Submit manuscript...
Journal of
eISSN: 2473-0831

Analytical & Pharmaceutical Research

Research Article Volume 10 Issue 2

Formulation and evaluation of orally disintegrating tablet containing taste masked mirtazapine

Shrestha Prabhat, Shrestha Rajan, Shrestha Sahana

Department of Pharmacy, Kathmandu University, Nepal

Correspondence: Shrestha Prabhat, Department of Pharmacy, Kathmandu University, Dhulikhel, Kavrepalanchok, Nepal

Received: March 11, 2021 | Published: March 29, 2021

Citation: Prabhat S, Rajan S, Sahana S. Formulation and evaluation of orally disintegrating tablet containing taste masked mirtazapine. J Anal Pharm Res. 2021;10(2):71-80. DOI: 10.15406/japlr.2021.10.00368

Download PDF

Abstract

Objective: This study aims to prepare the taste-masked granules of Mirtazapine by mass extrusion technique and formulate it into an oral dispersible tablet using different super disintegrates.

Methods: Taste masked granules of mirtazapine were prepared by mass extrusion technique using Eudragit EPO in different ratios. The drug-polymer ratio was optimized based on the percent drug release in SSF and SGF. Taste masking efficacy of drug-polymer complex was determined by developing the bitterness threshold value of Mirtazapine. The selected drug-polymer complex was formulated into an oro-dispersible tablet by direct compression method. A randomized design was used to investigate individual effect of three different super disintegrates each in different concentrations. Ten formulations were developed including a controlled formulation without the addition of superdisintegrants. A comparative study was done based on various pre-compression and post-compression parameters. 

Results: Eudragit EPO was able to mask the bitter taste of Mirtazapine effectively in 1:2 ratio by mass extrusion method. The minimum disintegration time and wetting time was found to be 13.6±2.7 and 18.13±0.24 seconds with the formulation containing crospovidone 5% (F9). It was found that the wetting time and disintegration time followed the order SSG>CCS>CPV. The selected best formulation was subjected to an incompatibility study design. The IR spectrum showed that all the excipients were chemically compatible.

Conclusion: Thus, in this study unpalatable taste of Mirtazapine was masked using Eudragit EPO polymer by mass extrusion technique, and superdisintegrants were added to prepare orally disintegrating tablets of Mirtazapine. This research work suggests a rapid, simple and cost effective method for formulating Mirtazapine ODT.

Keywords: oral disintegrating tablet, formulation, complexation, mass extrusion, oral drug delivery, polymer, dissolution

Introduction

One of the major properties governing the patient compliance of the drug is its taste.1 Oral administration of the bitter drug with an acceptable degree of palatability is a key issue for health care providers. To achieve better compliance and therapeutic value for the patient and more business and profits for the company main practical problem that confronts a pharmacist is to mask the unpleasant taste of the drug.2 Major taste-masking efforts are required before acceptance of the drug for marketing. It is important at this point to introduce some basic concepts related to the taste masking of the drug. The basic concept behind the taste masking of any drug is based on the reduction of its solubility in the saliva so that the drug concentration in the saliva will be lower than that of the threshold value. The desire for improved palatability of formulations led to the development of various new technologies for taste abatement. Many of these technologies were successfully commercialized.3 Comforts of drug administration and patient compliance turned out to be an important consideration for the design of dosage forms. Many technologies were developed for the manufacturing of robust and versatile tablets with taste-masking and controlling release pattern. One such approach is the Oro-dispersible tablet. ODT's offers a great advantage for patients having difficulty in swallowing (dysphasia).4 ODTs are solid dosage forms that rapidly disintegrate in the mouth and are thus swallowed without the need for water. In recent days ODTs technology that makes tablets dissolve or disintegrate in the oral cavity without the intake of any additional water drawn a great deal of attention.5 In present days ODTs for various categories of drugs were developed.6

Formulating ODTs of poorly water-soluble drugs also improve its oral bioavailability. But in ODTs, for palatability and patient compliance taste of the drugs plays an important role. Many different oral pharmaceuticals and bulking agents have unpleasant or bitter-tasting components. So many different formulations are developed with a desire to improve the palatability of the drug by improving performance and suitability. Various technologies were developed for improving the palatability of the drug formulation.7 In the present study bitter taste of the drug was masked by mass extrusion technique using Eudragit EPO as a taste masking polymer in different drug-polymer ratios. This technique involves softening the active blends using the water-miscible solvent mixtures and expulsion of the softened mass through extruder or syringes to get a cylinder of products which is then formed into granules using blades or mortar and pestle. The model drug, Mirtazapine (Figure 1) is an atypical antidepressant having noradrenergic and specific serotonergic activity. It belongs to the chemical series called piperazinoazepines. It acts by blocking the histaminergic and muscarinic receptors and enhances serotonin neurotransmission at the 5-HT1 receptor. It is a tetracyclic antidepressant that is usually prescribed to patients suffering from major depression and anxiety. A large number of geriatric patients were reported to be receiving this medication.8,9

Figure 1 Chemical Structure of Mirtazapine.

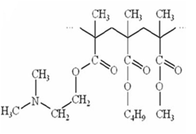
Eudragit EPO (Figure 2), a solid substance obtained from Eudragit E100 polymer was selected for the taste masking. It is a cationic copolymer based on dimethylaminoethyl methacrylate, butylmethacrylate, and methyl methacrylate and chemically known as poly(butyl methacrylate-co-(2 dimethylaminoethyl) methacrylate-co-methyl methacrylate. Eudragit EPO shows excellent taste-masking properties even at low film thickness. It can also be used to coat difficult dosage forms, such as multi-particulate fast disintegrating tablets. It is a polymer having low viscosity and high pigment binding capacity and also has good adhesion and low polymer weight gain. It is soluble in gastric pH up to 5.10–12 The oral bioavailability of mirtazapine is found to be roughly 50% due to first-pass metabolism.8 To enhance its oral bioavailability many techniques were used to develop ODT's mirtazapine. However, the major problem associated with this drug is its unpalatable taste. Therefore, in the present study, an attempt was made to mask the bitter taste of mirtzapine by mass extrusion technique using Eudragit EPO in different drug-polymer ratios and later formulated it into more convenient and improved compliance ODTs tablet using different superdisintegrants.

Figure 2 Chemical Structure of Eudragit EPO.

Materials and methods

Mirtazapine USP and its reference standard were received from Simca Laboratories Pvt. Ltd., Byasi, Bhaktapur, Nepal. Eudragit EPO was received from Evonik Industries Pvt Ltd as a gift sample. Excipients including MCCP 200, talc, magnesium stearate, sodium starch glycollate, croscarmellose sodium, crospovidone, orange flavor, and sucralose were received from Simca Laboratories Pvt. Ltd, Byasi, Bhaktapur, Nepal as a gift sample. All other chemicals used were of chemical grade.

Preparation of mirtazapine drug-polymer complex using Eudragit EPO

The bitter taste of Mirtazapine USP was masked using Eudragit EPO by mass extrusion technique.13–19 The drugs polymer complex (DPC) in ratio of 2:1, 1:1, 1:2 and 1:3 (w/w) were prepared. To prepare granules of the drug-polymer complex, the drug was thoroughly mixed with Eudragit EPO (powdered), as a given amount in Table 1, in mortar and pestle for 10 minutes. Isopropyl alcohol (IPA) was added slowly to the respective drug-polymer mix to form a gel. The prepared gel was extruded manually through a 20 ml plastic syringe to make a thread of the gel. After extrusion solvent from the extruded thread was removed by drying it for 48 hours at room temperature. Subsequently, the solidified gels were crushed using mortar and pestle to obtain drug-polymer granules. Granules thus obtained were then passed through sieve numbers 30 and 60 having a nominal mesh aperture of 590 μm and 250 μm respectively. The granules passed through each sieve were evaluated separately for taste masking efficacy.

S.N.

Drug-polymer ratio

Weight of drug (g)

Weight of polymer (g)

Amount of IPA (ml)

1

2:01

10

5

7.5

2

1:01

10

10

10

3

1:02

10

20

15

4

1:03

10

30

20

Table 1 Drug-polymer complex formulation

Determination of threshold bitterness concentration of mirtazapine USP

The bitter taste threshold value of mirtazapine was determined by a single-blind study, based on taste recognition by six healthy volunteers from whom informed consent was obtained. A series of mirtazapine standard solutions of five different concentrations ranging from 50 to 250µg/ml were prepared in distilled water. Each volunteer was asked to rinse their mouth well with distilled water before tasting. Starting with the lower concentration the volunteers were instructed to taste the standard solution by placing 1ml of the solution on the center of the tongue. The solution was retained in the mouth for 30 seconds then asked to spat out and then the mouth was thoroughly washed with distilled water. The bitterness level of the taste solution on a numerical scale of 0: tasteless, 1: very slight (Threshold), 2.0: moderate, and 3: bitter was then recorded and the next higher concentration was tasted after 10 minutes. The threshold value was selected from standard solutions of Mirtazapine as the lowest concentration that produced the sensation of bitter taste in human volunteers.16–23

In-vitro evaluation of drug-polymer complex

The in-vitro taste was evaluated by determining drug release in simulated salivary fluid (pH 6.8) to predict release in the human saliva. Drug-polymer complex equivalent to 7.5mg of Mirtazapine USP was placed in 10 mL of SSF and shaken for 30 seconds. The above mixture was filtered through Whatman filter paper. The amounts of drug released were analyzed spectrophotometrically at λmax 289 nm and were calculated by developing the calibration curve of mirtazapine USP in phosphate buffer of pH 6.8. If the drug release in SSF is found below the bitterness threshold value, it can be concluded that the bitter taste of the drug can be masked in vivo.20,21 Percent drug release in the simulated gastric fluid was determined by dissolving drug-polymer complex (equivalent to 7.5 mg of Mirtazapine USP) in 100 ml of SGF of pH 1.2 and analyzing the samples using UV–Visible Spectrophotometer at λmax, 316nm. The percentage of drug content was calculated by developing the calibration curve in SGF of pH1.2.13,24,25 An optimum drug-polymer complex that showed sufficient taste masking was selected for further study.

Formulation of oral disintegrating tablets of taste-masked mirtazapine: eudragit EPO granules by disintegrants addition method

The direct compression method was used for the preparation of oral disintegrating tablets after incorporating superdisintegrants such as Sodium starch glycolate, Croscarmellose sodium, and Crospovidone, in different concentrations. Ten formulations of oral disintegrating tablets of taste-masked mirtazapine were prepared. A randomized design was used for the formulation design in which nine of the formulation contained one of the three disintegrants in different concentrations (3%, 4%, and 5%), coded F1 to F9, and one formulation without the addition of disintegrant for the comparative study coded F10 (Table 2). The designed formulations were of batch sizes 100 tablets per batches and each tablet weight was adjusted to 120 mg. The designed formulations were evaluated for different physico-chemical properties. Effects of the addition of different concentrations of superdisintegrants were studied and the best formulation was selected.

F1

F2

F3

F4

F5

F6

F7

F8

F9

F10

DPC (equivalent to MTZ 7.5mg)

22.5

22.5

22.5

22.5

22.5

22.5

22.5

22.5

22.5

22.5

SSG (3,4,5%)

3.6

4.8

6

-

-

-

-

-

-

-

CCS (3,4,5%)

-

-

-

3.6

4.8

6

-

-

-

-

CPV (3,4,5%)

-

-

-

-

-

-

3.6

4.8

6

-

MCCP 200 (qs)

87.3

86.1

84.9

87.3

86.1

84.9

87.3

86.1

84.9

90.9

Magnesium Stearate

1.2

1.2

1.2

1.2

1.2

1.2

1.2

1.2

1.2

1.2

Talc

1.2

1.2

1.2

1.2

1.2

1.2

1.2

1.2

1.2

1.2

Sucralose

0.6

0.6

0.6

0.6

0.6

0.6

0.6

0.6

0.6

0.6

Sweet orange flavor

3.6

3.6

3.6

3.6

3.6

3.6

3.6

3.6

3.6

3.6

Total (mg)

120

120

120

120

120

120

120

120

120

120

Table 2  Formulation Design

Direct compression method

The orally disintegrating tablets of taste-masked mirtazapine containing 22.5mg of DPC equivalent to 7.5mg of mirtazapine USP were prepared by using MCCP 200, as a directly compressible diluent; Sodium starch glycolate, croscarmellose sodium, and Crospovidone were tried as superdisintegrants. The specified quantity of DPC and excipients were weighed precisely. All the excipients were passed through #60 mesh and were mixed with DPC geometrically in the poly-bag for 5 minutes. The blended powders were compressed in 16 stations rotary compression machine (Cadmach) by using a 7mm round biconvex punch with the letter "S" embossed on the upper surface and break-line on the lower surface. The weight of the tablet was maintained to be 120 mg.

Evaluation of blended powders

Blended powders were evaluated for bulk density, tapped density, and carr's compressibility index. All the formulations showed good flow property.

Post compression evaluation of tablet

Compressed tablets from each batch were evaluated for various parameters like hardness, thickness, weight variation, diameter, and friability percent.

Determination of Wetting Time

A piece of tissue paper (12 X 10.75 cm) folded twice was placed in a Petri-dish (internal diameter = 9cm) and 10 ml of water containing Eosin is added to it. A tablet is placed on the surface of the tissue paper and the time required for water to reach the upper surface of the tablet is noted as a wetting time. Three tablets from each formulation were randomly selected and the mean ± standard deviation (sd) for the complete wetting time was measured by three trials for each batch.26–28

Determination of in-vitro disintegration time

The In-vitro disintegration time was determined by using the Disintegration Test Apparatus. The study was carried out in distilled water (900 ml) maintained at temperature 37±20C. One tablet was placed in each of the six tubes of the disintegration apparatus. The time taken for complete disintegration with no palatable mass remaining in the apparatus was measured.

Drug content uniformity

For the preparation of the standard solution, 50 mg of Mirtazapine was weighed accurately and added to 50 ml of 0.1N hydrochloric acid in a volumetric flask. It was then shaken and volume was made up to 100 ml with the medium. 1 ml of the solution was pipette out and diluted to 50 ml with the medium. For the preparation of the sample solution, 5 tablets from each batch were taken in a 100 ml volumetric flask, and volume was made up to the mark with 0.1N hydrochloric acid. It was then stirred well and filtered separately. 10 ml of the filtered solution was then diluted to 50 ml with the same medium. The absorbance of both the sample and standard solution was measured spectrophotometrically at 316 nm using 0.1N HCl as blank. The drug content in percentage was calculated by using the formula

Absorbance of sample Absorbance of standard * Weight of standard 100 * 1 50 * 100 7.5 * 50 10 *% Purity of standard MathType@MTEF@5@5@+= feaagKart1ev2aqatCvAUfeBSjuyZL2yd9gzLbvyNv2CaerbuLwBLn hiov2DGi1BTfMBaeXatLxBI9gBaerbd9wDYLwzYbItLDharqqtubsr 4rNCHbGeaGqk0=Mr0xXdbba91rFfpec8Eeeu0xXdbba9frFj0=OqFf ea0dXdd9vqaq=JfrVkFHe9pgea0dXdar=Jb9hs0dXdbPYxe9vr0=vr 0=vqpWqaaeaabiGaciaacaqabeaadaqaaqaaaOqaaabaaaaaaaaape WaaSaaa8aabaqcLbsapeGaamyqaiaadkgacaWGZbGaam4Baiaadkha caWGIbGaamyyaiaad6gacaWGJbGaamyzaiaacckacaWGVbGaamOzai aacckacaWGZbGaamyyaiaad2gacaWGWbGaamiBaiaadwgaaOWdaeaa jugib8qacaWGbbGaamOyaiaadohacaWGVbGaamOCaiaadkgacaWGHb GaamOBaiaadogacaWGLbGaaiiOaiaad+gacaWGMbGaaiiOaiaadoha caWG0bGaamyyaiaad6gacaWGKbGaamyyaiaadkhacaWGKbaaaiaacQ cakmaalaaapaqaaKqzGeWdbiaadEfacaWGLbGaamyAaiaadEgacaWG ObGaamiDaiaacckacaWGVbGaamOzaiaacckacaWGZbGaamiDaiaadg gacaWGUbGaamizaiaadggacaWGYbGaamizaaGcpaqaaKqzGeWdbiaa igdacaaIWaGaaGimaaaacaGGQaGcdaWcaaWdaeaajugib8qacaaIXa aak8aabaqcLbsapeGaaGynaiaaicdaaaGaaiOkaOWaaSaaa8aabaqc LbsapeGaaGymaiaaicdacaaIWaaak8aabaqcLbsapeGaaG4naiaac6 cacaaI1aaaaiaacQcakmaalaaapaqaaKqzGeWdbiaaiwdacaaIWaaa k8aabaqcLbsapeGaaGymaiaaicdaaaGaaiOkaiaacwcacaGGGcGaam iuaiaadwhacaWGYbGaamyAaiaadshacaWG5bGaaiiOaiaad+gacaWG MbGaaiiOaiaadohacaWG0bGaamyyaiaad6gacaWGKbGaamyyaiaadk hacaWGKbaaaa@99C8@ (1)

An acceptance criterion is 85 to 115 % of the stated amount of Mirtazapine. This procedure was followed for 5 tablets from each formulation. The mean and standard deviation values were calculated.

In-vitro dissolution study

In-vitro dissolution studies of compressed tablets were conducted using USP type II apparatus (paddle). 900 ml of 0.1N HCl was used as the dissolution medium and paddle rpm was maintained at 50. Aliquot of dissolution medium equal to 10 ml was withdrawn at sampling time 5, 10, and 15 minutes and the dissolution media volume were complemented with a fresh and equal volume of blank media. The aliquot was filtered through Whatman filter paper and the amount of Mirtazapine released from the tablet was determined spectrophotometrically at a wavelength of 316 nm. 

Results and discussions

Determination of threshold bitterness concentration of mirtazapine USP

During the determination of bitterness threshold concentration, all the volunteers felt the sensation of bitterness, within 30 seconds at the concentration of 100µg/ml. The scoring obtained from the volunteers is summarized in Table 3. From the scoring obtained it was observed that the concentration of 50µg/ml of mirtazapine USP solution have no detectable bitter taste whereas, concentration100µg/ml have a slightly bitter taste that was detectable. The bitterness increased with the increasing concentration of mirtazapine solution. Therefore, it was concluded that the threshold concentration of mirtazapine USP, that trigger the sensation of bitter taste was 100µg/ml. For the drug to be taste-masked, the release of the drug in simulated salivary fluid (pH 6.8) should be less than the bitterness threshold value. 

Volunteer


 Conc.

50µg/ml

100µg/ml

150µgml

200µg/ml

250µg/ml

A

0

1

2

2

3

B

0

1

1

2

2

C

0

1

2

2

3

D

0

1

2

3

3

E

0

1

2

2

3

F

0

1

1

2

3

Table 3 Determination of bitterness threshold value (Scores obtained from volunteers)
[0: tasteless, 1: very slight (Threshold), 2: moderate, 3: bitter]

Calibration curve

Determination of calibration curve in phosphate buffer of pH 6.8

From the scanning of mirtazapine in UV/Vis spectrophotometer, λmax of mirtazapine was found at 289 nm in phosphate buffer pH 6.8. So, the wavelength of 289nm was used for further observations. Dilute solution of (7.53μg/ml, 15.06μg/ml, 22.59μg/ml, 30.12μg/ml, and 37.65 μg/ml) mirtazapine were prepared in phosphate buffer of pH 6.8 for mirtazapine USP reference standard (RS). The absorbance of the individual solution was observed at 289 nm in a UV-visible spectrophotometer (Shimadzu 1800). A calibration curve was prepared by plotting absorbance versus concentration of mirtazapine. The linear regression equation obtained for the mirtazapine calibration curve in phosphate buffer of pH 6.8 at 289nm was [0.025* concentration in μg/ml] - 0.008 with the regression coefficient of 0.998 which suggested a good correlation among the measured values. The absorbances obtained from these sample solutions are given in Table 4. The plotted calibration curve for mirtazapine RS in phosphate buffer of pH 6.8 is given in Figure 3.1.

Figure 3.1 Calibration curve of Mirtazapine USP RS in Phosphate buffer (pH 6.8).

S.N.

Concentration (μg/ml)

Absorbance at 289nm

1

7.53

0.171

2

15.06

0.386

3

22.59

0.579

4

30.12

0.753

5

37.65

0.957

Table 4 Absorbance for various concentration of mirtazapine solution in phosphate buffer of pH 6.8

Determination of calibration curve in 0.1N HCl (pH 1.2)      

From the scanning of mirtazapine in UV/Vis spectrophotometer, λmax of mirtazapine was found at 316nm in 0.1N HCl pH 1.2. So, the wavelength of 316nm was used for further observations. Dilute solutions of (4.032, 8.064, 12.096, 16.128, and 20.16μg/ml) mirtazapine were prepared in 0.1N HCl of pH 1.2 for mirtazapine USP RS. The absorbance of the individual solution was observed at 316 nm in a UV-visible spectrophotometer (Shimadzu 1800). A calibration curve was prepared by plotting absorbance versus concentration of mirtazapine.

 The linear regression equation obtained for the mirtazapine calibration curve in 0.1N HCl at 316nm was [0.039 X concentration in μg/ml] - 0.02 with the regression coefficient of 0.999 which suggested linear correlation among the measured values. The absorbance’s obtained from these sample solutions are given in Table 5. The plotted calibration curve for mirtazapine RS in 0.1N HCl is given in Figure 3.2.

Figure 3.2 Calibration curve of Mirtazapine USP RS in 0.1N HCl (pH 1.2).

S.N.

Concentration (μg/ml)

Absorbance at 316nm

1

4.032

0.145

2

8.064

0.297

3

12.096

0.45

4

16.128

0.621

5

20.16

0.784

Table 5 Absorbance for various concentration of mirtazapine solution in 0.1N HCl

In-vitro evaluation of taste-masked drug-polymer complex

In this research taste-masked granules of mirtazapine were prepared using Eudragit EPO polymer by mass extrusion technique. Different ratios of the drug-polymer complex were prepared and tested for taste masking efficacy. For the evaluation of the taste masking effectiveness of the different drug-polymer ratio, it was subjected to a simple In-vitro release study in phosphate buffer of pH 6.8. The result of the percentage drug release of drug solution in four different drugs: polymer complex of different particle sizes is summarized in Table 6. From the result, it was found that the taste of the drugs has been masked by the use of Eudragit EPO polymer by mass extrusion technique. It was found that with the increasing concentration of the Eudragit EPO the percentage of drug release in SSF decreased. The concentration of the drug release in granules with the drug: polymer ratio 2:1 and 1:1 was found to be higher than that of the bitterness threshold value which signified the failure to mask the bitter taste effectively. Also, it was observed that the particle size of the granules affected the drug release in phosphate buffer of pH 6.8. In the case of granules with smaller particle size (i.e particles <250 µm), the percentage drug release in phosphate buffer was found to be higher compared to that of the larger particle size (250-590µm). This is due to the larger surface area for the dissolution of the drug-polymer complex. The decrease in particle size increases the relative surface area. With the increase in the relative surface area, the possibility of the un-entrapped drug on the surface of the complex will also increase. Besides the increased surfaced area, dissolution of drugs on the surface of the particle might be the reason for the increased drug release percentage in the case of the smaller particles drug-polymer complex. However, the percentage of drug release in simulated gastric fluid (0.1N HCl pH 1.2) was found to be independent of the particle size. The polymer, Eudragit EPO used for the taste masking is soluble in lower pH values (at gastric pH). The drug-polymer complex completely dissolved in lower pH values. 

S.N.

DPC

Particle size

%Drug release in SSF (pH 6.8)

% Drug release in SGF (pH 1.2)

1

2:01

<250 µm

18.79±0.36

99.67±0.23

2

2:01

590-250 µm

14.82±0.64

97.98±0.30

3

1:01

<250 µm

15.87±0.11

104.44±0.30

4

1:01

590-250 µm

4.78±0.01

101.47±0.26

5

1:02

<250 µm

7.92±0.02

103.59±0.17

6

1:02

590-250 µm

4.21±0.10

97.66±0.53

7

1:03

<250 µm

6.63±0.41

103.73±0.41

8

1:03

590-250 µm

3.96±0.03

99.77±0.4

Table 6 Percent Drug release in SSF and SGF from DPC

From the result, it was found that the amount of Mirtazapine dissolved from the drug-polymer complex within 30 seconds decreased with increased concentration of Eudragit EPO. The result of drug concentration in SSF is summarized in Figure 3.3. The drug: polymer complex will be considered optimum and will be used for taste masking if it yields a drug release value below the threshold concentration (100µg/ml). It was observed that the mirtazapine complexed with Eudragit EPO in the proportion of 1:2 showed drug release values below 100µg/ml for both particle size ranges. The observed drug release, in phosphate buffer pH 6.8 from the drug: polymer in the ratio 1:2 at the end of 30 seconds is 59.37±0.16 µg/ml for particle size <250µm and 31.10±0.08 µg/ml for particle range 590-250µm. The FTIR spectra of the drug, Eudragit EPO, physical mixture, and the taste-masked granules in the ratio 1:2 were studied. There were no major changes in the FTIR spectra of the taste-masked granules indicating the absence of any chemical reaction in between mirtazapine and the polymer. Thus it was concluded that the drug: Eudragit EPO in proportion 1:2 was optimum for masking the bitter taste of mirtazapine and this drug-polymer ratio was selected for further study.

Figure 3.3 Drug release in SSF (pH 6.8).

Micrometric properties of lubricated granules

The blended powders were evaluated for bulk density, tapped density, and carr's compressibility index, and Hausner's ratio. The bulk density (Db) was found to be in the range from 0.412±0.04 (F1) to 0.497±0.05 (F7). The tapped density (Dt) was found to be in the range 0.492±0.02 (F1) to 0.593±0.06 (F10). From the bulk and tapped density, Carr's compressibility index (I) was found in the range from 14.26±1.27 (F9) to 18.46±2.01 (F3). From this data, it was found that all the formulations (except formulation F3) showed good flow property however formulation F3 showed fairly passable flow ability. This fact was also supported by the Hausner's ratio. The Hausner's ratio was found to be in the range from 1.16±0.02 (F9) to 1.22±0.00 (F3). The Hausner's ratio of all the formulation was found below value 1.25 (Table 7). 

Batch

Bulk Density (g/cc)

Tapped Density (g/cc) Density

Carr's Compressibility Index (%)o Index

Hausner's Ratio

F1

0.412±0.04

0.492±0.02

16.26±1.43

1.19±0.02

F2

0.425±0.08

0.504±0.03

15.67±1.03

1.18±0.01

F3

0.468±0.02

0.574±0.03

18.46±2.01

1.22±0.00

F4

0.472±0.06

0.574±0.01

17.77±1.54

1.21±0.01

F5

0.458±0.05

0.548±0.03

16.42±1.86

1.19±0.02

F6

0.478±0.04

0.572±0.00

16.43±1.14

1.19±0.04

F7

0.497±0.05

0.593±0.04

16.18±1.46

1.19±0.00

F8

0.453±0.00

0.538±0.01

15.79±1.38

1.18±0.03

F9

0.487±0.03

0.568±0.03

14.26±1.27

1.16±0.02

F10

0.496±0.06

0.593±0.06

16.35±1.34

1.19±0.02

Table 7 Micrometric properties of lubricated granules

Evaluation of physicochemical properties of formulated taste-masked mirtazapine orodispersible tablets

Each formulated tablets was characterized by Physico-chemical properties- appearance, weight variation, hardness, thickness, friability, wetting time, disintegration time, percentage drug release, and drug content (assay). The intended weight of the tablet was 120mg. The tablets obtained are of 7mm round, biconvex, embossed with letter “S” on the upper surface and break-line on the lower surface. The tablet weight of the formulated batches was found to be in the range of 117 mg to 123mg. The maximum deviation obtained was ±2.5%. The average tablet hardness was in the range of 3.8±0.27 to 4±0.00 Kg. The average thickness was found in the range of 3.290±0.012 to 3.310±0.023 mm. The average diameter was in the range of 7.00±0.00 to 7.01±0.02 mm (Table 8). The minimum average wetting time was found with the formulation F9 and the value obtained was 18.13±0.24 seconds. The friability was found in the range of 0 - 0.13% which was found to be well within the approved range (<1%). This showed the tablet's ability to withstand abrasion in handling. The drug content uniformity was found to be between 97.94±0.17 to 99.70±0.47 percent. 

Batch

Diameter (n=5) mm

Thickness (n=5) mm

Hardness (n=5) Kg

% Friability

F1

7.00±0.00

3.30±0.02

3.80±0.27

0.04

F2

7.01±0.00

3.29±0.01

3.90±0.22

0.07

F3

7.00±0.00

3.31±0.01

4.00±0.00

0

F4

7.00±0.00

3.31±0.02

3.80±0.27

0.08

F5

7.01±0.01

3.30±0.01

3.70±0.27

0.1

F6

7.01±0.01

3.30±0.02

4.00±0.00

0.08

F7

7.00±0.00

3.31±0.01

4.00±0.00

0.06

F8

7.01±0.01

3.30±0.02

3.90±0.22

0.13

F9

7.01±0.00

3.31±0.01

4.00±0.00

0.05

F10

7.00±0.00

3.30±0.02

4.00±0.00

0.07

Table 8 Evaluation of Physicochemical Characteristics of Formulated Batches

Disintegration time           

The disintegration time is one of the much important factors in the formulation of an Orodispersible tablet. The present study aimed to keep the disintegration time less than 1 minute. Ten batches were formulated using different super disintegrates in three levels of concentrations with one controlled formulation without the addition of super disintegrants. The disintegration time was found to be in the range of 13.6±2.70 seconds to 117±5.7 seconds. Graphical representation of the disintegration time of formulated batches of different super disintegrants is as shown in Figure 3.4(A–C). The graphical representation of the disintegration time of formulated batches using the super disintegrants showed that the formulation containing crospovidone 5% (F9) showed the least disintegration time (13.6±2.7seconds) among all the formulations. The control formulation without super disintegrants showed the maximum disintegration time (117±5.7seconds). Disintegration time decreased with increasing concentration of super disintegrants.

Wetting time

A

B

C

Figure 3.4 Comparative study of disintegration time of formulated batches (a) with SSG in different concentrations; (b) with CCS in different concentrations (c) with CPV in different concentrations.

Wetting time is one of the most important factors in the formulation of an orodispersible tablet. It corresponds to the time taken for the tablet to disintegrate while keeping motionless on the tongue. The minimum wetting time was found to be 18.13±0.24 seconds with the formulation containing 5% of crospovidone (F9). The maximum wetting time was found to be 126.04±1.42 seconds with the controlled formulation without the addition of super disintegrants (Table 9). The graphical representation of the wetting time of all batches formulated with the super disintegrants and without the addition of super disintegrants is shown in Figure 3.5(A–C).

A

B

C

Figure 3.5 Comparative study of wetting time of formulated batches (A) with SSG in different concentrations; (B) with CCS in different concentrations; (C) with CPV in different concentrations.

Batches

Disintegration time (sec) (n=6)

Wetting time (sec) (n=3)

Cumulative % drug release (n=6)

Drug content uniformity (n=5)

F1

46.6±2.70

77.47±1.76

94.63±1.26

98.95±0.15

F2

27.4±1.81

40.32±1.54

99.39±0.90

98.06±0.17

F3

18.2±2.05

21.61±1.689

97.56±1.14

98.07±0.23

F4

39.8±3.70

44.45±0.67

92.49±1.78

97.94±0.17

F5

23.8±1.09

35.52±3.06

93.95±3.21

99.20±0.42

F6

18±1.87

28.43±1.04

96.84±2.31

99.70±0.47

F7

27.8±3.34

39.25±1.48

97.68±2.18

98.98±0.20

F8

19±2

26.32±0.561

96.88±1.63

98.99±0.18

F9

13.6±2.70

18.13±0.24

101.32±1.54

98.05±0.35

F10

117±5.7

126.04±1.42

96.24±2.45

98.67±0.31

Table 9 Analytical data of Formulated Batches

Effect of super disintegrants in disintegration time and wetting time

Disintegration time, wetting time, and dissolution profile are the most important parameters that needed to be optimized in the development of an oral-dispersible tablet. In the present study, 9 different batches of tablets containing SSG, CCS, and CPV in three different concentrations (3, 4, and 5%) individually and a controlled formulation without the addition of superdisintegrants (F10) were prepared by direct compression method. Tablets of all batches disintegrated and wetted within a matter of seconds (except the controlled formulation). The disintegration and wetting time were observed to follow the order CPV<CCS<SSG. The minimum disintegration time was found to be 13.6±2.7 seconds and the minimum wetting time was found to be 18.13±0.24 seconds with the formulation containing CPV in 5%. In the case of SSG, the major mechanism of disintegration is rapid and extensive swelling by minimal gelling. It was observed that there was a trend of lower wetting and disintegration time using higher levels of these excipients despite similar mechanical strengths. These indicated that a higher amount of this excipient is necessary for effective disintegration. Croscarmellose sodium functions by a combination of mechanisms to cause rapid tablet breakdown. It works by a combination of swelling, wicking, and deformation. However, water uptake (wicking) and swelling are the two most important mechanisms of disintegrant action of croscarmellose sodium. It has water uptake and water wicking capabilities provided by its fibrous structure. Due to the water wicking capabilities of CCS, its disintegration time was found to be smaller than that of the SSG. The increasing concentration of these superdisintegrants decreases the wetting time as well as the disintegration time.

Compared to SSG and CCS, CPV with the same concentration showed a better result in terms of disintegration time and wetting time that is the disintegration and wetting time was found to be lower. This might be due to the highly hydrophilic character, rapid moisture sorption, and good swell ability of this super disintegrant. It has very high capillary activity and hydration capacity due to its reasonably large surface area. The water uptake causes an instant expansion of the polymer due to stretching out of the folded molecular chains lying between the crosslinks. The increase in volume creates an internal pressure exceeding that of the tablet strength and results in faster disintegration of the tablet body. It allows faster wetting of the tablet, creating a super disintegrant network around the particles and it might also prevent the strong cohesive bond between the filled particles due to high specific surface area. Therefore, the wetted tablet disintegrated fast irrespective of the actual hardness value. The minimal disintegration time and wetting time were found to be 13.6±2.70 seconds (n=3) and 18.13±0.24 seconds (n=3) respectively with the formulation containing crospovidone in 5% (Table 9). 

In-vitro dissolution studies

In-vitro dissolution tests were conducted using USP apparatus II (paddle) at 37±0.50C at a rotational speed of 50 RPM in 900 ml of 0.1N Hydrochloric acid (pH 1.2) medium for all formulations. A 10 ml of sample was taken from the medium after 5, 10, and 15 minutes and the percent drug release was calculated by measuring absorbance spectrophotometrically at 316 nm. The cumulative percent drug release in all the formulations after 15 minutes showed satisfactory results. It was found in the range of 92.49±1.78 % to 101.32±1.54 %. The result showed that there is no significant difference in cumulative percent drug release due to both the types and concentration of superdisintegrants used (P>0.05). A comparative dissolution profile of different batches is shown in Figure 3.6(A)–3.6(C).

A

B

C

Figure 3.6 Comparative dissolution profile of formulation containing (a) SSG; (b) CCS; (c) CPV (3, 4, and 5%).

Selection and characterization of the best formulation

Tablets of batch F9 (CPV 5%) depicted the best physical properties accompanied by the fastest disintegration time (13.6±2.70 seconds) and wetting time (18.13±0.24 seconds). The dissolution study of this batch revealed a rapid release of the drug (94.02% of the drug) within 5 minutes. The tablets were evaluated for the percent drug release in simulated salivary fluid (phosphate buffer of pH 6.8). The dissolution profile of this batch in phosphate buffer of pH 6.8 (Figure 3.7) showed that at the end of the 5 minutes less than 10% of the drug was released. This showed that the drug release rate from the ODT was similar to that of the taste-masked granules. The % drug release in phosphate buffer for 5 minutes reveals and is reasonable to conclude that direct compression did not affect those attributes of the taste-masked granules responsible for the release of the drug. 

Figure 3.7 In-vitro drug release profile of batch F9 in phosphate buffer of pH 6.8.

Drug-excipient compatibility testing of selected formulation

The compatibility study of active with inactive ingredients was conducted in a 1:1 ratio for the selected formulation. Isothermal stress testing was carried out for the assessment of the possible incompatibilities.

The binary samples prepared were analyzed using FTIR for any chemical changes. FTIR peaks of controlled and test samples are presented in Figure 3.8(A)–3.8(I). with the major functional group's absorption frequencies for API and excipients. IR spectroscopy of mirtazapine Figure 3.8(A) shows the C-H stretching vibration band of a methyl group at 2931 cm-1. Methyl groups attached to an N2 atom give rise to a band at 2854 cm-1. Bands for the C-C stretching of the phenyl group appeared at 1585 cm-1 and 1444 cm-1. The primary aromatic amines with N directly on the ring give bands at 1336-1200 cm-1. The benzene ring C-H appears in the range of 1359-1074 cm-1 and 788-636 cm-1 for the in-plane and out of plane bending vibrations respectively.

A

B

C

D

E

F

G

H

I

Figure 3.8 FTIR Spectra of (a) Mirtazapine USP; (b) Test and Control sample of Mirtazapine-Eudragit EPO granules; (c) test and control sample containing Crospovidone; (d) Test and Control sample containing Physically mixed Eudragit EPO; (e) test and control sample Containing Talc; (f) test and control sample containing Orange Flavor; (g) test and control sample containing MCCP 200; (h) test and control sample containing Magnesium stearate; (i) test and control sample containing sucralose.

Conclusion

From the present study, it can be concluded that the unpalatable taste of mirtazapine can be masked using Eudragit EPO polymer by mass extrusion technique. The drug-polymer ratio 1:2 is optimum for masking the bitter taste of mirtazapine. The result of the present study showed that wetting time and In-vitro disintegration time followed the order SSG>CCS>CPV. Among all the formulations, formulation F9 containing crospovidone in 5 % of total tablet weight showed the least disintegration time of 13.6±2.70 seconds, wetting time of 18.13±0.24 seconds, and maximum cumulative percentage drug release of 101.32±1.54 % in SGF. The percentage drug release of this formulation in SSF was found below 10% even at the end of 5 minutes. Thus, it can be concluded that the unpalatable taste of mirtazapine can be masked by mass extrusion technique using Eudragit EPO, and the addition of superdisintegrants is a promising approach to prepare orally disintegrating tablets of Mirtazapine.

Ethics approval and consent to participate

Informed consent from the volunteers was obtained after informing them precisely about the purpose of the study. Verbal consent was obtained as the volunteers were used for the taste recognition purpose only and the research involved no more than the minimal risk to the subject.

Consent for publication

Not applicable.

Acknowledgments

The authors are grateful to Simca Laboratories Pvt. Ltd, Byasi, Bhaktapur, Nepal for their kindness to provide space, materials, and instruments to conduct this study. The authors also like to acknowledge Evonik Industries Pvt. Ltd, Mumbai for providing the gift sample of Eudragit EPO.

Authors' contributions

P.S. carried out the experiment. P.S. wrote the manuscript with support from R.S. and S.S. The project was supervised by R.S. and S.S.

Competing interests

The authors declare that they have no known competing financial interests or personal relationships that could have appeared to influence the work reported in this paper.

References

  1. Patel A, Amrit S. Formulation taste masking-from bitter to better: the latest taste masking techniques can yield more palatable drugs. Pharm Formul Qual. 2009. p. e2.
  2. Sohi H, Sultana Y, Khar RK. Taste masking technologies in oral pharmaceuticals: recent developments and approaches. Drug development and industrial pharmacy. 2004;30(5):429–448.
  3. Sharma S, Lewis S. Taste masking technologies: a review. International journal of pharmacy and pharmaceutical sciences. 2010;2(2):6–13.
  4. Gosai AR, Patil SB, Sawant KK. Formulation and evaluation of orodispersible tablets of ondansetron hydrochloride by direct compression using superdisintegrants. Int J Pharm Sci Nanotechnol. 2008;26(1):106–111.
  5. Pandey P, Dahiya M. Oral disintegrating tablets: a review. International Journal of Pharma Research & Review. 2016;5(1):50–62.
  6. Konapure SA, Chaudhari PS, Oswal RJ, et al. Mouth dissolving tablets” an innovative technology. International Journal of applied biology and Pharmaceutical Technology. 2011;2(1):496–503.
  7. Dhakane K, Rajebahadur M, Gorde P. A novel approach for taste masking techniques and evaluation in pharmaceutical: An updated review. Asian J Bio Pharm Sci. 2011;1:18–25.
  8. Timmer CJ, Sitsen JA, Delbressine LP. Clinical pharmacokinetics of mirtazapine. Clinical pharmacokinetics. 2000;38(6):461–474.
  9. Drugs.com. Mirtazapine. 2018.
  10. Patra CN, Priya R, Swain S, et al. Pharmaceutical significance of Eudragit: A review. Future Journal of Pharmaceutical Sciences. 2017;3(1):33–45.
  11. Moustafine R, Bukhovets A, Sitenkov A, et al. Eudragit E PO as a complementary material for designing oral drug delivery systems with controlled release properties: comparative evaluation of new interpolyelectrolyte complexes with countercharged eudragit L100 copolymers. Molecular pharmaceutics. 2013;10(7):2630–641.
  12. Drašković M, Medarević D, Aleksić I, et al. In vitro and in vivo investigation of taste-masking effectiveness of Eudragit E PO as drug particle coating agent in orally disintegrating tablets. Drug development and industrial pharmacy. 2017;43(5):723–731.
  13. Veeraveni R, Kamaeswara Rao C, Shreedhar Nampalli GKY, et al. Design and evaluation of orodispersible taste masked valdecoxib tablets. Journal of Chemical and Pharmaceutical Research. 2011;3(4):882–892.
  14. Patil MG, Kakade SM, Pathade SG. Formulation and evaluation of orally disintegrating tablet containing tramadol hydrochloride by mass extrusion technique. Journal of Applied Pharmaceutical Science. 2011;1(6):178.
  15. Haware RV, Chaudhari P, Parakh S, et al. Development of a melting tablet containing promethazine HCl against motion sickness. Aaps Pharmscitech. 2008;9(3):1006–1015.
  16. Kulkarni AP, Khedkar AB, Lahotib SR, et al. Development of oral disintegrating tablet of rizatriptan benzoate with inhibited bitter taste. Am J Sci Res. 2012;7(3):47–57.
  17. Randale SA, Dabhi CS, Tekade AR, et al. Rapidly disintegrating tablets containing taste masked metoclopramide hydrochloride prepared by extrusion–precipitation method. Chemical and Pharmaceutical Bulletin. 2010;58(4):443–448.
  18. Hu X, Li Y, Zhang E, et al. Preparation and evaluation of orally disintegrating tablets containing taste-masked microcapsules of berberine hydrochloride. Aaps Pharmscitech. 2013;14(1):29–37.
  19. Ratnaparkhi Mukesh P, Jagadale Sachin K, Patil Pradeep S, et al. Formulation Development and Evaluation of taste masked orally disintegrating tablets of Perindopril Erbumine by direct Compression method. Int J Drug Dev Res. 2012;4:374–394.
  20. Kulkarni L, Metkari V, Bamane G, et al. Recent trends on achieving taste masking of bitter drug. Current Pharma Research. 2014;4(3):1246.
  21. Tan Q, Zhang L, Liu G, et al. Novel taste-masked orally disintegrating tablets for a highly soluble drug with an extremely bitter taste: design rationale and evaluation. Drug development and industrial pharmacy. 2013;39(9):1364–1371.
  22. Khan S, Kataria P, Nakhat P, et al. Taste masking of ondansetron hydrochloride by polymer carrier system and formulation of rapid-disintegrating tablets. AAPS pharmscitech. 2007;8(2):E127–E33.
  23. Zade PS, Kawtikwar PS, Sakarkar DM. Formulation, evaluation and optimization of fast dissolving tablet containing tizanidine hydrochloride. Int J Pharm Tech Res. 2009;1(1):34–42.
  24. Alghabban FM, AL Ani IH, Hassan SF. Taste masking of prifinium bromide in orodispersible tablets. Int J Pharm Pharm Sci. 2014;1:315–319.
  25. Jadon RS, Nayak S, Amlan S, et al. Taste masking of Lornoxicam by polymer carrier system and formulation of oral disintegrating tablets. International Journal of Drug Delivery. 2009;1(1):1.
  26. Rajitha K, Shravan KY, Adukondalu D, et al. Formulation and evaluation of orally disintegrating tablets of buspirone. Int J Pharm Sci Nanotechnol. 2009;1(4):327–334.
  27. Hiremath S, Makanapur C. Formulation and evaluation of orodispersible tablets of a model anti-hypertensive drug. Int J Pharm Pharm Sci. 2017;9:34–38.
  28. Chandira RM, Venkataeswarlu B, Kumudhavalli M, et al. Formulation and evaluation of mouth dissolving tablets of the etoricoxib. Pak J Pharm Sci. 2010;23(2):178–181.
Creative Commons Attribution License

©2021 Prabhat, et al. This is an open access article distributed under the terms of the, which permits unrestricted use, distribution, and build upon your work non-commercially.