Submit manuscript...
International Journal of
eISSN: 2381-1803

Complementary & Alternative Medicine

Research Article Volume 18 Issue 1

Aromatherapy in practice; effects of an eightweek intervention on self-reported stress and hair cortisol levels

Mark Moss, Sophie Swinburne, Anna Turner, Anna Balen, Mark Wetherell

Department of Psychology, Northumbria University, UK

Correspondence: Mark Moss, Brain, Performance and Nutrition Research Centre, Department of Psychology, Faculty of Health and Life Sciences, Northumbria University, Newcastle upon Tyne, NE1 8ST, UK

Received: January 08, 2025 | Published: January 23, 2025

Citation: Moss M, Swinburne S, Turner A, et al. Aromatherapy in practice; effects of an eight-week intervention on self-reported stress and hair cortisol levels. Int J Complement Alt Med. 2025;18(1):25-31. DOI: 10.15406/ijcam.2025.18.00721

Download PDF

Abstract

Stress and its consequences for health and wellbeing is an ongoing problem in the modern era. The potential for aromatherapy to offer a safe, effective and widely available treatment has been considered but the scientific evaluation has often fallen short. In this study we investigated the potential for the aroma of a blend of essential oils to impact on self-reported stress and cortisol levels as a biomarker of chronic stress. Sixty-six clients of clinical aromatherapists were recruited along with a control group of 33 healthy but stressed individuals. Aromatherapy clients followed an eight-week intervention programme that employed either a traditionally extracted or carbon dioxide extracted blend of essential oils. Control participants received no intervention. All participants completed self-report questionnaires at the start and end of the intervention period and provided two hair samples for the evaluation of cortisol levels in the preceding month. Data analysis revealed that the aromatherapy interventions produced significant reductions in self-reported stress, anxiety and mood disturbance with medium sized effects. Hair cortisol levels also significantly declined from pre- to post- treatment with a medium sized effect for both aromatherapy groups. No changes were seen in the control group for any variables. These findings clearly support the effectiveness of clinical aromatherapy practice for the treatment of chronic stress and suggests that method of extraction of the essential oils is not a critical factor. The potential for aromatherapy to contribute more widely to the democratisation of health care as self-care warrants further investigation.

Introduction

The twenty-first century has seen a worrying increase in the number of people who experience chronic stress and the associated impact on physical and mental health, with 31% of a survey of the worldwide adult population viewing stress as the biggest health problem in their country from 2018 to 2024.1 Complementary and alternative medicine (CAM) has become an increasingly important feature of healthcare for such conditions with 12% of a large English sample consulting a practitioner in the preceding 12 months with aromatherapy being the second most popular modality.2 Research that has evaluated the potential for clinical aromatherapy to beneficially impact on stress has been limited in both scope and approach, however. A large number of the studies performed have involved volunteers who are healthy and report no significant stress at the start of the study.3–7 The general consensus from such work is that inhalation of the aromas of essential oils, especially lavender can reduce self-reports of stress and impact beneficially on physiological markers such as blood pressure and cortisol. A body of work has also investigated the specific area of occupational stress amongst health workers8–11 and patient groups in hospital settings.12–16 As with healthy participants, self-reported stress, anxiety, depression and additionally, pain generally show improvements from aromatherapy interventions, although in some cases no beneficial effects were recorded.12 There are limited reports of the impact of aromatherapy on physiological markers in patient populations but evidence exists indicating reductions in heart rate and cortisol levels17,18 and salivary alpha amylase.19 However, the impact of clinical aromatherapy practice on clients from the general population seeking treatment for feelings of chronic stress and associated symptoms lacks rigorous investigation. The current study aimed to address this deficit by evaluating the impact of aromatherapist led treatment on self-reports and an objective measure of chronic stress.

The hormone cortisol is secreted continuously and follows a regular diurnal pattern in healthy adults as well as being increased in concentration in response to acute stress.20 Diurnal rhythmicity and acute reactivity of cortisol are typically measured in saliva; however, concentrations are subject to high situational variability. A viable option is the measurement of cortisol in hair; sampling is non-invasive and it has been proposed to be a better evaluation of stress-related secretion over periods of weeks or months.21 Hair grows at a rate of approximately one centimetre per month22 and so successive segments can be used to compare cortisol levels before and after a stressful period, or in the case of the current study, before and after a treatment intervention. Previous research has demonstrated increased hair cortisol concentrations in samples experiencing prolonged stress such as dementia caregivers,68 the unemployed23 and those with chronic pain24 when compared to healthy controls. There are limited studies reporting the impact of treatment on hair cortisol levels, although25 found beneficial effects of cognitive behavioural therapy on both self-reported stress and hair cortisol levels amongst pregnant women.

A current issue in the aromatherapy field relates to the extraction of the essential oils. The process of extraction is aimed at the concentration of active compounds ie monoterpenes and sesquiterpenes, and their oxygenated derivatives such as alcohols, aldehydes, ketones, acids, phenols, ethers, and esters from the bulk plant.26 Traditional extraction techniques are based on the use of various solvents, heating and mixing, and in recent years have faced criticism due to the cost of the solvents, some of which may be lost through evaporation, the duration of the extraction times and low selectivity.27 Alternative ‘green’ extraction methods using supercritical fluid extraction with carbon dioxide (CO2) have been on the increase due to being quick, easy and selective.28 These methods are also solvent-free and viewed as environmentally friendly.29 The properties of extracted essential oils are dependent upon the number and type of molecules that constitute them and the stereochemical structure of the molecules, all of which can be influenced by the extraction process employed.26 Given that essential oils may vary dependent on extraction method, one of the key questions that remains to be answered is whether the essential oils derived using the different techniques differ in their therapeutic value. The current study will make a direct comparison of equivalent essential oils extracted either through traditional or CO2 methodologies. Finally, the global aromatherapy market was estimated at USD 8.6 billion in 2023 and is predicted to grow at a capital annual growth rate of 7.9% from 2024 to 2030.30 As such, the need for evaluations of the kind made in this study is self-evident. The aim of this study is therefore to assess the impact of traditional versus CO2 extracted essential oil blends employed as clinical aromatherapy interventions on clients seeking to alleviate stress and associated symptoms.

Methods

The design and proposed analysis are available at Open Science Framework (https://osf.io/c5ugb)

Role of the international federation of aromatherapists (IFA)

The IFA recruited therapists from its membership who were interested in taking part in this study. The participants from whom data was collected were all new clients of the therapists and were seeking treatment for stress. The treatment duration of eight weeks was agreed in advance with the IFA and the therapists. The essential oil blend ‘Stress-less’ is a commercial blend created and supplied by the IFA. The use of traditional or carbon dioxide extracted oil blends was based on individual preference and each therapist only used one type of extracted oils blend.

Design

A 3(condition) x 2(timepoint) mixed design was employed. The between groups factor was the essential oil condition with three levels; traditionally extracted essential oil blend, Carbon Dioxide extracted essential oil blend, and control (no essential oils). The repeated measures factor was timepoint with two levels representing the collection of subjective measures and hair samples before and after the eight week aromatherapy intervention period. The subjective dependent variables were scores on self-report scales of mood, stress and other negative feelings. Cortisol levels were extracted from hair samples taken at the start and end of the study and represent an objective measure of chronic stress in the previous month.

Participants

All client participants in the aromatherapy conditions were recruited by the therapists after being approached by the individuals to be treated for feelings of stress. All these participants were asked if they were interested in contributing data to the study prior to the start of their eight-week treatment block. The traditional extraction group consisted of 30 females (MAge = 54.20, SD = 11.31) and 6 males (MAge = 61.67, SD = 15.23). The carbon dioxide extraction group consisted of 36 females (MAge = 55.46, SD = 13.63) and 6 males (MAge = 41.17, SD = 17.42). Participants in the control condition were recruited from the general population by the department of psychology at Northumbria University and consisted of 24 females (MAge = 46.42, SD = 14.81) and 9 males (MAge = 42.33, SD = 16.82). All control participants expressed feeling daily stress but not to the extent of seeking or receiving any form of medical treatment or complimentary intervention. All participants in all conditions were paid £20 for completing the study to cover their time and inconvenience in completing the questionnaires and providing hair samples.

Material and measures

The following scales were completed at the start and end of the study; Perceived Stress Scale,31 Profile of Mood States,32 State-Trait Anxiety,33 Stress Reactivity,34 Depression, Anxiety and Stress,35 and Loneliness.36

Hair cortisol

Hair samples were collected from all participants at the start (week -1) and the end (week 9) of the study in accordance with accepted instructions from the lab where the analyses were conducted: https://www.aru.ac.uk/science-and-engineering/business-and-commercial/biomarkers/client-area. Comparisons were made of cortisol levels pg/mg in 1cm segments cut closest to the scalp at the two timepoints indicated above, where these samples represent cortisol secretion in the month prior to each sample.

Essential oils

The essential oil blends constituted five essential oils. The blend, named ‘Stress-less’ is a proprietary product of the IFA and was created in the same way but either with traditionally distilled essential oils or Carbon dioxide extracted essential oils. The exact oils and proportions in the blend are the commercial property of the IFA and have not been shared. Each essential oil used was certified with ISO022716 ANS ISO14001, UKAS and EFICI certificates. The product specification sheets identify that the essential oils are in accordance with the requirements of Articles 3 (2) (d) of regulation (EC) 1334/2008 and therefore can be designated as natural and do not contain any solvents or additives.

Procedure

Ethical approval for the study was obtained from the Northumbria University ethics system #46251. On recruitment of the in-therapy participants, informed consent forms were signed and returned to Northumbria University. Upon receipt, participant’s questionnaire packs were sent out to the respective therapists. All participants completed baseline questionnaires and initial hair samples were taken at the therapist’s clinic, and subsequently engaged with treatment as provided and directed by the therapists. In addition to fortnightly in-clinic treatments each participant received a 10ml bottle of essential oil to take away and inhale from for 5 minutes, three times a day. Following eight weeks of treatment final questionnaires were completed and second hair samples taken during a debrief session when questions were answered and payments were also distributed. Control participants provided initial and final questionnaire data and hair samples by visiting the lab at Northumbria University at an agreed time eight weeks apart. Debrief and payments were made at the second visit.

Data analysis strategy

A mixed two (pre, post treatment) by three (group) factorial multivariate analysis of variance (MANOVA) was applied to all dependent variables in the study. The significance of the interaction effect was employed as a gatekeeper to consideration of the univariate analyses of variance. Any significant interaction effects for the univariate Anovas were then followed up with Bonferroni corrected simple main effects analyses. Pearson correlations were also conducted between pre- and post- treatment hair cortisol levels and any variables significantly affected by the intervention.

Results

The MANOVA revealed a significant main effect of Group, Wilks’ lambda = .505, F(44, 176) = 1.613, p = .016, partial eta squared = .290. There was also a significant main effect of pre-post treatment, Wilks’ lambda = .560, F(22, 87) = 3.102, p < .001, partial eta squared = .440. Importantly, there was also a significant pre-post treatment by Group interaction effect, Wilks’ lambda = .536, F(44, 174) = 1.447, p = .050, partial eta squared = .268. This led to consideration of the univariate tests for which descriptive statistics for the interactions are presented in Table 1, along with uncorrected p values for the interaction effects and the partial eta squared effect sizes. For concision, the Stress Reactivity subscales are not presented because scale total did not approach significance. Similarly, the subscales of the Profile of Mood States scale are not presented as none of the interaction effects for the individual subscales reached significance.

 

Control

Traditional

CO2

Interaction Sig

Ƞ2p

Variable

Pre

Post

Pre

Post

Pre

Post

DASS Depression

4.61 (4.99)

4.79 (5.31)

5.06 (3.64)

3.63 (4.33)

4.88 (5.57)

3.57 (4.20)

0.324

0.02

DASS Anxiety

3.79 (3.45)

4.21 (4.90)

4.17 (4.04)

2.14 (2.81)

5.86 (4.94)

2.91 (3.75)

0.012

0.079

DASS Stress

6.00 (3.24)

6.76 (4.62)

8.44 (3.97)

5.46 (4.59)

7.83 (4.26)

6.17 (4.28)

0.027

0.065

PSS

19.42 (6.05)

18.67 (6.11)

19.75 (6.47)

12.99 (6.34)

17.48 (8.26)

14.85 (6.75)

0.038

0.059

STA Absent

8.79 (2.29)

8.36 (2.73)

8.56 (2.26)

8.86 (2.27)

8.07 (2.25)

8.34 (2.51)

0.438

0.015

STA Present

4.67 (2.15)

5.15 (2.54)

5.75 (2.47)

4.46 (1.97)

5.06 (2.27)

5.08 (2.00)

0.008

0.085

POMS TMD

-3.91 (23.48)

-.067 (27.86)

2.28 (25.39)

-10.67 (21.40)

0.71 (23.51)

-8.02 (22.31)

0.034

0.06

Loneliness

12.27 (4.50)

12.61 (4.62)

13.17 (3.53)

11.45 (4.06)

13.19 (3.85)

12.56 (4.04)

0.099

0.042

SRS Total

1.03 (0.39)

1.01 (0.42)

1.04 (0.38)

0.88 (0.36)

1.11 (0.36)

0.96 (0.4)

0.228

0.027

Cortisol

18.27

19.03

19.31

17.09

20.29

16.45

0.029

0.063

 

(9.53)

(7.71)

(8.38)

(5.66)

(13.13_

(11.13)

   

Table 1 Mean (SD) for Pre and Post scales from the Depression, Anxiety and Stress scale (DASS), Perceived Stress Scale (PSS), State-Trait Anxiety absent and present (STA), Profile of Mood States total mood disturbance (POMS TMD), the Loneliness scale, Stress Reactivity (SRS total) and hair cortisol levels (pg/mg). Uncorrected p values for the Condition*Pre_Post interaction effect and partial eta squared effect sizes

DASS anxiety

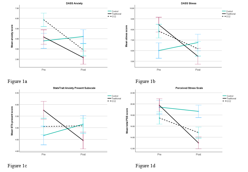
The pre-post*Group interaction was significant, F(2, 108) = 4.653, p = .012, ƞ2p = .079. Analysis of simple main effects indicated that for the traditional essential oil group the decrease in anxiety from pre (4.17) to post (2.14) treatment was significant, p = .014, Cohen’s d = .484, 95% CI [.135, .826], a medium effect size. For the CO2 group the decrease from pre (5.86) to post (2.91) was significant, p < .001, Cohen’s d = .490, 95% CI [.167, .808], a medium effect size. The control group elicited no significant difference p = .616, Cohen’s d = -.115, 95% CI [-.457, .228]. See Figure 1a.

DASS stress

The pre-post*Group interaction was significant, F (2, 108) = 3.745, p = .027, ƞ2p = .065. Analysis of simple main effects indicated that for the traditional essential oil group the decrease from pre (8.44) to post (5.46) treatment was significant, p = .002, Cohen’s d = .517, 95% CI [.166, .862], a medium effect size. For the CO2 group the decrease from 7.83 to 6.17 approached but did not reach statistical significance, p = .063, Cohen’s d = .285, 95% CI [-.026, .591], a small effect size. The control group elicited no significant difference p = .450, Cohen’s d = -.136, 95% CI [-.478, .208]. See Figure 1b.

State trait anxiety present

The pre-post*Group interaction was significant, F (2, 108) = 4.993, p = .008, ƞ2p = .085. Analysis of simple main effects indicated that for the traditional essential oil group the decrease from pre (5.75) to post (4.46) treatment was significant, p = .002, Cohen’s d = .504, 95% CI [.154, .848], a medium effect size. For the CO2 group the small increase from pre (5.06) to post (5.08) treatment was not significant, p = .947, Cohen’s d = -.009, 95% CI [-.312, .293]. The control group also displayed an increase in this variable that was not significant, p = .259, Cohen’s d = -.250, 95% CI [-.595, .098]. See Figure 1c.

Perceived stress scale

The pre-post*Group interaction was significant, F (2, 108) = 3.382, p = .038, ƞ2p = .059. Analysis of simple main effects indicated that for the traditional essential oil group the decrease from pre (19.75) to post (12.99) treatment was significant, p < .001, Cohen’s d = .700, 95% CI [.331, 1.062], a medium to large effect size. For the CO2 group the decrease from 17.48 to 14.85 approached but did not reach statistical significance, p = .088, Cohen’s d = .231, 95% CI [-.076, .537], a small effect size. The control group elicited no significant difference p = .661, Cohen’s d = .096, 95% CI [-.247, .437]. See Figure 1d.

POMS total mood disturbance

The pre-post*Group interaction was significant, F (2, 108) = 5.964, p = .016, ƞ2p = .052. Analysis of simple main effects indicated that for the traditional essential oil group the decrease in mood disturbance from pre (2.28) to post (-10.67) treatment was significant, p = .004, Cohen’s d = .432, 95% CI [.088, .771], a small to medium effect size. For the CO2 group the decrease from pre (0.71) to post (-8.02) was significant, p = .034, Cohen’s d = .315, 95% CI [.003, .623], a small effect size. The control group elicited no significant difference p = .482, Cohen’s d = -.165, 95% CI [-.508, .180]. See Figure 1e.

Hair cortisol

The pre-post*Group interaction was significant, F (2, 108) = 3.657, p = .029, ƞ2p = .063. Analysis of simple main effects indicated that for the traditional essential oil group the decrease in hair cortisol levels from pre (19.31) to post (17.09) treatment approached but did not reach significance, p = .057, Cohen’s d = .299, 95% CI [-.037, .631], a small effect size. For the CO2 group the decrease from pre (20.29) to post (16.45) was significant, p < .001, Cohen’s d = .522, 95% CI [.197, .842], a medium effect size. The control group elicited no significant difference p = .528, Cohen’s d = -.118, 95% CI [-.459, .226]. See Figure 1f.

Figure 1 Interaction plots for the dependent variables that reached significance. Error bars depict standard errors.

Correlations

Pearson correlations were conducted between cortisol levels and scores on the above scales at both pre- and post-treatment time points (Table 2). Prior to treatment there were: a significant positive correlation with a medium effect size between the DASS Stress variable and hair cortisol r(109) = .330, p < .001, and a significant positive correlation approaching a medium effect size between the Perceived Stress Scale and hair cortisol, r(109) = .248, p = .009. A small to medium sized significant negative correlation was observed between DASS anxiety and hair cortisol r (109) = -.210, p = .027. No other correlations approached significance.

 

DASS Stress

DASS Anxiety

STA Present

PSS

POMS TMD

Cortisol (pre)

.330**

-.210*

.007

.248**

-.088

Cortisol (post)

-.110

-.090

-.025

.007

-.026

Table 2 Pearson correlations between hair cortisol levels pg/mg and scale scores for those scales affected by the intervention.  DASS = Depression Anxiety and Stress Scale; STA = State Trait Anxiety Scale; PSS = Perceived Stress Scale; POMS TMD = Profile of Mood States Total Mood Disturbance. * denotes p<.05, ** denotes p<.01. N = 111

Discussion

The results of this study demonstrate that treatment by aromatherapists using the ‘Stress-less’ essential oil blends significantly reduced feelings of stress, anxiety and mood disturbance amongst clients seeking a solution for their experiences and impact of long-term stress. The traditional extraction blend produced slightly greater benefits for the subjective variables than the CO2 extraction blend, although these differences were not large save for the DASS anxiety scale where the CO2 blend produced no benefit. In contrast, the CO2 blend produced marginally greater decrease in hair cortisol levels from pre- to post-treatment than the traditional blend. Control participants showed no change in any of the subjective or hair cortisol variables across the course of the study. Some comparison of the effect sizes observed here can be made to previous work in the area. A meta-analysis of five published studies employing healthy participants37 reported a mean effect size of -0.96 for subjective assessments of stress and -0.62 for salivary or serum cortisol levels. These mean effect sizes are larger than those observed here and although37 suggest that the mean effects may be overestimated due to the small size of the studies in the analysis, it may also be that healthy participants employed in research self-report greater reductions in stress than do those individuals who are seeking assistance with a clinical problem. Treatment resistance is common in post-traumatic stress disorder38 and it is possible that the participants in the treatment groups employed here identified lower levels of improvement due to an inherent reluctance to report feeling better. Alternatively, the expectation of the effectiveness of the treatment amongst the clients may be low, especially when they may have found orthodox treatment ineffective,39 and even when improvements were experienced the ratings of the change may be blunted. The difference in the effect sizes reported for the cortisol measures may reflect the sensitivity of the salivary and serum measurements to acute stressors and healthy participants employed in the studies reviewed, compared to the treatment of chronic stress reported here.

The analysis of cortisol in hair is considered a useful technique for the retrospective assessment of chronic stress.40 However, the correlations between cortisol levels and self-reported stress presented here show limited evidence of a relationship. The reason for the lack of objective-subjective correlation may lie in the fact that the cortisol levels derived from the hair samples describe the average level for the previous month, whereas the subjective measures were point estimates at the end of the same month. The important observation that both the hair cortisol levels and subjective evaluations of stress reduced over the period of the treatment is not reduced in value by the lack of objective-subjective correspondence for this reason.

Given that the results of this study indicate that both subjective and objective markers of stress can be positively impacted by aromatherapy treatment, consideration of possible mechanisms is warranted. The hedonic valence mechanism suggests that the pleasantness of an aroma can influence mood and performance,41 but can perhaps be rejected here. Although the relationship between aroma pleasantness and hedonic response is undeniable,42 the likelihood of it being sufficient to address significant reports of continuing stress is low, especially when aromas rated with similar levels of likeability have been reported to impact differentially on aspects of stress.43,44

A more intriguing possibility is the engagement of signal pathways in the central nervous system via stimulation of the olfactory bulb. Aroma molecules stimulate the olfactory system which induces cortical responses including the release of neurotransmitters in a chemical-electrical-chemical signal process.45 Component molecules of a range of essential oils have been demonstrated to possess such neuropharmacological properties in animal models. Linalool, a major constituent of a number of essential oils inhibits glutamate binding and as such may act as a tranquilizer.46 Carvacrol by comparison, produces anxiolytic effects through involvement with gamma-aminobutyric acid transmission47 and lemon aroma has been shown to accelerate the turnover of 5-hydroxytrptamine that might be linked to antidepressant effects.48,49

The volatile organic compounds that make up the aromas may also enter the blood stream via the lung mucosa when inhaled50,51 and can pass across the blood brain barrier to deliver direct pharmacological effects. In vitro studies have demonstrated that extracts of rosemary display inhibition of both butyrylcholinesterase and acetylcholinesterase enzymes52 and direct absorption of active compounds may be related to the cognitive enhancing effects reported for this essential oil.53 The design of the current study does not permit for evidence in favour of either mechanism, but the positive findings should provoke further investigation.

An important concept in aromatherapy interventions and one that is pertinent here when investigating the effectiveness of blended oils is that of synergy.54 Synergy suggests that a combination of products produces something with multiple modes of action whereby the whole is greater than the sum of its parts. Given that individual essential oils are made up of many components it is not perhaps surprising that synergy exists within individual oils. For example, lemon grass contains the active antibacterial components neral and citral but their activity is strengthened by the presence of a non-active component, myrcene.55 Similarly, although demonstrated to be pharmacologically active in vitro,56 1-8 cineole has no behavioural effects when isolated,57 but when present as a major component in rosemary58 and sage59 essential oils is linked to cognitive enhancement, effects that are likely to be a consequence of synergy with other minor components. The blending of essential oils as in the production of the ‘Stress-less’ product employed in the current study is predicated on the basis of synergy. Lema oil® is made from a combination of tea tree and the polar fraction of Manuka. Excellent synergistic bacteriological effects were reported by Christoph, et al.,60 for this blend when compared to the effects of the individual components, although only additive effects were found when considering respiratory pathogens.61 As such, synergistic effects are not a definite outcome. Indeed,62 report combinations that range from synergy to antagonism, whereby active compounds with different mechanisms produce inactivity in the blend. The results of the current study do not inform on the possibility of synergistic effects as the individual components were not tested separately. Such an investigation would be of value. Although there are many papers that report the outcomes of different extraction techniques on essential oil content and quality63–67 this is the first study to the authors knowledge that makes a direct comparison of blends derived from two of the techniques in a clinical aromatherapy context. The findings suggest that the extraction types differ little, if at all in their effectiveness as a treatment for stress. This may be of great interest to clinical aromatherapists who might be pressured to change their oils due to environmental of economic factors.

Conclusion

This study makes a significant contribution to the field because it considers the effectiveness of an eight-week period of aromatherapy treatment with either CO2 or traditionally extracted essential oils in clients actively seeking relief from chronic stress. The benefits of the treatments are clear in both subjective and objective measures and support the potential value of aromatherapy as an alternative or complimentary approach for the reduction in stress.

Acknowledgments

None.

Conflicts of interest

The author declares there is no conflict of interest.

References

  1. Ipsos Health Service Report 2024. Ipsos. 2024.
  2. Hunt KJ, Coelho HF, Wider B, et al. Complementary and alternative medicine use in England: results from a national survey. Int J Clin Pract. 2010;64(11):1496–1502.
  3. Toda M, Morimoto K. Evaluation of effects of lavender and peppermint aromatherapy using sensitive salivary endocrinological stress markers. Stress and Health. 2011;27(5):430–435.
  4. Kim GD, Suh SR. Meta-analysis about effect of aromatherapy on stress. Journal of Hospice and Palliative Care. 2008;11(4):188–195.
  5. Toda M, Matsuse R. Endocrinological effect of lavender aromatherapy on stressful visual stimuli. Contemp Clin Trials Commun. 2020;17:100547.
  6. Sazawa K, Kawada S, Ogawa Y. Effects of nighttime lavender aromatherapy on mood and physiological indices of stress in healthy young females. J Phys Ther Sci. 2022;34(7):503–508.
  7. Rezaei N, Keshavarz M, Pezaro S, et al. The effect of aromatherapy and music therapy upon anxiety and non-stress test results during pregnancy: A randomized clinical trial. European Journal of Integrative Medicine. 2024;67:102307.
  8. Farsi Z, Rajai N, Teymouri F, et al. Effect of aromatherapy with Rosa Damascena essential oil on nurses' occupational stress in the emergency department: A randomized controlled trial. Preventive Care in Nursing & Midwifery Journal. 2021;11(3):46–54.
  9. Hung CL, Lin YL, Chou CM, et al. Efficacy of Aromatherapy at relieving the work-related stress of nursing staff from various hospital departments during COVID-19. Healthcare. 2023;11(2):157.
  10. Langley Brady DL, Shutes J, Vinson JJ, et al. Aromatherapy through the lens of trauma-informed care: Stress-reduction practices for healthcare professionals. Journal of Interprofessional Education & Practice. 2023;30:100602.
  11. Ozcan GB, Bozok UG, Battal F, et al. The impact of aromatherapy on glossophobia among medical students: A study on cortisol levels and stress reduction. Medicine Science. 2024;13(3):610–615.
  12. Bikmoradi A, Seifi Z, Poorolajal J, et al. Effect of inhalation aromatherapy with lavender essential oil on stress and vital signs in patients undergoing coronary artery bypass surgery: A single-blinded randomized clinical trial. Complement Ther Med. 2015;23(3):1–8.
  13. Ernawati R, Feriyani P, Tianingrum NA. The Effectiveness of Qur'an Recitation Therapy and Aromatherapy on Cancer Patients' Stress Level in Abdul Wahab Sjahranie Hospital Samarinda, Indonesia. Malaysian Journal of Medicine & Health Sciences. 2020;16(3)47–51.
  14. Veiskaramian A, Gholami M, Yarahmadi S, et al. Effect of aromatherapy with Melissa essential oil on stress and hemodynamic parameters in acute coronary syndrome patients: A clinical trial in the emergency department. Complement Ther Clin Pract. 2021;44:101436.
  15. Akbaş Uysal D, Şenuzun Aykar F, Uyar M. The effects of aromatherapy and music on pain, anxiety, and stress levels in palliative care patients. Support Care Cancer. 2024;32(10):632.
  16. Liu L, Liu R, Zhang L, et al. The effect of aromatherapy on patients with acute coronary syndrome: A systematic review and meta-analysis. Complement Ther Clin Pract. 2024;57:101882.
  17. Kettas Dolek E, Altun Ugras G. The effect of aromatherapy during urodynamic testing on patients anxiety and cortisol levels: A randomized controlled trial. Neurourol Urodyn. 2024;43(7):1591–1599.
  18. Yadegari M, Mahmoodi-Shan GR, Kamkar MZ, et al. Effects of inhaling jasmine essential oil on anxiety and blood cortisol levels in candidates for laparotomy: A randomized clinical trial. Journal of Nursing and Midwifery Sciences. 2021;8(2):128–133.
  19. Pasyar N, Rambod M, Araghi F. The effect of bergamot orange essence on anxiety, salivary cortisol, and alpha amylase in patients prior to laparoscopic cholecystectomy: A controlled trial study. Complement Ther Clin Pract. 2020;39:101153.
  20. Spencer RL, Deak T. A users guide to HPA axis research. Physiol behav. 2017;178:43–65.
  21. Raul JS, Cirimele V, Ludes B, et al. Detection of physiological concentrations of cortisol and cortisone in human hair. Clin Biochem. 2004;37(12):1105–1111.
  22. LeBeau MA, Montgomery MA, Brewer JD. The role of variations in growth rate and sample collection on interpreting results of segmental analyses of hair. Forensic Sci Int. 2011;210(1–3):110–116.
  23. Dettenborn L, Tietze A, Bruckner F, et al. Higher cortisol content in hair among long-term unemployed individuals compared to controls. 2010;35(9):1404–1409.
  24. Van Uum S, Sauvé B, Fraser L, et al. Elevated content of cortisol in hair of patients with severe chronic pain: a novel biomarker for stress. Stress. 2008;11(6):483–488.
  25. Romero Gonzalez B, Puertas Gonzalez JA, Strivens Vilchez H, et al. Effects of cognitive-behavioural therapy for stress management on stress and hair cortisol levels in pregnant women: A randomised controlled trial. J Psychosom Res. 2020;135:110162.
  26. Aziz ZA, Ahmad A, Setapar SHM, et al. Essential oils: extraction techniques, pharmaceutical and therapeutic potential-a review. Curr Drug Metab. 2018;19(13):1100–1110.
  27. Anitescu G, Doneanu C, Radulescu V. Isolation of coriander oil: comparison between steam distillation and supercritical CO2 Flavour and fragrance journal. 1997;12(3):173–176.
  28. Fornari T, Vicente G, Vázquez E, et al. Isolation of essential oil from different plants and herbs by supercritical fluid extraction. J Chromatogr A. 2012;1250:34–48.
  29. Coelho J, Veiga J, Karmali A, et al. Supercritical CO2 extracts and volatile oil of basil (Ocimum basilicum L.) comparison with conventional methods. Separations. 2018;5(2):21.
  30. Grand View Research. Essential Oils Market Size To Reach $40.12 Billion By 2030. Grand View Research. 2024.
  31. Cohen S, Kamarck T, Mermelstein R. A global measure of perceived stress. J Health Soc Behav. 1983;24(4):385–396.
  32. McNair DM. Profile of mood states. Educational and industrial testing service. 1992.
  33. Spielberger C. Manual for the state-trait anxiety inventory. In: Spieberger CD editor. STAI Manual. Palo Alto Calif Consulting. Psychologist Press. 1983.
  34. Schulz P, Jansen L, Schlotz W. Stress reactivity: Theoretical concept and measurement. Diagnostica. 2005;51(3):124–133.
  35. Lovibond S. Manual for the depression anxiety stress scales. Psychology Foundation of Australia. 1995.
  36. De Jong Gierveld J, Van Tilburg T. Manual of the loneliness scale. Methoden en technieken. 1999.
  37. Hur MH, Song JA, Lee J, et al. Aromatherapy for stress reduction in healthy adults: a systematic review and meta-analysis of randomized clinical trials. Maturitas. 2014;79(4):362–369.
  38. Dunlop BW, Kaye JL, Youngner C, et al. Assessing treatment-resistant posttraumatic stress disorder: The Emory treatment resistance interview for PTSD (E-TRIP). Behav Sci. 2014;4(4):511–527.
  39. Vincent C, Furnham A. Why do patients turn to complementary medicine? An empirical study. Br J Clin Psychol. 1996;35(1):37–48.
  40. Lee DY, Kim E, Choi MH. Technical and clinical aspects of cortisol as a biochemical marker of chronic stress. BMB Rep. 2015;48(4):209–216.
  41. Baron RA. Environmentally induced positive affect: its impact on self‐efficacy, task performance, negotiation, and conflict 1. Journal of Applied Social Psychology. 1990;20(5):368–384.
  42. Khan RM, Luk CH, Flinker A, et al. Predicting odor pleasantness from odorant structure: pleasantness as a reflection of the physical world. J Neurosci. 2007;27(37):10015–10023.
  43. Buckle J. Aromatherapy. Nurs Times. 1993;89(20):32–35.
  44. Takagi C, Nakagawa S, Hirata N, et al. Evaluating the effect of aromatherapy on a stress marker in healthy subjects. J Pharm Health Care Sci. 2019;5(1):1–7.
  45. Nan Lv X, Jun Liu Z, Jing Zhang H, et al. Aromatherapy and the central nerve system (CNS): therapeutic mechanism and its associated genes. Curr Drug Targets. 2013;14(8):872–879.
  46. Elisabetsky E, Marschner J, Onofre Souza D. Effects of linalool on glutamatergic system in the rat cerebral cortex. Neurochem Res. 1995;20(4):461–465.
  47. Melo FHC, Venâncio ET, De Sousa DP, et al. Anxiolytic‐like effect of Carvacrol (5‐isopropyl‐2‐methylphenol) in mice: involvement with GABAergic transmission. Fundam Clin Pharmacol. 2010;24(4):437–443.
  48. Komiya M, Takeuchi T, Harada E. Lemon oil vapor causes an anti-stress effect via modulating the 5-HT and DA activities in mice. Behav Brain Res. 2006;172(2):240–249.
  49. Komori T, Fujiwara R, Tanida M, et al. Potential antidepressant effects of lemon odor in rats. Eur Neuropsychopharmacol. 1995;5(4):477–480.
  50. Jirovetz L, Buchbauer G, Jäger W, et al. Determination of lavender oil fragrance compounds in blood samples. Fresenius' journal of analytical chemistry. 1990;338:922–923.
  51. Moss M, Oliver L. Plasma 1, 8-cineole correlates with cognitive performance following exposure to rosemary essential oil aroma. Ther Adv Psychopharmacol. 2012;2(3):103–113.
  52. Orhan I, Aslan S, Kartal M, et al. Inhibitory effect of Turkish Rosmarinus officinalis L. on acetylcholinesterase and butyrylcholinesterase enzymes. Food Chem. 2008;108(2):663–668.
  53. Moss M, Cook J, Wesnes K, et al. Aromas of rosemary and lavender essential oils differentially affect cognition and mood in healthy adults. Int J Neurosci. 2003;113(1):15–38.
  54. Harris R. Synergism in the essential oil world. International Journal of Aromatherapy. 2002;12(4):179–186.
  55. Onawunmi GO, Yisak WA, Ogunlana E. Antibacterial constituents in the essential oil of Cymbopogon citratus (DC.) Stapf. J Ethnopharmacol. 1984;12(3):279–286.
  56. Kaufmann D, Dogra AK, Wink M. Myrtenal inhibits acetylcholinesterase, a known Alzheimer target. J Pharm Pharmacol. 2011;63(10):1368–1371.
  57. Ambrosch S, Duliban C, Heger H, et al. Effects of 1, 8‐Cineole and (–)‐Linalool on Functional Brain Activation in a Working Memory Task. Flavour and fragrance journal. 2018;33(3):235–244.
  58. Moss M, Earl V, Moss L, et al. Any Sense in Classroom Scents? Aroma of Rosemary Essential Oil Significantly Improves Cognition in Young School Children. Advances in Chemical Engineering and Science. 2017;7(4):450–463.
  59. Scholey AB, Tildesley NT, Ballard CG, et al. An extract of Salvia (sage) with anticholinesterase properties improves memory and attention in healthy older volunteers. Psychopharmacology (Berl). 2008;198(1):127–139.
  60. Christoph F, Kaulfers PM, Stahl Biskup E. In vitro evaluation of the antibacterial activity of β-triketones admixed to Melaleuca oils. Planta Med. 2001;67(8):768–771.
  61. Christoph F, Stahl Biskup E, Kaulfers PM. Death kinetics of Staphylococcus aureus exposed to commercial tea tree oils sl. Journal of Essential oil research. 2001;13(2):98–102.
  62. Lis Balchin M, Deans S, Hart S. A study of the changes in the bioactivity of essential oils used singly and as mixtures in aromatherapy. J Altern Complement Med. 1997;3(3):249–256.
  63. Donelian A, Carlson L, Lopes T, et al. Comparison of extraction of patchouli (Pogostemon cablin) essential oil with supercritical CO2 and by steam distillation. The Journal of Supercritical Fluids. 2009;48(1):15–20.
  64. Khajeh M, Yamini Y, Sefidkon F, et al. Comparison of essential oil composition of Carum copticum obtained by supercritical carbon dioxide extraction and hydrodistillation methods. Food chemistry. 2004;86(4):587–591.
  65. Lo Presti M, Ragusa S, Trozzi A, et al. A comparison between different techniques for the isolation of rosemary essential oil. J Sep Sci. 2005;28(3):273–280.
  66. Thao HTP, Toan HT, Nhan TC, et al. Comparative study of orange essential oils extracted by liquid CO2 without high pressure pump and the conventional methods. Chemical Engineering Journal Advances. 2024;19:100634.
  67. Zengin G, Mollica A, Arsenijević J, et al. A comparative study of chamomile essential oils and lipophilic extracts obtained by conventional and greener extraction techniques: chemometric approach to chemical composition and biological activity. Separations. 2022;10(1):18.
  68. Rippon D, McDonnell A, Bristow M, et al. Elevated levels of hair cortisol concentrations in professional dementia caregivers. Stress. 2021;24(6):945–951.
Creative Commons Attribution License

©2025 Moss, et al. This is an open access article distributed under the terms of the, which permits unrestricted use, distribution, and build upon your work non-commercially.