Submit manuscript...
International Journal of
eISSN: 2576-4454

Hydrology

Research Article Volume 6 Issue 4

3D flow of MHD tangent hyperbloic nanoliquid with the combined effect of soret and dufour effect past a heated convective stretching sheet

Farhan Ali,1 Cherlacola Srinivas Reddy,1 A Zaib,1 M Faizan,1 Khaled Al- Farhany,2 Alphonsa Mathew3

1Department of Mathematical Sciences, Federal Urdu University of Arts, Sciences & Technology, Gulshan-e-Iqbal Karachi, Pakistan
2Department of Mechanical Engineering, university of AlQadisiyah, Al-Qadisiyah, Iraq
3St. Thomas college, Thrissur, India

Correspondence: Farhan Ali, Department of Mathematical Sciences, Federal Urdu University of Arts, Sciences & Technology, Gulshan-e-Iqbal Karachi, Pakistan

Received: March 15, 2022 | Published: July 5, 2022

Citation: Ali F, Reddy CS, Zaib A, et al. 3D flow of MHD tangent hyperbloic nanoliquid with the combined effect of soret and dufour effect past a heated convective stretching sheet. Int J Hydro. 2022;6(4):108-116. DOI: 10.15406/ijh.2022.06.00315

Download PDF

Abstract

Convective heat transport gives the remarkable behaviour in the many industrial procedure owing it mechanical behaviours of the system. A study has been obtained to analyse thermal radiative flow on unsteady MHD tangent hyperbolic nanoliquid near a stagnation point under viscous dissipation and chemical reaction. Also, thermal-diffusion and thermo-diffusion have been considered. The nonlinear PDE’s are altered into a set of ODE’s through suitable transformation and which are then numerically utilized. Further, numerical outputs for friction factor, Nusselt number and Sherwood are produced in table. Moreover, velocity distribution is increasing for a larger value of We and reduces for n. Moreover, similar behaviour is noted for temperature profile. A comparison with accessible outcomes for limited case is obtained with tremendous achievement.

Keyword: unsteady, nanofluid, heated convective, tangent hyper bolic fluid

Introduction

Recently, the enormous features have been utilized to increase the heat transport behaviours like changing geometry of flow and enhancing their thermal conductivity. Increasing challenges of more proficient heat transport liquid, there is require creating a new sort of fluid that are more influence in the form of heat transport phenomenon. The addition of nanoparticle in the ordinary fluid is one of the new science methods to boost heat transport increment. Most of the ordinary fluid like water, ethylene, glycol mixture have less heat transport rate. To enhance thermal conductivity with heat transport rate and it is essential to exploit the nanoparticles in the ordinary fluid. To envisage behaviour of nanoliquid several models have been presented in the literature. The novel idea was introduced Choi.1 Later, the Buongiorno2 has been attracted noteworthy attention owing to reasonable explanation of nanoparticles mechanism. Makinde and Aziz3 numerically explored the viscous boundary layer nanoliquid near convective surface. Pal and Mondal4 studied the MHD flow of non-isothermal nanofluid with convective condition near stagnation point. Turkyilmazoglu5 reported an influence of the viscous fluid on the hydromagnetic nanoliquid flow of a heat and mass transmit due to a slip conditions. The generation/absorption on three dimensional Oldroyd-B nanoliquid near stretching surface with an effect of heat has considered by Khan et al.6 In addition, Sisko nanoliquids past stretching sheet with the effect of heat transfer are presented via Khan et al.7 The two constrain boundary conditions of nanoliquid due to a vertical surface has been deliberated by Kuznetsou and Nield.8 Hayat et al.9 developed the mixed convective flow visco-elastic nanofluids through a cylinder with heat source/sink. The MHD flow of nanomaterial with convective conditions has been created by Hayat et al.10 A significant of nonlinear mechanics and utilising the effect of thermophoretic and Brownian movement are explained by Khan et al.11,12

The megnetohydrodynamic (MHD) are used in different areas of science and technology like molten metal and pumping station. The thermal stratification transient-free convective flows for nano liquid are investigated by Peddisetty.13 The effect of heat sink-source with Burgers flow model under nanomaterial the due to stretched sheet considered by Khan and Khan.14 The features of nanofluids for boosting the effectiveness of solar collectors are examined by Sheikh et al.15 Khan et al.16 conducted the effect of solar energy of MHD of Carreau nanofluid using the features of solar energy.

Now days, the demanding of the non-Newtonian fluids have been studied widely owing their significant applications in engineering, medicine and industries. There is non-linear correlation between shear stress and strain in this type of fluids. The study of non-Newtonian flow and the heat transport phenomena having shear effect. Cream, catch up and polymer solution are the few example of hyperbolic tangent fluid. This fluid model has sure benefit due to other than non-Newtonian fluid containing model formulation, simplicity of calculation and physical strength. Moreover, this flow model explains the blood flow very precisely.17,18 Hayat et al.19 examined MHD tangent hyperbolic nanoparticles over variable stretching surface. The EMHD unsteady hyperbolic tangent nano liquid with convective boundary condition has been observed by Mahdy and Hoshoudy.20 Salahuddin et al.21 noticed stagnation point and hyperbolic tangent nanomaterial due to a stretching cylinder. The numerically study of hyperbolic tangent nano liquid over sphere was considered by Gaffar et al.22 The tangent hyperbolic due to stretching sheet and partial slip condition is ascertained by Ibrahim.23 The influence of dual stratified on MHD tangent hyperbolic nano liquid due to permeable cylinder was conducted by Nagendramma et al.24 Recently, Kumar et al.25 examined three dimensional tangent hyperbolic fluid over bidirectional flow at convective boundary condition. More recently, Ramzan et al.26 analysed the activation energy and Hall effect in a partially ionized tangent hyperbolic nano liquid under Cattaneo-Christive. The investigation shows that flows with nonlinear thermal radiation have not given much attention of many researchers because of wide ranging application. Such application contains design of furnace, gas turbines, glass production, nuclear plants, and space technologies. Cortell27 presented nonlinear thermal radiative heat transfer near stretching sheet. The three-dimensional Jeffrey nanofluid flow under nonlinear thermal radiation is investigated by Shehzad et al.28 Pantokratoras and Fang29 described Sakiadis flow and nonlinear Rosseland thermal radiative. Animasaun et al.30 reported homogeneous/heterogeneous reactions within visco-elastic fluid flow under magnetic-field and nonlinear thermal radiative. MHD three-dimensional flow of nano liquid with velocity slip and nonlinear thermal radiative is explored by Hayat et al.31 The 3D MHD nano liquid past shirking sheet with the combined result of thermal radiative with viscous dissipation are scrutinised by Nayak.32 Ramzan et al.33 explained 3D visco-elastic nano liquid with thermal radiative and mixed convection.

The aim of current of investigation is to communicate the 3-D flow MHD tangent hyperbolic nanofluid towards a stagnation point with heated convective condition. Study has been obtained under thermal radiation with chemical reaction, Soret and Dufour effects. Set systems of governing PDE’s are reduced to the set of ODE using appropriate transformation. The set of ODE’s are utilized through Bvp4C along shooting technique. Sketch for velocity, temperature and concentration as well as skin fraction, heat and mass have been displayed graphically and tabular form.

Rheological model of tangent hyperbolic

The Cauchy stress tensor is

τ=[ μ +( μ + μ )tanh ( Γ γ ˙ ) n ] γ ˙ , MathType@MTEF@5@5@+= feaagKart1ev2aaatCvAUfeBSjuyZL2yd9gzLbvyNv2CaerbuLwBLn hiov2DGi1BTfMBaeXatLxBI9gBaerbd9wDYLwzYbItLDharqqtubsr 4rNCHbGeaGqkY=Mj0xXdbba91rFfpec8Eeeu0xXdbba9frFj0=OqFf ea0dXdd9vqaq=JfrVkFHe9pgea0dXdar=Jb9hs0dXdbPYxe9vr0=vr 0=vqpWqaaeaabiGaciaacaqabeaadaqaaqaaaOqaaiabes8a0jabg2 da9maadmaabaGaeqiVd02aaSbaaSqaaiabg6HiLcqabaGccqGHRaWk daqadaqaaiabeY7aTnaaBaaaleaacqWIyiYBaeqaaOGaey4kaSIaeq iVd02aaSbaaSqaaiabg6HiLcqabaaakiaawIcacaGLPaaaciGG0bGa aiyyaiaac6gacaGGObWaaeWaaeaacqqHtoWrcuaHZoWzgaGaaaGaay jkaiaawMcaamaaCaaaleqabaGaamOBaaaaaOGaay5waiaaw2faaiqb eo7aNzaacaGaaiilaaaa@54E0@    (1)

where γ ˙ MathType@MTEF@5@5@+= feaagKart1ev2aaatCvAUfeBSjuyZL2yd9gzLbvyNv2CaerbuLwBLn hiov2DGi1BTfMBaeXatLxBI9gBaerbd9wDYLwzYbItLDharqqtubsr 4rNCHbGeaGqk0Jf9crFfpeea0xh9v8qiW7rqqrFfpeea0xe9Lq=Jc9 vqaqpepm0xbba9pwe9Q8fs0=yqaqpepae9pg0FirpepeKkFr0xfr=x fr=xb9adbaqaaeGaciGaaiaabeqaamaabaabaaGcbaGafq4SdCMbai aaaaa@39B9@  is stated as

γ ˙ = 1 2 i j γ ˙ ij γ ˙ ji = 1 2 π MathType@MTEF@5@5@+= feaagKart1ev2aaatCvAUfeBSjuyZL2yd9gzLbvyNv2CaerbuLwBLn hiov2DGi1BTfMBaeXatLxBI9gBaerbd9wDYLwzYbItLDharqqtubsr 4rNCHbGeaGqkY=Mj0xXdbba91rFfpec8Eeeu0xXdbba9frFj0=OqFf ea0dXdd9vqaq=JfrVkFHe9pgea0dXdar=Jb9hs0dXdbPYxe9vr0=vr 0=vqpWqaaeaabiGaciaacaqabeaadaqaaqaaaOqaaiqbeo7aNzaaca Gaeyypa0ZaaOaaaeaadaWcaaqaaiaaigdaaeaacaaIYaaaaaWcbeaa kmaaqafabaWaaabuaeaacuaHZoWzgaGaamaaBaaaleaacaWGPbGaam OAaaqabaGccuaHZoWzgaGaamaaBaaaleaacaWGQbGaamyAaaqabaGc cqGH9aqpdaWcaaqaaiaaigdaaeaacaaIYaaaamaakaaabaGaeqiWda haleqaaaqaaiaadQgaaeqaniabggHiLdaaleaacaWGPbaabeqdcqGH ris5aaaa@4D73@    (2)

π= 1 2 tr ( gradV+ (gradV) T ) 2 MathType@MTEF@5@5@+= feaagKart1ev2aaatCvAUfeBSjuyZL2yd9gzLbvyNv2CaerbuLwBLn hiov2DGi1BTfMBaeXatLxBI9gBaerbd9wDYLwzYbItLDharqqtubsr 4rNCHbGeaGqkY=Mj0xXdbba91rFfpec8Eeeu0xXdbba9frFj0=OqFf ea0dXdd9vqaq=JfrVkFHe9pgea0dXdar=Jb9hs0dXdbPYxe9vr0=vr 0=vqpWqaaeaabiGaciaacaqabeaadaqaaqaaaOqaaiabec8aWjabg2 da9maalaaabaGaaGymaaqaaiaaikdaaaGaamiDaiaadkhadaqadaqa aiaadEgacaWGYbGaamyyaiaadsgacaWGwbGaey4kaSIaaiikaiaadE gacaWGYbGaamyyaiaadsgacaWGwbGaaiykamaaCaaaleqabaGaamiv aaaaaOGaayjkaiaawMcaamaaCaaaleqabaGaaGOmaaaaaaa@4C1F@

Then tensor Eq. (1) become as

τ= μ [ ( Γ γ ˙ ) n ] γ ˙ = μ [ 1+ ( Γ γ ˙ 1 ) n ] γ ˙ = μ [ 1+n( Γ γ ˙ 1 ) ] γ ˙ . MathType@MTEF@5@5@+= feaagKart1ev2aaatCvAUfeBSjuyZL2yd9gzLbvyNv2CaerbuLwBLn hiov2DGi1BTfMBaeXatLxBI9gBaerbd9wDYLwzYbItLDharqqtubsr 4rNCHbGeaGqkY=Mj0xXdbba91rFfpec8Eeeu0xXdbba9frFj0=OqFf ea0dXdd9vqaq=JfrVkFHe9pgea0dXdar=Jb9hs0dXdbPYxe9vr0=vr 0=vqpWqaaeaabiGaciaacaqabeaadaqaaqaaaOqaaiabes8a0jabg2 da9iabeY7aTnaaBaaaleaacqWIyiYBaeqaaOWaamWaaeaadaqadaqa aiabfo5ahjqbeo7aNzaacaaacaGLOaGaayzkaaWaaWbaaSqabeaaca WGUbaaaaGccaGLBbGaayzxaaGafq4SdCMbaiaacqGH9aqpcqaH8oqB daWgaaWcbaGaeSigI8gabeaakmaadmaabaGaaGymaiabgUcaRmaabm aabaGaeu4KdCKafq4SdCMbaiaacqGHsislcaaIXaaacaGLOaGaayzk aaWaaWbaaSqabeaacaWGUbaaaaGccaGLBbGaayzxaaGafq4SdCMbai aacqGH9aqpcqaH8oqBdaWgaaWcbaGaeSigI8gabeaakmaadmaabaGa aGymaiabgUcaRiaad6gadaqadaqaaiabfo5ahjqbeo7aNzaacaGaey OeI0IaaGymaaGaayjkaiaawMcaaaGaay5waiaaw2faaiqbeo7aNzaa caGaaiOlaaaa@68A3@   (3)

Mathematical formulation

We ponder the unsteady 3D tangent hyperbolic nanofluid near stagnation point. The flow is persuaded along XY-plane (Z=0) through bidirectional stretched with streching velocities U w (x,t)= ax 1χt MathType@MTEF@5@5@+= feaagKart1ev2aaatCvAUfeBSjuyZL2yd9gzLbvyNv2CaerbuLwBLn hiov2DGi1BTfMBaeXatLxBI9gBaerbd9wDYLwzYbItLDharqqtubsr 4rNCHbGeaGqkY=MjYJH8sqFD0xXdHaVhbbf9v8qqaqFr0xc9pk0xbb a9q8WqFfea0=yr0RYxir=Jbba9q8aq0=yq=He9q8qqQ8frFve9Fve9 Ff0dmeaabaqaciGacaGaaeqabaWaaeaaeaaakeaacaWGvbWaaSbaaS qaaiaadEhaaeqaaOGaaiikaiaadIhacaGGSaGaamiDaiaacMcacqGH 9aqpdaWcaaqaaiaadggacaWG4baabaGaaGymaiabgkHiTiabeE8aJj aadshaaaaaaa@451F@ , V w (x,t)= bx 1χt MathType@MTEF@5@5@+= feaagKart1ev2aaatCvAUfeBSjuyZL2yd9gzLbvyNv2CaerbuLwBLn hiov2DGi1BTfMBaeXatLxBI9gBaerbd9wDYLwzYbItLDharqqtubsr 4rNCHbGeaGqkY=MjYJH8sqFD0xXdHaVhbbf9v8qqaqFr0xc9pk0xbb a9q8WqFfea0=yr0RYxir=Jbba9q8aq0=yq=He9q8qqQ8frFve9Fve9 Ff0dmeaabaqaciGacaGaaeqabaWaaeaaeaaakeaacaWGwbWaaSbaaS qaaiaadEhaaeqaaOGaaiikaiaadIhacaGGSaGaamiDaiaacMcacqGH 9aqpdaWcaaqaaiaadkgacaWG4baabaGaaGymaiabgkHiTiabeE8aJj aadshaaaaaaa@4521@ , U e (x,t)= cx 1χt MathType@MTEF@5@5@+= feaagKart1ev2aaatCvAUfeBSjuyZL2yd9gzLbvyNv2CaerbuLwBLn hiov2DGi1BTfMBaeXatLxBI9gBaerbd9wDYLwzYbItLDharqqtubsr 4rNCHbGeaGqkY=MjYJH8sqFD0xXdHaVhbbf9v8qqaqFr0xc9pk0xbb a9q8WqFfea0=yr0RYxir=Jbba9q8aq0=yq=He9q8qqQ8frFve9Fve9 Ff0dmeaabaqaciGacaGaaeqabaWaaeaaeaaakeaacaWGvbWaaSbaaS qaaiaadwgaaeqaaOGaaiikaiaadIhacaGGSaGaamiDaiaacMcacqGH 9aqpdaWcaaqaaiaadogacaWG4baabaGaaGymaiabgkHiTiabeE8aJj aadshaaaaaaa@450F@  along XY-direction, where a, b and c are constant. The flow occupied the region Z > 0. Seen in Figure 1 the geometrical representation of current investigation. A non-uniform magnetic field B(t)= B 0 1χt MathType@MTEF@5@5@+= feaagKart1ev2aaatCvAUfeBSjuyZL2yd9gzLbvyNv2CaerbuLwBLn hiov2DGi1BTfMBaeXatLxBI9gBaerbd9wDYLwzYbItLDharqqtubsr 4rNCHbGeaGqkY=MjYJH8sqFD0xXdHaVhbbf9v8qqaqFr0xc9pk0xbb a9q8WqFfea0=yr0RYxir=Jbba9q8aq0=yq=He9q8qqQ8frFve9Fve9 Ff0dmeaabaqaciGacaGaaeqabaWaaeaaeaaakeaacaWGcbGaaiikai aadshacaGGPaGaeyypa0ZaaSaaaeaacaWGcbWaaSbaaSqaaiaaicda aeqaaaGcbaWaaOaaaeaacaaIXaGaeyOeI0Iaeq4XdmMaamiDaaWcbe aaaaaaaa@421C@  is computed. Where B0 is magnetic field strength.

u x + v y + w z =0, MathType@MTEF@5@5@+= feaagKart1ev2aaatCvAUfeBSjuyZL2yd9gzLbvyNv2CaerbuLwBLn hiov2DGi1BTfMBaeXatLxBI9gBaerbd9wDYLwzYbItLDharqqtubsr 4rNCHbGeaGqkY=MjYJH8sqFD0xXdHaVhbbf9v8qqaqFr0xc9pk0xbb a9q8WqFfea0=yr0RYxir=Jbba9q8aq0=yq=He9q8qqQ8frFve9Fve9 Ff0dmeaabaqaciGacaGaaeqabaWaaeaaeaaakeaadaWcaaqaaiabgk Gi2kqadwhagaafaaqaaiabgkGi2kaadIhaaaGaey4kaSYaaSaaaeaa cqGHciITceWG2bGbaqbaaeaacqGHciITcaWG5baaaiabgUcaRmaala aabaGaeyOaIyRabm4DayaauaaabaGaeyOaIyRaamOEaaaacqGH9aqp caaIWaGaaiilaaaa@4AC7@    (4)

u t + u u x + v u y + w u z = v (1n) 2 u z 2 + 2 vnΓ( u z ) 2 u z 2 +σ B 0 2 ( t ) ρ ( U e u )+ U e t + U e U e x , MathType@MTEF@5@5@+= feaagKart1ev2aaatCvAUfeBSjuyZL2yd9gzLbvyNv2CaerbuLwBLn hiov2DGi1BTfMBaeXatLxBI9gBaerbd9wDYLwzYbItLDharqqtubsr 4rNCHbGeaGqkY=MjYJH8sqFD0xXdHaVhbbf9v8qqaqFr0xc9pk0xbb a9q8WqFfea0=yr0RYxir=Jbba9q8aq0=yq=He9q8qqQ8frFve9Fve9 Ff0dmeaabaqaciGacaGaaeqabaWaaeaaeaaakeaadaWcaaqaaiabgk Gi2kqadwhagaafaaqaaiabgkGi2kaadshaaaGaey4kaSIabmyDayaa uaWaaSaaaeaacqGHciITceWG1bGbaqbaaeaacqGHciITcaWG4baaai abgUcaRiqadAhagaafamaalaaabaGaeyOaIyRabmyDayaauaaabaGa eyOaIyRaamyEaaaacqGHRaWkceWG3bGbaqbadaWcaaqaaiabgkGi2k qadwhagaafaaqaaiabgkGi2kaadQhaaaGaeyypa0JabmODayaauaGa aiikaiaaigdacqGHsislcaWGUbGaaiykamaalaaabaGaeyOaIy7aaW baaSqabeaacaaIYaaaaOGabmyDayaauaaabaGaeyOaIyRaamOEamaa CaaaleqabaGaaGOmaaaaaaGccqGHRaWkdaGcaaqaaiaaikdaaSqaba GccaWG2bGaamOBaiabfo5ahnaabmaabaWaaSaaaeaacqGHciITceWG 1bGbaqbaaeaacqGHciITcaWG6baaaaGaayjkaiaawMcaamaalaaaba GaeyOaIy7aaWbaaSqabeaacaaIYaaaaOGabmyDayaauaaabaGaeyOa IyRaamOEamaaCaaaleqabaGaaGOmaaaaaaGccqGHRaWkcqaHdpWCda WcaaqaaiaadkeadaWgaaWcbaGaaGimaaqabaGcdaahaaWcbeqaaiaa ikdaaaGcdaqadaqaaiaadshaaiaawIcacaGLPaaaaeaacqaHbpGCaa WaaeWaaeaacaWGvbWaaSbaaSqaaiaadwgaaeqaaOGaeyOeI0IaamyD aaGaayjkaiaawMcaaiabgUcaRmaalaaabaGaeyOaIyRaamyvamaaBa aaleaacaWGLbaabeaaaOqaaiabgkGi2kaadshaaaGaey4kaSIaamyv amaaBaaaleaacaWGLbaabeaakmaalaaabaGaeyOaIyRaamyvamaaBa aaleaacaWGLbaabeaaaOqaaiabgkGi2kaadIhaaaGaaiilaaaa@8FCB@    (5)

v t + u v x + v v y + w v z =ν(1n) 2 v z 2 + 2 vnΓ( v z ) 2 v z 2 +σ B 0 2 ( t ) ρ ( V e v )+ V e t + U e V e x , MathType@MTEF@5@5@+= feaagKart1ev2aaatCvAUfeBSjuyZL2yd9gzLbvyNv2CaerbuLwBLn hiov2DGi1BTfMBaeXatLxBI9gBaerbd9wDYLwzYbItLDharqqtubsr 4rNCHbGeaGqkY=MjYJH8sqFD0xXdHaVhbbf9v8qqaqFr0xc9pk0xbb a9q8WqFfea0=yr0RYxir=Jbba9q8aq0=yq=He9q8qqQ8frFve9Fve9 Ff0dmeaabaqaciGacaGaaeqabaWaaeaaeaaakeaadaWcaaqaaiabgk Gi2kqadAhagaafaaqaaiabgkGi2kaadshaaaGaey4kaSIabmyDayaa uaWaaSaaaeaacqGHciITceWG2bGbaqbaaeaacqGHciITcaWG4baaai abgUcaRiqadAhagaafamaalaaabaGaeyOaIyRabmODayaauaaabaGa eyOaIyRaamyEaaaacqGHRaWkceWG3bGbaqbadaWcaaqaaiabgkGi2k qadAhagaafaaqaaiabgkGi2kaadQhaaaGaeyypa0JaeqyVd4Maaiik aiaaigdacqGHsislcaWGUbGaaiykamaalaaabaGaeyOaIy7aaWbaaS qabeaacaaIYaaaaOGabmODayaauaaabaGaeyOaIyRaamOEamaaCaaa leqabaGaaGOmaaaaaaGccqGHRaWkdaGcaaqaaiaaikdaaSqabaGcca WG2bGaamOBaiabfo5ahnaabmaabaWaaSaaaeaacqGHciITceWG2bGb aqbaaeaacqGHciITcaWG6baaaaGaayjkaiaawMcaamaalaaabaGaey OaIy7aaWbaaSqabeaacaaIYaaaaOGabmODayaauaaabaGaeyOaIyRa amOEamaaCaaaleqabaGaaGOmaaaaaaGccqGHRaWkcqaHdpWCdaWcaa qaaiaadkeadaWgaaWcbaGaaGimaaqabaGcdaahaaWcbeqaaiaaikda aaGcdaqadaqaaiaadshaaiaawIcacaGLPaaaaeaacqaHbpGCaaWaae WaaeaacaWGwbWaaSbaaSqaaiaadwgaaeqaaOGaeyOeI0IaamODaaGa ayjkaiaawMcaaiabgUcaRmaalaaabaGaeyOaIyRaamOvamaaBaaale aacaWGLbaabeaaaOqaaiabgkGi2kaadshaaaGaey4kaSIaamyvamaa BaaaleaacaWGLbaabeaakmaalaaabaGaeyOaIyRaamOvamaaBaaale aacaWGLbaabeaaaOqaaiabgkGi2kaadIhaaaGaaiilaaaa@9078@   (6)

T t + u T x + v T y + w T z = α m 2 T z 2 + D e k T C s C p 2 C z 2 +τ( D B C z T z + D T T ( T z ) 2 ) 1 ( ρc ) f q r z + μ ( ρc ) f [ ( u z ) 2 + ( v z ) 2 ], MathType@MTEF@5@5@+= feaagKart1ev2aaatCvAUfeBSjuyZL2yd9gzLbvyNv2CaerbuLwBLn hiov2DGi1BTfMBaeXatLxBI9gBaerbd9wDYLwzYbItLDharqqtubsr 4rNCHbGeaGqkY=MjYJH8sqFD0xXdHaVhbbf9v8qqaqFr0xc9pk0xbb a9q8WqFfea0=yr0RYxir=Jbba9q8aq0=yq=He9q8qqQ8frFve9Fve9 Ff0dmeaabaqaciGacaGaaeqabaWaaeaaeaaakqaabeqaamaalaaaba GaeyOaIyRaamivaaqaaiabgkGi2kaadshaaaGaey4kaSIabmyDayaa uaWaaSaaaeaacqGHciITceWGubGbaqbaaeaacqGHciITcaWG4baaai abgUcaRiqadAhagaafamaalaaabaGaeyOaIyRabmivayaauaaabaGa eyOaIyRaamyEaaaacqGHRaWkceWG3bGbaqbadaWcaaqaaiabgkGi2k qadsfagaafaaqaaiabgkGi2kaadQhaaaGaeyypa0JaeqySde2aaSba aSqaaiaad2gaaeqaaOWaaSaaaeaacqGHciITdaahaaWcbeqaaiaaik daaaGcceWGubGbaqbaaeaacqGHciITcaWG6bWaaWbaaSqabeaacaaI YaaaaaaakiabgUcaRmaalaaabaGaamiramaaBaaaleaacaWGLbaabe aakiaadUgadaWgaaWcbaGaamivaaqabaaakeaacaWGdbWaaSbaaSqa aiaadohaaeqaaOGaam4qamaaBaaaleaacaWGWbaabeaaaaGcdaWcaa qaaiabgkGi2oaaCaaaleqabaGaaGOmaaaakiqadoeagaafaaqaaiab gkGi2kaadQhadaahaaWcbeqaaiaaikdaaaaaaOGaey4kaSIaeqiXdq 3aaeWaaeaacaWGebWaaSbaaSqaaiaadkeaaeqaaOWaaSaaaeaacqGH ciITceWGdbGbaqbaaeaacqGHciITcaWG6baaamaalaaabaGaeyOaIy RabmivayaauaaabaGaeyOaIyRaamOEaaaacqGHRaWkdaWcaaqaaiaa dseadaWgaaWcbaGaamivaaqabaaakeaaceWGubGbaqbadaWgaaWcba GaeyOhIukabeaaaaGcdaqadaqaamaalaaabaGaeyOaIyRabmivayaa uaaabaGaeyOaIyRaamOEaaaaaiaawIcacaGLPaaadaahaaWcbeqaai aaikdaaaaakiaawIcacaGLPaaacqGHsisldaWcaaqaaiaaigdaaeaa daqadaqaaiabeg8aYjaadogaaiaawIcacaGLPaaadaWgaaWcbaGaam OzaaqabaaaaOWaaSaaaeaacqGHciITcaWGXbWaaSbaaSqaaiaadkha aeqaaaGcbaGaeyOaIyRaamOEaaaacqGHRaWkaeaadaWcaaqaaiabeY 7aTbqaamaabmaabaGaeqyWdiNaam4yaaGaayjkaiaawMcaamaaBaaa leaacaWGMbaabeaaaaGcdaWadaqaamaabmaabaWaaSaaaeaacqGHci ITcaWG1baabaGaeyOaIyRaamOEaaaaaiaawIcacaGLPaaadaahaaWc beqaaiaaikdaaaGccqGHRaWkdaqadaqaamaalaaabaGaeyOaIyRaam ODaaqaaiabgkGi2kaadQhaaaaacaGLOaGaayzkaaWaaWbaaSqabeaa caaIYaaaaaGccaGLBbGaayzxaaGaaiilaaaaaa@AE0F@    (7)

C t + u C x + v C y + w C z = D B 2 C z 2 + D e k T T m 2 T z 2 + D T T ( 2 T z 2 ) κ 0 ( C w C ), MathType@MTEF@5@5@+= feaagKart1ev2aaatCvAUfeBSjuyZL2yd9gzLbvyNv2CaerbuLwBLn hiov2DGi1BTfMBaeXatLxBI9gBaerbd9wDYLwzYbItLDharqqtubsr 4rNCHbGeaGqkY=MjYJH8sqFD0xXdHaVhbbf9v8qqaqFr0xc9pk0xbb a9q8WqFfea0=yr0RYxir=Jbba9q8aq0=yq=He9q8qqQ8frFve9Fve9 Ff0dmeaabaqaciGacaGaaeqabaWaaeaaeaaakeaadaWcaaqaaiabgk Gi2kqadoeagaafaaqaaiabgkGi2kaadshaaaGaey4kaSIabmyDayaa uaWaaSaaaeaacqGHciITceWGdbGbaqbaaeaacqGHciITcaWG4baaai abgUcaRiqadAhagaafamaalaaabaGaeyOaIyRabm4qayaauaaabaGa eyOaIyRaamyEaaaacqGHRaWkceWG3bGbaqbadaWcaaqaaiabgkGi2k qadoeagaafaaqaaiabgkGi2kaadQhaaaGaeyypa0JaamiramaaBaaa leaacaWGcbaabeaakmaalaaabaGaeyOaIy7aaWbaaSqabeaacaaIYa aaaOGabm4qayaauaaabaGaeyOaIyRaamOEamaaCaaaleqabaGaaGOm aaaaaaGccqGHRaWkdaWcaaqaaiaadseadaWgaaWcbaGaamyzaaqaba GccaWGRbWaaSbaaSqaaiaadsfaaeqaaaGcbaGaamivamaaBaaaleaa caWGTbaabeaaaaGcdaWcaaqaaiabgkGi2oaaCaaaleqabaGaaGOmaa aakiqadsfagaafaaqaaiabgkGi2kaadQhadaahaaWcbeqaaiaaikda aaaaaOGaey4kaSYaaSaaaeaacaWGebWaaSbaaSqaaiaadsfaaeqaaa GcbaGaamivamaaBaaaleaacqGHEisPaeqaaaaakmaabmaabaWaaSaa aeaacqGHciITdaahaaWcbeqaaiaaikdaaaGcceWGubGbaqbaaeaacq GHciITcaWG6bWaaWbaaSqabeaacaaIYaaaaaaaaOGaayjkaiaawMca aiabgkHiTiabeQ7aRnaaBaaaleaacaaIWaaabeaakmaabmaabaGaam 4qamaaBaaaleaacaWG3baabeaakiabgkHiTiaadoeadaWgaaWcbaGa eyOhIukabeaaaOGaayjkaiaawMcaaiaacYcaaaa@8040@    (8)

u= u w (x),v= v w ,w= w 0 , T w = T , C w = C  at z=0 u0,v0,T T ,C C  at z MathType@MTEF@5@5@+= feaagKart1ev2aaatCvAUfeBSjuyZL2yd9gzLbvyNv2CaerbuLwBLn hiov2DGi1BTfMBaeXatLxBI9gBaerbd9wDYLwzYbItLDharqqtubsr 4rNCHbGeaGqkY=Mj0xXdbba91rFfpec8Eeeu0xXdbba9frFj0=OqFf ea0dXdd9vqaq=JfrVkFHe9pgea0dXdar=Jb9hs0dXdbPYxe9vr0=vr 0=vqpWqaaeaabiGaciaacaqabeaadaqaaqaaaOabaeqabaGaamyDai abg2da9iaadwhadaWgaaWcbaGaam4DaaqabaGccaGGOaGaamiEaiaa cMcacaGGSaGaamODaiabg2da9iaadAhadaWgaaWcbaGaam4Daaqaba GccaGGSaGaam4Daiabg2da9iaadEhadaWgaaWcbaGaaGimaaqabaGc caGGSaGaamivamaaBaaaleaacaWG3baabeaakiabg2da9iaadsfada WgaaWcbaGaeyOhIukabeaakiaacYcacaWGdbWaaSbaaSqaaiaadEha aeqaaOGaeyypa0Jaam4qamaaBaaaleaacqGHEisPaeqaaOGaaeiiai aabggacaqG0bGaaeiiaiaabQhacaqG9aGaaeimaaqaaiaabwhacqGH sgIRcaqGWaGaaeilaiaabAhacqGHsgIRcaqGWaGaaeilaiaabsfacq GHsgIRcaWGubWaaSbaaSqaaiabg6HiLcqabaGccaGGSaGaam4qaiab gkziUkaadoeadaWgaaWcbaGaeyOhIukabeaakiaabccacaqGHbGaae iDaiaabccacaqG6bGaeyOKH4QaeyOhIukaaaa@7427@    (9)

Figure 1 Model of the flow.

Considering the transformation

u= ax 1χt f'( η ),v= ay v(1χt) g'( η ),w= av 1χt [ f(η)+g(η) ] η= a v(1χt) z,θ( η )= T T T w T ,ϕ( η )= C C C w C ,h(t)= d 1χt . MathType@MTEF@5@5@+= feaagKart1ev2aaatCvAUfeBSjuyZL2yd9gzLbvyNv2CaerbuLwBLn hiov2DGi1BTfMBaeXatLxBI9gBaerbd9wDYLwzYbItLDharqqtubsr 4rNCHbGeaGqkY=Mj0xXdbba91rFfpec8Eeeu0xXdbba9frFj0=OqFf ea0dXdd9vqaq=JfrVkFHe9pgea0dXdar=Jb9hs0dXdbPYxe9vr0=vr 0=vqpWqaaeaabiGaciaacaqabeaadaqaaqaaaOabaeqabaGdcaWG1b Gaeyypa0ZaaSaaaeaacaWGHbGaamiEaaqaaiaaigdacqGHsislcqaH hpWycaWG0baaaiaadAgacaGGNaWaaeWaaeaacqaH3oaAaiaawIcaca GLPaaajqaycaGGSaGaamODaiabg2da9OWaaSaaaeaacaWGHbGaamyE aaqaaiaadAhacaGGOaGaaGymaiabgkHiTiabeE8aJjaadshacaGGPa aaaiaadEgacaGGNaGddaqadaqaaiabeE7aObGaayjkaiaawMcaaiaa cYcacaaMc8Uaam4Daiabg2da9iabgkHiTmaakaaabaWaaSaaaeaaca WGHbGaamODaaqaaiaaigdacqGHsislcqaHhpWycaWG0baaaaqabaWa amWaaeaacaWGMbGaaiikaiabeE7aOjaacMcacqGHRaWkcaWGNbGaai ikaiabeE7aOjaacMcaaiaawUfacaGLDbaaaOqaa4Gaeq4TdGMaeyyp a0ZaaOaaaeaadaWcaaqaaiaadggaaeaacaWG2bGaaiikaiaaigdacq GHsislcqaHhpWycaWG0bGaaiykaaaaaeqaaiaadQhacaGGSaqceaMa eqiUdeNddaqadaqaaiabeE7aObGaayjkaiaawMcaaiabg2da9maala aabaGaamivaiabgkHiTiaadsfakmaaBaaaleaacqGHEisPaeqaaaGd baGaamivaOWaaSbaaSqaaiaadEhaaeqaaOGaeyOeI0IaamivamaaBa aaleaacqGHEisPaeqaaaaaoiaacYcacaaMb8UaaGzaVlaaygW7caaM b8UaaGzaVlaaygW7caaMc8UaaGPaVlaaykW7cqaHvpGzdaqadaqaai abeE7aObGaayjkaiaawMcaaiabg2da9maalaaabaGaam4qaiabgkHi TiaadoeakmaaBaaaleaacqGHEisPaeqaaaGdbaGaam4qaOWaaSbaaS qaaiaadEhaaeqaaOGaeyOeI0Iaam4qamaaBaaaleaacqGHEisPaeqa aaaaoiaacYcacaWGObGaaiikaiaadshacaGGPaGaeyypa0ZaaSaaae aacaWGKbaabaWaaOaaaeaacaaIXaGaeyOeI0Iaeq4XdmMaamiDaaqa baaaaiaac6caaaaa@B0D2@   (10)

(1n)f'''+(f+g)f'' f '2 +nWef'''f''ε( η 2 f''+f' )+ελ+ ε 2 +M(εf)=0 MathType@MTEF@5@5@+= feaagKart1ev2aaatCvAUfeBSjuyZL2yd9gzLbvyNv2CaerbuLwBLn hiov2DGi1BTfMBaeXatLxBI9gBaerbd9wDYLwzYbItLDharqqtubsr 4rNCHbGeaGqkY=Mj0xXdbba91rFfpec8Eeeu0xXdbba9frFj0=OqFf ea0dXdd9vqaq=JfrVkFHe9pgea0dXdar=Jb9hs0dXdbPYxe9vr0=vr 0=vqpWqaaeaabiGaciaacaqabeaadaqaaqaaaOqaaiaacIcacaaIXa GaeyOeI0IaamOBaiaacMcacaWGMbGaai4jaiaacEcacaGGNaGaey4k aSIaaiikaiaadAgacqGHRaWkcaWGNbGaaiykaiaadAgacaGGNaGaai 4jaiabgkHiTiaadAgadaahaaWcbeqaaiaacEcacaaIYaaaaOGaey4k aSIaamOBaiaadEfacaWGLbGaamOzaiaacEcacaGGNaGaai4jaiaadA gacaGGNaGaai4jaiabgkHiTiabew7aLnaabmaabaWaaSaaaeaacqaH 3oaAaeaacaaIYaaaaiaadAgacaGGNaGaai4jaiabgUcaRiaadAgaca GGNaaacaGLOaGaayzkaaGaey4kaSIaeqyTduMaeq4UdWMaey4kaSIa eqyTdu2aaWbaaSqabeaacaaIYaaaaOGaey4kaSIaamytaiaacIcacq aH1oqzcqGHsislcaWGMbGaaiykaiabg2da9iaaicdaaaa@6CB4@   (11)

(1n)g'''+(f+g)g'' g '2 +nWeg'''g''ε( η 2 g''+g' )+ελ+ λ 2 +M(λg)=0 MathType@MTEF@5@5@+= feaagKart1ev2aaatCvAUfeBSjuyZL2yd9gzLbvyNv2CaerbuLwBLn hiov2DGi1BTfMBaeXatLxBI9gBaerbd9wDYLwzYbItLDharqqtubsr 4rNCHbGeaGqkY=Mj0xXdbba91rFfpec8Eeeu0xXdbba9frFj0=OqFf ea0dXdd9vqaq=JfrVkFHe9pgea0dXdar=Jb9hs0dXdbPYxe9vr0=vr 0=vqpWqaaeaabiGaciaacaqabeaadaqaaqaaaOqaaiaacIcacaaIXa GaeyOeI0IaamOBaiaacMcacaWGNbGaai4jaiaacEcacaGGNaGaey4k aSIaaiikaiaadAgacqGHRaWkcaWGNbGaaiykaiaadEgacaGGNaGaai 4jaiabgkHiTiaadEgadaahaaWcbeqaaiaacEcacaaIYaaaaOGaey4k aSIaamOBaiaadEfacaWGLbGaam4zaiaacEcacaGGNaGaai4jaiaadE gacaGGNaGaai4jaiabgkHiTiabew7aLnaabmaabaWaaSaaaeaacqaH 3oaAaeaacaaIYaaaaiaadEgacaGGNaGaai4jaiabgUcaRiaadEgaca GGNaaacaGLOaGaayzkaaGaey4kaSIaeqyTduMaeq4UdWMaey4kaSIa eq4UdW2aaWbaaSqabeaacaaIYaaaaOGaey4kaSIaamytaiaacIcacq aH7oaBcqGHsislcaWGNbGaaiykaiabg2da9iaaicdaaaa@6CD6@   (12)

θ''+ R d ( 1+( θ w 1)θ ) 2 [3( θ w 1) θ '2 +( 1+( θ w 1)θ )θ'']+Pr(fθ'ε η 2 θ')+ +PrEc( f ' 2 +g ' 2 )+Pr D f ϕ''+PrNbθ'ϕ'+PrNtθ ' 2 =0 MathType@MTEF@5@5@+= feaagKart1ev2aaatCvAUfeBSjuyZL2yd9gzLbvyNv2CaerbuLwBLn hiov2DGi1BTfMBaeXatLxBI9gBaerbd9wDYLwzYbItLDharqqtubsr 4rNCHbGeaGqkY=Mj0xXdbba91rFfpec8Eeeu0xXdbba9frFj0=OqFf ea0dXdd9vqaq=JfrVkFHe9pgea0dXdar=Jb9hs0dXdbPYxe9vr0=vr 0=vqpWqaaeaabiGaciaacaqabeaadaqaaqaaaOabaeqabaGaeqiUde Naai4jaiaacEcacqGHRaWkcaWGsbWaaSbaaSqaaiaadsgaaeqaaOWa aeWaaeaacaaIXaGaey4kaSIaaiikaiabeI7aXnaaBaaaleaacaWG3b aabeaakiabgkHiTiaaigdacaGGPaGaeqiUdehacaGLOaGaayzkaaWa aWbaaSqabeaacaaIYaaaaOGaai4waiaaiodacaGGOaGaeqiUde3aaS baaSqaaiaadEhaaeqaaOGaeyOeI0IaaGymaiaacMcacqaH4oqCdaah aaWcbeqaaiaacEcacaaIYaaaaOGaey4kaSYaaeWaaeaacaaIXaGaey 4kaSIaaiikaiabeI7aXnaaBaaaleaacaWG3baabeaakiabgkHiTiaa igdacaGGPaGaeqiUdehacaGLOaGaayzkaaGaeqiUdeNaai4jaiaacE cacaGGDbGaey4kaSIaciiuaiaackhacaGGOaGaamOzaiabeI7aXjaa cEcacqGHsislcqaH1oqzdaWcaaqaaiabeE7aObqaaiaaikdaaaGaeq iUdeNaai4jaiaacMcacqGHRaWkaeaacqGHRaWkciGGqbGaaiOCaiaa dweacaWGJbWaaeWaaeaacaWGMbGaai4jamaaCaaaleqabaGaaGOmaa aakiabgUcaRiaadEgacaGGNaWaaWbaaSqabeaacaaIYaaaaaGccaGL OaGaayzkaaGaey4kaSIaciiuaiaackhacaWGebWaaSbaaSqaaiaadA gaaeqaaOGaeqy1dyMaai4jaiaacEcacqGHRaWkciGGqbGaaiOCaiaa d6eacaWGIbGaeqiUdeNaai4jaiabew9aMjaacEcacqGHRaWkciGGqb GaaiOCaiaad6eacaWG0bGaeqiUdeNaai4jamaaCaaaleqabaGaaGOm aaaakiabg2da9iaaicdaaaaa@991E@   (13)

ϕ''+Sc S r θ''+Sc( f η 2 )ε+θ'' Nt Nb Scκϕ=0 MathType@MTEF@5@5@+= feaagKart1ev2aaatCvAUfeBSjuyZL2yd9gzLbvyNv2CaerbuLwBLn hiov2DGi1BTfMBaeXatLxBI9gBaerbd9wDYLwzYbItLDharqqtubsr 4rNCHbGeaGqkY=Mj0xXdbba91rFfpec8Eeeu0xXdbba9frFj0=OqFf ea0dXdd9vqaq=JfrVkFHe9pgea0dXdar=Jb9hs0dXdbPYxe9vr0=vr 0=vqpWqaaeaabiGaciaacaqabeaadaqaaqaaaOqaaiabew9aMjaacE cacaGGNaGaey4kaSIaam4uaiaadogacaWGtbWaaSbaaSqaaiaadkha aeqaaOGaeqiUdeNaai4jaiaacEcacqGHRaWkcaWGtbGaam4yamaabm aabaGaamOzaiabgkHiTmaalaaabaGaeq4TdGgabaGaaGOmaaaaaiaa wIcacaGLPaaacqaH1oqzcqGHRaWkcqaH4oqCcaGGNaGaai4jamaala aabaGaamOtaiaadshaaeaacaWGobGaamOyaaaacqGHsislcaWGtbGa am4yaiabeQ7aRjabew9aMjabg2da9iaaicdaaaa@5B6C@   (14)

With boundary conditions

f( 0 )=0,f'( 0 )=1,g'( 0 )=α,g( 0 ), θ'( 0 )=γ( 1θ( 0 ) ),ϕ( 0 )=1, at y=0 f'( )λ,g'( )0,θ( )0as  y MathType@MTEF@5@5@+= feaagKart1ev2aaatCvAUfeBSjuyZL2yd9gzLbvyNv2CaerbuLwBLn hiov2DGi1BTfMBaeXatLxBI9gBaerbd9wDYLwzYbItLDharqqtubsr 4rNCHbGeaGqkY=Mj0xXdbba91rFfpec8Eeeu0xXdbba9frFj0=OqFf ea0dXdd9vqaq=JfrVkFHe9pgea0dXdar=Jb9hs0dXdbPYxe9vr0=vr 0=vqpWqaaeaabiGaciaacaqabeaadaqaaqaaaOabaeqabaGaamOzam aabmaabaGaaGimaaGaayjkaiaawMcaaiabg2da9iaaicdacaGGSaGa amOzaiaacEcadaqadaqaaiaaicdaaiaawIcacaGLPaaacqGH9aqpca aIXaGaaiilaiaadEgacaGGNaWaaeWaaeaacaaIWaaacaGLOaGaayzk aaGaeyypa0JaeqySdeMaaiilaiaadEgadaqadaqaaiaaicdaaiaawI cacaGLPaaacaGGSaaabaGaeqiUdeNaai4jamaabmaabaGaaGimaaGa ayjkaiaawMcaaiabg2da9iabgkHiTiabeo7aNnaabmaabaGaaGymai abgkHiTiabeI7aXnaabmaabaGaaGimaaGaayjkaiaawMcaaaGaayjk aiaawMcaaiaacYcacqaHvpGzdaqadaqaaiaaicdaaiaawIcacaGLPa aacqGH9aqpcaaIXaGaaiilaabaaaaaaaaapeGaaiiOa8aacaWGHbGa amiDa8qacaGGGcWdaiaadMhacqGH9aqpcaaIWaaabaGaamOzaiaacE cadaqadaqaaiabg6HiLcGaayjkaiaawMcaaiabgkziUkabeU7aSjaa cYcacaWGNbGaai4jamaabmaabaGaeyOhIukacaGLOaGaayzkaaGaey OKH4QaaGimaiaacYcacqaH4oqCdaqadaqaaiabg6HiLcGaayjkaiaa wMcaaiabgkziUkaaicdacaWGHbGaam4Ca8qacaGGGcGaaiiOaiaacM hacqGHsgIRcqGHEisPaaaa@8C84@   (15)

The physical variables in the above expressions have been declared as follows

We= 2a ΓU υ MathType@MTEF@5@5@+= feaagKart1ev2aaatCvAUfeBSjuyZL2yd9gzLbvyNv2CaerbuLwBLn hiov2DGi1BTfMBaeXatLxBI9gBaerbd9wDYLwzYbItLDharqqtubsr 4rNCHbGeaGqkY=Mj0xXdbba91rFfpec8Eeeu0xXdbba9frFj0=OqFf ea0dXdd9vqaq=JfrVkFHe9pgea0dXdar=Jb9hs0dXdbPYxe9vr0=vr 0=vqpWqaaeaabiGaciaacaqabeaadaqaaqaaaOqaaiaadEfacaWGLb Gaeyypa0ZaaSaaaeaadaGcaaqaaiaaikdacaWGHbaaleqaaOGaeu4K dCKaamyvaaqaamaakaaabaGaeqyXduhaleqaaaaaaaa@3FD5@  (Weissenberg number)

ε= a c MathType@MTEF@5@5@+= feaagKart1ev2aaatCvAUfeBSjuyZL2yd9gzLbvyNv2CaerbuLwBLn hiov2DGi1BTfMBaeXatLxBI9gBaerbd9wDYLwzYbItLDharqqtubsr 4rNCHbGeaGqkY=Mj0xXdbba91rFfpec8Eeeu0xXdbba9frFj0=OqFf ea0dXdd9vqaq=JfrVkFHe9pgea0dXdar=Jb9hs0dXdbPYxe9vr0=vr 0=vqpWqaaeaabiGaciaacaqabeaadaqaaqaaaOqaaiabew7aLjabg2 da9maalaaabaGaamyyaaqaaiaadogaaaaaaa@3B99@  (Unsteadiness Parameters)

D f = D e k T ( C w C ) C s C p ( T f T )υ MathType@MTEF@5@5@+= feaagKart1ev2aaatCvAUfeBSjuyZL2yd9gzLbvyNv2CaerbuLwBLn hiov2DGi1BTfMBaeXatLxBI9gBaerbd9wDYLwzYbItLDharqqtubsr 4rNCHbGeaGqkY=Mj0xXdbba91rFfpec8Eeeu0xXdbba9frFj0=OqFf ea0dXdd9vqaq=JfrVkFHe9pgea0dXdar=Jb9hs0dXdbPYxe9vr0=vr 0=vqpWqaaeaabiGaciaacaqabeaadaqaaqaaaOqaaiaadseadaWgaa WcbaGaamOzaaqabaGccqGH9aqpdaWcaaqaaiaadseadaWgaaWcbaGa amyzaaqabaGccaWGRbWaaSbaaSqaaiaadsfaaeqaaOGaaiikaiaado eadaWgaaWcbaGaam4DaaqabaGccqGHsislcaWGdbWaaSbaaSqaaiab g6HiLcqabaGccaGGPaaabaGaam4qamaaBaaaleaacaWGZbaabeaaki aadoeadaWgaaWcbaGaamiCaaqabaGccaGGOaGaamivamaaBaaaleaa caWGMbaabeaakiabgkHiTiaadsfadaWgaaWcbaGaeyOhIukabeaaki aacMcacqaHfpqDaaaaaa@5115@  (Dufour)

Sr= D e k T ( T f T ) T m ν( C w C ) MathType@MTEF@5@5@+= feaagKart1ev2aaatCvAUfeBSjuyZL2yd9gzLbvyNv2CaerbuLwBLn hiov2DGi1BTfMBaeXatLxBI9gBaerbd9wDYLwzYbItLDharqqtubsr 4rNCHbGeaGqkY=Mj0xXdbba91rFfpec8Eeeu0xXdbba9frFj0=OqFf ea0dXdd9vqaq=JfrVkFHe9pgea0dXdar=Jb9hs0dXdbPYxe9vr0=vr 0=vqpWqaaeaabiGaciaacaqabeaadaqaaqaaaOqaaiaadofacaWGYb Gaeyypa0ZaaSaaaeaacaWGebWaaSbaaSqaaiaadwgaaeqaaOGaam4A amaaBaaaleaacaWGubaabeaakiaacIcacaWGubWaaSbaaSqaaiaadA gaaeqaaOGaeyOeI0IaamivamaaBaaaleaacqGHEisPaeqaaOGaaiyk aaqaaiaadsfadaWgaaWcbaGaamyBaaqabaGccqaH9oGBcaGGOaGaam 4qamaaBaaaleaacaWG3baabeaakiabgkHiTiaadoeadaWgaaWcbaGa eyOhIukabeaakiaacMcaaaaaaa@4F03@  (Soret)

Ec= U w 2 C p ( T w T ) MathType@MTEF@5@5@+= feaagKart1ev2aaatCvAUfeBSjuyZL2yd9gzLbvyNv2CaerbuLwBLn hiov2DGi1BTfMBaeXatLxBI9gBaerbd9wDYLwzYbItLDharqqtubsr 4rNCHbGeaGqkY=Mj0xXdbba91rFfpec8Eeeu0xXdbba9frFj0=OqFf ea0dXdd9vqaq=JfrVkFHe9pgea0dXdar=Jb9hs0dXdbPYxe9vr0=vr 0=vqpWqaaeaabiGaciaacaqabeaadaqaaqaaaOqaaiaadweacaWGJb Gaeyypa0ZaaSaaaeaacaWGvbWaa0baaSqaaiaadEhaaeaacaaIYaaa aaGcbaGaam4qamaaBaaaleaacaWGWbaabeaakiaacIcacaWGubWaaS baaSqaaiaadEhaaeqaaOGaeyOeI0IaamivamaaBaaaleaacqGHEisP aeqaaOGaaiykaaaaaaa@4563@  (Eckert number)

R d = 4 σ * T 3 k * k f MathType@MTEF@5@5@+= feaagKart1ev2aaatCvAUfeBSjuyZL2yd9gzLbvyNv2CaerbuLwBLn hiov2DGi1BTfMBaeXatLxBI9gBaerbd9wDYLwzYbItLDharqqtubsr 4rNCHbGeaGqkY=Mj0xXdbba91rFfpec8Eeeu0xXdbba9frFj0=OqFf ea0dXdd9vqaq=JfrVkFHe9pgea0dXdar=Jb9hs0dXdbPYxe9vr0=vr 0=vqpWqaaeaabiGaciaacaqabeaadaqaaqaaaOqaaiaadkfadaWgaa WcbaGaamizaaqabaGccqGH9aqpdaWcaaqaaiaaisdacqaHdpWCdaah aaWcbeqaaiaacQcaaaGccaWGubWaa0baaSqaaiabg6HiLcqaaiaaio daaaaakeaacaWGRbWaaWbaaSqabeaacaGGQaaaaOGaam4AamaaBaaa leaacaWGMbaabeaaaaaaaa@449A@  (Radiation variable)

N b = τ D B ν ( C w C ) MathType@MTEF@5@5@+= feaagKart1ev2aaatCvAUfeBSjuyZL2yd9gzLbvyNv2CaerbuLwBLn hiov2DGi1BTfMBaeXatLxBI9gBaerbd9wDYLwzYbItLDharqqtubsr 4rNCHbGeaGqkY=Mj0xXdbba91rFfpec8Eeeu0xXdbba9frFj0=OqFf ea0dXdd9vqaq=JfrVkFHe9pgea0dXdar=Jb9hs0dXdbPYxe9vr0=vr 0=vqpWqaaeaabiGaciaacaqabeaadaqaaqaaaOqaaiaad6eadaWgaa WcbaGaamOyaaqabaGccqGH9aqpdaWcaaqaaiabes8a0jaadseadaWg aaWcbaGaamOqaaqabaaakeaacqaH9oGBaaWaaeWaaeaacaWGdbWaaS baaSqaaiaadEhaaeqaaOGaeyOeI0Iaam4qamaaBaaaleaacqGHEisP aeqaaaGccaGLOaGaayzkaaaaaa@4636@  (Brownian motion)

N t = τ D B ν T ( T w T ) MathType@MTEF@5@5@+= feaagKart1ev2aaatCvAUfeBSjuyZL2yd9gzLbvyNv2CaerbuLwBLn hiov2DGi1BTfMBaeXatLxBI9gBaerbd9wDYLwzYbItLDharqqtubsr 4rNCHbGeaGqkY=Mj0xXdbba91rFfpec8Eeeu0xXdbba9frFj0=OqFf ea0dXdd9vqaq=JfrVkFHe9pgea0dXdar=Jb9hs0dXdbPYxe9vr0=vr 0=vqpWqaaeaabiGaciaacaqabeaadaqaaqaaaOqaaiaad6eadaWgaa WcbaGaamiDaaqabaGccqGH9aqpdaWcaaqaaiabes8a0jaadseadaWg aaWcbaGaamOqaaqabaaakeaacqaH9oGBcaWGubWaaSbaaSqaaiabg6 HiLcqabaaaaOWaaeWaaeaacaWGubWaaSbaaSqaaiaadEhaaeqaaOGa eyOeI0IaamivamaaBaaaleaacqGHEisPaeqaaaGccaGLOaGaayzkaa aaaa@48EA@  (Thermophoresis)

M= σ B 2 ρa MathType@MTEF@5@5@+= feaagKart1ev2aaatCvAUfeBSjuyZL2yd9gzLbvyNv2CaerbuLwBLn hiov2DGi1BTfMBaeXatLxBI9gBaerbd9wDYLwzYbItLDharqqtubsr 4rNCHbGeaGqkY=Mj0xXdbba91rFfpec8Eeeu0xXdbba9frFj0=OqFf ea0dXdd9vqaq=JfrVkFHe9pgea0dXdar=Jb9hs0dXdbPYxe9vr0=vr 0=vqpWqaaeaabiGaciaacaqabeaadaqaaqaaaOqaaiaad2eacqGH9a qpdaWcaaqaaiabeo8aZjaadkeadaqhaaWcbaGaeSigI8gabaGaaGOm aaaaaOqaaiabeg8aYjaadggaaaaaaa@4053@  (Magnetic Parameter)

Pr= ν α f MathType@MTEF@5@5@+= feaagKart1ev2aaatCvAUfeBSjuyZL2yd9gzLbvyNv2CaerbuLwBLn hiov2DGi1BTfMBaeXatLxBI9gBaerbd9wDYLwzYbItLDharqqtubsr 4rNCHbGeaGqkY=Mj0xXdbba91rFfpec8Eeeu0xXdbba9frFj0=OqFf ea0dXdd9vqaq=JfrVkFHe9pgea0dXdar=Jb9hs0dXdbPYxe9vr0=vr 0=vqpWqaaeaabiGaciaacaqabeaadaqaaqaaaOqaaiGaccfacaGGYb Gaeyypa0ZaaSaaaeaacqaH9oGBaeaacqaHXoqydaWgaaWcbaGaamOz aaqabaaaaaaa@3E5E@  (Prandtl number)

Sc= ν D B MathType@MTEF@5@5@+= feaagKart1ev2aaatCvAUfeBSjuyZL2yd9gzLbvyNv2CaerbuLwBLn hiov2DGi1BTfMBaeXatLxBI9gBaerbd9wDYLwzYbItLDharqqtubsr 4rNCHbGeaGqkY=Mj0xXdbba91rFfpec8Eeeu0xXdbba9frFj0=OqFf ea0dXdd9vqaq=JfrVkFHe9pgea0dXdar=Jb9hs0dXdbPYxe9vr0=vr 0=vqpWqaaeaabiGaciaacaqabeaadaqaaqaaaOqaaiaadofacaWGJb Gaeyypa0ZaaSaaaeaacqaH9oGBaeaacaWGebWaaSbaaSqaaiaadkea aeqaaaaaaaa@3D58@  (Scimdth number) 

The physical quantities

C fx = τ wx ρ u e 2 ,     C fy = τ wy ρ u e 2 ,    N u x = x q w k( T w T ) ,    S h x = x s w D b ( C w C ) , MathType@MTEF@5@5@+= feaagKart1ev2aaatCvAUfeBSjuyZL2yd9gzLbvyNv2CaerbuLwBLn hiov2DGi1BTfMBaeXatLxBI9gBaerbd9wDYLwzYbItLDharqqtubsr 4rNCHbGeaGqkY=Mj0xXdbba91rFfpec8Eeeu0xXdbba9frFj0=OqFf ea0dXdd9vqaq=JfrVkFHe9pgea0dXdar=Jb9hs0dXdbPYxe9vr0=vr 0=vqpWqaaeaabiGaciaacaqabeaadaqaaqaaaOqaaiaadoeadaWgaa WcbaGaamOzaiaadIhaaeqaaOGaeyypa0ZaaSaaaeaacqaHepaDdaWg aaWcbaGaam4DaiaadIhaaeqaaaGcbaGaeqyWdiNaamyDamaaDaaale aacaWGLbaabaGaaGOmaaaaaaGccaGGSaGaaeiiaiaabccacaqGGaGa aeiiaiaadoeadaWgaaWcbaGaamOzaiaadMhaaeqaaOGaeyypa0ZaaS aaaeaacqaHepaDdaWgaaWcbaGaam4DaiaadMhaaeqaaaGcbaGaeqyW diNaamyDamaaDaaaleaacaWGLbaabaGaaGOmaaaaaaGccaGGSaGaae iiaiaabccacaqGGaGaaeiiaiaad6eacaWG1bWaaSbaaSqaaiaadIha aeqaaOGaeyypa0ZaaSaaaeaacaWG4bGaamyCamaaBaaaleaacaWG3b aabeaaaOqaaiaadUgacaGGOaGaamivamaaBaaaleaacaWG3baabeaa kiabgkHiTiaadsfadaWgaaWcbaGaeyOhIukabeaakiaacMcaaaGaai ilaiaabccacaqGGaGaaeiiaiaabccacaWGtbGaamiAamaaBaaaleaa caWG4baabeaakiabg2da9maalaaabaGaamiEaiaadohadaWgaaWcba Gaam4DaaqabaaakeaacaWGebWaaSbaaSqaaiaadkgaaeqaaOGaaiik aiaadoeadaWgaaWcbaGaam4DaaqabaGccqGHsislcaWGdbWaaSbaaS qaaiabg6HiLcqabaGccaGGPaaaaiaacYcaaaa@7948@   (16)

Where τ wx = μ( u z )| z=0 MathType@MTEF@5@5@+= feaagKart1ev2aaatCvAUfeBSjuyZL2yd9gzLbvyNv2CaerbuLwBLn hiov2DGi1BTfMBaeXatLxBI9gBaerbd9wDYLwzYbItLDharqqtubsr 4rNCHbGeaGqkY=Mj0xXdbba91rFfpec8Eeeu0xXdbba9frFj0=OqFf ea0dXdd9vqaq=JfrVkFHe9pgea0dXdar=Jb9hs0dXdbPYxe9vr0=vr 0=vqpWqaaeaabiGaciaacaqabeaadaqaaqaaaOqaaiabes8a0naaBa aaleaacaWG3bGaamiEaaqabaGccqGH9aqpdaabcaqaaiabeY7aTnaa bmaabaWaaSGaaeaacqGHciITcaWG1baabaGaeyOaIyRaamOEaaaaai aawIcacaGLPaaaaiaawIa7amaaBaaaleaacaWG6bGaeyypa0JaaGim aaqabaaaaa@489F@  and τ wy = μ( v z )| z=0 MathType@MTEF@5@5@+= feaagKart1ev2aaatCvAUfeBSjuyZL2yd9gzLbvyNv2CaerbuLwBLn hiov2DGi1BTfMBaeXatLxBI9gBaerbd9wDYLwzYbItLDharqqtubsr 4rNCHbGeaGqkY=Mj0xXdbba91rFfpec8Eeeu0xXdbba9frFj0=OqFf ea0dXdd9vqaq=JfrVkFHe9pgea0dXdar=Jb9hs0dXdbPYxe9vr0=vr 0=vqpWqaaeaabiGaciaacaqabeaadaqaaqaaaOqaaiabes8a0naaBa aaleaacaWG3bGaamyEaaqabaGccqGH9aqpdaabcaqaaiabeY7aTnaa bmaabaWaaSGaaeaacqGHciITcaWG2baabaGaeyOaIyRaamOEaaaaai aawIcacaGLPaaaaiaawIa7amaaBaaaleaacaWG6bGaeyypa0JaaGim aaqabaaaaa@48A1@  are the shear stress along x MathType@MTEF@5@5@+= feaagKart1ev2aaatCvAUfeBSjuyZL2yd9gzLbvyNv2CaerbuLwBLn hiov2DGi1BTfMBaeXatLxBI9gBaerbd9wDYLwzYbItLDharqqtubsr 4rNCHbGeaGqkY=Mj0xXdbba91rFfpec8Eeeu0xXdbba9frFj0=OqFf ea0dXdd9vqaq=JfrVkFHe9pgea0dXdar=Jb9hs0dXdbPYxe9vr0=vr 0=vqpWqaaeaabiGaciaacaqabeaadaqaaqaaaOqaaiaadIhaaaa@380B@  and y MathType@MTEF@5@5@+= feaagKart1ev2aaatCvAUfeBSjuyZL2yd9gzLbvyNv2CaerbuLwBLn hiov2DGi1BTfMBaeXatLxBI9gBaerbd9wDYLwzYbItLDharqqtubsr 4rNCHbGeaGqkY=Mj0xXdbba91rFfpec8Eeeu0xXdbba9frFj0=OqFf ea0dXdd9vqaq=JfrVkFHe9pgea0dXdar=Jb9hs0dXdbPYxe9vr0=vr 0=vqpWqaaeaabiGaciaacaqabeaadaqaaqaaaOqaaiaadMhaaaa@380C@ directions, respectively, q w = k( T z )| z=0 MathType@MTEF@5@5@+= feaagKart1ev2aaatCvAUfeBSjuyZL2yd9gzLbvyNv2CaerbuLwBLn hiov2DGi1BTfMBaeXatLxBI9gBaerbd9wDYLwzYbItLDharqqtubsr 4rNCHbGeaGqkY=Mj0xXdbba91rFfpec8Eeeu0xXdbba9frFj0=OqFf ea0dXdd9vqaq=JfrVkFHe9pgea0dXdar=Jb9hs0dXdbPYxe9vr0=vr 0=vqpWqaaeaabiGaciaacaqabeaadaqaaqaaaOqaaiaadghadaWgaa WcbaGaam4DaaqabaGccqGH9aqpdaabcaqaaiabgkHiTiaadUgadaqa daqaamaaliaabaGaeyOaIyRaamivaaqaaiabgkGi2kaadQhaaaaaca GLOaGaayzkaaaacaGLiWoadaWgaaWcbaGaamOEaiabg2da9iaaicda aeqaaaaa@46D9@  is heat flux, and s w = D b ( C z )| z=0 MathType@MTEF@5@5@+= feaagKart1ev2aaatCvAUfeBSjuyZL2yd9gzLbvyNv2CaerbuLwBLn hiov2DGi1BTfMBaeXatLxBI9gBaerbd9wDYLwzYbItLDharqqtubsr 4rNCHbGeaGqkY=Mj0xXdbba91rFfpec8Eeeu0xXdbba9frFj0=OqFf ea0dXdd9vqaq=JfrVkFHe9pgea0dXdar=Jb9hs0dXdbPYxe9vr0=vr 0=vqpWqaaeaabiGaciaacaqabeaadaqaaqaaaOqaaiaadohadaWgaa WcbaGaam4DaaqabaGccqGH9aqpdaabcaqaaiabgkHiTiaadseadaWg aaWcbaGaamOyaaqabaGcdaqadaqaamaaliaabaGaeyOaIyRaam4qaa qaaiabgkGi2kaadQhaaaaacaGLOaGaayzkaaaacaGLiWoadaWgaaWc baGaamOEaiabg2da9iaaicdaaeqaaaaa@47C0@  is the mass flux.

Using similarity variables, we obtain

C fx [ Re x ] 0.5 =[ (1n) f (0)+ n 2 We ( f (0)) 2 ],         C fy [ Re x ] 0.5 =[ (1n) g (0)+ n 2 We ( g (0)) 2 ], [ Re x ] 1 2 N u x = θ (0),     [ Re x ] 1 2 S h x = ϕ (0). } MathType@MTEF@5@5@+= feaagKart1ev2aaatCvAUfeBSjuyZL2yd9gzLbvyNv2CaerbuLwBLn hiov2DGi1BTfMBaeXatLxBI9gBaerbd9wDYLwzYbItLDharqqtubsr 4rNCHbGeaGqkY=Mj0xXdbba91rFfpec8Eeeu0xXdbba9frFj0=OqFf ea0dXdd9vqaq=JfrVkFHe9pgea0dXdar=Jb9hs0dXdbPYxe9vr0=vr 0=vqpWqaaeaabiGaciaacaqabeaadaqaaqaaaOqaamaaciaaeaqabe aacaWGdbWaaSbaaSqaaiaadAgacaWG4baabeaakmaadmaabaGaciOu aiaacwgadaWgaaWcbaGaamiEaaqabaaakiaawUfacaGLDbaadaahaa WcbeqaaiaaicdacaGGUaGaaGynaaaakiabg2da9maadmaabaGaaiik aiaaigdacqGHsislcaWGUbGaaiykaiqadAgagaGbaiaacIcacaaIWa GaaiykaiabgUcaRmaalaaabaGaamOBaaqaaiaaikdaaaGaam4vaiaa dwgacaGGOaGabmOzayaagaGaaiikaiaaicdacaGGPaGaaiykamaaCa aaleqabaGaaGOmaaaaaOGaay5waiaaw2faaiaacYcacaqGGaGaaeii aiaabccacaqGGaGaaeiiaiaabccacaqGGaGaaeiiaaqaaiaadoeada WgaaWcbaGaamOzaiaadMhaaeqaaOWaamWaaeaaciGGsbGaaiyzamaa BaaaleaacaWG4baabeaaaOGaay5waiaaw2faamaaCaaaleqabaGaaG imaiaac6cacaaI1aaaaOGaeyypa0ZaamWaaeaacaGGOaGaaGymaiab gkHiTiaad6gacaGGPaGabm4zayaagaGaaiikaiaaicdacaGGPaGaey 4kaSYaaSaaaeaacaWGUbaabaGaaGOmaaaacaWGxbGaamyzaiaacIca ceWGNbGbayaacaGGOaGaaGimaiaacMcacaGGPaWaaWbaaSqabeaaca aIYaaaaaGccaGLBbGaayzxaaGaaiilaaqaamaadmaabaGaciOuaiaa cwgadaWgaaWcbaGaamiEaaqabaaakiaawUfacaGLDbaadaahaaWcbe qaaiabgkHiTmaaliaabaGaaGymaaqaaiaaikdaaaaaaOGaamOtaiaa dwhadaWgaaWcbaGaamiEaaqabaGccqGH9aqpcqGHsislcuaH4oqCga qbaiaacIcacaaIWaGaaiykaiaacYcacaqGGaGaaeiiaiaabccacaqG GaWaamWaaeaaciGGsbGaaiyzamaaBaaaleaacaWG4baabeaaaOGaay 5waiaaw2faamaaCaaaleqabaWaaSGaaeaacqGHsislcaaIXaaabaGa aGOmaaaaaaGccaWGtbGaamiAamaaBaaaleaacaWG4baabeaakiabg2 da9iabgkHiTiqbew9aMzaafaGaaiikaiaaicdacaGGPaGaaiOlaaaa caGL9baaaaa@9F22@   (17)

Where  Re x = u x (x)x ν MathType@MTEF@5@5@+= feaagKart1ev2aaatCvAUfeBSjuyZL2yd9gzLbvyNv2CaerbuLwBLn hiov2DGi1BTfMBaeXatLxBI9gBaerbd9wDYLwzYbItLDharqqtubsr 4rNCHbGeaGqkY=Mj0xXdbba91rFfpec8Eeeu0xXdbba9frFj0=OqFf ea0dXdd9vqaq=JfrVkFHe9pgea0dXdar=Jb9hs0dXdbPYxe9vr0=vr 0=vqpWqaaeaabiGaciaacaqabeaadaqaaqaaaOqaaiGackfacaGGLb WaaSbaaSqaaiaadIhaaeqaaOGaeyypa0ZaaSaaaeaacaWG1bWaaSba aSqaaiaadIhaaeqaaOGaaiikaiaadIhacaGGPaGaamiEaaqaaiabe2 7aUbaaaaa@4250@

Implemented Strategy

The highly nonlinear ODE’s Eqs. (11) - (14) associated to boundary condition Eq. (15) are transmuted into first order with along Bvp4C-technique for diverse values of emerging parameters. For the purpose, we choose new variables.

z 1 ' = z 2                                                                                           z 1 (0)=0,       z 2 ' = z 3                                                                                           z 2 (0)=1, z 3 ' = z 2 2 +ε( η 2 z 3 + z 2 )( z 1 + z 4 ) z 3 ελ λ 2 M( ε z 1 ) [ (1n)+nWe z 3 ]          z 3 (0)=l, z 4 ' = z 5                                                                                           z 4 (0)=0, z 5 ' = z 6                                                                                            z 5 (0)=α, z 6 ' = z 5 2 +ε( η 2 z 6 + z 5 )( z 1 + z 4 ) z 6 ελ λ 2 M( λ z 4 ) [ (1n)+nWe z 6 ]          z 6 (0)=m, z 7 ' = z 8                                                                                            z 7 (0)=n, z 8 ' = 1 Rd ( 1+( θ w 1) z 7 ) 7 ( Rd ( 1+( θ w 1) z 7 ) 2 ( 3( θ w 1) z 8 2 ) +Pr( z 1 z 8 ε η 2 z 8 )+PrEc( z 1 2 + z 2 2 ) +Pr D f z 10 ' +PrNb z 8 z 10 +PrNt z 8 2 ) z 8 (0)=γ(1n), z 9 ' = z 10                                                                                           z 9 (0)=1, z 10 ' =Scκ z 9 ScSr z 8 ' Sc( z 1 η 2 )ε z 8 ' Nt Nb                                z 10 (0)=o, } MathType@MTEF@5@5@+= feaagKart1ev2aaatCvAUfeBSjuyZL2yd9gzLbvyNv2CaerbuLwBLn hiov2DGi1BTfMBaeXatLxBI9gBaerbd9wDYLwzYbItLDharqqtubsr 4rNCHbGeaGqkY=Mj0xXdbba91rFfpec8Eeeu0xXdbba9frFj0=OqFf ea0dXdd9vqaq=JfrVkFHe9pgea0dXdar=Jb9hs0dXdbPYxe9vr0=vr 0=vqpWqaaeaabiGaciaacaqabeaadaqaaqaaaOqaamaaciaaeaqabe aacaWG6bWaa0baaSqaaiaaigdaaeaacaGGNaaaaOGaeyypa0JaamOE amaaBaaaleaacaaIYaaabeaakiaabccacaqGGaGaaeiiaiaabccaca qGGaGaaeiiaiaabccacaqGGaGaaeiiaiaabccacaqGGaGaaeiiaiaa bccacaqGGaGaaeiiaiaabccacaqGGaGaaeiiaiaabccacaqGGaGaae iiaiaabccacaqGGaGaaeiiaiaabccacaqGGaGaaeiiaiaabccacaqG GaGaaeiiaiaabccacaqGGaGaaeiiaiaabccacaqGGaGaaeiiaiaabc cacaqGGaGaaeiiaiaabccacaqGGaGaaeiiaiaabccacaqGGaGaaeii aiaabccacaqGGaGaaeiiaiaabccacaqGGaGaaeiiaiaabccacaqGGa GaaeiiaiaabccacaqGGaGaaeiiaiaabccacaqGGaGaaeiiaiaabcca caqGGaGaaeiiaiaabccacaqGGaGaaeiiaiaabccacaqGGaGaaeiiai aabccacaqGGaGaaeiiaiaabccacaqGGaGaaeiiaiaabccacaqGGaGa aeiiaiaabccacaqGGaGaaeiiaiaabccacaqGGaGaaeiiaiaabccaca qGGaGaaeiiaiaabccacaqGGaGaamOEamaaBaaaleaacaaIXaaabeaa kiaacIcacaaIWaGaaiykaiabg2da9iaaicdacaqGSaGaaeiiaiaabc cacaqGGaGaaeiiaiaabccacaqGGaaabaGaamOEamaaDaaaleaacaaI YaaabaGaai4jaaaakiabg2da9iaadQhadaWgaaWcbaGaaG4maaqaba GccaqGGaGaaeiiaiaabccacaqGGaGaaeiiaiaabccacaqGGaGaaeii aiaabccacaqGGaGaaeiiaiaabccacaqGGaGaaeiiaiaabccacaqGGa GaaeiiaiaabccacaqGGaGaaeiiaiaabccacaqGGaGaaeiiaiaabcca caqGGaGaaeiiaiaabccacaqGGaGaaeiiaiaabccacaqGGaGaaeiiai aabccacaqGGaGaaeiiaiaabccacaqGGaGaaeiiaiaabccacaqGGaGa aeiiaiaabccacaqGGaGaaeiiaiaabccacaqGGaGaaeiiaiaabccaca qGGaGaaeiiaiaabccacaqGGaGaaeiiaiaabccacaqGGaGaaeiiaiaa bccacaqGGaGaaeiiaiaabccacaqGGaGaaeiiaiaabccacaqGGaGaae iiaiaabccacaqGGaGaaeiiaiaabccacaqGGaGaaeiiaiaabccacaqG GaGaaeiiaiaabccacaqGGaGaaeiiaiaabccacaqGGaGaaeiiaiaabc cacaqGGaGaaeiiaiaabccacaqGGaGaaeiiaiaabccacaqGGaGaaeii aiaadQhadaWgaaWcbaGaaGOmaaqabaGccaGGOaGaaGimaiaacMcacq GH9aqpcaaIXaGaaiilaaqaaiaadQhadaqhaaWcbaGaaG4maaqaaiaa cEcaaaGccqGH9aqpdaWcaaqaaiaadQhadaqhaaWcbaGaaGOmaaqaai aaikdaaaGccqGHRaWkcqaH1oqzdaqadaqaamaalaaabaGaeq4TdGga baGaaGOmaaaacaWG6bWaaSbaaSqaaiaaiodaaeqaaOGaey4kaSIaam OEamaaBaaaleaacaaIYaaabeaaaOGaayjkaiaawMcaaiabgkHiTmaa bmaabaGaamOEamaaBaaaleaacaaIXaaabeaakiabgUcaRiaadQhada WgaaWcbaGaaGinaaqabaaakiaawIcacaGLPaaacaWG6bWaaSbaaSqa aiaaiodaaeqaaOGaeyOeI0IaeqyTduMaeq4UdWMaeyOeI0Iaeq4UdW 2aaWbaaSqabeaacaaIYaaaaOGaeyOeI0IaamytamaabmaabaGaeqyT duMaeyOeI0IaamOEamaaBaaaleaacaaIXaaabeaaaOGaayjkaiaawM caaaqaamaadmaabaGaaiikaiaaigdacqGHsislcaWGUbGaaiykaiab gUcaRiaad6gacaWGxbGaamyzaiaadQhadaWgaaWcbaGaaG4maaqaba aakiaawUfacaGLDbaaaaGaaeiiaiaabccacaqGGaGaaeiiaiaabcca caqGGaGaaeiiaiaabccacaWG6bWaaSbaaSqaaiaaiodaaeqaaOGaai ikaiaaicdacaGGPaGaeyypa0JaamiBaiaacYcaaeaacaWG6bWaa0ba aSqaaiaaisdaaeaacaGGNaaaaOGaeyypa0JaamOEamaaBaaaleaaca aI1aaabeaakiaabccacaqGGaGaaeiiaiaabccacaqGGaGaaeiiaiaa bccacaqGGaGaaeiiaiaabccacaqGGaGaaeiiaiaabccacaqGGaGaae iiaiaabccacaqGGaGaaeiiaiaabccacaqGGaGaaeiiaiaabccacaqG GaGaaeiiaiaabccacaqGGaGaaeiiaiaabccacaqGGaGaaeiiaiaabc cacaqGGaGaaeiiaiaabccacaqGGaGaaeiiaiaabccacaqGGaGaaeii aiaabccacaqGGaGaaeiiaiaabccacaqGGaGaaeiiaiaabccacaqGGa GaaeiiaiaabccacaqGGaGaaeiiaiaabccacaqGGaGaaeiiaiaabcca caqGGaGaaeiiaiaabccacaqGGaGaaeiiaiaabccacaqGGaGaaeiiai aabccacaqGGaGaaeiiaiaabccacaqGGaGaaeiiaiaabccacaqGGaGa aeiiaiaabccacaqGGaGaaeiiaiaabccacaqGGaGaaeiiaiaabccaca qGGaGaaeiiaiaabccacaqGGaGaaeiiaiaabccacaqGGaGaaeiiaiaa bccacaqGGaGaamOEamaaBaaaleaacaaI0aaabeaakiaacIcacaaIWa Gaaiykaiabg2da9iaaicdacaGGSaaabaGaamOEamaaDaaaleaacaaI 1aaabaGaai4jaaaakiabg2da9iaadQhadaWgaaWcbaGaaGOnaaqaba GccaqGGaGaaeiiaiaabccacaqGGaGaaeiiaiaabccacaqGGaGaaeii aiaabccacaqGGaGaaeiiaiaabccacaqGGaGaaeiiaiaabccacaqGGa GaaeiiaiaabccacaqGGaGaaeiiaiaabccacaqGGaGaaeiiaiaabcca caqGGaGaaeiiaiaabccacaqGGaGaaeiiaiaabccacaqGGaGaaeiiai aabccacaqGGaGaaeiiaiaabccacaqGGaGaaeiiaiaabccacaqGGaGa aeiiaiaabccacaqGGaGaaeiiaiaabccacaqGGaGaaeiiaiaabccaca qGGaGaaeiiaiaabccacaqGGaGaaeiiaiaabccacaqGGaGaaeiiaiaa bccacaqGGaGaaeiiaiaabccacaqGGaGaaeiiaiaabccacaqGGaGaae iiaiaabccacaqGGaGaaeiiaiaabccacaqGGaGaaeiiaiaabccacaqG GaGaaeiiaiaabccacaqGGaGaaeiiaiaabccacaqGGaGaaeiiaiaabc cacaqGGaGaaeiiaiaabccacaqGGaGaaeiiaiaabccacaqGGaGaaeii aiaabccacaWG6bWaaSbaaSqaaiaaiwdaaeqaaOGaaiikaiaaicdaca GGPaGaeyypa0JaeqySdeMaaiilaaqaaiaadQhadaqhaaWcbaGaaGOn aaqaaiaacEcaaaGccqGH9aqpdaWcaaqaaiaadQhadaqhaaWcbaGaaG ynaaqaaiaaikdaaaGccqGHRaWkcqaH1oqzdaqadaqaamaalaaabaGa eq4TdGgabaGaaGOmaaaacaWG6bWaaSbaaSqaaiaaiAdaaeqaaOGaey 4kaSIaamOEamaaBaaaleaacaaI1aaabeaaaOGaayjkaiaawMcaaiab gkHiTmaabmaabaGaamOEamaaBaaaleaacaaIXaaabeaakiabgUcaRi aadQhadaWgaaWcbaGaaGinaaqabaaakiaawIcacaGLPaaacaWG6bWa aSbaaSqaaiaaiAdaaeqaaOGaeyOeI0IaeqyTduMaeq4UdWMaeyOeI0 Iaeq4UdW2aaWbaaSqabeaacaaIYaaaaOGaeyOeI0Iaamytamaabmaa baGaeq4UdWMaeyOeI0IaamOEamaaBaaaleaacaaI0aaabeaaaOGaay jkaiaawMcaaaqaamaadmaabaGaaiikaiaaigdacqGHsislcaWGUbGa aiykaiabgUcaRiaad6gacaWGxbGaamyzaiaadQhadaWgaaWcbaGaaG OnaaqabaaakiaawUfacaGLDbaaaaGaaeiiaiaabccacaqGGaGaaeii aiaabccacaqGGaGaaeiiaiaabccacaWG6bWaaSbaaSqaaiaaiAdaae qaaOGaaiikaiaaicdacaGGPaGaeyypa0JaamyBaiaacYcaaeaacaWG 6bWaa0baaSqaaiaaiEdaaeaacaGGNaaaaOGaeyypa0JaamOEamaaBa aaleaacaaI4aaabeaakiaabccacaqGGaGaaeiiaiaabccacaqGGaGa aeiiaiaabccacaqGGaGaaeiiaiaabccacaqGGaGaaeiiaiaabccaca qGGaGaaeiiaiaabccacaqGGaGaaeiiaiaabccacaqGGaGaaeiiaiaa bccacaqGGaGaaeiiaiaabccacaqGGaGaaeiiaiaabccacaqGGaGaae iiaiaabccacaqGGaGaaeiiaiaabccacaqGGaGaaeiiaiaabccacaqG GaGaaeiiaiaabccacaqGGaGaaeiiaiaabccacaqGGaGaaeiiaiaabc cacaqGGaGaaeiiaiaabccacaqGGaGaaeiiaiaabccacaqGGaGaaeii aiaabccacaqGGaGaaeiiaiaabccacaqGGaGaaeiiaiaabccacaqGGa GaaeiiaiaabccacaqGGaGaaeiiaiaabccacaqGGaGaaeiiaiaabcca caqGGaGaaeiiaiaabccacaqGGaGaaeiiaiaabccacaqGGaGaaeiiai aabccacaqGGaGaaeiiaiaabccacaqGGaGaaeiiaiaabccacaqGGaGa aeiiaiaabccacaqGGaGaaeiiaiaadQhadaWgaaWcbaGaaG4naaqaba GccaGGOaGaaGimaiaacMcacqGH9aqpcaWGUbGaaiilaaqaaiaadQha daqhaaWcbaGaaGioaaqaaiaacEcaaaGccqGH9aqpdaWcaaqaaiabgk HiTiaaigdaaeaacaWGsbGaamizamaabmaabaGaaGymaiabgUcaRiaa cIcacqaH4oqCdaWgaaWcbaGaam4DaaqabaGccqGHsislcaaIXaGaai ykaiaadQhadaWgaaWcbaGaaG4naaqabaaakiaawIcacaGLPaaadaah aaWcbeqaaiaaiEdaaaaaaOWaaeWaaqaabeqaaiaadkfacaWGKbWaae WaaeaacaaIXaGaey4kaSIaaiikaiabeI7aXnaaBaaaleaacaWG3baa beaakiabgkHiTiaaigdacaGGPaGaamOEamaaBaaaleaacaaI3aaabe aaaOGaayjkaiaawMcaamaaCaaaleqabaGaaGOmaaaakmaabmaabaGa aG4maiaacIcacqaH4oqCdaWgaaWcbaGaam4DaaqabaGccqGHsislca aIXaGaaiykaiaadQhadaqhaaWcbaGaaGioaaqaaiaaikdaaaaakiaa wIcacaGLPaaaaeaacqGHRaWkciGGqbGaaiOCamaabmaabaGaamOEam aaBaaaleaacaaIXaaabeaakiaadQhadaWgaaWcbaGaaGioaaqabaGc cqGHsislcqaH1oqzdaWcaaqaaiabeE7aObqaaiaaikdaaaGaamOEam aaBaaaleaacaaI4aaabeaaaOGaayjkaiaawMcaaiabgUcaRiGaccfa caGGYbGaamyraiaadogadaqadaqaaiaadQhadaqhaaWcbaGaaGymaa qaaiaaikdaaaGccqGHRaWkcaWG6bWaa0baaSqaaiaaikdaaeaacaaI YaaaaaGccaGLOaGaayzkaaaabaGaey4kaSIaciiuaiaackhacaWGeb WaaSbaaSqaaiaadAgaaeqaaOGaamOEamaaDaaaleaacaaIXaGaaGim aaqaaiaacEcaaaGccqGHRaWkciGGqbGaaiOCaiaad6eacaWGIbGaam OEamaaBaaaleaacaaI4aaabeaakiaadQhadaWgaaWcbaGaaGymaiaa icdaaeqaaOGaey4kaSIaciiuaiaackhacaWGobGaamiDaiaadQhada qhaaWcbaGaaGioaaqaaiaaikdaaaaaaOGaayjkaiaawMcaaiaadQha daWgaaWcbaGaaGioaaqabaGccaGGOaGaaGimaiaacMcacqGH9aqpcq GHsislcqaHZoWzcaGGOaGaaGymaiabgkHiTiaad6gacaGGPaGaaiil aaqaaiaadQhadaqhaaWcbaGaaGyoaaqaaiaacEcaaaGccqGH9aqpca WG6bWaaSbaaSqaaiaaigdacaaIWaaabeaakiaabccacaqGGaGaaeii aiaabccacaqGGaGaaeiiaiaabccacaqGGaGaaeiiaiaabccacaqGGa GaaeiiaiaabccacaqGGaGaaeiiaiaabccacaqGGaGaaeiiaiaabcca caqGGaGaaeiiaiaabccacaqGGaGaaeiiaiaabccacaqGGaGaaeiiai aabccacaqGGaGaaeiiaiaabccacaqGGaGaaeiiaiaabccacaqGGaGa aeiiaiaabccacaqGGaGaaeiiaiaabccacaqGGaGaaeiiaiaabccaca qGGaGaaeiiaiaabccacaqGGaGaaeiiaiaabccacaqGGaGaaeiiaiaa bccacaqGGaGaaeiiaiaabccacaqGGaGaaeiiaiaabccacaqGGaGaae iiaiaabccacaqGGaGaaeiiaiaabccacaqGGaGaaeiiaiaabccacaqG GaGaaeiiaiaabccacaqGGaGaaeiiaiaabccacaqGGaGaaeiiaiaabc cacaqGGaGaaeiiaiaabccacaqGGaGaaeiiaiaabccacaqGGaGaaeii aiaabccacaqGGaGaaeiiaiaabccacaqGGaGaamOEamaaBaaaleaaca aI5aaabeaakiaacIcacaaIWaGaaiykaiabg2da9iaaigdacaGGSaaa baGaamOEamaaDaaaleaacaaIXaGaaGimaaqaaiaacEcaaaGccqGH9a qpcaWGtbGaam4yaiabeQ7aRjaadQhadaWgaaWcbaGaaGyoaaqabaGc cqGHsislcaWGtbGaam4yaiaadofacaWGYbGaamOEamaaDaaaleaaca aI4aaabaGaai4jaaaakiabgkHiTiaadofacaWGJbWaaeWaaeaacaWG 6bWaaSbaaSqaaiaaigdaaeqaaOGaeyOeI0YaaSaaaeaacqaH3oaAae aacaaIYaaaaaGaayjkaiaawMcaaiabew7aLjabgkHiTiaadQhadaqh aaWcbaGaaGioaaqaaiaacEcaaaGcdaWcaaqaaiaad6eacaWG0baaba GaamOtaiaadkgaaaGaaeiiaiaabccacaqGGaGaaeiiaiaabccacaqG GaGaaeiiaiaabccacaqGGaGaaeiiaiaabccacaqGGaGaaeiiaiaabc cacaqGGaGaaeiiaiaabccacaqGGaGaaeiiaiaabccacaqGGaGaaeii aiaabccacaqGGaGaaeiiaiaabccacaqGGaGaaeiiaiaabccacaqGGa GaamOEamaaBaaaleaacaaIXaGaaGimaaqabaGccaGGOaGaaGimaiaa cMcacqGH9aqpcaWGVbGaaiilaaaacaGL9baaaaa@09E6@

The above defined set of first ODE’s is utilized via Runge-Kutta method by assigning few missing variables l, m, n and o. The step has measured as Δη MathType@MTEF@5@5@+= feaagKart1ev2aaatCvAUfeBSjuyZL2yd9gzLbvyNv2CaerbuLwBLn hiov2DGi1BTfMBaeXatLxBI9gBaerbd9wDYLwzYbItLDharqqtubsr 4rNCHbGeaGqkY=Mj0xXdbba91rFfpec8Eeeu0xXdbba9frFj0=OqFf ea0dXdd9vqaq=JfrVkFHe9pgea0dXdar=Jb9hs0dXdbPYxe9vr0=vr 0=vqpWqaaeaabiGaciaacaqabeaadaqaaqaaaOqaaiabfs5aejabeE 7aObaa@3A20@ . The process is frequent until criterion is not converge of 10 6 MathType@MTEF@5@5@+= feaagKart1ev2aaatCvAUfeBSjuyZL2yd9gzLbvyNv2CaerbuLwBLn hiov2DGi1BTfMBaeXatLxBI9gBaerbd9wDYLwzYbItLDharqqtubsr 4rNCHbGeaGqkY=Mj0xXdbba91rFfpec8Eeeu0xXdbba9frFj0=OqFf ea0dXdd9vqaq=JfrVkFHe9pgea0dXdar=Jb9hs0dXdbPYxe9vr0=vr 0=vqpWqaaeaabiGaciaacaqabeaadaqaaqaaaOqaaiaaigdacaaIWa WaaWbaaSqabeaacqGHsislcaaI2aaaaaaa@3A5D@ .

Code validation

To verify the precision of current calculated outcomes with previous available data, a evaluation has made between latest computed outcomes and existing literature in limiting case. Table 1 exhibits a comparing of the numeric outcomes for the skin fraction for the various estimation offor various estimation of the unsteady ε MathType@MTEF@5@5@+= feaagKart1ev2aaatCvAUfeBSjuyZL2yd9gzLbvyNv2CaerbuLwBLn hiov2DGi1BTfMBaeXatLxBI9gBaerbd9wDYLwzYbItLDharqqtubsr 4rNCHbGeaGqiVGI8VfYJH8YrFfeuY=Hhbbf9v8qqaqFr0xc9pk0xbb a9q8WqFfea0=yr0RYxir=Jbba9q8aq0=yq=He9q8qqQ8frFve9Fve9 Ff0dmeaabaqaciGacaGaaeqabaWaaeaaeaaakeaacqaH1oqzaaa@373B@ variable when We = n = 0, published outcomes of Ali and Zaib35 and Khan et al.34 shown in Table 1. These outcomes are obtained in remarkable achievement.

ε MathType@MTEF@5@5@+= feaagKart1ev2aaatCvAUfeBSjuyZL2yd9gzLbvyNv2CaerbuLwBLn hiov2DGi1BTfMBaeXatLxBI9gBaerbd9wDYLwzYbItLDharqqtubsr 4rNCHbGeaGqkY=Mj0xXdbba91rFfpec8Eeeu0xXdbba9frFj0=OqFf ea0dXdd9vqaq=JfrVkFHe9pgea0dXdar=Jb9hs0dXdbPYxe9vr0=vr 0=vqpWqaaeaabiGaciaacaqabeaadaqaaqaaaOqaaiabew7aLbaa@38B5@  

Khan and Hamid34

Ali and Zaib35

Current result

0.8

-1.26148

-1.26121

-1.26069

1.2

-1.37785

-1.37763

-1.37771

Table 1 Comparing of f''(0) MathType@MTEF@5@5@+= feaagKart1ev2aaatCvAUfeBSjuyZL2yd9gzLbvyNv2CaerbuLwBLn hiov2DGi1BTfMBaeXatLxBI9gBaerbd9wDYLwzYbItLDharqqtubsr 4rNCHbGeaGqkY=Mj0xXdbba91rFfpec8Eeeu0xXdbba9frFj0=OqFf ea0dXdd9vqaq=JfrVkFHe9pgea0dXdar=Jb9hs0dXdbPYxe9vr0=vr 0=vqpWqaaeaabiGaciaacaqabeaadaqaaqaaaOqaaiaadAgacaGGNa Gaai4jaiaacIcacaaIWaGaaiykaaaa@3B62@ for unsteady parameter ε MathType@MTEF@5@5@+= feaagKart1ev2aaatCvAUfeBSjuyZL2yd9gzLbvyNv2CaerbuLwBLn hiov2DGi1BTfMBaeXatLxBI9gBaerbd9wDYLwzYbItLDharqqtubsr 4rNCHbGeaGqkY=Mj0xXdbba91rFfpec8Eeeu0xXdbba9frFj0=OqFf ea0dXdd9vqaq=JfrVkFHe9pgea0dXdar=Jb9hs0dXdbPYxe9vr0=vr 0=vqpWqaaeaabiGaciaacaqabeaadaqaaqaaaOqaaiabew7aLbaa@38B5@ with n=We=λ=M=0 MathType@MTEF@5@5@+= feaagKart1ev2aaatCvAUfeBSjuyZL2yd9gzLbvyNv2CaerbuLwBLn hiov2DGi1BTfMBaeXatLxBI9gBaerbd9wDYLwzYbItLDharqqtubsr 4rNCHbGeaGqkY=Mj0xXdbba91rFfpec8Eeeu0xXdbba9frFj0=OqFf ea0dXdd9vqaq=JfrVkFHe9pgea0dXdar=Jb9hs0dXdbPYxe9vr0=vr 0=vqpWqaaeaabiGaciaacaqabeaadaqaaqaaaOqaaiaad6gacqGH9a qpcaWGxbGaamyzaiabg2da9iabeU7aSjabg2da9iaad2eacqGH9aqp caaIWaaaaa@411F@ .

Result and discussion

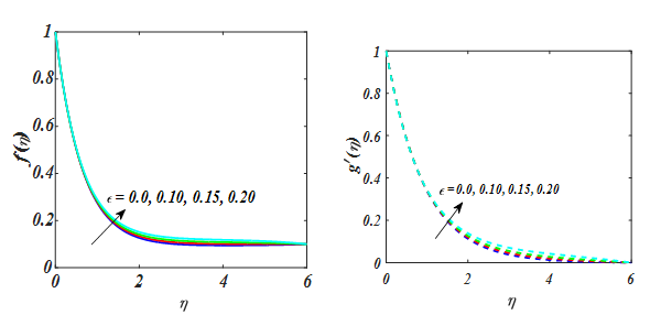
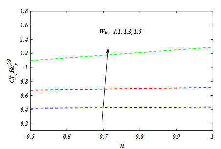
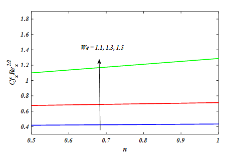
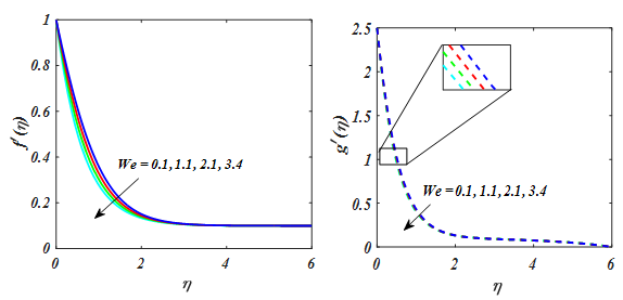
The physical variables for f'(η) MathType@MTEF@5@5@+= feaagKart1ev2aaatCvAUfeBSjuyZL2yd9gzLbvyNv2CaerbuLwBLn hiov2DGi1BTfMBaeXatLxBI9gBaerbd9wDYLwzYbItLDharqqtubsr 4rNCHbGeaGqkY=Mj0xXdbba91rFfpec8Eeeu0xXdbba9frFj0=OqFf ea0dXdd9vqaq=JfrVkFHe9pgea0dXdar=Jb9hs0dXdbPYxe9vr0=vr 0=vqpWqaaeaabiGaciaacaqabeaadaqaaqaaaOqaaiaadAgacaGGNa GaaiikaiabeE7aOjaacMcaaaa@3BA9@ , θ(η) MathType@MTEF@5@5@+= feaagKart1ev2aaatCvAUfeBSjuyZL2yd9gzLbvyNv2CaerbuLwBLn hiov2DGi1BTfMBaeXatLxBI9gBaerbd9wDYLwzYbItLDharqqtubsr 4rNCHbGeaGqkY=Mj0xXdbba91rFfpec8Eeeu0xXdbba9frFj0=OqFf ea0dXdd9vqaq=JfrVkFHe9pgea0dXdar=Jb9hs0dXdbPYxe9vr0=vr 0=vqpWqaaeaabiGaciaacaqabeaadaqaaqaaaOqaaiabeI7aXjaacI cacqaH3oaAcaGGPaaaaa@3BC9@  and ϕ(η) MathType@MTEF@5@5@+= feaagKart1ev2aaatCvAUfeBSjuyZL2yd9gzLbvyNv2CaerbuLwBLn hiov2DGi1BTfMBaeXatLxBI9gBaerbd9wDYLwzYbItLDharqqtubsr 4rNCHbGeaGqkY=Mj0xXdbba91rFfpec8Eeeu0xXdbba9frFj0=OqFf ea0dXdd9vqaq=JfrVkFHe9pgea0dXdar=Jb9hs0dXdbPYxe9vr0=vr 0=vqpWqaaeaabiGaciaacaqabeaadaqaaqaaaOqaaiabew9aMjaacI cacqaH3oaAcaGGPaaaaa@3BDB@  profiles are displayed graphically Figure 2–19. These physical parameters are kept constant entire study with their value n=0.2, We=0.3, ε MathType@MTEF@5@5@+= feaagKart1ev2aaatCvAUfeBSjuyZL2yd9gzLbvyNv2CaerbuLwBLn hiov2DGi1BTfMBaeXatLxBI9gBaerbd9wDYLwzYbItLDharqqtubsr 4rNCHbGeaGqk0Jf9crFfpeea0xh9v8qiW7rqqrFfpeea0xe9Lq=Jc9 vqaqpepm0xbba9pwe9Q8fs0=yqaqpepae9pg0FirpepeKkFr0xfr=x fr=xb9adbaqaaeGaciGaaiaabeqaamaabaabaaGcbaGaeqyTdugaaa@39B0@ =0.1, M=0.4, λ MathType@MTEF@5@5@+= feaagKart1ev2aaatCvAUfeBSjuyZL2yd9gzLbvyNv2CaerbuLwBLn hiov2DGi1BTfMBaeXatLxBI9gBaerbd9wDYLwzYbItLDharqqtubsr 4rNCHbGeaGqk0Jf9crFfpeea0xh9v8qiW7rqqrFfpeea0xe9Lq=Jc9 vqaqpepm0xbba9pwe9Q8fs0=yqaqpepae9pg0FirpepeKkFr0xfr=x fr=xb9adbaqaaeGaciGaaiaabeqaamaabaabaaGcbaGaeq4UdWgaaa@39BD@ =0.1, Rd=0.4, θ w MathType@MTEF@5@5@+= feaagKart1ev2aaatCvAUfeBSjuyZL2yd9gzLbvyNv2CaerbuLwBLn hiov2DGi1BTfMBaeXatLxBI9gBaerbd9wDYLwzYbItLDharqqtubsr 4rNCHbGeaGqkY=Mj0xXdbba91rFfpec8Eeeu0xXdbba9frFj0=OqFf ea0dXdd9vqaq=JfrVkFHe9pgea0dXdar=Jb9hs0dXdbPYxe9vr0=vr 0=vqpWqaaeaabiGaciaacaqabeaadaqaaqaaaOqaaiabeI7aXnaaBa aaleaacaWG3baabeaaaaa@39EC@ =0.4, Nb=0.3, Nt=0.3,Df=0.03,Sr=0.4,Pr=0.7, Sc=0.8, γ MathType@MTEF@5@5@+= feaagKart1ev2aaatCvAUfeBSjuyZL2yd9gzLbvyNv2CaerbuLwBLn hiov2DGi1BTfMBaeXatLxBI9gBaerbd9wDYLwzYbItLDharqqtubsr 4rNCHbGeaGqk0Jf9crFfpeea0xh9v8qiW7rqqrFfpeea0xe9Lq=Jc9 vqaqpepm0xbba9pwe9Q8fs0=yqaqpepae9pg0FirpepeKkFr0xfr=x fr=xb9adbaqaaeGaciGaaiaabeqaamaabaabaaGcbaGaeq4SdCgaaa@39B0@ =0.02 and α MathType@MTEF@5@5@+= feaagKart1ev2aaatCvAUfeBSjuyZL2yd9gzLbvyNv2CaerbuLwBLn hiov2DGi1BTfMBaeXatLxBI9gBaerbd9wDYLwzYbItLDharqqtubsr 4rNCHbGeaGqkY=Mj0xXdbba91rFfpec8Eeeu0xXdbba9frFj0=OqFf ea0dXdd9vqaq=JfrVkFHe9pgea0dXdar=Jb9hs0dXdbPYxe9vr0=vr 0=vqpWqaaeaabiGaciaacaqabeaadaqaaqaaaOqaaiabeg7aHbaa@38AD@ =0.8. Table 2 show the numerically result of various value of emerging parameter. Enlarging the value of We and n accelerates the skin friction. While it is noted that rate of Nusselt and Sherwood fall down by increasing value of Rd and k Table 3.

n MathType@MTEF@5@5@+= feaagKart1ev2aaatCvAUfeBSjuyZL2yd9gzLbvyNv2CaerbuLwBLn hiov2DGi1BTfMBaeXatLxBI9gBaerbd9wDYLwzYbItLDharqqtubsr 4rNCHbGeaGqkY=Mj0xXdbba91rFfpec8Eeeu0xXdbba9frFj0=OqFf ea0dXdd9vqaq=JfrVkFHe9pgea0dXdar=Jb9hs0dXdbPYxe9vr0=vr 0=vqpWqaaeaabiGaciaacaqabeaadaqaaqaaaOqaaiaad6gaaaa@3801@  

We

ε MathType@MTEF@5@5@+= feaagKart1ev2aaatCvAUfeBSjuyZL2yd9gzLbvyNv2CaerbuLwBLn hiov2DGi1BTfMBaeXatLxBI9gBaerbd9wDYLwzYbItLDharqqtubsr 4rNCHbGeaGqkY=Mj0xXdbba91rFfpec8Eeeu0xXdbba9frFj0=OqFf ea0dXdd9vqaq=JfrVkFHe9pgea0dXdar=Jb9hs0dXdbPYxe9vr0=vr 0=vqpWqaaeaabiGaciaacaqabeaadaqaaqaaaOqaaiabew7aLbaa@38B5@  

Rd

Sr

Df

K

Re x 1/2 C fx MathType@MTEF@5@5@+= feaagKart1ev2aaatCvAUfeBSjuyZL2yd9gzLbvyNv2CaerbuLwBLn hiov2DGi1BTfMBaeXatLxBI9gBaerbd9wDYLwzYbItLDharqqtubsr 4rNCHbGeaGqkY=MjYJH8sqFD0xXdHaVhbbf9v8qqaqFr0xc9pk0xbb a9q8WqFfea0=yr0RYxir=Jbba9q8aq0=yq=He9q8qqQ8frFve9Fve9 Ff0dmeaabaqaciGacaGaaeqabaWaaeaaeaaakeaaciGGsbGaaiyzam aaDaaaleaacaWG4baabaGaaGymaiaac+cacaaIYaaaaOGaam4qamaa BaaaleaacaWGMbGaamiEaaqabaaaaa@3FBE@   Re x 1/2 C fy MathType@MTEF@5@5@+= feaagKart1ev2aaatCvAUfeBSjuyZL2yd9gzLbvyNv2CaerbuLwBLn hiov2DGi1BTfMBaeXatLxBI9gBaerbd9wDYLwzYbItLDharqqtubsr 4rNCHbGeaGqkY=MjYJH8sqFD0xXdHaVhbbf9v8qqaqFr0xc9pk0xbb a9q8WqFfea0=yr0RYxir=Jbba9q8aq0=yq=He9q8qqQ8frFve9Fve9 Ff0dmeaabaqaciGacaGaaeqabaWaaeaaeaaakeaaciGGsbGaaiyzam aaDaaaleaacaWG4baabaGaaGymaiaac+cacaaIYaaaaOGaam4qamaa BaaaleaacaWGMbGaamyEaaqabaaaaa@3FBF@   Re x 1/2 N u x MathType@MTEF@5@5@+= feaagKart1ev2aaatCvAUfeBSjuyZL2yd9gzLbvyNv2CaerbuLwBLn hiov2DGi1BTfMBaeXatLxBI9gBaerbd9wDYLwzYbItLDharqqtubsr 4rNCHbGeaGqkY=MjYJH8sqFD0xXdHaVhbbf9v8qqaqFr0xc9pk0xbb a9q8WqFfea0=yr0RYxir=Jbba9q8aq0=yq=He9q8qqQ8frFve9Fve9 Ff0dmeaabaqaciGacaGaaeqabaWaaeaaeaaakeaaciGGsbGaaiyzam aaDaaaleaacaWG4baabaGaeyOeI0IaaGymaiaac+cacaaIYaaaaOGa amOtaiaadwhadaWgaaWcbaGaamiEaaqabaaaaa@40C5@   Re x 1/2 S h x MathType@MTEF@5@5@+= feaagKart1ev2aaatCvAUfeBSjuyZL2yd9gzLbvyNv2CaerbuLwBLn hiov2DGi1BTfMBaeXatLxBI9gBaerbd9wDYLwzYbItLDharqqtubsr 4rNCHbGeaGqkY=MjYJH8sqFD0xXdHaVhbbf9v8qqaqFr0xc9pk0xbb a9q8WqFfea0=yr0RYxir=Jbba9q8aq0=yq=He9q8qqQ8frFve9Fve9 Ff0dmeaabaqaciGacaGaaeqabaWaaeaaeaaakeaaciGGsbGaaiyzam aaDaaaleaacaWG4baabaGaeyOeI0IaaGymaiaac+cacaaIYaaaaOGa am4uaiaadIgadaWgaaWcbaGaamiEaaqabaaaaa@40BD@  

0.1

0.1

0.1

0.1

0.1

 

0.1

1.0994

0.7033

0.2791

1.2285

0.3

0.5

   

0.4

   

1.2868

0.7893

0.2608

1.0964

0.5

1

   

0.7

   

1.474

0.8545

0.2554

1.018

   

0.2

0.3

   

0.6

0.6748

0.4305

0.5207

1.7698

             

0.7117

0.4505

0.4218

1.6704

             

0.8174

0.5058

0.3115

1.603

   

0.3

0.5

   

1.2

0.4172

0.223

0.7632

2.3029

             

0.433

0.2676

0.6283

2.1581

             

0.4758

0.2892

0.463

2.1014

Table 2 Comparison of Skin fraction ( Re x 1/2 C fx MathType@MTEF@5@5@+= feaagKart1ev2aaatCvAUfeBSjuyZL2yd9gzLbvyNv2CaerbuLwBLn hiov2DGi1BTfMBaeXatLxBI9gBaerbd9wDYLwzYbItLDharqqtubsr 4rNCHbGeaGqkY=MjYJH8sqFD0xXdHaVhbbf9v8qqaqFr0xc9pk0xbb a9q8WqFfea0=yr0RYxir=Jbba9q8aq0=yq=He9q8qqQ8frFve9Fve9 Ff0dmeaabaqaciGacaGaaeqabaWaaeaaeaaakeaaciGGsbGaaiyzam aaDaaaleaacaWG4baabaGaaGymaiaac+cacaaIYaaaaOGaam4qamaa BaaaleaacaWGMbGaamiEaaqabaaaaa@3FBE@ , Re x 1/2 C fy MathType@MTEF@5@5@+= feaagKart1ev2aaatCvAUfeBSjuyZL2yd9gzLbvyNv2CaerbuLwBLn hiov2DGi1BTfMBaeXatLxBI9gBaerbd9wDYLwzYbItLDharqqtubsr 4rNCHbGeaGqkY=MjYJH8sqFD0xXdHaVhbbf9v8qqaqFr0xc9pk0xbb a9q8WqFfea0=yr0RYxir=Jbba9q8aq0=yq=He9q8qqQ8frFve9Fve9 Ff0dmeaabaqaciGacaGaaeqabaWaaeaaeaaakeaaciGGsbGaaiyzam aaDaaaleaacaWG4baabaGaaGymaiaac+cacaaIYaaaaOGaam4qamaa BaaaleaacaWGMbGaamyEaaqabaaaaa@3FBF@ ) Nusselt ( Re x 1/2 N u x MathType@MTEF@5@5@+= feaagKart1ev2aaatCvAUfeBSjuyZL2yd9gzLbvyNv2CaerbuLwBLn hiov2DGi1BTfMBaeXatLxBI9gBaerbd9wDYLwzYbItLDharqqtubsr 4rNCHbGeaGqkY=MjYJH8sqFD0xXdHaVhbbf9v8qqaqFr0xc9pk0xbb a9q8WqFfea0=yr0RYxir=Jbba9q8aq0=yq=He9q8qqQ8frFve9Fve9 Ff0dmeaabaqaciGacaGaaeqabaWaaeaaeaaakeaaciGGsbGaaiyzam aaDaaaleaacaWG4baabaGaeyOeI0IaaGymaiaac+cacaaIYaaaaOGa amOtaiaadwhadaWgaaWcbaGaamiEaaqabaaaaa@40C5@ ) and Sherwood number ( Re x 1/2 S h x MathType@MTEF@5@5@+= feaagKart1ev2aaatCvAUfeBSjuyZL2yd9gzLbvyNv2CaerbuLwBLn hiov2DGi1BTfMBaeXatLxBI9gBaerbd9wDYLwzYbItLDharqqtubsr 4rNCHbGeaGqkY=MjYJH8sqFD0xXdHaVhbbf9v8qqaqFr0xc9pk0xbb a9q8WqFfea0=yr0RYxir=Jbba9q8aq0=yq=He9q8qqQ8frFve9Fve9 Ff0dmeaabaqaciGacaGaaeqabaWaaeaaeaaakeaaciGGsbGaaiyzam aaDaaaleaacaWG4baabaGaeyOeI0IaaGymaiaac+cacaaIYaaaaOGa am4uaiaadIgadaWgaaWcbaGaamiEaaqabaaaaa@40BD@ ) for various of n, we, Rd, Sr, Df, k.

λ MathType@MTEF@5@5@+= feaagKart1ev2aaatCvAUfeBSjuyZL2yd9gzLbvyNv2CaerbuLwBLn hiov2DGi1BTfMBaeXatLxBI9gBaerbd9wDYLwzYbItLDharqqtubsr 4rNCHbGeaGqkY=MjYJH8sqFD0xXdHaVhbbf9v8qqaqFr0xc9pk0xbb a9q8WqFfea0=yr0RYxir=Jbba9q8aq0=yq=He9q8qqQ8frFve9Fve9 Ff0dmeaabaqaciGacaGaaeqabaWaaeaaeaaakeaacqaH7oaBaaa@3977@  

Free stream velocity

T w MathType@MTEF@5@5@+= feaagKart1ev2aaatCvAUfeBSjuyZL2yd9gzLbvyNv2CaerbuLwBLn hiov2DGi1BTfMBaeXatLxBI9gBaerbd9wDYLwzYbItLDharqqtubsr 4rNCHbGeaGqkY=Mj0xXdbba91rFfpec8Eeeu0xXdbba9frFj0=OqFf ea0dXdd9vqaq=JfrVkFHe9pgea0dXdar=Jb9hs0dXdbPYxe9vr0=vr 0=vqpWqaaeaabiGaciaacaqabeaadaqaaqaaaOqaaiaadsfadaWgaa WcbaGaam4Daaqabaaaaa@390F@  

Sheet surface(wall) temperature

a

Constant

T MathType@MTEF@5@5@+= feaagKart1ev2aaatCvAUfeBSjuyZL2yd9gzLbvyNv2CaerbuLwBLn hiov2DGi1BTfMBaeXatLxBI9gBaerbd9wDYLwzYbItLDharqqtubsr 4rNCHbGeaGqkY=Mj0xXdbba91rFfpec8Eeeu0xXdbba9frFj0=OqFf ea0dXdd9vqaq=JfrVkFHe9pgea0dXdar=Jb9hs0dXdbPYxe9vr0=vr 0=vqpWqaaeaabiGaciaacaqabeaadaqaaqaaaOqaaiaadsfadaWgaa WcbaGaeyOhIukabeaaaaa@3984@  

Ambient temperature

b

Constant

u,v MathType@MTEF@5@5@+= feaagKart1ev2aaatCvAUfeBSjuyZL2yd9gzLbvyNv2CaerbuLwBLn hiov2DGi1BTfMBaeXatLxBI9gBaerbd9wDYLwzYbItLDharqqtubsr 4rNCHbGeaGqkY=Mj0xXdbba91rFfpec8Eeeu0xXdbba9frFj0=OqFf ea0dXdd9vqaq=JfrVkFHe9pgea0dXdar=Jb9hs0dXdbPYxe9vr0=vr 0=vqpWqaaeaabiGaciaacaqabeaadaqaaqaaaOqaaiaadwhacaGGSa GaamODaaaa@39B3@  

Velocity component along x-axis and y-axis

R d MathType@MTEF@5@5@+= feaagKart1ev2aaatCvAUfeBSjuyZL2yd9gzLbvyNv2CaerbuLwBLn hiov2DGi1BTfMBaeXatLxBI9gBaerbd9wDYLwzYbItLDharqqtubsr 4rNCHbGeaGqkY=Mj0xXdbba91rFfpec8Eeeu0xXdbba9frFj0=OqFf ea0dXdd9vqaq=JfrVkFHe9pgea0dXdar=Jb9hs0dXdbPYxe9vr0=vr 0=vqpWqaaeaabiGaciaacaqabeaadaqaaqaaaOqaaiaadkfadaWgaa WcbaGaamizaaqabaaaaa@38FA@  

Radiation Parameter

X

Coordinate along the sheet

D B MathType@MTEF@5@5@+= feaagKart1ev2aaatCvAUfeBSjuyZL2yd9gzLbvyNv2CaerbuLwBLn hiov2DGi1BTfMBaeXatLxBI9gBaerbd9wDYLwzYbItLDharqqtubsr 4rNCHbGeaGqkY=Mj0xXdbba91rFfpec8Eeeu0xXdbba9frFj0=OqFf ea0dXdd9vqaq=JfrVkFHe9pgea0dXdar=Jb9hs0dXdbPYxe9vr0=vr 0=vqpWqaaeaabiGaciaacaqabeaadaqaaqaaaOqaaiaadseadaWgaa WcbaGaamOqaaqabaaaaa@38CA@  

Brownian diffusion coefficient

Y

Coordinate normal to the sheet

D T MathType@MTEF@5@5@+= feaagKart1ev2aaatCvAUfeBSjuyZL2yd9gzLbvyNv2CaerbuLwBLn hiov2DGi1BTfMBaeXatLxBI9gBaerbd9wDYLwzYbItLDharqqtubsr 4rNCHbGeaGqkY=Mj0xXdbba91rFfpec8Eeeu0xXdbba9frFj0=OqFf ea0dXdd9vqaq=JfrVkFHe9pgea0dXdar=Jb9hs0dXdbPYxe9vr0=vr 0=vqpWqaaeaabiGaciaacaqabeaadaqaaqaaaOqaaiaadseadaWgaa WcbaGaamivaaqabaaaaa@38DC@  

Thermophoresis diffusion coefficient

C MathType@MTEF@5@5@+= feaagKart1ev2aaatCvAUfeBSjuyZL2yd9gzLbvyNv2CaerbuLwBLn hiov2DGi1BTfMBaeXatLxBI9gBaerbd9wDYLwzYbItLDharqqtubsr 4rNCHbGeaGqkY=Mj0xXdbba91rFfpec8Eeeu0xXdbba9frFj0=OqFf ea0dXdd9vqaq=JfrVkFHe9pgea0dXdar=Jb9hs0dXdbPYxe9vr0=vr 0=vqpWqaaeaabiGaciaacaqabeaadaqaaqaaaOqaaiaadoeaaaa@37D6@  

Nano particle volume friction

D f MathType@MTEF@5@5@+= feaagKart1ev2aaatCvAUfeBSjuyZL2yd9gzLbvyNv2CaerbuLwBLn hiov2DGi1BTfMBaeXatLxBI9gBaerbd9wDYLwzYbItLDharqqtubsr 4rNCHbGeaGqkY=Mj0xXdbba91rFfpec8Eeeu0xXdbba9frFj0=OqFf ea0dXdd9vqaq=JfrVkFHe9pgea0dXdar=Jb9hs0dXdbPYxe9vr0=vr 0=vqpWqaaeaabiGaciaacaqabeaadaqaaqaaaOqaaiaadseadaWgaa WcbaGaamOzaaqabaaaaa@38EE@  

Dufour number

Cw MathType@MTEF@5@5@+= feaagKart1ev2aaatCvAUfeBSjuyZL2yd9gzLbvyNv2CaerbuLwBLn hiov2DGi1BTfMBaeXatLxBI9gBaerbd9wDYLwzYbItLDharqqtubsr 4rNCHbGeaGqkY=Mj0xXdbba91rFfpec8Eeeu0xXdbba9frFj0=OqFf ea0dXdd9vqaq=JfrVkFHe9pgea0dXdar=Jb9hs0dXdbPYxe9vr0=vr 0=vqpWqaaeaabiGaciaacaqabeaadaqaaqaaaOqaaiaadoeacaWG3b aaaa@38D2@  

Nano particle volume friction at the sheet surface (wall)

M MathType@MTEF@5@5@+= feaagKart1ev2aaatCvAUfeBSjuyZL2yd9gzLbvyNv2CaerbuLwBLn hiov2DGi1BTfMBaeXatLxBI9gBaerbd9wDYLwzYbItLDharqqtubsr 4rNCHbGeaGqkY=Mj0xXdbba91rFfpec8Eeeu0xXdbba9frFj0=OqFf ea0dXdd9vqaq=JfrVkFHe9pgea0dXdar=Jb9hs0dXdbPYxe9vr0=vr 0=vqpWqaaeaabiGaciaacaqabeaadaqaaqaaaOqaaiaad2eaaaa@37E0@  

Magnetic field Parameter

C MathType@MTEF@5@5@+= feaagKart1ev2aaatCvAUfeBSjuyZL2yd9gzLbvyNv2CaerbuLwBLn hiov2DGi1BTfMBaeXatLxBI9gBaerbd9wDYLwzYbItLDharqqtubsr 4rNCHbGeaGqkY=Mj0xXdbba91rFfpec8Eeeu0xXdbba9frFj0=OqFf ea0dXdd9vqaq=JfrVkFHe9pgea0dXdar=Jb9hs0dXdbPYxe9vr0=vr 0=vqpWqaaeaabiGaciaacaqabeaadaqaaqaaaOqaaiaadoeadaWgaa WcbaGaeyOhIukabeaaaaa@3973@  

Nano particle volume friction (ambient)

n

Power-law index

Greek symbol

k

Thermal conductivity of base fluid

α MathType@MTEF@5@5@+= feaagKart1ev2aaatCvAUfeBSjuyZL2yd9gzLbvyNv2CaerbuLwBLn hiov2DGi1BTfMBaeXatLxBI9gBaerbd9wDYLwzYbItLDharqqtubsr 4rNCHbGeaGqkY=Mj0xXdbba91rFfpec8Eeeu0xXdbba9frFj0=OqFf ea0dXdd9vqaq=JfrVkFHe9pgea0dXdar=Jb9hs0dXdbPYxe9vr0=vr 0=vqpWqaaeaabiGaciaacaqabeaadaqaaqaaaOqaaiabeg7aHbaa@38AD@  

Thermal diffusivity of the base fluid

Sr

Soret number

ε MathType@MTEF@5@5@+= feaagKart1ev2aaatCvAUfeBSjuyZL2yd9gzLbvyNv2CaerbuLwBLn hiov2DGi1BTfMBaeXatLxBI9gBaerbd9wDYLwzYbItLDharqqtubsr 4rNCHbGeaGqkY=Mj0xXdbba91rFfpec8Eeeu0xXdbba9frFj0=OqFf ea0dXdd9vqaq=JfrVkFHe9pgea0dXdar=Jb9hs0dXdbPYxe9vr0=vr 0=vqpWqaaeaabiGaciaacaqabeaadaqaaqaaaOqaaiabew7aLbaa@38B5@  

Unsteady parameter

Sc

Schmidt number

ρ nf MathType@MTEF@5@5@+= feaagKart1ev2aaatCvAUfeBSjuyZL2yd9gzLbvyNv2CaerbuLwBLn hiov2DGi1BTfMBaeXatLxBI9gBaerbd9wDYLwzYbItLDharqqtubsr 4rNCHbGeaGqkY=Mj0xXdbba91rFfpec8Eeeu0xXdbba9frFj0=OqFf ea0dXdd9vqaq=JfrVkFHe9pgea0dXdar=Jb9hs0dXdbPYxe9vr0=vr 0=vqpWqaaeaabiGaciaacaqabeaadaqaaqaaaOqaaiabeg8aYnaaBa aaleaacaWGUbGaamOzaaqabaaaaa@3AD8@  

Nanofluid density

Nb

Brownian motion parameter

δ MathType@MTEF@5@5@+= feaagKart1ev2aaatCvAUfeBSjuyZL2yd9gzLbvyNv2CaerbuLwBLn hiov2DGi1BTfMBaeXatLxBI9gBaerbd9wDYLwzYbItLDharqqtubsr 4rNCHbGeaGqkY=Mj0xXdbba91rFfpec8Eeeu0xXdbba9frFj0=OqFf ea0dXdd9vqaq=JfrVkFHe9pgea0dXdar=Jb9hs0dXdbPYxe9vr0=vr 0=vqpWqaaeaabiGaciaacaqabeaadaqaaqaaaOqaaiabes7aKbaa@38B3@  

Fluid constant

Nt

Thermophoresis parameter

ϕ MathType@MTEF@5@5@+= feaagKart1ev2aaatCvAUfeBSjuyZL2yd9gzLbvyNv2CaerbuLwBLn hiov2DGi1BTfMBaeXatLxBI9gBaerbd9wDYLwzYbItLDharqqtubsr 4rNCHbGeaGqkY=Mj0xXdbba91rFfpec8Eeeu0xXdbba9frFj0=OqFf ea0dXdd9vqaq=JfrVkFHe9pgea0dXdar=Jb9hs0dXdbPYxe9vr0=vr 0=vqpWqaaeaabiGaciaacaqabeaadaqaaqaaaOqaaiabew9aMbaa@38D6@  

Dimensionless nanoparticle volume friction

Nu

Nussel tnumber

θ MathType@MTEF@5@5@+= feaagKart1ev2aaatCvAUfeBSjuyZL2yd9gzLbvyNv2CaerbuLwBLn hiov2DGi1BTfMBaeXatLxBI9gBaerbd9wDYLwzYbItLDharqqtubsr 4rNCHbGeaGqkY=Mj0xXdbba91rFfpec8Eeeu0xXdbba9frFj0=OqFf ea0dXdd9vqaq=JfrVkFHe9pgea0dXdar=Jb9hs0dXdbPYxe9vr0=vr 0=vqpWqaaeaabiGaciaacaqabeaadaqaaqaaaOqaaiabeI7aXbaa@38C4@  

Dimensionless temperature

Nur

Reduced Nusselt number

η MathType@MTEF@5@5@+= feaagKart1ev2aaatCvAUfeBSjuyZL2yd9gzLbvyNv2CaerbuLwBLn hiov2DGi1BTfMBaeXatLxBI9gBaerbd9wDYLwzYbItLDharqqtubsr 4rNCHbGeaGqkY=Mj0xXdbba91rFfpec8Eeeu0xXdbba9frFj0=OqFf ea0dXdd9vqaq=JfrVkFHe9pgea0dXdar=Jb9hs0dXdbPYxe9vr0=vr 0=vqpWqaaeaabiGaciaacaqabeaadaqaaqaaaOqaaiabeE7aObaa@38BA@  

Similarity variable

Pr

Prandlt number

 

Absolute viscosity of the base fluid

q w " MathType@MTEF@5@5@+= feaagKart1ev2aaatCvAUfeBSjuyZL2yd9gzLbvyNv2CaerbuLwBLn hiov2DGi1BTfMBaeXatLxBI9gBaerbd9wDYLwzYbItLDharqqtubsr 4rNCHbGeaGqkY=Mj0xXdbba91rFfpec8Eeeu0xXdbba9frFj0=OqFf ea0dXdd9vqaq=JfrVkFHe9pgea0dXdar=Jb9hs0dXdbPYxe9vr0=vr 0=vqpWqaaeaabiGaciaacaqabeaadaqaaqaaaOqaaiaadghadaqhaa WcbaGaam4Daaqaaiaackcaaaaaaa@39D3@  

Wall heat flux

υ MathType@MTEF@5@5@+= feaagKart1ev2aaatCvAUfeBSjuyZL2yd9gzLbvyNv2CaerbuLwBLn hiov2DGi1BTfMBaeXatLxBI9gBaerbd9wDYLwzYbItLDharqqtubsr 4rNCHbGeaGqkY=Mj0xXdbba91rFfpec8Eeeu0xXdbba9frFj0=OqFf ea0dXdd9vqaq=JfrVkFHe9pgea0dXdar=Jb9hs0dXdbPYxe9vr0=vr 0=vqpWqaaeaabiGaciaacaqabeaadaqaaqaaaOqaaiabew8a1baa@38D5@  

Kinematic viscosity of the base fluid

q m " MathType@MTEF@5@5@+= feaagKart1ev2aaatCvAUfeBSjuyZL2yd9gzLbvyNv2CaerbuLwBLn hiov2DGi1BTfMBaeXatLxBI9gBaerbd9wDYLwzYbItLDharqqtubsr 4rNCHbGeaGqkY=Mj0xXdbba91rFfpec8Eeeu0xXdbba9frFj0=OqFf ea0dXdd9vqaq=JfrVkFHe9pgea0dXdar=Jb9hs0dXdbPYxe9vr0=vr 0=vqpWqaaeaabiGaciaacaqabeaadaqaaqaaaOqaaiaadghadaqhaa WcbaGaamyBaaqaaiaackcaaaaaaa@39C9@  

Mass flux

ρ f MathType@MTEF@5@5@+= feaagKart1ev2aaatCvAUfeBSjuyZL2yd9gzLbvyNv2CaerbuLwBLn hiov2DGi1BTfMBaeXatLxBI9gBaerbd9wDYLwzYbItLDharqqtubsr 4rNCHbGeaGqkY=Mj0xXdbba91rFfpec8Eeeu0xXdbba9frFj0=OqFf ea0dXdd9vqaq=JfrVkFHe9pgea0dXdar=Jb9hs0dXdbPYxe9vr0=vr 0=vqpWqaaeaabiGaciaacaqabeaadaqaaqaaaOqaaiabeg8aYnaaBa aaleaacaWGMbaabeaaaaa@39E5@  

Density of base fluid

Re x MathType@MTEF@5@5@+= feaagKart1ev2aaatCvAUfeBSjuyZL2yd9gzLbvyNv2CaerbuLwBLn hiov2DGi1BTfMBaeXatLxBI9gBaerbd9wDYLwzYbItLDharqqtubsr 4rNCHbGeaGqkY=Mj0xXdbba91rFfpec8Eeeu0xXdbba9frFj0=OqFf ea0dXdd9vqaq=JfrVkFHe9pgea0dXdar=Jb9hs0dXdbPYxe9vr0=vr 0=vqpWqaaeaabiGaciaacaqabeaadaqaaqaaaOqaaiGackfacaGGLb WaaSbaaSqaaiaadIhaaeqaaaaa@39F8@  

Local Reynolds number

ρ p MathType@MTEF@5@5@+= feaagKart1ev2aaatCvAUfeBSjuyZL2yd9gzLbvyNv2CaerbuLwBLn hiov2DGi1BTfMBaeXatLxBI9gBaerbd9wDYLwzYbItLDharqqtubsr 4rNCHbGeaGqkY=Mj0xXdbba91rFfpec8Eeeu0xXdbba9frFj0=OqFf ea0dXdd9vqaq=JfrVkFHe9pgea0dXdar=Jb9hs0dXdbPYxe9vr0=vr 0=vqpWqaaeaabiGaciaacaqabeaadaqaaqaaaOqaaiabeg8aYnaaBa aaleaacaWGWbaabeaaaaa@39EF@  

Nanoparticle mass density

Sh

Sherwood number

( pC ) f MathType@MTEF@5@5@+= feaagKart1ev2aaatCvAUfeBSjuyZL2yd9gzLbvyNv2CaerbuLwBLn hiov2DGi1BTfMBaeXatLxBI9gBaerbd9wDYLwzYbItLDharqqtubsr 4rNCHbGeaGqkY=Mj0xXdbba91rFfpec8Eeeu0xXdbba9frFj0=OqFf ea0dXdd9vqaq=JfrVkFHe9pgea0dXdar=Jb9hs0dXdbPYxe9vr0=vr 0=vqpWqaaeaabiGaciaacaqabeaadaqaaqaaaOqaamaabmaabaGaam iCaiaadoeaaiaawIcacaGLPaaadaWgaaWcbaGaamOzaaqabaaaaa@3B6B@  

Heat capacity of fluid

Shr

Reduced Sherwood number

( pC ) p MathType@MTEF@5@5@+= feaagKart1ev2aaatCvAUfeBSjuyZL2yd9gzLbvyNv2CaerbuLwBLn hiov2DGi1BTfMBaeXatLxBI9gBaerbd9wDYLwzYbItLDharqqtubsr 4rNCHbGeaGqkY=Mj0xXdbba91rFfpec8Eeeu0xXdbba9frFj0=OqFf ea0dXdd9vqaq=JfrVkFHe9pgea0dXdar=Jb9hs0dXdbPYxe9vr0=vr 0=vqpWqaaeaabiGaciaacaqabeaadaqaaqaaaOqaamaabmaabaGaam iCaiaadoeaaiaawIcacaGLPaaadaWgaaWcbaGaamiCaaqabaaaaa@3B75@  

Effective heat capacity of the nanoparticle material

T

Local fluid temperature

τ MathType@MTEF@5@5@+= feaagKart1ev2aaatCvAUfeBSjuyZL2yd9gzLbvyNv2CaerbuLwBLn hiov2DGi1BTfMBaeXatLxBI9gBaerbd9wDYLwzYbItLDharqqtubsr 4rNCHbGeaGqkY=Mj0xXdbba91rFfpec8Eeeu0xXdbba9frFj0=OqFf ea0dXdd9vqaq=JfrVkFHe9pgea0dXdar=Jb9hs0dXdbPYxe9vr0=vr 0=vqpWqaaeaabiGaciaacaqabeaadaqaaqaaaOqaaiabes8a0baa@38D3@   ( pC ) p / ( pC ) f MathType@MTEF@5@5@+= feaagKart1ev2aaatCvAUfeBSjuyZL2yd9gzLbvyNv2CaerbuLwBLn hiov2DGi1BTfMBaeXatLxBI9gBaerbd9wDYLwzYbItLDharqqtubsr 4rNCHbGeaGqkY=Mj0xXdbba91rFfpec8Eeeu0xXdbba9frFj0=OqFf ea0dXdd9vqaq=JfrVkFHe9pgea0dXdar=Jb9hs0dXdbPYxe9vr0=vr 0=vqpWqaaeaabiGaciaacaqabeaadaqaaqaaaOqaamaabmaabaGaam iCaiaadoeaaiaawIcacaGLPaaadaWgaaWcbaGaamiCaaqabaGccaGG VaWaaeWaaeaacaWGWbGaam4qaaGaayjkaiaawMcaamaaBaaaleaaca WGMbaabeaaaaa@408F@  

T f MathType@MTEF@5@5@+= feaagKart1ev2aaatCvAUfeBSjuyZL2yd9gzLbvyNv2CaerbuLwBLn hiov2DGi1BTfMBaeXatLxBI9gBaerbd9wDYLwzYbItLDharqqtubsr 4rNCHbGeaGqkY=Mj0xXdbba91rFfpec8Eeeu0xXdbba9frFj0=OqFf ea0dXdd9vqaq=JfrVkFHe9pgea0dXdar=Jb9hs0dXdbPYxe9vr0=vr 0=vqpWqaaeaabiGaciaacaqabeaadaqaaqaaaOqaaabaaaaaaaaape GaamivamaaBaaaleaacaWGMbaabeaaaaa@391E@  

Temperature of the hot fluid

Ψ MathType@MTEF@5@5@+= feaagKart1ev2aaatCvAUfeBSjuyZL2yd9gzLbvyNv2CaerbuLwBLn hiov2DGi1BTfMBaeXatLxBI9gBaerbd9wDYLwzYbItLDharqqtubsr 4rNCHbGeaGqkY=Mj0xXdbba91rFfpec8Eeeu0xXdbba9frFj0=OqFf ea0dXdd9vqaq=JfrVkFHe9pgea0dXdar=Jb9hs0dXdbPYxe9vr0=vr 0=vqpWqaaeaabiGaciaacaqabeaadaqaaqaaaOqaaiabfI6azbaa@389D@  

Stream function

Table 3 Nomenclature

Figure 2–4 are displayed to views the result of (n) on f'(η) MathType@MTEF@5@5@+= feaagKart1ev2aaatCvAUfeBSjuyZL2yd9gzLbvyNv2CaerbuLwBLn hiov2DGi1BTfMBaeXatLxBI9gBaerbd9wDYLwzYbItLDharqqtubsr 4rNCHbGeaGqkY=Mj0xXdbba91rFfpec8Eeeu0xXdbba9frFj0=OqFf ea0dXdd9vqaq=JfrVkFHe9pgea0dXdar=Jb9hs0dXdbPYxe9vr0=vr 0=vqpWqaaeaabiGaciaacaqabeaadaqaaqaaaOqaaiaadAgacaGGNa GaaiikaiabeE7aOjaacMcaaaa@3BA9@ , g'(η) MathType@MTEF@5@5@+= feaagKart1ev2aaatCvAUfeBSjuyZL2yd9gzLbvyNv2CaerbuLwBLn hiov2DGi1BTfMBaeXatLxBI9gBaerbd9wDYLwzYbItLDharqqtubsr 4rNCHbGeaGqkY=Mj0xXdbba91rFfpec8Eeeu0xXdbba9frFj0=OqFf ea0dXdd9vqaq=JfrVkFHe9pgea0dXdar=Jb9hs0dXdbPYxe9vr0=vr 0=vqpWqaaeaabiGaciaacaqabeaadaqaaqaaaOqaaiaadEgacaGGNa GaaiikaiabeE7aOjaacMcaaaa@3BAA@ , θ(η) MathType@MTEF@5@5@+= feaagKart1ev2aaatCvAUfeBSjuyZL2yd9gzLbvyNv2CaerbuLwBLn hiov2DGi1BTfMBaeXatLxBI9gBaerbd9wDYLwzYbItLDharqqtubsr 4rNCHbGeaGqkY=Mj0xXdbba91rFfpec8Eeeu0xXdbba9frFj0=OqFf ea0dXdd9vqaq=JfrVkFHe9pgea0dXdar=Jb9hs0dXdbPYxe9vr0=vr 0=vqpWqaaeaabiGaciaacaqabeaadaqaaqaaaOqaaiabeI7aXjaacI cacqaH3oaAcaGGPaaaaa@3BC9@  and ϕ(η) MathType@MTEF@5@5@+= feaagKart1ev2aaatCvAUfeBSjuyZL2yd9gzLbvyNv2CaerbuLwBLn hiov2DGi1BTfMBaeXatLxBI9gBaerbd9wDYLwzYbItLDharqqtubsr 4rNCHbGeaGqkY=Mj0xXdbba91rFfpec8Eeeu0xXdbba9frFj0=OqFf ea0dXdd9vqaq=JfrVkFHe9pgea0dXdar=Jb9hs0dXdbPYxe9vr0=vr 0=vqpWqaaeaabiGaciaacaqabeaadaqaaqaaaOqaaiabew9aMjaacI cacqaH3oaAcaGGPaaaaa@3BDB@ . From the Figure 2 dimensionless velocity and concentration was reduced for the increasing value of (n). Actually, higher value of n boosts to improved the pressure on the flow results reduction in velocity and concentration and increment in thickness of layer and solutal boundary layer. Figure 5–7 have revealed to view the unsteady parameter ( ε MathType@MTEF@5@5@+= feaagKart1ev2aaatCvAUfeBSjuyZL2yd9gzLbvyNv2CaerbuLwBLn hiov2DGi1BTfMBaeXatLxBI9gBaerbd9wDYLwzYbItLDharqqtubsr 4rNCHbGeaGqkY=Mj0xXdbba91rFfpec8Eeeu0xXdbba9frFj0=OqFf ea0dXdd9vqaq=JfrVkFHe9pgea0dXdar=Jb9hs0dXdbPYxe9vr0=vr 0=vqpWqaaeaabiGaciaacaqabeaadaqaaqaaaOqaaiabew7aLbaa@38B5@ ) velocity f'(η) MathType@MTEF@5@5@+= feaagKart1ev2aaatCvAUfeBSjuyZL2yd9gzLbvyNv2CaerbuLwBLn hiov2DGi1BTfMBaeXatLxBI9gBaerbd9wDYLwzYbItLDharqqtubsr 4rNCHbGeaGqkY=Mj0xXdbba91rFfpec8Eeeu0xXdbba9frFj0=OqFf ea0dXdd9vqaq=JfrVkFHe9pgea0dXdar=Jb9hs0dXdbPYxe9vr0=vr 0=vqpWqaaeaabiGaciaacaqabeaadaqaaqaaaOqaaiaadAgacaGGNa GaaiikaiabeE7aOjaacMcaaaa@3BA9@ , g'(η) MathType@MTEF@5@5@+= feaagKart1ev2aaatCvAUfeBSjuyZL2yd9gzLbvyNv2CaerbuLwBLn hiov2DGi1BTfMBaeXatLxBI9gBaerbd9wDYLwzYbItLDharqqtubsr 4rNCHbGeaGqkY=Mj0xXdbba91rFfpec8Eeeu0xXdbba9frFj0=OqFf ea0dXdd9vqaq=JfrVkFHe9pgea0dXdar=Jb9hs0dXdbPYxe9vr0=vr 0=vqpWqaaeaabiGaciaacaqabeaadaqaaqaaaOqaaiaadEgacaGGNa GaaiikaiabeE7aOjaacMcaaaa@3BAA@ , temperature θ(η) MathType@MTEF@5@5@+= feaagKart1ev2aaatCvAUfeBSjuyZL2yd9gzLbvyNv2CaerbuLwBLn hiov2DGi1BTfMBaeXatLxBI9gBaerbd9wDYLwzYbItLDharqqtubsr 4rNCHbGeaGqkY=Mj0xXdbba91rFfpec8Eeeu0xXdbba9frFj0=OqFf ea0dXdd9vqaq=JfrVkFHe9pgea0dXdar=Jb9hs0dXdbPYxe9vr0=vr 0=vqpWqaaeaabiGaciaacaqabeaadaqaaqaaaOqaaiabeI7aXjaacI cacqaH3oaAcaGGPaaaaa@3BC9@  and concentration of nanoparticle ϕ(η) MathType@MTEF@5@5@+= feaagKart1ev2aaatCvAUfeBSjuyZL2yd9gzLbvyNv2CaerbuLwBLn hiov2DGi1BTfMBaeXatLxBI9gBaerbd9wDYLwzYbItLDharqqtubsr 4rNCHbGeaGqkY=Mj0xXdbba91rFfpec8Eeeu0xXdbba9frFj0=OqFf ea0dXdd9vqaq=JfrVkFHe9pgea0dXdar=Jb9hs0dXdbPYxe9vr0=vr 0=vqpWqaaeaabiGaciaacaqabeaadaqaaqaaaOqaaiabew9aMjaacI cacqaH3oaAcaGGPaaaaa@3BDB@ . An increasing behavior in the nanofluid velocity component and boundary layer thickness enhanced due to the larger value of unsteady parameter. Due to this reason, unsteady variable is directly relative to the stretching rate of nanofluid with x-direction. Because escalated the unsteady variable the stretching rate with x-axis increases causes to upsurges nanofluid. Similar, behavior is seen for thermal and nanoparticles concentration. Figure 8–10 displays the of (We) on f'(η) MathType@MTEF@5@5@+= feaagKart1ev2aaatCvAUfeBSjuyZL2yd9gzLbvyNv2CaerbuLwBLn hiov2DGi1BTfMBaeXatLxBI9gBaerbd9wDYLwzYbItLDharqqtubsr 4rNCHbGeaGqkY=Mj0xXdbba91rFfpec8Eeeu0xXdbba9frFj0=OqFf ea0dXdd9vqaq=JfrVkFHe9pgea0dXdar=Jb9hs0dXdbPYxe9vr0=vr 0=vqpWqaaeaabiGaciaacaqabeaadaqaaqaaaOqaaiaadAgacaGGNa GaaiikaiabeE7aOjaacMcaaaa@3BA9@ , g'(η) MathType@MTEF@5@5@+= feaagKart1ev2aaatCvAUfeBSjuyZL2yd9gzLbvyNv2CaerbuLwBLn hiov2DGi1BTfMBaeXatLxBI9gBaerbd9wDYLwzYbItLDharqqtubsr 4rNCHbGeaGqkY=Mj0xXdbba91rFfpec8Eeeu0xXdbba9frFj0=OqFf ea0dXdd9vqaq=JfrVkFHe9pgea0dXdar=Jb9hs0dXdbPYxe9vr0=vr 0=vqpWqaaeaabiGaciaacaqabeaadaqaaqaaaOqaaiaadEgacaGGNa GaaiikaiabeE7aOjaacMcaaaa@3BAA@ , θ(η) MathType@MTEF@5@5@+= feaagKart1ev2aaatCvAUfeBSjuyZL2yd9gzLbvyNv2CaerbuLwBLn hiov2DGi1BTfMBaeXatLxBI9gBaerbd9wDYLwzYbItLDharqqtubsr 4rNCHbGeaGqkY=Mj0xXdbba91rFfpec8Eeeu0xXdbba9frFj0=OqFf ea0dXdd9vqaq=JfrVkFHe9pgea0dXdar=Jb9hs0dXdbPYxe9vr0=vr 0=vqpWqaaeaabiGaciaacaqabeaadaqaaqaaaOqaaiabeI7aXjaacI cacqaH3oaAcaGGPaaaaa@3BC9@  and ϕ(η) MathType@MTEF@5@5@+= feaagKart1ev2aaatCvAUfeBSjuyZL2yd9gzLbvyNv2CaerbuLwBLn hiov2DGi1BTfMBaeXatLxBI9gBaerbd9wDYLwzYbItLDharqqtubsr 4rNCHbGeaGqkY=Mj0xXdbba91rFfpec8Eeeu0xXdbba9frFj0=OqFf ea0dXdd9vqaq=JfrVkFHe9pgea0dXdar=Jb9hs0dXdbPYxe9vr0=vr 0=vqpWqaaeaabiGaciaacaqabeaadaqaaqaaaOqaaiabew9aMjaacI cacqaH3oaAcaGGPaaaaa@3BDB@ . Figure 8 larger the value of We upsurge in momentum layer and velocity. It is a fact that We is a thermal relation time to increase more flow of fluid. From Figure 9 is plotted to view that temperature of nanofluid is augmented for the greater value of We. Physically, an enhanced in thermal relaxation process result the increased in fluid temperature. From Figure 10 is sketch to clear that concentration of nanoparticles is intensified for increment value of We. Figure 11–13 shows the f'(η) MathType@MTEF@5@5@+= feaagKart1ev2aaatCvAUfeBSjuyZL2yd9gzLbvyNv2CaerbuLwBLn hiov2DGi1BTfMBaeXatLxBI9gBaerbd9wDYLwzYbItLDharqqtubsr 4rNCHbGeaGqkY=Mj0xXdbba91rFfpec8Eeeu0xXdbba9frFj0=OqFf ea0dXdd9vqaq=JfrVkFHe9pgea0dXdar=Jb9hs0dXdbPYxe9vr0=vr 0=vqpWqaaeaabiGaciaacaqabeaadaqaaqaaaOqaaiaadAgacaGGNa GaaiikaiabeE7aOjaacMcaaaa@3BA9@ g'(η) MathType@MTEF@5@5@+= feaagKart1ev2aaatCvAUfeBSjuyZL2yd9gzLbvyNv2CaerbuLwBLn hiov2DGi1BTfMBaeXatLxBI9gBaerbd9wDYLwzYbItLDharqqtubsr 4rNCHbGeaGqkY=Mj0xXdbba91rFfpec8Eeeu0xXdbba9frFj0=OqFf ea0dXdd9vqaq=JfrVkFHe9pgea0dXdar=Jb9hs0dXdbPYxe9vr0=vr 0=vqpWqaaeaabiGaciaacaqabeaadaqaaqaaaOqaaiaadEgacaGGNa GaaiikaiabeE7aOjaacMcaaaa@3BAA@   θ(η) MathType@MTEF@5@5@+= feaagKart1ev2aaatCvAUfeBSjuyZL2yd9gzLbvyNv2CaerbuLwBLn hiov2DGi1BTfMBaeXatLxBI9gBaerbd9wDYLwzYbItLDharqqtubsr 4rNCHbGeaGqkY=Mj0xXdbba91rFfpec8Eeeu0xXdbba9frFj0=OqFf ea0dXdd9vqaq=JfrVkFHe9pgea0dXdar=Jb9hs0dXdbPYxe9vr0=vr 0=vqpWqaaeaabiGaciaacaqabeaadaqaaqaaaOqaaiabeI7aXjaacI cacqaH3oaAcaGGPaaaaa@3BC9@  and ϕ(η) MathType@MTEF@5@5@+= feaagKart1ev2aaatCvAUfeBSjuyZL2yd9gzLbvyNv2CaerbuLwBLn hiov2DGi1BTfMBaeXatLxBI9gBaerbd9wDYLwzYbItLDharqqtubsr 4rNCHbGeaGqkY=Mj0xXdbba91rFfpec8Eeeu0xXdbba9frFj0=OqFf ea0dXdd9vqaq=JfrVkFHe9pgea0dXdar=Jb9hs0dXdbPYxe9vr0=vr 0=vqpWqaaeaabiGaciaacaqabeaadaqaaqaaaOqaaiabew9aMjaacI cacqaH3oaAcaGGPaaaaa@3BDB@  for the variation of A. It is noted that from Figure 11 when ( λ MathType@MTEF@5@5@+= feaagKart1ev2aaatCvAUfeBSjuyZL2yd9gzLbvyNv2CaerbuLwBLn hiov2DGi1BTfMBaeXatLxBI9gBaerbd9wDYLwzYbItLDharqqtubsr 4rNCHbGeaGqkY=MjYJH8sqFD0xXdHaVhbbf9v8qqaqFr0xc9pk0xbb a9q8WqFfea0=yr0RYxir=Jbba9q8aq0=yq=He9q8qqQ8frFve9Fve9 Ff0dmeaabaqaciGacaGaaeqabaWaaeaaeaaakeaacqaH7oaBaaa@3977@ >1), the flow made boundary layer structure, from the fact that the shear effect toward the stagnation section accelerated so the augmentation of the outer stream enhances results diminish the thickness of the boundary layer causes larger magnitude of λ MathType@MTEF@5@5@+= feaagKart1ev2aaatCvAUfeBSjuyZL2yd9gzLbvyNv2CaerbuLwBLn hiov2DGi1BTfMBaeXatLxBI9gBaerbd9wDYLwzYbItLDharqqtubsr 4rNCHbGeaGqkY=MjYJH8sqFD0xXdHaVhbbf9v8qqaqFr0xc9pk0xbb a9q8WqFfea0=yr0RYxir=Jbba9q8aq0=yq=He9q8qqQ8frFve9Fve9 Ff0dmeaabaqaciGacaGaaeqabaWaaeaaeaaakeaacqaH7oaBaaa@3977@ . When ( λ MathType@MTEF@5@5@+= feaagKart1ev2aaatCvAUfeBSjuyZL2yd9gzLbvyNv2CaerbuLwBLn hiov2DGi1BTfMBaeXatLxBI9gBaerbd9wDYLwzYbItLDharqqtubsr 4rNCHbGeaGqkY=MjYJH8sqFD0xXdHaVhbbf9v8qqaqFr0xc9pk0xbb a9q8WqFfea0=yr0RYxir=Jbba9q8aq0=yq=He9q8qqQ8frFve9Fve9 Ff0dmeaabaqaciGacaGaaeqabaWaaeaaeaaakeaacqaH7oaBaaa@3977@ <1). For  λ MathType@MTEF@5@5@+= feaagKart1ev2aaatCvAUfeBSjuyZL2yd9gzLbvyNv2CaerbuLwBLn hiov2DGi1BTfMBaeXatLxBI9gBaerbd9wDYLwzYbItLDharqqtubsr 4rNCHbGeaGqkY=MjYJH8sqFD0xXdHaVhbbf9v8qqaqFr0xc9pk0xbb a9q8WqFfea0=yr0RYxir=Jbba9q8aq0=yq=He9q8qqQ8frFve9Fve9 Ff0dmeaabaqaciGacaGaaeqabaWaaeaaeaaakeaacqaH7oaBaaa@3977@ =1 there is no boundary layer structure is noted for the reason that both free stream and stretching velocity are equal. Velocity filed g'(η) MathType@MTEF@5@5@+= feaagKart1ev2aaatCvAUfeBSjuyZL2yd9gzLbvyNv2CaerbuLwBLn hiov2DGi1BTfMBaeXatLxBI9gBaerbd9wDYLwzYbItLDharqqtubsr 4rNCHbGeaGqkY=Mj0xXdbba91rFfpec8Eeeu0xXdbba9frFj0=OqFf ea0dXdd9vqaq=JfrVkFHe9pgea0dXdar=Jb9hs0dXdbPYxe9vr0=vr 0=vqpWqaaeaabiGaciaacaqabeaadaqaaqaaaOqaaiaadEgacaGGNa GaaiikaiabeE7aOjaacMcaaaa@3BAA@ increases with greater value of λ MathType@MTEF@5@5@+= feaagKart1ev2aaatCvAUfeBSjuyZL2yd9gzLbvyNv2CaerbuLwBLn hiov2DGi1BTfMBaeXatLxBI9gBaerbd9wDYLwzYbItLDharqqtubsr 4rNCHbGeaGqkY=MjYJH8sqFD0xXdHaVhbbf9v8qqaqFr0xc9pk0xbb a9q8WqFfea0=yr0RYxir=Jbba9q8aq0=yq=He9q8qqQ8frFve9Fve9 Ff0dmeaabaqaciGacaGaaeqabaWaaeaaeaaakeaacqaH7oaBaaa@3977@ . From Figure 12 and Figure 13 show that both θ(η) and ϕ(η) increases due to rise in  λ MathType@MTEF@5@5@+= feaagKart1ev2aaatCvAUfeBSjuyZL2yd9gzLbvyNv2CaerbuLwBLn hiov2DGi1BTfMBaeXatLxBI9gBaerbd9wDYLwzYbItLDharqqtubsr 4rNCHbGeaGqkY=MjYJH8sqFD0xXdHaVhbbf9v8qqaqFr0xc9pk0xbb a9q8WqFfea0=yr0RYxir=Jbba9q8aq0=yq=He9q8qqQ8frFve9Fve9 Ff0dmeaabaqaciGacaGaaeqabaWaaeaaeaaakeaacqaH7oaBaaa@3977@ .

Figure 2 f' MathType@MTEF@5@5@+= feaagKart1ev2aaatCvAUfeBSjuyZL2yd9gzLbvyNv2CaerbuLwBLn hiov2DGi1BTfMBaeXatLxBI9gBaerbd9wDYLwzYbItLDharqqtubsr 4rNCHbGeaGqiVyI8VfYJH8YrFfeuY=Hhbbf9v8qqaqFr0xc9pk0xbb a9q8WqFfea0=yr0RYxir=Jbba9q8aq0=yq=He9q8qqQ8frFve9Fve9 Ff0dmeaabaqaciGacaGaaeqabaWaaeaaeaaakeaacaWGMbGaai4jaa aa@3728@ and g' MathType@MTEF@5@5@+= feaagKart1ev2aaatCvAUfeBSjuyZL2yd9gzLbvyNv2CaerbuLwBLn hiov2DGi1BTfMBaeXatLxBI9gBaerbd9wDYLwzYbItLDharqqtubsr 4rNCHbGeaGqkY=MjYJH8sqFD0xXdHaVhbbf9v8qqaqFr0xc9pk0xbb a9q8WqFfea0=yr0RYxir=Jbba9q8aq0=yq=He9q8qqQ8frFve9Fve9 Ff0dmeaabaqaciGacaGaaeqabaWaaeaaeaaakeaacaWGNbGaai4jaa aa@395A@ for value of n.

Figure 3 Θ for value of n.

Figure 4 Θ for value of n.

Figure 5 f' MathType@MTEF@5@5@+= feaagKart1ev2aaatCvAUfeBSjuyZL2yd9gzLbvyNv2CaerbuLwBLn hiov2DGi1BTfMBaeXatLxBI9gBaerbd9wDYLwzYbItLDharqqtubsr 4rNCHbGeaGqkY=MjYJH8sqFD0xXdHaVhbbf9v8qqaqFr0xc9pk0xbb a9q8WqFfea0=yr0RYxir=Jbba9q8aq0=yq=He9q8qqQ8frFve9Fve9 Ff0dmeaabaqaciGacaGaaeqabaWaaeaaeaaakeaacaWGMbGaai4jaa aa@3959@ and g' MathType@MTEF@5@5@+= feaagKart1ev2aaatCvAUfeBSjuyZL2yd9gzLbvyNv2CaerbuLwBLn hiov2DGi1BTfMBaeXatLxBI9gBaerbd9wDYLwzYbItLDharqqtubsr 4rNCHbGeaGqkY=MjYJH8sqFD0xXdHaVhbbf9v8qqaqFr0xc9pk0xbb a9q8WqFfea0=yr0RYxir=Jbba9q8aq0=yq=He9q8qqQ8frFve9Fve9 Ff0dmeaabaqaciGacaGaaeqabaWaaeaaeaaakeaacaWGNbGaai4jaa aa@395A@ for value of ε MathType@MTEF@5@5@+= feaagKart1ev2aaatCvAUfeBSjuyZL2yd9gzLbvyNv2CaerbuLwBLn hiov2DGi1BTfMBaeXatLxBI9gBaerbd9wDYLwzYbItLDharqqtubsr 4rNCHbGeaGqkY=MjYJH8sqFD0xXdHaVhbbf9v8qqaqFr0xc9pk0xbb a9q8WqFfea0=yr0RYxir=Jbba9q8aq0=yq=He9q8qqQ8frFve9Fve9 Ff0dmeaabaqaciGacaGaaeqabaWaaeaaeaaakeaacqaH1oqzaaa@396A@ .

Figure 6 θ MathType@MTEF@5@5@+= feaagKart1ev2aaatCvAUfeBSjuyZL2yd9gzLbvyNv2CaerbuLwBLn hiov2DGi1BTfMBaeXatLxBI9gBaerbd9wDYLwzYbItLDharqqtubsr 4rNCHbGeaGqkY=MjYJH8sqFD0xXdHaVhbbf9v8qqaqFr0xc9pk0xbb a9q8WqFfea0=yr0RYxir=Jbba9q8aq0=yq=He9q8qqQ8frFve9Fve9 Ff0dmeaabaqaciGacaGaaeqabaWaaeaaeaaakeaacqaH4oqCaaa@3979@ for value of ε MathType@MTEF@5@5@+= feaagKart1ev2aaatCvAUfeBSjuyZL2yd9gzLbvyNv2CaerbuLwBLn hiov2DGi1BTfMBaeXatLxBI9gBaerbd9wDYLwzYbItLDharqqtubsr 4rNCHbGeaGqkY=MjYJH8sqFD0xXdHaVhbbf9v8qqaqFr0xc9pk0xbb a9q8WqFfea0=yr0RYxir=Jbba9q8aq0=yq=He9q8qqQ8frFve9Fve9 Ff0dmeaabaqaciGacaGaaeqabaWaaeaaeaaakeaacqaH1oqzaaa@396A@ .

Figure 7 ϕ MathType@MTEF@5@5@+= feaagKart1ev2aaatCvAUfeBSjuyZL2yd9gzLbvyNv2CaerbuLwBLn hiov2DGi1BTfMBaeXatLxBI9gBaerbd9wDYLwzYbItLDharqqtubsr 4rNCHbGeaGqkY=MjYJH8sqFD0xXdHaVhbbf9v8qqaqFr0xc9pk0xbb a9q8WqFfea0=yr0RYxir=Jbba9q8aq0=yq=He9q8qqQ8frFve9Fve9 Ff0dmeaabaqaciGacaGaaeqabaWaaeaaeaaakeaacqaHvpGzaaa@398B@ for value of ε MathType@MTEF@5@5@+= feaagKart1ev2aaatCvAUfeBSjuyZL2yd9gzLbvyNv2CaerbuLwBLn hiov2DGi1BTfMBaeXatLxBI9gBaerbd9wDYLwzYbItLDharqqtubsr 4rNCHbGeaGqkY=MjYJH8sqFD0xXdHaVhbbf9v8qqaqFr0xc9pk0xbb a9q8WqFfea0=yr0RYxir=Jbba9q8aq0=yq=He9q8qqQ8frFve9Fve9 Ff0dmeaabaqaciGacaGaaeqabaWaaeaaeaaakeaacqaH1oqzaaa@396A@ .

Figure 8 f' MathType@MTEF@5@5@+= feaagKart1ev2aaatCvAUfeBSjuyZL2yd9gzLbvyNv2CaerbuLwBLn hiov2DGi1BTfMBaeXatLxBI9gBaerbd9wDYLwzYbItLDharqqtubsr 4rNCHbGeaGqkY=MjYJH8sqFD0xXdHaVhbbf9v8qqaqFr0xc9pk0xbb a9q8WqFfea0=yr0RYxir=Jbba9q8aq0=yq=He9q8qqQ8frFve9Fve9 Ff0dmeaabaqaciGacaGaaeqabaWaaeaaeaaakeaacaWGMbGaai4jaa aa@3959@ and g' MathType@MTEF@5@5@+= feaagKart1ev2aaatCvAUfeBSjuyZL2yd9gzLbvyNv2CaerbuLwBLn hiov2DGi1BTfMBaeXatLxBI9gBaerbd9wDYLwzYbItLDharqqtubsr 4rNCHbGeaGqkY=MjYJH8sqFD0xXdHaVhbbf9v8qqaqFr0xc9pk0xbb a9q8WqFfea0=yr0RYxir=Jbba9q8aq0=yq=He9q8qqQ8frFve9Fve9 Ff0dmeaabaqaciGacaGaaeqabaWaaeaaeaaakeaacaWGNbGaai4jaa aa@395A@ for value of We.

Figure 9 θ MathType@MTEF@5@5@+= feaagKart1ev2aaatCvAUfeBSjuyZL2yd9gzLbvyNv2CaerbuLwBLn hiov2DGi1BTfMBaeXatLxBI9gBaerbd9wDYLwzYbItLDharqqtubsr 4rNCHbGeaGqkY=MjYJH8sqFD0xXdHaVhbbf9v8qqaqFr0xc9pk0xbb a9q8WqFfea0=yr0RYxir=Jbba9q8aq0=yq=He9q8qqQ8frFve9Fve9 Ff0dmeaabaqaciGacaGaaeqabaWaaeaaeaaakeaacqaH4oqCaaa@3979@ for value of We.

Figure 10 ϕ MathType@MTEF@5@5@+= feaagKart1ev2aaatCvAUfeBSjuyZL2yd9gzLbvyNv2CaerbuLwBLn hiov2DGi1BTfMBaeXatLxBI9gBaerbd9wDYLwzYbItLDharqqtubsr 4rNCHbGeaGqkY=MjYJH8sqFD0xXdHaVhbbf9v8qqaqFr0xc9pk0xbb a9q8WqFfea0=yr0RYxir=Jbba9q8aq0=yq=He9q8qqQ8frFve9Fve9 Ff0dmeaabaqaciGacaGaaeqabaWaaeaaeaaakeaacqaHvpGzaaa@398B@ for value of We.

Figure 11 f' MathType@MTEF@5@5@+= feaagKart1ev2aaatCvAUfeBSjuyZL2yd9gzLbvyNv2CaerbuLwBLn hiov2DGi1BTfMBaeXatLxBI9gBaerbd9wDYLwzYbItLDharqqtubsr 4rNCHbGeaGqkY=MjYJH8sqFD0xXdHaVhbbf9v8qqaqFr0xc9pk0xbb a9q8WqFfea0=yr0RYxir=Jbba9q8aq0=yq=He9q8qqQ8frFve9Fve9 Ff0dmeaabaqaciGacaGaaeqabaWaaeaaeaaakeaacaWGMbGaai4jaa aa@3959@ and g' MathType@MTEF@5@5@+= feaagKart1ev2aaatCvAUfeBSjuyZL2yd9gzLbvyNv2CaerbuLwBLn hiov2DGi1BTfMBaeXatLxBI9gBaerbd9wDYLwzYbItLDharqqtubsr 4rNCHbGeaGqiVGI8VfYJH8YrFfeuY=Hhbbf9v8qqaqFr0xc9pk0xbb a9q8WqFfea0=yr0RYxir=Jbba9q8aq0=yq=He9q8qqQ8frFve9Fve9 Ff0dmeaabaqaciGacaGaaeqabaWaaeaaeaaakeaacaWGNbGaai4jaa aa@372B@ for value of λ MathType@MTEF@5@5@+= feaagKart1ev2aaatCvAUfeBSjuyZL2yd9gzLbvyNv2CaerbuLwBLn hiov2DGi1BTfMBaeXatLxBI9gBaerbd9wDYLwzYbItLDharqqtubsr 4rNCHbGeaGqkY=MjYJH8sqFD0xXdHaVhbbf9v8qqaqFr0xc9pk0xbb a9q8WqFfea0=yr0RYxir=Jbba9q8aq0=yq=He9q8qqQ8frFve9Fve9 Ff0dmeaabaqaciGacaGaaeqabaWaaeaaeaaakeaacqaH7oaBaaa@3977@ .

Figure 12 θ MathType@MTEF@5@5@+= feaagKart1ev2aaatCvAUfeBSjuyZL2yd9gzLbvyNv2CaerbuLwBLn hiov2DGi1BTfMBaeXatLxBI9gBaerbd9wDYLwzYbItLDharqqtubsr 4rNCHbGeaGqkY=MjYJH8sqFD0xXdHaVhbbf9v8qqaqFr0xc9pk0xbb a9q8WqFfea0=yr0RYxir=Jbba9q8aq0=yq=He9q8qqQ8frFve9Fve9 Ff0dmeaabaqaciGacaGaaeqabaWaaeaaeaaakeaacqaH4oqCaaa@3979@ for value of λ MathType@MTEF@5@5@+= feaagKart1ev2aaatCvAUfeBSjuyZL2yd9gzLbvyNv2CaerbuLwBLn hiov2DGi1BTfMBaeXatLxBI9gBaerbd9wDYLwzYbItLDharqqtubsr 4rNCHbGeaGqkY=MjYJH8sqFD0xXdHaVhbbf9v8qqaqFr0xc9pk0xbb a9q8WqFfea0=yr0RYxir=Jbba9q8aq0=yq=He9q8qqQ8frFve9Fve9 Ff0dmeaabaqaciGacaGaaeqabaWaaeaaeaaakeaacqaH7oaBaaa@3977@ .

Figure 13 ϕ MathType@MTEF@5@5@+= feaagKart1ev2aaatCvAUfeBSjuyZL2yd9gzLbvyNv2CaerbuLwBLn hiov2DGi1BTfMBaeXatLxBI9gBaerbd9wDYLwzYbItLDharqqtubsr 4rNCHbGeaGqkY=MjYJH8sqFD0xXdHaVhbbf9v8qqaqFr0xc9pk0xbb a9q8WqFfea0=yr0RYxir=Jbba9q8aq0=yq=He9q8qqQ8frFve9Fve9 Ff0dmeaabaqaciGacaGaaeqabaWaaeaaeaaakeaacqaHvpGzaaa@398B@ for value of λ MathType@MTEF@5@5@+= feaagKart1ev2aaatCvAUfeBSjuyZL2yd9gzLbvyNv2CaerbuLwBLn hiov2DGi1BTfMBaeXatLxBI9gBaerbd9wDYLwzYbItLDharqqtubsr 4rNCHbGeaGqkY=MjYJH8sqFD0xXdHaVhbbf9v8qqaqFr0xc9pk0xbb a9q8WqFfea0=yr0RYxir=Jbba9q8aq0=yq=He9q8qqQ8frFve9Fve9 Ff0dmeaabaqaciGacaGaaeqabaWaaeaaeaaakeaacqaH7oaBaaa@3977@ .

A significant of Nt and Nb for temperature and concentration of nanoparicle are explored in Figure 14–17. From Figures. the θ(η) and ϕ(η) distribution is increased for increasing value of Nt. From Figure 16,17 shown that the Nb boosts the temperature and reduced the concentration of nanoparticle. A fluid particle intensifies with augmentation in Nb and more heat is formed to amplify the thermal layer thickness. While enlarging value of Nb reduces nanoparticle concentration. Physically, boost in the magnitude of Nb result to enhance the rate of diffusions of nanoparticles in the base fluid motion in irregular direction. So, motion of nanoparticles escalates in convey of heat and decline in concentration.

Figure 14 θ MathType@MTEF@5@5@+= feaagKart1ev2aaatCvAUfeBSjuyZL2yd9gzLbvyNv2CaerbuLwBLn hiov2DGi1BTfMBaeXatLxBI9gBaerbd9wDYLwzYbItLDharqqtubsr 4rNCHbGeaGqkY=MjYJH8sqFD0xXdHaVhbbf9v8qqaqFr0xc9pk0xbb a9q8WqFfea0=yr0RYxir=Jbba9q8aq0=yq=He9q8qqQ8frFve9Fve9 Ff0dmeaabaqaciGacaGaaeqabaWaaeaaeaaakeaacqaH4oqCaaa@3979@ for value of Nt.

Figure 15 θ MathType@MTEF@5@5@+= feaagKart1ev2aaatCvAUfeBSjuyZL2yd9gzLbvyNv2CaerbuLwBLn hiov2DGi1BTfMBaeXatLxBI9gBaerbd9wDYLwzYbItLDharqqtubsr 4rNCHbGeaGqkY=MjYJH8sqFD0xXdHaVhbbf9v8qqaqFr0xc9pk0xbb a9q8WqFfea0=yr0RYxir=Jbba9q8aq0=yq=He9q8qqQ8frFve9Fve9 Ff0dmeaabaqaciGacaGaaeqabaWaaeaaeaaakeaacqaH4oqCaaa@3979@ for value of Nt.

Figure 16 θ MathType@MTEF@5@5@+= feaagKart1ev2aaatCvAUfeBSjuyZL2yd9gzLbvyNv2CaerbuLwBLn hiov2DGi1BTfMBaeXatLxBI9gBaerbd9wDYLwzYbItLDharqqtubsr 4rNCHbGeaGqkY=MjYJH8sqFD0xXdHaVhbbf9v8qqaqFr0xc9pk0xbb a9q8WqFfea0=yr0RYxir=Jbba9q8aq0=yq=He9q8qqQ8frFve9Fve9 Ff0dmeaabaqaciGacaGaaeqabaWaaeaaeaaakeaacqaH4oqCaaa@3979@ for value of Nb.

Figure 17 θ MathType@MTEF@5@5@+= feaagKart1ev2aaatCvAUfeBSjuyZL2yd9gzLbvyNv2CaerbuLwBLn hiov2DGi1BTfMBaeXatLxBI9gBaerbd9wDYLwzYbItLDharqqtubsr 4rNCHbGeaGqkY=MjYJH8sqFD0xXdHaVhbbf9v8qqaqFr0xc9pk0xbb a9q8WqFfea0=yr0RYxir=Jbba9q8aq0=yq=He9q8qqQ8frFve9Fve9 Ff0dmeaabaqaciGacaGaaeqabaWaaeaaeaaakeaacqaH4oqCaaa@3979@ for value of Nb .

Figure 18 exhibits the effect of (Pr) on θ(η). Clearly from Figure 18 larger Pr fallout temperature profile whereas the fluid become more viscous. Consequently, fluid with a less viscosity obtained a leading temperature and greater viscosity produced the lesser temperature. So, by growing in Pr leads to thermal diffusivity which decline temperature of tangent hyperbolic fluid. The θ(η) for the variation of Rd has been exhibited in Figure 19. It describes that increase in temperature leading function of Rd. Physically, higher the radiation parameter Rd heat is produced in working fluid that is the reason temperature gradient accelerates. Temperature profile for diverse values of Ec has been indicated in Figure 20. Fluid temperature escalates for larger value of Ec. In this regard the increment in Eckert number Ec results increase in internal source of energy and that is the reason fluid temperature rise.

Figure 18 θ MathType@MTEF@5@5@+= feaagKart1ev2aaatCvAUfeBSjuyZL2yd9gzLbvyNv2CaerbuLwBLn hiov2DGi1BTfMBaeXatLxBI9gBaerbd9wDYLwzYbItLDharqqtubsr 4rNCHbGeaGqkY=MjYJH8sqFD0xXdHaVhbbf9v8qqaqFr0xc9pk0xbb a9q8WqFfea0=yr0RYxir=Jbba9q8aq0=yq=He9q8qqQ8frFve9Fve9 Ff0dmeaabaqaciGacaGaaeqabaWaaeaaeaaakeaacqaH4oqCaaa@3979@ for value of Pr.

Figure 19 θ MathType@MTEF@5@5@+= feaagKart1ev2aaatCvAUfeBSjuyZL2yd9gzLbvyNv2CaerbuLwBLn hiov2DGi1BTfMBaeXatLxBI9gBaerbd9wDYLwzYbItLDharqqtubsr 4rNCHbGeaGqkY=MjYJH8sqFD0xXdHaVhbbf9v8qqaqFr0xc9pk0xbb a9q8WqFfea0=yr0RYxir=Jbba9q8aq0=yq=He9q8qqQ8frFve9Fve9 Ff0dmeaabaqaciGacaGaaeqabaWaaeaaeaaakeaacqaH4oqCaaa@3979@ for value of Rd.

Figure 20 θ MathType@MTEF@5@5@+= feaagKart1ev2aaatCvAUfeBSjuyZL2yd9gzLbvyNv2CaerbuLwBLn hiov2DGi1BTfMBaeXatLxBI9gBaerbd9wDYLwzYbItLDharqqtubsr 4rNCHbGeaGqkY=MjYJH8sqFD0xXdHaVhbbf9v8qqaqFr0xc9pk0xbb a9q8WqFfea0=yr0RYxir=Jbba9q8aq0=yq=He9q8qqQ8frFve9Fve9 Ff0dmeaabaqaciGacaGaaeqabaWaaeaaeaaakeaacqaH4oqCaaa@3979@ for value of Ec.

Figure 21,22 depicted the effect of Sc and k on nanofluid concentration. It is not able that an augment k and Sc has a trend to decline the nanofluid concentration.

Figure 21 θ MathType@MTEF@5@5@+= feaagKart1ev2aaatCvAUfeBSjuyZL2yd9gzLbvyNv2CaerbuLwBLn hiov2DGi1BTfMBaeXatLxBI9gBaerbd9wDYLwzYbItLDharqqtubsr 4rNCHbGeaGqkY=MjYJH8sqFD0xXdHaVhbbf9v8qqaqFr0xc9pk0xbb a9q8WqFfea0=yr0RYxir=Jbba9q8aq0=yq=He9q8qqQ8frFve9Fve9 Ff0dmeaabaqaciGacaGaaeqabaWaaeaaeaaakeaacqaH4oqCaaa@3979@ for value of K.

Figure 22 θ MathType@MTEF@5@5@+= feaagKart1ev2aaatCvAUfeBSjuyZL2yd9gzLbvyNv2CaerbuLwBLn hiov2DGi1BTfMBaeXatLxBI9gBaerbd9wDYLwzYbItLDharqqtubsr 4rNCHbGeaGqkY=MjYJH8sqFD0xXdHaVhbbf9v8qqaqFr0xc9pk0xbb a9q8WqFfea0=yr0RYxir=Jbba9q8aq0=yq=He9q8qqQ8frFve9Fve9 Ff0dmeaabaqaciGacaGaaeqabaWaaeaaeaaakeaacqaH4oqCaaa@3979@ for value of Sc.

The effect of n and We on C fx MathType@MTEF@5@5@+= feaagKart1ev2aaatCvAUfeBSjuyZL2yd9gzLbvyNv2CaerbuLwBLn hiov2DGi1BTfMBaeXatLxBI9gBaerbd9wDYLwzYbItLDharqqtubsr 4rNCHbGeaGqkY=MjYJH8sqFD0xXdHaVhbbf9v8qqaqFr0xc9pk0xbb a9q8WqFfea0=yr0RYxir=Jbba9q8aq0=yq=He9q8qqQ8frFve9Fve9 Ff0dmeaabaqaciGacaGaaeqabaWaaeaaeaaakeaacaWGdbWaaSbaaS qaaiaadAgacaWG4baabeaaaaa@3A9F@ , C fy MathType@MTEF@5@5@+= feaagKart1ev2aaatCvAUfeBSjuyZL2yd9gzLbvyNv2CaerbuLwBLn hiov2DGi1BTfMBaeXatLxBI9gBaerbd9wDYLwzYbItLDharqqtubsr 4rNCHbGeaGqkY=MjYJH8sqFD0xXdHaVhbbf9v8qqaqFr0xc9pk0xbb a9q8WqFfea0=yr0RYxir=Jbba9q8aq0=yq=He9q8qqQ8frFve9Fve9 Ff0dmeaabaqaciGacaGaaeqabaWaaeaaeaaakeaacaWGdbWaaSbaaS qaaiaadAgacaWG5baabeaaaaa@3AA0@  wass illustrated in Figure 23,24. It shows that the C fx MathType@MTEF@5@5@+= feaagKart1ev2aaatCvAUfeBSjuyZL2yd9gzLbvyNv2CaerbuLwBLn hiov2DGi1BTfMBaeXatLxBI9gBaerbd9wDYLwzYbItLDharqqtubsr 4rNCHbGeaGqkY=MjYJH8sqFD0xXdHaVhbbf9v8qqaqFr0xc9pk0xbb a9q8WqFfea0=yr0RYxir=Jbba9q8aq0=yq=He9q8qqQ8frFve9Fve9 Ff0dmeaabaqaciGacaGaaeqabaWaaeaaeaaakeaacaWGdbWaaSbaaS qaaiaadAgacaWG4baabeaaaaa@3A9F@ , C fy MathType@MTEF@5@5@+= feaagKart1ev2aaatCvAUfeBSjuyZL2yd9gzLbvyNv2CaerbuLwBLn hiov2DGi1BTfMBaeXatLxBI9gBaerbd9wDYLwzYbItLDharqqtubsr 4rNCHbGeaGqkY=MjYJH8sqFD0xXdHaVhbbf9v8qqaqFr0xc9pk0xbb a9q8WqFfea0=yr0RYxir=Jbba9q8aq0=yq=He9q8qqQ8frFve9Fve9 Ff0dmeaabaqaciGacaGaaeqabaWaaeaaeaaakeaacaWGdbWaaSbaaS qaaiaadAgacaWG5baabeaaaaa@3AA0@  upsurges in favour of the different value of n and We. The persuade of Rd and Df on N u x MathType@MTEF@5@5@+= feaagKart1ev2aaatCvAUfeBSjuyZL2yd9gzLbvyNv2CaerbuLwBLn hiov2DGi1BTfMBaeXatLxBI9gBaerbd9wDYLwzYbItLDharqqtubsr 4rNCHbGeaGqkY=MjYJH8sqFD0xXdHaVhbbf9v8qqaqFr0xc9pk0xbb a9q8WqFfea0=yr0RYxir=Jbba9q8aq0=yq=He9q8qqQ8frFve9Fve9 Ff0dmeaabaqaciGacaGaaeqabaWaaeaaeaaakeaacaWGobGaamyDam aaBaaaleaacaWG4baabeaaaaa@3AB9@  is revealed in Figure 25. It is clear from the Fig. that the N u x MathType@MTEF@5@5@+= feaagKart1ev2aaatCvAUfeBSjuyZL2yd9gzLbvyNv2CaerbuLwBLn hiov2DGi1BTfMBaeXatLxBI9gBaerbd9wDYLwzYbItLDharqqtubsr 4rNCHbGeaGqkY=MjYJH8sqFD0xXdHaVhbbf9v8qqaqFr0xc9pk0xbb a9q8WqFfea0=yr0RYxir=Jbba9q8aq0=yq=He9q8qqQ8frFve9Fve9 Ff0dmeaabaqaciGacaGaaeqabaWaaeaaeaaakeaacaWGobGaamyDam aaBaaaleaacaWG4baabeaaaaa@3AB9@  depreciates for larger value of Rd and Df. The impact of k and Sr on S h x MathType@MTEF@5@5@+= feaagKart1ev2aaatCvAUfeBSjuyZL2yd9gzLbvyNv2CaerbuLwBLn hiov2DGi1BTfMBaeXatLxBI9gBaerbd9wDYLwzYbItLDharqqtubsr 4rNCHbGeaGqkY=MjYJH8sqFD0xXdHaVhbbf9v8qqaqFr0xc9pk0xbb a9q8WqFfea0=yr0RYxir=Jbba9q8aq0=yq=He9q8qqQ8frFve9Fve9 Ff0dmeaabaqaciGacaGaaeqabaWaaeaaeaaakeaacaWGtbGaamiAam aaBaaaleaacaWG4baabeaaaaa@3AB1@  was seen in Figure 26. S h x MathType@MTEF@5@5@+= feaagKart1ev2aaatCvAUfeBSjuyZL2yd9gzLbvyNv2CaerbuLwBLn hiov2DGi1BTfMBaeXatLxBI9gBaerbd9wDYLwzYbItLDharqqtubsr 4rNCHbGeaGqkY=MjYJH8sqFD0xXdHaVhbbf9v8qqaqFr0xc9pk0xbb a9q8WqFfea0=yr0RYxir=Jbba9q8aq0=yq=He9q8qqQ8frFve9Fve9 Ff0dmeaabaqaciGacaGaaeqabaWaaeaaeaaakeaacaWGtbGaamiAam aaBaaaleaacaWG4baabeaaaaa@3AB1@ reduced for greater value of k and Sr. Figure 27 shows the plot of stream line pattern for We and n.

Figure 23 The impact of n and We on C fx MathType@MTEF@5@5@+= feaagKart1ev2aaatCvAUfeBSjuyZL2yd9gzLbvyNv2CaerbuLwBLn hiov2DGi1BTfMBaeXatLxBI9gBaerbd9wDYLwzYbItLDharqqtubsr 4rNCHbGeaGqkY=MjYJH8sqFD0xXdHaVhbbf9v8qqaqFr0xc9pk0xbb a9q8WqFfea0=yr0RYxir=Jbba9q8aq0=yq=He9q8qqQ8frFve9Fve9 Ff0dmeaabaqaciGacaGaaeqabaWaaeaaeaaakeaacaWGdbWaaSbaaS qaaiaadAgacaWG4baabeaaaaa@3A9F@ .

Figure 24 The impact of n and We on C fy MathType@MTEF@5@5@+= feaagKart1ev2aaatCvAUfeBSjuyZL2yd9gzLbvyNv2CaerbuLwBLn hiov2DGi1BTfMBaeXatLxBI9gBaerbd9wDYLwzYbItLDharqqtubsr 4rNCHbGeaGqkY=MjYJH8sqFD0xXdHaVhbbf9v8qqaqFr0xc9pk0xbb a9q8WqFfea0=yr0RYxir=Jbba9q8aq0=yq=He9q8qqQ8frFve9Fve9 Ff0dmeaabaqaciGacaGaaeqabaWaaeaaeaaakeaacaWGdbWaaSbaaS qaaiaadAgacaWG5baabeaaaaa@3AA0@ .

Figure 25 The impact of Df and Rd on N u x MathType@MTEF@5@5@+= feaagKart1ev2aaatCvAUfeBSjuyZL2yd9gzLbvyNv2CaerbuLwBLn hiov2DGi1BTfMBaeXatLxBI9gBaerbd9wDYLwzYbItLDharqqtubsr 4rNCHbGeaGqkY=MjYJH8sqFD0xXdHaVhbbf9v8qqaqFr0xc9pk0xbb a9q8WqFfea0=yr0RYxir=Jbba9q8aq0=yq=He9q8qqQ8frFve9Fve9 Ff0dmeaabaqaciGacaGaaeqabaWaaeaaeaaakeaacaWGobGaamyDam aaBaaaleaacaWG4baabeaaaaa@3AB9@ .

Figure 26 The impact of n and We on S h x MathType@MTEF@5@5@+= feaagKart1ev2aaatCvAUfeBSjuyZL2yd9gzLbvyNv2CaerbuLwBLn hiov2DGi1BTfMBaeXatLxBI9gBaerbd9wDYLwzYbItLDharqqtubsr 4rNCHbGeaGqkY=MjYJH8sqFD0xXdHaVhbbf9v8qqaqFr0xc9pk0xbb a9q8WqFfea0=yr0RYxir=Jbba9q8aq0=yq=He9q8qqQ8frFve9Fve9 Ff0dmeaabaqaciGacaGaaeqabaWaaeaaeaaakeaacaWGtbGaamiAam aaBaaaleaacaWG4baabeaaaaa@3AB1@ .

Figure 27 Stream line Pattern for n and We.

Final remarks

The current paper explored the 3D effect of tangent hyperbolic MHD flow in presence of Soret and Duofer. The major results of current analsis are given below.

  1. Increase value of n and We due to increase in temperature.
  2. Unsteady parameter ε MathType@MTEF@5@5@+= feaagKart1ev2aaatCvAUfeBSjuyZL2yd9gzLbvyNv2CaerbuLwBLn hiov2DGi1BTfMBaeXatLxBI9gBaerbd9wDYLwzYbItLDharqqtubsr 4rNCHbGeaGqiVGI8VfYJH8YrFfeuY=Hhbbf9v8qqaqFr0xc9pk0xbb a9q8WqFfea0=yr0RYxir=Jbba9q8aq0=yq=He9q8qqQ8frFve9Fve9 Ff0dmeaabaqaciGacaGaaeqabaWaaeaaeaaakeaacqaH1oqzaaa@373B@ increases both the velocities f' MathType@MTEF@5@5@+= feaagKart1ev2aaatCvAUfeBSjuyZL2yd9gzLbvyNv2CaerbuLwBLn hiov2DGi1BTfMBaeXatLxBI9gBaerbd9wDYLwzYbItLDharqqtubsr 4rNCHbGeaGqkY=MjYJH8sqFD0xXdHaVhbbf9v8qqaqFr0xc9pk0xbb a9q8WqFfea0=yr0RYxir=Jbba9q8aq0=yq=He9q8qqQ8frFve9Fve9 Ff0dmeaabaqaciGacaGaaeqabaWaaeaaeaaakeaacaWGMbGaai4jaa aa@3959@   and g' MathType@MTEF@5@5@+= feaagKart1ev2aaatCvAUfeBSjuyZL2yd9gzLbvyNv2CaerbuLwBLn hiov2DGi1BTfMBaeXatLxBI9gBaerbd9wDYLwzYbItLDharqqtubsr 4rNCHbGeaGqkY=MjYJH8sqFD0xXdHaVhbbf9v8qqaqFr0xc9pk0xbb a9q8WqFfea0=yr0RYxir=Jbba9q8aq0=yq=He9q8qqQ8frFve9Fve9 Ff0dmeaabaqaciGacaGaaeqabaWaaeaaeaaakeaacaWGHbGaamOBai aadsgacaqGGaGaae4zaiaacEcaaaa@3CBD@ .
  3. Both temperature and concentration field are enhancing behaviour for Nt.
  4. Eckert number and Radiation parameter were increased while converse effect is noted in Pr.
  5. Skin friction C fx MathType@MTEF@5@5@+= feaagKart1ev2aaatCvAUfeBSjuyZL2yd9gzLbvyNv2CaerbuLwBLn hiov2DGi1BTfMBaeXatLxBI9gBaerbd9wDYLwzYbItLDharqqtubsr 4rNCHbGeaGqkY=MjYJH8sqFD0xXdHaVhbbf9v8qqaqFr0xc9pk0xbb a9q8WqFfea0=yr0RYxir=Jbba9q8aq0=yq=He9q8qqQ8frFve9Fve9 Ff0dmeaabaqaciGacaGaaeqabaWaaeaaeaaakeaacaWGdbWaaSbaaS qaaiaadAgacaWG4baabeaaaaa@3A9F@ , C fy MathType@MTEF@5@5@+= feaagKart1ev2aaatCvAUfeBSjuyZL2yd9gzLbvyNv2CaerbuLwBLn hiov2DGi1BTfMBaeXatLxBI9gBaerbd9wDYLwzYbItLDharqqtubsr 4rNCHbGeaGqkY=MjYJH8sqFD0xXdHaVhbbf9v8qqaqFr0xc9pk0xbb a9q8WqFfea0=yr0RYxir=Jbba9q8aq0=yq=He9q8qqQ8frFve9Fve9 Ff0dmeaabaqaciGacaGaaeqabaWaaeaaeaaakeaacaWGdbWaaSbaaS qaaiaadAgacaWG5baabeaaaaa@3AA0@ enhances with enhancing value of n, We.

Acknowledgments

None.

Conflicts of interest

We have no conflict of interest.

References

  1. SUS Choi. Enhancing thermal conductivity of fluids with nanoparticles, in Proceedings of the 1995 ASME International Mechanical Engineering Congress and Exposition. San Francisco. 1995;231:99–103.
  2. J Buongiorno. Convective transport in nanofluids.” ASME J Heat Transf. 2006;128:240–250.
  3. OD Makinde, A Aziz. Boundary layer flow of a nanofluid past a stretching sheet with a convective boundary condition. Int J Therm Sci. 2011;50:326.
  4. D Pal, H Mondal. Effects of Soret Dufour, chemical reaction and thermal radiation on MHD non-Darcy unsteady mixed convective heat and mass transfer over a stretching sheet, Commun. Nonlinear Sci Numer Simul. 2011;16:1942.
  5. M Turkyilmazoglu. Exact analytical solutions for heat and mass transfer of MHD slip flow in nanofluids. Chem Eng Sci. 2012;84:182.
  6. WA Khan, M Khan, R Malik. Three-Dimensional Flow of an Oldroyd-B Nanofluid towards Stretching Surface with Heat Generation/Absorption. PLoS ONE. 2014;9(8):e10510.
  7.  M Khan, R Malik, A Munir, et al. Flow and Heat Transfer to Sisko Nanofluid over a Nonlinear Stretching Sheet. PLoS ONE. 2015;10:e0125683.
  8. AV Kuznetsou, DA Nield. Natural convective boundary-layer flow of a nanofluid past a vertical plate: A revised model. Int J Therm Sci. 2014;77:126.
  9. T Hayat, M Waqas, SA Shehzad. Et al. Mixed convection flow of viscoelastic nanofluid by a cylinder with variable thermal conductivity and heat source/sink. Int J Numer Methods Heat Fluid Flow. 2014;26:214.
  10. T Hayat, M Imtiaz, A Alsaedi. MHD 3D flow of nanofluid in presence of convective conditions. J Magn Magn Mater. 2015;395:294.
  11. M Khan, WA Khan. Forced convection analysis for generalized Burgers nanofluid flow over a stretching sheet. AIP Adv. 2015;5:107138.
  12. M Khan, WA Khan. MHD boundary layer flow of a power-law nanofluid with new mass flux condition. AIP. 2016;6
  13. NC PEDDISETTY. Effects of thermal stratification on transient free convective flow of a nanofluid past a vertical plate. Pramana - J Phys. 2016;87:62.
  14. M Khan, WA Khan. Steady flow of Burgers’ nanofluid over a stretching surface with heat generation/absorption. J Braz Soc Mech Sci Eng. 2016;38:2359–2367.
  15. NA Sheikh, F Ali, I Khan. On the applications of nanofluids to enhance the performance of solar collectors: A comparative analysis of Atangana-Baleanu and Caputo-Fabrizio fractional models. Eur Phys J Plus. 2017;132:540.
  16. M Khan, M Iran, WA Khan. Numerical assessment of solar energy aspects on 3D magneto-Carreau nanofluid: A revised proposed relation. Int J Hydrogen Energy. 2017;42:22054.
  17. VR Prasad, SA Gaffar, OA Beg. Free convection flow and heat transfer of tangent hyperbolic past a vertical porous plate with partial slip. J App Fluid Mech. 2016;9:1667–1678.
  18. M Khan, A Hussain, MY Malik, et al. Boundary layer flow of MHD tangent hyperbolic nanofluid over a stretching sheet: A numerical investigation. Results in Physics. 2017;7:2837–2844.
  19. T Hayat, M Waqas, A Alsaedi, et al. Magnetohydrodynamic (MHD) stretched flow of tangent hyperbolic nanoliquid with variable thickness. Journal of Molecular Liquids. 2017;229:178–184.
  20. A Mahdy, G Hoshoudy. EMHD time-dependant tangent hyperbolic nanofluid flow by a convective heated Riga plate with chemical reaction. Proceedings of the Institution of Mechanical Engineers. Part E: Journal of Process Mechanical Engineering. 2019;233:776–786.
  21. T Salahuddin, MY Malik, A Hussain, et al. Analysis of tangent hyperbolic nanofluid impinging on a stretching cylinder near the stagnation point. Res Phys. 2017;7:426–434.
  22. SA Gaffar, VR Prasad, OA Bég. Numerical study of flow and heat transfer of non-Newtonian Tangent Hyperbolic fluid from a sphere with Biot number effects. Alexandria Engineering Journal. 2015;54:829–841.
  23. W Ibrahim. Magnetohydrodynamics (MHD) flow of a tangent hyperbolic fluid with nanoparticles past a stretching sheet with second order slip and convective boundary condition. Res Phys. 2017;7:3723–3731.
  24. V Nagendramma, A Leelarathnam, CSK Raju, et al. Doubly stratified MHD tangent hyperbolic nanofluid flow due to permeable stretched cylinder. Res Phys. 2018;9:23–32.
  25. KG Kumar, S Manjunatha, BJ Gireesha, et al. Numerical illustrations of 3D tangent hyperbolic liquid flow past a bidirectional moving sheet with convective heat transfer at the boundary. Heat Trans. 2019;48:1899–1912.
  26. M Ramzan, H Gul, JD Chung. Significance of Hall effect and Ion slip in a threedimensional bioconvective Tangent hyperbolic nanofluid flow subject to Arrhenius activation energy. Sci Rep. 2020;10:18342.
  27. R Cortell. Fluid flow and radiative nonlinear heat transfer over stretching sheet. J King Saud Univ Sci. 2013;26:161–167.
  28. SA Shehzad, T Hayat, A Alsaedi, et al. Nonlinear thermal radiation in three-dimensional flow of Jeffrey nanofluid: a model for solar energy. Appl Math Comput. 2014;248:273–286.
  29. A Pantokratoras, T Fang. Sakiadis flow with nonlinear Rosseland thermal radiation. Phys Scripta. 2013;87:015703.
  30. IL Animasaun, CSK Raju, N Sandeep. Unequal diffusivities case of homogeneous heterogeneous reactions within viscoelastic fluid flow in the presence of induced magnetic-field and nonlinear thermal radiation. Alex Eng J. 2016.
  31. T Hayat, M Imtiaz, A Alsaedi, et al. MHD three-dimensional flow of nanofluid with velocity slip and nonlinear thermal radiation. J Mag Mag Mater. 2015;396:31–37.
  32. MK Nayak. MHD 3D flow and heat transfer analysis of nanofluid by shrinking surface inspired by thermal radiation and viscousdissipation. International Journal of Mechanical Sciences. 2017;03014.
  33. M Ramzan, M Bilal, U Farooq, et al. Mixed convective radiative flow of second grade nanofluid with convective boundary conditions: An optimal solution. Res Phys. 2016;6:796–804.
  34. M Khan, A Hamid. Influence of non-linear thermal radiation on 2D unsteady flow of a Williamson fluid with heat source/sink. Res Phys. 2017;7:3968–3975.
  35. F Ali, A Zaib. Unsteady flow of an Eyring-Powell nanofluid near stagnation point past a convectively heated stretching sheet. Arab J Basic App Scis. 2019;26:215–224.
Creative Commons Attribution License

©2022 Ali, et al. This is an open access article distributed under the terms of the, which permits unrestricted use, distribution, and build upon your work non-commercially.