Submit manuscript...
International Journal of
eISSN: 2573-2838

Biosensors & Bioelectronics

Research Article Volume 4 Issue 2

Study of electronic and lattice dynamical properties of antiperovskite-type nitrides XNNi3(X= Pd, Sn and Sb)

Mogulkoc Y,1 Ciftci YO,2 Surucu G3,4,5

1Department of Physics Engineering, Ankara University, Turkey
2Department of Physics, Gazi University, Turkey
3Department of Electric and Energy, Ahi Evran University, Turkey
4Department of Physics, Middle East Technical University, Turkey
5Photonics Application and Research Center, Gazi University, Turkey

Correspondence: Mogulkoc Y, Department of Physics Engineering, Ankara University, 06100, Ankara, Turkey, Tel +90 312 2033550

Received: April 16, 2018 | Published: April 30, 2018

Citation: Mogulkoc Y, Ciftci YO, Surucu G. Study of electronic and lattice dynamical properties of antiperovskite-type nitrides XNNi 3 (X= Pd, Sn and Sb).Int J Biosen Bioelectron. 2018;4(2):80–85. DOI: 10.15406/ijbsbe.2018.04.00102

Download PDF

Abstract

First principles study of electronic and lattice dynamical properties of the XNNi3 (X=Pd, Sn and Sb) ternary nitrides with E21 structure (space group Pm3 (221)) has been reported using the plane-wave pseudo-potential technique based on density functional theory. The calculated equilibrium parameters are in good agreement with other works. The relationship between anisotropy and mechanical properties are also analyzed. Mechanical stability and stiffness of these materials are determined and XNNi3 (X=Pd, Sn and Sb) ternary nitride compounds are found mechanically stable at zero pressure. Shear Modulus (G), Young’s Modulus (E), maximum and minimum Poisson ratios (υ), Zener anisotropy factor (A) and compressibility (β) values are calculated and evaluated in calculations of elastic properties. The electronic properties are studied and presented by plots with total and partial density of states with charge density distributions. The XNNi3 (X=Pd, Sn and Sb) ternary nitrides are metallic behavior and have covalent bonding due to the hybridization. The vibrational properties are investigated to explain lattice dynamics of these types of ternary nitrides.

Keywords: first-principles, lattice dynamical properties, electronic properties, ternary nitrides, antiperovskite

Introduction

The antiperovskite type Ni-rich ternary nitrides XNNi3 researches have been increased since the discovery of superconductivity (8 Kelvin) for cubic antiperovskite MgCNi3 compound.1 This discovery has strongly motivated to study antiperovskite series. The studies of the family of Ni-rich carbides have been investigated theoretically and experimentally.2–15 In recent years, the investigations on some new antiperovskite type nitrides have gained wide interest also some biosensor applications in bioelectronics industry.16–30 Despite of the fact that there are number of studies related with their properties for some cubic antiperovskite type Ni-rich ternary nitrides, in particular, the mechanical properties of XNNi3-type compounds with X= Al, Ga, In, Zn, Cd, Mg, Sn, Sb, Pd, Cu, Ag and Pt have been studied in theory,15 it is not mentioned on especially lattice dynamical and electronic properties of XNNi3 (X= Pd, Sn and Sb). One of interesting study is about a new Ni-based antiperovskite nitride, CuNNi3 that shows the superconductivity at 3.2 K and it is reported with X-ray diffraction, magnetization, resistivity and heat capacity measurements.16 The structural and mechanical properties of the antiperovskite XNNi3 (X=Zn, Mg, Al) with pressure effect are studied by Hong-Cun et al.,26 by using CASTEP code. Optical functions of SnNNi3, ZnNNi3 and CuNNi3 compounds are studied until 40 eV.29 In this study, by means of the ab-initio calculations, we have analyzed in details the comparative study of electronic and elastic properties of the XNNi3 (X=Pd, Sn and Sb). Optimized lattice parameters and electronic band structures are reported by using ultra soft pseudo potential.31,32In addition, anisotropic independent second order elastic constants (Cij). These constants give permissions us to get the mechanical parameters of XNNi3 (X=Pd, Sn and Sb). Additionally, vibrational properties of XNNi3 (X=Pd, Sn and Sb) compounds are investigated and summarized.

Method of calculation

The density functional theory (DFT)33,34has successfully been applied to the ab-initio calculations of the ground-state properties. In view of these circumstances, we have applied to the Generalized Gradient Approximation (GGA)35for the exchange-correlation functional. All properties of calculations are investigated by using the Vienna Ab-initio Simulation Package (VASP).36–39 The calculations are performed for Pd(4d10), Sn(5s25p2), Sb(5s25p3), N(2s22p3), Ni(4s13d9). In our calculations, plane-wave basis sets with cut-off energy 500 eV and the 12x12x12 Monkhorst and Pack40 k-points are used in the Brillouin zone for XNNi3 (X=Pd, Sn and Sb). To obtain mechanical anisotropic properties, EIAM code is used for calculations.41 The elastic properties are exploited to estimate with stress-strain method.42,43

Results and discussion

Structural and elastic properties

The unit cell of SnNNi3 compound is shown in Figure 1. The crystal structures of SbNNi3 and PdNNi3 compounds are the same with SnNNi3 compound as shown in Figure 1. In our case E21-type structure which is illustrated in Figure 1. The Wyckoff positions of atoms are located as follow: Sn (0, 0, 0); N (0.5, 0.5, 0.5); and Ni (0, 0.5, 0.5) (Figure 2). Firstly, the equilibrium lattice constants, bulk modulus and its pressure derivative have been obtained by minimizing the total crystal energy calculated for different values of lattice constants using the Birch-Murnaghan equation of states (eos)44 and the calculation results are given in Table 1 for cubic perovskite (E21) structure (space group Pm3 (221)) of XNNi3 (X=Pd, Sn and Sb). (Table 1) the present structural results are listed in the Table 1, along with the other theoretical and experimental works. The present lattice constants are obtained as 3.905 Å, 3.944 Å and 3.808 Å, respectively, for XNNi3 (X=Pd, Sn and Sb) compounds. Our lattice constants are very good convenient parameters with the other theoretical studies. Our lattice constants in E21-type crystal structure for SnNNi3 is nearly 0.127% lower, for SbNNi3 is nearly 0.051% higher and for PdNNi3 is nearly 0.132% higher than the reference value.28 These deviations may stem from the using of GGA approximations with different ab-initio codes. Additionally, the volume values and bulk modulus values of SnNNi3 compound are in convenient with other theoretical values and also the same values are in very good agreement of SbNNi3 and PdNNi3 compounds. The effect of hydrostatic pressure indicated by the derivative of bulk modulus under pressure (B´) is given in Table 1 for each of ternary nitride compounds. According to Table 1, the pressure derivatives of bulk modulus are calculated 4.440, 4.399 and 4.590, respectively, for XNNi3 (X=Pd, Sn and Sb) compounds and sequenced like as. The derivative of bulk modulus is evaluated with anisotropy. From Table 3, the anisotropy values of XNNi3 (X=Pd, Sn and Sb) compounds are, respectively, 1.19, 1.28 and 1.21. The magnitudes of anisotropy factors are arranged with. Due to both of these equalities, derivative of bulk modulus are confirmed by anisotropy as an expected. The thermodynamic stability of XNNi3 (X=Pd, Sn and Sb) compounds can be reflected by the formation enthalpy (∆H). Negative formation enthalpy has been explained as an exothermic process, and formation energy in the lower ones shows the stability related with the decomposition to the constituents of an element. The formation enthalpy could be expressed by the relation:45

∆H=(Etop- (Σ n i Ε i )/n MathType@MTEF@5@5@+= feaagKart1ev2aaatCvAUfeBSjuyZL2yd9gzLbvyNv2CaerbuLwBLn hiov2DGi1BTfMBaeXatLxBI9gBaerbd9wDYLwzYbItLDharqqtubsr 4rNCHbGeaGqiVu0Je9sqqrpepC0xbbL8F4rqqrFfpeea0xe9Lq=Jc9 vqaqpepm0xbba9pwe9Q8fs0=yqaqpepae9pg0FirpepeKkFr0xfr=x fr=xb9adbaqaaeGaciGaaiaabeqaamaabaabaaGcbaqcLbsaqaaaaa aaaaWdbiaacIcacqqHJoWucaGGUbWcdaWgaaqcfayaaGqaaKqzadGa a8xAaaqcfayabaqcLbsacqqHvoqrlmaaBaaajuaGbaqcLbmacaWFPb aajuaGbeaajugibiaacMcacaGGVaGaaiOBaaaa@4568@ (1)

Figure 1 The unitcell of SnNNi3.
Figure 2 Total energy versus volume curves of XNNi3 (X=Pd, Sn and Sb).

where Etot is the total energy of the compound with ni atoms of all i (X(Pd, Sn, Sb), N and Ni). n: total number of atoms in the primitive cell, Ei: total energy of a pure i the atom with equilibrium lattice constants. The calculated theoretical formation enthalpies of XNNi3 (X=Pd, Sn and Sb) compounds are included in Table 1. As far as we known, there are no data for evaluation the formation energy in the literature to compare with ours. SbNNi3 shows the lowest value of formation enthalpy, which indicates that SbNNi3 compound has the highest stability of these nitride structures. It is important to investigate the second order elastic properties because of the fact that the calculations provide an accuracy and comparison of the calculations of mechanical properties. Herein, Cij elastic constants are the second-order elastic constants of the structure and has been optimized under a given set of exchange–correlation (XC) potential functions and attained an equilibrium structure with a minimum total energy. The elastic parameters are obtained from the second-order derivatives of the total energy:

C ij = 1 V 0 2 E total ξ i ξ j MathType@MTEF@5@5@+= feaagKart1ev2aaatCvAUfeBSjuyZL2yd9gzLbvyNv2CaerbuLwBLn hiov2DGi1BTfMBaeXatLxBI9gBaerbd9wDYLwzYbItLDharqqtubsr 4rNCHbGeaGqiVu0Je9sqqrpepC0xbbL8F4rqqrFfpeea0xe9Lq=Jc9 vqaqpepm0xbba9pwe9Q8fs0=yqaqpepae9pg0FirpepeKkFr0xfr=x fr=xb9adbaqaaeGaciGaaiaabeqaamaabaabaaGcbaqcLbsacaWGdb WcdaWgaaqaaKqzadGaamyAaiaadQgaaSqabaqcLbsacqGH9aqpjuaG daWcaaGcbaqcLbsacaaIXaaakeaajugibiaadAfajuaGdaWgaaWcba qcLbmacaaIWaaaleqaaaaajuaGdaWcaaGcbaqcLbsacqGHciITlmaa CaaabeqaaKqzadGaaGOmaaaajugibiaadweajuaGdaWgaaWcbaqcLb macaWG0bGaam4BaiaadshacaWGHbGaamiBaaWcbeaaaOqaaKqzGeGa eyOaIyRaeqOVdG3cdaWgaaqaaKqzadGaamyAaaWcbeaajugibiabgk Gi2kabe67a4LqbaoaaBaaaleaajugWaiaadQgaaSqabaaaaaaa@5BA3@ (2)

Material

acal (Å)

V (Å3)

B (GPa)

dB/dP

ΔH (eV)

PdNNi3

 

3.808
3.803b
3.783c
3.809d

55.219
55.002b

 

190.4
212.10b

217.40d

4.44

 

-2.977

 

SnNNi3

 

3.905
3.768a
3.910b
3.927c

59.547
53.497a
59.776b
60.559c

159.203

182.30b
176.80c

4.399

 

-3.095

 

SbNNi3

 

3.944
3.942b
3.766c

61.349
61.256b

156.405

 

4.59

 

-3.109

 

Table 1 Calculated lattice parameter (acal), volume (V), bulk modulus (B), pressure derivative of bulk modulus (dB/dP), formation energy (ΔH)
Abbreviations: a, numerical study according to empirical model,8; b, theoretical study with APW+lo (FLAPW) implemented in WIEN2k code, GGA-PBE,28; c, theoretical study with CASTEP code, GGA,29; d, theoretical study with CASTEP code, GGA-PBE30

The cubic crystal has only three independent parameters, C11, C12 and C44. The traditional rules on the elastic constants: C11>0, C11-C12>0, C44>0, C11+2C12>0 and C11>B>C12. These traditional mechanical stability conditions (called that Born’s stability criteria) (P=0 GPa)46 are investigated by using the obtained second-order elastic constants all our three nitride compounds. The calculated values of Cij are summarized and given in the table for XNNi3 (X=Pd, Sn and Sb), respectively (Table 2). Second-order elastic constants of XNNi3 (X=Pd, Sn and Sb) meant to Born’s stability conditions Table 2. According to Table 2, it is obvious that XNNi3 (X=Pd, Sn and Sb) compounds satisfy stability conditions. For SbNNi3 compound in reference,28 C44 is found as -8.6 GPa although our present calculated value is 34.79 GPa for C44. All other theoretical references are compatible with present values. As it can be seen from Table 2, our ternary nitride compounds have different elastic constants due to their classifications of elements. Elastic properties of our nitride compounds are effected owing to the fact that Tin (Sn) is post-transition metal, antimony (Sb) is metalloid and palladium (Pd) is transition metal. The Zener anisotropy factor (A), Poisson ratio (), and Young’s modulus (E) that are important parameters to see all image of elastic properties are also calculated using by these formulas:47

A= 2C 44 C 11 C 12 MathType@MTEF@5@5@+= feaagKart1ev2aaatCvAUfeBSjuyZL2yd9gzLbvyNv2CaerbuLwBLn hiov2DGi1BTfMBaeXatLxBI9gBaerbd9wDYLwzYbItLDharqqtubsr 4rNCHbGeaGqiVu0Je9sqqrpepC0xbbL8F4rqqrFfpeea0xe9Lq=Jc9 vqaqpepm0xbba9pwe9Q8fs0=yqaqpepae9pg0FirpepeKkFr0xfr=x fr=xb9adbaqaaeGaciGaaiaabeqaamaabaabaaGcbaqaaKqzGeGaam yqaiaad2dajuaGdaWcaaGcbaqcLbsacaqGYaGaae4qaSWaaSbaaeaa jugWaiaabsdacaqG0aaaleqaaaGcbaqcLbsacaWGdbWcdaWgaaqaaK qzadGaaeymaiaabgdaaSqabaqcLbsacqGHsislcaWGdbqcfa4aaSba aSqaaKqzadGaaeymaiaabkdaaSqabaaaaaaaaa@4761@ (3)

υ= 1 2 [ (B 2 3 G) (B+ 1 3 G) ] MathType@MTEF@5@5@+= feaagKart1ev2aaatCvAUfeBSjuyZL2yd9gzLbvyNv2CaerbuLwBLn hiov2DGi1BTfMBaeXatLxBI9gBaerbd9wDYLwzYbItLDharqqtubsr 4rNCHbGeaGqiVu0Je9sqqrpepC0xbbL8F4rqqrFfpeea0xe9Lq=Jc9 vqaqpepm0xbba9pwe9Q8fs0=yqaqpepae9pg0FirpepeKkFr0xfr=x fr=xb9adbaqaaeGaciGaaiaabeqaamaabaabaaGcbaqaaKqzGeGaam yXdiaad2dajuaGdaWcaaGcbaqcLbsacaqGXaaakeaajugibiaabkda aaGaam4waKqbaoaalaaakeaajugibiaadIcacaWGcbGaeyOeI0scfa 4aaSaaaOqaaKqzGeGaaeOmaaGcbaqcLbsacaqGZaaaaiaadEeacaWG PaaakeaajugibiaadIcacaWGcbGaam4kaKqbaoaalaaakeaajugibi aabgdaaOqaaKqzGeGaae4maaaacaWGhbGaamykaaaacaWGDbaaaaa@4D4E@ (4)

E= 9GB G+3B MathType@MTEF@5@5@+= feaagKart1ev2aaatCvAUfeBSjuyZL2yd9gzLbvyNv2CaerbuLwBLn hiov2DGi1BTfMBaeXatLxBI9gBaerbd9wDYLwzYbItLDharqqtubsr 4rNCHbGeaGqiVu0Je9sqqrpepC0xbbL8F4rqqrFfpeea0xe9Lq=Jc9 vqaqpepm0xbba9pwe9Q8fs0=yqaqpepae9pg0FirpepeKkFr0xfr=x fr=xb9adbaqaaeGaciGaaiaabeqaamaabaabaaGcbaqaaKqzGeGaam yraiaad2dajuaGdaWcaaGcbaqcLbsacaqG5aGaam4raiaadkeaaOqa aKqzGeGaam4raiaadUcacaqGZaGaaeOqaaaaaaaa@3F28@ (5)

where G is the an isotropic shear modulus as a function of crystal orientation and is given like that G=(GV+GR)/2, herein GV is Voigt’s shear modulus (it is related with the upper bound of G values) and GR is Reuss’s shear modulus (it is related with the lower bound of G values) and can be written as GV=(C11–C12+3C44)/5 and 5/GR= 4/(C11-C12)+3/C44, resopectively. The calculated an isotropic shear modulus, Young’s modulus, Poisson ratios, Zener anisotropy factor, and compressibility (β) of the XNNi3 (X=Pd, Sn and Sb) are presented in Table 3. The Shear and Young’s modulus are calculated with their Voigt and Reuss values and Poisson ratios with maximum and minimum values at zero pressure by ElAM code41 for anisotropic behaviors of three ternary nitrides (Table 3). Obtained by Voigt and Reuss values of isotropic shear modulus (G) are 152.21 GPa, 129.39 GPa and 129.11 GPa, respectively, for PdNNi3, SnNNi3 and SbNNi3 compounds. Using ratio of isotropic shear modulus and bulk modulus, elastic manners of materials are estimated. Ratios of G/B that is called Pugh ratio of XNNi3 (X=Pd, Sn and Sb) compounds are given in Table 3. Providing that G/B<0.5, the material exhibits in a ductile behavior, and while G/B>0.5, the material exhibits in a brittle behavior.47,48 As can be seen in Table 3, all of XNNi3 (X=Sn, Sb and Pd) ternary nitrides compounds indicate brittle manners due to the fact that their G/B ratios are greater than 0.5. In fact, they behave nearly at brittle/ductile border like in reference.13 It has also observed that for all of our three antiperovskite type nitrides B>G. As mentioned that parameters limit the mechanical stability of these materials. As a comparison, the Young’s modulus of PdNNi3 compound has the biggest one in our ternary nitrides systems. From the literature it is well-known that, if the rate of Poisson is less than 0.25, the material shows covalent bond character, otherwise it is bigger than or equal to 0.25 it shows ionic bond character.49 The minimum value Poisson’s ratio of SbNNi3 is calculated as zero and maximum value Poisson’s ratio of SbNNi3 is calculated as 0.14. It might have originated from directions or maximum stability. The other values of Poisson’s ratios of XNNi3 (X=Pd, Sn and Sb) are obtained similar values for each of three nitride compounds. Three ternary E21 structure nitrides show metallic-like systems as indicated in reference.13In bulk materials, to see the elastic anisotropy behavior, the Zener anisotropy factor is using to determine the degree of anisotropy. Providing that it gives the value of 1, our compound shows entirely isotropic. Otherwise, this value exhibits anisotropic behavior. The values of our three nitrides are greater than 1. Our materials partially exhibit anisotropic behaviors. The compressibility is a measure of elasticity and is defined as following relations:50

Material

C11 [GPa]

C12 [GPa]

C44 [GPa]

B [GPa]

Stability

PdNNi3

 

324.67
313.3a
315.6b

164.5
161.5a
168.3b

53.71
81.1a
42.8b

190.4
212.1a

Stable

 

SnNNi3 

272.33
239.9a

138.75
153.5a

39.28
2.2a

159.203
182.3a
176.8b

Stable

 

SbNNi3

 

257.48
226.7a

142.52
154.3a

34.79
-8.6a

156.405

Stable

Table 2 Second-order elastic constants (Cij), bulk modulus (B), stability
Abbreviations: a, GGA-PBE28; b, GGA29; c, GGA-PBE30

 

PdNNi3

SnNNi3

SbNNi3

GV [GPa]

152.89

129.86

130.05

GR [GPa]

151.52

128.91

128.17

G/B

0.8

0.81

0.83

EV [GPa]

338.8

284.35

279.15

ER [GPa]

336.54

282.83

276.25

υmax

0.16

0.14

0.14

υmin

0.05

0.04

0

A

 

1.21
1.06a
0.58b

1.19

 

1.28

 

β[GPa-1]

 

0.0023
0.0047a
0.0046b

0.0029
0.0055a

0.0031

 

Table 3 Voigt’s shear modulus (GV), Reuss’s shear modulus (GR), voigt’s young’s modulus (EV), reuss’s Young’s modulus (ER), Maximum and minimum poisson ratios (υ), zener anisotropy factor (A), compressibility (β)
Abbreviations: a28, b30

β= C 11 C 12 Ω MathType@MTEF@5@5@+= feaagKart1ev2aaatCvAUfeBSjuyZL2yd9gzLbvyNv2CaerbuLwBLn hiov2DGi1BTfMBaeXatLxBI9gBaerbd9wDYLwzYbItLDharqqtubsr 4rNCHbGeaGqiVu0Je9sqqrpepC0xbbL8F4rqqrFfpeea0xe9Lq=Jc9 vqaqpepm0xbba9pwe9Q8fs0=yqaqpepae9pg0FirpepeKkFr0xfr=x fr=xb9adbaqaaeaaciGaaiaabeqaamaabaabaaGcbaqcLbsacqaHYo GycqGH9aqpjuaGdaWcaaGcbaqcLbsacaWGdbqcfa4aaSbaaSqaaKqz adGaaGymaiaaigdaaSqabaqcLbsacqGHsislcaWGdbWcdaWgaaqaaK qzadGaaGymaiaaikdaaSqabaaakeaajugibiabfM6axbaaaaa@45D9@ (6)

Ω=( C 11 + C 12 ) C 11 2 C 12 2 MathType@MTEF@5@5@+= feaagKart1ev2aaatCvAUfeBSjuyZL2yd9gzLbvyNv2CaerbuLwBLn hiov2DGi1BTfMBaeXatLxBI9gBaerbd9wDYLwzYbItLDharqqtubsr 4rNCHbGeaGqiVu0Je9sqqrpepC0xbbL8F4rqqrFfpeea0xe9Lq=Jc9 vqaqpepm0xbba9pwe9Q8fs0=yqaqpepae9pg0FirpepeKkFr0xfr=x fr=xb9adbaqaaeaaciGaaiaabeqaamaabaabaaGcbaqcLbsacqqHPo WvcqGH9aqpcaGGOaGaam4qaSWaaSbaaeaajugWaiaaigdacaaIXaaa leqaaKqzGeGaey4kaSIaam4qaSWaaSbaaeaajugWaiaaigdacaaIYa aaleqaaKqzGeGaaiykaiaadoealmaaBaaabaqcLbmacaaIXaGaaGym aaWcbeaajugibiabgkHiTiaaikdacaWGdbWcdaqhaaqaaKqzadGaaG ymaiaaikdaaSqaaKqzadGaaGOmaaaaaaa@4F21@ (7)

The calculated compressibility values are found as 0.0023 GPa-1, 0.0029 GPa-1 and 0.0031 GPa-1, respectively, for PdNNi3, SnNNi3 and SbNNi3 compounds. The calculated present values of compressibility are compatible with other theoretical data for SbNNi3 and PdNNi3 compounds.

Electronic properties

In this section, the main features of electronic properties of XNNi3 (X=Pd, Sn and Sb) compounds are described by analyzing the density of states as total and partial with their related charge densities in Figure 3 & Figure 4. The energy zero is chosen to be at the Fermi energy EF. All of the three total densities of states have nearly similar features. For all compounds conduction band minimum values are upper than from Fermi energy level. As a comparison of DOS of SbNNi3 with other compounds, its DOS is lower at Fermi energy level. The DOS of PdNNi3 are above at Fermi energy level according to SbNNi3 compound. These all compounds exhibit metallic character in consideration of rate for impletion at Fermi energy levels. The metallic behavior of XNNi3 (X=Pd, Sn and Sb) compounds are mostly owing to the addition of Ni-d states at the Fermi level and a little addition of Pd-d states for PdNNi3 compound. It is clearly seen that Sn-s state and N-p state contribute at Fermi level, and this emerges to a sp-hybridization between metal-s state and N-p states. As it is seen from partial density of states explanations, owing to the covalent bonding, there is hybridization and clarifies the charge densities in Figure 4. The lower valance band is because of the 2s-states electrons for XNNi3 (X=Pd, Sn and Sb) compounds. The charge densities of XNNi3 (X=Pd, Sn and Sb) compounds are depicted in Figure 4. The computed charge density distributions are evident that the covalent bonding that nature of our three ternary nitrides is obtained as covalent due to the sp-hybridization that is also confirmed by partial density of states plots. It is easy to observe that from Figures 3 and 4, the SbNNi3 compound is much more covalent according to PdNNi3 and SnNNi3 compounds. The charges are more accumulated between atoms. Moreover, a high ratio of G/B is related with brittleness. Considering that SbNNi3 compound has the greatest value of G/B, consolidates that SbNNi3 compound has more covalent character than PdNNi3 and SnNNi3.

Additionally, stability of XNNi3 compounds is also confirmed by Band Filling Theory.51,52 Considering the Band Filling Theory, the numbers of bonding states increase, the stability of material increases and anti-bonding states decrease the stability of compounds. If we called the ratio the width of the occupied states (Wocc) and the width of bonding states (Wb), we can explain the work about the material stability. If the ratio of Wocc/Wb is closer to 1.0, the stability increases. In this work, these quantities predict the structural stability, namely, the pseudo-gaps (Wp), gaps of occupation (Wocc), gaps of bonding (Wb) and the Wocc/Wb values are calculated for each compound and presented in Table 4 for XNNi3 compounds. Also shown in Table 4, using this band theory formulation, the ratio of Wocc/Wb equals 0.987 and is closer to 1 for SbNNi3 compound. It is obvious that SbNNi3 compound is the most stable material. This result confirms that the previous presented partial density of states for our nitrides and charge density distributions for our nitrides.

Figure 3 Partial and total DOS of A) PdNNi3, B) SnNNi3 C) SbNNi3.
Figure 4 Charge density distribution of (110) plane of XNNi3 (X=Pd, Sn and Sb) compounds.

Materials

Wp

Wocc

Wb

Wocc/Wb

n

PdNNi3

0.773

9.453

10.185

0.928

7.829

SnNNi3

0.481

11.677

12.158

0.96

4.162

SbNNi3

0.166

13.082

13.248

0.987

1.526

Table 4 The calculated pseudogap Wp (eV), the width of occupied states Wocc (eV), bonding states Wb (eV), electron numbers at fermi levels n (Fermi) for XNNi3 compounds

Vibrational properties

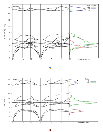
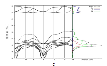
The phonon dispersion curves of XNNi3 (X=Pd, Sn and Sb) were obtained using by the PHONOPY code.53 The partial atomic phonon density of states (DOS) for XNNi3 ternary nitrides were calculated along the high symmetry directions using a 2x2x2 super cell and given in Figure 5A-5C. The 0.03 Å for displacement is adopted for each atom of the 2x2x2 supercell in to determine the forces of the atoms. The primitive cells of XNNi3 contains 5 atoms with 15 phonon branches have 3 acoustic and 12 optical modes. For PdNNi3 compound, a gap between acoustic and optic modes is found in the phonon dispersion curves owing to the bigger ratio of mass cation and anions. But, accordin to the SnNNi3 and PdNNi3 compounds there is not a gap between acoustic and optic modes. The lack of soft phonon imaginariy modes in the phonon spectra that supports the stable character as dynamically for the XNNi3 (X=Pd, Sn and Sb) nitrides. In the literature, there is no study of the lattice dynamics of these compounds to compare with our data. It can be seen from Figure 5 that the low-lying optical phonon modes have interactions with phonon modes for SnNNi3 and SbNNi3 as the acoustic. For the phonon DOS of XNNi3 ternary nitrides the acoustic modes are emerged by the vibrations of Sn, Sb and Pd atoms, while the optical modes are emerged by the vibrations of Ni atoms at low modes, with less addition from N and Ni atoms. At higher optical mode, the main contributions emerge from N atoms, with less contributions comes from Ni atoms. PdNNi3 has upper phonon energies than SnNNi3 and SbNNi3 at Gamma point. The main distinction of the three nitrides is due to difference in the chemical bonding and masses for XNNi3 (X=Pd, Sn and Sb) nitrides (Figure 5).

Figure 5 Calculated phonon dispersion curves and partial density of states throughout the high-symmetry directions in the BZ of XNNi3 (X=(A)Pd, (B)Sn and (C)Sb).

Conclusion

In this work, we have studies structural, elastic, electronic and vibrational properties of antiperovskite type nitrides XNNi3 (X=Pd, Sn and Sb) compounds with E21 crystal structure using the GGA. The found lattice constants, volume, bulk modulus as structural parameters at zero pressure are in convenient with the previous work. Mechanical stability of XNNi3 (X=Pd, Sn and Sb) compounds are predicted by Born’s stability criteria and found that three nitrides show stability at zero pressure. In elastic calculations, isotropic shear modulus, Poisson’s ratios and Young’s modulus were estimated using with Voigt and Reuss approximations. In addition to good understand of mechanical behaviors of these compounds, anisotropy factor and compressibility are determined. From our first-principles calculations, the stoichiometric XNNi3 (X=Pd, Sn and Sb) compounds are very similar in both structural and elastic properties. The three ternary nitrides have metallic behavior and exhibit covalent characters. The mechanical behavior of XNNi3 (X=Pd, Sn and Sb) compounds are corroborated with electronic properties as given in the results section. The calculated phonon spectra and phonon DOS indicate that XNNi3 (X=Pd, Sn and Sb) compounds are dynamically stable. To best of our knowledge is there is no experimental or theoretical study in vibrational properties of XNNi3 (X=Pd, Sn and Sb) ternary nitrides has been reported yet for comparison. We predict that, our results are good and qualified estimations for future investigations.

Acknowledgements

The authors acknowledge Ankara University for the high performance computing facility through the AYP under Grand No.17A0443001.

Conflict of interest

There are no conflicts to declare.

References

  1. He T, Huang Q, Ramirez AP, et al. Superconductivity in the non-oxide perovskite MgCNi3. Nature. 2001;411:54.
  2. Park MS, Giim JS, Park Sh, et al. Supercond Sci Technol. 2004;17:274.
  3. Schaak RE, Avdeev M, Lee WL, et al. Formation of transition metal boride and carbide perovskites related to superconducting MgCNi3. J Solid State Chem. 2004;177:1244.
  4. Dong AF, Che GC, Huang WW, et al. Synthesis and physical properties of AlCNi3. Physica C. 2005;422:65.
  5. Tong P, Sun YP, Zhu XB, et al. Strong electron-electron correlation in the antiperovskite compound GaCNi3. Phys Rev B. 2006;73:245106.
  6. Uehara M, Amano T, Takano S, et al. Chemical pressure effect on the superconductor MgCNi3. Physica C. 2006;440:6.
  7. Uehara M, Yamazaki T, Kori T, et al. Superconducting Properties of CdCNi3. J Phys Soc Jpn. 2007;76: 034714.
  8. Alexandrov KS, Beznosikov BV. Perovskites. Present and Future. Novosibirsk: 2004. p. 200–201.
  9. Johannes MD, Pickett WE. Electronic structure of ZnCNi3. Phys Rev B. 2004;70:060507.
  10. Shein IR, Ivanovskii AL. Electronic and elastic properties of non-oxide anti-perovskites from first principles: Superconducting CdCNi3 in comparison with magnetic InCNi3. Phys Rev B. 2008;77:104101.
  11. Shein IR, Shein KI, Ivanovskii AL, et al. Metallofoz. Noveishie Tekhnol. 2004;26:1193.
  12. Shein IR, Bannikov VV, Ivanovskii AL. Structural, elastic and electronic properties of superconducting anti-perovskites MgCNi3, ZnCNi3 and CdCNi3 from first principles. Physica C. 2008;468:1.
  13. Bannikov VV, Shein IR, Ivanovskii AL. Phys Solid State. 2007;49:1704.
  14. Dong AF, Che GC, Huang WW, et al. Synthesis and physical properties of AlCNi3. Physica C. 2005;422:65.
  15. Bannikov VV, Shein IR, Ivanovskii AL. J Struct Chem. 2010;51:170.
  16. He B, Dong C, Yang L, et al. CuNNi3: a new nitride superconductor withantiperovskite structure. Supercond. Technol. 2013;26:125015.
  17. Uehara M, Uehara A, Kozawa K, et al. New Antiperovskite-Type Superconductor ZnNyNi3. J Phys Soc Jpn. 2009;78:033702.
  18. Tutuncu H, Srivastava GP. Electronic structure, phonons and electron–phonon interaction in MgXNi3 (X = B, C and N). J Phys.: Condens Matter. 2006;18:11089.
  19. Karki AB, Xiong YM, Young DP, et al. Superconducting and magnetotransport properties of ZnNNi3 microfibers and films. Phys Rev B. 2009;79:212508.
  20. Shim JH, Won SKK, Min BI. Electronic structures of antiperovskite superconductors MgXNi3 (X=B, C, and N). Phys Rev B. 2001;64:180510.
  21. Uehara M, Uehara A, Kozawa K, et al. Physica C. 2009;470:S688.
  22. Cao WH, Hea B, Liao CZ, et al. Preparation and properties of antiperovskite-type nitrides: InNNi3 and InNCo3. J Solid State Chem. 2009;182:3353.
  23. Chen WG, Wang F, Li SG, et al. Photoluminescence properties of Eu3+ and Bi3+ in YBO3 host under vacuum ultraviolet/ultraviolet excitation. J Appl Phys. 2009;105:123921.
  24. Shein IR, Bannikov VV, Ivanovskii AL. Elastic and electronic properties of the new perovskite‐like superconductor ZnNNi3 in comparison with MgCNi3. Phys Status Solidi B. 2010;247:72.
  25. Okoye CMI. Structural, elastic and electronic properties of new antiperovskite-type superconductor from first-principles. Physica B. 2010;405:1562.
  26. Cun ZH, Feng LX, Yi DJ, et al. First-principles study of mechanical stability and thermal properties of MNNi3 (M = Zn, Mg, Al) under pressure. Chin Phys B. 2012;21:057102.
  27. Bannikov VV, Shein IR, Ivanovskii AL. Structural, elastic and electronic properties of new antiperovskite-like ternary nitrides AlNNi3, GaNNi3 and InNNi3 as predicted from first principles. Comput Mater Sci. 2010;49:457.
  28. Bannikov VV, Shein IR, Ivanovskii AL. Elastic properties of antiperovskite-type Ni-rich nitrides MNNi3 (M=Zn, Cd, Mg, Al, Ga, In, Sn, Sb, Pd, Cu, Ag and Pt) as predicted from first-principles calculations. Physica B. 2010;405:4615.
  29. Helal MA, Islam AKMA. Elastic, electronic, and optical properties of hypothetical SnNNi3 and CuNNi3 in comparison with superconducting ZnNNi3. Physica B. 2011;406:4564.
  30. Ali MA, Islam AKMA, Ali MS. J Sci Res. 2012;4(1):1–10.
  31. Vanderbilt D. Soft self-consistent pseudopotentials in a generalized eigenvalue formalism. Phys Rev B. 1990;41:7892.
  32. Kresse G, Hafner J. Norm-conserving and ultrasoft pseudopotentials for first-row and transition elements. J Phys.: Condens. Matter. 1994;6:8245.
  33. Hohenberg P, Khon W. Inhomogeneous Electron Gas. Phys Rev. 1964;136:B864.
  34. Khon W, Sham LJ. Self-Consistent Equations Including Exchange and Correlation Effects. Phys Rev. 1965;140:A1133.
  35. Perdew JP, Chevary JA, Vosko S, et al. Atoms, molecules, solids, and surfaces: Applications of the generalized gradient approximation for exchange and correlation. Phys Rev B. 1992;46:6671.
  36. Kresse G, Hafner J. Ab initio molecular dynamics for liquid metals. Phys Rev B. 1993;47:558.
  37. Kresse G, Hafner J. Ab initio molecular-dynamics simulation of the liquid-metal–amorphous-semiconductor transition in germanium. Phys Rev B. 1994;49:14251.
  38. Kresse G, Furthmüller J. Efficiency of ab-initio total energy calculations for metals and semiconductors using a plane-wave basis set. Comput Mat Sci. 1996;6:15.
  39. Kresse G, Furthmüller J. Efficient iterative schemes for ab initio total-energy calculations using a plane-wave basis set. Phys Rev B. 1996;54:11169.
  40. Monkhorst HJ, Pack JD. Special points for Brillouin-zone integrations. Phys Rev B. 1976;13:5188.
  41. Marmier ZAD, Lethbridge RI, Walton CW, et al. ElAM: A computer program for the analysis and representation of anisotropic elastic properties. Computer Physics Communications. 2010;181:2102.
  42. Page L, Saxe P. Symmetry-general least-squares extraction of elastic data for strained materials from ab initio calculations of stress. Phys Rev B. 2002;65:04104.
  43. Mehl MJ, Osburn JE, Papaconstantopoulos DA, et al. Structural properties of ordered high-melting-temperature intermetallic alloys from first-principles total-energy calculations. Phys Rev B. 1990;41:10311.
  44. Murnaghan FD. The Compressibility of Media under Extreme Pressures. Proc Natl Acad Sci USA. 1994;30:5390.
  45. Xie YP, Wang ZY, Hou ZF. Scr Mater. 2013;68:495.
  46. Born M, Huang K. Dynamical Theory of Crystal Lattices. Clarendon Press; 1956.
  47. Mayer B, Anton H, Bott E, et al. Ab-initio calculation of the elastic constants and thermal expansion coefficients of Laves phases. Intermetallics. 2003;11:23.
  48. Bannikov VV, Shein IR, Ivanovskii AL. Electronic structure, chemical bonding and elastic properties of the first thorium‐containing nitride perovskite TaThN3. Phys Status Solidi Rapid Reasecrh Letter. 2007;1(3):89.
  49. Rajeswarapalanichamiy R, Priyanga GS, Cinthia AJ, et al. Structural stability, electronic structure and mechanical properties of ZnN and CdN: A first principles study. Computational Materials Science. 2015;99:117.
  50. Nye JF. Physical Properties of Crystals. Oxford: Clerandon; 1985.
  51. Xu JH, Oguchi T, Freeman AJ. Crystal structure, phase stability, and magnetism in Ni3V. Phys Rev B. 1987;35:6940.
  52. Xu JH, Freeman AJ. Band filling and structural stability of cubic trialuminides: YAl3, ZrAl3, and NbAl3. Phys Rev B. 1989;40:11927.
  53. Toga A, Oba F, Tanaka I. First-principles calculations of the ferroelastic transition between rutile-type and CaCl2-type SiO2 at high pressures. Phys Rev B. 2008;78:134106.
Creative Commons Attribution License

©2018 Mogulkoc, et al. This is an open access article distributed under the terms of the, which permits unrestricted use, distribution, and build upon your work non-commercially.