Submit manuscript...
eISSN: 2574-9838

International Physical Medicine & Rehabilitation Journal

Case Report Volume 3 Issue 3

Energy cost of locomotion of robotic-assisted walking in paraplegics: a case report

Susanna Rampichini,1 Eleonora Guanziroli Ing,3 Luca Agnello,1 Arsenio Veicsteinas,1,2 Franco Molteni,3 Giampiero Merati1,2

1Department of Biomedical Sciences for Health, Università degli Studi di Milano, Italy
2Center of Sport Medicine, IRCCS Fondazione Don C, Italy
3Villa Beretta, Rehabilitation Center, Italy

Correspondence: Susanna Rampichini, Department of Biomedical Sciences for Health, Università degli Studi di Milano, Via G Colombo 71, Milan, Italy, Tel 390250314639

Received: May 05, 2018 | Published: May 23, 2018

Citation: Rampichini S, Ing EG, Agnello L, et al. Energy cost of locomotion of robotic-assisted walking in paraplegics: a case report. Int Phys Med Rehab J. 2018;3(3):221-224. DOI: 10.15406/ipmrj.2018.03.00106

Download PDF

Abstract

Background: Mechanical orthoses are frequently withdrawn from the domestic use, due to the high energy required by walking.

Purpose: This study aimed at assessing the metabolic expenditure of walking with an electrically-powered exoskeleton and to compare the energy cost of locomotion with the costs of passive or hybrid devices.

Methods: Expiratory gases concentration and heart rate were measured during wheelchair- and exoskeleton-assisted locomotion, at the most comfortable- and lower-speed in a paraplegic subject (female, 28 years, lesion level L1, ASIA B). Energy cost of locomotion was calculated and compared to previously published data.

Results: Oxygen consumption during exoskeleton-assisted walking at lower and comfortable speed (12.4±0.8, 15.5±0.9 ml·kg-1·min-1, respectively) were similar to the expenditure measured during wheelchair-ambulation at comfortable speed (14.5±0.7 ml·kg-1·min-1; P=ns). Walking energy cost was higher during locomotion with exoskeleton (0.69±0.05 and 0.63±0.04 ml·kg-1·m-1 for lower and comfortable speed, respectively, P<0.001 between speeds) than wheelchair-ambulation (0.15±0.01 and 0.16±0.01 ml·kg-1·m-1 for lower and comfortable speed respectively, P<0.05 between speeds) but lower than those reported in previous studies.

Conclusion: Considering the findings of this case report, compared to passive and hybrid orthoses, robotic exoskeleton increases walking speed and decreases energy-cost.

Keywords: exoskeleton, wearable orthosis, oxygen consumption, rehabilitation, spinal cord injury

Introduction

The recovery of standing posture and walking ability in spinal cord injured patients may provide several benefits, either physiological and psychological, including improvement in physical and cardio-respiratory fitness, increase in bone mineral density,1 independence, self-esteem,2 and an enhancement of the independence in domestic setting due to the possibility to reach many other spaces by assuming the upright position. Therefore, in the last decades many efforts have been spent to encourage standing and walking at home in paraplegic people. However, orthotic devices (either passive or electrically assisted) have been frequently withdrawn by household use because of their encumbrance, the high effort required during wearing and removing it, the very low speed during locomotion and the high metabolic cost of locomotion (C).2–5 Indeed, high energy expenditure associated to low gait speed has been reported for passive (mechanical) and hybrid orthoses (mechanical orthoses combined with functional electrical stimulation) in comparison with normal gait and wheelchair ambulation.2,3,6 Since the late ‘70s, robotic exoskeletons has been used in rehabilitation fields to restore autonomous walking. In general, such devices could help to re-establish walking also in the domestic setting, where other orthotic (electrically assisted or not) devices are generally abandoned due to their drawbacks.3,4 While energy cost of locomotion of robotic assisted gait is well documented in body-weight support approach,2,7 to our knowledge only one study investigated the acute cardio-respiratory response to over ground exoskeleton-assisted walking in paraplegic subjects8 and a direct comparison between metabolic expenditure during wheelchair ambulation and bionic over ground locomotion within the same patient still lacks. The aim of the study was to assess the energy cost during over ground locomotion with a robotic exoskeleton in a paraplegic patient.

Case report

Patient

A young woman (28 years, 48kg and 160cm) with a traumatic incomplete spinal cord lesion (L1 ASIA B, lesion duration 3 years) was enrolled. A 5-months preliminary training program with a robotic exoskeleton was executed. The patient gave her written informed consent, and the study was approved by the local ethic committee of the Department of Biomedical Sciences for Health of Milan University.

Walking apparatus

The exoskeleton (ReWalk©, Argo Medical Technologies, Israel) was a reciprocating gait orthosis with powered hip and knee joints. Control unit and rechargeable batteries were worn in a backpack. The exoskeleton was adjusted by velcro-secured straps to fit the patient limb and pelvis (Figure 1). Each step was started by a trunk flexion in the sagittal plane, read by a 3D accelerometer, and assisted by two crutches for balance.

Figure 1 Experimental protocol

Experimental procedure

Before the walking session two resting conditions were evaluated for at least 5 min each: sitting at rest (SIT) and standing upright (STAND) wearing the exoskeleton. During both these periods heart rate (HR) and respiratory gases concentration were assessed on a breath-by-breath basis with a HR monitor (Polar s810, Polar, Finland) and a calibrated portable calorimeter (K4b2, Cosmed, Italy). The walking session took place thereafter. HR and gas concentrations were assessed during locomotion with the exoskeleton (EXO) and with the wheelchair (WHCH) maintaining two different self-selected velocities3: the most comfortable speed (CS) and a slower speed (Low Speed, LS), both maintained for at least 4 min during back and forth locomotion on a 25-m length linear flat path.

The mean velocity was calculated by dividing the distance (m) covered to the time interval (s). During each phase, the cardio respiratory values were computed off-line considering the last minute of the working load, when the metabolic steady-state condition was reached. In order to perform a statistical analysis, the last minute of each steady-state condition was divided in four epochs lasting 15 seconds each, and the mean of each epoch has been computed for all the variables. The net metabolic C (ml·kg-1·m-1), i.e. the amount of oxygen (difference between steady-state and resting) required to cover a distance of 1 meter per kg of transported mass, was finally calculated3.

Data extraction from previous studies

A comprehensive literature search for relevant articles dealing with the assessment of the energy cost of locomotion with different kind of orthoses was performed on the following electronic databases: Pub Med, Scopus and Web of Science. The following keywords were considered and combined with “AND” and “OR” logic operators: gait training, locomotion, energy cost, oxygen uptake, spinal cord injury, wheelchair, hybrid orthoses, functional neuromuscular stimulation, powered exoskeleton, passive orthoses, loco motor training and rehabilitation. When, instead of C, authors reported the results of oxygen uptake and speed, the net metabolic energy cost was mathematically derived by their ratio. Conversion to the proper measure unit was also performed when necessary.

Statistical analysis

Data were reported as mean±standard deviation. Statistical analysis was performed using SPSS v.18 (SPSS Inc., Chicago, USA). The unpaired Student t-test was used to detect differences between SIT and STAND conditions. Regarding the locomotion sessions, a two way ANOVA investigated the existence of an effect induced by the device (factor) or by the different speeds (level) considering the most comfortable speed adopted during WHCH locomotion as the control condition. The level of statistical significance was set at P<0.05.

Results

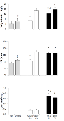
The steady-state metabolic parameters measured in the different conditions are shown in Figure 2 (, HR and C; upper, middle and lower panel, respectively). As expected, the metabolic and cardiac parameters during STAND were significantly increased compared to SIT (+51% and +8% for and HR, respectively; P<0.001 vs SIT).

Figure 2 Oxygen consumption ( V ˙ O 2 MathType@MTEF@5@5@+= feaagKart1ev2aaatCvAUfeBSjuyZL2yd9gzLbvyNv2CaerbuLwBLn hiov2DGi1BTfMBaeXatLxBI9gBaerbd9wDYLwzYbItLDharqqtubsr 4rNCHbGeaGqiVCI8FfYJH8YrFfeuY=Hhbbf9v8qqaqFr0xc9pk0xbb a9q8WqFfeaY=biLkVcLq=JHqpepeea0=as0Fb9pgeaYRXxe9vr0=vr 0=vqpWqaaeaabiGaciaacaqabeaadaqaaqaaaOqaaKqzGeGabeOvay aacaGaae4taKqbaoaaBaaaleaajugWaiaabkdaaSqabaaaaa@3AD6@ ) and heart rate (HR) (upper and lower panel, respectively) during sitting (SIT), standing (STAND) and during locomotion. Grey bars refer to resting measures; white bars refer to wheelchair (WHCH) locomotion and black bars refer to locomotion with the exoskeleton (EXO) at low speed (LS) and self-selected most comfortable (CS) speed.

During WHCH ambulation LS and CS were 44.4 m·min-1 and 93.7 m·min-1, respectively, whereas during EXO locomotion they were 18.1 m·min-1 and 24.5 m·min-1, respectively. As regards WHCH locomotion, and HR were 55% and 22% lower at LS than at CS, respectively (P<0.05 for all comparisons). During EXO locomotion, HR was not significantly different at both speeds, whereas was 20% lower and C was 9% higher at LS compared to CS (P<0.01 for both comparisons).

Comparing EXO to WHCH locomotion at CS, either and HR were similar, whereas C increased fourfold with EXO ambulation (P<0.001 vs WHCH).

In the present study C, along with the corresponding values reported in previous works on passive, hybrid and active orthosis locomotion and during walking in healthy people are plotted in Figure 3. C was higher compared to the values measured in able-body subjects but, interestingly, both the efficiency and the speed of locomotion improved in comparison with that of hybrid and passive orthosis.

Figure 3 Hyperbolic relationship between energy cost of locomotion (C) and walking speed during ambulation with wheelchair (WHCH) and passive, hybrid, robotic-assisted and normal walking, extracted from literature and actual study. Black triangles: EXO, closed circles, WHCH, grey rhombi: passive orthosis; white rhombi: hybrid orthosis; grey circles: locomotion with active orthosis and open circles: walking measured in healthy people.1–10

Discussion

Focus of this case study was to assess the metabolic energy expenditure during the autonomous locomotion over ground with a robotic exoskeleton in a patient with a L1 level spinal cord lesion.

Compared to the most comfortable ambulation with WHCH, the EXO-assisted gait showed a quietly higher metabolic expenditure and, because of the faster speed of WHCH, a three times higher C. However, compared to the energy cost previously reported in literature, where passive and hybrid orthosis were adopted, the C measured in the present study during robot-aided walking was lower in spite of higher speed. These results may provide quantitative information regarding metabolic adjustments to different modalities of locomotion.

values during SIT and STAND were quite higher compared to literature data,4,9 presumably due to the sum of the energy required to reach the standing position with that needed by muscles to stabilize the trunk.

values during locomotion with the EXO at CS and LS ranged from 12.4 to 15.5 ml· kg-1·min-1, respectively (Figure 2), in line with the data found by other studies.4,9,10. However, the values found in the present study were quite higher compared to the data measured by Evans et al.8 reasonably justified by the higher walking speeds (18.1 and 24.5 m·min-1 in the present study and 11.4 and 16.2 m·min-1 measured by Evans et al.8). In addition, the steady-statemeasured during EXO locomotion did not differ from that observed during WHCH CS, suggesting that the amount of energy required by the robotic-assisted locomotion does not lead to an excessive amount of additional metabolic energy compared to that necessary to normally ambulate with a WHCH on over ground surfaces.

As regards walking velocity, in previous works locomotion speed with different passive orthoses ranged from 5 to 20 m·min-13 and higher values were reported using powered orthosis (up to 25 m·min-14). In this study, SS during EXO walking was at the upper boundaries of the ranges reported during locomotion with passive and hybrid orthosis and were in line with the walking speed reported in previous published data where locomotion with both wheelchair and powered-assisted orthoses were investigated.3,4,8,9 This speed gain, compared to passive and hybrid orthoses, may be due to the extra power given to the locomotion by the robotic system, which presumably added to the total metabolic power of the subject. Unfortunately the exact power transferred by the system to the patient cannot be quantified, because power dissipation due to heat production and to the inertia of the robotic system existed but was unknown. However, the increased locomotion speed at self-select pace appears to be useful to “shift” the C in a more comfortable and efficient area of the typical hyperbolic C vs speed relationship (Figure 3) thereby reducing the oxygen cost of walking.

Indeed when considering C reported in literature,35,8,9 our data were close to the values of able-body people, and markedly lower than those of locomotion with passive or hybrid or active orthosis.

Results of the present study encourage the use of this kind of orthoses also in household conditions thus promoting all the advantages that follow the regain of upright posture. Among these the improvement in the cardio respiratory fitness, the increase in bone mineral density,1 a rise in self-esteem,2 and an enhancement of the independence are the goals that all the patient should have to achieve.

Study limitations

Interpretation of our data should consider that the C of different types of locomotion found in literature did not derive from a meta-analysis.

Our paraplegic subject has an incomplete spinal cord lesion therefore; a higher energy demand in an individual with a complete lesion could not be excluded. In addition, the reduced number of velocities investigated may have limited a more complete definition of the C vs speed relationship in this individual.

Conclusion

The results of the present study suggest that compared to passive and hybrid orthoses, the robotic exoskeleton marks a step forward in the development of an energetically efficient orthotic device as, despite the presence of many limitations,11 it allows a faster locomotion with acceptable energy cost.

The improvement of both speed and energy demand during robotic-assisted gait encourages the adoption of this orthosis in daily life activities. Along with its limited encumbrance, it may finally reverse the high withdrawal rate of orthoses use in the domestic settings.

Acknowledgements

Authors wish to sincerely acknowledge the subject for her participation to the study.

Conflict of interest

The Authors declare no conflict of interests.

References

  1. Schwartz I, Meiner Z. Robotic-assisted gait training in neurological patients: who may benefit?. Annals of Biomedical Engineering. 2015;43(5):1260–1269.
  2. Arazpour M, Samadian M, Bahramizadeh M, et al. The efficiency of orthotic interventions on energy consumption in paraplegic patients: a literature review. Spinal cord. 2015;53:168–175.
  3. Merati G, Sarchi P, Ferrarin M, et al. Paraplegic adaptation to assisted-walking: energy expenditure during wheelchair versus orthosis use. Spinal cord. 2000;38(1):37–44.
  4. Israel JF, Campbell DD, Kahn JH, et al. Metabolic costs and muscle activity patterns during robotic- and therapist-assisted treadmill walking in individuals with incomplete spinal cord injury. Physical Therapy. 2006;86(11):1466–1478.
  5. Spadone R, Merati G, Bertocchi E, et al. Energy consumption of locomotion with orthosis versus Parastep-assisted gait: a single case study. Spinal cord. 2003;41(2):97–104.
  6. Kawashima N, Sone Y, Nakazawa K, et al. Energy expenditure during walking with weight-bearing control (WBC) orthosis in thoracic level of paraplegic patients. Spinal cord. 2003; 41(9):506–10.
  7. Hornby TG, Kinnaird CR, Holleran CL, et al. Kinematic, muscular, and metabolic responses during exoskeletal-, elliptical-, or therapist-assisted stepping in people with incomplete spinal cord injury. Physical Therapy. 2012;92(10):1278–91.
  8. Evans N, Hartigan C, Kandilakis C, et al. Acute cardiorespiratory and metabolic responses during exoskeleton-assisted walking overground among persons with chronic spinal cord injury. Topics in Spinal Cord Injury Rehabilitation. 2015;21(2):122–32.
  9. Asselin P, Knezevic S, Kornfeld S, et al. Heart rate and oxygen demand of powered exoskeleton-assisted walking in persons with paraplegia. Journal of Rehabilitation Research & Development. 2015;52(2):147–58.
  10. Kawashima N, Taguchi D, Nakazawa K, et al. Effect of lesion level on the orthotic gait performance in individuals with complete paraplegia. Spinal cord. 2006;44(8):487–94.
  11. Esquenazi A, Talaty M, Jayaraman A. Powered exoskeletons for walking assistance in persons with central nervous system injuries: a narrative review. PM & R. 2017;9(1):46–62.
Creative Commons Attribution License

©2018 Rampichini, et al. This is an open access article distributed under the terms of the, which permits unrestricted use, distribution, and build upon your work non-commercially.