Submit manuscript...
Journal of
eISSN: 2473-0831

Analytical & Pharmaceutical Research

Mini Review Volume 10 Issue 2

Ethnomedicinal uses, phytochemisty and pharmacological activities of Rumex nervosus

Worku Gemechu, Samuel Woldekidan, Firehiwot Teka, Jemal Mohammed, Rekik Ashebir, Bihonegn Sisay, Abiy Abebe , Asfaw Meresa

Traditional and Modern Medicine Research Directorate, Ethiopian Public Health Institute, Ethiopia

Correspondence: Worku Gemechu, Traditional and Modern Medicine Research Directorate, Ethiopian Public Health Institute, Addis Ababa, Ethiopia

Received: March 04, 2021 | Published: March 29, 2021

Citation: Gemechu W, Woldekidan S, Teka F, et al. Ethnomedicinal uses, phytochemisty and pharmacological activities of Rumex nervosus. J Anal Pharm Res. 2021;10(2):65-69. DOI: 10.15406/japlr.2021.10.00367

Download PDF

Abstract

The genus Rumex is cosmopolitan plants consisted of about 200 species. Rumex nervosus that is known as nutraceutical plants widely distributed around the world. This review documents fragmented information on the ethnomedicial uses, phytochemistry and pharmacological activities of R. nervosus. The review articles are carried out by searching in PubMed, Google scholar and Google search up to December 2020. R. vernosus is traditionally used to treat eye disease, headache, teaniacapitis, haemorrhoids, dysentery, stomach-ache, diarrhoea, pharyngitis, arthritis, eczema, abscess and gynecological disorders. Secondary metabolites such as anthraquinones, naphthalenes, flavonoids, stilbenoids, triterpenes, carotenoids, and phenolic acids have been identified for this herb. The extracts of R. nervosus exhibited a wide range of pharmacological effects including antimicrobial, anti -inflammatory, antihypertensive, antidiabetic, antidiarrheal, anticoccidial and antileishimanial activities. These pharmacological studies have established a scientific basis for therapeutic uses of R. nervosus.

Keywords: rumex nervosus, ethnomedicinal, phytochemistry, pharmacology

Introduction

Medicinal plants have been widely used for therapeutically purpose since antiquity.1 It is estimated that about thirty five thousand species of plants have been utilized as traditional medicine worldwide. Traditional medicine provides health benefits for 80% of population of the developing countries to achieve their primary health care.2 In Africa 60- 90% of the human being use herbal medicine to treat variable diseases. Like other African countries in Ethiopia traditional medicine has also played significant role to combat various ailments.3,4 Recent studies demonstrated that in Ethiopian about 80% of human population and 90% livestock still relay on medicinal plants to satisfy their primary health care needs mainly due to the fact that traditional medicine are acceptable, affordable and easily accessible.5,6 Medicinal plants are also used as a potential source of lead compounds that play vital role for the discovery of conventional drugs. Nowadays above 50 % of all modern medicines on market are from natural origin; therefore, these products have a great role in the pharmaceutical sciences for drug development.7,8 It is stated that around 25% of the modern remedies used globally have been obtained from medicinal plants.9

The plant Rumex genus is cosmopolitan in nature and valuable for its medicinal use. The genus mostly grows around the terraces of high altitude areas (above 1000m). They belong to polygonaceae family composed of about 200 species of annual, biennial and perennial herbs. Traditionally the use of Rumex genus either as food (edible plant) or medicine to intervene in curing or preventing ailments of mankind had been in existence from time immemorial in different parts of the world.10 R. nervosus which assumed as nutraceutical plant is one of the diversely distributed species globally. It spreads in large quantities on a high altitude areas roadsides, overgrazed areas, sandy areas, ups and down areas and relatively high rain fall areas. R. nervosus is highly branched shrub can grow up to 2-3 meters high. The leaves are usually arranged are densely small striated branchlets laterally, oblonged or upper lanceolated in shape. The leaves (2-3 inches; length) are bright green, subacute, glabrous and long narrow to the base rather than firm in texture.11

R. vernosus as medicinal has been traditionally used for treating various communicable and non-communicable diseases/disorder such as eye disease, taeniacapitis, haemorrhoids, infected wounds, dysentery, stoach-ache, diarrhea, pharyngitis, arthritis, eczema, abscess and gynecological disorders to mention few.12,13 In the pharmacological action R. nervosus is an effective source of urease inhibitory agents, analgesic, earthworms and influenza A virus and showed antileishmanial, anticancer, antioxidant, antimicrobial activities.13,14 Recently conducted research revealed that R. nervosus have been utilized to manage destructions caused by agricultural and veterinary insect pests. Many phytochemical investigations carried on Rumex species reported that they contain different secondary metabolites such as anthraquinones, naphthalenes, flavonoids, stilbenoids, triterpenes, carotenoids, and phenolic acids. So far no review compiled on the pharmacological and therapeutic benefits of R. nervosus. This initiated us to document the fragmented facts and information about isolated compounds, traditional and pharmacological uses of the R.vernosus species. This mini review will accentuate the importance of the species and will present baseline information interested researchers intending to do further work on the genus Rumex.

Material and methods

Literatures related to R. nervosus based ethomedicinal uses, phytochemisty and pharmacological activities were carried out until December, 2020. The information were gathered by different search approaches, including; search for published journal articles using international scientific databases including PubMed, Google search, Google scholar, etc.

Ethnomedicinal uses of R. nervosus

R. nervosus is locally known by different names in Ethiopia such as “Dhangaggoo” in Afan Oromo, “Embuachew” in Amharic, and “Hhot” in Tigrigna to mention few.17 Traditionally the herb is utilized to as anthihemorrhoids, antipyretic, diuretic, antihypertensive, antirheumatic, antiscabies, antiemetic, aphrodisiac, antitussive, and antirabies hypoglycemic, antiacne, anti-infective. It is also used to treat sexually transmitted gonorrhoea, dermal problem such as leprosy, lung tuberculosis, and hepatic problems, headache and dermatitis. R. nervosus root or leaf extract could be served as vermicides.15 In Ethiopia, R.nervosus extract is practised to seize bleeding after male circumcision.17 Eritreans traditionally used different parts of this plant to treat eczema, abscess, infected wounds, arthritis and gynaecological disorder. Traditionally the stem and leaves of this herb practised by the Eritrean women to clean their body presuming that its steam and vapour destroy and removes microbes from the body and make them comfortable.10

Pharmacological activities of R. nervosus

Antimicrobial Activity

Hussein and his co-worker reported that except methanol extract other diethyl ether, chloroform, acetone extracts of R. nervosus root exhibited good antibacterial.14 From antimicrobial activity test conducted on R. vernosus ethanol and methanol extract by Al-Nowihi and his co-worker it is reported that, both extracts have antimicrobial effect. However, methanol extract showed better activity against both Gram-negative (Escherichia coli, klebsiella pneumonia) and Gram-positive (Staphylococcus aerus, Bacillus subtilus) bacteria and Fungus (Candida albicans) strain than ethanol extract.14,19

Anti-inflammatory effects

In the natural healing process inflammation has a significant role as the body`s defense mechanism. However, chronic inflammation could aggravate the risk different disorders such as some cancers, atherosclerosis, rheumatoid arthritis, periodontitis and hay fever. Thus management of inflammation is very important practise in preventing and treating disease associated with inflammation. Desta et al.19 explained the role of inflammation in disease and how inflammatory response is induced in the body. They also describe how inflammatory mediators are regulated in the inflammation process. In this regard they reported that flavonoids isolated from R. nervosus flowers exhibited anti-inflammatory activity through decreasing IB Phosphorylation which holds down ERK and p38 activation, as well as by minimizing the secretion of pro-inflammatory mediators such as inducible nitric oxide synthase, cyclooxygenase-2 and interleukin-1.19

Antidiarrheal activity

Diarrheal disease is worldwide gastrointestinal problem stands second in killing under five children draws researcher attention. It is estimated that about five million people died from this gastrointestinal disorder in a year. This review stated that R.nervosus leaf extract is traditionally used by Ethiopian to combat diarrheal problems. Asad et al., (2004) assayed antidiarrheal activity of R. nervosus aqueous extract. Their investigation approved that the herbs extract show a protective effect against diarrhoea. But the exact mechanism of action and constituent responsible for antidiarrheal activity of this herb is not explained. However, they assume that since R. nervosus leaves extract has a variety of flavonoid which may inhibit release of acetylcholine in gastrointestinal tract. Prevention of gastrointestinal acetylcholine secretion leads to inhibition of intestinal motility and hydro-electrolytic secretions.18

Acute toxicity study

The methanolic extract of leaves of Rumex nervosus acute toxicity study was conducted on mice. There is no sign of toxicity observed. Hence, the drug was considered as safe.18

Antileishmanial activity

Leishmaniasis is a parasitic disease caused by infection with leishmania obligate intracellular parasite. Different literatures stated that leishmaniasis spread among susceptible individuals/ organisms when they are bitten by infected females and flies vector. So far, little investigation carried out on antileishmanial activity of phytochemicals of R. nervosus. In antileishmaial activity assay, the crude methanol extracts of both stems and leaves of R. nervosus and their fractions including; n-hexane, CHCL3 fraction, EtOAc fraction and MeOH fraction was displayed variable effect of antileishmanial activities. The study showed that R. nervosus stems extract is more potent than the leaves extract. Among fraction, chloroform fraction revealed better antilesihmaial activity than other fraction of the stem.21

Anticoccidial activity

Coccidia is reemerging parasitic and communicale disease, caused by the Eimeria parasite that could be the major intestinal tract pathogens of avian and many other domestic animals resulted in major economic loss. Eimeria tenella is the most dangerous chickens Eimeria species because it is virulent and leading to severe haemorrhage and very high mortality. When the caecal epithelial cells are attacked by E.tenella mucus production frequency increased and the epitheliums are susceptible for invasion. This invasion affects the normal function of goblet cells acting as immunological defense line in the internal tract. Coccidiosis could be managed by using different synthetic anticoccidial drugs like amprolium, Diclazoril, Monincine. But serious challenges faced in utilizing these drugs such as drug resistant parasite emerged, their costs escalated and consumer prefer synthetic drug-residue free meats. This problem initiate researcher to search for alternative medicament from medicinal plants. One of these herbal medicines studied for this purpose is R. nervosus. From investigation R. nervosus leave extract against coccidial caused by infected birds (chickens) with oocyst of E. tenella, changes induced in goblet cells and cytokines of chickens by this parasite was mitigated. The findings reported that number of oocyst in bird’s faeces was decreased. It is also stated that the number of goblet cells which was decreased after infection, was increased after treated with the herbal extract. From their investigation, they concluded that R. nervosus leave extract has anticoccidal activity.22

Anti-diabetic activity

 Diabetes mellitus is a common endocrine disorder characterized by hyperglycaemia, manifesting with symptoms and signs of osmotic diuresis such as polyuria, polydyspia, calorie loss, and generalized weakness, polyphagia and weight loss. It results from either an absolute deficiency (type 1) or relative deficiency (type 2) of hormone, insulin.24 Type 2 diabetes is highly associated with obesity which becomes a serious public health problem recently. As currently available anti-obesity medications induced unwanted effects and less efficacious, researchers are looking forward to develop new antiobesity agents from medicinal plants. Lots of animal and clinical investigation is going on different herbal medicines to develop new drugs with fewer side effects. R. nervosus is one of those antidiabetic claimed herbal medicine under research. From the antiobesity potential of R. nervosus Vahl leaves studied against high fat diet-induced obesity in female rats, it was reported that the body weight and blood glucose concentration was reduced. Hence they concluded that this leaves prevent high fat diet-induced hyperglycemia.23

Antioxidant activity

A study by Al-naqeb19 on R. nervosus extract examined the DPPH radical scavenging activity. Phytochemicals of the extract are able to scavenge the DPPH free radicals. The antioxidant activity was concentration dependent. Al-naqeb revealed that this herb could be potential candidates to be used as antioxidant. Quradha et al (2019) has also reported that essential oil and fraction of this herb showed antioxidant activity.

Natural phytogenic feed additives

World health organization urges that dairy, egg and meat product should devoid of pharmaceutical residues. But the aforementioned product producer uses pharmaceuticals as feed additives in view to promote growth and health. Antibiotics have been included in broiler to aid body weight growth and control Pathogens. The uses of these antimicrobial agents create multidrug -resistant microbes which become one of the main problems now a day. Owing to this prohibition of antibiotic application to animal production, researchers tried to substitute the antibiotics by natural phytogenic feed additives. Phytogenic additives (spices, herbs plants and product derived thereof) is one of antibiotics` substitute. In this regard R. nervosus was used as phytogenic feed additives in broiler diet up to a 1000mg/kg. Study conducted on R. nervosus used natural phytogenic feed additives showed that addition of this herb increased serum albumin and triiodothyronine levels. Higher levels of triiodothyronine in the serum accelerate the growth in chickens. Besides this feeding a diet with 1000mg/kg herb increased with duodenal villus height and decreased cecal Escherichia coli counts. Thus R, nervosus leaves meal would be used as phytogenic feed additives in broiler diets.11

Phytochemistry

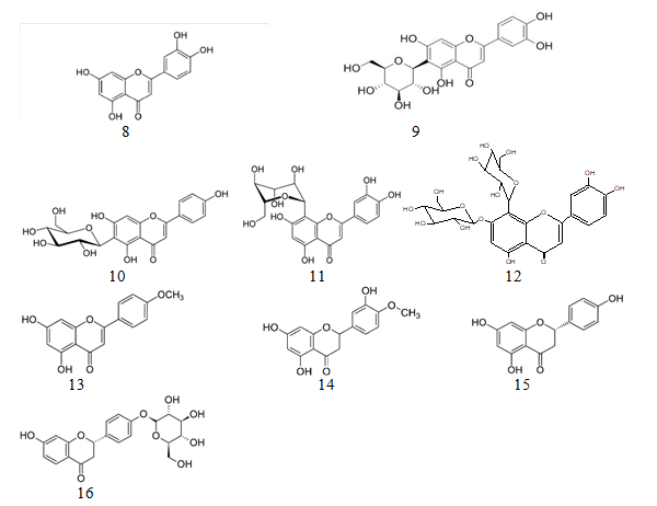
Desta and his co-workers from their works reported that seven flavonols (quercetin, quercetin-3-O-pentoside, quercetin-3-O-glucoside, quercetin-3-acetyl-glucoside, quercetin-3-O-rhamnoside, quercetin-3-O-rutinoside, quercetin-3-acetyl rhamnoside), six flavones (luteolin, luteolin-6-C-glucoside, apigenin-6-C-glucoside, apigenin-8-C-glucoside, apigenin-6-C-glucoside-7-O-glucoside and acacetin) and three flavanones (hesperetin, naringenin and liquiritin) were characterized from the 70% methanolic extract of the flowers of R. nervosus Vahl growing in Ethiopia by using HPLC–ESI-MS/MS.20,25 It is assumed that these polyphenols are responsible for biological activities of R. nervosus Figure 1. Other studies also showed that palmitic acid ,palmitic acid methyl ester, Palmitoleic acid , methyl cis-9- hexadecenoate, chlorogenic acid, catechin and orientin has been isolated form R.nervosus leaves.13,25 Their structures are shown below Figure 2.

Figure 1 Some the chemical constitutes of Rumex nervosus.
1:quercetin, 2:quercetin-3-O-pentoside, 3:quercetin-3-O-glucoside, 4:quercetin-3-acetyl-glucoside, 5:quercetin-3-O-rhamnoside, 6:quercetin-3-O-rutinoside, 7:quercetin-3-acetyl rhamnoside, 8:luteolin, 9:luteolin-6-C-glucoside, 10:apigenin-6-C-glucoside, 11:apigenin-8-C-glucoside, 12:apigenin-6-C-glucoside-7-O-glucoside 13:acacetin,14:hesperetin, 15:naringenin , 16:liquiritin

Figure 2 Some of the compounds isolated from R. nervosus.

Conclusion

The present review has attempted to explore ethnomedicinal uses, phytochemistry and pharmacological activity of R. nervosus plant that is widely distributed throughout the world. People have used this plant traditionally to treat various ailments even though some of the claims have not proved yet. So far confirmed pharmacological activities of this herb are antimicrobial, anti -inflammatory, antihypertensive, antidiabetic, antidiarrheal, anticoccidial and antileishimanial activities.

Acknowledgments

None.

Conflicts of interest

The author declares there is no conflict of interest.

Authors' contributions

GA designed the study. GA and DW collected scientific studies, assessed the quality of the study, extracted and analyzed the data. NA commented on the review. GA also prepared the manuscript for publication. All authors have read and approved the manuscript.

References

  1. Dolatkhahi M, Dolatkhahi A, Nejad JB. Ethnobotanical study of medicinal plants used in Arjan– Parishan protected area in Fars Province of Iran. Avicenna J Phytomed. 2014;4(6):402–12.
  2. Shendye NV, Gurav SS. Cynodon dactylon: a systemic review of pharmacognosy, phytochemistry and pharmacology. Int J Pharm Pharm Sci. 2014;8(8):7–12.
  3. Lulekal E, Kelbessa E, Bekele T, et al. An ethnobotanical study of medicinal plants in Mana Angetu District, southeastern Ethiopia. Journal of ethnobiology and Ethnomedicine. 2008;4(1):1–10.
  4. Kasilo OMJ, Nikiema JB, Ota MMO, et al. Enhancing the role of traditional medicine in health systems: a strategy for the African Region. African Health Monitor. 2013;40–43.
  5. Hunde D, Jesse T, Asfaw Z, et al. Wild edible fruits of importance for human nutrition in semiarid parts of East Shewa zone, Ethiopia: associated indigenous knowledge and implications to food security. J Nutr. 2011;10:40–50.
  6. Yassin S, Abera B, Kelbessa E. Ethnobotanical study of indigenous knowledge of plant-material culture in Masha and Yeki districts, Southwest Ethiopia. African Journal of Plant Science. 2015;9(2):25–49.
  7. Deka M, Kalita JC, Sarma GC. Traditional use of fertility inducing plants used by the herbal practitioners in some parts of the state Assam, NE India, and a survey report. Int J Sci Adv Technol. 2011;1(6):133.
  8. Savithramma N, Ankanna S, Linga RM, et al. Studies on antimicrobial efficacy of medicinal tuberous shrub Talinum cuneifolium. J Environ Biol. 2012;33(4):775–80.
  9. Robert H, John B. Traditional medicine and health carecoverage. WHO; 1983.
  10. Babu-Kasimala M, Tukue M, Ermias R. Phytochemical screening and antibacterial activity of two common terresterial medicinal plants Ruta chalepensis and Rumex nervosus. Bali Med J. 2014;3(3):116–121.
  11. Azzam MM, Qaid MM, Al-Mufarrej SI, et al. Rumex nervosus leaves meal improves body weight gain, duodenal morphology, serum thyroid hormones, and cecal microflora of broiler chickens during the starter period. Poultry Science. 2020;99(11):5572–5581.
  12. Ghebremariam YS, Demoz MS, Fissehaye NA. Phytochemical screening and antimicrobial potential of Lepidium sativium and Rumex nervosus in Eritrea. Journal of Advances in Medical and Pharmaceutical Sciences. 2018;1–8.
  13. Quradha MM, Khan R, Rehman MU, et al. Chemical composition and in vitro anticancer, antimicrobial and antioxidant activities of essential oil and methanol extract from Rumex nervosus. Natural product research. 2019;33(17):2554–2559.
  14. Al-Nowihi M, Faisal A, Al-Asbahi G. Antimicrobial activity of Rumex nervosus extract collected from Yemen against local selected isolates pathogens. J Microbiol Exp. 2020;8(3):93–96.
  15. Aati H, El-Gamal A, Shaheen H, et al. Traditional use of ethnomedicinal native plants in the Kingdom of Saudi Arabia. Journal of ethnobiology and ethnomedicine. 2019;15(1):1–9.
  16. Hussein EA, Al-Hazmi AHMED, Aqlan EA, et al. Antibacterial activity of root extracts of Rumex nervosus growing in Yemen. Al-Azhar Bulletin of Science. 2008;19(1-C):45–51.
  17. Nigussie G. Isolation and Characterization of the Roots of Rumex nervosus. Journal of Tropical Pharmacy and Chemistry. 2020;5(1):39–50.
  18. Asad M, Getachew A, Ahmad M. Antidiarrheal activity of methanolic extract of Rumex nervosus. Journal of Pharmaceutical Research. 2004;3(4):67–69.
  19. Al-Naqeb G. Antioxidant and antibacterial activities of some Yemeni medicinal plants. International Journal of Herbal Medicine. 2015;3(3 Part A):6–11.
  20. Desta KT, Kim GS, Hong GE, et al. Dietary‐flavonoid‐rich flowers of Rumex nervosus Vahl: Liquid chromatography with electrospray ionization tandem mass spectrometry profiling and in vitro anti‐inflammatory effects. Journal of separation science. 2015;38(19):3345–3353.
  21. Khan R, Quradha MM, Saif AQ, et al. Antileishmanial, insecticidal and phytotoxic potential of leaves and stems of Rumex nervosus Vahl. Pakistan journal of pharmaceutical sciences. 2018;31(5):1917–1921.
  22. Qasem MA, Dkhil MA, Al-Shaebi EM, et al. Rumex nervosus leaf extracts enhance the regulation of goblet cells and the inflammatory response during infection of chickens with Eimeria tenella. Journal of King Saud University-Science. 2020;32(3):1818–1823.
  23. Alasmari A. Phytomedicinal potential characterization of medical plants (Rumex nervosus and Dodonaea viscose). J Biochem Tech. 2020;11(1):113–121.
  24. Meresa A, Gemechu W, Basha H, et a. Herbal medicines for the management of diabetic mellitus in Ethiopia and Eretria including their phytochemical constituents. AJADD. 2017;5(01):040–058.
  25. Desta KT, Lee WS, Lee SJ, et al. Antioxidant activities and liquid chromatography with electrospray ionization tandem mass spectrometry characterization and quantification of the polyphenolic contents of Rumex nervosus Vahl leaves and stems. Journal of separation science. 2016;39(8):1433–1441.
Creative Commons Attribution License

©2021 Gemechu, et al. This is an open access article distributed under the terms of the, which permits unrestricted use, distribution, and build upon your work non-commercially.