Submit manuscript...
eISSN: 2574-8092

International Robotics & Automation Journal

Review Article Volume 4 Issue 6

Analysis of biological neuron and training of an artificial neuron for a neural processor construct

Manu Mitra

Electrical Engineering Department, University of Bridgeport, USA

Correspondence: Manu Mitra, Electrical Engineering Department, University of Bridgeport , 126 Park Avenue, Bridgeport, CT – 06604, USA

Received: January 02, 2018 | Published: December 12, 2018

Citation: Mitra M. Analysis of biological neuron and training of an artificial neuron for a neural processor construct. Int Rob Auto J. 2018;4(6):407-417. DOI: 10.15406/iratj.2018.04.00157

Download PDF

Abstract

The basic idea behind a neural processor is to simulate lots of densely interconnected artificial neuron inside a computer so you can get it to learn things, recognize patterns, and make decisions in a humanlike way. The best thing about a neuron processor is that you don't have to program it to learn explicitly: it learns all by itself, just like a brain. In this paper analysis of biological neurons are made to make a successful artificial neural processor that can be used in robots for analyzing the problem in detail by itself. Automatic training of neuron network is also been performed including data analysis with an example.

Keywords: neuron, neural processor, neural network, data analysis, specific structures

Introduction

The brain is an assembly of interconnected neurons. Neurons attain in a range of shapes and sizes, contingent on their capacity and specific structures. Nevertheless, in common, all neurons work in the comparative way and take after each other. Likewise, neurons of animals look similar like the neurons of people. The normal number of neurons in human cerebrum is around 100 billion. Regardless of whether human is the most brilliant animal on the planet, some fascinating insights about neurons in people and different creatures, demonstrated that there are creatures that may have a more noteworthy measure of neurons than the human. A fascinating certainty about octopus is that normal number of neurons in an octopus brain is around 300billion.

Every neuron is a cell that utilizes biochemical responses to get process and transmit data. A neuron's dendrite tree is associated with a thousand neighboring neurons. When one of those neurons fires, a positive or negative charge is caught by one of the dendrites. The qualities of all the caught charges are included through the procedures of spatial and worldly summation. Spatial summation happens when a few powerless signs are changed over into a solitary expansive one, while fleeting summation changes over a quick arrangement of feeble heartbeats from one source into one huge flag. The total info is then passed to the soma (cell body). The soma and the encased core don’t assume a critical part in the preparing of approaching and active information. Their essential capacity is to play out the consistent support required to keep the neuron practical. The piece of the soma that concerns itself with the flag is the axon hillock.

Electrical driving forces from the bot enter the bunch of neurons, and reactions from the cells are transformed into charges for the device. Cells can shape new associations, making the framework a learning machine. For the most part neuron control causes the robot to keep away from dividers. However that snag shirking frequently indicates clear change after some time, exhibiting how systems of neurons can allow basic assuming out how to the machines (Figure 1 & 2).1,2

Figure 1 Depicts multiple biological natural neuron connected to each other.3

Figure 2 Depicts artificial neuron (Neural Network) connected to each other with hidden layers that cannot be seen explicitly in biological neuron.4

Analyzing biological neuron for an artificial neuron processor construct

Below are the graphs were taken for analyzing a biological neuron.3,4 Permission was granted by Prof. Eric Newman to use graphs in this paper generated by Meta Neuron.5

  1. Resting membrane potential
  2. Membrane potential characteristics (Figure 3)

    Sodium

    Concentration out (mM)=120

    Concentration in (mM)=16.4859

    Na+ equilib potential (mV)=50.00

    Potassium

    Concentration out (mM)=Range

    Concentration in (mM)=63.7834

    K+ equilib potential (mV)=11.58

    Relative Membrane Permeability

    Na+ permeability=1

    K+ permeability=65

    Membrane Potential

    Potential (mV)=11.93

    Figure 3 Depicts 3D graph of resting membrane potential.

  3. Membrane time constant
  4. Membrane time constant characteristics (Figure 4)

    Membrane resistance

    KΩ cm2=10

    Stimulus

    Delay (ms)=2

    Width (ms)=1

    Amplitude (µA)=10

    Period (ms)=3

    Number of stimuli=Range

    Sweep duration (ms)=40

    Range value 1 to 5

    Figure 4 Depicts 3D graph of membrane time constant.

  5. Membrane length constant
  6. Membrane length constant characteristics (Figure 5)

    Dendrite/Axon Properties

    Membrane Resistance (kΩ-cm2)=5

    Internal Resistivity (Ω-cm)=Range

    Diameter (µm)=0.1

    Membrane capacitance=1µF/cm2

    Stimulus

    Synaptic Potential

    Delay (ms)=1

    Width (ms)=50

    Amplitude (µA)=100

    Potential vs Distance

    Enabled

    Time (ms)=50

    Figure 5 Depicts 3D graph of membrane length constant.

  7. Axon action potential
  8. Axon action potential characteristics (Figure 6)

    Membrane parameters

    Na+ equilib potential (mV)=50

    gNa max (mS/cm2)=260

    K+ equilib potential (mV)=-77

    gK max (mS/cm2)=70

    Membrane leakage

    Reversal potential (mV)=-55

    gLeak (mS/cm2)=0.6

    Conductance and Currents

    Ionic currents

    Holding Current

    Holding (µA)=Range

    Stimulus

    Delay (ms)=0.5

    Width (ms)=0.1

    Amplitude (µA)=65

    Temperature 18 degree Centigrade

    Range value -5 to 15

    Sweep duration (ms)=5

    Figure 6 Depicts 3D graph of axon action potential.

  9. Axon voltage clamp
  10. Axon action potential characteristics (Figure 7)

    Membrane Parameters

    Na+ equilib potential (mV)=50

    gNa max (mS/cm2)=260

    K+ equilib potential (mV)=-77

    gK max (mS/cm2)=70

    Membrane Leakage

    Reversal potential (mV)=-55

    gLeak (mS/cm2)=0.6

    Holding potential

    Holding (mV)=Range

    Stimulus

    Delay (ms)=1

    Width (ms)=4

    Amplitude (µA)=-5

    Temperature 18 degree Centigrade

    Range value -75 to -30

    Sweep duration (ms)=8

    Figure 7 Depicts 3D graph of axon voltage clamp.

  11. Synaptic potential and current
  12. Synaptic potential and current characteristics (Figure 8)

    Ion permeability

    Na+ permeability=1.2

    K+ permeability=1

    Synapse type

    Fast excitatory synapse

    Holding Current

    Holding (µA)=Range

    Figure 8 Depicts 3D graphs of synaptic potential and current.

Observations of biological neuron graphs

As per the above graphs when designing a neuron processor these specifications are to be considered such Resting Membrane Potential, Membrane Time Constant, Membrane length Constant, Axon action potential, Axon voltage clamp, synaptic potential and current. All the graphs were plotted based on voltage and/or current and assigning range of currents (µA) and voltage (mV). Hence it’s vital for any neural processor what amount of voltage and current is being delivered to get desired output.6

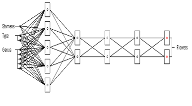
Training of artificial neurons

Training (Table 1&2) of an artificial neuron network (Part-I) (Figure 9–12)

Stamens

Type

Genus

Flowers

Actual

12

Succulent

Pelargonium

Irregular

Regular

5

Succulent

Erodium

Regular

Regular

5

Succulent

Erodium

Regular

Regular

12

Herbaceous

Monsonia

Regular

Regular

5

Succulent

Erodium

Regular

Regular

15

Herbaceous

Monsonia

Regular

Regular

10

Herbaceous

Geranium

Regular

Regular

12

Herbaceous

Monsonia

Regular

Regular

12

Succulent

Sarcocaulon

Regular

Regular

10

Herbaceous

Geranium

Regular

Regular

15

Succulent

Pelargonium

Irregular

Regular

10

Succulent

Pelargonium

Irregular

Regular

5

Succulent

Pelargonium

Irregular

Regular

10

Succulent

Geranium

Regular

Regular

15

Succulent

Sarcocaulon

Regular

Regular

12

Herbaceous

Monsonia

Regular

Regular

10

Succulent

Pelargonium

Irregular

Regular

5

Herbaceous

Pelargonium

Irregular

Regular

12

Herbaceous

Monsonia

Regular

Regular

15

Herbaceous

Monsonia

Regular

Regular

5

Succulent

Erodium

Regular

Regular

15

Succulent

Sarcocaulon

Regular

Regular

15

Herbaceous

Monsonia

Regular

Regular

5

Herbaceous

Pelargonium

Irregular

Regular

12

Succulent

Sarcocaulon

Regular

Regular

5

Herbaceous

Erodium

Regular

Regular

5

Herbaceous

Erodium

Regular

Regular

10

Herbaceous

Geranium

Regular

Regular

10

Succulent

Geranium

Regular

Regular

12

Herbaceous

Monsonia

Regular

Regular

12

Succulent

Pelargonium

Irregular

Regular

10

Herbaceous

Geranium

Regular

Regular

10

Herbaceous

Pelargonium

Irregular

Regular

12

Succulent

Sarcocaulon

Regular

Regular

12

Succulent

Sarcocaulon

Regular

Regular

15

Herbaceous

Monsonia

Regular

Regular

5

Succulent

Erodium

Regular

Regular

5

Succulent

Erodium

Regular

Regular

10

Succulent

Geranium

Regular

Regular

12

Succulent

Sarcocaulon

Regular

Regular

15

Herbaceous

Monsonia

Regular

Regular

10

Herbaceous

Geranium

Regular

Regular

5

Succulent

Erodium

Regular

Regular

10

Herbaceous

Pelargonium

Irregular

Regular

5

Herbaceous

Erodium

Regular

Regular

10

Succulent

Geranium

Regular

Regular

12

Herbaceous

Monsonia

Regular

Regular

10

Herbaceous

Geranium

Regular

Regular

15

Herbaceous

Monsonia

Regular

Regular

5

Herbaceous

Pelargonium

Irregular

Regular

12

Herbaceous

Monsonia

Regular

Regular

10

Succulent

Pelargonium

Irregular

Regular

10

Succulent

Geranium

Regular

Regular

15

Succulent

Sarcocaulon

Regular

Regular

12

Succulent

Sarcocaulon

Regular

Regular

15

Succulent

Sarcocaulon

Regular

Regular

10

Succulent

Geranium

Regular

Regular

5

Succulent

Erodium

Regular

Regular

15

Herbaceous

Monsonia

Regular

Regular

5

Herbaceous

Pelargonium

Irregular

Regular

5

Succulent

Erodium

Regular

Regular

10

Succulent

Geranium

Regular

Regular

15

Herbaceous

Monsonia

Regular

Regular

15

Succulent

Sarcocaulon

Regular

Regular

15

Succulent

Sarcocaulon

Regular

Regular

15

Herbaceous

Monsonia

Regular

Regular

10

Succulent

Geranium

Regular

Regular

5

Herbaceous

Erodium

Regular

Regular

5

Herbaceous

Erodium

Regular

Regular

5

Herbaceous

Erodium

Regular

Regular

5

Herbaceous

Erodium

Regular

Regular

12

Herbaceous

Monsonia

Regular

Regular

12

Herbaceous

Pelargonium

Irregular

Regular

15

Succulent

Sarcocaulon

Regular

Regular

10

Herbaceous

Geranium

Regular

Regular

12

Herbaceous

Monsonia

Regular

Regular

10

Herbaceous

Geranium

Regular

Regular

10

Herbaceous

Geranium

Regular

Regular

5

Herbaceous

Pelargonium

Irregular

Regular

15

Herbaceous

Monsonia

Regular

Regular

Table 1 Training results

Stamens

Type

Genus

Flowers

Actual

12

Succulent

Sarcocaulon

Regular

Regular

10

Herbaceous

Pelargonium

Irregular

Regular

5

Succulent

Erodium

Regular

Regular

10

Succulent

Geranium

Regular

Regular

5

Herbaceous

Erodium

Regular

Regular

5

Herbaceous

Pelargonium

Irregular

Regular

15

Succulent

Sarcocaulon

Regular

Regular

5

Succulent

Erodium

Regular

Regular

5

Succulent

Erodium

Regular

Regular

12

Herbaceous

Monsonia

Regular

Regular

Table 2 Validation results

Figure 9 Depicts training of a neuron network.

Figure 10 Depicts net outputs on training data.

Figure 11 Depicts net error after training data.

Figure 12 Depicts selection results (training set) efficiency vs purity.

An experiment was performed for training of neurons.

Training of an artificial neuron network (Part-II) (Figure 13 &14)

Figure 13 Depicts neural network training using back propagation.

Figure 14 Depicts neural network learning behavior.

Data analysis

Data Analysis was performed on Neural Networks (Table 3) to distinguish between various species of geranium flowers Figure 15 This example demonstrates the use of both input categories (Regular/Irregular, Herbaceous/Succulent) and output categories (the five geranium types) (Figure16). 7

Stamens

Type

Genus

Flowers

Actual

12

Succulent

Sarcocaulon

Regular

Regular

15

Succulent

Sarcocaulon

Regular

Regular

5

Succulent

Pelargonium

Irregular

Regular

12

Succulent

Pelargonium

Irregular

Regular

10

Succulent

Geranium

Regular

Regular

10

Herbaceous

Geranium

Regular

Regular

12

Succulent

Sarcocaulon

Regular

Regular

5

Herbaceous

Pelargonium

Irregular

Regular

15

Succulent

Sarcocaulon

Regular

Regular

12

Succulent

Sarcocaulon

Regular

Regular

Table 3 Testing results

Figure 15 Depicts graphs epoch’s vs error.

Figure 16 Depicts neuron set including hidden layers.

Experimental data feed to neural networks

Experimental data feed was performed to Neural Network and output data from a neuron was documented below (Table 4).

Species

Frontal lip

Rear width

Length

Width

Depth

Output I

Output II

0

20.6

14.4

42.8

46.5

19.6

0.186163

0.702353

1

13.3

11.1

27.8

32.3

11.3

0.149162

0.297652

0

16.7

14.3

32.3

37

14.7

0.212918

0.460247

1

9.8

8.9

20.4

23.9

8.8

0.261739

0.020763

0

15.6

14.1

31

34.5

13.8

0.202338

0.417115

1

9.1

8.1

18.5

21.6

7.7

0.294646

-0.03946

0

14.1

10.5

29.1

31.6

13.1

0.103071

0.448395

1

11.1

9.9

23.8

27.1

9.8

0.206808

0.129986

1

12.8

12.2

27.9

31.9

11.5

0.189142

0.212812

0

19.9

16.6

39.4

43.9

17.9

0.217477

0.493278

0

17.5

14.7

33.3

37.6

14.6

0.217591

0.466217

0

20.1

17.2

39.8

44.1

18.6

0.220435

0.482547

0

19.9

17.9

40.1

46.4

17.9

0.221478

0.474355

1

21.3

15.7

47.1

54.6

20

0.188331

0.708349

1

16.4

13

35.7

41.8

15.2

0.176033

0.648427

0

19.7

16.7

39.9

43.6

18.2

0.216633

0.496111

1

12.8

12.2

26.7

31.1

11.1

0.19994

0.166002

0

14

11.5

29.2

32.2

13.1

0.119184

0.398798

0

17.4

12.8

36.1

39.5

16.2

0.174151

0.660337

0

10.2

8.2

20.2

22.2

9

0.134428

0.290267

1

15.7

12.6

35.8

40.3

14.5

0.174377

0.640898

1

15

14.2

32.8

37.4

14

0.218203

0.442141

0

18.8

13.8

39.2

43.3

17.9

0.180507

0.683173

0

17.6

14

34

38.6

15.5

0.203173

0.516958

0

15.4

11.1

30.2

33.6

13.5

0.120094

0.485032

1

11.2

10

22.8

26.9

9.4

0.229009

0.07157

0

18

14.9

34.7

39.5

15.7

0.217147

0.486634

1

17.1

12.6

36.4

42

15.1

0.180284

0.669671

1

9

8.5

19.3

22.7

7.7

0.291245

-0.03931

0

18.9

16.7

36.3

41.7

15.3

0.221713

0.469103

1

10.4

9.7

21.7

25.4

8.3

0.264309

-0.00528

0

13.7

11

27.5

30.5

12.2

0.117027

0.348453

0

19.4

14.4

39.8

44.3

17.9

0.176706

0.665057

1

16.6

13.5

38.1

43.4

14.9

0.177909

0.660291

1

12.2

10.8

27.3

31.6

10.9

0.149458

0.275785

1

15.8

15

34.5

40.3

15.3

0.218708

0.479564

0

14.2

10.7

27.8

30.9

12.7

0.107155

0.397704

1

12

10.7

24.6

28.9

10.5

0.197942

0.140803

0

14.3

12.2

28.1

31.8

12.5

0.152032

0.311478

1

8.1

6.7

16.1

19

7

0.304009

-0.02581

1

13.1

10.6

28.2

32.3

11

0.134658

0.337906

0

13.4

10.1

26.6

29.6

12

0.100086

0.390471

1

11.9

11.4

26

30.1

10.9

0.194433

0.153612

0

17.9

12.9

36.9

40.9

16.5

0.177868

0.674719

1

9.1

8.2

19.2

22.2

7.7

0.2856

-0.01869

0

17.1

14.5

33.1

37.2

14.6

0.21554

0.465143

1

16.2

13.3

36

41.7

15.4

0.175418

0.641807

1

9.5

8.2

19.6

22.4

7.8

0.276071

0.003014

0

14.6

11.3

29.9

33.5

12.8

0.115153

0.441021

0

11.4

9.2

21.7

24.1

9.7

0.137335

0.26198

0

13.2

11

27.1

30.4

12.2

0.116576

0.339024

0

17.5

12.7

34.6

38.4

16.1

0.170864

0.637358

0

12.5

9.4

24.2

27

11.2

0.104548

0.363098

0

18.4

13.4

37.9

42.2

17.7

0.180254

0.682151

1

16.4

14

34.2

39.8

15.2

0.195791

0.535714

0

15.7

12.2

31.7

34.2

14.2

0.150165

0.50174

0

14.2

10.6

28.7

31.7

12.9

0.103394

0.434736

1

11.6

11.4

23.7

27.7

10

0.233572

0.044733

1

19.3

13.5

41.6

47.4

17.8

0.189698

0.709355

1

9.8

8

20.3

23

8.2

0.248102

0.078089

1

13.4

11.8

28.4

32.7

11.7

0.16821

0.280037

1

19.2

16.5

40.9

47.9

18.1

0.186767

0.565081

1

15.4

13.3

32.4

37.6

13.8

0.193727

0.484812

1

17.1

12.7

36.7

41.9

15.6

0.181442

0.674435

0

15.7

13.6

31

34.8

13.8

0.197068

0.41946

1

17.7

13.6

38.7

44.5

16

0.18074

0.676507

0

15.1

11.4

30.2

33.3

14

0.123834

0.479141

1

12.8

10.2

27.2

31.8

10.9

0.13524

0.330697

0

12.6

11.5

25

28.1

11.5

0.14198

0.237604

0

23.1

15.7

47.6

52.8

21.6

0.188681

0.709758

1

14.3

11.6

31.3

35.5

12.7

0.142003

0.474487

0

21.9

17.2

42.6

47.4

19.5

0.205331

0.523984

0

16.3

11.6

31.6

34.2

14.5

0.142465

0.544781

1

15.2

14.3

33.9

38.5

14.7

0.210311

0.482866

1

13.1

10.9

28.3

32.4

11.2

0.139094

0.325651

1

15.1

13.5

31.9

37

13.8

0.204531

0.448863

0

18.4

15.7

36.5

41.6

16.4

0.218586

0.487638

0

12.9

11.2

25.8

29.1

11.9

0.134229

0.274483

0

18

13.4

36.7

41.3

17.1

0.17606

0.661923

1

11

9.8

22.5

25.7

8.2

0.254662

0.014069

1

13.9

13

30

34.9

13.1

0.194687

0.356125

0

21.4

18

41.2

46.2

18.7

0.221432

0.475679

0

21

15

42.9

47.2

19.4

0.180696

0.685229

0

18

16.3

37.9

43

17.2

0.217559

0.491183

1

19.7

15.3

41.9

48.5

17.8

0.17477

0.660315

1

13

11.4

27.3

31.8

11.3

0.167924

0.24376

0

14.7

11.1

29

32.1

13.1

0.114447

0.423816

1

16.8

12.8

36.2

41.8

14.9

0.17777

0.657896

0

18.6

13.4

37.8

41.9

17.3

0.178853

0.676032

0

20.5

17.5

40

45.5

19.2

0.22045

0.481785

1

12.9

11

26.8

30.9

11.4

0.160758

0.252301

1

12.8

10.9

27.4

31.5

11

0.151763

0.275038

1

15

11.9

32.5

37.2

13.6

0.155423

0.552435

1

10.1

9.3

20.9

24.4

8.4

0.269591

-0.00864

1

10.3

9.5

21.3

24.7

8.9

0.260331

0.009475

1

16.3

12.7

35.6

40.9

14.9

0.175943

0.648233

1

13.2

12.2

27.9

32.1

11.5

0.189134

0.22384

0

18.6

14.5

34.7

39.4

15

0.215057

0.492643

1

19.8

14.2

43.2

49.7

18.6

0.189354

0.709639

1

9.6

7.9

20.1

23.1

8.2

0.247557

0.083671

0

23.1

20.2

46.2

52.5

21.1

0.221067

0.473831

0

18.8

13.4

37.2

41.1

17.5

0.177726

0.6683

0

14.1

10.7

28.7

31.9

13.3

0.104427

0.439446

1

11.5

11

24.7

29.2

10.1

0.211085

0.105349

0

19.4

14.1

39.1

43.2

17.8

0.177216

0.666064

0

16.2

11.8

32.3

35.3

14.7

0.147442

0.567963

0

14.2

11.3

29.2

32.2

13.5

0.114583

0.425135

1

12.6

10

27.7

31.7

11.4

0.131482

0.363198

1

11.8

9.6

24.2

27.8

9.7

0.183267

0.19081

0

20.3

16

39.4

44.1

18

0.205989

0.52638

1

17.9

14.1

39.7

44.6

16.8

0.179703

0.674052

0

23

16.8

47.2

52.1

21.5

0.177519

0.676243

1

17.2

13.5

37.6

43.9

16.1

0.179544

0.670033

1

14.6

11.3

31.9

36.4

13.7

0.146795

0.537008

1

15.2

12.1

32.3

36.7

13.6

0.158385

0.539258

1

16.9

13.2

37.3

42.7

15.6

0.179661

0.667931

1

15.5

13.8

33.4

38.7

14.7

0.197028

0.511104

0

18.5

14.6

37

42

16.6

0.187866

0.575208

0

14.7

13.2

29.6

33.4

12.9

0.176516

0.354553

1

15.9

12.7

34

38.9

14.2

0.170094

0.594635

1

15

13.8

31.7

36.9

14

0.213529

0.433439

0

18.3

15.7

35.1

40.5

16.1

0.220926

0.47552

0

15.1

11.5

30.9

34

13.9

0.126107

0.496218

1

13.7

12.5

28.6

33.8

11.9

0.189198

0.278252

0

19.1

16.3

37.9

42.6

17.2

0.219603

0.485798

0

20.6

17.5

41.5

46.2

19.2

0.216969

0.49303

0

21.3

18.4

43.8

48.4

20

0.217212

0.490055

0

10.7

8.6

20.7

22.7

9.2

0.138393

0.270389

0

17.5

12

34.4

37.3

15.3

0.167035

0.639669

1

13.1

11.5

27.6

32.6

11.1

0.166793

0.251855

1

18.8

15.8

42.1

49

17.8

0.172055

0.643966

0

19.1

16

37.8

42.3

16.8

0.218212

0.490693

0

12.7

10.4

26

28.8

12.1

0.108675

0.349789

0

17.5

14.3

34.5

39.6

15.6

0.204839

0.516065

0

14

11.9

27

31.4

12.6

0.145336

0.297399

0

20

16.7

40.4

45.1

17.7

0.214122

0.501655

1

15.7

13.9

33.6

38.5

14.1

0.205099

0.490191

0

18.6

13.5

36.9

40.2

17

0.175904

0.649831

1

14.7

12.5

30.1

34.7

12.5

0.184551

0.374176

0

16.1

13.7

31.4

36.1

13.9

0.201979

0.439438

0

16.2

14

31.6

35.6

13.7

0.206085

0.434671

0

18.4

15.5

35.6

40

15.9

0.220283

0.479205

1

19.3

13.8

40.9

46.5

16.8

0.184746

0.694301

1

19.8

14.3

42.4

48.9

18.3

0.186874

0.702543

1

15

11.5

32.4

37

13.4

0.151531

0.551016

0

10.7

9.7

21.4

24

9.8

0.148883

0.221458

1

7.2

6.5

14.7

17.1

6.1

0.334492

-0.09989

0

21.5

15.5

45.5

49.7

20.9

0.185484

0.700857

0

17.5

14.4

34.5

39

16

0.207533

0.51132

0

17.1

12.6

35

38.9

15.7

0.169674

0.643116

0

18.8

15.2

35.8

40.5

16.6

0.216638

0.495743

1

17.4

16.9

38.2

44.1

16.6

0.222903

0.474585

0

12.5

9.4

23.2

26

10.8

0.117397

0.31905

1

17.5

16.7

38.6

44.5

17

0.21872

0.487265

0

21.7

17.1

41.7

47.2

19.6

0.207684

0.518693

0

20.9

16.5

39.9

44.7

17.5

0.216313

0.49661

1

12.6

12.2

26.1

31.6

11.2

0.1997

0.160681

0

16.1

13.6

31.6

36

14

0.20021

0.445052

0

14

12.8

28.8

32.4

12.7

0.161376

0.317749

1

15.6

14.7

33.9

39.5

14.3

0.220551

0.464055

1

18

13.7

39.2

44.4

16.2

0.180954

0.677941

0

21.9

15.7

45.4

51

21.1

0.18446

0.698053

0

12.5

10

24.1

27

10.9

0.12394

0.294871

1

9.2

7.8

19

22.4

7.7

0.271036

0.025815

1

11.6

11

24.6

28.5

10.4

0.2124

0.103078

1

15.6

13.9

32.8

37.9

13.4

0.214488

0.451173

0

9.1

6.9

16.7

18.6

7.4

0.168183

0.230079

0

21.6

15.4

45.7

49.7

20.6

0.185995

0.702309

1

13.9

11.1

29.2

33.3

12.1

0.135032

0.38883

1

11.7

10.6

24.9

28.5

10.4

0.197175

0.1446

0

11.4

9

22.7

24.8

10.1

0.117034

0.325353

1

15.4

11.8

33

37.5

13.6

0.158811

0.574402

1

14.9

13.2

30.1

35.6

12

0.208719

0.352757

1

10.8

9

23

26.5

9.8

0.191608

0.191765

1

15.1

13.8

31.7

36.6

13

0.21727

0.409333

0

21.6

14.8

43.4

48.2

20.1

0.185089

0.699409

1

11.6

9.1

24.5

28.4

10.4

0.159586

0.279538

0

14.1

10.4

28.9

31.8

13.5

0.103647

0.457285

0

17.8

12.5

36

39.8

16.7

0.177742

0.67555

1

16.7

16.1

36.6

41.9

15.4

0.224569

0.469772

1

10.8

9.5

22.5

26.3

9.1

0.227126

0.086761

1

15.1

13.3

31.8

36.3

13.5

0.201555

0.43998

1

15

10.9

31.4

36.4

13.2

0.14299

0.528109

1

16.1

11.6

33.8

39

14.4

0.169483

0.628457

1

15.3

14.2

32.6

38.3

13.8

0.218605

0.445497

0

15

12.3

30.1

33.3

14

0.15382

0.421494

1

12.8

11.7

27.1

31.2

11.9

0.178291

0.223974

1

16.1

12.8

34.9

40.7

15.7

0.175651

0.64623

0

14.9

13

30

33.7

13.3

0.176118

0.376041

1

11.8

10.5

25.2

29.3

10.3

0.184681

0.175614

0

15.6

13.5

31.2

35.1

14.1

0.195013

0.429867

0

18.2

13.7

38.8

42.7

17.2

0.178856

0.677047

0

20.1

13.7

40.6

44.5

18

0.184155

0.695958

0

22.1

15.8

44.6

49.6

20.5

0.179218

0.680919

0

22.5

17.2

43

48.7

19.8

0.198351

0.540444

1

12.3

11

26.8

31.5

11.4

0.155959

0.259127

1

12

11.1

25.4

29.2

11

0.194869

0.151061

1

8.8

7.7

18.1

20.8

7.4

0.296807

-0.03373

1

16.2

15.2

34.5

40.1

13.9

0.22636

0.455678

0

15.6

14

31.6

35.3

13.8

0.202609

0.426803

Table 4 Output results for given input for a neuron network

Applications

Major application of training of neuron is in the neural processor which can be used neural processor that can be in turn used the Robots which acts a Central processing system for analyzing the problem by itself.

Conclusion

What is claimed in this are

  1. Analysis of Biological Neuron was performed on major modules of a Neuron like Resting Membrane Potential, Membrane Time Constant, Membrane length Constant, Axon action potential, Axon voltage clamp, synaptic potential and current and the voltage and current to these neurons are to be considered for a Neural Processor for better results.
  2. Training of Neuron is performed and graphs are plotted on neurons can be trained manually and automatically and can be used in Neural Processor.
  3. Data Analysis was performed on the Neural Network and results are plotted.
  4. Experimental data feed was performed and output results are documented.

Acknowledgements

Author would like to thank Prof. Navarun Gupta, Prof. Hassan Bajwa and Prof. Linfeng Zhang for their academic support. Author also thanks anonymous reviewers for their comments.

Conflicts of interest

The author declares there are no conflicts of interest.

References

Creative Commons Attribution License

©2018 Mitra. This is an open access article distributed under the terms of the, which permits unrestricted use, distribution, and build upon your work non-commercially.