Submit manuscript...
Journal of
eISSN: 2473-0831

Analytical & Pharmaceutical Research

Research Article Volume 11 Issue 2

Biological properties of clerodane-type diterpenes

Joyce dos R Lima,1 Emanuelle M Marinho,2 Jane ES Alencar de Menezes,1 Francisco Rogênio S Mendes,1 Antonio W da Silva,1 Maria KA Ferreira,1 Larissa Santos Oliveira,1 Italo Moura Barbosa,1 Emmanuel S Marinho,1 Márcia M Marinho,2 Paulo N Bandeira,2 Hélcio S dos Santos1, 3

1State University of Ceará, Science and Technology Center, Postgraduate Program in Science and Technology, Natural Products Chemistry Laboratory of Block S, 60741-000, Fortaleza-CE, Brazil
2Federal University of Ceara, Department of Analytical and Physical Chemistry, Fortaleza, CE, Brazil
3State University Vale do Acaraú, Chemistry Course, Laboratory of Natural Products Chemistry, Synthesis and Biocatalysis of Organic Compounds, 62040370, Sobral-CE, Brazil

Correspondence: Hélcio S dos Santos, Ceará State University, Science and Technology Center, Natural Products Chemistry Laboratory, Avenida Doutor Silas Munguba, 1700 - Itaperi, CEP: 60714-903, Fortaleza – Ceará, Brazil

Received: April 22, 2021 | Published: May 11, 2022

Citation: Lima JDR, Marinho EM, Menezes JAED, et al. Biological properties of clerodane-type diterpenes. J Anal Pharm Res. 2022;11(2):56-64. DOI: 10.15406/japlr.2022.11.00402

Download PDF

Abstract

Clerodane diterpene is composed of hundreds of isolated substances found in several plant species, especially in the families of Labiatae, Euphobiaceae, and Verbenaceae. This paper presents a review of the structural diversification and pharmacological activities related to clerodane-type diterpene to provide a general understanding of these compounds. The review was based on scientific articles published on clerodams, emphasizing the pharmacological activities: antioxidant, antinociceptive, anti-inflammatory, anticancer, and antimicrobial in a period relationship of the last ten years. The predominant genres in the research were Casearia and Ajuga. The most described biological activities for clerodams in this study, among those evaluated, were anticancer, anti-inflammatory, and antimicrobial. The results presented corroborate the importance of using these diterpenes, isolated from plants, as a source of bioactive substances in a promising strategy to contribute to the development of new therapeutic alternatives.

Keywords: diterpene, clerodane, biological properties

Introduction

Terpenes are secondary metabolites, derived from isoprene units, form the largest group of natural products, presenting a great structural diversity, with more than 35,000 identified substances.1 Terpene biosynthesis uses two common C5 building blocks, dimethylallyl pyrophosphate (DMAPP) and isopentenyl pyrophosphate (IPP), derived from acetyl coenzyme A. Direct condensation of DMAPP and IPP generates the monoterpene precursor, geranyl pyrophosphate (GPP, C10). Sesquiterpenes are created by condensation of IPP units and the GPP precursor, which result in the formation of farnesyl pyrophosphate (FPP, C15) and geranyl pyrophosphate (GGPP, C20) to diterpenes. In addition, FPP, in turn, gives rise to squalene, which is a precursor of triterpenes (C30) and steroids (C27).2 Cyclization is an important process and is one of the main branches of diterpene biosynthesis, as shown in Figure 1.3

Figure 1 Terpene biosynthesis scheme. OPP = diphosphate (Adapted from Christianson 4).

Diterpenes can be classified according to their carbon chain into acyclic (phytans) and cyclic, such as bicyclics (labdanes, clerodanes, and halimans), tricyclics (abietans, pimarans, cassans, rosanes, and vouacapanes), tetracyclics (caurans and atisanes), diterpenes macrocyclic (taxanes, ingenas, and cembranes). Plant parts like stem and root are often obtained from these bioactive compounds. They are the main subgroups of secondary metabolites found in the genera Croton, Salvia, Isodon, Nepeta, and Euphorbia.5

Clerodane diterpene is composed of hundreds of isolated substances found in several plant species, especially in the families of Labiatae, Euphobiaceae, and Verbenaceae.6 Approximately 25% of clerodanes have a cis ring fusion, and the remaining 75% have a trans ring fusion and may have other stereochemical conformations. In addition, it is susceptible to the migration of methyl and hydride groups. The expressive chemical diversity of clerodames enables the discovery of broad biological activities and guarantees an improvement in the profile concerning efficacy/safety.7,8

Clerodanes have several therapeutic applications, such as columbin, which has anti-inflammatory and anticancer efficacy, 6-a-hydroxy-clerode-3,13-dien-15,16-olide, for the treatment of infectious sleeping sickness, and salvinorin A, which entered phase 1 clinical trials for its possible application in the treatment of drug addiction and neuropsychiatric disorders. The first compromised reactions in clerodane biosynthesis are invariably controlled by class II diterpene synthases. These mechanistically related enzymes facilitate the cyclization initiated by protonation and the rearrangement of the central geranyl pyrophosphate (GPP) precursor to form different bicyclic prenyl diphosphates.9

Therefore, this paper presents a review of the structural diversification, and related pharmacological activities, of clerodane-type diterpene to provide a general understanding of these compounds.

Methodology

The research is a brief literature review based on knowledge about clerodane-type diterpenes as an active ingredient in the chemistry of natural products, emphasizing its applications in medicinal activities. Thus, the databases used were: PubMed and SciFinder, in a list of articles published in the last ten years. Those with duplicates (repeats) were excluded.

The descriptors used were: diterpene, clerodane, antioxidant activity, anti-inflammatory activity, antinociceptive activity, anticancer activity, and antimicrobial activity. As a form of standardization, the selected files were analyzed. Finally, the complete reading of those considered relevant to the objective of this research was carried out since the literature presents different amounts of publications for each pharmacological evaluation. Restrictions established articles within the last 10 years, but there are numerous recent articles, this stemming from the promising discovery of the clerodans to scientific studies, this clarifies the most current references.

Basic structures of clerodane diterpene

Structurally, the clerodane diterpenes are bicyclic. The basic skeleton is split into two fragments: a fused-ring decaline fraction (C-1-C-10) and a six-carbon side chain at C-9 (C-11-C-16, with C-16 attached at C-13, i.e., 3-methylpentyl). The remaining four carbons (C-17-C-20) are bonded at C-8, C-4, C-5, and C-9, respectively, in the decalin system (1) (Figure 2).7

Figure 2 Clerodane skeleton.

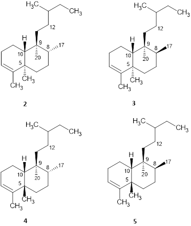
In addition to the relative configuration of the trans or cis junction of the fused rings, clerodans are further classified by their relative configurations at C-8 and C-9. Consequently, as shown in Figure 3, four types of backbones of clerodanes are defined concerning the configuration in the ring fusion and the substituents at C-8 and C-9: trans-cis (TC) (2), trans-trans (TT) (3), cis-cis (CC) (4) and cis-trans (CT) (5). In most clerodans, the C-17 and C-20 substituents on C-8 and C-9 are cis.10

Figure 3 Basic structure of clerodames with cis/trans configuration.

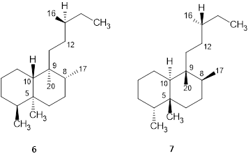
However, the absolute stereochemistry of clerodanes (Figure 4) is indicated by the prefix neo-clerodane (6) or ent-neo-clerodane (7) for enantiomers, carbons 12 to 16 are usually oxidized to diene, furan, lactone, or hydrofurofuran, which gives structural characteristics to clerodam.10

Figure 4 Absolute clerodam configuration.

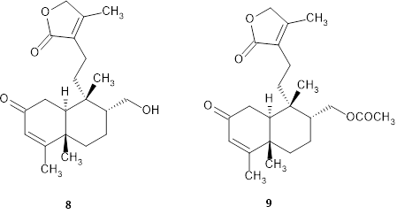
Clerodanes are compounds biosynthetically related to labdanes, in which one methyl group migrates from the C-10 to C-9 position as in ent-halimanes, and another methyl group migrates from the C-4 carbon to the C-5. Lactones with a clerodane skeleton are very interesting because many of them have biological activity. Gomphostenin (8) and gomphostenin A (9) (Figure 5) are 16,15-lactones with a clerodane structure, recently found in the CHCl3 extract from the leaves of Gomphostemma niveum that show in vitro antimalarial activity against Plasmodium falciparum.11

Figure 5 Chlerodane compounds gomphostenin and gomphostenin A.

Pharmacological activities associated with Clerodane-type diterpenes

Table 1 summarizes the clerodane diterpenes described for each species in the last 10 years, separated by species and by activity. The first column of the table contains the nomenclature of the isolated substances; the second column contains the species from which they were isolated; the third column contains the references and in the last column, the biological activities.

Clerdans

Species

Reference

Activities

(12S)-6α,19-diacetoxi-18-cloro-4α-hidroxi-12-tigloiloxi-neo-clerod-13-en-15,16-olida

Ajuga decumbens

33

Anti-inflammatory

(12S,2′′S)-6α,19-diacetoxi-18-cloro-4α-hidroxi-12-(2-metilbutanoiloxi)-neo-clerod-13-en-15,16-olida

Ajuga decumbens

33

Anti-inflammatory

ajuganipponin B

Ajuga decumbens

33

Anti-inflammatory

pantanpeno α, B, C, D e E

Ajuga. pantantha

28

Anti-inflammatory

ajugalide-B

Ajuga taiwanensis

43

Anticancer

caseagrewifolin B

Casearia growiifolia

50

Anticancer

caseanigrescen D

Casearia growiifolia

50

Anticancer

Casearina X

Casearia sylvestris

48

Anticancer

3S-metoxil-teucvina (14)

Croton crassifolius

29

Anti-inflammatory

3R-metoxil-teucvin (15)

Croton crassifolius

29

Anti-inflammatory

crotonolida G (39)

Croton laui

55

Antibacterial

caseargrewiin F (16)

Casearina sylvestris

30, 48

Anti-inflammatory / Anticancer

casearina B (17)

Casearina sylvestris

30

Anti-inflammatory

casearina (13)

Casearia sylvestris

19

Antioxidant

kurzipenes A – F (25-30)

Casearia kurzii

42

Anticancer

kurziterpeno E (31)

Casearia kurzii

44

Anticancer

casearborina C (32)

Casearia corymbosaexibe

45

Anticancer

graveospeno A (33)

Casearia graveolens

46

Anticancer

hautriwaica (11)

Dodonaea viscosa

17

Antioxidant

ácido 6β-hidroxi-15,16-epoxi-5β,8β,9β,10α-cleroda-3,13 (16),14-trien-18-óico (12)

Dodonaea viscosa

17

Antioxidant

ácido hautriwaico

Dodonaea viscosa

27

Anti-inflammatory

ácido 15,16-epoxi-2α-benzoiloxicleroda-3,13(16),14-trien-18-óico (19)

Dodonaea polyandra

31

Anti-inflammatory

poliândrico A (18)

Dodonaea polyandra

25

Anti-inflammatory

formosina F

Excoecaria formosana

57

Antibacterial

ácido 2-angeloil ent-dihidrotucumanóico (21)

Gymnosperma glutinosum

37

Antinociceptive

Gomphostenin (8)

Gomphostemma niveum

11

Antimalarial

gomphostenin A (9)

Gomphostemma niveum

11

Antimalarial

nepetolida (10)

Nepeta suavis

16

Antioxidant / Antibacterial

ácido 16-hydroxicleroda-3,13-dien-15,16-olia

Polyalthia longifolia

32

Anti-inflammatory

ácido 16-oxocleroda-3,13-dien-15-óico

Polyalthia longifolia

32

Anti-inflammatory

ácido 16-oxocleroda-3,13-(14)-E-dien-15-óico (42)

Polyalthia longifolia

58

Antifungal

ácido polialtialdoico

Polyalthia longifolia

47

Anticancer

16α-hidroxi-cleroda-3,13-(14)Z-dien-15,16-olide

Polyalthia longifolia

47

Anticancer

salvinorina A (22)

Salvia divinorum

9, 38, 39

Antinociceptive / Drug addiction / Neuropsychiatric disorders / Antidepressant

40 e 41

Salvia adenophora

56

Antimicrobial

tehuanins G

Salvia herbacea

26

Anti-inflammatory

7-ceto-neoclerodan-n-3,13-dien-18,19:15,16-diolida (20)

Salvia semiatrata

36

Antinociceptive

scutebata A e scutebata B

Scutellaria barbata

41

Anticancer

escutestrigilosinas A-C (34-36)

Scutellaria strigillosa

49

Anticancer

trans-colavenólico (37)

Tessmannia martiniana var pauloi

54

Antimicrobial

ent-(18-hidroxi-carbonil)-cleroda-3,13(E)-dien-15-oato (38)

Tessmannia martiniana var pauloi

54

Antimicrobial

Table 1 Occurrences of clerodane-type diterpenes described by species for pharmacological action

Antioxidant activity

Reactive oxygen species (ROS) play an essential role in the progression of pathological diseases such as Alzheimer's disease, atherosclerosis, Parkinson's disease, inflammation, cancer, hypertension, and heart attack. The presence of an unpaired electron makes them unstable and highly reactive. ROSs are generally inactivated by endogenous enzymatic and non-enzymatic antioxidant defense systems to control primary and secondary damage.12,13

The human body has developed defense systems to deal with oxidative stress. This defense includes enzymatic systems (superoxide dismutase, catalases, glutathione peroxidase, and thioredox systems) that are known to be very efficient in inhibiting ROS. The main non-enzymatic ones are glutathione, bilirubin, estrogenic sex hormones, and uric acid. In addition, there are exogenous antioxidants obtained from food, which can be obtained mainly from products of plant origin: phenolic compounds, ascorbic acid, and carotenoids.14

Therefore, there is growing interest in medicinal plants as potential sources of antioxidants. Active products are generally referred to as phytochemicals or secondary metabolites. Natural antioxidants produced by plants include alkaloids, carotenoids, cinnamic acids, ascorbic acid, and tocopherols. Furthermore, the antioxidant activity of these compounds was attributed to their ability to scavenge free radicals, donate hydrogen atom or electrons, or metallic cations.15

Phytochemical investigation of the species Nepeta suavis led to isolating a diterpene, nepetolide (10). The compound (Figure 6) showed significant antioxidant activity when compared to ascorbic acid. The results are expressed for DPPH free radical scavenging and nepetolide showed maximum scavenging percentage of 87.01% ± 1.85%, which is comparable to ascorbic acid-free radical scavenging, and the EC50 value of ascorbic acid was 231.1 mg/mL, while for nepetolid, it was 330.0 mg/mL.16

Figure 6 Chemical structure of clerodames with antioxidant actionA.

Due to the potential pharmacological significance of Dodonaea viscosa (L.) Jacq (Sapindaceae), the species, was subjected to phytochemical investigations. Two clerodane diterpenes were isolated: hautriwaic lactone (11) and 6β-hydroxy-15,16-epoxy-5β,8β,9β,10α-cleroda-3,13 (16),14-trien-18-oic acid (12). Antioxidant activity was evaluated using the β-carotene-linoleic acid test and by DPPH assay. The first compound presented IC50> 200 µM for both tests, while the second one, 107.45 ± 1.05 for the β-carotene-linolenic test and IC50 > 200 µM for DPPH. The results indicated weak free radical scavenging when compared to α-tocopherol (IC50< 20.47 µM). The first compound has a lactone, while the second has two additional -OH. Compound 12 showed greater inhibitory activity when compared to 11, and -OH may have been responsible.17

The origin of the antioxidant activity of phenolics is due to their hydroxyl groups. The -OH location of the groups can increase or decrease activity. In particular, compounds with second -OH in the ortho or para position exhibit more significant antioxidant activity than in the meta position. The functional group effect is responsible for the antioxidant activity in the following order: -OH > -OAc > -C=O.18

Regarding the formation of the hydroxyl radical, all concentrations of casearin (13) (0.9, 1.8, 3.6, 5.4, and 7.2 µg/mL) isolated from Casearia sylvestris Swartz significantly reduced the generation of free radical with a reduction of 10.5, 23.9, 42.7, 54.5 and 61.6%, respectively. At the same time, Trolox promoted a 78.1% reduction compared to the system (P < 0.05). Likewise, the in vitro determination revealed an IC50 of 6.4 µg/ml against hydroxyl radical formation. These results demonstrate the importance of observing the chemical structure (Figure 7). Allyl hydrogens adjacent to double bonds at positions 2, 11, 16, and 18 possibly interact with radicals. Thus, atomic hydrogen is often removed from casearins, eradicating inert substances such as water, nitrous acid (HNO2), and fatty acid and carbon generation, stabilizing radicals, blocking oxidative damage, and preserving biomolecules exposed to oxidative damage.19,20

Figure 7 In vitro antioxidant action mechanism with casearins.

Therefore, it is possible to observe that compounds rich in corotenoids and phenolic compounds, in general, are associated with the prevention of several types of degenerative diseases and with better antioxidant activities, unlike terpenes. Therefore, diterpenes with the presence of OH (phenolic structure) are relatively necessary in antioxidant activity due to their sequestering properties, as hydrogen is more labile to remove OH to stabilize free radicals.21

Anti-inflammatory activity

Inflammation involves the pathogenesis of various diseases, including atherosclerosis, obesity, metabolic syndrome, neurodegenerative diseases, and cancers that are closely related to inflammation. When inflammation occurs, the essential proteins iNOS and COX-2 in the inflammatory signaling pathway are usually overexpressed, catalyzing the formation of many inflammatory mediators, such as nitric oxide and prostaglandin E2.22

The excess of nitric oxide (NO) produced by the induction of the nitric oxide synthase (iNOS) enzyme participates in the development of numerous disorders that lead to the loss of homeostasis. Consequently, oxidative stress generated by increased endogenous NO production can lead to induced toxicity effects, such as lipid peroxidation, protein nitration, and DNA damage. Compounds that are capable of scavenging the NO radical can reduce the toxicity of reactive nitrogen species (RNS), acting in the modulation of inflammatory processes, reducing the state of oxidative stress.23

The mediators needed to drive the inflammatory response to the sites of infection and injury, favoring proper wound healing, are cytokines. However, the exaggerated production of pro-inflammatory cytokines from the lesion can manifest itself systemically with hemodynamic instability or metabolic disturbances.24 Common treatments for these conditions include steroid-based medications and other products, including calcineurin inhibitors and salicylic acid. However, the most significant disadvantage of steroid-based therapies is the risk of adverse side effects that can worsen the underlying condition, such as thinning of the skin and delayed wound healing. Therefore, new therapeutic treatments that retain the effectiveness of current treatments but improved safety profiles are needed.25

The anti-inflammatory activity of clerodane called tehuanins G, isolated from aerial parts of Salvia herbacea, was evaluated using the TPA-induced ear edema model (12-O-tetradecanoylphorbol-13-acetate). The compound exhibited anti-inflammatory activity (IC50 0.24 μM/ear) comparable to the positive reference control (indomethacin).26 In addition, hautriwaic acid isolated from Dodonaea viscosa leaves reduced carrageenan-induced joint edema, which could act as an immunomodulator of the inflammatory response. This suggests that the compounds of Dodonaea viscosa may exert anti-inflammatory activity through several mechanisms of action, as hautriwaic acid is effective in acute inflammation.27

Phytochemical research by LIU and collaborators28 on the species Ajuga pantantha resulted in the isolation of five new neo-clerodane diterpenoids: pantanpene α, pantanpene B, pantanpene C, pantanpene D, and pantanpene E. The anti-inflammatory assay revealed that all new compounds exerted nitric oxide inhibition, with the most active compounds pantanpene B and pantanpene E with IC50 values <40 μM. The compound pantanpene E, being the most active, was selected for in vivo anti-inflammatory testing. The levels of NO (nitric oxide) and ROS (reactive oxygen species), signal indicators of an inflammatory response, were measured in zebrafish (Danio rerio) embryos. In vivo experiments confirmed that the compound pantanpene E has strong anti-inflammatory activity.

The diterpenoids neo-clerodane, 3S-methoxyl-teucvin (14), and 3R-methoxyl-teucvin (15) (Figure 8) isolated from Croton crassifolius roots exhibited anti-inflammatory potentials with IC50 values of 0.82 and 0. 54 µM, respectively, while the IC50 value of dexamethasone as a positive control was 0.14 µM.29

Figure 8 Chemical structures of compounds with anti-inflammatory action.

Furthermore, the results of Pierre et al.30 demonstrated that the clerodane diterpenes caseargrewiin F (16) and casearin B (17) isolated from Casearina sylvestris leaves exhibited anti-inflammatory activity in in vivo models in rats. Thus, the compounds were evaluated in the paw edema model and demonstrated anti-inflammatory activity compared to indomethacin. The structures are shown in Figure 8.

Another diterpene identified as therapeutic was the polyandronic diterpenoid A clerodane acid A (18) isolated from Dodonaea polyandra. It can inhibit the production of pro-inflammatory cytokines associated with chronic skin inflammation using an ear edema model of a mouse. These data provide a basis for studies exploring these signaling pathways and demonstrate further investigation of the anti-inflammatory potential.25 One can mention another clerodane also isolated from Dodonaea polyandra, of the benzoyl-ester type, called 15,16-epoxy-2α-benzoyloxycleroda-3,13(16),14-trien-18-oic acid (19), which exhibited maximal inhibition of inflammation (70-76%) at a dose of 0.9 μmol/ear in the TPA-induced mouse ear edema model. Figure 8 demonstrates the structure of these compounds.31

Two clerodans isolated from unripe fruits of Polyalthia longifolia var. penndula called 16-hydroxyclerode-3,13-dien-15,16-olia acid and 16-oxochloride-3,13-dien-15-oic acid showed promising NO inhibitory activity at 10 µg/mL, with 81, 1%, and 86.3% inhibition, respectively.32 The compounds (12S)-6α,19-diacetoxy-18-chloro-4α-hydroxy-12-tigloyloxy-neo-clerod-13-en-15,16-olid, (12S,2′′S)-6α,19-diacetoxy-18-chloro-4α-hydroxy-12-(2-methylbutanoyloxy)-neo-clerod-13-en-15,16-olida and ajuganipponin B isolated from the whole plant of Ajuga decumbens also demonstrated NO-induced NO inhibitory activities LPS in murine BV-2 microglial cells.33 Therefore, these results indicate that these compounds may have anti-inflammatory potential.

Antinociceptive activity

Pain is a common symptom of chronic diseases and is one of the first signs observed, deserving attention and treatment. Usually, pain is classified as acute or chronic to differentiate nociceptive pain from pathological. Commercial drugs used to treat chronic pain can result in adverse reactions, so it is necessary to search for new drugs that promote a therapeutic alternative for pain.34

Nociceptors are free, non-specialized nerve endings that respond to nociceptive stimuli, detecting tissue damage where triggering stimuli can be mechanical, thermal, or chemical. Thus, the antinociceptive potential of a natural product, for example, can be measured by its power to increase the excitation threshold of these nerve endings to the painful stimulus or to make the nociceptors not perceive or not respond to the painful stimulus promoted.35

In the work by Ortiz-Mendoza et al.36 it was verified that 7-keto-neoclerodan-n-3,13-dien-18,19:15,16-diolide (20) (Figure 9) isolated from aerial parts of Salvia semiatrata tested at 10 mg/kg produced an antinociceptive effect until the end of the experiment (30 min) at the writhing test in mice. The compound was also observed in the 1% formalin test. Nociception was significantly reduced at all doses tested, similar to the effect of diclofenac. These data reinforce the participation of neo-clerodane diterpenes as responsible for the depressant activity in the CNS and their potential as an alternative for the treatment of pain.

Figure 9 Chemical structures of compounds with antinociceptive action.

In the work by González-Chávez et al.37 two models of nociception were evaluated: the acetic acid test, which assesses peripheral and centrally acting antinociceptive agents, and the formalin test, which evaluates peripherally acting antinociceptives. The 2-angeloyl ent-dihydrotucumanoic acid (21) isolated from Gymnosperma glutinosum (Figure 9) showed antinociceptive activity in both nociception pathways.

KOR and CB1 receptors are localized and overexpressed in the enteric nervous system after colitis induction and support the involvement of neurons in regulatory input. The diterpene clerodane salvinorin A exerts potent anti-inflammatory and antinociceptive effects, mediated by these receptors, in two models of experimental colitis in mice.38

Opioid receptors, namely mu (MOR), delta (DOR), and kappa (KOR), are widely distributed throughout the body and can be found in the central and peripheral nervous system, as well as in non-neuronal sites. Hence the compounds that interact with these opioid receptors demonstrate a range of pharmacological effects, including antinociceptive effects. Salvindolin (24) (2-O-salvinorin B 1H-indole-2-carboxylate) is a novel analog of salvinorin A (22) with an indole moiety on the C-2 side chain (Figure 10). Salvindolin can be obtained in a one-step reaction of salvinorin B (23) and indole-2-carboxylic acid following the general procedure for analogs of salvinorin A with aromatic fractions in the side chain. Salvindolin showed an affinity for kappa and mu-opioid receptors but with mu-opioid preference. Tests with salvidolin in mice revealed the compound has antinociceptive and antidepressant effects.39

Figure 10 Salvidolin Synthesis Procedure.

Anticancer activity

Cancer is a generic term used to designate a large group of diseases that can affect any part of the body, also described as malignant tumors and neoplasms. Cell line panels with a variety of different tumor types are commonly used for studies of cytotoxic activity and investigations of molecular mechanisms of action. The main risk in cancer treatment is multidrug resistance when cells lose their sensitivity to chemotherapy. As a result, natural products have a strong history in developing anticancer agents, as many drug discovery programs continue to tap into this rich source of molecular structures.40

Neo-clerodans called scutebata A, and scutebata B isolated from aerial parts of Scutellaria barbata D. Don were tested for cytotoxic activity in vitro against four human tumor cell lines, including LoVo (colon cancer), SMMC-7721 (hepatoma cancer), HCT-116 (colon cancer) and MCF-7 (breast cancer), using the MTT method ([3-(4,5-dimethylthiazol-2yl)-2,5-diphenyl-tetrazolium bromide ). The two compounds exhibited moderate activity against four human cancer cell lines with IC50 values in the range of 5.31-28.5 µM.41

In the study by Liang et al.42 six new clerodane diterpenoids, kurzipenes A – F (25-30) (Figure 11) were isolated from the leaves of Casearia kurzii. All compounds were evaluated for their cytotoxic activities against A549 (human lung cancer), K562 (human chronic myeloid leukemia), HeLa (human cervical cancer), and HepG2 (human hepatocellular carcinoma) cells. Most diterpenoids showed potent cytotoxicity against selected cancer cell lines. Kurzipenes D showed the most cytotoxic effects against HepG2 cells and K562 cells with IC50 values of 9.7 μM and 7.2 μM. In addition, it showed antitumor effects in vivo by inhibiting the proliferation of tumor cells in a zebrafish model.

Figure 11 Structure of kurzipenes A – F.

A neo-clerodane diterpenoid called ajugalide-B isolated from Ajuga taiwanensis was identified as a potent anticancer against several tissues with tumor cell lines through the disruption of the focal adhesion complex. Furthermore, below the cytotoxic concentration, the compound reduced the tumorigenic and metastatic capacity of A549 cancer cells (lung carcinoma) by inhibiting anchorage-independent growth and cell migration. Thus, it is suggested that ajugalide-B may serve as a potential leader in developing therapeutic agents for cancer treatment.43

According to Liu et al.44 clerodane kurziterpene E (31) (Figure 12) isolated from the branches of Casearia kurzii was evaluated for its cytotoxic activity against A549 cells (human lung cancer), HeLa (human cervical cancer) and HepG2 (human hepatocellular carcinoma). The compound showed potent cytotoxicities against all selected cancer cells, but showed more potent cytotoxic effects against HeLa cells with an IC50 value of 5.3 μM.

Figure 12 Chemical Structures of Anticancer Action Compounds.

The Casearia genus is considered a rich source of clerodane-type diterpenes, which are the main responsible for the cytotoxic activity reported in different cancer cell lines. An example of this is casearborin C (32) (Figure 12) which is an isolate from the stem bark of Casearia corymbosaexhibits, in which it exhibits high cytotoxic activity in the cervical adenocarcinoma cell line (HeLa), with mean cytotoxic concentration values of 13.44 μM.45

The diterpene clerodane called graveospene A (33) (Figure 12) isolated from the leaves of Casearia graveolens was considered cytotoxic to human lung cancer cells (A549) and human hepatocellular carcinoma cells (HepG2).46

Isolates from the leaves of Polyalthia longifolia called polyalthyaldoic acid and 16α-hydroxy-cleroda-3,13-(14)Z-dien-15,16-olide were evaluated for apoptotic potential against human leukemia HL-60 cells. The compounds inhibited cell proliferation with IC50 values of 21.8 and 13.7 µM, respectively. Morphological changes and DNA fragmentation analysis indicated that these clerodams induce apoptotic cell death in HL-60 cells. The significant potential of these isolates as anti-leukemic agents is then evidenced.47

The diterpenes clerodane Casearin X (Cas X) and Caseargrewiin F (Cas F) were isolated from Casearia sylvestris Swartz leaves and evaluated for cytotoxic activity in 7 tumor cell lines, such as sarcoma 180 cells (S180) and in blood mononuclear cells standard peripheral. Both substances showed cytotoxic potential. The results also identify that the isolates have lethal and discriminating effects on tumor cells and antiproliferative action predominantly mediated by apoptosis, highlighting clerodams as promising antineoplastic compounds.48

Three neo-clerodane diterpenoids, called escutestrigilosins A-C (34-36) (Figure 12), were isolated from Scutellaria strigillosa. These were evaluated for cytotoxicity against cancer cell lines: HONE-1, P-388, MCF7, and HT29. The isolated compounds exhibited potential cytotoxic activities against selected tumor cells and gave IC50 values in the range of 3.5-7.7 µM.49

In the work of Nguyen et al.50 two clerodams called caseagrewifolin B and caseanigrescen D were isolated from the leaves of Casearia growiifolia by bioassay-guided fractionation and evaluated for their cytotoxicity against four cancer cell lines: KB (epidermal carcinoma of the mouth), HepG-2 (human liver hepatocellular carcinoma), LU-1 (human lung adenocarcinoma) and MCF-7 (human breast cancer). Caseagrewifolin B exhibited significant selective inhibition against cancer cells, whereas caseanigrescen D was cytotoxic against all four cancer cell lines.

Antimicrobian activity

It is estimated that the microbial species found in almost all habitats present in nature comprise about 60% of the Earth's biomass. Furthermore, their high genetic, metabolic, and physiological diversity make them one of the main threats to the world population's health. Health problems related to infections by microbial species are seriously exacerbated by widespread resistance and the lack of new effective therapeutic interventions.51

The best-known microorganisms such as Escherichia coli, Staphylococcus aureus, Pseudomonas aeruginosa, and Candida species have shown an evolution in resistance to several drugs.52 Because of this, new and effective antimicrobial agents are needed to contain this epidemic. Recent studies have shown interest in the chemical components of plant species. Plants are rich in a wide variety of secondary metabolites, such as tannins, alkaloids, phenolic compounds, and terpenes, identified in vitro as having antimicrobial properties.53

The trans-colavenolic (37) and ent-(18-hydroxy-carbonyl)-cleroda-3,13(E)-dien-15-oate (38) cleradanes (Figure 13) isolated from the root bark of Tessmannia martiniana var pauloi have been identified as compounds that exhibit antimicrobial activity at different levels against Gram-positive and Gram-negative bacterial strains, as well as against fungal species. The trans-colavenolic less active exhibited activity only against the Gram-positive bacteria Bacillus subtilis and the filamentous fungus Aspergillus niger at a lower level than shown by the standard antibiotic and by the antifungal agent Ampicillin and Fluconazole, respectively. The (38) was more active, as it showed activity against the three bacterial species, Pseudomonas aeruginosa, Staphylococcus aureus, and Bacillus subtilis, and for the latter, the activity was comparable to the standard antibiotic Ampicillin.54

Figure 13 Structure of clerodane diterpenes escutestrigilosins A-C.

In the work of Liu et al.55 it was found that the diterpene clerodane called crotonolide G (39) (Figure 13) isolated from the aerial parts of Croton laui exhibits significant antibacterial activity with a MIC value of 43.4 μM against four strains of Gram bacteria -positive, including Staphylococcus aureus, Staphylococcus epidermidis, Micrococcus luteus and Bacillus subtilis.

Compounds 40 and 41 (Figure 14) were isolated from aerial parts of Salvia adenophora Fernald and showed antimicrobial activity against Staphylococcus epidermidis. Thus, the antibacterial potential of clerodams has demonstrated that they can be considered a source of new medicinal agents. This is particularly taken into account that these compounds may have different molecular mechanisms of action, demonstrated by their ability to overcome resistance to the usual antibiotics carried by Gram-positive pathogens.56

Figure 14 Chemical structures of antimicrobial action clerodames.

Clerodane-type diterpenoid called formosin F was isolated from branches of Excoecaria formosana and showed moderate antibacterial activity against two strains of Helicobacter pylori (Hp-SS1 or ATCC 43504) with MIC values of 50, and 50 µg/mL, respectively, and metronidazole was used as the positive control (MIC = 0.312 and 128 µg/mL, respectively).57 Furthermore, antimicrobial assays of nepetolid, a tricyclic clerodane-type diterpene isolated from Nepeta Suavis, demonstrated that the compound was moderately active against the bacterial strain of Staphylococcus aureus but inactive against the fungal strains Candida albican and Aspergillus niger.16

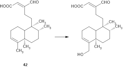
In contrast, it was identified that 16-oxochloride-3,13-(14)-E-dien-15-oic acid (42), isolated from the leaves of Polyalthia longifolia, has moderate antifungal activity. However, the fungus Rhizopus stolonifer can hydroxylate this clerodane (Figure 15) in the allylic position to produce a new hydroxy derivative with increased polarity and enhanced antifungal activity against 11 fungal pathogens of clinical and agricultural importance. Thus, it is evident that microbial transformations are efficient alternatives to chemical methods in the region and stereoselective functionalizations of terpenes and that they can generate more biologically active products.58

Figure 15 Biotransformation of 16-oxochloride-3,13-(14)-E-dien-15-oic aci.

Final considerations

The bibliographic survey carried out led to the construction of data on clerodane diterpenes identified in several plant species, totaling 54 substances registered and distributed in Casearia (15), Ajuga (9), Dodonaea (5), Polyalthia (5), Salvia (5), Croton (3), Gymnosperma (3), Scutellaria (2), Tessmannia (2), Excoecaria (1) and Nepeta (1). Thus, the predominant genres in the research are Casearia and Ajuga. In addition, the most described biological activities for clerodams in this study, among those evaluated, were anti-cancer, anti-inflammatory, and antimicrobial.

The results presented corroborate the importance of using these clerodane-type diterpenes, isolated from plants, as a source of bioactive substances in a promising strategy for contributing to the development of new therapeutic alternatives. Adding to this, there is still a wide economic interest in studies of secondary metabolites to obtain information for the application of these compounds as possible drugs and/or medicines.

Acknowledgments

None.

Conflicts of interest

The author declares there is no conflcit of interest.

References

  1. Jansen DJ, Shenvi R. Synthesis of medicinally relevant terpenes: reducing the cost and time of drug Discovery. Future Medicinal Chemistry. 2014;6:1127–1148.
  2. Cho KS, Lim Y, Lee K, et al. Terpenes from forests and human health. Toxicological Research. 2017;33:97–106.
  3. Wu YB, Ni Z, Shi Q, et al. Constituents from Salvia and their biological activities. Chemical Reviews. 2012;112:5967–6026.
  4. Christianson DW. Structural and chemical biology of terpenoid cyclases. Chemical Reviews. 2017;117:11570–11648.
  5. Hanson JR. Diterpenoids of terrestrial origin. Natural Products Reports. 2012;29:1755–1772.
  6. Feng Z, Cao J, Zhang Q, et al. The drug likeness analysis of anti-infammatory clerodane diterpenoids. Chinese Medicine. 2020;15(1):126.
  7. Li R, Morris-Natschke SL, Lee K. Clerodane diterpenes: sources, structures, and biological activities. Natural Product Reports. 2016;33:1166.
  8. Guimarães A, Serafini M, Quinstans-Júnior LJ. Terpenes and derivatives as a new perspective for pain treatment: a patent review. Expert Opinion. 2014;24(3):243–265.
  9. Pelot KA, Hagelthorn DM, Hong YJ, et al. Diterpene synthase-catalyzed biosynthesis of distinct clerodane stereoisomers. Chem Bio Chem. 2019;20(1):111–117.
  10. Hagiwara H. Total Syntheses of Clerodane Diterpenoid - A Review. Natural Product Communications. 2019;14:1.
  11. Sathe M, Kaushik MP. Gomphostenins: Two new antimalarial compounds from the leaves of Gomphostemma niveum. Bioorganic & Medicinal Chemistry Letters. 2010;20:1312.
  12. Kuate D, Etoundi BCO, Soukontoua YB. Comparative study of the antioxidant, free radical scavenging activity and human LDL oxidation inhibition of three extracts from seeds of a cameroonian spice, Xylopia parviflora (A. Rich.) Benth. (Annonaceae). Journal of Biomedical and Pharmaceutical Sciences. 2011:5:18.
  13. Ishtiaq S, Ahmad M, Hanif U, et al. Phytochemical and in vitro antioxidant evaluation of different fractions of Amaranthus graecizans subsp. silvestris (Vill.) Brenan. Asian Pacific Journal of Tropical Medicine. 2014;7:S342–S347.
  14. Silva MLC, Costa RS, Santana AS, et al. Compostos fenólicos, carotenóides e atividade antioxidante em produtos vegetais. Semina: Ciências Agrárias. 2010;31:669.
  15. Adegbola PI, Adetutu A, Olaniyi TD. Antioxidant activity of Amaranthus species from the Amaranthaceae family - A review. South African Journal of Botany. 2020;133:111–117.
  16. Rehman T, Khan A, Abbas A, et al. Investigation of nepetolide as a novel lead compound: Antioxidant, antimicrobial, cytotoxic, anticancer, anti-inflammatory, analgesic activities and molecular docking evaluation. Saudi Pharmaceutical Journal. 2018;26(3):422–429.
  17. Muhammad A, Tel-Çayan G, Ozturk M, et al. Phytochemicals from Dodonaea viscosa and their antioxidant and anticholinesterase activities with structure–activity relationships. Pharmaceutical Biology. 2016;54(9):1649–1655.
  18. Farvin KHS, Jacobsen C. Phenolic compounds and antioxidant activities of selected species of seaweeds from Danish coast. Food Chemistry. 2013;138(2–3):1670–1681.
  19. Araujo EJF, Oliveira GAL, Sousa LQ, et al. Counteracting effects on free radicals and histological alterations induced by a fraction with casearins. Annals of the Brazilian Academy of Sciences. 2015;87(3):1791–1807.
  20. López-Alarcón C, Denicola A. Evaluating the antioxidant capacity of natural products: A review on chemical and cellular-based assays. Analytica Chimica Acta. 2013;763:1–10.
  21. González-Burgos E, Gómez-Serranillos MP. Terpene compounds in nature: a review of their potential antioxidant activity. Current Medicinal Chemistry. 2012;19(31):5319–5341.
  22. Kim ME, Jung I, Na JY, et al. Pseudane-VII Regulates LPS-Induced Neuroinflammation in Brain Microglia Cells through the Inhibition of iNOS Expression. Molecules. 2018;23(12):3196.
  23. Maia RM, Moura CWN, Bispo VS, et al. Avaliação do sequestro do óxido nítrico (NO) pelo extrato metanólico da alga Bryothamnion triquetrum (Gmelin) Howe. Revista Brasileira de Farmacognosia. 2010;20:489.  
  24. Oliveira CMB, Sakata RK, Issy AM. Citocinas e Dor. Revista Brasileira de Anestesiologia. 2011;61;255.
  25. Simpsons BS, Luo X, Costabile M, et al. Polyandric Acid A, a Clerodane Diterpenoid from the Australian Medicinal Plant Dodonaea polyandra, Attenuates Pro-inflammatory Cytokine Secretion in Vitro and in Vivo. Journal of Natural Products. 2014;77(1):85–91.
  26. Bautista E, Maldonado E, Ortega A. neo-clerodane diterpenes from Salvia herbacea. Journal of Natural Products. 2012;75:951–958.
  27. Salinas-Sánchez DO, Zamilpa A, Pérez S, et al. Effect of hautriwaic acid isolated from Dodonaea viscosa in a model of Kaolin/Carrageenan-Induced Monoarthritis. Planta Medica. 2015;81(14):1240–1247.
  28. Liu W, Song Z, Wang H, et al. Diterpenoids as potential anti-inflammatory agents from Ajuga pantantha. Bioorganic Chemistry. 2020;101:103966.
  29. Zhang D, Tang Z, Xie P, et al. A pair of new neo-clerodane diterpenoid epimers from the roots of Croton crassifolius and their anti-inflammatory. Natural Product Research. 2020;34(20):2945–2951.
  30. Pierre EG, Castro RC, Vizioli EO, et al. Anti-inflammatory action of ethanolic extract and clerodane diterpenes from Casearia sylvestris. Revista Brasileira de Farmacognosia. 2017;27(4):495–501.
  31. Simpson BS, Claudie DJ, Gerber JP, et al. In vivo activity of benzoyl ester clerodane diterpenoid derivatives from Dodonaea polyandra. Journal of Natural Products. 2011;74:650–657.
  32. Wu T, Chen Y, Hen C, et al. Three New Clerodane Diterpenes from Polyalthia longifolia var. pendula. Molecules. 2014;19(2):2049–2060.
  33. Sun Z, Li Y, Jin D, et al. Neo-Clerodane diterpenes from Ajuga decumbens and their inhibitory activities on LPS-induced NO production. Fitoterapia. 2012;83(8):1409–1414.
  34. Batista FLA, Lima LMG, Abrante IA, et al. Antinociceptive activity of ethanolic extract of Azadirachta indica A. Juss (Neem, Meliaceae) fruit through opioid, glutamatergic and acid-sensitive ion pathways in adult zebrafish (Danio rerio). Biomedicine and Pharmacotherapy. 2018;108:408–416.
  35. Silva JC, Saraiva SRGL, Júnior RGO, et al. Modelos experimentais para avaliação da atividade antinociceptiva de produtos naturais: uma revisão. Revista Brasileira de Farmácia. 2013;94:18.
  36. Ortiz-Mendoza N, Zavala-Ocampo LM, Martínez-Gordillo MJ, et al. Antinociceptive and anxiolytic-like effects of a neoclerodane diterpene from Salvia semiatrata aerial parts. Pharmaceutical Biology. 2020;58(1):620–629.
  37. González-Chávez MM, Arana-Argáez V, Zapata-Morales JR, et al. Pharmacological evaluation of 2-angeloyl ent-dihydrotucumanoic acid. Pharmaceutical Biology. 2017;55(1):873–879.
  38. Fichna J, Dicay M, Lewelly K, et al. Salvinorin A has antiinflammatory and antinociceptive effects in experimental models of colitis in mice mediated by KOR and CB1 receptors. Inflammatory Bowel Diseases. 2012;18(6):1137–1145.
  39. Keasling AW, Pandey P, Doerksen RJ, et al. Salvindolin elicits opioid system-mediated antinociceptive and antidepressant-like activities.  Journal of Psychopharmacology. 2019;33(7):865–881.
  40. Victor MM, David JM, Sakukuma MCK, et al. Terpene Esters from Natural Products: Synthesis and Evaluation of Cytotoxic Activity. Anais da Academia Brasileira de Ciências. 2017;89(3):1369–1379.
  41. Zhu F, Di Y, Li X, et al. Neoclerodane diterpenoids from Scutellaria barbata. Planta Medica. 2011;77(13):1536–1541.
  42. Liang Y, Zhang Q, Yang X, et al. Diterpenoids from the leaves of Casearia kurzii showing cytotoxic activities. Bioorganic Chemistry. 2020;98:103741.
  43. Chiou C, Kuo Y, Chan Y, et al. Ajugalide-B (ATMA) is an anoikis-inducing agent from Ajuga taiwanensis with antiproliferative activity against tumor cells in vitro. Phytochemistry. 2012;80:64–69.
  44. Liu F, Zhang Q, Yang X, et al. Cytotoxic diterpenoids as potential anticancer agents from the twigs of Casearia kurzii. Bioorganic Chemistry. 2019;89:102995.
  45. Vila-Luna ML, Moo-Puc RE, Torres-Tapia LW, et al. Cytotoxic activity of casearborin c isolated from Casearia corymbosa. Journal of the Mexican Chemical Society. 2018;62:24.
  46. Liu F, Ma J, Shi Z, et al. Clerodane diterpenoids isolated from the leaves of Casearia graveolens. Journal of Natural Products. 2020;83:36–44.
  47. Sari DP, Ninomiya M, Efdi M, et al. Clerodane diterpenes isolated from Polyalthia longifolia induce apoptosis in human leukemia HL-60 cells. Journal of Oleo Science. 2013;62(10):843–848.
  48. Ferreira PMP, Militão GCG, Lima DJB, et al. Morphological and biochemical alterations activated by antitumor clerodane diterpenes. Chemico-Biological Interactions. 2014;222:112–125.
  49. Dai S, Zhang L, Xiao K, et al. New cytotoxic neo-clerodane diterpenoids from Scutellaria strigillosa. Bioorganic & Medicinal Chemistry Letters. 2016;26(7):1750–1753.
  50. Nguyen HTT, Truong NB, Doan HTM, et al. Cytotoxic Clerodane Diterpenoids from the Leaves of Casearia grewiifolia. Journal of Natural Products. 2015;78(30):2726–2730.
  51. Radulovic NS, Blagojevic PD, Stojanovic ZZ, et al. Antimicrobial Plant Metabolites: Structural Diversity and Mechanism of Action. Current Medicinal Chemistry. 2013;20(7):932–952.
  52. Vandal J, Abou-Zaid MM, Ferroni G, et al. Antimicrobial activity of natural products from the flora of Northern Ontario, Canada. Pharmaceutical Biology. 2015;53(6):800–806.
  53. Saleem M, Nazir M, Ali MS, et al. Antimicrobial natural products: an update on future antibiotic drug candidates. Natural Product Reports. 2010;27(2):238–254.
  54. Kihampa C, Nkunya MHH, Joseph CC. Antimosquito and antimicrobial clerodanoids and a chlorobenzenoid from Tessmannia species. Natural Product Communications. 2010;5:175.
  55. Liu C, Xu J, Zhao J, et al. Diterpenoids from Croton laui and Their Cytotoxic and Antimicrobial Activities. Journal of Natural Products. 2014;77:1013–1020.
  56. Bisio A, Schito AM, Ebrahimi SN, et al. Antibacterial compounds from Salvia adenophora Fernald (Lamiaceae). Phytochemistry. 2015;110:120–132.
  57. Lin, Bing-Dong, Zhou B, et al. Formosins A–F: Diterpenoids with Anti-microbial Activities from Excoecaria formosana. Natural Products and Bioprospecting. 2016;6(1):57–61.
  58. Kumar R, Saha A, Saha D. Biotransformation of 16-oxacleroda-3,13(14)E-dien-15-oic acid isolated from Polyalthia longifolia by Rhizopus stolonifer increases its antifungal activity. Biocatalysis and Biotransformation. 2016;34(5):212.
Creative Commons Attribution License

©2022 Lima, et al. This is an open access article distributed under the terms of the, which permits unrestricted use, distribution, and build upon your work non-commercially.