Submit manuscript...
International Journal of
eISSN: 2576-4454

Hydrology

Review Article Volume 2 Issue 3

Phytomelatonin: a comprehensive literature review and recent advance on medicinal meadow

Atanu Bhattacharjee, Biplab Kumar Dey

Department of Pharmacy, Assam down town University, India

Correspondence: Atanu Bhattacharjee, Department of Pharmacy, Assam down town University, Panikhaiti, Guwahati-781 026, Assam, India, Tel +91-8073612051

Received: January 01, 1971 | Published: June 25, 2018

Citation: Bhattacharjee A, Kumar B. Phytomelatonin: a comprehensive literature review and recent advance on medicinal meadow. Int J Hydro. 2018;2(3):396-403. DOI: 10.15406/ijh.2018.02.00102

Download PDF

Abstract

Melatonin (N-acetyl-5-methoxytryptamine), a well-known pineal gland hormone, was discovered in plants in 1995 but till then very little research into it has been carried out in this arena. It is present in different parts of all the plant species studied, including leaves, stems, roots, fruits and seeds. Based on the ubiquitous distribution of melatonin in all kingdoms, melatonin was even suggested as the nature's most versatile biological signal molecule. Since the identification of melatonin in plants by Hattori. Several reports have published and opened up a new area in the field of plant derived melatonin i.e. phytomelatonin. Phytomelatonin is biosynthesized in plants from tryptophan precursor. Majority of the herbs containing high levels of melatonin have been used traditionally to treat neurological disorders associated with the generation of free radicals which might be associated with its potent antioxidant activity. This concise survey will endeavor to provide an overview phytomelatonin along with its distribution, biosynthesis and probable role in plant growth and regulation.

Keywords: phytomelatonin, tryptophan, medicinal plants

Introduction

Melatonin is old and understood companion in human and creature physiology however novel to plant physiology.1 Melatonin was first isolated from the bovine pineal gland and identified as N-acetyl-5-methoxy tryptamine by Lerner and co-workers in 1958.2 It was named melatonin because of its capacity to whiten the skin in certain fish, reptiles and amphibians.3 In mammals, melatonin plays a key role to regulate circadian rhythm.4 This molecule is an powerful antioxidant.4‒8 and preserves mitochondrial homeostasis, increases gene expression for antioxidant enzymes and thereby extremely beneficial in neurodegenerative disorders like Alzheimer's, Parkinson's disease whose pathogenesis is associated with the cytotoxic effect of reactive oxygen species.9‒13 The existence of melatonin in plants was independently identified for the first time by Dubbels et al.,14 & Hattori et al.,15 in 1995. Since then, search for plant derived melatonin i.e. phytomelatonin has become one of the most emerging field of research in plant physiology. During last two decades, the universal presence of melatonin in plants is supported with numerous scientific evidences. Melatonin was identified in diverse organisms including prokaryotes, eukaryotes, fungi, algae and higher plants.16 Based on its ubiquitous distribution & multi-directional activity, melatonin is recommended as one of the most versatile biological signal of nature. Indeed, recent research suggests, this classical indole derivative is both synthesized in and taken up by plants.17 The role of phytomelatonin as antioxidant, free radical scavenger and growth promoter is most vividly supported by the experimental outcomes.18 Studies suggest production of indole compounds is augmented under high UV radiation and thus provide substantial evidence about the role of phytomelatonin as free radical scavenger and thereby protecting plants against oxidative stress and reducing the damage of macromolecules in a manner similar to that in animals.19 It plays a key role in regulation of plant reproductive physiology, defense of plant cells against apoptosis induced by unfavorable environmental conditions.19 Several physiological roles of phytomelatonin, including a possible role in flowering, maintaining circadian rhythms & photoperiodicity and as growth regulator have been identified. Melatonin content varies in different plant organ or tissue and seems to be more profuse in aromatic plants and in leaves than seeds.20 It shows auxin like activity and thus regulating the growth of roots, shoots, and explants, activating seed germination and rhizogenesis (lateral and adventitious-roots), and delaying induced leaf senescence.21 Recently, a possible role in rhizogenesis in lupin has also been proposed.22

Although presence of melatonin in plants is a universal phenomenon, but still very few information regarding its occurrence outside the angiosperms (exception: micro and macroalgae and other photoautotrophic microorganisms) have been reported. This is majorly attributed to inadequate detection methods and lack of experimental protocol to investigate the biochemical and molecular aspects of phytomelatonin. However, during last few years, certain methodological protocols regarding extraction, isolation and quantification methods had been successfully designed and optimized to certain complexities to obtain quick, reliable results on phytomelatonin content. The complete biosynthetic pathways and enzymatic involvement in phytomelatonin production are yet to be explored; studies with radioisotope tracer techniques revealed tryptophan as common precursor for both serotonin and melatonin as well as for indole-3-acetic acid (IAA).23‒25 It has been reported that plants may be able to absorb melatonin from the soil in which they are grown. Evidence also indicated involvement of melatonin in chlorophyll preservation and thereby promoting photosynthesis.26‒27 Transgenic plants with high level of melatonin may play a significant role to increase crop production and improve the general health of humans.28 Besides discussing interesting data on phytomelatonin, this article is constructed with objectives to deepen our understandings regarding different physiological roles of melatonin in plants.

Biosynthesis of melatonin in plants

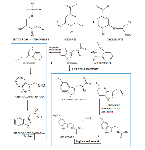
As mentioned, melatonin is derived from amino acid precursor tryptophan with a phylogenetic ubiquitous distribution. For a long time, it was portrayed that this neuro-hormone was synthesized only in the pineal gland of vertebrates.29 Later, the identification of melatonin in photosynthesizing organisms opened a new meadow of research on this compound. Tryptophan is an essential amino acid and hence, animals lack the ability to synthesize it; they must obtain it from other natural sources.30 In plants, tryptophan provides precursors for melatonin along with hormone auxin, phytoalexins, glucosinolates, alkaloids and indoleamines.31 The rate of melatonin formation in higher plants follows a rhythmic variation with nocturnal maximum and seasonal fluctuation with maximum in flowering stage.32 Tryptophan is biosynthesized through shikimic acid pathway via chorismate and anthranilate. Tryptophan is converted to 5-hydroxy tryptophan by tryptophan hydroxylase and subsequently to serotonin. Serotonin is converted to N-acetyl serotonin by arylalkylamine N-acetyl transferase (AANAT) from which melatonin is synthesized by hydroxyindole-O-methyltransferase (HIOMT). It should be noted that melatonin is synthesized by plants themselves even though arylalkylamine N-acetyltransferase (AANAT) has not been detected yet. Thus, the genetic characteristics of serotonin N-acetylating enzyme in plants may differ greatly with regard to its sequence and structure from the animal AANAT. Indole-3-acetic acid (IAA) is synthesized exclusively in plants from tryptophan by tryptophan decarboxylase (Figure 1).33‒35

Figure 1 Biosynthesis of melatonin and its precursors in plants (Based on Marcello I et al.35).

Occurrence of phytomelatonin in edible plants

The occurrences of melatonin have been identified in more than 140 different aromatic & medicinal plants and edible plants by humans.36 Several sophisticated analytical techniques were developed to detect the presence of melatonin in plant tissues. Among them radioimmuno assays (RIA), enzyme linked immunoadsorbant assay (ELISA), high-performance liquid chromatography (HPLC) and gas chromatography-mass spectrophotometry (GC-MS) have been considered as most reliable sources.37‒39 The ubiquitous distribution of melatonin is observed in different parts of plants viz. leaves, roots, fruits, and seeds. It has been reported that crops belonging to family Graminae (ex: rice, barley, sweet corn, oat) contains high amount of melatonin.40 GC-MS analysis showed banana contains melatonin at a concentration of 0.655ng/g, but HPLC-MS suggested significant higher level of melatonin (1ng/g of plant tissue).41 Melatonin was found also in fruits such as strawberries, kiwis, pineapples, apples and in grapes as well as tart cherries and tomatoes.41 RIA showed presence of melatonin in both white and black mustard seeds (189ng/g of plant tissue & 123ng/g of plant tissue respectively).42‒43 Presence of melatonin was also identified in both green and roasted beans of Coffea canephora and Coffea arabica at a concentration of 5.8±0.8µg/g dry weight and 8.0±0.9µg/g dry weight respectively.44 A brief information regarding the distribution of melatonin in plants according to the families is summarized in Table 1.

Family

Common name

Scientific name

Method of detection

Amount of melatonin (pg/g)

Reference

Actinidiaceae

Kiwi fruit

Actinidia deliciosa Liang-Ferg.

ELISA

24.4

15

Amaranthaceae

Beet root

Beta vulgaris L.

RIA

2

14

Araceae

Taro

Colocasia esculenta L.

ELISA

54.6

15

Asparagaceae

Asparagus

Asparagus officinalis L.

ELISA

9.5

15

Asparagus racemosus L.

ELISA

10

15

Asteraceae

Feverfew

Tanacetum parthenium L.

HPLC-UV

1300-7000ng/g

95

Tripleurospermum disciforme Schultz. Bip

HPLC-UV

1305.8ng/g (in hot water extract)

95

ELISA

3073.3ng/g (in 50% methanol extract)

1112.0ng/g (in hot water extract)

2096.2ng/g (in 50% methanol extract)

Shungiku

Chrysanthemum coronarium L.

ELISA

416.8

15

Butterbur (fuki)

Petasites japonicus Maxim

ELISA

49.5

15

Milk thistle seed

Silybum marianum L.

ELISA

2,000

43

Berberidaceae

Barren wort

Epimedium brevicornum M.

ELISA

1105ng/g

71

Basellaceae

Indian spinach

Basella alba L.

ELISA

38.7

15

Brassicaceae

Cabbage

Brassica oleracea L.

ELISA

107.4

15

white radish

Raphanus sativus L.

ELISA

657.2

15

Chinese cabbage

Brassica rapa L.

ELISA

485,000

15

Black, white mustard seed

Brassica nigra L., Brassica hirta L.

ELISA

112.5, 129,000

43

Bromeliaceae

Pineapple

Ananas comosus L.

ELISA

36.2

15

Cucurbitaceae

Cucumber fruit

Cucumis sativus L.

HPLC

24.6

15

Fabaceae

Alfalfa seed

Medicago sativa L.

HPLC-UV

16,000

43

Fenugreek seed

Trigonella foenum-graecum L.

HPLC-UV

43,000

43

Lupin seed

Lupinus albus L.

HPLC-UV

3,830

23

Tora

Senna tora

ELISA

-

90

HPLC-UV

10.5

Hummingbird tree

Sesbania glandiflora L.

ELISA

43.7

90

HPLC-UV

26.3

Hypericaceae

Saint John's wort

Hypericum perforatum L.

Leaf

1750ng/g

79

Flower

2400-4000ng/g

Juglandaceae

Walnut

Juglans regia L.

ELISA

3,500

59

Papaveraceae

Poppy seed

Papaver somniferum L.

RIA

6,000

43

Phyllanthaceae

Burmese grape

Baccaurea ramiflora L.

ELISA

76.7

90

HPLC-UV

43.2

Poaceae

Rice seed

Oryza sativa L.

ELISA

1,006

15

Barley seed

Hordeum vulgare L.

ELISA

378.1

15

Sweet corn

Zea mays L.

ELISA

580

15

Oat seed

Avena sativa L.

ELISA

1,366

15

Lamiaceae

-

Scutellaria baicalensis L.

ELISA

2000-7000ng/g

26

Liliaceae

Onion

Allium cepa L.

RIA

31.5

15

Welsh onion

Allium fistulosum L.

RIA

85.7

15

Lythraceae

Pomegranate

Punica granatum L.

HPLC-MS

540–5,500

91

Moraceae

White mulberry

Morus alba M.

151ng/g

92

Musacea

Banana

Musa acuminata Colla

GC-MS

0.46

24

Oleracea

Olive oil

Olea europaea L.

ELISA

50–119pg/mL

93

Polygonaceae

Chinese rhubarb

Rheum palmatum L.

ELISA

1078ng/g

24

Ranunculaceae

Chinese goldthread

Coptis chinensis F.

ELISA

1008ng/g

24

Rosaceae

Apple

Malus domestica Borkh.

ELISA

47.6

15

Strawberry

Fragaria ananassa Duch.

ELISA

12.4

15

Almond seed

Prunus amygdalus Batsch.

ELISA

1,400–11,260

24

Rubiaceae

Coffee beans

Coffea arabica L.

ELISA

5.8𝜇g/g

15

Gambir Vine

Uncaria rhynchophylla

ELISA

2460ng/g

15

Rutaceae

Orange juice

Citrus sinensis L.

HPLC-UV

150

94

Amur cork tree

Phellodendron amurense

ELISA

1235ng/g

15

Solanaceae

Tomato fruit

Solanum lycopersicum L.

HPLC-UV

32.2

24

Silver leaf nightshade fruit

Solanum elaeagnifolium Cav.

HPLC

7,895

24

Black nightshade fruit

Solanum nigrum L.

HPLC

323

24

Tobacco leaf

Nicotiana tabacum L.

HPLC

50

24

Devil’s trumpet flower

Datura metel L.

HPLC

1,500

24

Umbelliferae

Carrot

Daucus carota Hoffm.

ELISA

55.3

15

Anise seed

Pimpinella anisum L.

ELISA

7,000

15

Coriander seed

Coriandrum sativum L.

ELISA

7,000

43

Fennel seed

Foeniculum vulgare L.

ELISA

28,000

43

Sunflower seed

Helianthus annuus L.

ELISA

29,000

43

Violaceae

-

Viola philipica Cav.

ELISA

2368ng/g

95

Vitaceae

Grapevine

Vitis vinifera L.

ELISA

5-965

43

Zingiberaceae

Cardamom seed

Elettaria cardamomum L.

HPLC-MS

15,000

24

Curcuma

Curcuma aeruginosa Roxb.

GC-MS

120,000

24

Ginger

Zingiber officinale Rose

HPLC-MS

583.7

24

Piper

Piper nigrum L.

ELISA

865ng/g

24

 

 

 

HPLC-UV

1092.7ng/g

Table 1 Occurrence of melatonin in edible and medicinally important plants

Role of melatonin in plants

Regulation of circadian rhythm

In mammals, melatonin plays a key role to regulate circadian rhythm with highest level during scotophase and baseline level during the photoperiod.45 Hence, it was hypothesized to have similar function of melatonin in plants. Melatonin causes a diurnal oscillation with augmentation in night and decline during day period.46 This depicted the role of melatonin in regulation of circadian rhythm is photoperiod dependent. Not only in higher plants but also in algae and dinoflagellates, circadian changes of melatonin contents were reported.47‒49 Recently effects of the exogenous application of melatonin on flowering of Chenopodium rubrum were studied. Data suggested neither toxic effects nor changes in the shape, color or number of leaves compared with the control plants. In addition, it should be noted that the concentrations of melatonin that induces plant responses are higher than the concentrations found in nature. Thus, the role of melatonin in flowering remains unclear.50‒51

Antioxidant and free radical scavenger

In animals, melatonin is a proven free radical scavenger and broad spectrum antioxidant.52 This led researchers to hypothesize that the indole molecule might act presumably in a similar manner in plants. It has been reported that Lycopersicon esculentum Mill. (cultivated tomato) contains about 5-fold more melatonin content than Lycopersicon pimpinellifolium Mill. (wild tomato) due to which the cultivated species is more tolerant of higher ozone levels than the ozone susceptible wild strain.54 Melatonin acts as photo-protector.55 During photosynthesis, large quantities of free radicals or reactive oxygen species (ROS), H2O2, singlet oxygen and reactive nitrogen species (RNS) are generated. In addition, violaxanthin cycle gets impaired with increasing exposure to light during the photophase resulting diminished plastidial photo-protection. Tan observed that Eichhornia crassipes (Mart.) Solms showed optimum diurnal rhythm with melatonin and its metabolites level peak during late night phase of the light-dark cycle. From this, they postulated that melatonin and its metabolites observed during the late night phase may act as protector against free radical damage from toxic ROS and RNS.56 In addition, melatonin has also been proposed to exert its photo-protective effects against UV radiation in algae and higher plants.57 This possibility is supported by Tettamanti et al.,58 who showed that Alpine and Mediterranean plants exposed to high UV in their natural habitat contain more melatonin than the same species living under lower UV exposure.58

Growth promoter

Structurally melatonin is related with IAA, a potent growth promoter of plants. Hence, melatonin is recommended to act like auxin to support vegetative growth various plant species.59 Studies suggested that auxin induced root and cytokinin induced shoot organogenesis were inhibited by the alterations in endogenous melatonin concentration. This illustrates the role of melatonin as a potential plant growth regulator.60 Later, to find the role of melatonin more elaborately, Hernandez-Ruiz et al.,61 incubated etiolated hypocotyls from Lupinus albus L. with different concentrations of melatonin and IAA. Both compounds were seen to be distributed in plant tissues in a similar concentration gradient and promote growth at lower concentration while growth inhibitory effect in intact and de-rooted plant tissues was observed at high concentrations.61 Furthermore, both indoles induced the appearance of root primordial from pericycle cells, modifying the pattern of distribution of adventitious or lateral roots, the time-course, the number and length of adventitious roots, and the number of lateral roots. In this study, melatonin produced the maximum number of roots/hypocotyls with similar values to IAA for root length in practically the entire range of concentrations tested.62

Moreover, in some monocots viz. Triticum aestivum L. (oat), Avena sativa L. (wheat), Hordeum vulgare L. (canary grass) and Phalaris canariensis L. (barley) growth-promoting action of melatonin was established through coleoptiles longitudinal-growth assays. Studies revealed, melatonin promoted growth in coleoptiles of around 10, 20, 31 and 55% respectively compared with IAA.63

Defense against herbivores

Melatonin being an alkaloid bitter and unpleasant in taste; hence, provides protection against herbivores.64 Moreover, consumption of plants containing high level of melatonin like walnut (3.5±1.0ng/g) can disturb the physiology of herbivores as melatonin tends to be accumulated in the animal body. Studies suggest feeding with high melatonin content diet increased blood melatonin level from 11.5±1.9 pg/ml to 38.0±4.3pg/ml in rats.65 This fact could be correlated with plant defense against herbivores. Over expression of tryptophan decarboxylase, (converting enzyme for 5-hydroxytryptophan to 5-hydroxytryptamine) in tobacco leads to minimize the reproduction of white fly.66 However, the mechanism by which melatonin exert inhibitory effect on white fly reproduction is yet to be established.

Miscellaneous

Melatonin posses a significant role in the regulation of reproductive physiology and flower development of Hypericum perforatum L. (St. John’s wort).67 The indole was detected in highest concentrations during uninucleate microsporogenesis. Moreover, elevated melatonin level improved regenerative potential of isolated anthers. Melatonin supplementation attenuates cold-induced apoptosis in Daucus carota L. (carrot) root cell suspensions.68 Melatonin also helps to maintain the dormancy stage of germs or to a differentiated state in fruit tissue.69 Studies revealed that melatonin slowed down the senescence process in concentration dependent manner in the leaves of Hordeum vulgare L.; this activity may be associated with a specific action of melatonin on the chrorophyll-degrading enzymes chlorophyllase, pheophorbide a oxygenase or red-chlorophyll catabolite reductase.70‒72 The summary of multi directional actions of melatonin in plants is shown in Figure 2.

Figure 2 Multi-directional function of phytomelatonin in higher plants (Based on Sergio et al.72).

Conclusion & future aspects

Melatonin plays an important aspect to regulate several physiological role of plants viz. circadian regulator, cytoprotector and growth promoter, antioxidant and free radical scavenger.73 It also promotes rhizogenesis, cellular expansion and provide defense against environmental stress condition.74 At present, two diverse aspects of phytomelatonin gained the utmost importance:

  • its application in agriculture and
  • Its use to improve human health condition. In the first aspect, exogenous application of melatonin to plants improves their growth & development and better adaptation to environmental stress situations such as drought, cold, heat, and radiation, among others.

Melatonin also enhances the rate of germination and growth and plant productivity. It acts as a retardant in stress-induced leaf senescence. These cumulative observations bring forward the idea that exogenous melatonin treatment of cultivated plants or overproducing higher melatonin containing plants might help crops resist more easily against many adverse environmental conditions from which they normally suffer throughout their development.75 The later aspects refer to the possibility of introducing melatonin-rich plants foods or food supplements due to its immense health benefits particularly against neurodegenerative disorders like Alzheimer’s. Studies revealed that oral dose of melatonin of up to 1 gram/day produce no adverse effects in humans. In addition, melatonin is easily absorbed via the gastrointestinal tract. So, the utility of melatonin as a nutraceutical seems to have a promising future to promote healthier life.76,77

Acknowledgements

None.

Conflict of interest

The author declares there is no conflict of interest.

References

  1. Reiter RJ, Coto-Montes A, Boga JA, et al. Melatonin: new applications in clinical and veterinary medicine, plant physiology and industry. Neuro Endocrinol Lett. 2011;32(5):575‒87.
  2.  Lerner AB, Case JD, Takahashi Y. Isolation of melatonin, a pineal factor that lightens melanocytes. J Am Soc. 1958;80:2587.
  3.  Chava VK, Sirisha K. Melatonin: A novel indolamine in oral health and disease. Int J Dent. 2012;2012:1‒9.
  4.  Sahna E, Parlakpinar H, Turkoz Y, et al. Protective effects of melatonin on myocardial ischemia- reperfusion induced infarct size and oxidative changes. Physiol Res. 2005;54(5):491‒95.
  5.  Nitulescu-Arsene AL, Niculina M, Aurelia Cristea, et al. Experimental research on mice regarding the implication of melatonin in pain management. Farmacia. 2009;57(2):223‒28.
  6.  Carrillo-Vico A, Patricia JL, Alvarez-Sánchez N, et al. Melatonin: buffering the immune system. Int J Mol Sci. 2013;14(4):8638‒83.
  7.  Fatma PK, Alper K, Arzu UT, Arzu BY. Antibacterial and antitumor activities of melatonin. Spatula DD. 2013;3(2):33‒39.
  8.  Bhavini B, Muhammad UF, Archit B. The therapeutic potential of melatonin in neurological disorders. Recent Patents on Endocrine, Metabolic & Immune Drug Discovery. 2009;3(1):60‒64.
  9.  Russel JR, Reyes-Gonzales M, Fuentes-Broto L, et al. Melatonin reduces oxidative catastrophe in neurons and glia. Act Nerv Super Rediviva. 2010;52(2):93‒103.
  10. Ayushi J, Maheep B. Melatonin–a “magic biomolecule”. Ann Neurosci. 2007;14(4):1‒5.
  11. Hardeland R. Antioxidative protection by melatonin: multiplicity of mechanisms from radical detoxification to radical avoidance. Endocrine. 2005;27(2):119‒30.
  12. Jian-zhi W, Ze-fen W. Role of melatonin in Alzheimer-like neurodegeneration. Acta Pharmacol Sin. 2006;27(1):41‒9.
  13. Venkatramanujam S. Therapeutic potential of melatonin and its analogs in Parkinson’s disease: focus on sleep and neuroprotection. Ther Adv Neurol Disord. 2011;4(5):297‒317.
  14. Dubbels R, Reiter RJ, Klenke E, et al. Melatonin in edible plants identified by radioimmunoassay and by high performance liquid chromatography-mass spectrometry. J Pineal Res. 1995;18(1):28‒31.
  15. Hattori A, Migitaka H, Iigo M, et al. Identification of melatonin in plants and its effects on plasma melatonin levels and binding to melatonin receptors in vertebrates. Biochem Mol Bio Int. 1995;35(3):627‒34.
  16. Rudiger H, Burkhard P. Non-vertebrate melatonin. J Pineal Res. 2003;34(4):233‒41.
  17. Marino BA, Josefa HZ. The physiological function of melatonin in plants. Plant Signal Behav. 2006;1(3):89‒95.
  18. Russel JR, Dun-XianT, Annia G. Melatonin reduces lipid peroxidation and membrane viscosity. Front Physiol. 2014;5:1‒4.
  19. Katerova Z, Todorova D, Tasheva K, et al. Influence of ultraviolet radiation on plant secondary metabolite production. Gen Plant Physiol. 2012;2(3–4):113‒44.
  20. Dun-xian T. Melatonin and plants. J Exp Bot. 2015;66(3):625‒26.
  21. Krystyna MJ, Małgorzata MP. Melatonin, an underestimated natural substance with great potential for agricultural application. Acta Physiol Plant. 2013;35(12):3285‒92.
  22. Katarzyna S, Rafał S, Krystyna MJ. Involvement of melatonin applied to Vigna radiata L. seeds in plant response to chilling stress. Cent Eur J Biol. 2014;9(11):1117‒26.
  23. Hernandez-Ruiz J, Cano A, Arnao MB. Melatonin: A growth-stimulating compound present in lupin tissues. Planta. 2004;220(1):140‒44.
  24. Marino BA. Phytomelatonin: discovery, content, and role in plants. Adv Bot. 2014;2014:1‒11.
  25. Russel JR, Dun-xian T, Lucien CM, et al. Melatonin in edible plants (phytomelatonin): identification, concentrations, bioavailability and proposed function. World Rev Nutri & Diab. 2007;97:211‒30.
  26. D Van T, Roberts N, Neill S. Melatonin from higher plants: isolation and identification of N-acetyl-5- methoxytryptamine. Plant Physiol. 1995;108(2):101‒12.
  27. Kolar J, Machackova I. Melatonin in higher plants: occurrence and possible functions. J Pineal Res. 2005;39(4):333‒41.
  28. Amit KT, Vinod K. Melatonin: an integral signal for daily and seasonal timing. Indian J Exp Biol. 2014;52:425‒37.
  29. Ebels MGMB, Tommel DKJ. Separation of pineal extracts on sephadex G-10. Anal Biochem. 1972;50(1):234‒44.
  30. Marino BA, Hernandez-Ruiz J. Melatonin in plants: more studies are necessary. Plant Sig Behav. 2007;2(5):381‒82.
  31. Bandurski RS, Cohen JD, Slovin J, Reinecke DM. Auxin biosynthesis and metabolism. In: Davies PJ, editor. Plant Hormones: Physiology, Biochemistry and Molecular Biology. Dordrecht: Kluwer Academic Publishers. 1995.
  32. Katri P, Nora S, Riitta K. Dietary factors and fluctuating levels of melatonin. Food Nutri Res. 2012;56:1‒9.
  33. Yeo-Jae K, Young NL, Young JO, et al. What is the role for melatonin in plants? Review on the current status of phytomelatonin research. JNTB. 2007;4(1):9‒14.
  34. Bruno C, Jocelyne B, Guy C. The basic physiology and pathophysiology of melatonin. Sleep Med Rev. 2005;9(1):11–24.
  35. Marcello I, Mara R, Franco F. Melatonin content in grape: myth or panacea? J Sci Food Agric. 2006;86(10):1432‒38.
  36. Jan K, Ivana M. Melatonin in higher plants: occurrence and possible functions. J Pineal Res. 2005;39(4):333‒41.
  37. John TY, Christian B, Miriam W, et al. Rotationally resolved electronic spectroscopy of biomolecules in the gas phase melatonin. J Mol Spectroscopy. 2011;268:115‒22.
  38. Kolar J. Effects of melatonin on circadian rhythms and photoperiodism in higher plants, PhD thesis. Faculty of Natural Sciences, Charles University, Prague, Czech Republic. 2003.
  39. Marcello I, Sara V, Mara R. Occurrence and analysis of melatonin in food plants. Hand book of analysis of active compounds in functional foods. CRC Press. 2012;651‒62.
  40. Dun-xian T, Lucien CM, Pat H, et al. Phytoremediative capacity of plants enriched with melatonin. Plant Signal Behav. 2007;2(6):514‒16.
  41. Badria FA. Melatonin, serotonin, and tryptamine in some Egyptian food and medicinal plants. J Med Food. 2002;5(3):153‒57.
  42. Burkhardt S, Tan DX, Manchester LC, et al. Detection and quantification of the antioxidant melatonin in Montmorency and Balaton tart cherries (Prunus cerasus). J Agri Food Chem. 2001;49(10):4898‒902.
  43. Manchester LC, Tan DX, Reiter RJ, et al. High levels of melatonin in the seeds of edible plants: possible function in germ tissue protection. Life Sci. 2000;67(25):3023–29.
  44. Akula R, Parvatam G, Kadimi US, et al. Melatonin and serotonin profile in beans of Coffea species. J Pineal Res. 2012;52(4):470‒76.
  45. Kazutaka S, Meaghan S, Borlongan CV. Melatonin-based therapeutics for neuroprotection in stroke. Int J Mol Sci. 2013;14(5):8924‒47.
  46. Shiddamallayya N, Azara Y, Gopakumar K. Hundred common forest medicinal plants of Karnataka in primary healthcare. Indian J Trad Knowl. 2010;9(1):90‒95.
  47. Amod PK, Laurie A. Kellaway, Girish JK. Herbal complement inhibitors in the treatment of neuroinflammation. Ann N Y Acad Sci. 2005;1056:413‒29.
  48. Parvin S, Abdul K, Abdul M, Ekramul H, et al. Triterpenoids and phytosteroids from stem bark of Crataeva nurvala Buch Ham. J Appl Pharm Sci. 2011;1(9):47‒50.
  49. Atanu B, Shastry CS, Santanu S. Isolation, purification and structural elucidation of N-Acetyl-5- Methoxytryptamine (Melatonin) from Crataeva nurvala Buch-Ham stem bark. AJPCT. 2014;2(3):301‒09.
  50. Ackermann K, Bux R, Rub U, et al. Characterization of human melatonin synthesis using autoptic pineal tissue. Endocrin. 2006; 147(7):3235‒42.
  51. Pasquale A, Giuseppe A, David B, et al. Melatonin: structural characterization of its non-enzymatic mono-oxygenate metabolite. J Pineal Res. 2003;35:269–75.
  52. Russel JR. Melatonin in plants. Nutri Rev. 2001;59(9):286-90.
  53. Kolar J, Machackova I, Eder J, et al. Melatonin: Occurrence and daily rhythm in Chenopodium rubrum. Phytochem. 1997;44(8):1407‒13.
  54. Hardeland R, Fuhrberg B. Ubiquitous melatonin: presence and effects in unicells, plants and animals. Trends Comp Biochem Physiol. 1996;2:25‒45.
  55. Fuhrberg B, Balzer I, Hardeland R, et al. The vertebrate pineal hormone melatonin is produced by the brown alga Pterygophoracalifornica and mimics dark effects on growth rate in the light. Planta. 1996;200(1):125‒31.
  56. Balzer B, Hardeland R. Photoperiodism and effects of indoleamines in a unicellular alga, Gonyaulax polyedra. Science. 1991;253(5021):795‒97.
  57. Wolf K, Kolar J, Witters, et al. Daily profile of melatonin levels in Chenopodium rubrum depends on photoperiod. J Plant Physiol. 2001;158(11):1491‒3.
  58. Tettamanti C, Cerabolini B, Gerola P. Melatonin identification in medicinal plants. Acta Phytother. 2000;3:137‒44.
  59. Kolar J, Johnson CH, Machackova I. Exogenously applied melatonin affects flowering of the short-day plant Chenopodium rubrum. Physiol Plant. 2003;118:605‒12.
  60. Russel JR, Manchester LC. Melatonin in walnuts: Influence on levels of melatonin and total antioxidant capacity of blood. Nutri. 2005;21(9):921‒24.
  61. Hernandez-Ruiz J, Arnao MB. Distribution of melatonin in different zones of lupin and barley plants at different ages in the presence and absence of light. J Agric Food Chem. 2008;56(22):10567‒73.
  62. Hernandez-Ruiz J, Cano A, Arnao MB. Melatonin acts as a growth-stimulating compound in some monocot species. J Pin Res. 2005;39(2):137‒42.
  63. Dubbels R, Reiter RJ, Klenke E, et al. Melatonin in edible plants identified by radioimmunoassay and by high performance liquid chromatography-mass spectrometry. J Pin Res. 1995;18(1):28‒31.
  64. Kolar J, Machackova I. Occurrence and possible function of melatonin in plants a review. Endocytobiosis & Cell Res. 2001;14:75‒84.
  65. Rudiger H. Melatonin in plants and other phototrophs: advances and gaps concerning the diversity of functions. J Exp Bot. 2015;66(3):627‒46.
  66. Thomas JC, Adams DG, Nessler CL, et al. Tryptophan decarboxylase, tryptamine, and reproduction of the whitefly. Plant Physiol. 1995; 109(2):717‒20.
  67. Murch SJ, Saxena PK. A melatonin-rich germplasm line of St. John's wort (Hypericum perforatum L.). J Pineal Res. 2006;41(3):284‒87.
  68. Tan DX, Manchester LC, Helton P, et al. Phytoremediative capacity of plants enriched with melatonin. Plant Sig Behav. 2007;2(6):514‒16.
  69. Tan DX, Manchester LC, Di Mascio P, et al. Novel rhythms of N1-acetyl-N2-formyl-5-methoxykynuramine and its precursor melatonin in water hyacinth: importance for phytoremediation. The FASEB Journal. 2007;21(8):1724‒29.
  70. Hardeland R. New actions of melatonin and their relevance to biometeorology. Int J Biometeorol. 1997;41:47‒57.
  71. Hardeland R, Cardinali DP, Srinivasan V, et al. Melatonin-a pleiotropic, orchestrating regulator molecule. Prog Neurobiol. 2011;93(3):350‒84.
  72. Sergio DP, Ahmet K, Lucien CM, et al. Phytomelatonin: a review. J Exp Bot. 2009;60(1):57‒69.
  73. Xiaoyuan F, Meng W, Yanyun Z, et al. Melatonin from different fruit sources, functional roles, and analytical methods. Trends Food Sci Tech. 2014;37(1):21‒31.
  74. Chandana H, Somenath G, Amaresh KS. Phyto-melatonin: a novel therapeutic aspect of melatonin in nature’s way. Melatonin: Therapeutic value and neuroprotection. CRC Press. 2014.
  75. Pandi-Perumal SR, Srinivasan V, Maestroni GJM, et al. Melatonin: Nature’s most versatile biological signal? FEBS Journal. 2006;273(13):2813‒38.
  76. Charanjit K, Sivakumar V, Ling EA. Melatonin and its therapeutic potential in neuroprotection. CNS Agents in Med Chem. CRC Publications. 2008;8(4):260‒266.
  77. Jemima J, Bhattacharjee P, Singhal RS. Melatonin - a review on the lesser known potential nutraceutical. IJPSR. 2011;2(8):1975‒87.
Creative Commons Attribution License

©2018 Bhattacharjee, et al. This is an open access article distributed under the terms of the, which permits unrestricted use, distribution, and build upon your work non-commercially.