Submit manuscript...
International Journal of
eISSN: 2573-2838

Biosensors & Bioelectronics

Review Article Volume 3 Issue 3

Role of cross-linking process on the performance of PMMA

Mahmoud A Hussein,1,2 Hasinah K Albeladi,1 Abeer N Al-Romaizan1

1Chemistry Department, King Abdulaziz University, Saudi Arabia
2Chemistry Department, Assiut University, Egypt

Correspondence: Mahmoud A Hussein, Chemistry Department, Faculty of Science, King Abdulaziz University, PO Box 80203, Jeddah 21589, Saudi Arabia

Received: October 03, 2017 | Published: October 17, 2017

Citation: Albeladi HK, Al-Romaizan AN, Hussein MA. Role of cross-linking process on the performance of PMMA. Int J Biosen Bioelectron. 2017;3(3):279–284. DOI: 10.15406/ijbsbe.2017.03.00065

Download PDF

Abstract

In order to encounter the necessities of the application, cross-linking of poly(methyl methacrylate) (PMMA) has been emerged and become an interesting issue, due to the unsatisfied results that result by the neat poly(methyl methacrylate) itself. Numerous facets make cross-linked PMMA superior and preferred than uncross polymer like the enhanced heat performance, the outstanding mechanical properties, its chemical resistance and good abrasion resistance. UV radiation, Cross-linking by free radical, small-molecule cross-linking, and condensation are discoursed concisely in the following review, also the effects of cross-linker on polymer properties are discussed. Importantly, present the review discusses the different important applications of cross-linked PMMA.

Keywords: poly (methyl methacrylate), cross-linking, thermal stability, medical applications

Introduction

There is no doubt that, poly (methyl-methacrylate) (PMMA) is commercially used synthetic resin that produced via polymerization of its starting methyl-methacrylate monomer. It is a multipurpose amorphous thermoplastic polymer that is widely used in optic-electronic instruments like: surface boosted Raman scattering substrates,1 lightweight window,2 solar cells,3 light-emitting diode 4 and battery5 because of its significant characteristics such as: its exceptional optical transparency, low-priced, mechanical properties, chemical resistance, and tremendous electrical.6 Also, PMMA is used commonly in electronic, surgical and dental supplies, as it is characterized by its resistance to several inorganic reagents, acidic and alkaline solutions, non-polar solvents, and aliphatic hydrocarbons.7,8 Unfortunately, the hydrophobic nature and lack of triggered organic groups on PMMA, its low mechanical - dynamical properties under high temperature circumstances and thermal steadiness considered as drawbacks of PMMA that restricted its applications. There is an important well known method used to improve the properties of PMMA radically such as: its influence in the chemical, thermal, physical, morphological, and mechanical behavior of a polymer, which made it used potentially in different fields such as electronic applications,9 humidity sensors10 batteries.11 This method is called Cross-linking in which it tends to polymer modification by the process of interlinking the polymer chains through ionic or covalent bonds, in which it confines the polymer chains to slide past each other by impeding their free movement and produces elasticity in amorphous polymers at the same time, and this process can be carried out by using (i) chemical cross-linking or (ii) physical procedures.

The cross-linking effect on various characteristics

Chemical cross-linking produce new polymer derivatives that completely have different physical as well as chemical properties. In most cases, chemical modifications enhance the total performance of PMMA and lead to unexpected new type of application that can be utilized for the new products. Table 1 summarize the most promoted characterizations after cross-linking occurs.10,12-17

Characteristic of PMMA

Change After Cross-Linking of PMMA

Ref

Thermal stability

Greatly improved

12

Tensile strength

Increase

13

surface hardness

Increase

14

Mechanical stability

Greatly improved

15

flame retardant

Increase

16

Elasticity

slightly increase

17

solvent resistance

Increase

10

chemical resistance

Increase

14

Table 1 The most significant poly(methyl methacrylate) characterization changes after cross- linking process

The chemistry of PMMA cross-linking

Cross-linking by means of free radical polymerization

In order to attain chemically cross-link polymers, there are techniques used such as suspension, emulsion, and dispersion polymerization techniques in which suspension polymerization technique is used preferably.18 In the occurrence of an initiator and heat Free-radical polymerization takes place. The synthesis of GDMA-PMMA resin is carried out by the cross-linking process of GDMA with methyl methacrylate (MMA) through free radical polymerization, in which the GDMA-cross-linked PMMA polymer is acquainted with being an effectual sustenance for solid phase peptide production as illustrated in Figure 1. The new flexible GDMA-PMMA resin can be designed for the synthesis of hydrophobic peptides in very high yield and transparency.15

Figure 1 Preparation of GDMA/cross-linked PMMA resin.

Cross-linking Through condensation reactions

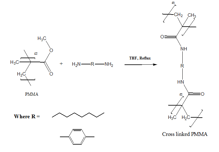
This form of polymerization takes place in the presence of heat, catalyst, or both. According to the bridging groups formed during polymerization, the polymers obtained by means of this method may be degradable19 or non-degradable. PMMA with diamine compounds can be produced by condensation reactions among the carbonyl group (>C=O) with Amine group (-NH), These reactions may be used for to improve PMMA properties mainly thermal steadiness and texture behavior by means of normal chemical action by the use of aliphatic and aromatic diamines in several ratios as cross-linking agents as shown in Figure 2.12

Figure 2 Schematic illustration for cross-linked PMMA polymers with aliphatic and aromatic diamines.

Small-molecule cross-linking

Some Small-molecules considered as a cross-linker and used potentially to obtain cross-linked polymer such as: formaldehyde, glutaraldehyde, potassium dichromate, osmium tetroxide, and potassium permanganate, other than the multifunctional (bi, tri, or tetra) cross-linking agent.20,21 This technique is used mostly for the polymers containing, carboxylic acid, hydroxyl and amine grounded functionality, and it is used extensively like addition or condensation polymerization by free radical polymerization polystyrene (PS) and PMMA amide functionalized were produced. For example PMMA polymer was efficiently cross-linked with a small molecule cross-linker (1,3,5-tris(2-propynyloxy)benzene) by means of a thermally triggered reaction at 100 °C as displayed in Figure 3. Good solvent resistant has been shown through the cross linked PMMA thin film and displayed significantly enhanced dielectric properties associated with uncross-linked polymer, which makes this cross-linking technique companionable with plastic substrates for malleable electronic applications.9

Figure 3 The fabrication process of cross-linked PMMA film.

Cross-linking by means of radiation

Radiation treatment such as the gamma exposure, proton, electron, implantation and ion irradiation 22-25 can alter the polymeric properties; in which radiation induced cross- linking of polymers have extensive variety of uses on the profitable levels like: rubber tires, wires, cross- linked cables, development of cross- linked silicon carbide fibers and polymer recycling. The irradiation environments for PMMA thin films to induce cross-linking in the polymeric chains have been improved by irradiating it with 2 MeV proton beam while preserving the exposed area free of blister.26 Figure 4 shows an schematic illustration summarize the most important methods of cross-linking for PMMA polymer. In general, a brief comparison between the main four types of cross-linking processes is displayed in Table 2. The present comparison is mainly based on variable items including: number of steps, cross-linking & curing mechanism, curing temperature, mechanistic approach, curing time, equipment cost, bond strength, and degree of cross-linking.

Cross-Linking Process

Free Radical Polymerization

Condensation Reactions

Small-Molecule

Radiation 27

No. of steps

One step

One step

Two step

One step

Cross-linking mechanism

Free radical

Grafting

Free radical

Curing mechanism

-

Condensation reaction

Condensation reaction

-

Curing temperature

80 °C

65-67 °C

100 °C

Room temperature

Mechanistic Approach

Monomer/Monomer

Polymer/Monomer

Polymer/Monomer

Curing time

less

High

Very high

Very low

Equipment cost

Low

Low

Low

High

Bond strength

Strong

Strong

Strong

Strong

Degree of cross-linking

Degree of cross-linking is
controlled by an amount of cross-linker,
reaction time, temperature, stirring
speed, and an initiator/catalyst
(type and concentration)

Degree of cross-linking is
controlled by an amount of cross-linker,
reaction time, temperature, stirring
speed, and an initiator/catalyst
(type and concentration)

Degree of cross-linking is
controlled by high-energy ionizing
radiation, gamma, or x-ray and their
radiation dose 29.

Table 2 A Comparison between four main types of cross-linking processes

Figure 4 Poly(methyl methacrylate) cross-linking methods.

Cross-linking agents

Cross-linking processes for PMMA have been widely utilized in order to overcome the significant week points in leaner PMMA such as rigidity, mechanical strength, strain modulus, and stiffness. In addition to thermal stability as well as morphological behaviors which are completely affected by cross-linking process. The cross-linked product is completely affected by the type of cross-linker and its concentration. Properties like thermal degradation, glass transition, particle size, pore size, pore volume, surface area, and swelling are totally changed after cross-linking occurred. The most important cross-linker types are hydrophilic, hydrophobic, rigid, or flexible. Table 3 shows the most important monomers and their common abbreviations that predominantly used as cross-linkers or cross-Linking agents in such cross-linking process for PMMA.

Monomer

Abbreviation

Chemical Structure

Ethyleneglycol dimethacrylate

EGDMA

Trimethylolpropane triacrylate

TMPTA

Hexamethyleneglycol dimethacrylate

HMGDM

Tetraethylene glycol dimethacrylate

TEGDMA

Divinyl benzene

DVB

1,6-diaminohexane

DAH

p-phenylenediamine

P-PHDA

Table 3 The most common cross-linking monomers used in cross-Linking agents of PMMA

Applications of crosslinking

Medical applications

In joint replacement surgery PMMA, based cements are used extensively in bone cements. However, there are some drawbacks in the usage of these cements, as the clinical achievement percentage is properly high. It has been stated by Deb, S. and B. Vazquez, that dimethacrylate cross-linking agents was added to the monomer stage with the purpose of producing a cross-linked matrix, along with using barium sulphate as a radiopaque agent, and by this, the results suggest that the mechanical properties can be enhanced or reserved by means of addition of those cross-linking agents.13 One of the predominantly used polymers in dental instruments is PMMA as it is used extensively for fabricating dentures, in which the denture base polymer are multiphase polymers made of PMMA beads and monomers enclosing cross-linking agent, as there are lots of cross-linking agents have been used as a factor of PMMA denture-base material.30,31 The outcome of the point of cross-linking on swelling and drug swelling and drug release behavior of poly (MMA-coitaconic acid) [P (MMA/IA)] hydrogels for site specific drug distribution has been presented by Khalid S et al.32 putting in consideration that the Cross-linking percentage is one of the most significant factors that affect the swelling of the hydrogels, in which any increase occur in the degree of cross-linking of the system will effect in a stronger gel, also it was detected that the MMA/IA polymer is appropriate for distributing the drug above pH 6, whatever the degree of cross-linking.32 In literature there is a work presented by Nein et al.33 stating that bone cement is produced for drug release with the ability of control, and an increase in both the drug release rate and total release amount of the drugs, devoid of losing the mechanical characteristics of the cement, and that was accomplished by acquainting with cross-linked PMMA-acrylic acid sodium salt particles into the bone cement, that intensify the hydrophilicity of the cement for the easy channel of liquids.33

Energy storage

Krebs H et al.34 presented a series of methacrylate-cross-linked polymers as impending polymer electrolytes for energy storage application, in which two series of porous thin films have been equipped using precipitation polymerisation of MMA with methacrylate ester cross linkers of altered spacer lengths, and the result was that both series of polymers exhibited high thermal steadiness corresponding with their molecular structure and the thin polymer electrolyte films turn out to be harder and more elastic by means of condensed crosslink density and increased spacer length of the crosslinking agent. As a result of the grouping of properties makes these thin films encouraging applicants for further improvement of directly process able, electrolyte filled strainers for Li-ion membranes and permit further development and assessment.34

Transistors

Yun Y et al.35 reported in their work that the physical cross-linking of the PMMA gate dielectric can be used efficiently to create thin-film transistors with extraordinary carrier flexibility and functioning at low voltages.35 Table 4 summarizes the important as well as variable applications for PMMA cross-linked derivatives.36-44 The present summary deals with critical points of view such are method of preparation, cross-linking agent, and advantages.

Substrate

Preparation Method

Cross -Linking Agent

Advantages

Applications

Ref

PMMA

Precipitation polymerisation

Methacrylate ester crosslinkers of
different spacer lengths

Their unique set of properties of
high ionic conductivity high thermal
and mechanical stabilityc

Energy storage

36

Poly(sodium pstyrenesulfonate)/PMMA
particles

In situ cross-linked polymerization
followed with a liquid–liquid
phase inversion technique

N,N´-methylenebis (acrylamide)

More than 90% of cationic dye was
removed by the adsorption column
of the particles after three circulations

Wastewater treatment

37

PMMA

Spin-coating and subsequent
irradiation sing a 1.515 MeV ⁴ He⁺ ion beam

-

can be operated at low voltages

Transistors

38

PMMA/n-hexadecane microcapsules

Emulsion polymerization,

Allyl methacrylate and ethylene
glycol dimethacrylate

The enthalpies of microencapsulated
PCMs treated fabrics varied between
3.14 J/g and 10.02 J/g for various fabric samples.

Fabrics

39

CD-MA PMMA nanogels loaded with
chlorhexidine

Radical precipitation Polymerization

α-, β-, and γ-cyclodextrin Methacrylate

The controlled and safe use of high
doses of CHX and the sustained
release prevent a high burst effect
of CHX for the application against
critical colonized wounds and biofilms in the medical
and dental area.

Medical and Dental applications

40

TIPS-tetracyanotriphenodioxazine
(TIPS-TPDO-tetraCN)/c- PMMA

Irradiation

1,6-bis(trichlorosilyl)hexane
(C6-Si)

linear regime field-effect mobility
(1.8±0.2)×10⁻² cm²V⁻¹s⁻¹, small spatial standard deviation
of threshold voltage (∼ 0.1 V), and
operating voltage less than 3 V

Flexible applications

41

PS/PMMA

1,3,5-tris(2-propynyloxy)benzene

Good solvent resistant significantly
reduced leakage current density

Electronic applications

42

PMMA

Irradiation

-

PMMA was found to have the largest
resilience and mechanical rigidity,
which is desired for improved dry etching
resistance

Lithography

(mPEG-PMMA-SS) micelles

Atom transfer radical
polymerization

Disulfide

Biocompatible and nontoxic up to a
concentration of 50 mg/mL. Redox-responsive
micelles may develop into an efficient
cytoplasmic delivery for hydrophobic
anticancer drugs.

Drug release

[P(MMA/IA)] hydrogels

Solution polymerization

Ethylene glycol dimethacrylate

MMA/IA polymer is appropriate for
distributing the drug above pH 6, whatever
the degree of cross-linking

Drug delivery

PMMA/ barium sulphate

Dimethacrylate

Good mechanical properties

Bone cements

PMMA powder (CPM-PMMA)

Suspension polymerization.

Ethylene glycol dimethacrylate,
Butylene glycol dimethacrylate

Good mechanical properties

Dental applications

Table 4 Advantages and important applications of cross-linked PMMA derivatives

Summary

Cross-linked PMMA has a significant purpose as it affords products that have not only the characteristics of systematic polymer but also exceptional surplus ones, which expedite its new application in capricious arenas of industry. This review has concisely talked over the influence of Cross-linking Process on the Performance of Poly(methyl methacrylate). The most common for types of cross-linking processes are compared to each other according to variable conditions including: no. of steps, cross-linking & curing mechanism, curing temperature, mechanistic approach, curing time, equipment cost, bond strength, and degree of cross-linking. In addition gives a general overview to the various techniques of cross-linking, effects of cross-linker on polymer characteristics, and finally brief overviews for its important as well as famous applications.

Acknowledgements

None

Conflict of interest

The author declares no conflict of interest.

References

  1. Zhong LB, Yin J, Zheng YM, et al. elf-assembly of Au nanoparticles on PMMA template as flexible, transparent, and highly active SERS substrates. Anal chem. 2014;86(13):6262–6267.
  2. Pareo P, De Gregorio GL, Manca M, et al. Ultra lightweight PMMA-based composite plates with robust super-hydrophobic surfaces. Journal of colloid and interface science. 2011;363(2):668–675.
  3. Theerthagiri J, Senthil RA, BuraidahJ MH, et al. Effect of tetrabutylammonium iodide content on PVDF-PMMA polymer blend electrolytes for dye-sensitized solar cells. Ionics. 2015;21(10):2889–2896.
  4. Yeh SL, Zhu CY, Kuo SW. Transparent heat-resistant PMMA copolymers for packing light-emitting diode materials. Polymers. 2015;7(8):1379–1388.
  5. Yvonne T, Chuyang Zhang, Changhuan Zhang, et al. Properties of electrospun PVDF/PMMA/CA membrane as lithium based battery separator. Cellulose. 2014;21(4):2811–2818.
  6. Zeng C, Lee LJ. Poly (methyl methacrylate) and polystyrene/clay nanocomposites prepared by in-situ polymerization. Macromolecules. 2001;34(12):4098–4103.
  7. Molla-Abbasi P, Ghaffarian SR, Danesh E. Porous carbon nanotube/PMMA conductive composites as a sensitive layer in vaporsensors. Smart Materials and Structures. 2011;20(10):105012.
  8. Moller K, Bein T, Fischer RX. Entrapment of PMMA polymer strands in micro-and mesoporous materials. Chemistry of materials. 1998;10(7):1841–1852.
  9. Li S, Zhang Q. The dielectric properties of low temperature thermally cross-linked polystyrene and poly (methyl methacrylate) thin films. RSC Advances. 2015;5(37):28980–28984.
  10. Ralston AR, Jeffrey A Tobin, Sateesh S Bajikar, et al. Comparative performance of linear, cross-linked, and plasma-deposited PMMA capacitive humidity sensors. Sensors and Actuators B: Chemical. 1994;22(2):139–147.
  11. Xu JJ, Ye Y. Polymer gel electrolytes based on oligomeric polyether/cross-linked PMMA blends prepared via in situ polymerization. Electrochemistry communications. 2005;7(8):829–835.
  12. Hussei MA, Reda M El Shishtawy, Bahaa M Abu Zied, et al. The impact of cross-linking degree on the thermal and texture behavior of poly (methyl methacrylate). Journal of Thermal Analysis and Calorimetry. 2016;124(2):709–717.
  13. Deb S, Vazquez B. The effect of cross-linking agents on acrylic bone cements containing radiopacifiers. Biomaterials. 2001;22(15):2177–2181.
  14. Park BJ, Kim MS, Choi HJ. Fabrication and magnetorheological property of core/shell structured magnetic composite particle encapsulated with cross-linked poly (methyl methacrylate). Materials Letters. 2009;63(24-25):2178–2180.
  15. Roice M, Subhashchandran KP, Gean AV, et al. Synthesis and characterization of glycerol dimethacrylate cross-linked polymethyl methacrylate: a resin for solid phase peptide synthesis. Polymer. 2003;44(4):911–922.
  16. Wilkie CA, Sunil J Sirdesai, Thitivat Suebsaeng, et al. A strategy for the design of flame retardants: Cross-linking processes. Fire safety journal. 1989;15(4):297–311.
  17. Min K, Silberstein M, Aluru N. Crosslinking PMMA: Molecular dynamics investigation of the shear response. Journal of Polymer Science Part B: Polymer Physics. 2014;52(6):444–449.
  18. Mane S, Ponrathnam S, Chavan N. Synthesis and characterization of hypercrosslinked hydroxyl functionalized co-polymer beads. European Polymer Journal. 2014;59:46–58.
  19. Hoare TR, Kohane DS. Hydrogels in drug delivery: progress and challenges. Polymer. 2008;49(8):1993–2007.
  20. Hopwood D. A comparison of the crosslinking abilities of glutaraldehyde, formaldehyde and α-hydroxyadipaldehyde with bovine serum albumin and casein. Histochemie. 1969;17(2):151–161.
  21. Hopwood D. Fixation of proteins by osmium tetroxide potassium dichromate and potassium permanganate. Histochemie. 1969;18(3):250–260.
  22. Kaith BS, Kashma Sharma, Vijay Kumar, et al. Effects of swift heavy ion beam irradiation on the structural and morphological properties of poly (methacrylic acid) cross-linked gum ghatti films. Vacuum. 2014;101:166–170.
  23. Amarjeet Kaur, Anju Dhillon, Yogendra Mishra, et al. Modifications induced in poly (3-hexylthiophene) due to swift heavy ion beam of 100MeV silver (Ag 8+). Materials Chemistry and Physics. 2011;131(1-2):436–442.
  24. Kumar V, Sonkawade R, Dhaliwa A. Gamma irradiation induced chemical and structural modifications in PM-355 polymeric nuclear track detector film. Nuclear Instruments and Methods in Physics Research Section B: Beam Interactions with Materials and Atoms. 2012;290:59–63.
  25. Mishra Y, Chakravadhanula VSK, Schurmann U, et al. Controlled reduction of size of Ag nanoparticles embedded in teflon matrix by MeV ion irradiation. Nuclear Instruments and Methods in Physics Research Section B: Beam Interactions with Materials and Atoms. 2008;266(8):1804–1809.
  26. Unai S, Nitipon Puttaraksa, Nirut Pussadee, et al. Fast and blister-free irradiation conditions for cross-linking of PMMA induced by 2MeV protons. Microelectronic Engineering 2013;102:18–21.
  27. Tamboli S, Mhaske S, Kale D. Crosslinked polyethylene. 2004;11:853–864 .
  28. Mane S, Ponrathnam S, Chavan N. Effect of chemical cross-linking on properties of polymer microbeads: A review. Can Chem Trans. 2015;3(4):473–485.
  29. Meléndez-Ortiz HI, Gustavo HC Varca, Ademar B Lugão, et al. Smart polymers and coatings obtained by ionizing radiation: synthesis and biomedical applications. Open Journal of Polymer Chemistry. 2015;5(3):17.
  30. Caycik S, Jagger R. The effect of cross-linking chain length on mechanical properties of a dough-molded poly (methylmethacrylate) resin. Dental Materials. 1992;8(3):153–157.
  31. Kawaguchi T, Lassila LV, Tokue A, et al. Influence of molecular weight of polymethyl (methacrylate) beads on the properties and structure of cross-linked denture base polymer. Journal of the mechanical behavior of biomedical materials. 2011;4(8):1846–1851.
  32. Khalid S, Qadir MI, Massud A, et al. Effect of degree of cross-linking on swelling and drug release behaviour of poly (methyl methacrylate-co-itaconic acid) [P (MMA/IA)] hydrogels for site specific drug delivery. Journal of Drug Delivery Science and Technology. 2009;19(6):413–418.
  33. Nien YH, Lin SW, Hsu YN. Preparation and characterization of acrylic bone cement with high drug release. Materials Science and Engineering: C. 2013;33(2):974–978.
  34. Krebs H, Le Yang, Natasha Shirshova, et al. A new series of cross-linked (meth) acrylate polymer electrolytes for energy storage. Reactive and Functional Polymers. 2012;72(12):931–938.
  35. Yun Y, Christopher Pearson, Duncan H Cadd, et al. A cross-linked poly (methyl methacrylate) gate dielectric by ion-beam irradiation for organic thin-film transistors. Organic Electronics. 2009;10(8):1596–1600.
  36. Zhang M, Rui Wang, Tao Xiang, et al. Preparation, characterization and application of poly (sodium p-styrenesulfonate)/poly (methyl methacrylate) particles. Journal of Industrial and Engineering Chemistry. 2016;34:415–421.
  37. Alay S, Alkan C, Göde F. Synthesis and characterization of poly (methyl methacrylate)/n-hexadecane microcapsules using different cross-linkers and their application to some fabrics. Thermochimica acta. 2011;518(1):1–8.
  38. Kettel MJ, Heine E, Schaefer K, et al. Chlorhexidine loaded cyclodextrin containing PMMA nanogels as antimicrobial coating and delivery systems. Macromolecular bioscience. 2017;17(2):1600230.
  39. Jung S, Mohammed Albariqi, Guillaume Gruntz, et al. A TIPS-TPDO-tetraCN-Based n-type organic field-effect transistor with a cross-linked PMMA polymer gate dielectric. ACS applied materials & interfaces. 2016;8(23):14701–14708.
  40. Carbaugh DJ, Wright JT, Rahman F. Negative tone photolithography with photo-sensitised polymethyl methacrylate (PMMA). Microelectronic Engineering. 2017;171:53–59.
  41. Lili, Y, Lin Y, Li S, et al. Intracellular doxorubicin delivery of a core cross-linked, redox-responsive polymeric micelles. International journal of pharmaceutics. 2016;498(1-2):195–204.
  42. Saen-Isara T, Dechkunakorn S, Anuwongnukroh N, et al. Influence of the cross-linking agent on mechanical properties of PMMA powder with compromised particle morphology. Int Orthod. 2017;15(2):151–164.
Creative Commons Attribution License

©2017 Albeladi, et al. This is an open access article distributed under the terms of the, which permits unrestricted use, distribution, and build upon your work non-commercially.