Submit manuscript...
International Journal of
eISSN: 2381-1803

Complementary & Alternative Medicine

Research Article Volume 17 Issue 4

Yoga overcomes type 2 diabetes

Wazir C Vasudeva

Former Professor of Chemistry, University of Khartoum, Sudan

Correspondence: Wazir C Vasudeva, 3808 N Prospect Ave. Shorewood, WI, 53211, USA

Received: July 20, 2024 | Published: August 5, 2024

Citation: Vasudeva WC. Yoga overcomes type 2 diabetes. Int J Complement Alt Med. 2024;17(4):184-197. DOI: 10.15406/ijcam.2024.17.00702

Download PDF

Abstract

Yoga offers holistic solutions to the management of type 2 diabetes mellitus and its complications involving lifestyle changes such as various asana, change in diet, and management of stress and meditation. Various studies suggest that yoga can improve the risk of these complications in adults with type 2 diabetes. The effect of yoga incorporating asanas, pranayam, meditation, kriyas, sattvic diet and mental discipline is beneficial to the patients of type 2 DM. Stress and sedentary are the leading causes of type 2 diabetes. Yoga has shown to be quite effective in managing blood sugar levels. It helps both activating the internal organs like pancreas, and building strength. In the current communication, an attempt has been made to explain the importance of yoga in overcoming problems related to type 2 diabetes.

Introduction

What is Diabetes?

Diabetes is a disease that results in excessively high levels of glucose in the blood. It can occur when the pancreas does not secrete enough insulin or if the body cells become resistant to insulin. Insulin promotes the uptake of blood sugar by cells throughout the body. When there is not enough insulin or when there is a lack of sensitivity to insulin by the cells, the blood sugar cannot get into the cells. This inability of blood sugar to get into the cells can lead to serious complications. High blood sugar can affect the heart and blood vessels, nerves, eyes and kidneys. The symptoms of diabetes include increased hunger, thirst, frequent urination, unusual weight loss, increased fatigue, and blurry vision.

There are 2 main types of diabetes: type 1 (insulin dependent) and type 2 (non-insulin dependent). About 10% of people who have diabetes have type 1, a condition in which the pancreas does not produce any insulin and is commonly diagnosed in childhood. In type 1, the beta cells of the pancreas are damaged and therefore cannot produce insulin. With type 1 diabetes, insulin injections are essential. Type 2 diabetes (T2DM) is strongly linked to heredity and lifestyle factors such as obesity, lack of exercise and poor eating habits. Symptoms of type 2 diabetes include fatigue, frequent urination, thirst, blurred vision, reduced healing of the skin and gums, itching, increased urinary infections, and numbness in the feet and legs.1 If you have 2 or more of these signs or symptoms, one should call their doctor to confirm if they have type 2 diabetes. Fatigue in T2DM is caused by the body’s cells not getting enough glucose to fuel activity. Frequent urination and thirst are linked as elevated blood sugar levels lead to increased urination to compensate, and this leads to dehydration.

Blurred vision is caused by the swelling and shrinking of the lenses of our eyes as blood glucose levels rise and fall. The eyes are unable to adjust quickly enough to the more rapid changes and results in blurred vision. Delayed healing, itching and increased urinary infections are due to the improper function of the white blood cells which protect the body against infection. This is due to the high glucose environment of the blood of a person with T2DM. The numbness seen in the feet of those with T2DM is due to neuropathy.

Diabetes is a food created disorder and the right food choices can rid us of this life shortening disease and its associated medical complications. Learning how the food we eat affects our health and wellbeing gives us the power to become healthy, live longer, and feel better every single day.

                                                                                                                              Joel Fuhrman, M.D.

                                                                                                                              Eat to Live2

Section 1

Risk factors for type 2 diabetes

The chances of developing type 2 diabetes depends on a combination of risk factors. Although we cannot change risk factors related to family history, age, race, or ethnicity, we can still avoid a few risk factors by maintaining healthy weights and being physically active. One can develop T2DM at any age, even during childhood. People are more likely to develop T2DM if they are overweight or obese, over the age of 35, have poor eating and exercise habits, daily stress, and/or have a family history of diabetes.3

What is obesity?

Obesity occurs when an individual has too much body fat, which can impair health. Obesity is generally caused by eating excessive amounts of calories that exceed the body's intake requirements. Often a lack of exercise and consuming high amounts of fats and sugars will result in surplus caloric energy being stored in the body in the form of fat.4 Body mass index (BMI) is a measure that uses your height and weight to work out if your weight is healthy.5

The formula to calculate BMI is kg m 2 MathType@MTEF@5@5@+= feaagKart1ev2aaatCvAUfeBSjuyZL2yd9gzLbvyNv2CaerbuLwBLn hiov2DGi1BTfMBaeXatLxBI9gBaerbd9wDYLwzYbItLDharqqtubsr 4rNCHbGeaGqkY=MjYdH8pE0xbbL8F4rqqrFfpeea0xe9Lq=Jc9vqaq pepm0xbba9pwe9Q8fs0=yqaqpepae9pg0FirpepeKkFr0xfr=xfr=x b9adbaqaaeGaciGaaiaabeqaamaabaabaaGcbaWaaSaaaeaacaWGRb Gaam4zaaqaaiaad2gadaahaaWcbeqaaiaaikdaaaaaaaaa@3AB5@ where kg is a person's weight in kilograms and m is their height in meters which is squared.

If your BMI is:

  1. below 18.5 – you're in the underweight range
  2. between 18.5 and 24.9 – you're in the healthy weight range
  3. between 25 and 29.9 – you're in the overweight range
  4. 30 or over – you're in the obese range

What are lipids?

Lipids are biomolecules that include fats, oils, waxes, steroids, cholesterol and fat soluble vitamins. They are soluble in non-polar (organic) solvent but not in water. The lipid content of a cell can be extracted by using organic solvents such as either chloroform or benzene.

Section 2

What are fats?

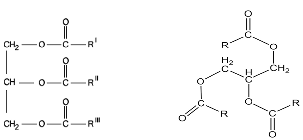
Fats are an essential part of obesity. Chemically, fats are a type of lipid consisting of triesters of glycerol and fatty acid tails known as triglycerides. They are mostly soluble in organic solvents and largely insoluble in water. Fats are solid at room temperature. The chemical structure of a triglyceride is shown below (Figure 1):

Figure 1 Structure of triglyceride6 and another proposed structure.7

What are fatty acids?

Fatty acids are long chains of carbon atoms attached to carboxylic acid groups. If the carbon atoms of a fatty acid chain have no double bonds and are saturated with hydrogen it is called a saturated fatty acid. If it has one carbon double bond it is called a mono-unsaturated fatty acid. If it has 2 or more it is called a poly-unsaturated fatty acid. Most animal fats are saturated and solid at room temperature while vegetable fats are unsaturated and liquid at room temperature. Most naturally occurring fatty acids have an unbranched chain of an even number of carbon atoms, which ranges from 4 to 28.8 Most vegetable oils are polyunsaturated and are liquid at room temperature. Olive oil is monounsaturated.

Example fatty acids include:

  1. Fully saturated fatty acids like Stearic Acid (no double bonds, M.P. 70C)

Structure -CH3(CH2)16COOH

  1. Monounsaturated fatty acids like Oleic acid (one double bond, M.P. 13C)

Structure - CH3(CH2)7CH=CH(CH2)7COOH

  1. Polyunsaturated fatty acids like Linoleic acid (two double bonds, M.P. -5C)

Structure - CH3(CH2)4CH=CHCH2CH=CH(CH2)7COOH

Essential fatty acids

Essential fatty acids are a type of polyunsaturated fatty acid. There are 2 categories; Omega - 3 and Omega - 6. These make compounds called eicosanoids, which are important hormones that control the immune system, nervous system and other hormones. Omega - 3 fatty acids promote heart health, while Omega - 6 fatty acids promote immune system, inflammation response, and blood pressure. Fatty acids are essential for the normal functioning of all systems in the body. People must get essential fatty acids from food sources as they are not made by the body, and because the 2 omega acids can produce opposite effects, it's important to balance them in the diet.9 Polyunsaturated fats include Omega- 3 fatty acids and Omega- 6 fatty acids. Polyunsaturated fats are found in plant based oils like soybean, corn, and safflower oils and they are found in abundance in walnuts, flax seeds, and fish like salmon, mackerel, herring tuna, and trout.

Sources of Omega - 3 fatty acids:10.

  1. Fish and other sea foods like salmon, mackerel, tuna, and sardines
  2. Nuts and seeds such as flaxseeds, chia seeds, and walnuts
  3. Plant oils such as flaxseed oil, soybean oil, and canola oil
  4. Fortified foods such as certain brands of eggs, yogurt, juices, milk, and soy beverages

Sources of Omega - 6 fatty acids:10

  1. Canola oil
  2. Soybean oil
  3. Corn oil
  4. Sunflower oil
  5. Chia seeds
  6. Walnuts
  7. Hazel nuts
  8. Almonds
  9. Brazil nuts

Benefits of essential fatty acids

  1. Formation of healthy cell membrane
  2. Proper development and function of the brain
  3. Hormone production
  4. Regulation of blood pressure, liver function, immune and inflammatory response
  5. Regulation of blood clot formation (Omega- 6 assists clotting, Omega- 3 reduces clotting)
  6. Support healthy skin and hair
  7. Some research has shown potential effects on reducing depression and protecting against Alzheimers.10 More work is still needed to establish this connection fully.

Our body needs a certain amount of fat in our diets to stay healthy; Fats provide the required energy in the form of calories. Fat in the diet allows our body to absorb fat soluble vitamins A, D, and E. Every cell in our body needs fat to build a healthy protective membrane. Fat also provides the material that our body uses to produce chemicals that control blood, our blood pressure and prevent blood clots. Eating the wrong kind of fat can trigger health hazards. Some fats are better for our bodies than others.

About half a century ago, fat was considered as bad for health and the feeling was–

“The less fat you eat, the better it is for health.”

The virtues of a very low fat diet were preached. Today, the concept has changed.

“Better fats, better health”

Good fats are believed to be an essential part of a healthy diet.

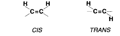
Cis and trans fatty acids35

Unsaturated fatty acids are mainly of 2 types, cis and trans forms. They are geometric isomers. Cis fatty acids are most commonly found in nature and are healthier for human consumption while trans fats can have deleterious effects on human health such as increased risk for cardiovascular disease. Trans fats are rare in nature and are mostly formed by industrial hydrogenation of vegetable oils. They are normally solids at room temperature and increase the risk for clogging the arteries. Trans Fats are considered the worst type of dietary fats. Cis binding refers to the binding of 2 hydrogen atoms to the same side of a carbon double bond, while trans binding refers to the binding of 2 hydrogen atoms on opposite sides of the carbon double bond. The structural differences between cis and trans binding is shown below (Figure 2):

Figure 2 Cis and trans binding.11

The differences in the structure of Cis and Trans fatty acids is shown below (Figure 3):

Figure 3 Structure of Cis and trans fatty acids.11

Cis and trans fatty acids are geometric isomers. Cis fatty acids have hydrogen bonds on the same side of two carbon atoms that are double bonded together. Trans fatty acids have the same number of atoms and the same double carbon bond location, but the hydrogens are found on opposite sides of the carbon atoms.12

Choice of fats

Fats are an essential part of a healthy diet,13 providing energy, helping the body absorb vitamins, and supporting cell function. Fats also help people feel full, protect organs, and keep the body warm. Fats are a great source of energy with twice the calories of carbohydrates or protein. One gram of fat contains 9 calories, while one gram of carbohydrates or protein contains 4 calories. Fats also help the body absorb fat soluble vitamins A, D, and E. Fats are also building blocks of hormones and essential fatty acids which the body cannot produce on its own.

There are four types of dietary fats

Trans Fats: Trans fats, or trans fatty acids (TFA) are found in nature and are made artificially. Trans fats are made by adding hydrogen to vegetable oil, making it solid at room temperature. This process is called hydrogenation.

The following foods contain trans fats:

  1. Margarine
  2. Vegetable shortening
  3. Vanaspati ghee
  4. Fried foods
  5. Baked goods such as crackers, biscuits, and pies
  6. Microwave popcorn
  7. Frozen pizza
  8. Dairy and non- dairy coffee creamers

Trans fats are considered to be the worst type of fat to eat. It raises bad cholesterol. Trans fats are so unhealthy that their use was banned by the US Food and Agriculture Administration (FDA). The use of trans fats can lead to very serious diseases like congestive heart disease, stroke, atherosclerosis, high cholesterol, and high blood pressure. Studies show that trans fats can significantly increase the risk of congestive heart disease and even small amount of trans fat can elevate the risk of bad cholesterol (LDL) and reduce the HDL and cause vascular inflammation.

Saturated FATS: Saturated fats are solid at room temperature and contain hydrogen molecules with single bonds between carbon They are found in meat and dairy products, such as butter, coconut oil, and cheese, and can raise cholesterol levels.

“Diets high in saturated fats are effective short- term treatments to lose weight and normalize blood glucose, but they significantly increase your level of insulin resistance which in turn increase your risk of many chronic diseases and premature death in the long term.”

Cyrus Khambatta, PhD14

Mastering Diabetes

Examples of foods with saturated fats:15

  1. Beef
  2. Lamb
  3. Pork
  4. Poultry, especially with skin
  5. Beef fat
  6. Lard and cream
  7. Ghee
  8. Butter
  9. Cheese
  10. Ice cream
  11. Coconut
  12. Palm oil
  13. Some baked and fried foods

Unsaturated fats: Unsaturated fats are fats that contain one or more double- a triple bonds between the molecules. They are normally liquids at room temperature and can be found in solid foods and oils.

Unsaturated fats are divided into two categories:

  1. Monounsaturated fats contain one double bond in their structure.
  2. Polyunsaturated fats contain two or more double bonds.

Examples of monounsaturated fats:

  1. Olive, peanut, and canola oil
  2. Avocados
  3. Nuts such as almonds, hazelnuts, and pecans
  4. Seeds such as pumpkins and sesame seeds Examples of Polyunsaturated fats:

Polyunsaturated fats include Omega- 3 fatty acids and Omega- 6 fatty acids. Polyunsaturated fats are found in plant based oil like soybean, corn and safflower oils and they are found in abundance in walnuts, flaxseeds, and fish like salmon, mackerel, herring, tuna, and trout.

Section 3

Eating in the way of the yoga lifestyle

According to yogic tradition,16 a lacto-vegetarian diet free from fish, eggs, and meat with limited intake of dairy products is recommended. A well balanced vegetarian diet has proven to be extraordinarily healthy and cures many diseases. The food, according to yogic scriptures has been divided into three categories based on their qualities (gunas). Foods are sattvic, rajasic, tamsic, or a combination of these three gunas. These qualities are present in everything but in different amounts, making one quality dominant.

Sattvic foods

The origin of the word sattvic is from sattva, the quality of purity and goodness.16

Sattvic food promotes clarity and calmness of mind which leads to spiritual growth. The sattvic diet includes fresh fruits, green leafy vegetables, nuts, seeds, legumes, whole grains, plant based oils, natural sweeteners, mild spices and herbs. Sattvic foods are light and freshly prepared to avoid leftovers or waste. The Bhagavad Gita describes the Sattvic food as “promoting life, virtue, strength, health, happiness, and satisfaction.” Sattvic foods are also rich in Prana. Yoga avoids “denatured” foods such as white flour, white bread, refined cereals, canned fruits, vegetables, or drinks, and saturated fats such as hydrogenated oils. Foods once cooked are not reheated as it kills the nutritional values. When we cook our emotions are transferred to the food. Always prepare food with love and good will and let the prana pass through it so that it nourishes the people eating it.

Rajasic Foods16

Foods which are very hot, bitter, sour, dry, or salty are rajasic. Such foods destroy the mind-body equilibrium and feed the body at the expense of the mind. Rajasic foods are mostly spicy and stimulants. They include foods like coffee, tea, garlic, onion, meat, fish, and chocolate and many processed foods. Eating any food in a hurry is also considered as rajasic. Eating too much rajasic foods will over stimulate the body and make the mind restless and uncomfortable. Bhagwat Gita describes rajasic food as “excessively pungent, sour, salty, hot, harsh, astringent and burnt” leading to pain, misery and sickness. This type of food makes us agitated and overstimulated.

Tamasic Foods16

A tamasic diet neither helps the mind nor the body. It withdraws prana or energy from the body and becomes negative. We lose our power of reasoning and a sense of inertia sets into the body. The body’s resistance to diseases is destroyed and the mind is filled with dark emotions such as anger and greed. This type of food included alcohol, meat, tobacco, onions, garlic, and fermented foods such as vinegar and stale over ripe foods. Overeating is also considered Tamsic. This type of food makes us tired and sluggish.

The yogic diet is based on three principles

  1. Non-violence
  2. Moderation
  3. Attitude of mind or emotions

Non-violence (ahimsa)

Killing innocent, helpless, or friendly animals and eating their flesh is an act of violence and brutality and is not permitted in yoga. According to yoga, eating fruits, vegetables and nuts are more pleasant to eat than wet and bleeding pieces of a dead animal, the protein in meat is of low quality with negative prana value. Therefore, meat eaters themself obtain the worst quality of protein from their foods. Animal protein contains too much uric acid to be broken down by the liver. Some is eliminated, but the rest is deposited in the joints causing stiffness and eventually leading to problems such as gout or arthritis. Therefore nuts, dairy products and legumes - especially soya beans and their products such as tofu and soya milk - provide superior high class proteins. It is found that vegetarians have lower risk of heart disease, stroke kidney disease and cancer, and their resistance to diseases is higher. Vegetarian diet is much healthier as we are not absorbing many harmful additives such as pesticides, artificial growth hormones, preservatives and coloring agents that are generally added to meat and are mostly full of free radicals. It is believed that the fear and anger felt by the animal being killed can be transferred to the person eating the flesh. This increases the tension and stress in the mind and body and finally cortisol levels which increase the blood pressure.

The world health organization’s cancer agency,17 named the International Agency for Research on Cancer (IARC), has classified the consumption of red meat as “probably carcinogenic” to humans and that it increases one’s risk of colon and rectal cancer by 18%. Many studies18 have shown that vegetarians are about 40% less likely to develop cancer than meat eaters. Eating foods rich in red meat, chicken, fish, and eggs, leads to heart disease, cancer, obesity, and even impotence. Well planned vegan diets provide us with all the nutrients that are required by our bodies except saturated fats, cholesterol, and contaminants found in animal flesh.19 Meat contains20 animal protein, saturated fats and in some cases, carcinogenic compounds such as heterocyclic amines (HCA) and polycyclic aromatic hydrocarbons (PAH) formed during the processing or cooking of meat. HCAs are formed as meat is cooked at high temperatures and PAHs are formed during the burning of organic substances, which increases the cancer risk. The other dangers of eating meat are that it is acidic and loaded with toxins. Meat eaters feel that the only way to get enough protein and other nutrients is to eat meat but most of the doctors and health experts side with vegetarians.

Actually, vegetarians have less weight problems, lower blood pressure and less overall health problems than meat eaters. In fact, plant sources can provide all the proteins we need as long as we eat a variety of grains, nuts, seeds, and legumes every day. Vegetarian diet is normally much lower in cholesterol and saturated fats and rich in complex carbohydrates, fiber, vitamins and minerals. Yoga favors a lacto-vegetarian diet, which is a diet based on vegetables, milk and dairy products. Yoga recommends a diet of Satvic or pure foods and strongly warns against rajasic or tamasic foods which contain meat, alcohol, and other impure foods. Sattvic foods are milk, milk products, fruits, vegetables and grains. Most yogis are lacto-vegetarians because they link purity of diet with spiritual development. According to yoga, the subtle part of the food creates the energy for thinking processes. Yogis believe that people's food preferences affect their level of mental purity and these preferences alter as they develop spiritually.21 Eating, drinking and sleeping habits should be normal, as Lord Krishna has described in Bhagavad Gita that our food should be sattvic (high quality of purity) and the mind should be full of sattvic gunas (qualities).

Moderation

We must train ourselves to eat only what we need and no more. We should chew each mouthful slowly and will accustom us to take only as much food as we need. Our food should have only a balanced place in our diet. A diet containing a wide variety of wholesome foods always provides a balanced supply of nutrients.

The yoga Pradipika, an ancient handbook on yoga, says “moderate diet means pleasant, sweet food leaving free one fourth of the stomach.”

-       Alice Christensen

According to Shiva Samhita, one should avoid acids, astringents, pungents, salt, mustard, bitters, and foods roasted in oil and overeating. This text also suggests that smaller and more frequent meals are beneficial.

Attitude of mind

When we cook our emotions are transferred to the food. Therefore food should always be prepared with love, allowing prana to pass through the food and nourish the people we are feeding. We should always be peaceful while eating. We should be silent if we eat alone. If we are sitting with friends or family, we should avoid arguments and emotional issues and unnecessary discussions.

Foods injurious to and beneficial to a Yogi according to the Hatha Yoga Pradipika “Bitter, sour, saltish, green vegetables, fermented, oily, mixed with til (sesame) seed, rapeseed, intoxicating liquors, fish, meat, curds, chhaasa (buttermilk), pulses, plums, oil-cake, asafoetida, garlic, onion, etc., should not be eaten. Food heated again, dry, having too much salt, sour, minor grains, and vegetables that cause burning sensation, should not be eaten.”22

Characteristics of yogic (Sattvic) diet

Getty Image/ Shutterstock

Sattvic diet is food that gives life, strength, energy, courage, and self- determination. This diet gives us a proper mix of carbs, proteins, fats, etc., and is recommended in yoga as the most appropriate diet. Sattvic foods are light in nature, easy to digest, cooling, refreshing, and pleasant to mind. Fresh nuts and seeds that have not been overly roasted and salted are good additions to the sattvic diet.

Pumpkin seeds

Good choices of nuts are:

  1. Almonds
  2. Pine minutes
  3. Walnuts
  4. Sesame seeds
  5. Flax seeds

Whole grains

Some grains that can be eaten on the yogic diet include brown rice, quinoa, oats, spelt, rye, miller, barley, organic rice, and whole wheat. Sometimes the grains are lightly roasted before cooking to remove some of their heavy qualities.23 Whole grains are considered very important in yogic diet and can provide sustained energy and promote steady blood sugar levels. The high fiber content in whole grains can also support digestive health. Other benefits of whole grains include:

  1. Reducing the risk of heart disease and stroke
  2. Reducing the risk of obesity and type 2 diabetes
  3. Supporting healthy digestion
  4. Reducing chronic inflammation
  5. Reducing risk of cancer

Legumes

Beans are the cheapest and best source of fiber.24 They are low calorie and full of proteins. Beans are also known to lower cholesterol, contain anti- cancerous agents and relieve constipation. Split mung beans, yellow split peas, organic tofu, bean sprouts, lentils, and aduki beans are considered sattvic and used under legumes. It is said that one should eat more foods rich in vegetable protein and less or no with animal protein as high animal protein diets develop kidney or heart problems.

Sweeteners

Raw honey and raw sugar (not refined) are used in yogic diets as sweeteners.

Spices

Sattvic spices are the mild spices including basil, cardamom, cinnamon, coriander, cumin, fennel, fenugreek, fresh ginger and turmeric. Rajasic spices like black pepper, red pepper, and garlic are not only excluded, but are sometimes used in small amounts because of their utility.

Sattvic herbs23

Other herbs used include ashwagandha, bacopa, calamus, gotu kola, gingko, tolui, and rose. Some people use them for their stress.

Nuts seeds and oils

Nuts are the best way to get good fat in our diet. Walnuts are a good source for Omega- 3 fatty acids and have been proven to lower cholesterol. Walnuts are rich in vitamin E. Almonds, featuring monounsaturated fat, protein, and fiber, can also lower cholesterol levels. Nuts and seeds (walnuts, almonds, cashews, hemp seeds, chia seeds, and flaxseeds) contain significant sources of unsaturated fats. They have a high nutrient density and are rich in protective phytochemical compounds including lignans, sterols, antioxidants, fiber, polyphenols, minerals, and bioflavonoids.24 These nuts and seeds are highly rich in fat and should be used within limits so as not to exceed the fat limits in the body.

Healing power of some herbs & spices24

Garlic - Studies have shown that Garlic lowers cholesterol and blood pressure. It prevents blood clots from forming. Garlic also helps fight off infection, which has been linked to inflammation and atherosclerosis. Although Garlic is considered the world's most popular herb, it is considered rajasic according to Hatha Yoga Pradipika.

Ginseng - This ancient herb has been used to treat heart problems for centuries. Ginseng may lower cholesterol and triglyceride levels. This means a lower risk of clogged arteries and heart disease.

Ginger - Ginger helps the body digest fat and may prevent blood clots. It has been found that ginger lowers cholesterol and inhibits LDL oxidation. Contains antioxidants and my help with nausea, vomiting, digestion, inflammation, arthritis, and pain.

Ginkgo - Ginkgo is taken to boost memory and for better blood circulation. Ginkoo rids the toxins that harden the arteries.

Fenugreek - It contains a lot of fiber and helps lower the bad cholesterol and triglycerides.

Turmeric - Has antioxidant and anti-inflammatory powers. It also lowers cholesterol and blocks LDL oxidation.

Neem - Neem supports a healthy immune system by cleansing toxins, supports healthy blood-sugar levels by purifying blood supply, and also reduces unwanted heat and toxins in the GI-tract. Neem also helps grow healthy lustrous hair, supports healthy teeth & gums,

Tulsi - Tulsi is antimicrobial, anti-diabetic, adaptogen and calming. Tulsi promotes healthy weight management thanks to its effect in the adipose tissue layer

Ashwagandha - Has dual capacity to energize and calm throughout the day and promote restful sleep at night. Promotes healthy reproductive system, healthy back and joints, healthy muscles, thyroid health, healthy functioning of the adrenals.

Green tea - Contains antioxidants called catechins, which may reduce the risk of some cancers and cardiovascular disease. It may also help with weight loss, cognitive function, and blood sugar control.

Flax seeds - High in fiber, omega- 3 fatty acids, and may help lower cholesterol and blood pressure. They also contain lignans, which are similar to the hormone estrogen.

Chia seeds - High in fiber, omega- 3 fatty acids, and antioxidants. They may help with heart health, digestion, and weight management.

Honey - May have antidepressant, anticonvulsant, and anti- anxiety Topical use of medical- grade honey may also promote wound healing.

Organic dairy25

Dairy products like milk, cream, butter, and yogurt have been favorites of yogis throughout history. The yogic diet emphasizes sattvic foods, which are fresh, light, and pure ingredients that promote clarity, calmness, and detoxification. Dairy products are considered sattvic and are recommended for their ability to strengthen immunity. The fat in whole milk contains tissue building properties but it is also high in saturated fat and therefore taken in moderation. Eating and drinking dairy products offer health benefits, like building and maintaining strong bones.

Dairy group foods provide nutrients beneficial for the health and maintenance of the body.

They include:

  1. Calcium
  2. Phosphorus
  3. Vitamins A, D, and B12
  4. Riboflavin
  5. Protein
  6. Potassium
  7. Zinc
  8. Choline
  9. Magnesium
  10. Selenium

Calcium and vitamin D are important nutrients at any age. Eating or drinking dairy products that have these nutrients help to:

  1. Improve bone health in children and adolescents
  2. Promote bone health and prevent the start of osteoporosis

Dairy products provide nutrients that are difficult to obtain in low dairy or dairy free diets. Dairy free diets cannot provide the required daily amount of calcium intake for bone health. Some people avoid dairy in their diets because of high saturated fat content which may lead to several diseases like lactose intolerance, osteoarthritis, rheumatoid arthritis or cardiovascular disease. This makes the dairy controversial and more work needs to be done in this direction for the people to make their own decision.

Section 4

Organic fruits and vegetables

Most organic vegetables are considered sattvic including beets, carrots, celery, cucumbers, leafy greens, sweet potatoes and squash. Pungent vegetables like hot pepper, garlic, onion, mushroom, and potatoes are excluded as they are considered rajasic and tamasic in nature.

Fruits and vegetables are an important part of a Yogic diet because they contain vitamins, minerals, fiber, antioxidants, and phytochemicals.

Some benefits of fruits and vegetables include:26

  1. Reduced risk of disease: Fruits and vegetables can help lower the risk of heart disease, stroke, type 2 diabetes, obesity, and some cancers.
  2. Improved gut health: Fruits and vegetables are a good source of fiber, which can help you feel full for longer and prevent overeating.
  3. Fiber- rich vegetables include artichokes, green peas, broccoli, and cauliflower improve digestion.
  4. Fruits and vegetables can help lower blood pressure.
  5. Fruits and vegetables can have a positive effect on blood sugar.
  6. Improved skin, teeth, and eyes: Healthy eating can help keep your skin, teeth, and eyes healthy.
  7. Supports muscles: Healthy eating can support muscles.
  8. Boosts immunity: Healthy eating can boost
  9. Supports healthy pregnancies and breastfeeding: Healthy eating can support healthy pregnancies and breastfeeding.

Some fruits and vegetables are rich in starch, which provides energy. For example, potatoes, sweet potatoes, tapioca, and yams are rich in starch.

Glucaric acid is also found in many fruits and vegetables with the highest concentrations to be found in oranges, apples, grapefruit, and cruciferous vegetables. Beta- glucuronidase has been shown to decrease the rate of elimination of estrogen and carcinogens such as polycyclic27 aromatic hydrocarbons and nitrosamines by deconjugation. Inhibition of beta- glucuronidase activity with calcium glucarate improves excretion of metabolized estrogen and carcinogens. A current commercial use of a salt form of d- glucaric acid as a dietary supplement claimed to help maintain healthy cholesterol levels and prevent cancer. As a dietary supplement, d- glucaric acid functions as a precursor to the β- glucaric acid functions as a precursor to the β- glucuronidase inhibitor and d- glucaro-1, 4-lactone. Calcium D- glucarate might lower estrogen levels, which might have effects in some people with hormone- dependent cancers. People use calcium D- glucarate for preventing breast cancer, prostate cancer, and colon cancer, and for treating other conditions, but there is no good scientific evidence to support these uses. Beta- glucuronidase has been shown to decrease the rate of elimination of estrogen and carcinogens such as polycyclic aromatic hydrocarbons and nitrosamines by deconjugation. Inhibition of beta- glucuronidase activity with calcium glucarate improves excretion of metabolized estrogen and carcinogens. According to nutritionists, blueberries, bananas, avocados, and citrus fruits are some of the healthiest fruits. Some of the healthiest vegetables include kale, spinach, and sweet potatoes.

Vitamins and minerals in fruit and vegetables

Fruits and vegetables contain many vitamins and minerals that are good for your health; many of these are antioxidants and may reduce the risk of many diseases.26

  1. Vitamin A (beta- carotene)
  2. Vitamin C
  3. Vitamin E
  4. Magnesium
  5. Zinc
  6. Phosphorus
  7. Folic acid

Folic acid may reduce blood levels of homocysteine, a substance that may be a risk factor for coronary heart disease. Research has shown that consuming these nutrients as food, within fruits and vegetables, is more beneficial for health than consuming them as supplements.

Fruits and vegetables for good health

Fruits and vegetables are low in

  1. Fat
  2. Salt
  3. Sugar

They are a good source of dietary fiber.26

They can help with

  1. Obesity
  2. Lowering your cholesterol
  3. Lowering blood pressure

Fruits and vegetables and protection against diseases

Vegetables and fruit contain antioxidants and phytochemicals, or plant chemicals. These biologically active substances can help to protect us from some diseases.

Research shows that if we regularly eat lots of fruit and vegetables, we will have a lower risk of:

  1. Type 2 diabetes
  2. Stroke
  3. Heart (cardiovascular) disease
  4. Cancer
  5. Stomach
  6. Throat
  7. High blood pressure (hypertension)

Colors of fruits and vegetables

Foods of similar colors generally contain similar protective compounds.26

  1. Red foods- like tomatoes and watermelon. These contain lutein and zeaxanthin, which may help protect against age- related eye disease.
  2. Green vegetables- like spinach and kale. These contain lutein and zeaxanthin, which may help protect against age- related eye disease.
  3. Blue and purple foods- like blueberries and eggplant. These contain anthocyanins, which may help protect the body from cancer.
  4. White foods- like cauliflower. These contain sulforaphane and may also help protect against some cancers.

Section 5

Use of alcohol in yogic diet28,29

Yoga strictly forbids use of alcohol in yogic diet. Drinking alcohol has many problems.

(a) DNA Damage

Some of the modern research shows that ethyl alcohol in the body metabolizes into acetaldehyde, a toxic chemical that can damage DNA and prevent your body from repairing it. Damaged DNA can lead to cells growing out of control and forming cancer tumors. The International Agency for Research on Cancer classifies alcoholic beverages as carcinogenic and has linked alcohol consumption to several types of cancer, including head and neck, esophageal, live, breast and colorectal cancer.

(b) Dehydration

Alcohol is a diuretic, which means it removes fluids from the body. Excessive drinking can lead to dehydration, which can cause many hangover symptoms, such as thirst, dizziness and lightheadedness.

(c) Stomach irritation

Alcohol can irritate the lining of your stomach and increase the amount of acid in it, which can lead to nausea, vomiting and an aching stomach. Years of heavy drinking can cause painful sores called ulcers or gastritis, which is an irritation of the stomach lining.

(d) Short-term health effects of alcohol
  1. Dizziness
  2. Lack of judgment
  3. Loss of coordination
  4. Memory loss
  5. Vomiting
  6. Accidental injury (to self or others)
  7. Being in a road accident
  8. Deliberately harming self or others
  9. Alcohol poisoning (which can be fatal)
  10. Fatigue
  11. Headaches
  12. Hangover

Long-term health effects of alcohol

  1. Brain - Drinking too much can affect your concentration, judgment, mood and memory.
  2. Heart - Heavy drinking increases our blood-pressure and can lead to heart damage and heart attacks.
  3. Liver - Drinking 3-4 drinks a day increases your risk of developing liver cancer. Long term heavy drinking also puts you at increased risk of liver cirrhosis (scarring)
  4. Fertility - Regular heavy drinking reduces men's testosterone levels, sperm count and fertility for women, drinking too much can affect their periods.

Section 6

How yoga overcomes type-ii diabetes

Yoga and mindful eating can help manage type 2 diabetes. Yoga is an ancient practice that uses breathing and postures to regulate hormones, improve pancreatic health, and promote insulin production. Yoga practice has been correlated with improved eating habits, such as eating more fruits and vegetables. Mindful eating has shown to improve dietary intake, glycemic control and modest weight loss. Other studies have shown that yoga practice can improve fasting blood glucose, triglyceride, LDL, cholesterol, and blood pressure values for people with prediabetes.

People who undergo psychological stress, have an unhealthy eating pattern, or have a sedentary lifestyle are more prone to getting diagnosed with diabetes. Yoga is beneficial for your mind, body, and soul.

Here is how yoga can benefit people with diabetes:

  1. Controlling stress levels
  2. Preventing diabetic neuropathy
  3. Bringing stability and balance
  4. Maintaining normal blood sugar levels

Diabetes mellitus is a conglomerate of several diseases affecting several organs like the heart, blood vessels, kidneys, and nervous system due to chronic hyperglycemia occurring because of many causes. It is one of the most common non- communicable diseases in the world. Type 2 DM is a heterogeneous disorder wherein there is a genetic predisposition and interaction between insulin resistance and pancreatic beta cell dysfunction, in addition to increased glucose levels, metabolic disorder of plasma lipid aso occur in NIDDM (non- insulin dependent diabetes mellitus) patients.36 Asana and pranayama are most extensively practiced in today's era in the management of various lifestyle disorders. Yoga is fundamentally different from conventional medical practice in its approach to healthcare. Instead of trying to reduce the cause of disease to a single factor and to correct it using a specific cure, yoga aims to treat illness by improving health on all levels simultaneously and by restoring inner harmony.

  1. Blood sugar and stress

During stressful situations, epinephrine (adrenaline), glucagon, growth hormone, and cortisol play a role in blood sugar levels, stressful situations include infections, serious illness, or significant emotional stress. When stressed, the body prepares itself by ensuring that enough sugar or energy is readily available. Insulin levels fall, glucagon and epinephrine (adrenaline) levels rise and more glucose is released from the liver. At the same time, growth hormone and cortisol levels rise, which causes body tissues (muscle and fat) to be less sensitive to insulin. As a result, more glucose is available in the bloodstream. This high level of glucose in the blood can affect the organs like the heart, blood vessels, kidneys, nervous system, due to chronic hyperglycemia. This stressful situation can be avoided if yoga meditation is done. Yoga meditation generates a relaxation response which encounters the stress levels in the body. More details are given in the next section. Yoga can help manage type 2 diabetes by improving blood sugar levels, lipid levels, and body composition. Yoga practices that incorporate physical poses, concentration, and deep breathing may also help people with type 2 diabetes by:

  1. Lowering oxidative stress and blood pressure
  2. Improving pulmonary function
  3. Reducing stress
  4. Supporting weight loss
  5. Enhancing mood, sleep, and quality of life
  6. Reducing medication use
  1. What are asanas?

Asanas, or yoga poses, are physical postures intended to benefit the mind and body. Asanas are said to improve flexibility, strength, and balance. They also help with stress, anxiety, and lower back pain. Some claim that asanas can help with specific conditions like asthma, diabetes, and chronic obstructive pulmonary disease.

  1. 1- Asanas

In ancient times, asanas were used to prepare the body and mind for long periods of meditation with minimal distractions. Hatha yoga practices aim to create harmony between the mind and body by balancing the active and passive aspects of the self. Asanas include sitting, standing, lying, and inverted postures. Asana practice involves focusing the mind’s attention completely on the body, allowing the practitioner to move as a unified whole and perceive what the body is communicating. Asanas were claimed to provide both spiritual and physical benefits. More recently, studies have provided evidence that they improve flexibility, strength, and balance; to reduce stress and conditions related to and specifically to alleviate some diseases such as asthma and diabetes.
Some important poses for asanas

2- Stress management and meditation

Our life is full of stress and tension and it is very difficult to remove them from our life and every action in life is stressful. We go to watch a movie with an aim to release our tension but come out with more stress as the movie itself was stressful. When good work is done without any selfish motive, the stress caused by it is positive and it is not much harmful. The main reasons for negative stress are anger, fear, speed, greed, and unhealthy ambition which are extremely damaging and harmful. Walking, eating, and reading all give stress but differ in their degree. We have unavoidable stress in our life. This stress on the mind builds up mental disturbances such as anger and desire and results in emotional stress. Meditation does not remove stress.

Meditation is only possible when one has already achieved a certain “stressless” state. By learning how to relax the brain, one can begin to remove stress. In fact true meditation in the yogic sense cannot be done by a person who is under stress. In the process of asanas (yogic postures) the body releases its stress and strain through movement. Similarly while doing pranayama (breath control exercises) the body is fully energized, the nerves are soothed, the brain is calmed, and the hardness and rigidity of the lungs are loosened. There are certain vibrations which can make rhythmic and subtle changes in our asanas and pranayama practice without force or stress. We become one in ourselves and are in a meditative state.30

  1. What is stress?

Stress is a feeling of physical and emotional tension. It can come from any event or thought that makes you frustrated, angry or nervous. Stress is your body's way of responding to any kind of demand or threat. When you sense danger whether it is real or imagined, the body's defenses kick into high gear in an automatic process called the stress response.31 There are 2 main types of stress: acute stress and chronic stress. Acute stress comes and goes in a short time and is felt in times such as doing something exciting/scary that triggers adrenaline. Chronic stress lasts for a longer period of time, such as weeks or months, and can be caused by things such as financial difficulties, a troubled marriage, or problems at work. If chronic stress is left unmanaged it may cause serious health problems.

  1. Effects of chronic stress

Stress can manifest as fear, worry, inability to relax, increased heart rate, difficulty breathing, disturbances in sleeping patterns, difficulty concentrating, worsening of pre-existing physical and mental health conditions, and increased use of alcohol, tobacco and other drugs. Under normal conditions our mental, emotional, and physical health should return to normal once stressful events have passed. Chronic stress may lead to long term health problems such as anxiety, depression, panic attacks, heart disease, heart attack, stroke, cancer, suicide violent behaviors, and diabetes. People with chronic stress manage it with some unhealthy behaviors as well, such as substance use, gambling, and overeating.32

Yoga meditation provides an answer to the problems of stress

There has been some strong scientific evidence to show that yoga meditation can act as an effective antidote to stress. Laboratory studies by Dr. Herbert Benson, well known cardiologist and professor at Harvard Medical School and founder of the Benson- Henry Institute for Mind and Body Medicine who worked for over three decades on the health benefits of meditation, have shown that yoga meditation produces what Dr. Benson refers to as the relaxation response. According to Dr Benson, stress evokes fight- or- flight response. It increases energy, metabolism, heart rate, blood pressure, and the rate of breathing. It also triggers the secretion of adrenaline and noradrenaline, but because of a lack of sleep and exercise, the body cannot use these hormones appropriately unused adrenaline puts us at increased risk for a number of diseases and conditions such as anxiety, depression, insomnia, heart attack, stroke, bowel disorders, and infertility. He further said that there is a response opposite to the stress response known as the relaxation response, a physiological set of changes that counteracts the stress response. One of the best ways to bring forth the relaxation response is with meditation.

What is the relaxation response?

The relaxation response is a physical state of deep relaxation in which your body releases chemicals that slow down your breathing and heart rate. This brings healthy blood back to important organs, especially the brain. It decreases breathing rate and oxygen consumption by about 20% and lowers heart rate by approximately 3 beats per minute. It shows a marked decrease in blood pressure and meditators whose levels have been higher than normal. A fall in the levels of blood lactate was observed. Blood lactate is known to be linked with attacks of anxiety. During meditation, Alpha waves of the brain, which are associated with mental relaxation, are produced. This brings relaxation and serenity of mind, and people are better able to cope with their stress. The stress response, also known as the fight or flight response, is the body's reaction to any demanding situation. During the stress response, our bodies might show some signs such as shallow breathing, fast heart rate, sweaty palms, muscle tension, dry mouth, nausea, abdominal pain, diarrhea, or constipation.

Section 7

Stress and blood sugar control

If we are feeling stressed, our body releases stress hormones like cortisol and adrenaline. This should give our body an energy boost for a fight or flight response, but these hormones actually make it more difficult for insulin to work properly, which is known as insulin resistance. As the energy cannot get into our cells, our blood sugar levels rise. If stress does not go away, it can keep blood sugar levels high and put us at risk for diabetes complications.

During times of stress, individuals with diabetes may have more difficulty controlling their blood sugars. When stressed, the body prepares itself by ensuring that enough sugar or energy is readily available. Insulin levels fall, glucagon and epinephrine levels rise and more glucose is released from the liver. At the same time, growth hormone and cortisol levels rise, which causes body tissues (muscles and fat) to be less sensitive to insulin. As a result, more glucose is available in the bloodstream. However, if meditation is done it may reduce the stress levels and consequently the risk of diabetes. Doing meditation along with pranayama (kapal bhati or bhastrika) is more useful as it may further oxidize glucose, lowering the blood glucose levels as well as oxidizing it to some extremely useful health products.

Our digestive system breaks down our food into several nutrients including a sugar called glucose. It is then absorbed into the bloodstream and enters the cells with the help of a hormone called insulin. Glucose enters the blood from the liver or intestine. Insulin enters the bloodstream from the pancreas. Insulin binds to a cell that needs energy and opens the cell to glucose to enter. Sometimes our body makes insufficient or no insulin, or the body cells do not respond in the right way to the insulin in the blood. This means glucose has trouble entering the cells and hence remains in blood. This builds up to higher and harmful levels of glucose in the bloodstream and is called hyperglycemia and can result in diabetes over a long period of time. These high levels of glucose damage the blood vessels and lead to the complications of heart attack, stroke, kidney damage, blindness, nerve damage, and risk of limb loss (amputation). It should be remembered that during pranayama exercises the vital capacity of the lungs goes up to 3800 ml which supplies a high quantity of oxygen. Oxygen is carried to the cells through the blood. If the blood has high contents of glucose, then it is partly oxidized depending on the available quantity of oxygen in the blood. This reduces the risk for diabetes as it lowers the glucose levels in the blood. Bhastrika and kapalbhati are rapid cleansing processes and the oxygen intake within the body during these pranayamas is 1.0 % to 18.5% higher than normal breathing. This consumed oxygen is partially converted to •OH free radical by the Haber-Weiss reaction (modified by Fenton) which oxidizes the glucose.

The Haber-Weiss reaction is kinetically slow but is catalyzed by dissolved iron ions which are obtained from red blood cells in the body. The reaction can be expressed by the following equation:

  1. Fe3+ + •O − → Fe2+ + O
  2. Fe2+ + H2O2 → Fe3+ + OH− + •OH

Net Reaction: •O − + H O → •OH + OH− + O2

Glucose – •OH reaction

  • OH free radicals are highly reactive oxidizing agents. They are also very short lived (half-life of approximately 10 nanoseconds). Because of its reactivity it immediately removes electrons from any molecule in its path, turning that molecule into a free radical and so propagating a chain Hydroxyl radicals can react with all types of macromolecules such as carbohydrates, nucleic acids, lipids, and amino acids. The oxidation of glucose by •OH free radicals results in two possible paths:
  1. Oxidation of terminal group
  2. C-C change

The free radical nature of the reaction

The oxidation of glucose by •OH radicals were studied in detail. The reaction was found to follow first order w.r.t. •OH and a fractional order of 0.2 w.r.t. glucose, indicating that one molecule of glucose can be oxidized by 5 molecules of oxygen. This can probably be achieved through pranayama. Further, it was found that increasing the surface area of the reaction vessel increases the rate constant of the reaction. The fractional order of the reaction and increases in rate constant with surface area indicate the radical chain nature of the reaction. The structural formula of D- glucose can be given as follows (Figure 4):

Figure 4 Glucose structure.

In path 1, which was listed above, the oxidation of glucose by •OH free radical takes place at the terminal groups –CHO and CH2OH to form gluconic acid and glucuronic acid. The oxidation of primary alcohols by •OH free radicals is known to proceed by way of an aldehyde,19 but unless the alcohol is in excess, the oxidation proceeds further to the carboxylic acid. These results clearly show that oxidation of D-glucose by •OH free radicals is not confined to one group and oxidation of the aldehyde as well as primary alcohol group occurs concurrently. There is also oxidative cleavage of the C–C bond giving rise to volatile compounds of low molecular weight such as formaldehyde and formic acid. The reaction as a whole is very complicated. Several chain mechanisms and rate laws were proposed to explain the overall reaction and products of the reaction. The detailed chemical aspects of this reaction are beyond the scope of this article but can be read elsewhere.

Analysis of reaction products

The oxidation of glucose by ∙OH radical anion was studied in detail. The reaction was found to be a chain reaction involving several sequent and consecutive reactions. The order of this reaction was found to be 1.2 which indicated that in order to oxidize one molecule of glucose at least five molecules of oxygen are required. Standard solutions of glucose and potassium peroxydisulfate were heated together at 60℃ for about 5 days till the reaction was completed.

The reaction mixture was distilled under diminished pressure so as to prevent the escape of any volatile products. The residual and volatile fractions were analyzed for product identification which are summarized below. It is known that peroxydisulfate ion in aqueous solutions decomposes to give two SO4 -∙ radicals which instantaneously hydrolyze to form ∙OH radicals according to the following equations.

  1. S2O8 2- → 2SO4 -∙ [aq. soln]
  2. SO4 -∙ + H2O → HSO4 - + ∙OH

Identification of Products The products formed during the oxidation of D (+) glucose with ∙OH radical anion are summarized below

Non-volatile products: Products identified in non-volatile fraction of the reaction mixture were found to be–

(i) gluconic acid (ii) glucuronic acid (iii) glucaric acid (iv) D-glucono-1-4-lactone

Volatile fraction: Formic acid and Formaldehyde were detected which seem to be formed as a result of C-C oxidative cleavage in glucose molecule

The products clearly indicate that oxidation of D- glucose by ∙OH radical anion is not confined to one group and oxidation of the aldehyde as well as the primary hydroxyl occurs concurrently. There is also oxidative cleavage of C-C bonds, giving rise to the volatile compounds of low molecular weight. In order to establish the mechanism of oxidation of glucose, several other simple compounds containing similar groups like polyhydric alcohols (glycol, glycerol, and sorbitol) glyoxal, glycolic acid, and D Arbinose were studied.

Gluconic acid CH2OH∙ (CHOH)4∙ COOH

It is a mild acid neither caustic nor corrosive. It is non-toxic and biodegradable organic acid of great interest. Gluconic acid and its derivatives are used in the formation of pharmaceuticals, cosmetics, and food products as additives or buffer salts.75 Aqueous solutions of gluconic acid contain glucono delta lactone which chelates metal ions and forms stable complexes. In alkaline solutions, it exhibits strong chelating activity towards calcium, iron, aluminum, copper, and other heavy metals, and removes some undesirable and unwanted metals from the body.

Glucuronic acid: CHO (CHOH)4 COOH

It is formed when glucose is oxidized. Its formation takes place in the liver of all animals including humans. The main function of this acid is to combine with drugs, toxins, and hormones and either carry them to different parts of the body or eliminate them. Glucuronic acid also assists in biosynthesis of ascorbic acid in the body. Since glucuronic acid is part of the natural detoxification process in the body, it removes harmful toxins and is used in the treatment of prostate cancer.

Glucaric Acid: COOH∙(CHOH)4∙COOH

Glucaric acid is a sugar acid derived from D-glucose in which both aldehydic carbon atom and the carbon atom bearing the primary hydroxyl group are oxidized to carboxylic acid groups. Calcium D-glucarate is a chemical which is similar to naturally occurring chemical called glucaric acid. Glucaric acid is found in our bodies as well as in fruits and vegetables. Calcium D-glucarate is made by combining glucaric acid with calcium to make supplements that people use for medicine. It enhances the glucuronidation, a process by which the body rids itself of potentially dangerous carcinogens and other harmful chemicals.

According to Dr. Thomas Slaga*, “calcium D-glucarate is a substance that aids in glucuronidation, which is one of the body’s major detoxification systems for eliminating both foreign chemicals and androgenous chemicals such as steroids and sterols.

Glucuronidation is a reaction where a toxin is made water-soluble so that it can be more easily excreted in the urine or bile. Calcium-D glucarate inhibits the detoxification – reversing enzyme Beta Glucuronidase and it inhibits the ‘bad enzyme’ in the detoxification process”. He further said D-glucarate has been shown to decrease lung, skin, liver, breast, and colon cancers by 60% or more.

D – Glucono 1-4 Lactone

D – Glucono 1, 4 lactone is one of the metabolites of D – Glucaric acid and has the ability to prevent the activity of glucuronidase and increase the excretion of toxic compounds. It is a conjugate of D – glucono 1, 4 lactone (one of the identified products). According to the National Center for Biotechnology Information – D – glucaro 1, 4 lactone is a delta lactone in which hydroxy group in position 6 has been oxidized to the corresponding carboxylic acid. It is a conjugate of a glucono 1, 4 lactone.”33 Thus D – glucono 1, 4 lactone with further reaction with •OH is converted to D glucono 1, 4 lactone which is a very useful product for liver detoxification.

Metabolism

In presence of stomach acid, d-glucaric acid is metabolized to D-glucaro-1, 4 lactone (30 % of ingested glucaric acid), D-glucaro-6, 3-lactone (30% of ingested glucaric acid), remaining D-glucaric acid. Glucuronidation is the liver's normal process of attaching a glucuronic acid molecule to harmful substances to detoxify and eliminate them from the body. During liver detoxification certain hormones and various toxins undergo glucuronidation and are excreted through the bile or urine. Ca D-glucarate’s detoxifying and chemopreventive properties enable it to enhance glucuronidation and allow the harmful compounds to be excreted. However, beta-glucuronidase enzyme has the capability to unbind these toxins which are reabsorbed and thus their excretion is stopped. D-glucaro 1,4-lactone (one of the metabolites of D-glucaric acid) has the ability to prevent this activity of B-glucuronidase and increase the excretion of toxic compounds.34

Lipid lowering

Calcium-D-Glucarate lowers cholesterol by 12%, LDL by 28%, and triglyceride by 43% in humans.78 CDG decreases stress on the liver which lowers our need for cholesterol, specifically LDL.

Section 8

Volatile products

The volatile products found in this fraction were identified as formaldehyde and formic acid which are supposed to be formed as a result of C-C cleavage in the glucose molecule. The cleavage path was quantitatively estimated as 5% of the total reaction.

A search of the literature shows that the formaldehyde and formic acid both are dangerous compounds. Formaldehyde is used as an industrial fungicide, germicide, and disinfectant and as a preservative in mortuaries. Formaldehyde is an irritant of the eyes and causes sensitization dermatitis. Prolonged exposure to formaldehyde may cause cancer in humans and therefore has been classified as a human carcinogen.

Formaldehyde is dangerous at higher concentrations.

*Dr. Thomas Slaga is the President/CEO and the chair of the center for cancer causation and prevention at the AMC Cancer Research center in Denver, Colorado.

According to the American cancer society

“The main way people are exposed to formaldehyde is by inhaling it. The liquid form can be absorbed through the skin. People can also be exposed to small amounts by eating foods or drinking liquids containing formaldehyde. Enzymes in the body break down formaldehyde into formate (formic acid), which can be further broken down into carbon dioxide. Most inhaled formaldehyde is broken down by the cells lining the mouth, nose, throat, and airways, so that less than a third is absorbed by the blood”.

American chemistry council writes in its “formaldehyde overview”

“Formaldehyde is found in every living system – from plants to animals – to humans – produced as normal metabolic process. Formaldehyde is a naturally occurring substance made of carbon, hydrogen, and oxygen. Humans produce 1.5 ounces of formaldehyde a day as a normal part of our metabolism. Inhaled formaldehyde is rapidly metabolized and ultimately converted to carbon dioxide and exhaled. Formaldehyde does not accumulate in the body”

Section 9

Alternatively, the following mechanism is proposed by the author for the oxidation of formaldehyde to formic acid and formic acid to carbon dioxide and water. This mechanism is based on the following facts:

  1. Hydroxyl free radicals (•OH) are generated in the body by the Haber Weiss process (modified by Fenton).
  2. Hydroxyl/free radicals (•OH) are extremely reactive (Half-life 10-9 seconds) and are capable of abstracting hydrogen atoms from C-H in formic acid45 (or formaldehyde) to generate free
  3. These free radicals are hydrolyzed to form corresponding hydroxy compounds which further decompose to CO2 and H2O

HCHO + ∙OH →∙CHO + H2O          (i)

(Formaldehyde)

.CHO + H2O → OH-CH+∙H             (ii)

∙H + ∙OH → H2O                               (iii)

OH-CHO → HCOO- + H+                (iv)

(Formic acid)

The formate radical is further decarboxylated as according to the following equation

.OH + HCOO- → H2O +CO2- (v)

The carbon dioxide radical is powerfully reducing and converts oxygen to superoxide.

CO2-∙+ O2 → CO2 + O2 (vi)

The presence of CO2-∙ in the system was detected by the e.s.r method.

Thus, pranayama exercises (breath control) help to reverse diabetes, decrease risk of cancer, detoxify the body, ensure healthy liver function, and lower LDL and total cholesterol levels.

Conclusion

To conclude, it can be said that yoga therapy has a beneficial effect in the patients of type 2 DM in terms of reducing blood sugar and insulin resistance and increasing sensitivity to insulin. Yoga also has positive effects on lipid profiles, management of weight, and blood pressure in type 2 diabetes mellitus. Yoga practices such as cleansing, asanas, pranayama, mudras, meditation and relaxation are known to reduce blood glucose levels.

Section 1: Deals with some important terms used in type 2 diabetes and their explanation.

Section 2: The properties of some fats and essential fatty acids are described. The harmful effects of trans and saturated fats are mentioned.

Section 3: Deals with eating in the way of yoga lifestyle. According to yogic tradition, a lacto-vegetarian diet free from fish, eggs, and meat with limited intake of dairy products is recommended. A well balanced vegetarian diet has proven to be extraordinarily healthy and cures many diseases. The origin of the word sattvic is from sattva, the quality of purity and goodness. Sattvic food promotes clarity and calmness of mind which leads to spiritual growth. The sattvic diet includes fresh fruits, green leafy vegetables, nuts, seeds, legumes, whole grains, plant based oils, natural sweeteners, mild spices and herbs. Sattvic foods are light and freshly prepared to avoid leftovers or waste. The Bhagavad Gita describes the Sattvic food as “promoting life, virtue, strength, health, happiness, and satisfaction.” Sattvic foods are also rich in Prana. Yoga avoids “denatured” foods such as white flour, white bread, refined cereals, canned fruits, vegetables, or drinks, and saturated fats such as hydrogenated oils. Foods once cooked are not reheated as it kills the nutritional values. We must train ourselves to eat only what we need and no more. We should chew each mouthful slowly and will accustom us to take only as much food as we need. Our food should have only a balanced place in our diet. A diet containing a wide variety of wholesome foods always provides a balanced supply of nutrients.

Pradipika, an ancient handbook on yoga, says “moderate diet means pleasant, sweet food leaving one fourth of the stomach free (Alice Christensen). According to Shiva Samhita, one should avoid acids, astringents, pungents, salt, mustard, bitters, and foods roasted in oil and overeating. This text also suggests that smaller and more frequent meals are beneficial. The yogic diet emphasizes sattvic foods, which are fresh, light, and pure ingredients that promote clarity, calmness, and detoxification. Dairy products are considered sattvic and are recommended for their ability to strengthen immunity. The fat in whole milk contains tissue building properties but it is also high in saturated fat and therefore taken in moderation. Eating and drinking dairy products offer health benefits, like building and maintaining strong bones.

Dairy group foods provide nutrients beneficial for the health and maintenance of the body. They include calcium, phosphorus, vitamins A, D, and B12, riboflavin, protein, potassium, zinc, choline, magnesium, and selenium. Dairy products provide nutrients that are difficult to obtain in low dairy or dairy free diets. Dairy free diets cannot provide the required daily amount of calcium intake for bone health. Some people avoid dairy in their diets because of high saturated fat content which may lead to several diseases like lactose intolerance, osteoarthritis, rheumatoid arthritis or cardiovascular disease. This makes the dairy controversial and more work needs to be done in this direction for the people to make their own decision.

Section 4: According to nutritionists, blueberries, bananas, avocados, and citrus fruits are some of the healthiest fruits. Some of the healthiest vegetables include kale, spinach, and sweet potatoes. Fruits and vegetables contain many vitamins and minerals that are good for your health; many of these are antioxidants and may reduce the risk of many diseases. Vitamin A (beta- carotene), vitamin C, vitamin E, magnesium, zinc, phosphorus, folic acid. Research shows that if we regularly eat lots of fruit and vegetables, we will have a lower risk of type 2 diabetes, stroke, heart (cardiovascular) disease, cancer, stomach, throat, and high blood pressure (hypertension).

Section 6: Yoga and mindful eating can help manage type 2 diabetes. Yoga is an ancient practice that uses breathing and postures to regulate hormones, improve pancreatic health, and promote insulin production. Yoga practice has been correlated with improved eating habits, such as eating more fruits and vegetables. Mindful eating has shown to improve dietary intake, glycemic control and modest weight loss. Other studies have shown that yoga practice can improve fasting blood glucose, triglyceride, LDL, cholesterol, and blood pressure values for people with prediabetes. People who undergo psychological stress, have an unhealthy eating pattern, or have a sedentary lifestyle are more prone to getting diagnosed with diabetes. Yoga is beneficial for your mind, body, and soul. Here is how yoga can benefit people with diabetes: controlling stress levels, preventing diabetic neuropathy, bringing stability and balance, maintaining normal blood sugar levels. High levels of blood glucose can be lowered by 1- asanas, or yoga poses, are physical postures intended to benefit the mind and body. Asanas are said to improve flexibility, strength, and balance. They also help with stress, anxiety, and lower back pain. Some claim that asanas can help with specific conditions like asthma, diabetes, and chronic obstructive pulmonary disease. 2-stress management and yoga meditation, 3- yogic breathing exercises.

Relaxation response

The relaxation response is a physical state of deep relaxation in which your body releases chemicals that slow down your breathing and heart rate. This brings healthy blood back to important organs, especially the brain. It decreases breathing rate and oxygen consumption by about 20% and lowers heart rate by approximately 3 beats per minute. It shows a marked decrease in blood pressure and meditators whose levels have been higher than normal. A fall in the levels of blood lactate was observed. Blood lactate is known to be linked with attacks of anxiety. During meditation, Alpha waves of the brain, which are associated with mental relaxation, are produced. This brings relaxation and serenity of mind, and people are better able to cope with their stress.

During pranayama exercises the lung capacity is increased to 3800 mL from 600 mL under normal conditions this provides excessive oxygen to the body. Part of this oxygen is converted to •OH free radicals by Haber Weiss reaction in presence of iron ions. •OH radical being very reactive, attacks the glucose molecule at different groups to form the following products.

  1. Gluconic acid: it exhibits strong chelating activity towards calcium, iron, aluminum, and removes some unwanted metals from the body.
  2. Glucuronic acid: the main function of this acid is to combine with drugs, toxins, and hormones and eliminate them from the body. It is also used in the treatment of prostate cancer.
  3. Glucaric acid: It is a very useful product.
  1. Glutaric acid has been shown to decrease lung, skin, liver, breast, and colon cancers by 60% or more.
  2. Lipid lowering: It is used for liver detoxification. 3- Lipid lowering: Calcium D- glucarate lowers
  1. Cholesterol by 12%
  2. LDL by 28%
  3. Triglyceride by 43%

This shows that pranayama exercises are very helpful and beneficial for lowering blood glucose.

Acknowledgments

The author feels highly indebted to his teacher and supervisor late Prof. Saad Wasif, Ph. D (London), D. SC (London), for useful discussions and guidance on the part on carbohydrate chemistry and wishes to thank his wife Ms. Sushma Vasudeva for continuous support and inspiration. Thanks are also due to the staff of Shorewood public library, 3920 North Murray Avenue, Shorewood, WI 53211 for providing some necessary literature for the current article.

Conflicts of interest

The authors report no conflict of interest.

References

  1. Ruben Alan L. Diabetes for Dummies. John Wiley and Sons. 2012.
  2. John Fuhrman. The End of Diabetes. East 53rs St, New York, NY, 10022. 2013.
  3. NIH. Risk Factors for Type 2 Diabetes. 2022.
  4. NHS. Obesity.
  5. Triglycerides. CK12-Foundation.
  6. The molecular formula of triglyceride fatty acids.
  7. wikipedia.org/wiki/Fatty_acid.
  8. http://www.medicalnewtoday.com/articles/essential-fatty-acids
  9. Griffin Morgan R. The facts on Omega 3 fatty acids.
  10. https://www.faodinfocus.com/learn-about-lc-faod/?utm_source=bing&utm_medium=cpc&utm_campaign=23_FAOD_DTC_Unbranded_Condition&utm_content=Condition_General%2B%7C%2BPhrase&utm_term=fatty%2Bacids&gclid=a3b0d530b63b12963660b0c07d09375b&gclsrc=3p.ds&overview-section
  11. study.com/academy/what-is-the-difference-between-cis-and-trans-fats
  12. Weighing in on Dietary Fats.
  13. Cyrus Khambatta, Robby Barbaro. Mastering Diabetes. Penguin Random House New York. 2020.
  14. https://www.heart.org/en/healthy.living/healthyeating/eat.smart/fats/saturated_fats
  15. Sivananda Companion to Yoga. Yoga Vedanta Center. 2000
  16. Vegetarians Lead a Healthier Life Than Meat Eaters: Oxford Study. 2015.
  17. https://perm.org/health/cancer-resources/diet-cancer/facts/meat-mealconsumption
  18. Eating for your health.
  19. https://perm.org/health/cancer-resources/dietcancer/facts/meat
  20. Yoga Mind and Body. Sivananda Yoga Vedanta Center.  p. 129.
  21. https://zealdesai.com/blog/yoga.html
  22. Gray Gran. The Sattvic or Yogic Diet. 2005.
  23. Unleash the Inner Healing Power of Foods. The Editors of FC&A Medical Publishing 103 Clover Green, Peachtree City, GA, 30269. 2004.
  24. https://www.myplate.gov/eat-healty/dairy#:-:text=Why is it important
  25. Fruit and vegetables. Healthy eating.
  26. Benefits of fruits and vegetables. Healthy living.
  27. Alcohol. 2024.
  28. Health Direct. How alcohol affects your health.
  29. Iyengar BKJ. Light on Life. Published by Rodale Inc, USA. 2005.
  30. Jeanne S, Smith M, Robinson L. Stress symptoms, signs and causes. Helpguide.
  31. National Institute of Health / National Library of Medicine. Stress and your health.
  32. Wazir Vasudeva. Yoga meditation: an antihypertension agent. Int J Complement Alt Med. 2022;15(3):170–175.
  33. Readers Digest Food Cures. The Readers Digest Association. Pleasantville: New York.  2007.
  34. Amol Mohanrao Patil, Shobhit D, Gajanan B, et al. YOGA- An allied approach in patients with Type II Diabetes mellitus. Arf J Bio Sc. 2024;6(S2):5567–5572.
  35. Diabetes Education Online. San Francisco. 2022.
  36. Yoga overcomes type 2 diabetes.
Creative Commons Attribution License

©2024 Vasudeva. This is an open access article distributed under the terms of the, which permits unrestricted use, distribution, and build upon your work non-commercially.