). Soluble flt-1 was found to have the highest predictive value for predicting preeclampsia (AUC=0.941& P-value=<0.001).

Conclusion: Soluble flt-1 was the best single biomarker to predict preeclampsia at second trimester of pregnancy.

Keywords: preeclampsia, biomarkers, alpha fetoprotein, sflt-1, neutrophil-flt-1, monocyte-flt-1, pentraxin3 and nitric oxide

Introduction

Preeclampsia (PE) is a major contributor to the maternal and neonatal mortality and morbidity. It is the 2nd largest cause of maternal mortality affecting 3% to 8% of pregnant women worldwide.1 Reeclampsia is a multisystem disorder of unknown etiology manifested with hypertension, proteinuria with or without other multisystem alterations.2 Therefore we are in need of a widely applicable and affordable test that could permit pre-symptomatic diagnosis in order to identify and monitor the patients at risk for developing preeclampsia and thus provide the best prenatal care for these women and their child.3 Preeclampsia has been associated with an elevation of alpha fetoprotein (AFP) in maternal serum. Elevated maternal AFP is associated with a higher frequency of adverse pregnancy outcomes such as PE at later gestations.4

Previous studies have shown that placenta of preeclamptic women secretes multiple proteins in response to impaired placental perfusion and hypoxia. One of the secreted placental factors is vascular endothelial growth factor (VEGF) which is a multifunctional cytokine that plays a pivotal role in angiogenesis in vivo. It exerts its biological effects through VEGF receptor-1 [Fms-like tyrosine kinase 1 (Flt-1)] and VEGF receptor-2. Flt-1 has recently gained attention because of its overall implication in pathological angiogenesis and inflammation. Placental cells also secrete a soluble isoform of flt-1(sflt-1) that acts as an anti-angiogenic factor by interacting with, and thereby neutralizing, VEGF. Also, the increased level of sflt-1 during PE inhibits the upregulation and decreases neutrophil expression of flt-1 by neutralizing VEGF.5

Pentraxin 3 has been proposed as a marker of endothelial dysfunction and inflammation in PE due to continuous shedding of placental debris into maternal circulation. Pentraxin 3 is elevated in normal pregnancy and also shown to be higher with PE. Additional longitudinal studies throughout pregnancy may be warranted to determine if PTX3 will be a useful early marker for PE.6 Because NO is an important physiological vasodilator in normal pregnancy, it follows that NO deficiency during PE has been implicated in the disease process. It is unclear whether NO deficiency occurs in women with PE.7 So the aim of this study was to assess the clinical utility of AFP, sflt-1, neutrophil-flt-1, monocyte-flt-1, PTX3 and NO as predictive biomarkers of preeclampsia in first half of the second trimester pregnant women before the appearance of clinical symptoms of the disease.

Subjects and methods

Fifty pregnant women who attended the Minia University Hospital for routine antenatal care, over a period of one year, between 14-18weeks of gestation divided into 25 normotensive pregnant females who remained normotensive till delivery (group I) and 25 high risk pregnant females who subsequently developed PE (group II). Twenty five age matched apparently healthy females were served as control. All subjects were included in the study after obtaining an informed consent. The exclusion criteria included: Women with history of chronic hypertension, diabetes, renal disease, proteinuria by dipstick method as well as those with a baseline blood pressure of ≥140/90mmHg at booking. All these women were followed up till delivery.

A spot urine sample was collected for estimation of calcium, creatinine and albumin. Venous blood were withdrawn by sterile venipuncture to estimate complete blood count (CBC) and flowcytometric analysis of CD13, CD14 and Flt-1. Plasma was separated, aliquoted and kept frozen at -40ºC until analysis of pentraxin3. Serum was used for instant analysis of random glucose, urea, serum creatinine, uric acid (UA), total bilirubin, ALT, AST and albumin. Stored serum was kept frozen at -40ºC until analysis of AFP, sFlt-1 and nitric oxide.

Complete blood count: determined by automated cell counter Sysmex K-21n (TAO Medical Incorporation, Japan). Glucose, blood urea, serum and urine creatinine, UA, total bilirubin, ALT, AST and serum albumin: determined by fully automated clinical chemistry analyzer Konelab 20i (Thermo Scientific, Finland). Serum and urine calcium: determined by Flexor EL200 (Elitech Clinical Systems, Puteaux France). Urinary albumin was determined in a random urine sample by turbidimetric method using sulfosalicilic acid 3%.8 Calcium creatinine ratio (CCR): was calculated by dividing urinary calcium (mg/dl) by urinary creatinine (gm/dl) in a random urine sample. Normal values were considered normal if less than 220.9 The AFP, sflt-1, PTX3 and NO were all measured by kits supplied by R&D systems.

Maternal neutrophils and monocytes were identified using monoclonal mouse anti human antibodies against neutrophil surface markers CD13 conjugated with fluorescent isothiocyanate (FITC) (Clone WM-47, Dako, Denmark) and against monocyte surface markers CD14 conjugated with FITC for CD14 (Clone TUK4, Dako, Denmark). Washed cells from whole blood were incubated with FITC-conjugated antibodies against neutrophils CD13, monocyte CD14 along with the phycoerythrin (PE)-labeled monoclonal antibody, which bound to cells expressing VEGF R1 (R&D systems). Cell surface expression of VEGF R1 was determined by flow cytometric analysis using 488 nm wavelength laser excitation (BD FAC SCalibur, BD Biosciences, USA).

Statistical analysis

Data were analyzed by using SPSS (Statistical Package for Social Science) version 16. Results were expressed as mean±standard deviation (SD) unless otherwise specified. Student t-test of Mann Whitney was used to compare variables between studied groups. Pearson correlation was used to perform correlation between different variables. Results were considered significant if P-value was<0.05 and highly significant if P-value<0.001. Receiver Operating Characteristic (ROC) curve was used to estimate area under the curve (AUC) of different variables where 0.9-1.0 indicating an excellent test, 0.8-0.9 a good test, 0.7-0.8 a fair test and 0.6-0.7 a poor test. ROC curve was used to estimate the optimal cut-off value for best sensitivity and specificity of coordinate points of the curve. The optimal cut-off value was used to estimate both positive predictive value (PPV) and negative predictive value (NPV) of the studied variable.

Results

Group II had statistically significant increase in age (P-value = 0.03) when compared to group I. Group II had statistically the highest value of BMI when compared to both group I and group III (P-value = < 0.001). Group II had statistically significant increase in parity when compared with group I (P-value = 0.018). There was statistically significant increase in both systolic and diastolic blood pressure in group II when compared with group I (P-value = < 0.001). Baby birth weight was statistically significantly decreased in group II when compared with group I (P-value = < 0.001). Both hemoglobin and hematocrit were significantly decreased in group I and group II when compared with group III (P-value = < 0.001). Group II had the statistically significant highest total leukocytic count when compared with group I and group III (P-value = 0.047 & P- value = 0.048 respectively). Platelet count was significantly decreased in group I and group II when compared with group III (P-value = 0.009 & P-value = 0.005 respectively). There was statistically significant increase in random blood glucose (P-value = 0.049), ALT (P-value = 0.015), total bilirubin (P-value = 0.001) and A/C ratio (P-value = < 0.001) in group II when compared with group I. However, there was statistically significant decrease in albumin (P-value = 0.037) and calcium/creatinine ratio (P-value = 0.004) in group II when compared with group I. Alpha fetoprotein, sflt-1 and pentraxin 3 were found to be statistically significantly increased in group II when compared with group I (P-value = 0.024, P-value = < 0.001 & P-value = 0.006 respectively). However, there was statistically significant decrease in neutrophil-flt-1 and nitric oxide in group II when compared with group I (P-value = < 0.001 & P-value = 0.016). (Table 1)

 

Group I

Group II

Group III

Group I vs. III (P value)

Group II vs. III (P value)

Group I vs. II (P value)

BMI

24.6 ± 2.77

28.77 ± 3.88

21.39 ± 1.85

˂ 0.001**

˂ 0.001**

˂ 0.001**

UA (mg/dl)

3.05 ± 1.39

3.36 ± 1.33

3.0 ± 0.86

0.884

0.269

0.430

ACR

15.2 ± 6.68

23.16 ± 7.86

11.24 ± 4.15

0.015*

˂ 0.001**

˂ 0.001**

CCR

122.8 ± 47.38

86.24 ± 37.72

168.16 ± 30.36

˂ 0.001**

˂ 0.001**

˂ 0.004*

AFP (ng/ml)

8.44 ± 2.58

10.50 ± 3.59

4.72 ± 1.52

˂ 0.001**

˂ 0.001**

0.024*

sFlt-1 (pg/ml)

1699.68 ± 226.69

2218.44 ± 238.63

145.56 ± 37.18

˂ 0.001**

˂ 0.001**

˂ 0.001**

CD13+flt-1+ Neutrophils (%)

48.88 ± 9.08

35.03 ± 9.45

40.28 ± 16.86

˂ 0.029*

0.182

˂ 0.001**

CD14+flt-1+ Monocytes (%)

44.38 ± 16.34

38.51 ± 5.28

35.42 ± 16.92

0.063

0.388

0.094

PTX3 (ng/ml)

5.0 ± 6.44

13.40 ± 13.04

1.29 ± 0.44

0.006**

˂ 0.001**

0.006**

NO (µmol/ml)

105.97 ± 52.87

72.20 ± 41.81

97.71 ± 45.03

0.555

0.043*

0.016*

Table 1 Comparison between different studied groups as regards mean ± SD and P-value of BMI, UA, ACR, CCR, AFP, sFlt-1, CD13+Flt-1+ neutrophils, CD14+Flt-1+ monocytes, PTX3 and NO.

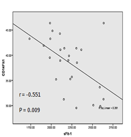
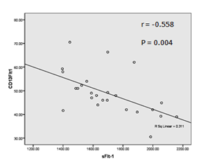
There was significant positive correlation between sflt-1 and pentraxin 3 (r = 0.398 & P-value = 0.049), neutrophil-flt-1 and monocyte-flt-1 (r = 0.552 & P-value = 0.004) (Figure 1), neutrophil-flt-1 and uric acid (r = 0.455 & P-value = 0.022) in group II. However, there was significant negative correlation between sflt-1 and monocyte-flt-1 (r = -0.551 & P-value = 0.009) (Figure 2), sflt-1 and neutrophil-flt-1 (r = -0.683 & P-value = < 0.001) (Figure 3), neutrophil-flt-1 and pentraxin 3 (r = -0.522 & P-value = 0.007) (Figure 4), pentraxin 3 and nitric oxide (r = -0.496 & P-value = 0.012) in group II (Figure 4). ROC curve analysis (Table 2) revealed that BMI at > 25 had an AUC of 0.82, sensitivity, specificity, PPV and NPV of 84, 52, 63.6 and 76.5 % respectively with P-value = < 0.001. Uric acid at > 6.0 had an AUC of 0.646, sensitivity, specificity, PPV and NPV of 8, 88, 40 and 48.9 % respectively with P-value = 0.077. A/C ratio at > 30, had an AUC of 0.784, sensitivity, specificity, PPV and NPV of 16, 92, 66.7 and 52.3 % respectively with P-value = 0.001. CCR at ≤ 40, had an AUC of 0.754, sensitivity, specificity, PPV and NPV of 20, 84, 55.6 and 51.2 % respectively with P-value = 0.002. AFP at > 8.5 ng/ml had an AUC of 0.674, sensitivity, specificity, PPV and NPV of 68, 60, 63 and 65.2 % respectively with P-value = 0.035. Soluble flt-1 at > 1986 pg/ml had an AUC of 0.941 (Figure 6), sensitivity, specificity, PPV and NPV of 84 % P-value = < 0.001. Monocyte-flt-1 at < 42.3 % had an AUC of 0.71, sensitivity, specificity, PPV and NPV of 76, 68, 70.4 and 73.9 % respectively with P-value = 0.011. Neutrophil-flt-1 < 41.3 % had an AUC of 0.874, sensitivity, specificity, PPV and NPV of 80, 84, 55.6 and 53.1 % respectively with P-value = < 0.001. Pentraxin 3 at > 5.9 ng/ml had an AUC of 0.82, sensitivity, specificity, PPV and NPV of 68, 72, 68 and 68 % respectively with P-value = 0.001. Nitric oxide at < 73.5 µmol/l had an AUC of 0.702, sensitivity, specificity, PPV and NPV of 64, 68, 66.7 and 65.4 % respectively with P-value = 0.014.

Test

AUC

Cutoff value

Sensitivity

Specificity

PPV

NPV

P-value

BMI

0.820

> 25

84 %

52 %

63.6 %

76.5 %

< 0.001

Uric acid

0.646

> 6.0 mg/dl

8%

88%

40%

48.9%

0.077

A/C ratio

0.784

> 30

16%

92%

66.7%

52.3%

0.001

CCR

0.754

≤ 40

20%

84%

55.6%

51.2%

0.002

AFP

0.674

> 8.5 ng/ml

68%

60%

63%

65.2%

0.035

sFlt-1

0.941

> 1986 pg/ml

84%

84%

84%

84%

< 0.001

CD14+Flt-1+ monocytes

0.710

< 42.3 %

76%

68%

70.4%

73.9%

0.011

CD13+Flt-1+ neutrophils

0.874

< 41.3 %

80%

84%

55.6%

53.1%

< 0.001

Pentraxin 3

0.774

> 5.9 ng/ml

68%

72%

68%

68%

0.001

NO

0.702

< 73.5 µmol/l

64%

68%

66.7%

65.4

0.014

Table 2 Data of ROC curve analysis including AUC, sensitivity, specificity, PPV, NPV and P-value of BMI, uric acid, A/C ratio, CCR, AFP, CD14+Flt-1+ monocytes, CD13+Flt-1+ neutrophils, PTX3 and NO in patient groups.

Figure 1 Correlation between CD14+Flt-1+ monocytes & CD13+Flt-1+ neutrophils in group II.
Figure 2 Correlation between sFlt-1 & CD14+Flt-1+monocytes in group II.
Figure 3 Correlation between sFlt-1 & CD13+Flt-1+ neutrophils in group II.
Figure 4 Correlation between CD13+Flt-1+ neutrophils & PTX3 in group II.
Figure 5 Correlation between PTX3 & NO in group III.
Figure 6 ROC curve of sFlt-1 in patient groups

Group II had significantly the highest BMI, ACR, AFP, and sflt-1 and PTX3 mean values. However, CCR, CD13+flt-1+ neutrophils, CD14+flt-1+ monocytes and NO had the lowest mean values in group II when compared with other studied groups.

Discussion

Preeclampsia is a syndrome which develops towards the end of pregnancy. Its pathogenesis is still not clearly defined hence there is no specific diagnostic tests for its prediction. In this prospective study, we investigated traditional (BMI, UA, ACR and CCR) as well as novel (AFP, sflt-1, neutrophil-flt-1, monocyte-flt-1, PTX3 and NO) biomarkers for prediction of preeclampsia at second trimester of pregnancy. These biomarkers were estimated at 14-18weeks of gestation in 50 pregnant antenatal women of whom, 25 low risk females remained normotensive until delivery and 25 high risk pregnant females developed preeclampsia later in gestation compared to 25 healthy non-pregnant controls. This study revealed that among traditional biomarkers in predicting preeclampsia, BMI was a good test followed by ACR (fair test), CCR (fair test) and at last uric acid (poor test).

BMI had the highest mean value in preeclamptic patients compared with other groups. Using BMI in predicting preeclampsia was investigated in other studies. However BMI was found to be only a fair test by North RA et al.10 Myatt L, et al.11 and a poor test by Direkvand-Moghadam A et al.12 In contrary, Anderson NH et al.13 did not find significant association between BMI and preeclampsia. Using ROC analysis among studied novel biomarkers for prediction of preeclampsia, we found that sflt-1 was the best (excellent test) followed by neutrophil-flt-1 (good test), PTX3 (fair test), monocyte-flt-1 (fair test), NO (fair test) and at last AFP (poor test). Soluble flt-1 had the highest mean value in preeclamptic patients compared with other groups. These results were in agreement with Shokry M et al.14 and Myers JE et al.15 In the present study, a significant negative correlation was found between sflt-1 and both neutrophil-flt-1 & monocyte-flt-1 in preeclamptic patients. This was also agreed with Shokry M et al.14 This was probably due to excessive formation of the auto splicing variant of flt-1 receptor (sflt-1) decreasing the formation of flt-1 receptor on neutrophils and monocytes. This explanation agreed with Rajakumar A et al.16 and Miyagami S et al.17 who concluded a decrease in placental gene expression of flt-1 receptor in preeclampsia.

The present study revealed that Pentraxin3 had the highest mean value in preeclamptic patients compared with other groups. This was in agreement with Castiglioni MT et al.18 and Akolekar R, et al.19,20 In the context of systemic inflammatory process and its contribution to the pathogenesis of preeclampsia, Cetin I, et al.21 studied both C-reactive protein and PTX3, found that only PTX3 levels were elevated in women who subsequently developed preeclampsia.

In the present study, NO had the lowest mean value in preeclamptic group when compared with other groups as found by Matsubara K, et al.7 and Shaker OG et al.22 The decrease in NO may be due to consumption by the increased oxidative stress state which in turn leads to development of preeclampsia or due to reduced NO production which may have an adverse effect on placental hemodynamic function in preeclampsia, and could be involved in the pathogenesis of this important obstetric complication.

Conclusion

Among all studied biomarkers, soluble flt-1 was found to be the best single biomarker in predicting preeclampsia at 14-18weeks of gestation with the best diagnostic sensitivity and specificity. Soluble flt-1 was significantly negatively correlated with neutrophil-flt-1 and monocyte-flt-1. So, the predictive utility of sflt-1 could be strengthened when combined with both neutrophil- and monocyte-flt-1. This may be an approach to develop a novel predictive model for preeclampsia combining the three biomarkers with better sensitivity and specificity.

Acknowledgements

None.

Conflict of interest

The author declares no conflict of interest.

References

  1. Anderson UD, Olsson MG, Kristensen KH, et al. Review: biochemical markers to predict preeclampsia. Placenta. 2012;33:42–47.
  2. Duley L. The global impact of pre-eclampsia and eclampsia. Seminars in Perinatology. 2009;33(3):130–137.
  3. Grill S, Rusterholz C, Zanetti-Dällenbach R, et al. Potential markers of preeclampsia–a review. Reproductive Biology and Endocrinology. 2009;7:70.
  4. Dehghani-Firouzabadi R, Tayebi N, Ghasemi N, et al. The association between second trimester maternal serum alpha-fetoprotein in 14-22 weeks and adverse pregnancy outcome. Acta Med Iran. 2010;48(4):234–238.
  5. Zhou Q, Qiao FY, Zhao C, et al. Hypoxic trophoblast-derived sFlt-1 may contribute to endothelial dysfunction: implication for the mechanism of trophoblast-endothelial dysfunction in preeclampsia. Cell Biol Int. 2011;35(1):61–66.
  6. Hamad RR, Eriksson MJ, Berg E, et al. Impaired endothelial function and elevated levels of pentraxin 3 in early-onset preeclampsia. Acta Obstet Gynecol Scand. 2012;91(1):50–56.
  7. Matsubara K, Matsubara Y, Hyodo S, et al. Role of nitric oxide and reactive oxygen species in the pathogenesis of preeclampsia. J Obstet Gynaecol Res. 2010;36(2):239–247.
  8. Burtis CA, Ashwood ER, David EB. Determination of urinary albumin using sulfosalicilic acid turbidimetric method. Tietz textbook of clinical chemistry and molecular diagnostics. 4th ed. Saunders, Missouri, USA; 2006. p. 588–589.
  9. Metz JP. Determining urinary calcium/creatinine cutoffs for the pediatric population using published data. Ann Clin Biochem. 2006;43(5):398–401.
  10. North RA, McCowan LM, Dekker GA, et al. Clinical risk prediction for pre-eclampsia in nulliparous women: development of model in international prospective cohort. BMJ. 2011;342:d1875.
  11. Myatt L, Clifton RG, Roberts JM, et al. First-trimester prediction of preeclampsia in nulliparous women at low risk. Obstet Gynecol. 2012;119(6):1234–1242.
  12. Direkvand-Moghadam A, Khosravi A, Sayehmiri K. Predictive factors for preeclampsia in pregnant women: a unvariate and multivariate logistic regression analysis. Acta Biochim Pol. 2012;59(4):673–677.
  13. Anderson NH, McCowan LM, Fyfe EM, et al. The impact of maternal body mass index on the phenotype of pre-eclampsia: a prospective cohort study. BJOG. 2012;119(5):589–595.
  14. Shokry M, Bedaiwy MA, Fathalla MM, et al. Maternal serum placental growth factor and soluble fms-like tyrosine kinase 1 as early predictors of preeclampsia. Acta Obstet Gynecol Scand. 2010;89(1):143–146.
  15. Myers JE, Kenny LC, McCowan LME, et al. Angiogenic factors combined with clinical risk factors to predict preterm pre-eclampsia in nulliparous women: a predictive test accuracy study. BJOG. 2013;120(10):181–184.
  16. Rajakumar A, Michael HM, Rajakumar PA, et al. Extra-placental expression of vascular endothelial growth factor receptor-1, (Flt-1) and soluble Flt-1 (sFlt-1), by peripheral blood mononuclear cells (PBMCs) in normotensive and preeclamptic pregnant women. Placenta. 2005;26(7):563–573.
  17. Miyagami S, Koide K, Sekizawa A, et al. Physiological changes in the pattern of placental gene expression early in the first trimester. Reprod Sci. 2012;20(6):710–714.
  18. Castiglioni MT, Scavini M, Cavallin R, et al. Elevation of plasma levels of the long pentraxin 3 precedes preeclampsia in pregnant patients with type 1 diabetes. Autoimmunity. 2009;42(4):296–298.
  19. Akolekar R, Casagrandi D, Livanos P, et al. Maternal plasma pentraxin 3 at 11 to 13 weeks of gestation in hypertensive disorders of pregnancy. Prenat Diagn. 2009;29(10):934–938.
  20. Akolekar R, Syngelaki A, Sarquis R, et al. Prediction of early, intermediate and late pre-eclampsia from maternal factors, biophysical and biochemical markers at 11-13 weeks. Prenat Diagn. 2011;31(1):66–74.
  21. Cetin I, Cozzi V, Pasqualini F, et al. Elevated maternal levels of the long pentraxin 3 (PTX3) in preeclampsia and intrauterine growth restriction. Am J Obstet Gynecol. 2006;194(5):1347–1353.
  22. Shaker OG, Shehata H. Early prediction of preeclampsia in high-risk women. J Womens Health (Larchmt). 2011;20(4):539–544.
Creative Commons Attribution License

©2017 Eldin, et al. This is an open access article distributed under the terms of the, which permits unrestricted use, distribution, and build upon your work non-commercially.