Submit manuscript...
eISSN: 2574-8092

International Robotics & Automation Journal

Research Article Volume 2 Issue 3

Biomimicry-grasshoppers inspired engineering innovation

Yong Leng Chuan, Joshua Theah Yoon Kean, Leong Yok Ben, Manish Kumar Sing Domun, Naresh N, Yim Hoe Yen

Lakeside Campus, Taylor’s University, Malaysia

Correspondence: Yong Leng Chuan, Lakeside Campus, Taylor’s University, Malaysia, Tel 03-56295098

Received: February 27, 2017 | Published: May 2, 2017

Citation: Chuan YL, Kean JTY, Ben LY, Domun MKS, Naresh, et al. Biomimicry-grasshoppers inspired engineering innovation. Int Rob Auto J. 2017;2(2):77-80. DOI: 10.15406/iratj.2017.02.00020

Download PDF

Abstract

Biomimicry is an engineering discipline to mimic traits of living organisms into engineering design. Learning from nature has many advantages. For a start, the process of evolution is an interesting process to understand. Evolution helps organisms adapt to its environment by various mechanisms including natural selection, genetic drift etc. This helps organisms to have all sorts of interesting traits to survive various environments on different parts of earth. Since evolution has taken place for a very long time on earth, learning from nature becomes interesting as the traits of organisms on planet earth have become so complex and refined. These traits can be easily copied to give birth to all sorts of engineering ideas. Grasshoppers are commonly found in parks or gardens. The wide area allows them to jump freely in any direction they want to search for food, shelter and also to mate and lay their eggs. Grasshoppers have inspired many new engineering designs to help solve problems faced by humans. For example, the legs of a grasshopper have inspired robotic arms which are widely used in manufacturing vehicles. The actuator arms of robots mimics the legs of grasshopper which is capable of storing energy when it contracts. This mini review will introduce the anatomy of grasshopper and biomimicry of the grasshopper into various engineering designs.

Keywords: biomimicry, grasshoppers, engineering design, actuator, robotic

Introduction

In the field of biomimicry, engineers have been exploring solutions from the nature into their inventions. This could be seen as insects and nature will inhibit certain characteristics and behavior in order to survive. This could be very vital information that could be utilized for human as to improve or get new ideas regarding issues that are interrelated. Nature has played a crucial role as many new inventions have been created based on the observation and things that are learn from nature for the comfort of human being. The most interesting invention use of biomimicry of the grasshopper in this mini review is the study of the grasshopper legs. The leg is capable of storing energy when it contracts and it releases its energy when it jumps. The motion of the grasshopper legs to accelerate at a very high velocity as a locomotion method to travel from one point to another and to design a mechanism to mimic the motion has been the most challenging. Mimicking the legs of the grasshopper has demonstrated that the design can be used as many application such as locomotion of vehicles, bionic legs for humans etc. The process of storing energy in the muscles while contracting and release the energy while relaxing lead to the jumping motion. For such a small animal to jump such a long distance, it’s really quite fascinating. Maybe no, since there are already some papers that have been published concerning the study of the grasshopper legs and few people has conducted some experiments on the grasshopper’s legs.1 Study the grasshopper legs which demonstrates that the grasshoppers are wonderful creatures with their jumping mechanism even though they are known as pests which damages crops. The grasshopper can instantly accelerate to a high velocity through contraction of the muscles and relaxation releasing the energy stored. Different applications such bionic legs for human, actuator arms for robots and locust inspired jumping robots has been inspired by grasshopper legs.

Discussion

The anatomy of grasshopper

Grasshoppers are insects of order Orthoptera, suborder Caelifera. They are sometimes referred to as short horned grasshoppers to distinguish them from the longer antenna bush cricket–katydids. Grasshopper is composed of three main parts, namely the head, chest and abdomen. It can be further subdivided into two pairs of wings, two antennae, six legs, and hard exoskeleton. Spiracles are located along the sides of the body. The spiracles are series of holes a grasshopper use to breathe. Grasshoppers generally come in green, brown or olive green. They are typically ground living insects with powerful hind legs, making them jump strongly to escape from threats.2 Grasshoppers are hemimetabolous insect (does not undergo complete metamorphosis) the eggs hatch into nymphs, which go through molting five times in various stages of development to become more similar to adults. In the high population density and under certain environmental conditions, grasshoppers can transform into locusts, changing their color and behavior to form a swarm.

Grasshoppers eat plants for food, such as cereals, vegetables. Grasshoppers may swarm in the millions and become locusts, destroying crops in a wide range of fields. Grasshoppers protect themselves from predators by camouflage. Many species have colored wings to startle predators while jumping (as adults) into the air, usually only a short flight away. Other species, such as rainbow grasshopper have coloration which prevents predators.3 Grasshoppers are affected by various diseases and many predators feed on nymphs and adults. Eggs are often attacked by parasitoids and predators. Grasshoppers have long-term relationship with humans. Locust swarms have already changed the course of history even in smaller numbers, locusts may cause serious damage.

The jumping mechanism of grasshopper

All insects have three pairs of legs. All insects have legs that are modified by the mechanism of evolution to aid specialized functions such as digging, jumping, catching, and swimming. The legs of insects are joined similar to human beings', but their structures are different, despite having similar names. The hind legs of the grasshopper have to do what is pretty obvious to jump. The grasshopper has to have the ability to jump far away from predators, which can be birds. In order to jump away from birds, the grasshopper has to jump in the scale of meters, which is a few hundred times its body length. Thus, the hind legs of the grasshopper has to be designed in a way that it could effectively use the limited amount of energy stored within the grasshopper's body to jump a great distance.4 Large grasshoppers and locusts can jump up to one meter without using its wings (the second body length), achieving acceleration peaks at about 20g. By extending its huge hind legs, pushing the substrate (ground, branches, grass or whatever else they were standing inserts) Grasshoppers jump for several reasons: to escape from predators, to launch its own flights, or simply move from place. Especially for jumping to escape a strong selective pressure, maximum takeoff speed, because it determines the range.5 This means that the legs must be pushed against the ground at the same time having a high flow rate and high force motion. However, a fundamental characteristic of muscle, it cannot have both high power and high speed, which seems to be a problem contraction.

Grasshoppers exhibit catapult mechanism to expand the mechanical power generated by its muscle to overcome this apparent contradiction. Jump is a three stage process for grasshopper. First, grasshopper fully bent leg (tibia) on the upper part (femur) by activating the flexor tibialis anterior (top photo in immature grasshoppers hind legs in the standby position) lower portion.6 Second, there is a contraction, including large, feathery tibial extensor muscle buildup force, but is maintained by the tibia tibial flexor muscle contraction while bending, as showed in Figure 1.7 When the extensor than flexor muscles stronger, but the latter is a special joint that is to give it a big advantage over the former effective mechanical tibial full flexion assist. Contraction can last up to half a second and the extensor muscle shortening during this period, and stored elastic strain energy in the legs twisted by the rigid structure of the epidermis. Stretch muscle contraction is very slow (almost equidistant), which allows it to develop high power (up to Desert Locust 14 N), but because it is slow and requires only low power consumption. The third stage is jumping flexor; relax by the release trigger flexion of the tibia. Subsequent fast tibia extends the main driver in the relaxed elastic structure, rather than by the extensor further reduced. The jumping mechanism showed rigid cuticle like elastic catapult or bow and arrow bow. Energy is slow and intense muscle contractions rapid relaxation elastic mechanical structure in a high power low power into the store and from the store.

Figure 1 2D simulation and modelling of grasshopper-like jumping mechanism before take-off7

Engineering inspiration provided by grasshopper

Actuator arms on robots inspired by the contraction of grasshopper legs: According to Pearson et al.,8 the locomotion of insects is totally different from mammals because mammals can coordinate locomotors pattern in the absence of sensory information. Insects need trace of coordination of joints within the same legs and muscles. For insects, that the sensory feedback and, the entire biomechanical system must be considered as parts of the walking-pattern-generating system.8 In a study done by Aylin Konez Eroğlu,7 the dynamic analysis conducted on the legs of a grasshopper shows that the maximum torque produce by the femur tibia joint is approximately 2440 Nm when the grasshopper starts to jump. That's a whopping amount of torque produced by a tiny insect. One of the inspirations obtain from grasshoppers is mimicking its legs for actuator arms on robots. The contraction of grasshopper legs stores energy in its muscles. However, robot actuator arms use hydraulic mechanism to contract and extend. The usage of robotic actuator arms has a wide usage in the engineering industry.8,9 It is commonly found vehicle assembly factories where the robots are used to weld the car chassis together.

Sensors for micro-vibration for pest control spray: Besides, grasshoppers are capable of detecting sound and the direction of its source from its legs.3 This characteristic of the grasshopper has led to the development of sensors that can detect small vibration which is very beneficial to the mining industry to prevent any mishaps from occurring at the work site. The Dictyophorus grasshopper is a species which can deter predators by blood secretion. It forms a noxious froth when mixed with air. This characteristic of the grasshopper inspired the creation of biological pest control spray. (more descriptions)

Bionic legs for humans: The bionic legs of human are another engineering device that is inspired by the legs of grasshoppers. A bionic leg is a rehab tool which allows people with leg injuries to regain mobility. This device takes neuro and orthotherapy to the next level which improves walking capabilities and balance. It is the perfect tool towards the recovery and general wellness of patients. A bionic leg product that is readily available in the market is the AlterG Bionic legs.10 This biomedical device benefits the patients by. The bionic legs help patient recover during therapy sessions so the patient legs can function more independently out of therapy. The bionic legs improve patient balance and confidence during therapy, making it easier to practice walking, sit to stand, and stair climbing. Dallmann, Dürr and Schmitz et al.11 have create a sensory control which mimicking the stick insects walking mechanism. The sensory control models replicate basic joint kinematics of the stick insects, some control aspects may have to be revised to account for the joint torques in free walking if it needs to be apply for humans’ bionic legs in future.

Locust inspired jumping robot: Robot called TAUB was created by a Zoology professor named Amir Ayali. Having examined the jumping ability of the locust, the team used it as the foundation for their robot – both in terms of how it looks and how it works. Zoology professor Amir Ayali at Tel Aviv University’s Faculty of Life Sciences says, “The locust uses mechanical energy in addition to its muscle force in order to generate a jump and this is exactly what we’re imitating and inspired by.” Using carbon rods, steel springs, and 3D printed parts, the team has managed to create a robot that looks like a locust – and can jump like one, too. Indeed, the lithium battery powered “insect” can jump up to 11.5 feet12 Figure 2.

Figure 2 TAUB biomimicry is fashioned around grasshopper and locust locomotion12

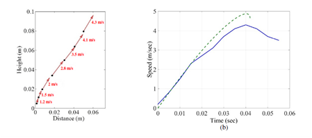
The team is using a tiny motor that stores and generates mechanical energy, the mechanical energy in the springs is actually very similar to the locust legs and is what propels the robot into the air. This robot could be used to replace humans in hazardous military or search and rescue missions, for example, it could be used in rescue and oil spill cleanup. The inventor clarified that TAUB is very cheap to manufacture. And with an estimated price of around $100, it’s an easy investment for any organizations that could use it. The next step is to secure more funding for research and development that will allow the engineers to increase the robot’s jumping ability – and maybe even find a way to make it fly “include two statistics on the performance”. The validation of the jumping prototype was presented in Figure 3, it shows maximum velocity achieved at the end of leap. It proved that femuro-tibial leg structure can initial conditions for the ballistic phase.

Figure 3 Prototype results for (a) Trajectory with velocities indicated and (b) Speed versus time comparison of experimental results (blue line) and simulation data (dashed green line).12

Conclusion

Nature has so much to offer in inspiring solutions to challenges where conventional methods fail to address. Nature flows in such a way that everything it does is for the sake of balance while in contrast, humans had always strived for progress first. Innovation is the main goal of future engineers, and biomimicry is a way to found inspiration in nature to resolve human problem with sustainable innovative solution. The study of the grasshopper legs which demonstrates that the grasshoppers are wonderful creatures with their jumping mechanism even though they are known as pests which damages crops. The grasshopper can instantly accelerate to a high velocity through contraction of the muscles and relaxation releasing the energy stored. Different applications such bionic legs for human, actuator arms for robots and locust inspired jumping robots has been inspired by grasshopper legs. Some biomimicry design is still in its prototype stage and it has to be further improvised before it can be manufactured.

Acknowledgments

None.

Conflict of interest

The author declares no conflict of interest.

References

  1. Shu LH, Ueda K, Chiu I, et al. Biologically inspired design. CIRP Annals - Manufacturing Technology. 2011;60(2):673–693.
  2. Naskrecki P. Grasshoppers and their relatives. In encyclopedia of biodiversity. 2013. p. 722–736.
  3. Kalaisekar A, Padmaja PG, Bhagwat VR, et al. Chapter 3 – Biology, Behavior, and Ecology. In insect pests of millets. 2017. p. 73–121.
  4. Saremi S, Mirjalili S, Lewis A. Grasshopper Optimisation Algorithm: Theory and application. Advances in Engineering 2017;105:30–47.
  5. Queathem E. The ontogeny of grasshopper jumping performance. Journal of Insect Physiology. 1991;37(2):129–138.
  6. Han, L, Wang Z, Ji A, et al. The Mechanics and trajectory control in locust jumping. Journal of Bionic Engineering. 2013;10(2):194–200.
  7. Aylin Konez Eroğlu, Abdulkadir Erden M A. Design and Analysis of Grasshopper-Like Jumping Leg Mechanism in Biomimetic Approach. In 11th Mechatronics Forum Biennial International Conference. Univarsity of Limerick, Ireland: Springer; 2008.
  8. Pearson K, Ekeberg Ö, Büschges A. Assessing sensory function in locomotor systems using neuro-mechanical simulations. Trends in Neurosciences. 2006;29(11):625–631.
  9. Ache JM, Matheson T. Passive Joint forces are tuned to limb use in insects and drive movements without motor activity. Curr Biol. 2013;23(15):1418–1426.
  10. Gutfleisch O. Peg Legs and Bionic Limbs: The development of lower extremity prosthetics. Interdiciplinary Science Reviews. 2003;28(2):139–148.
  11. Dallmann CJ, Dürr V, Schmitz J. Joint torques in a freely walking insect reveal distinct functions of leg joints in propulsion and posture control. Proc Biol Sci. 2016;283(1823).
  12. Zaitsev V, Gvirsman O, Ben Hanan U, et al. A locust-inspired miniature jumping robot. Bioinspiration & biomimetics. 2015;10(6):66012.
Creative Commons Attribution License

©2017 Chuan, et al. This is an open access article distributed under the terms of the, which permits unrestricted use, distribution, and build upon your work non-commercially.