Submit manuscript...
International Journal of
eISSN: 2574-8084

Radiology & Radiation Therapy

Research Article Volume 6 Issue 1

Neoadjuvant radiotherapy/chemotherapy followed by surgery versus surgery followed by adjuvant radiotherapy for stages IB2-IIA for carcinoma of the cervix at NCI, Egypt

Mohamed Mahmoud,1 Amr Kamal,2 Shaimaa Abdelgeleel,3 Mosaad M El Gammal4

1Radiation Oncology Department, Cairo University, Egypt
2Surgical Oncology Department, Cairo University, Egypt
3Cancer biostatistics Department, Cairo University, Egypt
4Medical Oncology Department, Cairo University, Egypt

Correspondence: Mohamed Mahmoud, Radiation Oncology Department, National cancer Institute, Cairo University, Giza, Egypt

Received: January 31, 2019 | Published: February 18, 2019

Citation: Mahmoud M, Kamal A, Abdelgeleel S. Neoadjuvant radiotherapy/chemotherapy followed by surgery versus surgery followed by adjuvant radiotherapy for stages IB2-IIA for carcinoma of the cervix at NCI, Egypt. Int J Radiol Radiat Ther. 2019;6(1):37-40. DOI: 10.15406/ijrrt.2019.06.00210

Download PDF

Abstract

Aim: To determine the effect of neoadjuvant radio-chemotherapy followed by surgery versus surgery followed by adjuvant radiation on survival for patients with stage IB2-IIA cancer cervix.

Patients and methods: Data from National Cancer Institute hospital based registry were used to generate a list of all patients diagnosed with carcinoma of the cervix at the period from October 2014 to October 2016.

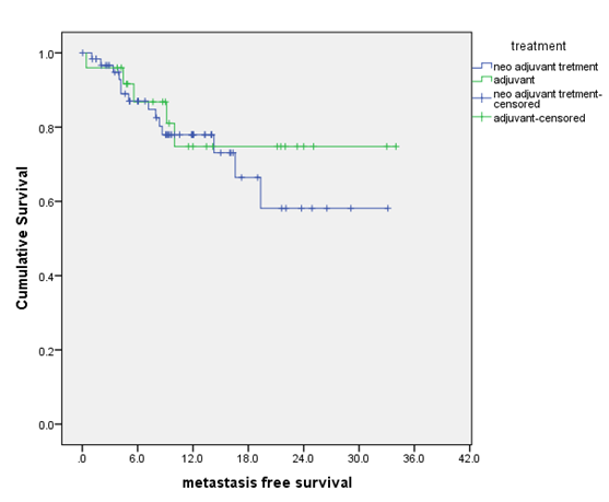
Results: The study included 123 female patients with stages IB2-IIA cancer cervix Squamous cell carcinoma (SCC) was the predominant histopathology; 102 patients (83.3%), while adenocarcinoma represented the remaining 21 patients (16.7%). Sixty six patients received neoadjuvant chemo-radiotherapy followed by surgery and 57 patients underwent surgery followed by post-operative radiotherapy according to Seidles criteria. The 2 years overall survival was 35.5% for the neoadjuvant group versus 30.8% for the adjuvant group (p=0.833). The 2 years recurrence free survival was 70.4% for the neoadjuvant group and 58.2% for the adjuvant group (p=0.467). The 2 years metastasis free survival was 58.2% in the neo-adjuvant group and 73.2% for the adjuvant group with (p=0.5).

Conclusion: No difference in survival or local control was found between adjuvant hysterectomy after chemo-radiotherapy versus upfront hysterectomy followed by adjuvant radiotherapy for stages IB2-IIA cancer cervix.

Keywords: neoadjuvant, chemo-radiotherapy, seidles

Introduction

Worldwide, cervical cancer accounted for an estimated 528,000 new cancer cases and for 266,000 deaths in 2012. Eighty-four percent of cancer cervix cases were from less developed regions. In developing countries, cancer cervix was the second most common type of cancer (15.7 per 100,000 women) and the third most common cause of cancer mortality (8.3 per 100,000). On the continent of Africa and Central America, it is the leading cause of cancer-related mortality.1

In Egypt, it represents 1.9% of all female cancers. The number of cases by the year of 2050 is estimated to be 2039.2 Staging of the disease depends on The International Federation of Gynecology and Obstetrics (FIGO) collaborated with the International Union Against Cancer (IUCC) to formulate the FIGO system for cervical cancer.3

Patients with stage (IB2-IVA) are treated with definite concurrent radiothaerapy and chemotherapy, this has shown to significantly improve patient survival.4,5 For stage IB2 or IIA there is a debate about the role of adjuvant hysterectomy after primary chemoradiation,4 adjuvant hysterectomy after radiotherapy has been shown to improve local control but not overall survival.6 This approach may be considered in patients whose anatomy and disease extensions are not fit for brachytherapy.

In our study, we aim to compare between neoadjuvant chemo-radiotherapy followed by hysterectomy versus hysterectomy and postoperative radiotherapy for patients with stage IB2-IIA regarding survival benefit.

Patients and methods

This is a retrospective study including 123 patients with cancer cervix stage IB2-IIA treated at National Cancer Institute, Cairo University from October 2014 to October 2016. Those patients were treated either by neoadjuvant chemo-radiotherapy followed by extrafascial hysterectomy or Wertimes followed by post-operative radiotherapy according to the pathology data and indications for post-operative radiotherapy.

Patients were subjected to laboratory investigations including complete blood picture, kidney function test and liver function test. Radiological images in the form of CT chest, abdomen and MRI pelvis. Proven histogical pathology of carcinoma of the cervix.

Results

The study included 123 female patients with stages IB2-IIA cancer cervix at National Cancer Institute, Cairo University during the period from October 2014 to October 2016. Mean age of our patients was 54 years old ranging from 15 to 80 years. Squamous cell carcinoma (SCC) was the predominant histopathology; 102 patients (83.3%), while adenocarcinoma represented the remaining 21 patients (16.7%).

Treatment

Neoadjuvant external beam radiotherapy by a dose of 50Gy by 3DCRT with concurrent cisplatin by a dose of 40 mg/m2 given weekly during radiation was given to 66 patients.

The majority of patients; 34(51%) showed regressive course while 19(29%) achieved complete response, 11(17%) showed disease progression and only 2(3%) had stationary course. Extrafascial hysterectomy was done for patients due to non availability of radioactive source for brachytherapy at that time or patients whose anatomy and disease extensions are not fit for brachytherapy.

Wertheim operation was done to 57 patients, Adjuvant external beam radiotherapby a dose of 50 Gy was given to 50 patients with Seidles criteria (greater than one-third stromal invasion, capillary lymphatic space invasion and cervical tumours more than 4cm). The difference between neoadjuvant and adjuvant treatment is shown in Table 1 as well as Figure 1-3. Results showed no difference between the 2 methods of treatment regarding overall survival, disease free survival and recurrence free survival.

Characteristics

Six months survival

One year survival

Two year survival

95% CI

P value

Overall survival

       

New adjuvant treatment

79.1

63.1

35.5

13.7-30.4

 

Adjuvant treatment

83.6

81.1

30,8

14.4-26.9

0,833

Metastasis free survival

     

New adjuvant treatment

87.1

78.1

58.2

19.6 -28.1

 

Adjuvant treatment

86.5

74.1

73.2

21.7-32.3

0.54

Recurrence free survival

     

New adjuvant treatment

90.1

79.2

70.4

22.6-30.1

 

Adjuvant treatment

85.4

69.5

58.2

20.2-30.3

0,467

Table 1 The difference between neoadjuvant and adjuvant treatment

Figure 1 Overall survival according the treatment groups.

Figure 2 Metastasis free survival according the treatment groups.

Figure 3 Local recurrence free survival according the treatment groups.

Discussion

There is a great debate about the role of surgery in patients with locally advanced cervical cancer after chemo-radiotherapy. This issue was mentioned in many studies. Here in our study we are comparing between the roles of neo-adjuvant chemo-radiotherapy followed by surgery versus surgery followed by post-operative radiotherapy in patients with stage IB2-II A from a retrospective study from the data of cervical cancer patients collected between the years 2014-2016 at National cancer Institute, Cairo University.

According to Keys,6 the five-year disease-free survival (DFS) and local recurrence (LR) rates were 62% and 53% in the surgery group and 14% and 27% in the chemo-radiotherapy group for patients with stage IB2 disease (p>0.5). Surgery could reduce the LR rate, especially among those patients with four-, five- and six-centimeter tumours.

In the study by Morice,7 the three year OS and event-free survival rates of 86% and 97%, respectively, and 72% and 89%, respectively, were not significantly different according to surgery group among CR patients after chemo-radiotherapy.

Surgery after chemo-radiotherapy significantly reduced the recurrence and death rates without any effect on DFS or OS. Based on the report by Darus,8 the mean OS was 113.8 months (94.4–133.3 months) in the surgery group and 113.7 months (92.2–135.1 months) in the chemo-radiotherapy group for patients with stage IB2 disease (p>0.5).

According to Mazeron,9 the five-year DFS, was 75.6% and 77.4% in the two treatment groups (p>0.5), and the five-year OS was not statistically significantly different between the two treatment regimens.

In the study by Fanfani,10 the three-year DFS and OS were 62.9% and 68.3% versus 63.2% and 67.7% for two treatment regimens (p>0.5).

There were some analyses of patients who received surgery after chemoradiotherapy/radiotherapy without comparison to those who received radiotherapy/chemoradiotherapy alone. The nine-year DFS and OS rates were 81% and 85% for patients with stage IB2 to IVA disease,11 the two-year LC was 91.7% for stage IIB to IIIA disease],12 the five-year OS and DFS rates were 84% and 76% for IB2 to IVB adenocarcinoma,13 the five-year DFS and OS rates were 83% and 90% for patients with stage IB2, IIA and IIB disease,14 and the two- and five-year DFS rates were 80.4% and 72.2% for patients with stage IB2, IIA and IIB disease.15

In our study which is comparing between neoadjuvant chemo-radiotherapy followed by surgery versus surgery followed by post-operative radiotherapy for patients with stage IB2-IIA, we found that there was the 2 years overall survival was 35.5% for the neoadjuvant group versus 30.8% for the adjuvant group with no statistically significance between the 2 arms (p=0.833).

The 2 years recurrence free survival was 70.4% for the neoadjuvant group and 58.2% for the adjuvant group with no significance also (p=0.467). The metastasis free survival was studied for the 2 groups, results showed the 2 years metastasis free survival was 58.2% in the neo-adjuvant group and 73.2% for the adjuvant group with (p=0.5).

Thus our study also was comparable with other studies where there was no difference between those who were treated by neo-adjuvant chemo-radiotherapy followed by surgery and those who underwent surgery and received post-operative radiotherapy.

Acknowledgments

None.

Conflicts of interest

The author declares that there is no conflicts of interest.

References

  1. Torre LA, Bray F, Siegel RL, et al. Global Cancer Statistics,2012. CA Cancer J Clin. 2015;65(2):87–108.
  2. Ibrahim AS, Khaled HM, Mikhail NN, et al. Cancer incidence in Egypt: Results of the National Population–Based Cancer Registery Program. Journal of Cancer Epidemiology. 2014.
  3. Pecorelli S, Zigliani L, Odicino F. Revised FIGO staging for carcinoma of the cervix. Int J Gynaecol Obstet. 2009;105(2):107–108.
  4. Key HM, Bundy BN, Stehman FB, et al. Cisplatin, radiation and adjuvant hysterectomy compared with radiation and adjuvant hysterectomy for bulky stage IB cervical carcinoma. N Eng J Med. 1999;340(15):1154–1161.
  5. Morris M, Eifel PJ, Lu J, et al. Pelvic radiation with concurrent chemotherapy compared with pelvic and para–aortic radiation for high risk cervical cancer. N Eng J Med. 1999;340:1137–1143.
  6. Keys HM, Bundy BN, Stehman FB, et al. Radiation therapy with and without extrafascial hysterectomy for bulky stage IB cervical carcinoma: a randomized trial of the gynecologic oncology group. Gynecol Oncol. 2003;89(3):343–353.
  7. Morice P, Rouanet P, Rey A, et al. Results of the GYNECO 02 study, an FNCLCC phase III trial comparing hysterectomy with nohysterectomy in patients with a (clinical and radiological) complete response after chemoradiation therapy for stage IB2 or II cervical cancer. Oncologist. 2012;17(1):64–71.
  8. Darus CJ, Callahan MB, Nguyen QN, et al. Chemoradiation with and without adjuvant extrafascial hysterectomy for IB2 cervical carcinoma. Int J Gynecol Cancer. 2008;18(4):730–735.
  9. Mazeron R, Gouy S, Chargari C, et al. Post radiation hysterectomy in locally advanced cervical cancer: outcomes and dosimetric impact. Radiother Oncol. 2016;120(3):460–466.
  10. Fanfani F, Vizza E, Landoni F, et al. Radical hysterectomy after chemoradiation in FIGO stage III cervical cancer patients versus chemoradiation and brachytherapy: complications and 3–years survival. Eur J Surg Oncol. 2016;42(10):1519–1525.
  11. Jurado M, Martinez–Monge R, Garcia–Foncillas J, et al. Pilot study of concurrent cisplatin, 5–fluorouracil, and external beam radiotherapy prior to radical surgery +/− intraoperative electron beam radiotherapy in locally advanced cervical cancer. Gynecol Oncol. 1999;74(1):30–37.
  12. Mancuso S, Smaniotto D, Benedetti Panici P, et al. Phase I–II trial of preoperative chemoradiation in locally advanced cervical carcinoma. Gynecol Oncol. 2000;78(3 Pt 1):324–328.
  13. Shibata K, Kajiyama H, Yamamoto E, et al. Effectiveness of preoperative concurrent chemoradiation therapy (CCRT) for locally advanced adenocarcinoma of cervix. Eur J Surg Oncol. 2009;35(7):768–772.
  14. Ferrandina G, Legge F, Fagotti A, et al. Preoperative concomitant chemoradiotherapy in locally advanced cervical cancer: safety, outcome, and prognostic measures. Gynecol Oncol. 2007;107(1 Suppl 1):S127–132.
  15. Huguet F, Cojocariu OM, Levy P, et al. Preoperative concurrent radiation therapy and chemotherapy for bulky stage IB2, IIA, and IIB carcinoma of the uterine cervix with proximal parametrial invasion. Int J Radiat Oncol Biol Phys. 2008;72(5):1508–1515.
Creative Commons Attribution License

©2019 Mahmoud, et al. This is an open access article distributed under the terms of the, which permits unrestricted use, distribution, and build upon your work non-commercially.