Submit manuscript...
International Journal of
eISSN: 2381-1803

Complementary & Alternative Medicine

Research Article Volume 15 Issue 2

Remote detection of the group meditation with several sensors

Konstantin Korotkov,1 Bordes Christian,2 Arguelles Victor Hugo3

1 Department of Computer science, Federal State Budget Institution, Saint-Petersburg Scientific-Research Institute for Physical Culture, Russia
2 Department of Integrative Medicine, Turban University, Spain
3 Department of Research, Bio-Well Companies, Mexico

Correspondence: Konstantin Korotkov, Federal State Budget Institution “Saint-Petersburg Scientific-Research Institute for Physical Culture,” St. Petersburg, Russia. Ligovski prospect 56, NIIFC, St. Petersburg, Russia

Received: March 30, 2022 | Published: April 28, 2022

Citation: Korotkov K, Christian B, Hugo AV. Remote detection of the group meditation with several sensors. Int J Complement Alt Med. 2022;15(2):146-149. DOI: 10.15406/ijcam.2022.15.00602

Download PDF

Abstract

Objectives: The purpose of this study was to explore the possibility of the remote detection of the group meditation process with several sensors.

Methods: During the Madrid and Mexico City workshops, a group of people meditated for 20 minutes. Several Bio-Well Energy Environment sensors (EES) positioned in different parts of the hall registered the parameters of the environment's energy in the background for 30 minutes, and in the process of 20 minutes meditation.

Results: Several sensors in Madrid and Mexico City responded to the process of meditation by changing parameters.

Conclusions: Bio-Well sensors allow to register the process of group meditation remotely; parameters of sensors changed in different directions, possibly it was due to the influence of people being around.

Keywords: meditation, consciousness, bioenergy, biofield, research

Introduction

Many research projects have been dedicated to studying the effect of different forms of meditation on people.1-7 It was proven that any type of meditation has a positive impact on meditators. Several studies concentrated on the effect of group meditations.8-10 Some studies provide pieces of evidence that the level of collective anxiety and tension in society or incoherence in collective consciousness may be reduced by mass meditation.  In the book,11 authors examine 20 peer-reviewed studies from over four decades, indicating that it is possible to neutralize or reduce stress in collective consciousness through the practice of Transcendental Meditation (TM). Several papers propose conceptual ideas discussing possible mechanisms of the meditation effects.12,13

This study aimed to explore the possibility of the remote detection of the group meditation process with several Bio-Well sensors.

Methods

October 3, 2021, 32 people participated in the workshop in Madrid. Ten Bio-Well instruments14 with Energy Environment sensors15 positioned in different areas of a hall registered the environment's energy in the background mode for 30 minutes, after which all the people meditated for 20 minutes.

October 17, 2021, 35 people participated in the workshop in Mexico City. Five Bio-Well instruments with EES sensors positioned in different areas of the hall registered the environment's energy in background mode for 35 minutes, after which all the people meditated for 20 minutes.

This study was approved by the Institutional Review Board (IRB) of the Federal State Budget Institution “Saint-Petersburg Scientific-Research Institute for Physical Culture,” St. Petersburg, Russia (SPbSRIPC). The ethics committee of the IRB of the SPbSRIPC approved the protocols used in the study. The official trial registration number is 58/09/2021.

All participants volunteered for the study and signed a consent form.

Bio-Well Sputnik Sensor

The Bio-Well device14 with a specially designed Environment Energy Sensor called the “Sputnik”12,13 is used to monitor the energy of the environment that enables you to see how it varies when people meditate, pray or listen to a presentation. The physical principle is based on measuring the electrical capacitance of an environment by using two connected resonance contours. A schematic representation of the experimental setup is shown in Figure 1.

Figure 1 The experimental setup. 1 - metal cylinder; 2 - " Sputnik" sensor; 3 - high-voltage pulse generator; 4 - transparent conductive coating; 5 - transparent quartz electrode; 6 - video converter; 7 - glow; 8 - USB-port.

Metal cylinder 15 mm in diameter connected to a sensor is positioned on the surface of the quartz electrode 5, the reverse side of which is covered with a transparent conductive coating 4; from generator 3, every second, a voltage in the form of a pulse sequence of up to 7 kV amplitude, 10-microsecond duration at a frequency of 1 kHz is applied to the coating. Electromagnetic field, generated on the surface of the electrode stimulate emission of electrons and photons from the metal, which generate sliding gas discharge.16,17 The glow of the discharge 7 is transformed by optoelectronic system 6 in a series of images analyzed in a computer. The experimental system can be represented as an equivalent circuit of the connected LC circuits (Figure 2).

Figure 2 Equivalent circuit diagram of the experimental setup, where C1 corresponds to the capacity of the electronic circuit of the Bio-Well device, C2 - the equivalent capacitance of the environment.

Discharge develops due to displacement currents between sensor and grounded or conductive objects in the environment. Depending on the nature of the electromagnetic fields in the environment, the chemical composition of the air, and the state of the conductive objects presented in the nearest environment (which includes humans), conditions of electromagnetic wave propagation in space are changing; therefore, the currents in the system are redistributed, thus influencing parameters of the glow. In other words, we may say that the signal depends on the propagation of standing electromagnetic waves in space. 

Data processing is carried out in specially designed software (www.Bio-Well.com).  The software calculates a series of the image parameters,17,18 and allows performing statistical analysis of time-series data. For analysis, both the absolute values ​​of the parameters and their standard deviations in the series are considered.

Results

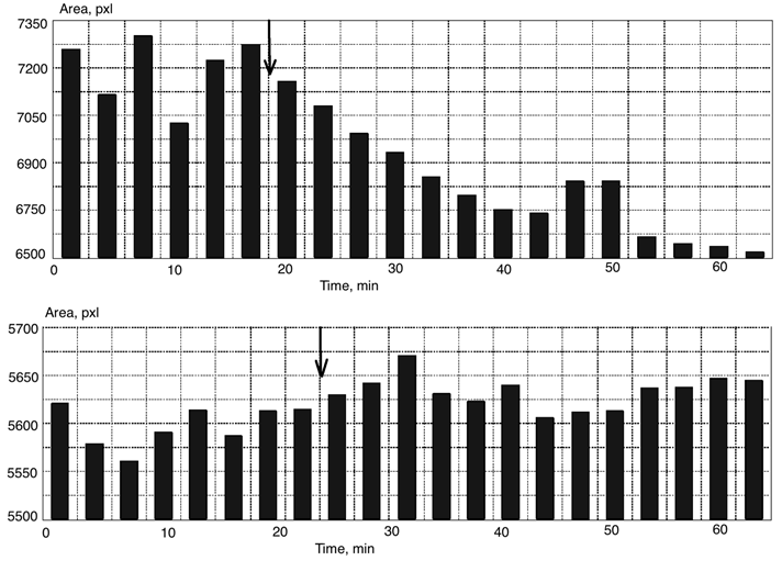
Eight Bio-Well EES sensors (from ten operated) in Madrid and four Bio-Well EES sensors (from five operated) in Mexico City changed readings after the beginning of meditation. In Madrid for all the sensors the signal decreased, while in Mexico City in 2 cases the signal decreased, and in two cases – increased. This may be related to the difference in computers or even the influence of people around Sputnik sensors. Experimental data are presented in Tables 1 and 2. Comparing of 20 minutes intervals before-during meditation was performed with non-parametric Wilcoxon test for depended data. Examples of experimental data are presented in figures 3-6.

Sensor

Background

Meditation

T-test p

Change

1

7198+142

6883+158

<0.01

315

2

5613+31

5658+25

>0.05

-45

3

7863+220

6169+88

<0.01

1694

4

7760+504

7224+79

<0.01

536

5

6854+212

6605+30

<0.01

249

6

7080+222

7011+107

>0.05

69

7

5391+71

5178+65

<0.01

213

8

6303+64

6172+39

<0.01

131

9

5713+255

5453+52

<0.01

260

10

7853+59

7660+37

<0.01

193

Table 1 Bio-Well Area parameter before and during the meditation in Madrid

Sensor

Background

Meditation

T-test p

Change

1

5022+36

5130+24

< 0.01

-108

2

3659+18

3372+59

< 0.01

287

3

4674+26

4632+67

>0.05

2

4

7211+88

7389+30

< 0.01

-178

5

7782+39

7633+73

< 0.01

149

Table 2 Bio-Well Area parameter before and during the meditation in Mexico City

Figure 3 Change of Area parameter before and after meditation in Madrid for ten instruments.

Figure 4 Change of Area parameter before and after meditation in Mexico City for five instruments.

Figure 5 Examples of Area parameter dynamics during Madrid workshop. Every bar is averaged for 3 minutes. Arrows mark the beginning of meditation.

Figure 6 Examples of Area parameter dynamics during Mexico City workshop. Every bur is averaged for 5 minutes. Arrows mark the beginning of meditation.

Discussion

In the Bio-Well instrument, we are measuring light emitted by the subject positioned on the electrode. In the case of the sputnik sensor, this is a metal cylinder, and as was mentioned before, the signal depends on the propagation of the standing electromagnetic waves in space. A CCD camera registers light in the form of an image, and Bio-Well software calculates image parameters based on algorithms presented in17,18  The area of the image is proportional to the number of photons emitted by the subject and measured in pixels.

Response of several independent instruments during two workshops may indicate a sensitivity of a Bio-Well EES sensor to the meditation process. We may assume that during meditation, due to mental changes in bioenergy, the parameters of the human biofield change,19,20  which may directly affect the sensor parameters.  We can offer a reasonable explanation of the changes in EES sensor parameters:  changes in the functional state of the human body leads to a change in the impedance of the body, and as a result, to the changes in the field distribution around the body, and the chemical composition of the ambient air due to exhaled air and emissions of endocrine substances through the skin. EES signal depends on the amount and properties of the conducting objects in the ambient environment, and changes in the body conductivity may lead to changes in a signal, but this assumption requires additional research.

Conclusion

  1. Several Bio-Well instruments with EES sensors in Madrid, and in Mexico City, positioned in different areas of the hall, where a group of people meditated for 20 minutes, responded to the meditation process by changing the signal.
  2. The level of the signal was different for different sensors; it may depend on the parameters of the computer and might be related to the influence of people around.
  3. Results demonstrated that Bio-Well EES sensor is sensitive to the meditation process and may be used for registering both individual and collective meditation processes.
  4. In the following research projects, we plan to study the dependence of Sputnik sensitivity on the distance from the meditators with groups practicing different types of meditation.

Declarations

Author contribution statement

All authors listed have significantly contributed to the development of the experiments and the writing of this article.

Funding statement

This research did not receive any specific grant from funding agencies in the public, commercial, or not-for-profit sectors. 

Declaration of interests statement

The authors declare no conflict of interest.

References

  1. Brown CA, Jones AK. Psychobiological correlates of improved mental health in patients with musculoskeletal pain after a mindfulness–based pain management program. Clinical J of Pain. 2013;29(3):233–244.
  2. Mehan S, Morris J. A literature review of Breathworks and mindfulness intervention. British J Healthcare Management. 2018,24,5:235–241.  
  3. Green JP, Black KN. Meditation–focused attention with the MBAS and solving anagrams. Psychology of Consciousness: Theory, Research, Practice. 2017;4(4):348–366.
  4. Ramesh MG, Sathian B, Sinu E, et al. Efficacy of rajayoga meditation on positive thinking: an index for self–satisfaction and happiness in life. J Clinical Diagnostic Research. 2013;7(10):2265–2267.
  5. Cahn BR, Delorme A. Occipital gamma activation during Vipassana meditation. J Cognitive Processing. 2010;11(1):39–56
  6. Arias AJ, Steinberg K, Banga A, Trestman RL. Systematic review of the efficacy of meditation techniques as treatments for medical illness. J Altern Complement Med. 2006;12:817–832.
  7. Fortney L, Taylor M. Meditation in medical practice: A review of the evidence and practice. Prim Care. 2010;37:81–90.
  8. Hanley AW, Dehili V, Krzanowski D. et al. Effects of video–guided group vs. solitary meditation on mindfulness and social connectivity: a pilot study. Clin Soc Work J. 2021:1–9.
  9. Orme–Jonson D, Barnes VA. Effects of the transcendental meditation technique on trait anxiety. a meta–analysis of randomized controlled trials. J Altern Complement Medicine. 2013.
  10. Nelson R. Radin D. Research on mind–matter Interaction: group attention. Healing, Intention and Energy Medicine; 2003:49–57.
  11. Spivack B, Saunders PA. An antidote to violence: evaluating the evidence. Changemakers books; 2020.
  12. Radin D. Meditation and the nonlocal mind. Explore. 2015;11(2):82–84.
  13. Radin D. Consciousness and our entangled reality. Explore. 2007;3(6):604–612.  
  14. www.bio–well.com, www.iumab.club
  15. Korotkov KG, Korotkina SA. Patent RU 2280258 C1. Device for measuring the field strength of electromagnetic radiation. 2006.
  16. Korotkov K. Electrophotonic analysis of complex parameters of the environment and psycho–emotional state of a person. WISE J. 2015;4(3):49–56.
  17. Korotkov KG. Electrophotonic analysis in humans and nature. Amazon.com Publishing; 2018.
  18. Korotkov KG. The energy of health. Amazon.com Publishing; 2020.
  19. Wisneski L. A unified energy field theory of physiology and healing. Stress Medicine. 1997;13:259–265.
  20. Rubik B. Biofield: bridge between mind and body. J Natural Social Philosophy. 2015;11(2):83–96.
Creative Commons Attribution License

©2022 Korotkov, et al. This is an open access article distributed under the terms of the, which permits unrestricted use, distribution, and build upon your work non-commercially.