Submit manuscript...
Journal of
eISSN: 2473-0831

Analytical & Pharmaceutical Research

Research Article Volume 10 Issue 1

Molecular modelling as a tool for designing dipeptidylpeptidase-4 inhibitors

Ahmed Mehanna, Moataz Hendawy

Department of Pharmaceutical Sciences, School of Pharmacy, MCPHS University, USA

Correspondence: Ahmed Mehanna, Professor of Medicinal Chemistry Department of Pharmaceutical Sciences, School of Pharmacy, MCPHS University, 179 Longwood Avenue, Boston MA 02215, USA

Received: February 08, 2021 | Published: February 22, 2021

Citation: Mehanna A, Hendawy M. Molecular modelling as a tool for designing dipeptidylpeptidase-4 inhibitors. J Anal Pharm Res. 2021;10(1):26-39. DOI: 10.15406/japlr.2021.10.00363

Download PDF

Abstract

Dipeptidyl peptidase-4 (DPP-4) is a relatively new target for the treatment of type-2 diabetes mellitus (T2DM). Most of the inhibitors designed to date have not relied on modelling studies to guide their lead optimization efforts. In our previous work, we designed compounds that retain the (R)-3-amino-4-(2,4,5-trifluorophenyl)butanamido S1-pocket binding moiety of sitagliptin, but have S2-pocket binding moieties that are more hydrophobic than the triazolopiperazine. In an effort to understand how Vina docking algorithm can be integrated in discovering new inhibitors of DPP-4; we designed, synthesized and evaluated new compounds that vary in the hydrophobic properties of the S2-pocket binding groups. Our results indicate that the minimum binding energy predicted from the docking studies was not reliable in designing more active candidates. However, visualizing the binding modes of each compound and modifying it to target neighboring key residues in the active site is a more effective implementation of the docking in the design of new compounds. Compounds in this study displayed IC50 values ranging from 0.37 µM to 11 µM. 

Keywords:DPP-4inhibitors vina, diabetes, sitagliptin, docking

Introduction

Dipeptidyl peptidase-IV enzyme is a relatively new target for type 2 diabetes. Inhibition of DPP-4 results in the prolongation of the 2 minutes half-life of Glucagon-like peptide-1 (GLP-1), an insulinotropic peptide which is released by the L-cells of the intestine in response to food ingestion.1–3 Interestingly; the insulinotropic effect of GLP-1is glucose-dependent. This means that the insulinotropic effect of GLP-1 in normoglycemic patients would not lead to hypoglycemia as seen with other classes of antidiabetics.4,5 Sitagliptin is the first FDA approved inhibitor of this enzyme to be introduced to the market for clinical use.6 Other inhibitors followed sitagliptin to the market in USA and Europe (Figure 1). Sitagliptin is a triazolopiperazine derivative of a β-homophenylalanine series that was discovered by Merck. It is a potent inhibitor of DPP-4 with an IC50 value of 18 nM.6 The crystal structure of DPP-4 with sitagliptin (PDB: 1x70) revealed that the trifluorophenyl moiety of sitagliptin was shown to occupy the S1-pocket while the triazolopiperazine moiety fits into S2-pocket interacting with Phe357. During the development of sitagliptin, the primary focus was directed towards finding the best S1-pocket binding group. Their results indicated that only small substituents on the phenyl ring were tolerated, and that the fluorine substituted ring showed superior activity. The trisubstituted analogs at positions 2,4 and 5, showed the highest activity of all compounds.6,7 In this study, we will be retaining the S1-pocket moiety while substituting the trifluoropiperazine with other substituents with different hydrophobic properties, using the molecular docking as a guide. 

Figure 1 Available DPP-4 inhibitors.

Rationale

The current research aims to use molecular modelling as a guide to design new inhibitors for DPP-4 enzyme. We compared the predicted binding energy values from the docking studies and examined the predicted binding poses of the proposed molecules in an effort to understand how the molecular docking could be efficiently used to design new inhibitors. The molecules proposed in this study share the (R)-3-amino-4-(2,4,5 trifluorophenyl)butanamido S1 pocket binding moiety of sitagliptin but possess different S2-pocket binding moieties. Hence, the triazolopiperazine ring system of sitagliptin was replaced in those molecules with functional groups that have different hydrophobic properties. This is done in order to probe the structural requirements for ultimate binding based on the molecular docking results and the enzymatic assay.

Results and discussion 

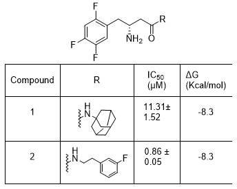
In the current study we were initially interested in designing molecules with more hydrophobic S2-pocket binding moieties to accommodate the mostly hydrophobic nature of the pocket. The design scheme is summarized in Figure 2. Our design started with questioning the effect of making a hybrid molecule between sitagliptin and vildagliptin, compound (1). In this compound, we were interested in retaining the (R)-3-amino-4-(2,4,5-trifluorophenyl)butanoyl moiety which was optimal for binding to the S1-pocket and replacing the triazolopiperazine with the adamantyl moiety of vildagliptin. We were interested in seeing whether this molecule will fit in to the active site in the same manner that vildagliptin does. Upon examining the docking results of compound (1) (Figure 3), the docking pose of compound (1) revealed that the adamantyl moiety emerges out of the S2-pocket to interact with Tyr547 in the S1-pocket. On the contrary, vildagliptin crystal structure (PDB:6b1e) Table 1 reveals that the adamantyl moiety embedded in the pocket with the hydroxy group on the ring interacting with Ser209 via hydrogen bonding. One possible explanation for the out-of-pocket pose of compound (1) could be the loss of the potential of hydrogen bonding with Ser209. The biochemical assay results (Table 2) showed a dramatic loss of the activity (IC50=11.31±1.52 µM) which could be reflected by loss of all potential interactions with the S2-pocket. This finding suggested that it is important to examine the docking pose of the proposed compounds and to rationalize their activity based on the interactions with the active site residues.

Figure 2 Docking results of compound (1) and vildagliptin.

Figure 3 Docking results of compounds (2) and (3).

Table 1 Test compounds

Table 2 IC50 data of compounds (1) and (2)

Earlier findings in our lab showed that sub-micromolar activities was attained by using the benzyl and phenylethyl S2-pocket binding moieties seen in compounds (2) and (3), respectively.8 Furthermore, the meta-fluoro substituent on compound (3) was shown to interact with Arg358 via ion-dipole interaction. However, the docking showed that the para position of the benzene ring is closer to Arg358 which could potentially lead to stronger interactions. As a result, we were interested in designing an entire series based on para-substituted benzyl compounds in hopes of maximizing the interactions with the S2-pocket. We have included compounds (2) and (3) in this study to compare the results with our previous findings. Docking studies of compounds (2) and (3) showed that they have a superimposable pose to sitagliptin with the trifluorophenyl moiety embedded in the S1-pocket and their benzene rings interacting with Phe357 of the S2-pocket as expected (Figure 3). The biochemical assay of compound (2) revealed an IC50 value of 0.86±0.05 µM which was similar to the 0.88±0.07 µM that was reported in our previous study. Moreover, compound (3) showed IC50 value of 1.11±0.08 µM which was similar to our previously reported value (IC50 =1.35±0.19 µM) Table 3.8

Table 3 Summary of the results of compounds (3-10)

The next series of compounds is based on compound (3) which is the benzyl derivative. The compounds were chosen to have different substituents on the para position of the benzyl group. Thus compound (4) was designed to have cyano group to interact with Arg358 via ion-dipole interaction, while compound (5),(6), (7) and (8) was chosen to have fluoro-, chloro, bromo, trifluoromethyl groups respectively. They are designed to probe the effect of electronegativity on the strength of interaction with Arg358 and on the activity. Compound (9) was designed to have a para-carboxylic acid functionality which is ionizable and could potentially engage in a salt bridge which is a stronger interaction with Arg358 when compared to the other substituents in this series. One the other hand compound (10) which is the methyl ester of Compound (9) was chosen to investigate whether the loss of the salt bridge with Arg358 would affect the activity. In the docking studies Figure ( 4–6), compounds (4-10) showed superimposable- poses with the benzyl group interacting with Phe357 and the para substituents oriented close to Arg358. From the docking studies, we can see that halogens that are directly substituted on the ring were not close enough to Arg358 to be able to interact with it. Only compounds (4), (8), (9) and (10) with cyano, trifluoromethyl, carboxyl, and carboxymethyl ester substituents were close enough to interact with Arg358. While upon examining this group of compounds in the docking studies, one would expect compound (9) to be the most active of all, due to the stronger ionic interaction with Arg358; however, surprisingly, compound (10) showed the highest activity of all (Figure 6).

Figure 4 Docking results of compounds (4), (5) and (6).

Figure 5 Docking results of compounds (7) and (8).

Figure 6 Docking results of compounds (9) and (10).

If the interaction with Arg358 was the most important variable for activity, we should expect higher activity with compounds (4), (8), (9) and (10). But this was not the case at all. In fact, while the para-trifluoromethyl group of compounds (8) was able to interact with Arg358, but this compound did not show any significant difference in its activity from compound (3), the parent unsubstituted compound. But on closer examination of the pose of compound (8), it is noticeable that the β-amino group lost its interaction with Glu205 and Glu206. The halogen-substituted compounds (5), (6) and (7) retained the salt bridge with Glu205 and Glu206, but were not able to interact with Arg358, and thus showed comparable activity to the parent unsubstituted compound. Compounds (4) and (9) and (10) on the other hand was able to retain both interactions, the salt bridge via their β-amino groups as well as the interaction with Arg358 via the para-substituents on the benzyl group. Those were the compounds that displayed the lowest IC50 in this series. 

The most intriguing question is why compound (9) did not show a significant increase in activity when compared to (4) if it is truly interacting with Arg358 via salt bridge rather than a hydrogen bond. Perhaps in order for this compound to enter the active site of the enzyme, the dehydration cost of the carboxylate is what decreases its binding affinity. This could explain in part the higher activity of its methyl ester. The methyl group could also be interacting with Phe357. The docking pose and the higher activity of compound (10) when compared to compound (9) suggests that extending the hydrophobic part of the ester could lead to even higher activity. Ethyl, propyl and t-butyl esters of compound (9) could be interesting potential compounds to be studied in the future to confirm this theory. The higher activity of compounds in this series that can interact with Arg358 as well as Glu205 and Glu206 demonstrates that polar interactions play a role in activity, however highly polar compounds could face a high cost of dehydration that potentially leads to lower activity.

The next series of compounds is based on aromatic amino acids with bulky hydrophobic group to reinforce the hydrophobic interactions with the S2-pocket. The L-tryptophan derivative, Compound (11), has a larger indole ring than the L-phenylalanine derivative, Compound (12), which only possesses a phenyl ring. The L-tyrosine derivative was another derivative of interest because of the para-hydroxy group on the phenyl ring of the phenylalanine moiety which could potentially engage in ion dipole interactions with Arg358. The three compounds possess an α-carboxylic group which could potentially interact with Tyr547. On the other hand, compound (13), which is the methyl ester of (12), was chosen to probe the importance of the charge on the carboxylate. The docking studies showed that the indole ring of compound (11) did not successfully fit in to the S2-pocket, but rather outside the pocket interacting with Trp629 (Figure 7). The loss of activity could be attributed to the repulsion between the carboxylic acid group with Glu205 and Glu206. Compound (12) on the other hand displayed a binding pose in which the trifluorophenyl is embedded in the S1 pocket. While the phenyl group of the phenylalanine moiety can be seen interacting with the phenyl ring of Phe357 and the carboxylate group was was interacting withs the OH groups of Tyr547 and Tyr666 as expected, but the amino group is suffering repulsion with Arg125. Compound (14) showed a similar pose to (12) as expected, and although the additional hydroxy group was interacting with Arg358, but the proton on the phenolic group was remarkably close to those of Arg358 causing repulsion. Furthermore, the β-amino group showed repulsion with Arg125 Figure 8

Figure 7 Docking results of compounds (11) and (12).

Figure 8 Docking results of compounds (13) and (14).

On the other hand, compound (13) showed a flipped docking pose with the trifluorophenyl moiety in the S2 pocket interacting with Phe357, the carbonyl group was interacting with Tyr547 and the β-amino group with Glu206. The phenyl moiety of phenylalanine was embedded in the S1 pocket and the methyl ester was at the entrance of the S1-pocket. This was the only compound in this series that retained the salt bridge with Glu206. In the enzymatic assay, compound (13) showed 2-fold increase in activity compared to other compounds in this series (Table 1). The lower activity of other compounds with carboxylic acid functionality is presumably due to the repulsion forces either between the carboxylic acid functionality of those compounds with Glu205 and Glu206, or the β-amino group with Arg125 Table 4. The next series of compounds were chosen to possess bulkier hydrophobic ring systems but with no carboxylic groups to avoid any repulsions with Glu205 and Glu206. The ring systems in which we were interested contain nitrogen atom in hopes of interacting with Ser209 in the S2 -pocket.

Table 4 Summary of the results of compounds (11-14)

Figure 9 Compound (15), the first compound in this series possesses the indole moiety like compound (11) but lacks the α-carboxylic acid functionality. Compound (16) on the other hand has a benzothiazole ring system to see whether the bigger sulfur atom could potentially increase the dispersion forces with Phe357. The last compound in this series, compound (17), possesses a 4-benzylpiperidine ring system and was inspired from a 2-benzylpiperazine derivative that was developed by Merck (compound [I] in the supplementary material) (Table 5). The docking study showed that the indole ring of compound (15) is placed in the S2-pocket facing Phe357; however, the nitrogen atom in the indole ring was not close enough to Ser209. Indeed, the absence of the carboxylic group that can be seen in compound (11) allowed the β-amino group to interact with Glu205 and Glu206 which could be the reason for the slight improvement in the activity. (See Table 3 below) Compound (16) showed a similar docking pose to (15) and did not cause a drastic improvement in the activity. None of those compounds interacted with Ser209 as was hoped. Lastly, compound (17) showed a similar binding pose to (15) and (16) with the trifluorophenyl moiety in the S1-pocket, the β-amino group interacting with Glu205 and Glu206, but the carbonyl group in this molecule showed hydrogen bonding interaction with Ser209. The piperidine ring was interacting with Phe357 and the benzyl group seemed to be lining the far side of the hydrophobic S2-pocket. This caused 2- to 3-fold increase in the activity compared to other compounds in this series. 

Figure 9 Docking results of compounds (15-17).

Table 5 Summary of the results of compounds (15-17) and sitagliptin

Conclusion

While the activity of the compounds tested in this study shown in Table 4 range from 11 µM with compound (1) to 26 nM with sitagliptin, the predicted ΔG by the docking program did not reflect this difference. All the compounds had ΔG values ranging from -8 to -9 Kcal/mol which are not significantly different from each other. This demonstrates that the calculated binding affinity is not a reliable variable in the design. However, visualizing the binding modes of each compound and modifying it accordingly by adding functional groups that are close to the key residues in the active site was more effective in the design of those compounds. While interactions with Phe357 is important, in order to reach sub-micromolar range of activity, the proposed compounds should also be able to target Arg358 or Ser209 while retaining interactions with Glu205 and Glu206 as can be seen from compounds (4), (9), (10) and (17). And while adding ionizable functional groups to introduce stronger interactions might sound attractive, this strategy seemed to be unsuccessful in increasing the activity much. This is probably as a result of the high dehydration cost which leads to decreasing the hydrophobic effect that allows those molecules to enter the active site of the enzyme. Also, using amino acid derivatives was not a successful approach due to the repulsion between their carboxylic acid groups and Glu205 and Glu206. Thus, to find compounds that have higher activity, the designed molecules should maintain the balance between the hydrophobic functional groups and the polar substituents to be able to target the polar residues like Arg358 and Ser209 without causing a significant effect on the hydrophobic effect. Future design could be directed towards investigating the effect of bulkier esters than the methyl on compound (10) to try to find out what makes the ester more active. Retagliptin (IC50=8 nM) has the same structure as sitagliptin but possesses a methyl ester group on the triazolopiperazine ring, presumably binds at the same position as compound (9).9 Another area that could be explored is the effect of different sites of substitution on piperidine derivatives or derivatives with similar heterocycles.

Experimental section

Reagents were used as received from commercial suppliers. The proposed compounds in the study were designed with the aid of molecular docking using PyRx, an application that provides a Microsoft Windows interface for Vina which is the main docking platform. Melting points of the compound was taken using DigiMelt MPA160. 1H and 13C NMR were recorded on the 300 MHz Varian instrument using VnmrJ version 4.2A. The IR spectra were recorded using Thermo Scientific Nicolet iS10 instrument on the OMNIC application v.8.1.11. Elemental analyses were performed by Atlantic Microlab Inc., Norcross, GA. To test the compounds proposed in this study, a fluorometric assay was performed in Corning 96 well black plates with opaque bottom on a Synergy Bio-tek HTS plate reader with excitation/ emission filters of 360/460nm using Gen5 software. The data was then exported as Excel sheets, and the data was then analyzed using GraphPad Prism 7. All the buffers used for the assay were prepared in the lab according to the procedure described previously in the literature.10,11 

Docking studies

All the docking studies were performed using Pyrx (V.0.8) which provides a Microsoft Windows interface for Vina.12,13 To perform the docking studies, the crystal structure of DPP-4 was downloaded in .pdb format (PDB ID 1x70) from the protein databank (www.rcsb.org). To prepare the protein for docking, the .pdb file was imported to Autodock Tools (v.1.5.6). The water molecules and ligands were removed from the structure, the polar hydrogens were added to the residues, then the structure was converted to. pdbqt format in which the partial charges on the residues were calculated. To prepare the ligands for docking, the structures of the ligands were drawn and saved as .sdf format using Marvin Sketch (V.15.11.9), ChemAxon (https://www.chemaxon.com). The protein as well as the ligands files were then imported to Pyrx. The energy of ligands was minimized in solution phase using Open Babel extension in the program, then the files of the ligands were converted to. pdbqt format.14 The grid box for the docking was set to be 25 A° X 25 A° X 25 A° and was centered on the active site which is located at the following coordinates: X=40.1242, Y=50.9588, Z=36.1963. The docking studies were performed three times and the potential energies were reported as average of the three runs. The docking files were then imported to Discovery Studio Visualizer (V. 4.5.0.15071) which was used to visualize the interactions represented in the docking figures. 

Biochemical assay

To test the activity of the new inhibitors, we used the same biochemical assay as described by Kato et al.10,11 The assay was validated by running Michaelis-Menten Kinetics and comparing the Km of the substrate with that of the literature. The assay used is a kinetic fluorometric assay that relies on the fluorogenic substrate Gly-Pro-4-methylcoumarinamide which gets cleaved by DPP-4 enzyme releasing the fluorescent molecule 7-amino-4-methylcoumarin from the C-terminus of the peptide. Human DPP-4 was purchased from sigma (Catalog # D3446-10UG) and 100 mL of the 800 pM stock solution was prepared in 10 mM Tris buffer at pH-8 containing 200 mM NaCl, 1mM EDTA and 10% glycerol. The enzyme was stored at -70 °C as recommended by the manufacturer. Before performing the biological assay, the enzyme is diluted 4-fold using 100 mM HEPES buffer with pH 7.8 and 100 µg/mL BSA to make an initial enzyme concentration of 200 pM. The substrate was purchased from Sigma Aldrich (Catalog# G2761-25MG) and a 16 mM stock solution was prepared by adding 3.81 mL of HEPES buffer to the 25 mg of the peptide. Each well except for the blank contains 25 µL of the enzyme, 25 µL of the substrate, and 50 µL of the test compounds bringing the final enzyme concentration in each well to 50 pM. The test compounds are prepared by serial dilution to be 20X the final concentration in each well using DMSO as a solvent. Each concentration is then diluted 10 times in HEPES buffer to form 2X the final concentration of the enzymatic reaction before they are finally dispensed in each well. The substrate concentrations are prepared by diluting the stock solution in HEPES buffer. The blank reactions are prepared by adding 50 µL of the highest concentration of the inhibitor in HEPES buffer to 25 µL of HEPES buffer. The control reaction on the other hand is prepared by adding 50 µL of 10% DMSO in HEPES buffer to 25 µL of the enzyme. The test compound reactions are prepared by adding 50 µL of the 2X solutions of the test compound in HEPES buffer to 25 µL of the enzyme. After 10 min incubation time, 25 µL of the peptide substrate is added to each of these groups to complete the final volumes to 100 µL. The fluorescence of the plate is recorded at λex of 360 nm and λem of 460 nm. The fluorescence readings are taken every 30 seconds for 10 min at 37 °C, and the initial velocity of each reaction is calculated from the slopes as RFU/min. 

The % Activity of the enzyme is calculated from the following equation: 

% Activity = V drug V Control  X 100%  MathType@MTEF@5@5@+= feaagKart1ev2aaatCvAUfeBSjuyZL2yd9gzLbvyNv2CaerbuLwBLn hiov2DGi1BTfMBaeXatLxBI9gBaerbd9wDYLwzYbItLDharqqtubsr 4rNCHbGeaGqk0=Mr0xXdbba91rFfpec8Eeeu0xXdbba9frFj0=OqFf ea0dXdd9vqaq=JfrVkFHe9pgea0dXdar=Jb9hs0dXdbPYxe9vr0=vr 0=vqpWqaaeaabiGaciaacaqabeaadaqaaqaaaOqaaKqzGeaeaaaaaa aaa8qacaGGLaGaaiiOaiaadgeacaWGJbGaamiDaiaadMgacaWG2bGa amyAaiaadshacaWG5bGaaiiOaiabg2da9OWaaSaaaeaajugibiaadA fakmaaBaaaleaajugWaiaadsgacaWGYbGaamyDaiaadEgaaSqabaaa keaajugibiaadAfakmaaBaaaleaajugWaiaadoeacaWGVbGaamOBai aadshacaWGYbGaam4BaiaadYgaaSqabaaaaKqzGeGaaeiiaiaadIfa caGGGcGaaGymaiaaicdacaaIWaGaaiyjaiaacckaaaa@5A9A@

To validate the assay Michaelis-Menten kinetics experiment was done using 50 pM of the enzyme and different peptide substrate concentrations diluted from the stock in HEPES buffer. GraphPad Prism was used to calculate the average value of KM using Michalis-Menten equation. The average KM value was found to be 35.20±2.09 µM which is comparable to the 63±12 µM reported in the literature.15 Based on the experimental KM, the substrate concentration was chosen to be 30 µM for the inhibition assays. To further validate the assay, an inhibition assay of the standard DPP-4 inhibitor sitagliptin to be compared to its literature value. The results shown represent 4 independent experiments done as triplicates. The IC50 of sitagliptin as well as all other compounds in the assay was calculated using the 3-parameters “Log [inhibitor] vs. response” equation which can be described as follows:

Y= Max+( MaxMin ) 1+ 10 ( XLogIC50 ) MathType@MTEF@5@5@+= feaagKart1ev2aqatCvAUfeBSjuyZL2yd9gzLbvyNv2CaerbuLwBLn hiov2DGi1BTfMBaeXatLxBI9gBaerbd9wDYLwzYbItLDharqqtubsr 4rNCHbGeaGqk0=Mr0xXdbba91rFfpec8Eeeu0xXdbba9frFj0=OqFf ea0dXdd9vqaq=JfrVkFHe9pgea0dXdar=Jb9hs0dXdbPYxe9vr0=vr 0=vqpWqaaeaabiGaciaacaqabeaadaqaaqaaaOqaaabaaaaaaaaape Gaamywaiabg2da9maalaaabaGaamytaiaadggacaWG4bGaey4kaSYa aeWaaeaacaWGnbGaamyyaiaadIhacqGHsislcaWGnbGaamyAaiaad6 gaaiaawIcacaGLPaaaaeaacaaIXaGaey4kaSIaaGymaiaaicdadaah aaWcbeqaaKqbaoaabmaabaGaamiwaiabgkHiTiaadYeacaWGVbGaam 4zaiaadMeacaWGdbGaaGynaiaaicdaaiaawIcacaGLPaaaaaaaaaaa @519A@

The IC50 of sitagliptin was found to be 26.3±2.5 nM which is very comparable to the value reported in the literature.6 

Organic synthesis 

The compounds were synthesized according to the scheme shown below (Figure 10).  

Figure 10 Synthetic scheme of the compounds tested in our study.

1a) tert-Butyl-(R)-(4-(adamantan-1-ylamino)-4-oxo-1-(2,4,5-trifluorophenyl) butan-2-yl) carbamate

To a 100 mL round bottom flask (RBF), 1.00g (3.00mmol) of the Boc-protected amine was added, followed by 4 mL of THF. Then 836 μl of triethylamine (TEA) (6.00 mmol) was added followed by 0.998 g (3.30 mmol) of 3-(diethoxyphosphoryloxy)-1,2,3-benzotriazin-4(3H)-one (DEPBT). In another RBF the adamantan-1-amine was stirred with 1.5 mL of THF before it was added to the first RBF. The reaction was left to stir for 12 h, then the solvent was evaporated. The residue left was dissolved in ethyl acetate and was washed with 1N HCl (20 mL X 3) and saturated solution of NaHCO3 (20 mL X 3) then dried with Brine (20 mL X 3). The organic solvent was then dried over anhydrous sodium sulfate then evaporated, and the remaining residue was dissolved in ethyl acetate and allowed to crystallize over ice to afford 0.901 g of white crystals (64% yield) with melting point 160.0-163.0°C. 1H NMR (300 MHz, DMSO-d6) δ 7.44 (ddd, J=10.9, 9.5, 6.8 Hz, 1H), 7.36–7.21 (m, 2H), 6.70 (d, J=9.1 Hz, 1H), 3.95 (dqd, J=10.6, 7.5, 6.9, 4.1 Hz, 1H), 2.81 (dd, J=13.7, 4.4 Hz, 1H), 2.56–2.42 (m, 1H), 2.19 (d, J=6.9 Hz, 2H), 2.03–1.95 (m, 3H), 1.91 (d, J=2.9 Hz, 6H), 1.60 (t, J=3.0 Hz, 6H), 1.27 (s, 9H). IR cm-1 3339, 3257, 3058, 2978, 2909, 2852, 1694, 1628, 1568, 1519, 1455, 1423, 1391, 1362, 1330, 1302, 1249, 1206, 1169, 1150, 1100, 1050, 1021, 915, 855, 839, 753, 720. 

(R)-4-(Adamantan-1-ylamino)-4-oxo-1-(2,4,5-trifluorophenyl) butan-2-aminium chloride

In a 25 mL RBF, 300mg of the Boc-protected amine was added followed by 4 mL of dioxane. Ten drops of concentrated HCl was added and the solution was left to stir for 6 h before the TLC (5% methanol in DCM) indicated the completion of the reaction. The excess solvent was evaporated and the remaining solid was recrystallized using ethanol / diethyl ether to afford 0.264 g of white crystals (31% yield). The product did not melt until 260°C. 1H NMR (300 MHz, DMSO-d6) δ 8.29 (s, 2H), 7.66 (s, 1H), 7.63–7.43 (m, 2H), 3.01 (dd, J=14.0, 6.9 Hz, 1H), 2.85 (dd, J=13.9, 8.0 Hz, 1H), 2.42 (d, J=6.1 Hz, 2H), 1.98 (s, 3H), 1.90–1.82 (m, 8H), 1.59 (s, 6H). 13C NMR (75 MHz, DMSO-d6) δ 168.68, 160.06, 158.22, 158.08, 154.88, 150.49, 148.00, 147.79, 147.40, 147.22, 144.76, 120.60, 120.44, 120.33, 120.25, 120.08, 120.00, 106.70, 106.42, 106.31, 106.03, 105.68, 51.40, 48.24, 41.23, 40.75, 40.48, 40.20, 39.92, 39.64, 39.36, 39.08, 37.28, 36.41, 31.16, 29.18. IR cm-1 3265, 3076, 2906, 2852, 1646, 1548, 1518, 1448, 1427, 1390, 1357, 1343, 1309, 1277, 1249, 1224, 1211, 1186, 1152, 1117, 1101, 995, 962, 895, 845, 757, 690, 629, 571. Mass spec. m/z=368.0 [M+H]+. Anal. Calcd (mass %) for C20H26ClF3N2O: C, 59.62; H, 6.51; Cl, 8.80; F, 14.15; N, 6.95; O, 3.97. Found: C, 59.49; H, 6.64; Cl, 8.70; F, 14.05; N, 6.98; O, 4.14. 

(2a) tert-Butyl-(R)-(4-((3-fluorophenethyl) amino)-4-oxo-1-(2,4,5-trifluorophenyl) butan-2-yl) carbamate

To a 100 mL round bottom flask RBF the Boc-protected amine was added 1.00 g (3.00mmol) followed by 4 mL of THF. Then 836 μl of TEA (6.00 mmol) was added followed by 0.998 g of DEPBT (3.30 mmol) and was left to stir for 2 h. In another RBF 0.418 g of 2-(3-fluorophenyl) ethan-1-amine (3.00 mmol) was stirred with 1.5 mL of THF before it was added to the first RBF. The reaction was left to stir for 12 h, then the solvent was evaporated. The residue left was dissolved in ethyl acetate and was washed with HCl (20 mL) thrice and sat. sol of NaHCO3 (20 mL) thrice then dried with Brine (20 mL) thrice. The organic solvent was then dried aver anhydrous sodium sulfate then evaporated, and the remaining residues was dissolved in ethyl acetate and allowed to crystallize by adding hexane to afford 1.20 g of yellowish white crystals (88% yield) with melting point 168.8-170.3°C. 1H NMR (300 MHz, DMSO-d6) δ 7.99 (t, J=5.6 Hz, 1H), 7.44 (ddd, J=10.9, 9.5, 6.9 Hz, 1H), 7.27 (dddd, J=16.0, 11.3, 8.5, 6.4 Hz, 2H), 7.09–6.93 (m, 3H), 6.71 (d, J=9.1 Hz, 1H), 3.97 (d, J=11.4 Hz, 1H), 3.33–3.24 (m, 2H), 2.73 (q, J=6.8 Hz, 3H), 2.48–2.40 (m, 1H), 2.25 (d, J=6.9 Hz, 2H), 1.26 (s, 9H). IR cm-1 3339, 2976, 2937, 1680, 1646, 1589, 1522, 1489, 1446, 1423, 1393, 1368, 1354, 1333, 1304, 1275, 1250, 1231, 1204, 1154, 1093, 1057, 1028, 938, 882, 843, 780, 749, 722, 688. 

(2) (R)-3-Amino-N-(3-fluorophenethyl)-4-(2,4,5-trifluorophenyl) butanamide

To an RBF with 5 mL of 4 M HCl in dioxane, 0.300 g (0.660 mmol) of the Boc-protected amine was added. The reaction was stirred under ice for 4 h. The solvent was concentrated under vacuum then the RBF was immersed in ice to allow more of the product to crystallize. The solid was filtered and washed with diethyl ether to afford 0.203 g of pure white crystals (87% yield) melting point 172.2-173.0°C. 1H NMR (300 MHz, DMSO-d6) δ 8.32 (t, J=5.5 Hz, 1H), 8.26 (s, 2H), 7.53 (dddd, J=15.8, 11.1, 9.4, 6.9 Hz, 3H), 7.38–7.25 (m, 1H), 7.08 – 7.00 (m, 2H), 3.66 (p, J=6.5 Hz, 1H), 3.26 (q, J=7.1 Hz, 2H), 2.90 (ddd, J=44.7, 13.9, 7.1 Hz, 2H), 2.71 (t, J=7.2 Hz, 2H), 2.44 (t, J=5.9 Hz, 2H). 13C NMR (75 MHz, DMSO-d6) δ 169.22, 164.22, 161.00, 158.12, 154.99, 150.47, 147.19, 142.78, 142.68, 130.61, 130.50, 125.22, 125.19, 120.67, 120.59, 120.54, 120.43, 120.35, 120.30, 120.23, 120.05, 119.97, 115.88, 115.60, 113.47, 113.20, 106.69, 106.41, 106.30, 106.02, 48.21, 36.97, 34.91, 34.89, 31.12, 25.92. IR cm-1 3354, 3065, 2834, 2758, 2615, 2576, 2471, 1642, 1609, 1586, 1544, 1522, 1509, 1488, 1446, 1427, 1381, 1334, 1313, 1269, 1245, 1223, 1208, 1146, 1095, 888, 868, 844, 827, 797, 714, 697, 673, 618. Mass spec. m/z=355.0 [M + H]+. Anal. Calcd (mass %) for C18H19ClF4N2O: C, 55.32; H, 4.90; Cl, 9.07; F, 19.45; N, 7.17; O, 4.09. Found: C, 55.05; H, 4.89; Cl, 9.01; F, 19.26; N, 7.09; O, 4.70.  

(3a) tert-Butyl-(R)-(4-(benzylamino)-4-oxo-1-(2,4,5-trifluorophenyl) butan-2-yl) carbamate

To an RBF the Boc-protected amine 2.00g (6.00mmol) was added followed by 20 mL dry THF. TEA 1.67 mL (12.00 mmol) was added followed by DEPBT 1.98g(6.60mmol). The reaction was left to stir for 2 h at room temperature before Benzyl amine 721 µL (6.60 mmol) was added followed by 20 mL of THF. The reaction was left stirring at room temperature for 3 h before TLC (5% methanol in DCM) confirmed the completion of the reaction. The solvent was then evaporated under vacuum and the remaining yellowish white solid was extracted with 120 mL of ethyl acetate and washed with 1M HCl (50 mL x 3), then with saturated sodium bicarbonate (50 mL x 3), then with Brine (50 mL x 3). The organic solvent was dried with anhydrous sodium sulfate then evaporated under vacuum leaving 2.41 g (95% yield) of white solid. The solid was recrystallized in ethyl acetate / hexane to afford 2.01 g of pure white crystals with melting point 175.1-178.2°C. 1H NMR (300 MHz, DMSO-d6) δ 8.39 (t, J=5.9 Hz, 1H), 7.46 (ddd, J=11.0, 9.5, 6.9 Hz, 1H), 7.37–7.17 (m, 6H), 6.77 (d, J=9.1 Hz, 1H), 4.38–4.16 (m, 2H), 4.10 – 3.99 (m, 1H), 2.85 (dd, J=13.6, 4.5 Hz, 1H), 2.61 – 2.50 (m, 1H), 2.36 (d, J=7.0 Hz, 2H), 1.27 (s, 9H). IR cm-1 3335, 3064, 2976, 2937, 1678, 1647, 1548, 1523, 1446, 1423, 1393, 1367, 1355, 1332, 1305, 1276, 1251, 1233, 1204, 1159, 1096, 1057, 1028, 907, 888, 841, 747, 720, 695. 

(3) (R)-4-(Benzylamino)-4-oxo-1-(2,4,5-trifluorophenyl)butan-2-aminium chloride

In an RBF, the Boc-protected amine 1.00 g (2.37 mmol) was added to 5 ml of ice cold 4M HCl in dioxane. 5 mL of dioxane was added and was left to stir for 2 h. The excess solvent was evaporated leaving 0.752 g (89% yield) of white powder. The white solid was then recrystallized in dichloromethane / hexane, then washed with diethyl ether and left to dry affording 0.545 g of pure white crystals with melting point 132.3-133.4°. 1H NMR (300 MHz, DMSO-d6) δ 8.67 (t, J=5.8 Hz, 1H), 8.19 (s, 2H), 7.62–7.42 (m, 2H), 7.36–7.17 (m, 5H), 4.22 (d, J=5.7 Hz, 2H), 3.75–3.65 (m, 1H), 3.04–2.71 (m, 2H), 2.52 (d, 2H). 13C NMR (75 MHz, DMSO-d6) δ 169.31, 158.20 (d, J=9.8 Hz), 154.97 (d, J=10.0 Hz), 150.49, 149.15–146.23 (m), 144.70 (d, J=12.5 Hz), 139.39, 128.74, 127.81, 127.34, 121.12–119.83 (m), 106.41 (dd, J=29.0, 21.1 Hz), 48.17, 42.57, 36.81, 31.19. IR cm-1 3333, 3289, 3237, 3071, 2925, 2744, 2549, 1678, 1655, 1598, 1564, 1519, 1475, 1455, 1434, 1424, 1391, 1358, 1334, 1278, 1252, 1229, 1214, 1190, 1153, 1096, 1056, 1030, 892, 842, 760, 743, 722, 698, 634. Mass spec. m/z=323.4 [M + H]+. Analytical calculated mass %for C17H18ClF3N2O: C, 56.91; H, 5.06; Cl, 9.88; F, 15.89; N, 7.81; O, 4.46. Found: C, 56.75; H, 5.17; Cl, 9.88; F, 16.03; N, 7.78; O, 4.39. 

(4a) tert-Butyl-(R)-(4-((4-cyanobenzyl)amino)-4-oxo-1-(2,4,5-trifluorophenyl)butan-2-yl)carbamate

To an RBF the Boc-protected amine 2.00g (6.00mmol) was added followed by 20 mL dry THF. TEA 2.51 mL (18.00 mmol) was added followed by DEPBT 1.98g (6.60mmol). The reaction was left to stir for 2 h at room temperature before 4-cyanobenzylamine 1.11 g (6.60 mmol) was added. The reaction was left stirring at room temperature for 18 h. The solvent was then evaporated under vacuum and the remaining yellowish white solid was extracted with 120 mL of ethyl acetate and washed with 1M HCl (50 mL x 3), then with saturated sodium bicarbonate (50 mL x 3), then with Brine (50 mL x 3). The organic solvent was dried with anhydrous sodium sulfate then evaporated under vacuum leaving 1.85g (69% yield) of white solid. The solid was recrystallized in ethyl acetate / hexane to afford 1.63 g of pure white crystals with melting point 222.8-224.3°C 1H NMR (300 MHz, DMSO-d6) δ 8.53–8.42 (m, 1H), 7.78–7.68 (m, 2H), 7.50–7.35 (m, 3H), 7.32–7.17 (m, 1H), 6.75 (d, J=9.1 Hz, 1H), 4.40–4.21 (m, 2H), 4.10–3.92 (m, 1H), 2.88–2.50 (m, 2H), 2.40–2.29 (m, 2H), 1.24 (s, 9H). IR cm-1 3329, 3066, 2980, 2936, 2600, 2496, 2226, 1681, 1650, 1609, 1523, 1475, 1445, 1423, 1392, 1367, 1352, 1332, 1307, 1281, 1253, 1231, 1199, 1154, 1096, 1055, 1037, 904, 881, 842, 815, 762, 722, 675, 649, 627, 557. 

(4) (R)-3-Amino-N-(4-cyanobenzyl)-4-(2,4,5-trifluorophenyl)butanamide 

In an RBF, the Boc-protected amine 1.00 g (2.23 mmol) was added to 5 mL of ice cold 4M HCl in dioxane. Then 5 mL of dioxane was added and the reaction was left to stir for 2 h. The excess solvent was evaporated leaving 0.350 g (45% yield) of white powder. The white solid was then recrystallized in methanol / diethyl ether, then washed with diethyl ether and left to dry affording 0.292 g of pure white crystals with melting point 136.1-137.2°C 1H NMR (300 MHz, DMSO-d6) δ 8.58 (t, J=6.0 Hz, 1H), 7.83–7.70 (m, 2H), 7.55–7.36 (m, 4H), 4.35 (d, J=6.0 Hz, 2H), 3.32–3.20 (m, 1H), 2.73–2.52 (m, 2H), 2.31–2.07 (m, 2H), 1.57 (s, 2H). 13C NMR (75 MHz, DMSO-d6) δ 171.24, 157.40 (d, J=10.1 Hz), 154.20 (d, J=7.4 Hz), 149.19 (d, J=14.0 Hz), 148.04–146.72 (m), 145.92 (d, J=13.6 Hz), 145.68, 144.14 (dd, J=12.3, 3.4 Hz), 109.47, 105.52 (dd, J=29.6, 21.0 Hz), 49.17, 43.07, 41.76, 36.08. IR cm-1 3386, 3291, 3055, 2929, 2221, 1643, 1607, 1545, 1517, 1505, 1444, 1423, 1400, 1333, 1286, 1237, 1209, 1148, 1100, 1032, 874, 843, 812, 758, 720, 691, 602, 573, 555. Mass spec. m/z=348.0 [M + H]+. Analytical calculated mass % for C18H16F3N3O: C, 62.24; H, 4.64; F, 16.41; N, 12.10; O, 4.61. Found: C, 62.05; H, 4.72; F, 16.57; N, 12.18; O, 4.48. 

(5a) tert-Butyl (R)-(4-((4-fluorobenzyl)amino)-4-oxo-1-(2,4,5-trifluorophenyl)butan-2-yl)carbamate 

To an RBF the Boc-protected amine 3.00 g (9.00mmol) was added followed by 30 mL dry THF. TEA (1.25 mL, 9.45 mmol) was added followed by DEPBT (2.83 g, 9.45 mmol). The reaction was left to stir for 2 h at room temperature before 4-fluorobenzylamine (1.08 mL, 9.45 mmol) was added. The reaction was left stirring at room temperature for 8 h. The solvent was then evaporated under vacuum and the remaining yellowish white solid was extracted with 120 mL of ethyl acetate and washed with 1M HCl (50 mL x 3), then with saturated sodium bicarbonate (50 mL x 3), then with Brine (50 mL x 3). The organic solvent was dried with anhydrous sodium sulfate then evaporated under vacuum leaving 3.86g of white solid. The solid was recrystallized in ethyl acetate / hexane to afford 3.26 g (82%) of pure white crystals with melting point 195.1-196.0℃ 1H NMR (300 MHz, DMSO-d6) δ 8.46 (t, J=6.0 Hz, 1H), 7.58–7.36 (m, 1H), 7.36–7.18 (m, 3H), 7.18–6.97 (m, 2H), 6.77 (d, J=9.1 Hz, 1H), 4.41–4.11 (m, 2H), 4.11–3.75 (m, 1H), 2.95–2.52 (m, 2H), 2.34 (d, J=7.0 Hz, 2H), 1.25 (s, 9H). IR cm-1 3325, 2985, 2938, 1678, 1648, 1544, 1523, 1507, 1422, 1393, 1367, 1354, 1305, 1277, 1251, 1233, 1219, 1201, 1155, 1095, 1057, 1027, 905, 842, 820, 758, 721, 661, 624. 

(5) (R)-3-Amino-N-(4-fluorobenzyl)-4-(2,4,5-trifluorophenyl)butanamide

In an RBF, the Boc-protected amine 1.00 g (2.27 mmol) was added to 10 mL of ice cold 4M HCl in dioxane and the reaction was left to stir for 3 h. The excess solvent was evaporated leaving a white residue. The residue was dissolved in water and the pH was adjusted to 13 by adding 1M NaOH under ice. The product was then extracted using 30 mL of ethyl acetate. The organic layer was washed thrice with 15 mL of NaHCO3, then with brine (15 mL x 3). The organic layer was then dried using anhydrous sodium sulfate then evaporated invacuo leaving behind 0.725 g of white solid. The product was then recrystallized in ethyl acetate / hexane, then filtered and washed with hexane and left to dry affording 0.626 g (81%) of pure white crystals with melting point 94.7-96.1 ℃. 1H NMR (300 MHz, DMSO-d6) δ 8.48 (t, J=5.9 Hz, 1H), 7.43 (qd, J=10.1, 6.8 Hz, 2H), 7.29 (dd, J=8.5, 5.6 Hz, 2H), 7.19–7.06 (m, 2H), 4.24 (d, J=5.9 Hz, 2H), 3.24 (td, J=8.0, 3.9 Hz, 1H), 2.65 (dd, J=13.5, 5.8 Hz, 1H), 2.59–2.46 (m, 1H), 2.21 (dd, J=14.4, 4.5 Hz, 1H), 2.10 (dd, J=14.3, 8.5 Hz, 1H), 1.61 (s, 2H). 13C NMR (75 MHz, DMSO-d6) δ 170.97, 162.77, 159.56, 157.79, 154.01, 150.79, 149.61, 148.27, 146.02, 144.33, 137.01, 135.87, 135.83, 129.26, 129.15, 123.55, 123.29, 119.66, 119.57, 119.41, 119.32, 105.82, 105.55, 105.43, 105.16, 49.19, 43.11, 41.29, 40.36, 40.08, 39.80, 39.52, 39.24, 38.96, 38.69, 36.02. IR cm-1 3383, 3295, 3052, 2923, 2902, 1622, 1549, 1522, 1508, 1456, 1422, 1364, 1336, 1327, 1276, 1253, 1215, 1199, 1156, 1128, 1099, 1086, 1027, 1016, 903, 875, 851, 831, 784, 714, 685, 626. Mass spec. m/z=341.0 [M + H]+. Analytical calculated mass % for C17H16F4N2O: C, 60.00; H, 4.74; F, 22.33; N, 8.23; O, 4.70. Found: C, 60.15; H, 4.58; F, 22.42; N, 8.17; O, 4.67. 

(6a) tert-Butyl (R)-(4-((4-chlorobenzyl)amino)-4-oxo-1-(2,4,5-trifluorophenyl)butan-2-yl)carbamate 

To an RBF the Boc-protected amine 3.00 g (9.00mmol) was added followed by 30 mL dry THF. TEA (1.25 mL, 9.45 mmol) was added followed by DEPBT (2.83 g, 9.45 mmol). The reaction was left to stir for 2 h at room temperature before 4-chlorobenzylamine (1.15 mL, 9.45 mmol) was added. The reaction was left stirring at room temperature for 8 h. The solvent was then evaporated under vacuum and the remaining yellowish white solid was extracted with 120 mL of ethyl acetate and washed with 1M HCl (50 mL x 3), then with saturated sodium bicarbonate (50 mL x 3), then with Brine (50 mL x 3). The organic solvent was dried with anhydrous sodium sulfate then evaporated under vacuum leaving 3.95g of white solid. The solid was recrystallized in ethyl acetate / hexane to afford 3.90 g (95%) of pure white crystals with melting point 203.4-205.0 ℃. 1H NMR (300 MHz, DMSO-d6) δ 8.45 (t, J=6.0 Hz, 1H), 7.62–7.37 (m, 1H), 7.37–7.30 (m, 2H), 7.27 (td, J=5.9, 2.6 Hz, 3H), 6.77 (d, J=9.1 Hz, 1H), 4.37–4.12 (m, 2H), 4.04 (dt, J=11.9, 5.7 Hz, 1H), 2.99–2.52 (m, 2H), 2.34 (d, J=7.0 Hz, 2H), 1.25 (s, 9H). IR cm-1 3331, 3063, 2977, 2920, 1677, 1650, 1523, 1489, 1461, 1444, 1423, 1391, 1367, 1351, 1306, 1277, 1249, 1232, 1204, 1156, 1087, 1056, 1029, 1010, 903, 891, 841, 819, 796, 759, 723, 680, 652, 618. 

(6)(R)-3-Amino-N-(4-chlorobenzyl)-4-(2,4,5-trifluorophenyl)butanamide

In an RBF, the Boc-protected amine 1.00 g (2.19 mmol) was added to 10 mL of ice cold 4M HCl in dioxane and the reaction was left to stir for 3 h. The excess solvent was evaporated leaving a white residue. The residue was dissolved in water and the pH was adjusted to 13 by adding 1M NaOH under ice. The product was then extracted using 30 mL of ethyl acetate. The organic layer was washed thrice with 15 mL of NaHCO3 , then with brine (15 mL x 3). The organic layer was then dried using anhydrous sodium sulfate then evaporated invacuo leaving behind 0.760 g of white solid. The product was then recrystallized in ethyl acetate / hexane, then filtered and washed with hexane and left to dry affording 0.712 g (91%) of pure white crystals with melting point 99.8-101.4 ℃. 1H NMR (300 MHz, DMSO-d6) δ 8.50 (t, J=6.0 Hz, 1H), 7.47 (dd, J=10.5, 6.9 Hz, 1H), 7.41 (t, J=5.3 Hz, 1H), 7.35 (d, J=8.4 Hz, 2H), 7.27 (d, J=8.2 Hz, 2H), 4.24 (d, J=5.8 Hz, 2H), 3.30–3.17 (m, 1H), 2.71–2.50 (m, 2H), 2.22 (dd, J=14.3, 4.5 Hz, 1H), 2.10 (dd, J=14.3, 8.5 Hz, 1H), 1.57 (s, 2H). 13C NMR (75 MHz, DMSO-d6) δ 171.04, 157.36, 154.14, 149.28, 147.42, 147.24, 146.02, 144.21, 138.75, 131.27, 129.11, 128.22, 123.54, 123.30, 119.66, 119.58, 119.41, 119.33, 105.84, 105.56, 105.44, 105.17, 49.18, 43.10, 41.33, 36.03. IR cm-1 3296, 3074, 2948, 2924, 2875, 1650, 1636, 1595, 1546, 1523, 1510, 1491, 1438, 1421, 1407, 1332, 1283, 1240, 1204, 1155, 1091, 1032, 1015, 904, 881, 855, 834, 798, 762, 722, 688, 572, 563. Mass spec. m/z=357.3 [M + H]+. Analytical calculated mass % for C17H16ClF3N2O: C, 57.23; H, 4.52; Cl, 9.94; F, 15.98; N, 7.85; O, 4.48. Found: C, 57.49; H, 4.45; Cl, 9.84; F, 16.12; N, 7.89; O, 4.21. 

(7a) tert-Butyl (R)-(4-((4-bromobenzyl)amino)-4-oxo-1-(2,4,5-trifluorophenyl)butan-2-yl)carbamate 

To an RBF the Boc-protected amine 3.00 g (9.00mmol) was added followed by 30 mL dry THF. TEA (1.25 mL, 9.45 mmol) was added followed by DEPBT (2.83 g, 9.45 mmol). The reaction was left to stir for 2 h at room temperature before 4-bromobenzylamine (1.19 mL, 9.45 mmol) was added. The reaction was left stirring at room temperature for 8 h. The solvent was then evaporated under vacuum and the remaining yellowish white solid was extracted with 120 mL of ethyl acetate and washed with 1M HCl (50 mL x 3), then with saturated sodium bicarbonate (50 mL x 3), then with Brine (50 mL x 3). The organic solvent was dried with anhydrous sodium sulfate then evaporated under vacuum leaving 4.48 (99%) of white solid. The solid was recrystallized in ethyl acetate / hexane to afford 4.01 g of pure white crystals with melting point 210.2-211.9 ℃. 1H NMR (300 MHz, DMSO-d6) δ 8.43 (t, J=6.0 Hz, 1H), 7.47 (d, J=8.1 Hz, 3H), 7.37–7.02 (m, 3H), 6.77 (d, J=9.1 Hz, 1H), 4.38 – 4.11 (m, 2H), 4.02 (tt, J=11.7, 5.7 Hz, 1H), 2.83 (dd, J=13.8, 4.5 Hz, 1H), 2.55 (d, J=10.1 Hz, 1H), 2.34 (d, J=6.9 Hz, 2H), 1.26 (s, 9H). IR cm-1 3329, 3062, 2993, 2920, 1677, 1649, 1544, 1524, 1485, 1462, 1444, 1423, 1391, 1367, 1351, 1305, 1277, 1248, 1232, 1203, 1156, 1096, 1067, 1056, 1029, 1007, 903, 891, 842, 792, 750, 723, 679, 644, 610. 

(7) (R)-4-((4-Bromobenzyl)amino)-4-oxo-1-(2,4,5-trifluorophenyl)butan-2-aminium chloride

In an RBF, the Boc-protected amine 2.00 g (3.99 mmol) was added to 10 mL of ice cold 4M HCl in dioxane and the reaction was left to stir for 3 h. The excess solvent was evaporated leaving 1.55 g (89% yield) of white solid. The product was then recrystallized in methanol / diethyl ether, then separated by vacuum filtration and washed with diethyl ether then left to dry on vacuum affording 1.25 g (72%) of pure white crystals with melting point 184.7-186.1 ℃. 1H NMR (300 MHz, DMSO-d6) δ 8.81 (t, J = 5.9 Hz, 1H), 8.38 (s, 3H), 7.60–7.43 (m, 4H), 7.24–7.14 (m, 2H), 4.18 (d, J=5.6 Hz, 2H), 3.71 (p, J=6.7 Hz, 1H), 3.03 (dd, J=14.1, 6.4 Hz, 1H), 2.90 (dd, J=13.9, 7.6 Hz, 1H), 2.68–2.51 (m, 2H). 13C NMR (75 MHz, DMSO-d6) δ 168.99, 157.86, 157.74, 154.51, 150.09, 146.99, 146.81, 144.26, 138.59, 131.18, 129.65, 120.19, 119.94, 119.62, 106.34, 106.06, 105.95, 105.67, 47.75, 41.54, 36.53, 30.78. IR cm-1 3275, 3038, 3024, 2915, 2879, 2848, 2689, 2551, 2042, 1651, 1611, 1583, 1546, 1523, 1510, 1487, 1451, 1424, 1412, 1375, 1346, 1328, 1294, 1270, 1234, 1195, 1153, 1130, 1111, 1097, 1069, 1025, 1008, 982, 911, 887, 856, 838, 806, 796, 757, 724, 692, 641, 628, 610, 594. Mass spec. m/z=400.8 [M + H]+. Analytical calculated mass % for C17H17BrClF3N2O: C, 46.65; H, 3.92; Br, 18.26; Cl, 8.10; F, 13.02; N, 6.40; O, 3.66. Found: C, 46.55; H, 3.82; Br, 18.22; Cl, 8.18; F, 13.14; N, 6.53; O, 3.56.  

(8a)tert-Butyl-(R)-(4-oxo-4-((4-(trifluoromethyl)benzyl)amino)-1-(2,4,5-trifluorophenyl)butan-2-yl)carbamate

To an RBF the Boc-protected amine 3.00 g (9.00mmol) was added followed by 30 mL dry THF. TEA (1.25 mL, 9.45 mmol) was added followed by DEPBT (2.83 g, 9.45 mmol). The reaction was left to stir for 2 h at room temperature before 4-trifluoromethyl benzylamine (1.35 mL, 9.45 mmol) was added. The reaction was left stirring at room temperature for 8 h. The solvent was then evaporated under vacuum and the remaining yellowish white solid was extracted with 120 mL of ethyl acetate and washed with 1M HCl (50 mL x 3), then with saturated sodium bicarbonate (50 mL x 3), then with Brine (50 mL x 3). The organic solvent was dried with anhydrous sodium sulfate then evaporated under vacuum leaving 3.21 (73%) of white solid. The solid was recrystallized in ethyl acetate / hexane to afford 2.45 g of pure white crystals with melting point 202.4-203.4℃. 1H NMR (300 MHz, DMSO-d6) δ 8.49 (t, J=6.0 Hz, 1H), 7.64 (d, J=8.1 Hz, 2H), 7.53–7.35 (m, 3H), 7.27 (ddd, J=11.3, 9.2, 6.8 Hz, 1H), 6.78 (d, J=9.1 Hz, 1H), 4.53–4.18 (m, 2H), 4.04 (q, J=7.8, 6.1 Hz, 1H), 2.83 (dd, J=13.6, 4.6 Hz, 1H), 2.63–2.52 (m, 1H), 2.37 (d, J=7.0 Hz, 2H), 1.25 (s, 9H). IR cm-1 3326, 2979, 1680, 1648, 1619, 1523, 1446, 1423, 1392, 1367, 1353, 1328, 1276, 1231, 1203, 1161, 1119, 1108, 1066, 1057, 1018, 882, 842, 817, 755, 720, 687, 642. 

(8) (R)-4-Oxo-4-((4-(trifluoromethyl)benzyl) amino)-1-(2,4,5-trifluorophenyl)butan-2-aminium chloride 

In an RBF, the Boc-protected amine 2.00 g (4.08 mmol) was added to 10 mL of ice cold 4M HCl in dioxane and the reaction was left to stir for 3 h. The excess solvent was evaporated leaving behind 1.48 g (85% yield) of white solid. The product was then recrystallized in methanol / diethyl ether, then separated by vacuum filtration and washed with diethyl ether then left to dry on vacuum affording 1.15 g (66%) of pure white crystals with melting point 150.6-152.2℃. 1H NMR (300 MHz, DMSO-d6) δ 8.90 (t, J=6.0 Hz, 1H), 8.39 (s, 3H), 7.66 (d, J=8.0 Hz, 2H), 7.62–7.46 (m, 2H), 7.45 (d, J=8.1 Hz, 2H), 4.31 (d, J=5.7 Hz, 2H), 3.73 (p, J=6.7 Hz, 1H), 3.11–2.80 (m, 2H), 2.71–2.53 (m, 2H). 13C NMR (75 MHz, DMSO-d6) δ 169.14, 157.89, 154.39, 150.45, 148.24, 146.50, 144.06, 143.51, 128.05, 127.80, 127.38, 126.19, 125.22, 125.17, 125.12, 122.59, 120.19, 119.95, 119.70, 106.34, 106.06, 105.95, 105.67, 47.73, 41.79, 40.35, 40.08, 39.80, 39.52, 39.24, 38.96, 38.69, 36.57, 30.83. IR cm-1 3321, 2879, 2606, 2055, 1647, 1620, 1542, 1523, 1429, 1386, 1369, 1329, 1250, 1230, 1213, 1152, 1121, 1110, 1067, 1043, 1019, 902, 874, 839, 817, 758, 723, 656, 643, 609, 589. Mass spec. m/z=390.7 [M+ H]+. Analytical calculated mass % for C18H17ClF6N2O: C, 50.66; H, 4.02; Cl, 8.31; F, 26.71; N, 6.56; O, 3.75. Found: C, 50.40; H, 3.89; Cl, 8.08; F, 26.98; N, 6.59; O, 4.06.  

(9a) Methyl-(R)-4-((3-((tert-butoxycarbonyl)amino)-4-(2,4,5-trifluorophenyl) butanamido)methyl)benzoate 

To an RBF the Boc-protected amine 1.00g (3.00mmol) was added followed by 20 mL dry THF. TEA 837 µL (6.00 mmol) was added followed by DEPBT 1.08g (3.60mmol). The reaction was left to stir for 2 h at room temperature before (4-(methoxycarbonyl)phenyl) methanaminium chloride 0.726 g (3.60 mmol) was added. The reaction was left stirring at room temperature for 2 h. The solvent was then evaporated under vacuum and the remaining yellowish white solid was extracted with 120 mL of ethyl acetate and washed with 1M HCl (50 mL x 3), then with saturated sodium bicarbonate (50 ml x 3), then with Brine (50 mL x 3). The organic solvent was dried with anhydrous sodium sulfate then evaporated under vacuum leaving 1.01g (70% yield) of white solid. The solid was recrystallized in ethyl acetate / hexane to afford 0.823 g of pure white crystals with melting point 202.9-203.5°C. 1H NMR (300 MHz, DMSO-d6) δ 8.51 (t, J=6.0 Hz, 1H), 7.95–7.85 (m, 2H), 7.46 (ddd, J=11.0, 9.5, 6.9 Hz, 1H), 7.43–7.35 (m, 2H), 7.29 (ddd, J=11.3, 9.2, 6.8 Hz, 1H), 6.79 (d, J=9.1 Hz, 1H), 4.35 (qd, J=15.9, 5.9 Hz, 2H), 4.11–4.00 (m, 1H), 3.84 (s, 3H), 2.85 (dd, J=13.6, 4.5 Hz, 1H), 2.62–2.52 (m, 1H), 2.38 (d, J=7.0 Hz, 2H), 1.27 (s, 9H). IR cm-1 3339, 3066, 2989, 2909, 1713, 1684, 1650, 1614, 1527, 1459, 1435, 1424, 1392, 1370, 1353, 1328, 1309, 1276, 1233, 1220, 1208, 1191, 1153, 1110, 1059, 1024, 878, 855, 841, 832, 762, 753, 719, 668, 644, 606. 

(9b) (R)-4-((3-((tert-Butoxycarbonyl)amino)-4-(2,4,5-trifluorophenyl)butanamido) methyl)benzoic acid 

To an RBF the Boc-protected amine 0.700 g (1.46 mmol) was added followed by 20 mL of 4N KOH in methanol and 20 mL DCM. The reaction was left to stir at 40 °C for 4 h before TLC (5% methanol in DCM) indicated the completion of the reaction. The pH was adjusted to 5 by adding 1N HCl to the reaction mixture under ice. The precipitating product was extracted with ethyl acetate (100 mL X 3). The organic layer was then dried using anhydrous sodium sulfate then evaporated under vacuum leaving the product as white solid. The product was then washed with diethyl ether and dried over vacuum to afford 0.500 g (74% yield) of pure white crystals. 1H NMR (300 MHz, DMSO-d6) δ 8.45 (t, J=6.0 Hz, 1H), 7.93 – 7.83 (m, 2H), 7.46 (ddd, J = 10.9, 9.5, 6.9 Hz, 1H), 7.39 – 7.34 (m, 2H), 7.28 (ddd, J = 11.2, 9.1, 6.8 Hz, 1H), 6.78 (d, J=9.1 Hz, 1H), 4.34 (qd, J = 15.8, 5.9 Hz, 2H), 4.05 (dtd, J = 14.3, 7.4, 4.7 Hz, 1H), 2.85 (dd, J = 13.5, 4.5 Hz, 1H), 2.62–2.53 (m, 1H), 2.37 (d, J = 7.0 Hz, 2H), 1.27 (s, 9H). 

(9) (R)-4-((3-Amino-4-(2,4,5-trifluorophenyl)butanamido)methyl)benzoic acid hydrochloride

In an RBF, the Boc-protected amine 0.500 g (1.07 mmol) was added to 5 mL of ice cold 4M HCl in dioxane then 5 mL of dry dioxane was added and the reaction was left to stir for 3 h. The excess solvent was evaporated leaving 0.392 g (91% yield) of white powder. The white solid was then recrystallized in methanol / diethyl ether, then washed with diethyl ether and left to dry affording 0.211 g of pure white crystals with melting point 232.6-233.4 °C. 1H NMR (300 MHz, DMSO-d6) δ 8.82 (t, J = 5.9 Hz, 1H), 8.30 (s, 2H), 7.95 – 7.84 (m, 2H), 7.55 (ddt, J = 11.2, 9.0, 6.6 Hz, 2H), 7.40 – 7.31 (m, 2H), 4.32 (d, J = 5.8 Hz, 2H), 3.79 – 3.69 (m, 1H), 3.03 (dd, J = 14.0, 6.5 Hz, 1H), 2.91 (dd, J = 14.0, 7.7 Hz, 1H), 2.68 – 2.53 (m, 2H). 13C NMR (75 MHz, DMSO-d6) δ 169.12, 167.21, 146.84, 144.22, 129.43, 127.39, 120.40 – 119.02 (m), 47.75, 41.95, 36.44, 30.84. IR cm-1 3263, 3038, 1669, 1631, 1614, 1581, 1539, 1519, 1510, 1454, 1435, 1417, 1390, 1334, 1255, 1237, 1206, 1182, 1153, 1135, 1113, 1090, 1060, 1022, 996, 914, 884, 857, 760, 748, 714, 626, 584. Mass spec. m/z = 366.7 [M + H]+. Analytical calculated mass % for C18H18ClF3N2O3: C, 53.67; H, 4.50; Cl, 8.80; F, 14.15; N, 6.95; O, 11.92. Found: C, 53.60; H, 4.47; Cl, 8.80; F, 14.05; N, 6.96; O, 12.12. 

(10) (R)-4-((4-(Methoxycarbonyl)benzyl)amino)-4-oxo-1-(2,4,5-trifluorophenyl)butan-2-aminium chloride 

In an RBF, the Boc-protected amine 2.00 g (4.16 mmol) was added to 10 mL of ice cold 4M HCl in dioxane then the reaction was left to stir for 3 h. The excess solvent was evaporated leaving 1.70 g (98% yield) of white powder. The white solid was then recrystallized in methanol / diethyl ether, then washed with diethyl ether and left to dry affording 1.48 g (85% yield) of pure white crystals with melting point 212.5-214.1℃. 1H NMR (300 MHz, DMSO-d6) δ 8.88 (q, J=5.4 Hz, 1H), 8.39 (s, 3H), 7.89 (t, J=5.8 Hz, 2H), 7.58–7.46 (m, 2H), 7.37 (t, J=5.6 Hz, 2H), 4.29 (d, J=4.9 Hz, 2H), 3.83 (d, J=3.8 Hz, 3H), 3.78 – 3.68 (m, 1H), 3.04 (dt, J=10.5, 5.1 Hz, 1H), 2.90 (dt, J=12.6, 5.3 Hz, 1H), 2.61 (dh, J = 10.5, 5.9 Hz, 2H). 13C NMR (75 MHz, DMSO-d6) δ 169.12, 166.14, 157.76, 154.67, 150.00, 147.64, 147.03, 146.87, 144.81, 130.49, 128.22, 127.54, 121.11, 120.21, 119.96, 119.70, 106.36, 106.07, 105.96, 105.68, 52.16, 47.74, 41.91, 36.56, 30.81. IR cm-1 3309, 3037, 2956, 2906, 2698, 2548, 2036, 1698, 1651, 1625, 1611, 1577, 1523, 1508, 1456, 1424, 1371, 1345, 1314, 1283, 1244, 1227, 1204, 1188, 1151, 1130, 1121, 1106, 1083, 1021, 1006, 980, 906, 885, 857, 833, 808, 757, 723, 711, 689, 662, 643, 610, 581. Mass spec. m/z=380.8 [M + H]+. Analytical calculated values for C19H20ClF3N2O3: C, 54.75; H, 4.84; Cl, 8.50; F, 13.67; N, 6.72; O, 11.50. Found: C, 54.46; H, 4.82; Cl, 8.61; F, 13.69; N, 6.65; O, 11.77. 

(11a) Methyl ((R)-3-((tert-butoxycarbonyl)amino)-4-(2,4,5-trifluorophenyl)butanoyl)-L-tryptophanate 

To an RBF the Boc-protected amine 3.00g (9.00mmol) was added followed by 20 mL dry THF. TEA 3.8 mL (27.00 mmol) was added followed by DEPBT (2.83 g, 9.45 mmol). The reaction was left to stir for 2 h at room temperature before (S)-3-(1H-indol-3-yl)-1-methoxy-1-oxopropan-2-aminium chloride (2.41 g, 9.45 mmol) was added. The reaction was left stirring at room temperature for 24 h. The solvent was then evaporated under vacuum and the remaining yellowish white solid was extracted with 120 mL of ethyl acetate and washed with 1M HCl (60 mL x 3), then with saturated sodium bicarbonate (60 mL x 3), then with Brine (60 mL x 3). The organic solvent was dried with anhydrous sodium sulfate then evaporated under vacuum leaving 4.30 g (70% yield) of white solid. The solid was recrystallized in ethyl acetate to afford 3.50 g of creamy white crystals with melting point 191.0-193.0°C. 1H NMR (300 MHz, DMSO-d6) δ 10.88 (s, 1H), 8.44 (d, J=7.4 Hz, 1H), 7.52 – 7.15 (m, 5H), 7.02 (dt, J = 23.7, 7.2 Hz, 2H), 6.73 (d, J=9.1 Hz, 1H), 4.52 (q, J=7.1 Hz, 1H), 3.99 (dt, J=13.5, 7.7 Hz, 1H), 3.55 (s, 3H), 3.09 (qd, J=14.6, 7.1 Hz, 2H), 2.81 (dd, J=13.7, 4.2 Hz, 1H), 2.48 – 2.39 (m, 1H), 2.31 (q, J=8.0, 7.1 Hz, 2H), 1.25 (s, 9H). IR cm-1 3495, 3421, 3340, 2975, 1730, 1680, 1645, 1531, 1520, 1457, 1443, 1422, 1391, 1367, 1333, 1303, 1277, 1252, 1228, 1212, 1199, 1172, 1159, 1133, 1091, 1052, 1024, 1009, 984, 886, 839, 735, 691, 673. 

(11b) ((R)-3-((tert-Butoxycarbonyl)amino)-4-(2,4,5-trifluorophenyl)butanoyl)-L-tryptophan

To an RBF the Boc-protected amine 3.00 g (5.62 mmol) was added to 65 mL of 1N KOH in methanol. The reaction was left to stir at room temperature for 2 h before TLC (5% methanol in DCM) indicated the completion of the reaction. The pH was adjusted to 5 by adding 1N HCl to the reaction mixture under ice. The product was extracted with ethyl acetate (100 mL X 3). The organic layer was then dried using anhydrous sodium sulfate then evaporated under vacuum leaving a residue. The residue was dissolved in ethyl acetate and the product was crystallized by adding hexane. The product was then filtered, washed with diethyl ether and dried over vacuum to afford 2.90 g (99% yield) of pure white crystals with melting point 158.0-158.9 °C. 1H NMR (300 MHz, DMSO-d6) δ 10.85 (d, J = 2.4 Hz, 1H), 8.27 (d, J = 7.7 Hz, 1H), 7.58 – 7.49 (m, 1H), 7.43 (ddd, J = 10.9, 9.5, 6.9 Hz, 1H), 7.35 – 7.11 (m, 3H), 7.06 (ddd, J = 8.1, 6.9, 1.3 Hz, 1H), 6.98 (ddd, J = 8.0, 6.9, 1.2 Hz, 1H), 6.78 – 6.60 (m, 1H), 4.49 (td, J = 8.0, 5.4 Hz, 1H), 3.97 (t, J = 8.7 Hz, 1H), 3.21 – 2.69 (m, 4H), 2.29 (dt, J = 14.3, 6.7 Hz, 2H), 1.24 (s, 9H). IR cm-1 3492, 3370, 2982, 2934, 1725, 1679, 1624, 1524, 1459, 1446, 1424, 1392, 1367, 1349, 1298, 1273, 1249, 1230, 1201, 1169, 1155, 1098, 1058, 1039, 1027, 1011, 975, 900, 882, 842, 756, 733, 717, 661, 606.

(11) ((R)-3-Ammonio-4-(2,4,5-trifluorophenyl)butanoyl)-L-tryptophanate

In an RBF, the Boc-protected amine 2.00 g (3.85 mmol) was added to 5 mL of ice cold 4M HCl in dioxane then 5 mL of dry dioxane was added and the reaction was left to stir for 3 h. The excess solvent was evaporated leaving a residue which was dissolved in 100 mL of DI water. The pH was set to 7 by adding 1N NaOH to the solution in an ice bath. The flask was left in ice bath for 30 min to allow more solid to crystallize. The solid was filtered and washed with ice cold deionized water. The solid was on vacuum overnight and was crystallized in methanol / diethyl ether. The white solid was then recrystallized in methanol / diethyl ether affording 1.25 g (77% yield) of pure white crystals with melting point 226.8-228.3 °C. 1H NMR (300 MHz, DMSO-d6) δ 10.77 (s, 1H), 8.28 (d, J=7.0 Hz, 1H), 7.53 (d, J=7.8 Hz, 1H), 7.50–7.38 (m, 2H), 7.30 (d, J=7.9 Hz, 1H), 7.13 (s, 1H), 6.98 (dt, J=26.4, 7.0 Hz, 2H), 4.55–4.07 (m, 3H), 3.64–3.41 (m, 2H), 3.39–3.16 (m, 1H), 2.94 (dd, J=14.6, 9.7 Hz, 1H), 2.88 – 2.63 (m, 2H), 2.46–2.36 (m, 1H), 2.09 (dd, J=13.7, 7.1 Hz, 1H). 13C NMR (75 MHz, DMSO-d6) δ 175.06, 173.66, 169.86, 136.51, 127.81, 123.59, 121.42 (dd, J=21.9, 2.9 Hz), 121.18, 120.45–119.71 (m), 118.69, 118.65, 118.59, 111.89, 111.71, 107.80–104.62 (m), 55.52, 49.00, 32.21, 27.58. IR cm-1 3403, 3271, 3080, 1704, 1650, 1599, 1557, 1524, 1513, 1456, 1439, 1421, 1404, 1354, 1331, 1307, 1268, 1246, 1229, 1215, 1202, 1154, 1135, 1096, 1011, 909, 883, 844, 808, 789, 744, 726, 684, 627, 577. Mass spec. m/z=419.9 [M+ H]+. Analytical calculated mass % for C21H24F3N3O5: C, 55.38; H, 5.31; F, 12.51; N, 9.23; O, 17.56. Found: C, 55.32; H, 5.32; F, 12.49; N, 9.15; O, 17.72 

(12a) Methyl ((R)-3-((tert-butoxycarbonyl)amino)-4-(2,4,5-trifluorophenyl)butanoyl)-L-phenylalaninate

To an RBF the Boc-protected amine 5.00g (15.00 mmol) was added followed by 20 mL dry THF. TEA 3.98 mL (30.00 mmol) was added followed by DEPBT (4.94 g, 16.51 mmol). The reaction was left to stir for 2 h at room temperature before (S)-1-methoxy-1-oxo-3-phenylpropan-2-aminium chloride (3.56 g, 16.51 mmol) was added. The reaction was left stirring at room temperature for 24 h. The solvent was then evaporated under vacuum and the remaining yellowish white solid was extracted with 120 mL of ethyl acetate and washed with 1M HCl (60 mL x 3), then with saturated sodium bicarbonate (60 mL x 3), then with Brine (60 mL x 3). The organic solvent was dried with anhydrous sodium sulfate then evaporated under vacuum leaving 6.71 g (90% yield) of white solid. The solid was recrystallized in ethyl acetate to afford 5.53 g of white crystals with melting point 171.1-172.2℃. 1H NMR (300 MHz, DMSO-d6) δ 8.48 (d, J=7.6 Hz, 1H), 7.50– .35 (m, 1H), 7.30–7.14 (m, 6H), 6.71 (d, J=9.1 Hz, 1H), 4.50 (td, J=8.6, 5.8 Hz, 1H), 4.04–3.89 (m, 1H), 3.59 (s, 3H), 3.08 – 2.85 (m, 2H), 2.55–2.35 (m, 2H), 2.31 (dd, J=7.0, 2.9 Hz, 2H), 1.26 (s, 9H). IR cm-1 3348, 2997, 2975, 2939, 1744, 1683, 1649, 1518, 1445, 1421, 1391, 1358, 1336, 1272, 1248, 1226, 1211, 1201, 1171, 1151, 1094, 1076, 1054, 1027, 991, 904, 885, 857, 839, 814, 747, 724, 697, 670, 595. 

(12) ((R)-3-Ammonio-4-(2,4,5-trifluorophenyl)butanoyl)-L-phenylalaninate dihydrate

To an RBF the Boc-protected amine 2.00 g (4.04 mmol) was added to 8 mL of 2N KOH in methanol and 12 mL of THF. The reaction was left to stir at room temperature for 3 h before TLC (5% methanol in DCM) indicated the completion of the reaction. The excess solvent was evaporated leaving behind a residue which was dissolved in water and the pH was adjusted to 7 by adding 1N HCl to the reaction mixture under ice. The white solid that formed was collected by filtration and was left to dry under vacuum overnight. The solid was then added to an RBF followed by 12 mL of HCl in dioxane and the reaction was left to stir for 3 h. The excess solvent was then evaporated invacuo and the residue was washed with hot diethyl ether. The residue was then dissolved in water and the pH was adjusted to 7 by adding saturated solution of NaHCO3. The product was then filtered, washed with diethyl ether and dried over vacuum to afford 1.48 g (96% yield) of pure white crystals with melting point 224.1-224.8 ℃. 1H NMR (300 MHz, DMSO-d6) δ 8.47 (d, J=8.1 Hz, 1H), 7.44 (td, J = 10.3, 4.9 Hz, 2H), 7.22 (q, J=7.7 Hz, 4H), 7.12 (t, J=6.8 Hz, 1H), 5.15 (s, 3H), 4.20 (td, J=9.0, 3.8 Hz, 1H), 3.56 (q, J=6.5 Hz, 1H), 3.05 (ddd, J=81.2, 14.0, 4.8 Hz, 2H), 2.78 (td, J=13.0, 12.2, 9.0 Hz, 2H), 2.48 – 1.68 (m, 2H). 13C NMR (75 MHz, DMSO-d6) δ 174.22, 170.83, 157.78, 154.54, 154.41, 149.95, 147.59, 146.68, 144.39, 144.20, 139.76, 129.10, 128.11, 125.97, 120.94, 120.68, 120.05, 119.81, 106.21, 105.93, 105.55, 56.60, 48.60, 37.48, 37.25, 31.17. IR cm-1 3521, 3318, 3163, 3083, 3033, 2922, 1663, 1548, 1525, 1511, 1481, 1456, 1445, 1428, 1412, 1390, 1341, 1319, 1271, 1251, 1225, 1211, 1186, 1153, 1128, 1104, 1088, 1052, 880, 854, 761, 715, 698, 649, 579. Mass spec. m/z=381.1 [M + H]+. Analytical calculated mass % for C19H23F3N2O5 (dihydrate): C, 54.81; H, 5.57; F, 13.69; N, 6.73; O, 19.21. Found: C, 54.71; H, 5.35; F, 13.65; N, 6.73; O, 19.56. 

(13)(R)-4-(((S)-1-Methoxy-1-oxo-3-phenylpropan-2-yl)amino)-4-oxo-1-(2,4,5-trifluorophenyl)butan-2-aminium chloride

In an RBF, the Boc-protected amine 12a (2.00 g , 4.04 mmol) was added to 10 mL of ice cold 4M HCl in dioxane and the reaction was left to stir for 3 h. The excess solvent was evaporated leaving behind white powder which was washed with diethyl ether then dried over vacuum to afford 1.70 g (98%) of the product. The white solid was then recrystallized in methanol / diethyl ether and left to dry over vacuum affording 1.01 g of pure white crystals with melting point 181.1-182.1 °C. 1H NMR (300 MHz, DMSO-d6) δ 8.83 (d, J=7.5 Hz, 1H), 8.37 (s, 3H), 7.49 (tt, J=11.0, 6.6 Hz, 2H), 7.34–7.21 (m, 2H), 7.21 (d, J = 6.5 Hz, 3H), 4.51–4.37 (m, 1H), 3.62 (q, J=6.4 Hz, 1H), 3.57 (s, 3H), 2.94 (dtd, J=28.5, 14.7, 14.1, 6.2 Hz, 4H), 2.54 (dd, J= 6.4, 2.8 Hz, 2H). 13C NMR (75 MHz, DMSO-d6) δ 171.92, 169.17, 157.92, 157.78, 154.68, 154.56, 150.17, 149.99, 147.64, 147.50, 147.07, 146.89, 146.71, 144.46, 144.28, 137.14, 129.12, 128.39, 126.72, 120.16, 119.98, 119.91, 119.73, 119.66, 106.36, 106.08, 105.98, 105.70, 53.81, 51.98, 47.78, 40.35, 40.07, 39.87, 39.80, 39.52, 39.24, 38.96, 38.69, 36.69, 36.44, 30.56. IR cm-1 3233, 2951, 1736, 1655, 1531, 1512, 1455, 1434, 1425, 1392, 1376, 1327, 1289, 1212, 1174, 1156, 1112, 1100, 1058, 987, 950, 892, 865, 850, 776, 746, 714, 704, 678, 615. Mass spec. m/z=394.8 [M+H]+. Analytical calculated mass % for C20H22ClF3N2O3: C, 55.75; H, 5.15; Cl, 8.23; F, 13.23; N, 6.50; O, 11.14. Found: C, 55.82; H, 5.07; Cl, 8.23; F, 13.38; N, 6.42; O, 11.08. 

(14a) Methyl ((R)-3-((tert-butoxycarbonyl)amino)-4-(2,4,5-trifluorophenyl)butanoyl)-L-tyrosinate

To an RBF the Boc-protected amine 2.00g (6.00 mmol) was added followed by 30 mL dry THF. TEA 0.96 mL (7.20 mmol) was added followed by DEPBT (2.00 g, 12.00 mmol). The reaction was left to stir for 2 h at room temperature before Tryptophan methyl ester 1.41 g (7.20 mmol) was added. The reaction was left stirring at room temperature for 24 h. The solvent was then evaporated under vacuum and the remaining yellowish white solid was extracted with 120 mL of ethyl acetate and washed with 1M HCl (60 mL x 3), then with saturated sodium bicarbonate (60 mL x 3), then with Brine (60 mL x 3). The organic solvent was dried with anhydrous sodium sulfate then evaporated under vacuum leaving 2.95 g (96% yield) of white solid. The solid was recrystallized in ethyl acetate to afford 2.81 g of white crystals with melting point 211.5-212.9 ℃. IR cm-1 3421, 3339, 3308, 2977, 1724, 1679, 1642, 1616, 1596, 1518, 1448, 1433, 1424, 1392, 1366, 1335, 1306, 1278, 1261, 1228, 1213, 1168, 1158, 1133, 1094, 1066, 1051, 1024, 887, 843, 817, 755, 719, 703, 690, 661, 623. 

(14b) ((R)-3-((tert-Butoxycarbonyl)amino)-4-(2,4,5-trifluorophenyl)butanoyl)-L-tyrosine 

In an RBF, the Boc-protected amine (2.00 g, 3.92 mmol) was added to 65 mL of ice cold 2N KOH in methanol and the reaction was left to stir for 2 h. The basic solution was neutralized by adding 1N HCl under ice. The solvent was concentrated invacuo and the flask was left in ice till the product started to crystallize. The product was collected by filtration and was left to dry on vacuum overnight to afford 1.86 g (96%) of white powder. The product was then recrystallized in ethyl acetate and left to dry over vacuum affording 1.56 g (80%) of pure white crystals with melting point 175.6-176.6 °C. 1H NMR (300 MHz, DMSO-d6) δ 12.60 (s, 1H), 9.15 (s, 1H), 8.15 (d, J=7.8 Hz, 1H), 7.35 (td, J=10.2, 6.8 Hz, 1H), 7.16 (ddd, J=11.3, 9.1, 6.7 Hz, 1H), 6.94 (d, J=8.2 Hz, 2H), 6.59 (dd, J=12.0, 8.6 Hz, 3H), 4.28 (td, J=8.4, 5.0 Hz, 1H), 4.04–3.77 (m, 1H), 2.78 (ddd, J=31.3, 13.6, 5.0 Hz, 2H), 2.53–2.26 (m, 2H), 2.28 – 2.09 (m, 2H), 1.18 (s, 9H). IR cm-1 3438, 3347, 2987, 1736, 1676, 1615, 1592, 1537, 1518, 1445, 1423, 1393, 1367, 1336, 1302, 1272, 1251, 1231, 1200, 1157, 1112, 1095, 1052, 1039, 1024, 985, 905, 885, 851, 838, 759, 723, 655, 605, 563.  

(14) ((R)-3-Amino-4-(2,4,5-trifluorophenyl)butanoyl)-L-tyrosine 

In an RBF, the Boc-protected amine (1.00 g, 2.01 mmol) was added to 10 mL of ice cold 4M HCl in dioxane and the reaction was left to stir for 3 h. The excess solvent was evaporated leaving behind a residue which was washed with diethyl ether then dissolved in water. The pH of the solution was adjusted to 7 by adding 1N HCl under ice. The crystals of the product were collected by vacuum filtration and was left to dry on vacuum overnight to afford 0.662 g (83%) of the product. The white solid was then recrystallized in methanol / diethyl ether and left to dry over vacuum affording 0.297 g (37%) of pure white crystals with melting point 244.2-245.6 °C. 1H NMR (300 MHz, DMSO-d6) δ 8.33 (d, J=8.1 Hz, 1H), 7.46 (td, J=10.2, 6.7 Hz, 2H), 7.01 (d, J=8.2 Hz, 2H), 6.62 (d, J=8.0 Hz, 2H), 4.13 (td, J=8.9, 4.0 Hz, 1H), 3.68–3.39 (m, 1H), 3.13–2.57 (m, 4H), 2.47–2.01 (m, 2H). 13C NMR (75 MHz, DMSO-d6) δ 175.18, 169.33, 157.78, 154.55, 154.41, 149.95, 147.59, 146.68, 144.39, 144.20, 139.76, 129.10, 128.11, 125.97, 120.95, 120.69, 120.05, 119.82, 106.21, 105.93, 105.55, 56.60, 48.60, 40.35, 40.08, 39.80, 39.52, 39.24, 38.96, 38.69, 37.48, 37.25, 31.17. IR cm-1 3318, 3152, 3069, 2916, 2487, 1658, 1636, 1614, 1548, 1514, 1440, 1427, 1387, 1332, 1305, 1279, 1256, 1211, 1174, 1151, 1114, 1096, 1061, 956, 906, 891, 861, 831, 807, 726, 689, 673, 618, 563. Mass spec. m/z=398.4 [M + H]+. Analytical calculated mass % for C19H19F3N2O4: C, 57.58; H, 4.83; F, 14.38; N, 7.07; O, 16.15. Found: C, 57.31; H, 4.91; F, 14.22; N, 6.89; O, 16.67. 

(15a) tert-Butyl-(R)-(4-((2-(1H-indol-3-yl)ethyl)amino)-4-oxo-1-(2,4,5-trifluorophenyl)butan-2-yl)carbamate 

To an RBF the Boc-protected amine 1.50 g (4.50mmol) was added followed by 20 mL dry THF. TEA 1.3 mL (9.00 mmol) was added followed by DEPBT 1.41 g (4.73 mmol). The reaction was left to stir for 2 h at room temperature before 0.757 g (4.73 mmol) of 2-(1H-indol-3-yl)ethan-1-amine was added. The reaction was left stirring at room temperature for 2 h. The solvent was then evaporated under vacuum and the remaining yellowish white solid was extracted with 120 mL of ethyl acetate and washed with 1M HCl (60 mL x 3), then with saturated sodium bicarbonate (60 mL x 3), then with Brine (60 mL x 3). The organic solvent was dried with anhydrous sodium sulfate then evaporated under vacuum leaving yellowish residue. The solid was crystallized by dissolving the residue in ethyl acetate and adding Hexane to afford 2.00 g (93% yield) of white crystals with melting point 186.8-189.2°C 1H NMR (300 MHz, DMSO-d6) δ 10.87 (d, J=2.4 Hz, 1H), 8.06 (t, J=5.7 Hz, 1H), 7.57–7.37 (m, 2H), 7.37–7.20 (m, 2H), 7.15 (d, J=2.3 Hz, 1H), 7.05 (ddd, J=8.1, 7.0, 1.3 Hz, 1H), 6.97 (ddd, J=8.0, 7.0, 1.1 Hz, 1H), 6.76 (d, J=9.2 Hz, 1H), 4.12–3.94 (m, 1H), 3.32 (q, 2H), 2.80 (dd, J=8.5, 6.3 Hz, 3H), 2.57–2.51 (m, 1H), 2.28 (d, J=6.9 Hz, 2H), 1.27 (s, 9H). IR cm-1 3348, 3064, 2975, 2935, 2160, 1677, 1635, 1525, 1444, 1423, 1391, 1367, 1350, 1305, 1275, 1252, 1232, 1216, 1201, 1172, 1153, 1094, 1055, 1029, 881, 843, 815, 758, 746, 729, 655, 580. 

(15) (R)-N-(2-(1H-Indol-3-yl)ethyl)-3-amino-4-(2,4,5-trifluorophenyl)butanamide

In an RBF, the Boc-protected amine 1.50 g (3.15 mmol) was added to 5 mL of ice cold 4M HCl in dioxane then 5 mL of dry dioxane was added and the reaction was left to stir for 2 h. The excess solvent was evaporated leaving a residue which was dissolved in 100 mL of DI water. The pH was set to 11 by adding 1N NaOH under ice. The product was extracted with 90 mL of ethyl acetate, then washed with saturated solution of sodium bicarbonate (30 mL X 3), then with deionized water (30 mL X 3), then with Brine (30 mL X 3). The organic layer was then dried with anhydrous sodium sulfate and evaporated under vacuum leaving behind 1.05 g (89% yield) of white solid with melting point 113.3-113.6 °C. The solid was recrystallized in ethyl acetate / hexane affording 0.755 g of pure white crystals with melting point 112.6-113.5 °C. 1H NMR (300 MHz, DMSO-d6) δ 10.82 (d, J=2.3 Hz, 1H), 8.08 (t, J=5.7 Hz, 1H), 7.57–7.29 (m, 4H), 7.15 (d, J=2.3 Hz, 1H), 7.06 (ddd, J = 8.2, 7.0, 1.3 Hz, 1H), 6.97 (ddd, J=8.0, 7.0, 1.1 Hz, 1H), 3.33 (td, J=7.3, 5.6 Hz, 3H) (overlapping peak of β-CH with the amine), 3.22 (td, J = 7.8, 3.8 Hz, 2H), 2.81 (t, J=7.4 Hz, 2H), 2.70–2.53 (m, 2H), 2.16 (dd, J=14.3, 4.6 Hz, 1H), 2.05 (dd, J=14.3, 8.4 Hz, 1H). 13C NMR (75 MHz, DMSO-d6) δ 171.21, 158.30–156.78 (m), 154.78 – 154.37 (m), 150.04–148.99 (m), 147.73 (dd, J=12.4, 3.5 Hz), 146.40 (t, J=13.7 Hz), 145.02–143.65 (m), 136.65, 127.64, 123.88 (ddd, J=18.6, 6.0, 4.0 Hz), 123.05, 121.33, 119.88 (dd, J=18.7, 6.6 Hz), 118.66 (d, J=3.7 Hz), 112.26, 111.80, 105.88 (dd, J=29.6, 21.0 Hz), 49.52, 43.61, 39.79, 36.30, 25.65. IR cm-1 3300, 2920, 2861, 1639, 1584, 1556, 1520, 1454, 1424, 1396, 1334, 1285, 1240, 1207, 1151, 1105, 1037, 926, 898, 873, 858, 840, 735, 598. Mass spec. m/z = 375.9 [M + H]+. Analytical calculated mass % for C20H20F3N3O: C, 63.99; H, 5.37; F, 15.18; N, 11.19; O, 4.26. Found: C, 63.79; H, 5.50; F, 14.96; N, 11.17; O, 4.58. 

(16a) tert-Butyl-(R)-(4-(benzo[d]thiazol-2-ylamino)-4-oxo-1-(2,4,5-trifluorophenyl) butan-2-yl) carbamate 

To an RBF followed with 10 mL of THF, the Boc-protected amine 1.00 g (3.00 mmol) was added. TEA 837 μl (6.00 mmol) was added followed by DEPBT 0.988 g (3.30 mmol). The reaction mixture was left to stir for 2 h before benzo[d]thiazol-2-amine 0.496 g (3.30 mmol) was added all at once. The reaction was left to stir for 18 h then the solvent was evaporated under vacuum. The residue was dissolved in 90 mL of ethyl acetate, then washed with 1 N HCl (30 mL X 3) and saturated solution of sodium bicarbonate (30 mL X 3), then with Brine (30 mL X 3). The solvent was then dried over anhydrous sodium sulfate then evaporated to afford 1.25g of yellowish white solid (90% yield). melting point . 187.6-190.9C. The solid was then recrystallized in ethyl acetate to obtain 0.805 g of pure white crystals with melting point 203.3-204.4 °C. 1H NMR (300 MHz, DMSO-d6) δ 12.34 (s, 1H), 7.94 (d, J=7.9 Hz, 1H), 7.71 (d, J=7.7 Hz, 1H), 7.52–7.22 (m, 4H), 6.88 (d, J=9.1 Hz, 1H), 4.23–4.12 (m, 1H), 2.86 (dd, J=13.6, 4.7 Hz, 1H), 2.68 (tt, J =11.6, 4.9 Hz, 3H), 1.23 (s, 9H). IR cm-1 3360, 3201, 3058, 2980, 1681, 1634, 1600, 1549, 1520, 1444, 1421, 1391, 1366, 1351, 1326, 1285, 1266, 1233, 1211, 1152, 1101, 1048, 1025, 869, 839, 754, 727, 691.  

(16) (R)-4-(Benzo[d]thiazol-2-ylamino)-4-oxo-1-(2,4,5-trifluorophenyl) butan-2-aminium chloride

To an RBF containing 20 mL of ice cold 4M HCl in dioxane, the Boc-protected amine 1.00 g (2.15 mmol) was added. To this solution another 20 mL of dioxane was added then left to stir for 3 h at RT. The flask was then cooled on ice to allow the product to precipitate. The white solid was filtered and left to dry over vacuum to afford 0.858 g (99% yield) of white powder with melting point 224.0-229.5 °C. The white solid was then recrystallized in methanol / diethyl ether then washed with ethyl acetate then with hexane to afford 0.759 g of pure white crystals melting point . - 229.9-231.3 °C. 1H NMR (300 MHz, DMSO-d6) δ 8.54 (s, 2H), 7.95 (d, J=7.3 Hz, 1H), 7.72 (d, J=7.8 Hz, 1H), 7.64–7.34 (m, 3H), 7.34–7.21 (m, 1H), 3.92–3.81 (m, 2H), 3.20–2.80 (m, 4H). 13C NMR (75 MHz, DMSO-d6) δ 173.95, 162.59, 153.55, 152.02, 136.58, 131.35, 128.85, 125.80, 125.10, 111.15, 52.20, 42.48, 36.13. IR cm-1 3675, 2919, 1721, 1689, 1633, 1599, 1545, 1523, 1458, 1445, 1424, 1412, 1390, 1350, 1332, 1318, 1285, 1274, 1241, 1205, 1164, 1152, 1107, 1062, 968, 912, 874, 846, 827, 754, 730, 714, 689. Mass spec. m/z=365.7 [M + H]+. Analytical calculated mass % for C17H16Cl2F3N3OS: C, 46.59; H, 3.68; Cl, 16.18; F, 13.00; N, 9.59; O, 3.65; S, 7.31. Found: C, 46.31; H, 3.92; Cl, 13.26; F, 13.05; N, 9.47; O, 6.73; S, 7.26. 

(17a) tert-Butyl (R)-(4-(4-benzylpiperidin-1-yl)-4-oxo-1-(2,4,5-trifluorophenyl)butan-2-yl)carbamate 

To an RBF the Boc-protected amine 3.00 g (9.00mmol) was added followed by 30 mL dry THF. TEA (1.32 mL, 9.90 mmol) was added followed by DEPBT (2.96 g, 9.90 mmol). The reaction was left to stir for 2 h at room temperature before 4-benzylpiperidine (1.19 mL, 9.90 mmol) was added. The reaction was left to stir at room temperature for 8 h. The solvent was then evaporated under vacuum and the remaining yellowish white solid was extracted with 120 mL of ethyl acetate and washed with 1M HCl (50 mL x 3), then with saturated sodium bicarbonate (50 mL x 3), then with Brine (50 mL x 3). The organic solvent was dried with anhydrous sodium sulfate then evaporated under vacuum leaving 3.60 g (82%) of yellowish white solid. The solid was recrystallized in ethyl acetate / hexane to afford 3.35 g (76%) of pure white crystals with melting point 134.4-135.1 ℃. 1H NMR (300 MHz, DMSO-d6) δ 7.42 (dddd, J=12.0, 9.5, 6.8, 2.6 Hz, 1H), 7.35–7.20 (m, 3H), 7.21–7.05 (m, 3H), 6.74 (dd, J=15.6, 9.1 Hz, 1H), 4.36 (t, J=12.0 Hz, 1H), 4.14–3.90 (m, 1H), 3.81 (t, J=14.8 Hz, 1H), 3.01–2.70 (m, 2H), 2.69–2.20 (m, 6H), 1.72 (ht, J=6.9, 2.9 Hz, 1H), 1.55 (d, J=12.7 Hz, 2H), 1.37–1.12 (m, 9H), 1.12–0.79 (m, 2H). IR cm-1 3371, 2979, 2935, 2850, 2160, 1680, 1624, 1520, 1471, 1446, 1422, 1392, 1364, 1353, 1336, 1309, 1255, 1229, 1207, 1151, 1102, 1067, 1047, 1029, 970, 954, 885, 842, 750, 699, 641.  

(17) (R)-4-(4-Benzylpiperidin-1-yl)-4-oxo-1-(2,4,5-trifluorophenyl)butan-2-aminium chloride

To an RBF containing 10 mL of ice cold 4M HCl in dioxane, the Boc-protected amine 2.00 g (4.08 mmol) was added. The reaction was left to stir for 3 h at RT before the solvent was evaporated invacuo. The residue left in the flask was washed with hot diethyl ether. The product was crystallized by treating the residue with methanol / diethyl ether to afford 0.415 (24% yield) of pure white crystals melting point 145.6-147.6 ℃. 1H NMR (300 MHz, DMSO-d6) δ 8.37 (s, 3H), 7.79–7.40 (m, 2H), 7.28 (t, J=7.4 Hz, 2H), 7.16 (t, J = 9.1 Hz, 3H), 4.53–4.06 (m, 1H), 3.83–3.58 (m, 2H), 3.19–2.53 (m, 6H), 2.49–2.31 (m, 2H), 1.73 (t, J=11.1 Hz, 1H), 1.55 (d, J=12.6 Hz, 2H), 1.19–0.74 (m, 2H). 13C NMR (75 MHz, DMSO-d6) δ 167.14, 166.98, 157.93, 150.09, 146.99, 146.81, 146.63, 144.42, 144.25, 139.99, 129.05, 128.25, 125.93, 120.42, 120.19, 120.05, 119.97, 119.72, 106.34, 106.06, 105.96, 105.69, 47.95, 47.83, 44.95, 44.83, 42.11, 41.30, 40.35, 40.08, 39.80, 39.64, 39.52, 39.24, 38.96, 38.69, 37.29, 34.15, 33.94, 31.96, 31.80, 31.26, 30.78, 30.61. IR cm-1 3040, 3006, 2940, 2915, 2854, 1967, 1631, 1570, 1518, 1497, 1470, 1454, 1438, 1421, 1412, 1380, 1363, 1333, 1265, 1233, 1206, 1191, 1177, 1152, 1139, 1094, 1082, 1065, 1056, 1012, 972, 958, 940, 906, 886, 860, 830, 780, 741, 726, 701, 662, 591. Mass spec. m/z=390.8 [M + H]+. Analytical calculated mass % for C22H26ClF3N2O: C, 61.90; H, 6.14; Cl, 8.30; F, 13.35; N, 6.56; O, 3.75. Found: C, 61.99; H, 6.13; Cl, 8.23; F, 13.39; N, 6.50 O, 3.76.

Funding

All the work done in this study was supported by MCPHS University. The authors of this article did not receive any external financial support for the research or authorship of this publication.

Acknowledgements

None.

Conflicts of interest

The author declares there are no conflicts of interest.

References

  1. Kieffer TJ, Habener JF. The glucagon-like peptides. Endocr Rev. 1999;20(6):876–913.
  2. Tasyurek HM, Altunbas HA, Balci MK, et al. Incretins: Their physiology and application in the treatment of diabetes mellitus. Diabetes Metab Res Rev. 2014;30(5):354–371.
  3. Vilsbøll T, Agersø H, Krarup T, et al. Similar Elimination Rates of Glucagon-Like Peptide-1 in Obese Type 2 Diabetic Patients and Healthy Subjects. J Clin Endocrinol Metab. 2003;88(1):220–224.
  4. Gallwitz B. Therapies for the treatment of type 2 diabetes mellitus based on incretin action. Minerva Endocrinol. 2006;31(2):133–147.
  5. Drucker DJ. The biology of incretin hormones. Cell Metab. 2006;3(3):153–165.
  6. Thornberry NA, Weber AE. Discovery of JANUVIA (Sitagliptin), a selective dipeptidyl peptidase IV inhibitor for the treatment of type 2 diabetes. Curr Top Med Chem. 2007;7(6):557–568.
  7. Xu J, Ok HO, Gonzalez EJ, et al. Discovery of potent and selective β-homophenylalanine based dipeptidyl peptidase IV inhibitors. Bioorg Med Chem Lett. 2004;14(18):4759–4762.
  8. Mehanna A, Shah R, Hendawy M. Design, Modeling, Synthesis and In Vitro Evaluation of new DPP-IV Inhibitors. J Med Chem Toxicol. 2018;3(1):1–11.
  9. Kushwaha RN, Haq W, Katti SB. Sixteen-Years of Clinically Relevant Dipeptidyl Peptidase-IV (DPP-IV) Inhibitors for Treatment of Type-2 Diabetes: A Perspective. Curr Med Chem. 2014;21(35):4013–4045.
  10. Lankas GR, Leiting B, Roy RS, et al. Dipeptidyl peptidase IV inhibition for the treatment of type 2 diabetes: potential importance of selectivity over dipeptidyl peptidases 8 and 9. Diabetes. 2005;54(10):2988–2994. 
  11. Kato T, Nagatsu T, Kimura T, et al. Fluorescence assay of X-prolyl dipeptidyl-aminopeptidase activity with a new fluorogenic substrate. Biochem Med. 1978;19(3):351–359.
  12. Dallakyan S, Olson AJ. Small-molecule library screening by docking with PyRx. Methods Mol Biol. 2015;1263:243–250.
  13. Trott O, Olson AJ. AutoDock Vina: Improving the speed and accuracy of docking with a new scoring function, efficient optimization, and multithreading. J Comput Chem. 2009;31(2):455–461.
  14. O’Boyle NM, Banck M, James CA, et al. Open Babel: An Open chemical toolbox. J Cheminform. 2011;3(10):W504–W509.
  15. Leiting B, Pryor KD, Wu JK, et al. Catalytic properties and inhibition of proline-specific dipeptidyl peptidases II, IV and VII. Biochem J. 2003;371(Pt 2):525–532.
Creative Commons Attribution License

©2021 Mehanna, et al. This is an open access article distributed under the terms of the, which permits unrestricted use, distribution, and build upon your work non-commercially.