Submit manuscript...
International Journal of
eISSN: 2573-2838

Biosensors & Bioelectronics

Mini Review Volume 5 Issue 2

Synthesis and formation of biologically active structures of functionally substituted diazocrown ethers containing nanoparticles

Leyla Vezirova

Azerbaijan State University of Oil and Industry, Azerbaijan

Correspondence: Leyla Vezirova, Azerbaijan State University of Oil and Industry, RI Geotechnological Problems of Oil, Gas and Chemistry, Az1010 Baku, Azadlig av. 20, Azerbaijan

Received: February 10, 2018 | Published: April 4, 2019

Citation: Vezirova L. Synthesis and formation of biologically active structures of functionally substituted diazocrown ethers containing nanoparticles. Int J Biosen Bioelectron. 2019;5(2):38-39. DOI: 10.15406/ijbsbe.2019.05.00150

Download PDF

Abstract

New compounds based on diazacrown ether - macrocycle (MC) containing ultradispersed iron particles were synthesized. It was found that the synthesized compounds were effective against gram-negative microorganisms Escherichia coli, Klebsiella spp. and gram-positive Staphylococcus aureus, having multi drug resistance properties.

Keywords: crown ether, macro cycles, siderophores, nanoparticles

Introduction

Supramolecular structures play a vital role in functioning of living organism. Their feature is that they arise spontaneously, via hydrophobic interactions, electrostatic effects that in turn arise from the interaction of functional groups of biomolecules with an aqueous environment and through non-covalent bonds. Synthetic analogues of such systems are of great interest. They imitate the properties of naturally occurring systems. The crown ethers can demonstrate the properties of naturally occurring membrane active antibiotics. Macro cycle cavity of crown ether binds the cations trough ion-dipole and dipole-dipole non-covalent bonds.1–4 The aim of this work is to functionalize iron nanoparticle with hydroxyl substituted diazacrown ether which is able to mimic natural siderophores. Synthesis of macro cycle 1,13-Diaza-5,9-dioxa-7-hydroxy-3,4:10,1-dibenzocyclopentadecan was carried out according to the method. Synthesis of nanostructures was carried out by functionalization of Fe3O4 with MC (MC@Fe3O4 NPs). Magnetic iron oxide nanoparticles are prepared by wet chemical precipitation from aqueous iron salt solutions in alkaline milieu, created by using NH4OH, in the atmosphere of gaseous nitrogen.5

The formed Fe3O4 nanoparticles (NPs) were separated by NdFeB permanent magnet, repeatedly washed with distilled water and dispersed in ethanol. The ethanol solution of MC, taken in excess, was added to ethanol solution of Fe3O4 nanoparticles and thoroughly stirred. After stirring during 8hours in ambient conditions, the prepared nanostructures were separated by strong NdFeB permanent magnet and repeatedly washed with distilled water. The obtained NPs were dried in ambient conditions and the iron content in the samples was analyzed by atom absorption spectroscopy performed on Varian Spectra 220FS Atomic absorption spectrometer. Samples were prepared by Milestone ETHOS 1 Microwave extraction unit. The UV spectra were recorded on Spectrophotometer Secord 250 Plus. UV spectra were recorded at the 275nm range for standard solutions of MC.

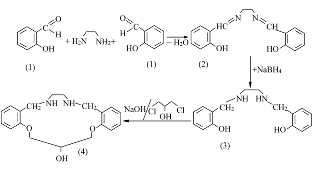
Antibacterial activity of MC andMC@Fe3O4 was tested by diffusion method, performed on Petri dishes, on Staphylococcus aureus, Klebsiella spp. and Escherichia coli6 The synthesized substances were taken in amount equal to 30μg. Escherichia coli were cultivated on Endo's medium, Klebsiella spp. on Sabouraud medium and Staphylococcus aureus on Baird-Parker agar (cultures were kindly provided by one of the clinical laboratories of Baku, Azerbaijan). Due to the fact that this method provides only quality data, micro dilution method was also performed. By this method the MIC of prepared substances on Staphylococcus aureus, Klebsiella spp. and Escherichia coli was identified. To perform micro dilution method the stock solutions of different concentrations of the substances were prepared in distilled sterile water and were distributed in 96 multi-well plates. Each well was inoculated with 0.1mL of microbial suspensions of 0.5McFarland turbidity, prepared from 24h fresh culture. Sterility control wells and microbial growth controls were involved. The plates were incubated for 2h at 37˚C. In order to measure antibacterial effect on bio film development, wells were washed with PBS three times, dried for 15 minutes in room temperature and stained by crystal violet 1% for 15 minutes. After the deletion of crystal violet 1%, wells again were washed 3 times with PBS and dried at room temperature for 15 minutes. Further, the bio film, formed on the plastic wells, was re-suspended in 30% acetic acid and the intensity of the colored suspension was assayed by measuring the absorbance at 590nm.7 Synthesis of MC 1,13-Diaza-5,9-dioxa-7-hydroxy-3,4:10,1-dibenzocyclopentadecan (4) is depicted on the scheme 1. N,N' ethylenebis(salysilimine) (2) was prepared by condensation of salysilaldehide (1) with ethylenediamine. The reduction of (2) was carried out by sodium borohydride. The ring closure step was carried out by reaction of corresponding saturated derivative (3) with 1,3-dichloro-2-propanol.

The purity and crystalline properties of the MC@Fe3O4 were investigated by powder X-ray diffraction (XRD). All the XRD peaks were well defined and corresponded to Fe3O4 nanoparticles with cubic structure. XRD peak broadening is the evidence of nanocrystal formation. All of the lines in the pattern relate to magnetite and can be indexed using the ICDD (PDF-2/Release 2011 RDB) DB card number 00-001-1111, for prepared nanostructure. The pattern of MC@Fe3O4 NPs has characteristic peaks at 30.250 (220), 35.750 (311), 43.520(400), 57.440(511), 62.930(440). The synthesized MC would be able to reveal antimicrobial activity (bacteria Staphylococcus, Escherichia coli and Klebsiella spp.), due to ionoforic properties as well as MC@Fe3O4 nanostructures can mimic the properties of natural siderofores, especially in case of gram-negative microorganisms Figure 1.

Figure 1 Scheme. The synthesis of MC 1,13-Diaza-5,9-dioxa-7-hydroxy-3,4:10,1 dibenzocyclopentadecan.

Results

Materials

The results of the micro diffusion method show that the inhibition zone, produced by MC on Staphylococcus aureus, was 14 mm in diameter, but there was no effect on Escherichia coli and Klebsiella spp. However, when it comes to MC@Fe3O4, the contrary results were observed. It has no effect on Staphylococcus aureus, but has produced an inhibition zone with the diameter 28mm on Escherichia coli and 22mm on Klebsiella spp. The antibacterial effect of MC on Staphylococcus aureus can be explained by the fact that it acts like ionophore, disrupting the membrane's potential of bacteria. At the same time, in case of MC@ Fe3O4, antibacterial effect is absent, probably, because Fe3O4 NPs blocked action sites of crown ethers, responsible for ionophore binding with membrane via OH, NH and MC’ oxygen atoms by means of ion-dipole, dipole-dipole and etc. interactions.

When it comes to Escherichia coli and Klebsiella spp., the mechanism is different. As gram-negative bacteria form so called siderophoric system that can acquire iron from the environment by secreting special iron-chelating agents – siderophores. These siderophores penetrate to periplasmic space through responsible for iron uptake porin channels. Hydroxyl substituted diazacrown ether is similar to siderophores in their ability to chelate iron. MC alone cannot penetrate through the thick membrane of gram-negative bacteria and produce antibacterial effect. However, laden with iron, it plays a role as a siderophore and is more advantageous for bacterial cells than natural free-from-iron siderophore.The sum of all above-mentioned factors contributes to high antimicrobial effect of MC@ Fe3O4 on gram-negative bacteria. I would like to thank prof. Ulviya A. Gasanova for her support in the course of my scientific work.

Conclusion

Our research’s results show that synthesized hydroxyl substituted diazacrown shows a significant antibacterial effect and low MIC on gram-positive Staphylococcus aureus, whereas nanostructured hydroxyl substituted azacrown produces an effect and low MIC on gram-negative microorganism Klebsiella spp. and Escherichia coli, and even has ability to inhibit their growth in bio film in all concentrations.

Acknowledgements

None.

Conflict of interest

Authors declare that there is no conflict of interest.

References

Creative Commons Attribution License

©2019 Vezirova. This is an open access article distributed under the terms of the, which permits unrestricted use, distribution, and build upon your work non-commercially.