Submit manuscript...
International Journal of
eISSN: 2381-1803

Complementary & Alternative Medicine

Research Article Volume 5 Issue 1

Effects of a Yoga Program on Health, Behaviour and Learning Ability in School Children: A Single Arm Observational Study

Sathish Vhavle,1 Raghavendra Rao,2 Majunath NK,1 Amritanshu Ram R2

1Swami Vivekananda Yoga, Anusandhana Samsthana, India
22Healthcare Global Enterprises ltd, India

Correspondence: Raghavendra Rao M, PhD, Senior Scientist and Head CAM program, - 5 Healthcare Global Enterprises ltd, No 8, P Kalinga Rao Rd, Sampangiramnagar, Bengaluru, India, Tel +919916488864

Received: December 26, 2016 | Published: January 3, 2017

Citation: Vhavle S, Rao MR, Manjunath NK, Ram AR (2017) Effects of a Yoga Program on Health, Behaviour and Learning Ability in School Children: A Single Arm Observational Study. Int J Complement Alt Med 5(1): 00138. DOI: 10.15406/ijcam.2017.05.00138

Download PDF

Abstract

Background: Learning difficulties, Stress and behavioural problems are widely prevalent in high school children that contribute to dropouts and poor performance. Yoga as a mind body intervention has been shown to improve performance in pilot studies. In this large observational study we assess the impact of yoga intervention on learning, cognitive abilities, behaviour and health in high school children.

Methods: Seven hundred and sixty eight schools across fifty talukas in Karnataka with around seven thousand six hundred and one children were assessed on improvements in learning, cognition, behaviour and health following two months of yoga intervention. Physical education teachers from these schools were trained to impart yoga intervention over two months to students of both higher primary and high school. Assessments were done by class teachers and parents of students who were not involved in imparting intervention.

Results: There was a significant improvement in health, learning ability, cognitive ability, behaviour, and positive emotions and decrease in negative emotions (all p’s<0.001). The effect size of change was modest for emotions, behaviour and cognitive ability and large for learning ability and health.

Conclusion: The results suggest beneficial effects of yoga intervention in higher primary and high school children.

Keywords: yoga, performance, learning, cognition, adolescents, school children

Introduction

Educators, researchers, and health care providers working with children have long been interested in understanding what causes children with average intelligence to suffer from academic underachievement, particularly when these academic difficulties are not the result of physical, social and environmental factors. Behavioural problems in children including mood disorders, emotional distress, peer pressures, learning disorders and adjustment problems are all said to contribute towards academic underachievement.1 For example emotional distress, disrupted cognitive functioning, and deterioration in academic performance have all been theorized to be possible results of depressive moods that have resulted from peer pressures, family conflicts, and having to contribute to financial needs of the family.2 School dropout rates have also been attributed to learning difficulty and poor academic performance.3 Schemes like mid-day meals have failed to improve classroom attendance.4 Dropout rates in Karnataka according to national sample survey statistics is around 7.9% in rural areas and 3.1% in urban areas with marginally more dropout rates in males compared to females. Specific clinical features of depression such as reduced attention span, lethargy, poor concentration and memory, as well as abridged task perseverance are all factors that have emerged as obstacles to effective learning. Furthermore, poor academic performance has been associated with an increase in social and behavioral problems.5 Though overt clinical depression is seen in a few a majority of they express depressive mood swings that are usually seen in adolescents. The stress to perform and its accompanying physiological and behavioural stress response can result in mood swings, emotional distress, loss of sleep and cognitive impairment. Poor classroom performance is consistently demonstrated in children with depressive symptoms when no other intervening learning disability is present.6 Negative correlations between severity of depressive symptoms and intelligence scores, particularly by adolescence, have also been reported.7,8 Similarly, a weaker performance on a variety of measures assessing cognitive functioning has been observed in cohorts of children with symptoms of depression.8 These children have also exhibited a weaker performance on academic achievement measures including mathematics and knowledge clusters5‒9 and reading abilities.10In addition, behavioural manifestations of depression including attention difficulties.8,11‒14

It has been reported that student fatigue also markedly increases from elementary school to junior high school.15 Identifying fatigue-related factors is thus important for preventing increased levels of fatigue during this transition period.

Exercises and play have helped students learn ways to cope with emotional, social and mental stressors they endure as teenagers.16 Exercise, group activities and play have been known to improve self-esteem that’s needed to overcome the emotional upheavals during the adolescence age.17 Regular physical activity and exercise is known to produce strong healthy bones and muscles, reduce risk of obesity and chronic diseases, reduce feelings of anxiety and promote psychologic wellbeing.18 Moreover, obesity is a growing problem in teens and participation in physical activity decreases as age or grade in school increases further contributing to this problem.17 Physical activity can improve self-image, self-confidence, mood, relieve stress tension and premenstrual tension, increased alertness, increased energy and increased ability to cope with stress.19 Yoga is one such mind body intervention that uses postures or asanas, breathing exercises and pranayama (regulated nostril breathing) that has similar metabolic effects as an exercise.20 Studies have shown that while breathing through right nostril facilitates increase in basal metabolic rate and reduces obesity,21 left nostril breathing has anxiolytic effects22 Pranayama also influences tidal volume.23 Similarly as an as are known to improve strength, flexibility,24 and heart rate variability25 that enhances cardio protective effects,25 performance, endurance and stamina in children.26 Yoga has also been shown to improve self esteem and promote mental health in adolescents.27 In this study we evaluated the effects of two months yoga intervention in primary and high school students across all districts in Karnataka.

In this study teachers from each selected taluk from each district in Karnataka trained in yoga will evaluate the effects of two months of yoga in adolescent school children studying in higher primary and high school in rural districts of Karnataka on executive functions and their performance.

Study objectives

  1. To integrate yoga into rural education in higher primary and high schools in each selected taluk of different districts in the state.
  2. To evaluate the effects of yoga on abilities of learning, cognition, behaviour and health in higher primary and high school children.
  1. Hypothesis: Yoga will improve abilities of learning, cognition, behaviour and health in higher primary and high school children following two months of intervention.

Methods

Subjects

All School children in higher primary (6th – 7th grade) and high school (8th -9th grade) enrolled in schools that were selected for participation in the yoga education program by the education department were assessed before and after two months of yoga intervention. The program was carried out over a period of two consecutive years during the period between Novembers to February in both years. Assessments in this study were carried out by respective class teachers who were not involved in imparting the intervention. The yoga intervention was impacted by physical education teachers who had undergone an intensive residential training program. This was a state program that enrolled teachers and students of schools from all thirty districts. A total of six thousand fifty seven schools were selected for the program covering five lakh six thousand nine hundred seventy four students. Among these only schools with adequate teacher to student ratio and different teachers for specific grades were selected to participate. Only those students were selected that satisfied the selection criteria.

Selection criteria for subjects

Inclusion criteria: a) Higher primary and high school children of both sexes. b) Age between 12- 15years.

Exclusion criteria: a) Those with h/o congenital heart disease, motor and mental retardation. b) Those with h/o epilepsy, severe exercise induced asthma. c) Fevers or infection at time of screening and recruitment.

Outcome measures: a) Student checklist filled by both teachers and their parents.27

Intervention

Yoga program: The Yoga intervention comprised a series of asanas, pranayama, meditation and relaxation given over a one hour period daily 6days a week for 2months. The classes started with loosening stretches, breathing exercises followed by eight asanas intersped with yogic relaxation. This was followed by pranayama (regulated nostril breathing). Similar program had been used earlier in school students that showed improvement in spatial and verbal memory scores.28,29

Data analysis: Data was analysed using SPSS 18.0 for Windows. Mean scores for learning ability, cognition, health, behaviour and emotions were compared before and after intervention using paired t test. The effect sizes of change were determined for each variable.

Results

The mean age of the study population was …….. Years. The number of schools that participated in the program and its geographical location is given under Table 1. Number of schools selected for assessments is given in Table 2. Among the eligible 9547 students around 7601 students were assessed.

Sl. No

District

2011-2012
Taluks

2012-2013 taluks

Selected taluks

Total schools
(11-12&12-13)

Selected schools

Total Students
Trained in Yoga

Total students
eligible for Assessment

Selected students for assessment

1

Bagalkote

2

3

5

386

47

13526

1140

663

2

Belgaum

3

3

2

417

17

31771

38

23

3

Bijapur

0

2

2

175

43

17318

792

792

4

Chitradurga

2

1

3

235

132

14640

745

235

5

Dharawad

0

4

2

338

19

43543

159

159

6

Davangere

0

2

2

165

29

10326

531

505

7

Gadag

0

3

1

271

16

35501

225

210

8

Yadgiri

1

1

2

136

15

15015

300

114

9

Bellary

2

1

1

230

20

16011

504

490

10

Koppala

0

1

1

70

09

5625

153

153

11

Raichur

1

1

1

188

25

17755

500

363

12

Bidar

1

1

1

144

10

4551

112

111

13

Gulbarga

1

2

1

273

6

43838

150

147

14

Madikeri

0

1

1

89

14

10348

182

176

15

Mandya

0

2

2

120

32

17181

639

628

16

Mysore

2

4

6

464

77

31518

1032

633

17

Hassan

1

2

1

227

03

38806

21

21

18

Ramanagar

1

2

2

241

50

16879

629

567

19

Chamarajnagar

0

1

1

69

5

4485

70

69

20

Tumkur

0

2

1

160

13

22239

237

217

21

Kolar

1

1

1

121

19

6300

165

146

22

Chikkamagalur

2

1

1

186

05

10220

90

89

23

D.K.Mangalore

0

1

1

57

09

2730

90

90

24

Karwar

1

6

4

556

16

14182

250

240

25

Haveri

0

2

2

139

38

9815

200

185

26

Shimoga

1

1

1

90

12

8620

298

290

27

Udupi

0

3

2

235

47

6931

295

285

28

Chikkaballapura

0

1

0

22

0

1320

0

0

29

Bangalore
(urban)

0

1

0

93

0

18600

0

0

30

Bangalore(r)

0

1

0

86

0

17200

0

0

 

TOTAL

22

55

50

6057

728

506794

9547

7601

Table 1 List of schools, students selected in district and taluks to undergo Yoga assessments

Year

No of schools

Students trained in yoga

No of taluks

Sample of assessments

Selected taluks

Selected schools

Selected students

2011-12

1832

124278

22

50

728

7601

2012-13

4225

382516

55

Total

6057

506794

77

50

728

7601

Table 2 Number of schools selected for assessments

Learning abilities

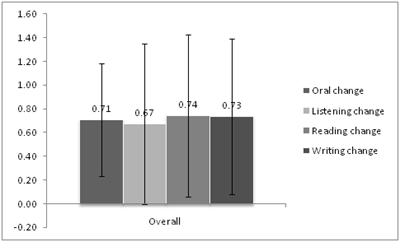
There was a significant improvement in learning abilities such as oral comprehension (p<0.001), listening (p<0.001), reading (p<0.001) and writing (p<0.001) following yoga intervention (See Table 3, Figure 1).

Learning abilities

PRE

POST

Oral

2.85±0.87

3.52±0.68

Listening

2.83±0.88

3.53±0.66

Reading

2.82±0.93

3.54±0.67

Writing

2.84±0.92

3.53±0.66

Table 3 Learning abilities following yoga intervention

Figure 1 Change in learning ability following yoga intervention (Learning Change).

There was a significant improvement in eyesight (p<0001), sports activities (p<0001), sickness prevention (p<0001) and health (p<0001) following yoga intervention (Table 4 and Figure 2).

Health

PRE

POST

Eyesight

3.02±0.91

3.62±0.62

Sports

2.89±0.94

3.57±0.63

Sickness

2.95±0.89

3.61±0.62

Health

3.00±0.88

3.64±0.59

Table 4 Health before and after yoga intervention

Figure 2 Health change following yoga intervention (Health Change).

Cognitive abilities

There was a significant improvement in concentration (p<0.001), intellect (p<0.001), memory (p<0.001), intelligence (p<0.001), learning (p<0.001), reasoning (p<0.001), interaction (p<0.001), direct speech (p<0.001), and attention (p<0.001), following yoga intervention (Table 5 and Figure 3).

Cognitive abilities

Pre

Post

Intellect

2.82±0.84

3.49±0.65

Memory

2.74±0.87

3.45±0.66

Concentration

2.75±0.91

3.50±0.66

Intelligence

2.85±0.91

3.52±0.65

learning

2.85±0.89

3.48±0.67

Reasoning

2.75±0.91

3.44±0.69

Interaction

2.75±0.92

3.42±0.71

Direct speech

1.98±0.71

2.52±0.61

Attention

2.06±0.70

2.60±0.57

Table 5 Cognitive abilities following yoga intervention

Figure 3 Cognition Change following yoga intervention.

Negative emotions

There was a significant decrease in negative emotions (p<0.001) such as being unhappy (p<0.001), fear (p<0.001), stubborn (p<0.001), being reserved (p<0.001), impulsive (p<0.001), feeling laziness (p<0.001) and loneliness (p<0.001) (Table 6 and Figure 4).

Negative emotions

PRE

POST

Unhappy

.91±0.76

.66±0.84***

Fear

.91±0.76

.48±0.64***

Stubborn

.81±0.75

.41±0.63***

Reserved

.90±0.72

.47±0.64***

Impulsive

.88±0.74

.46±0.63***

Loneliness

.77±0.74

.39±0.60***

Laziness

.80±0.75

.41±0.63***

Table 6 Negative emotions before and after yoga intervention

Figure 4 Negative Emotions Change following yoga intervention.

Positive emotions

There was a significant improvement in positive emotions such as discipline (p<0.001), accommodating (p<0.001), respect (p<0.001), organization capacity (p<0.001), being social (p<0.001) and obedient (p<0.001) (Table 7 and Figure 5).

Positive emotions

PRE

POST

Discipline

2.93±0.92

3.58±0.62

Accommodating

2.10±0.69

2.63±0.54

Respect

2.16±0.69

2.64±0.54

Organization capacity

2.01±0.68

2.55±0.58

Social

2.12±0.68

2.63±0.55

Obedience

2.14±0.69

2.62±0.55

Table 7 Positive emotions before and after yoga intervention

Figure 5 Positive Emotions Change following yoga intervention.

Effect size

Effect size was large for learning and health and moderate for cognition and emotions See Table 8.

Learning and health

Cognition

Positive emotions and behaviours

 

Negative emotions and behaviors

 

Post-pre

Effect size

Post-pre

Effect size

Post-pre

Effect size

Post-pre

Effect size

Oral change

1.48

Intellect change

0.65

Discipline change

0.65

Unhappy change

-0.21

Listening change

0.99

Memory change

0.73

Accommodating change

0.66

Fear change

-0.47

Reading change

1.09

Concentration change

0.74

Respect change

0.60

Stubborn change

-0.43

Writing change

1.12

Intelligence change

0.65

Organization capacity change

0.66

Reserved change

-0.48

Eyesight change

1.12

Learning change

0.61

Social change

0.62

Impulsive change

-0.46

Sports change

1.02

Reasoning change

0.65

Obedience change

0.59

Loneliness change

-0.43

Digestion change

1.12

Interaction change

0.64

Self-confidence change

0.64

Laziness change

-0.43

Sickness change

1.10

Direct speech change

0.64

 

 

 

 

Health change

1.12

Attention change

0.63

 

 

 

 

Table 8 Effect sizes following yoga intervention

Overall results

The implementation of yoga education program and yoga in schools in various districts of Karnataka showed improvements in all indices of learning and cognitive function in primary and high school students. The results showed beneficial finding with yoga with maximum change being observed in listening, reading, writing indicating better attention and sports indicating healthy physically active lifestyle. There was also an overall improvement in concentration, memory, mathematical ability, discipline and overall personality development following this program.

 Improvements in individual domains in overall sample:

There was a significant (all p’s < 0.001) suggesting improvement in all domains in the total sample of 7601 students. Those who fared poor, below average and average in pre assessment showed improvement at post assessment with many of them faring average and good on these domains. Learning (Oral and written expression, mathematical ability) behaviour, cognitive functions (attention, memory, concentration, IQ) improved significantly indicating overall personality development in children.

Discussion

The results of our study suggest an improvement in learning and health, significant reduction in negative health behaviours, improvement in cognition and positive emotions. The effect sizes for improvement were largest for learning and health and moderate for cognition, positive and negative emotions and behaviour. Though the high effect sizes could be due to absence of a control group, they nevertheless show benefit finding on the above measures.

The intervention was carried out in early teen population where in behavioural changes are profound due to influence of sex hormones in this growth period. Surveys have shown prevalence of psychosocial problems in this age group to be around 10-40%.30‒32 This is an age wherein teens experience externalizing behavioural problems such as confusion, personality conflicts, educational difficulties, substance abuse, hyperactivity, or internalizing emotional upheavals such as anxiety or depression.32‒34 This coupled with transition stress of moving from primary school to high school can add to the prevailing psychosocial disturbance.32

Our results are similar to earlier observations that have shown yoga to help improve learning, self-esteem, reduce anxiety, depression, aggression, impulsiveness, shyness and other negative emotions seen in teenagers.35,29 These observations are similar to those gained by using physical education (exercise) and activity that have shown improvements in self-esteem, performance and learning on these measures.36

Yoga is training in internal awareness and relaxation and teens can appreciate their endurance with postures, flexibility, and strength and internalize their self-progress over time in a non-competitive environment.37 This aspect of yoga could help facilitate adherence to being physically active and adhere to a planned physical regimen. Salutatory effects of exercise could have helped reduce aggressiveness, reduce emotional upheavals, laziness, and improve mood and wellbeing.38 This could have brought about a decrease in stress, improved memory, attention span, and learning.39

One of the major limitations in our study was the results may be prone for bias as this was a state sponsored program and improvements could have been shown by the teacher as benefits of this program. However we had a part of scoring done by class teacher who was not the trained yoga instructor and part of the study about health and behaviour was also scored by the parents to obfuscate this problem. Secondly, having a comparator arm could have delineated the effects of yoga clearly from physical exercise. Third, the questionnaire was more or less subjective and objective valuation of benefit could not be ascertained. Fourth, having participated in a group yoga program could have facilitated group bonding and support that could have contributed to increased wellbeing. However, despite these limitations the geographical extent and diversity and size of study of population add significant credibility and power to this observational study. Further randomized control trials with exercise as a control intervention are needed to validate these findings in a controlled sample population.

Conclusion

The results offer support for beneficial effects of yoga intervention in improving learning, cognitive abilities, health and behaviour in high school children. The results also suggest that imparting yoga in school is a feasible option and can be integrated with the routine physical education. Further randomized controlled trials are needed to validate this intervention.

Acknowledgments

None.

Conflicts of interest

Author declares there are no conflicts of interest.

Funding

None.

References

  1. Karande S, Kulkarni M. Poor school performance. Indian J Pediatr. 2005;72(11):961–967.
  2. Compas BE, Connor-Smith JK, Saltzman H, et al. Coping with stress during childhood and adolescence: problems, progress, and potential in theory and research. Psychol Bull. 2001;127(1):87–127.
  3. Pratinidhi AK, Kurulkar PV, Garad SG, et al. Epidemiological aspects of school dropouts in children between 7-15 years in rural Maharashtra. Indian J Pediatr. 1992;59(4):423–427 .
  4. Jayachandran, Usha. How High Are Dropout Rates in India? Economic and political weekly. 2007;42(11):982.
  5. Farzana A. The impact of school meals on school participation: evidence from rural India. Journal of Development Studies. 2011;47(11):1636–1656.
  6. Strauss CC, Lahey BB, Jacobsen RH. The relationship of three measures of childhood depression to academic underachievement. J Appl Dev Psychol. 1982;3(4):375–380.
  7. Rapport MD, Denney CB, Chung KM. Internalizing behavior problems and scholastic achievement in children: Cognitive and behavioral pathways as mediators of outcome. J Clin Child Psychol. 2001;30(4):536–551.
  8. Lefkowitz MM, Tesiny EP. Depression in children: prevalence and correlates. J Consult Clin Psychol. 1985;53(5):647–656.
  9. McClure E, Rogeness GA, Thompson NM. Characteristics of adolescent girls with depressive symptoms in a so-called normal sample. J Affect Disord. 1997; 42(2-3):187–197.
  10. Hodges K, Plow J. Intellectual ability and achievement in psychiatrically hospitalized children with conduct, anxiety, and affective disorders. J Consult Clin Psychol. 1990;58(5):589–595.
  11. Vincenzi H. Depression and reading ability in sixth-grade children. J Sch Psychol. 1987;25(2):155–160.
  12. Wilkinson PO, Goodyer IM. Attention difficulties and mood-related ruminative response style in adolescents with unipolar depression. J Child Psychol Psychiatry. 2006;47(12):1284–1291.
  13. Muris P, van der Pennen E, Sigmond R, et al. Symptoms of anxiety, depression, and aggression in non-clinical children: Relationships with self-report and performance-based measures of attention and effortful control. Child Psychiatry Hum Dev. 2008;39(4):455–467.
  14. Livingston RS, Stark KD, Haak RA. Neuropsychological profiles of children with depressive and anxiety disorders. Child Neuropsychol. 1996;2(1):48–62.
  15. Cole DA, Martin JM, Powers B, et al. Modeling causal relations between academic and social competence and depression: A multitrait-multimethod longitudinal study of children. J Abnorm Psychol. 1996;105(2):258–270.
  16. BERD (Benesse Educational Research and Development Center). 4th survey of attitudes toward study and actual learning in elementary and junior high school students. Spear LP: The adolescent brain and age-related behavioral manifestations. Neurosci Biobehav Rev. 2000;24:417–63.
  17. Centers for Disease Control and Prevention Physical activity levels among children aged 9-13. Morbidity Weekly Report. 2002;52(SS-33):785–788.
  18. Coopersmith, S. The antecedents of self-esteem. Freeman & Company, San Francisco, USA. 1967.
  19. Horn TS, Claytor R P. Developmental aspects of exercise psychology. Exercise psychology: The influence of physical exercise on psychological processes. John Wiley & Sons, New York, USA. 1993.
  20. Greenberg D, Oglesby C .Mental health dimensions. Presidents Council on Physical Fitness and Sports Report (Section IV). 1996.
  21. Ross A, Thomas S. The health benefits of yoga and exercise: a review of comparison studies. J Altern Complement Med. 2010;(1):3–12.
  22. Telles S, Nagarathna R, Nagendra HR. Breathing through a particular nostril can alter metabolism and autonomic activities. Indian J Physiol Pharmacol. 1994;38(2):133–137.
  23. Marshall RS, Basilakos A, Williams T, et  al. Exploring the benefits of unilateral nostril breathing practice post-stroke: attention, language, spatial abilities, depression, and anxiety. J Altern Complement Med. 2014;20(3):185–194.
  24. Karthik PS, Chandrasekhar M, Ambareesha K, et al. Effect of pranayama and suryanamaskar on pulmonary functions in medical students. J Clin Diagn Res. 2014;(12):BC04–BC06.
  25. Cowen VS. Functional fitness improvements after a worksite-based yoga initiative. J Bodyw Mov Ther. 2010;14(1):50–54.
  26. Krishna BH, Pal P, GK P, et al. Effect of yoga therapy on heart rate, blood pressure and cardiac autonomic function in heart failure. J Clin Diagn Res. 2014;8(1):14–16.
  27. D'souza C, Avadhany ST. Effects of yoga training and detraining on physical performance measures in prepubertal children--a randomized trial. Indian J Physiol Pharmacol. 2014;58(1):61–68.
  28. Naveen KV, Nagarathna R, Nagendra HR, et al. Yoga breathing through a particular nostril increases spatial memory scores without lateralized effects. Psychol Rep. 1997;81(2):555–561.
  29. Manjunath NK, Telles S. Spatial and verbal memory test scores following yoga and fine arts camps for school children. Indian J Physiol Pharmacol. 2004;48(3):353–356.
  30. Bridges KA, Melody SM. Yoga, physical education, and self-esteem: off the court and onto the mat for mental health. Californian Journal of Health Promotion. 2007;5(2):13–17.
  31. Gupta I, Verma M, Singh T, Gupta V. Prevalence of behavioral problems in school going children. Indian J Pediatr. 2001;68(4):323–326.
  32. Jellinek MS, Murphy JM, Robinson J, et al. Pediatric symptom checklist: Screening school-age children for psychosocial dysfunction. J Pediatr. 1988;112(2):201–209.
  33. Sood N, Misra G. Home environment and problem behaviour in children. J Personality Clin Studies. 1995;11:23–32.
  34. Anita, Gaur DR, Vohra AK, Subash S, et al. Prevalence of Psychiatric morbidity among 6 to 14yrs old children. Indian J Commun Med. 2003;28:133–137.
  35. Gupta SC, Dabral SB, Nandan D, et al. Psychosocial behavioral problems in urban primary school children. Indian J Commun Health. 1997;9:18–21.
  36. Noggle JJ, Steiner NJ, Minami T, et al. Benefits of yoga for psychosocial well-being in a US high school curriculum: a preliminary randomized controlled trial. J Dev Behav Pediatr 2012;33(3):193–201.
  37. Moore JB, Mitchell NG, Bibeau WS, et al. Effects of a 12-week resistance exercise program on physical self-perceptions in college students. Res Q Exerc Sport. 2011;82(2):291–301.
  38. White LS. Reducing stress in school-age girls through mindful yoga. J Pediatr Health Care. 2012;26(1):45–56.
  39. Khalsa SB, Hickey-Schultz L, Cohen D, et al. Evaluation of the mental health benefits of yoga in a secondary school: a preliminary randomized controlled trial. The journal of behavioral health services & research. 2012;39(1):80–90.
Creative Commons Attribution License

©2017 Vhavle, et al. This is an open access article distributed under the terms of the, which permits unrestricted use, distribution, and build upon your work non-commercially.