Submit manuscript...
International Journal of
eISSN: 2573-2889

Molecular Biology: Open Access

Research Article Volume 3 Issue 4

Enzyme kinetics of RNase present in testes

Eswari Beeram,1 Divya Bysani,2 Pallavi C,2 Thyagaraju K2

1Department of biochemistry, Sri Venkateswara University, India
2Sri Venkateswara University, India

Correspondence: Eswari Beeram, Department of biochemistry, Sri Venkateswara University, Tirupati, Andhra Pradesh, India

Received: June 13, 2018 | Published: July 16, 2018

Citation: Beeram E, Bysani D, Pallavi C, et al. Enzyme kinetics of RNase present in testes. Int J Mol Biol Open Access. 2018;3(4):180-183. DOI: 10.15406/ijmboa.2018.03.00073

Download PDF

Abstract

RNase A is one of the secretary enzymes of pancreas and secreted in to the digestive tract for digestion of RNA present in the food. In RNaseA super family RNase H2 was known to involve in protection against chromosomal instability in yeast strains where as in male wistar rats testes by RNaseA. Drug Metosartan was proven to cause chromosomal instability in testes. So, identification of RNase present in testes proven to be useful as it protects testes against chromosome instability. Column chromatography was one of the techniques used here to isolate RNase present in the testes and enzyme kinetics was performed with column isolated enzyme to know the inhibition pattern of the enzyme, and to find K0.5 and Vmax.

Introduction

Enzyme kinetics is one of the important parameter to be studied to know the inhibition studies of RNase A. RNase A is an allosteric enzyme which consists of an allosteric site in addition to the active site of the enzyme. With respect to allosteric enzymes two types of modulators namely positive and negative regulates the enzyme. Positive allosteric modulators increase the cooperitivity to other sites in positive manner for a multi subunit protein. So, K0.5 is usually decreased and Vmax found to be increased.1 Where as negative modulators decrease the affinity of substrate binding at one subunit of enzyme compared to other subunits of it. So, K0.5 found to be increased and Vmax decreases.1 O2 binding to the Hb is an example of positive cooperivity and feedback inhibition by allosteric enzyme is an example of negative cooperitivity. UV visible spectroscopic analysis in vitro proved RNase A is an allosteric enzyme and agarose gel electrophoresis analysis2 has proved that metosartan is an inhibitor of RNase A. Various plots of enzyme like Michaelis–Menton plot, Line weaver- burk plot, Dixon plot and Eadie- hofstee plot are used to know the K0.5 and Vmax of the enzyme in the presence and absence of drug. As RNase A is an allosteric enzyme it doesn’t follows Michaels- menton kinetics as it consists of more than one active site. Allosteric enzymes give profound sigmoid curve with negative modulator and hyperbolic curve with positive modulator. Line weaver – Burk plot is not useful in case of allosteric enzymes to know whether the inhibition pattern is allosteric or not. Dixon plots are used to know the potency of inhibitor over the enzyme and Eadie – Hofstee plot is useful to know the Km/Vmax and Km. But it is difficult to know the Km and Vmax of the enzymes by Eadie- Hofstee plot. Enzyme kinetics for each concentration is plotted and its effect of drug on enzyme was studied. The term Km is not used for allosteric enzymes instead K0.5 is used as the enzyme doesn’t follows Michaels menton kinetics. Properties of allosteric enzymes are as follows. Higher substrate concentration favours R state of the enzyme where as lower concentration favours T state where as other molecules like O2 and 2,3-Bis phosphor glycerate are regulators of allosteric enzymes.

Material and methods

Isolation of enzyme from source

The protocol was per Larry Klinet et al.3 All the procedure is carried out at room temperature as RNase A is resistant to high temperatures. Testes were dissected, washed in distilled water to remove blood and grinded in 30ml of buffer A (0.05 M tris- HCL (PH 8.0), 0.01M magnesium chloride, 0.01 M β- mercaptoethanol, 0.10mM EGTA, 10% (V/V) glycerol+0.05M KCL) with mortar and pestle and centrifuged at 8000g for 10 min.. Supernatant was collected and centrifuged at 12,000rpm for 3hrs and the resulting fraction was applied to the DEAE cellulose column.

DEAE cellulose chromatography

The protocol was per Larry Klinet et al.3 After isolation of the enzyme from source fraction obtained above was subjected to DEAE cellulose column chromatography. Column prepared was equilibrated with buffer A+0.05 M Kcl and washed with the same maintaining flow rate of 130ml/hr. The eluted fractions are pooled and saturated with 70% Ammoniumsulfate and the resulting solution was centrifuged at 12000 rpm for 20 min. The above sample was subjected to dialysis with buffer A+0.05 KCL of 1 liter for 5hrs until the final volume was about 7.5ml.

DEAE cellulose gradient chromatography

The protocol was per Larry Klinet et al.3 The dialysed fraction was applied to the DEAE cellulose column which was previously equilibrated with buffer A+0.05 M KCL. The sample was eluted with a linear gradient of 0.1-0.30 M Kcl and the fractions was collected for every 10 min. Dialysis was performed with the above eluted solution against buffer A for 30hrs and the buffer was replaced with fresh one for thrice.

Carboxy methyl cellulose column chromatography

The protocol was as per You Di LIAO & Jaang Jiun WANG.4 The samples that have been eluted from the DEAE chromatography was subjected to dialysis, pooled and were loaded on to the carboxy methyl cellulose column which was previously equilibrated with HEPES buffer containing 0.05M Kcl. The RNase sample was eluted with 300ml HEPES buffer of linear gradient from 0.05-0.22M Kcl. The elution profile was monitored by U.V Visible spectroscopy and the resulting fraction was used for enzyme kinetics.

Enzyme kinetics

50µl of enzyme isolated by column chromatography was added to 2ml of substrate concentrations 0.25mM, 0.5mM and 1mM separately and 50µl of drug [1.6mM, 3.2mM, and 6.4mM] was added and decrease in absorbance was recorded at 260nm in the presence and absence of drug. The absorbance was recorded up to next decreased reading was ≤ 0.001.

Results

Michaelis–Menton plots of enzyme RNase A in the absence and presence of drug
From the (Figure 1) A and 1B K0.5 was found to be 0.04 in the absence of drug and 0.06 in the presence of drug. Whereas Vmax was found to be 1 in the absence of drug and 0.01 in the presence of drug which indicates metosartan is the negative modulator of enzyme RNase A is a heterotropic enzyme.

From the figure 2B the curve exactly matches non competitive inhibition which indicates that the enzyme is inhibited by metosartan non competitively and same was observed with Dixon plots also.

Figure 1 Michaelis–Menton plot of RNase A. (A) Plot at 1.6mM, 3.2mM, 6.4mM concentrations of drug. (B) Plot of RNase+RNA in the absence of drug.

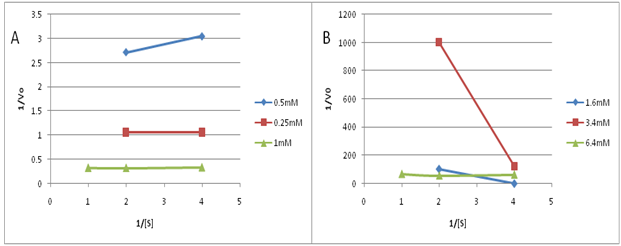
Line weaver- Burk plots of Enzyme RNase A in the presence and absence of drug
From the (Figure 2) B the curve is sigmoid which indicates that the enzyme is allosteric and same was observed with Dixon plots also. At higher substrate concentration the enzyme found to be favoured in R state compared to T- state. So, K0.5 and Vmax of the enzyme found to be decreased (Figure 3).

Figure 2 Lineweaver- Burk plots of RNase A. (A) Plot of RNase A+RNA in the absence of drug.(B) Plot of RNase A at 1.6mM and 3.2mM concentrations of drug.


Figure 3 Dixon plots of RNase A. (A) Plot in the absence of drug. (B) are the plots at 1.6mM, 3.2 mM, 6.4mM concentrations of drug. At 6.4mM concentration the curve is about to be sigmoidal.

Discussion

Column chromatography was one of the techniques used to isolate RNase present in the testes and enzyme kinetics is one of the parameter to be studied. Various plots of enzyme in presence and absence of drug concluded that RNase A is heterotropic and inhibited by drug metosartan in an allosteric dependent manner. Previous reports of Inhibition studies by UV visible spectroscopy5 and immune fluorescence6 in vitro confirmed that the enzyme present in testes is RNase A and its presence is intracellular. Allosteric enzymes are regulated by various means like phosphorylation and covalent modification. But in this case the enzyme is inhibited by drug metosartan which is a negative modulator of enzyme. Previous reports have shown that RNase A is active at multimer state compared to monomer and RNase H2 is involved in protection against chromosomal instability in yeast strains.7 Where as in wistar rats the protection against chromosomal instability in testes was done by RNase A. So, by these we can conclude that medication of drug along with RNase A leads to slow release of the drug which results in reduced effects of drug on testes compared to direct intake.8

Conclusion

RNase A is involved in various activities like chromosomal instability, Immune defence and gene regulation etc., but in testes it is mainly involved in chromosomal stability. So, study of inhibitors that acts on enzyme must be studied through kinetics of enzyme. RNase A present in the testes and inhibited by drug metosartan in an allosteric manner by acting as negative modulator of the enzyme.

Acknowledgements

None.

Conflicts of interest

The author declares there is no conflict of interest.

References

Creative Commons Attribution License

©2018 Beeram, et al. This is an open access article distributed under the terms of the, which permits unrestricted use, distribution, and build upon your work non-commercially.