Submit manuscript...
Journal of
eISSN: 2473-0831

Analytical & Pharmaceutical Research

Mini Review Volume 5 Issue 5

Pharmacological Perspective of Glycyrrhiza glabra Linn.: a Mini-Review

Ajit Kumar Thakur, Pooja Raj

Correspondence: Ajit Kumar Thakur, Assistant Professor of Pharmacology, Centre for Development of Pharmacology and Toxicology, Delhi Pharmaceutical Sciences and Research University, Pushp Vihar Sector-III, M.B. Road, New Delhi-110 017, India, Fax -29554423

Received: January 01, 1971 | Published: August 4, 2017

Citation: Thakur AK, Raj P (2017) Pharmacological Perspective of Glycyrrhiza Glabra Linn.: a Mini-Review. J Anal Pharm Res 5(5): 00156. DOI: 10.15406/japlr.2017.05.00156

Download PDF

Abstract

Glycyrrhiza glabra Linn. (Family: Fabaceae) is a traditional medicinal plant used in various ancient medicine systems and documented across the globe for its ethanopharmacological value to cure varieties of ailments. Glycyrrhizin is the major active constituent obtained from liquorice roots, one of the most widely used in herbal preparations for the treatment and management of chronic diseases. The present mini-review is focused mainly on major secondary metabolites, ethnopharmacology and potential medicinal uses of Glycyrrhiza glabra. The sources for the literature search were PubMed, ScienceDirect, SciFinder and Google Scholar. Reported pharmacological activities, characterized secondary metabolites and traditional uses of Glycyrrhiza glabra warrants its potential therapeutic uses. However, further scientific validations along with evidence-based studies are still required in support to its traditional uses, to serve as “lead” for development of novel agents and a better drug candidate in future.

Keywords: glycyrrhiza glabra, liquorice, glycyrrhizin, traditional uses, medicinal plant

Introduction

Plants have been major source of medicine in all cultures from ancient times. In the traditional system, various indigenous plants are being used in the diagnosis, prevention and elimination of acute and chronic disease. There is an increasing demand for herbal medicines, health products, pharmaceuticals across the world as herbs have stood the trial of time for their positive safety, efficacy, cultural acceptability and lesser side effect. Medicinal plants have been a part of modern life style and plants are a source of important therapeutic aid for alienating human ailments.1 Glycyrrhiza glabra Linn. (Family: Fabaceae) is a well-known medicinal plant used in traditional medicine across the globe for its ethanopharmacological value to cure varieties of ailments. The roots and rhizomes are the main medicinal parts of licorice (Figure 1). Glycyrrhiza glabra Linn. is also called as Liquorice, Mulaithi or Yashtimadu. Glycyrrhiza is a word derived from the ancient Greek term ‘glykos’, meaning sweet, and ‘rhiza’, meaning root.2 This plant is generally used as a flavoring agent due to its sweetness. Glycyrrhiza glabra plays an important part in Ayurveda and Siddha (Indian Traditional Medicine Systems) arrangement of drug acting as ulcer protective, demulcent, expectorant, anti-tussive and purgative.3 Some marked pharmaceutical formulations containing Glycyrrhiza glabra and their indication and therapeutic uses are summarized in Table 1. Among various plants of the Glycyrrhiza genus, Glycyrrhiza glabra is the utilized for therapeutic purposes and it is additionally pre-clinically and clinically the most focused one.4–7 In this review, we have illustrated major secondary metabolites, ethnopharmacology and potential medicinal uses.

Figure 1 (A) Flowering (aerial part) plant parts of Glycyrrhiza glabra Linn. (B) Root of the plant, and (C) powdered form of the plant root used in traditional system of medicines.

Sl. No.

Name of drug/ cosmetics/ supplement

Manufacturer/ supplier/ marketing

Contents/ Composition

Indication/ therapeutic uses

1.

Glycyrrhiza glabra 1X

Dr. Willmar Schwabe

Glycyrrhiza glabraextract

Irritating cough without wheeze, anti tussive, Sore throat, Chronic inflammatory condition of air passage and cough of non-specific origin

2.

GutGard®

Natural Remedies

Glycyrrhiza glabraextract (>10% flavanoids content)

Support a normal and healthy gastrointestinal tract, sooth heartburn, antioxidant support

3.

Licorice Root 500mg

Pure Science Supplements

10% Glycyrrhizaglabra extract of root, deglycyrrhizinated Licorice

Supports digestive & respiratory function, expectorant and demulcent

4.

Health Aid Licorice (GG 50ml)

Health Aid

Each 1ml Licorice Liquid contains (average): Licorice Extract 1:3 (equivalent of 330mg of Liquorice herb)

Dry cough and promotes clear and comfortable breathing

5.

Solaray Licorice 450mg. - 100 Capsules

Nutraceutical

Licorice (Glycyrrhiza glabra) (root), Gelatin and and magnesium stearate

Health Supplement

6.

Nature’s sunshine licorice roots

Nature’s Sunshine

Licorice root 792 mg

Supports the glandular system, specifically the adrenal glands and liver

7.

Brefus Glycyrrhiza glabra L., 0.2ml/ml

Brefus

Glycyrrhiza glabra L. 0.2ml/ml

Expectorant in cases of pharyngitis, acute and chronic bronchitis, intense coughing and/or secretion, relieve coughs

8.

Chewable DGL Licorice tablets

Nature’s Garden

Deglycyrrhizinated Licorice 380 mg (Glycyrrhiza glabra) (root), L-Glycine 50mg

Health Supplement

9.

Himalaya pure herb-licorice

Himalaya Herbal Healthcare

Organic licorice root 250mg (Standardized extract 25% glycyrrhizin-62.5mg). Organic licorice root powder 350 mg (3% glycyrrhizin-10.5mg)

Gastric support, soothes the mucous membranes, balances excess acidity in the stomach lining, and supports comfortable digestion

10.

Banyan botanicals licorice root powder

Banyan Botanicals

Glycyrrhiza glabraextract

Natural expectorant and demulcent, dry cough and promotes clear and comfortable breathing, reproductive system, balanced adrenals, and proper function of the kidneys,

11.

The Nature Republic Cotton Armpit Cream

Nature Republic

Glycyrrhiza glabraroot extract as one of the component

Claims to whiten, brighten and deodorize your underarm areas with its calming, powdery scent

12.

Illuminate clean face cleanser

Younique

Made with Garden chrysanthemum, Aloe vera, and Licorice root

Face cleanser for oily skin

13.

Himalaya clear complexion whitening face wash

Himalaya

Pomegranate, saffron, liqorice, white dammer

Removes dark spots, cleanses and clarifies impurities

14.

Liqorice extract –resist barrier repair moisturizer with retinol

Seattle

Retinol, liqorice

Anti-aging cream and removes wrinkles

Table 1 Pharmaceutical preparations containing Glycyrrhiza glabra with their indication and therapeutic uses

Biodiversity of liquorice

The Glycyrrhiza genus contains more than 30 species and widely distributed all over the world.7 Glycyrrhizagenus plants are wide spread in Mediterranean, Southern and Central Russia and Asia, being minor to Iran. Many species are now grown throughout Europe, Syria, Asia, UK, USA, Italy, France, Germany, Spain, China, Middle East, Central and South Western Asia and the Mediterranean region, which is basin of Africa, in South Europe, Afghanistan and Northern India (Punjab and Sub-Himalayan regions). Large-scale commercial cultivation is available in Spain, Sicily and England.8,9

Secondary metabolites of liquorice

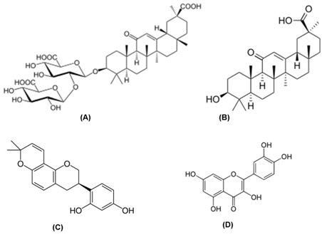
A number of studies have been reported describing the different secondary metabolites of the Glycyrrhiza species. Glycyrrhiza glabra contains more than 20 triterpenoids and nearly 300 flavonoids.6 Major secondary metabolites of Glycyrrhiza glabra are shown in Figure 2. The secondary metabolites are triterpenoid saponin, glycosides, glycyrrhizin, prenylated biaurone, licoagrone, 7-acetoxy-2-methyl-isoflavone, 7-methoxy-2-methylisoflavone, and 7-hydroxy-2 methyl isoflavone, 4-methyl coumarin, liqcoumarin, glyzaglabrin, quercetin, quercetin-3-glucoside, liquiritigenin, isoliquiritigenin. Other constituents reported include a flavanone rhamnoglucoside, isoliquiritin, licuraside, liquiritoside, liquoric acid, liquiritic acid, isoglabrolide, 18α-hydroxy glycyrrhetic acid, glabrolide, glycyrrhizic acid, glabridin, glabrol, liquiritin, glycyrrhetinic acid; licoflavonol, glyzarin, glyzaglabrin, licoisoflavones A, B and licoisoflavon.6,7 Glycyrrhizin and glycyrrhetinic acid are the main components of Glycyrrhiza glabra. The metabolic processes in human being can convert glycyrrhizin to glycyrrhetinic acid. Therefore, the pharmacological effects of glycyrrhizin are similar to glycyrrhetinic acid.10

Figure 2 Major secondary metabolites of Glycyrrhiza glabra Linn. (A) Glycyrrhizin, (B) Glycyrrhetinic acid, (C) Glabridin, and (D) Quercetin.

Therapeutic potentials and traditional uses

Research have come up with many therapeutic activities of licorice, a recent review paper summarized the pharmacological activities and discussed potential uses of Glycyrrhiza glabra for antitumor, antimicrobial, antiviral, anti-inflammatory, immunoregulatory, and several other activities that contribute to the recovery and protection of the nervous, alimentary, respiratory, endocrine, and cardiovascular systems.6 The reported potential therapeutic activities and traditional uses of Glycyrrhiza glabra Linn. are summarized in Figure 3. Glycyrrhizin, a triterpene glycoside from root of Glycyrrhiza glabra, has positive effects on inhibition of hepatic apoptosis and necrosis by suppression of TNF-α and caspase-3, an important cytokine, which is a key mediator of hepatic apoptosis and necrosis in LPS/D-GaAlN-induced liver failure.11 and down-regulation of matrix metalloproteinase-9 in lipopolysaccharide/D-galactosamine-induced liver injury.12 Hydro-methanolic root extract of Glycyrrhiza glabra exhibit potent anti-bacterial activity due to the presence of secondary metabolites such as alkaloids, flavonoids, saponins and so on. Various in-vitro studies have been proved that aqueous, methanolic or ethanolic extract of Glycyrrhiza glabra show inhibitory activity against various species of bacteria. The in-vitro inhibitory activity of Glycyrrhiza glabra extract against Salmonella typhiS. paratyphi BS. flexneriShigella sonnei and enterotoxigenic E. coli was investigated using well and disc diffusion method. It was found that all the strains were inhibited by Glycyrrhiza glabra extract at concentration higher than 7.5% thus proved that Glycyrrhiza glabra extract could be used as an alternative herbal antibacterial agent.13 The in-vitro anti-bacterial activity of ethanolic extract of Glycyrrhiza glabra against oral microbes such as, Streptococcus mutansS. sanguisS. salivariusS. mitis and Lactobacillus acidophilis using disc diffusion method concluded that ethanolic extract of Glycyrrhiza glabra (500μg/disc) was more effective with high zone of inhibition among various bacterial species in comparison to aqueous extract of Glycyrrhiza glabra. This inferred that extract of Glycyrrhiza glabra can be used in herbal treatment in dentistry and oral infections.14 The in-vitro antibacterial activity of aqueous and methanolic root extract of Glycyrrhiza glabra against Strephylococcus aureus and Strptococcus agalactiae were also defined.15 Recently, researchers have demonstrated the anti-bacterial activity of root and leaf extract of Glycyrrhiza glabra against E. coliPseudomonas aeruginosaEntereobacter cloacae and Klebsiella sp. using well and disc method showing that both extracts were ineffective against Entereobacter cloacae and Klebsiella sp. while strong anti-bacterial activity against E. coli and Pseudomonas aeruginosa. Therefore, Glycyrrhiza glabra might be useful in the treatment of diarrhea caused by rotavirus infection.16 Antifungal activity of liquorice extract is due to its active compound identified as glabridin (3-(2’,4’-dihydroxyphenyl)-8-dimethylpyrano[8,7-e]chroman) which also demonstrates the resistance modifying activity against drug resistant mutants Candida albicans and Aspergellus niger.17 The in-vitro and in-vivo anti-malarial activity of 18-β-glycirrhetic acid an active constituent of Glycyrrhiza glabra was also found to be effective.18

Figure 3 Potential therapeutic activities and traditional uses of Glycyrrhiza glabra Linn.

Researchers have evaluated the cytotoxicity of polyphenol molecule extracted from Glycyrrhiza glabra which is used for the treatment of breast and prostate cancer,19 head and neck cancer cell lines and non-malignant primary mucosal cells,20 and against different cancer cell lines such as Immortal Human Keratinocyte (HaCaT), Lung Adenocarcinoma (A549), and Liver Carcinoma (HepG2) cell lines.21 Glycyrrhiza glabra possess immunomodulatory effects at 100µg/ml concentration proved by various in-vitro studies. It increases fabrication of TCD69N lymphocytes and macrophages from human granulocytes. According to in-vivo studies, Glycyrrhiza glabra was found to keep the ascent for complexes related to autoimmune disease. The antihyperlipidemic and antihyperglycemic effects of ethanolic extract of Glycyrrhiza glabra against streptozotocin and high fat diet induced diabetic rats has been explored out. Various physical, biochemical and histomorphological parameters were evaluated to study the antihyperlipidemic effects.22 In an independent study, oral dose of 100mg/kg of 18-β-glycirrhetic acid possess a suitable the anti-hyperglycemic effect in streptozotocin (40mg/kg of body weight) induced diabetic rats that is comparable with glibenclamide.23

Several studies have been reported for the beneficial effects of Glycyrrhiza glabra Linn. in co-morbidities associated with central nervous system. High phenolic content compounds present in Glycyrrhiza glabra Linn. is responsible for its strong antioxidant activity due to free radical scavenging, metal ion chelating, hydrogen-donating, anti-lipid peroxidative and reducing activities. Studies have reported that liquorice flavonoids have 100 times strong antioxidant activity when compared with antioxidant activity of vitamin E.24 The aqueous and ethanolic extract of Glycyrrhiza glabra also shows dose dependent oxidative scavenging activity and have potential for protective effect against the human lipoprotein oxidative system.25 In this reported study, antioxidant activity of aerial part and root of Glycyrrhiza glabra Linn. was also compared. Aqueous and ethanolic extract of roots and bark of Glycyrrhiza glabra were evaluated using various in-vitro antioxidant assays such as DPPH scavenging activity, total antioxidant activity, Fe3+-Fe2+ and Cu2+- Cu+ reducing abilities H2O2 and metal chelating activities.26 The Glycyrrhiza glabra has shown promising effect as a memory-enhancing agent on learning and memory animal models in rodents.27-29 The root extract of Glycyrrhiza glabra proved to have an antidepressant and anti-stress activity in rodents. Antidepressant-like effect of liquorice extract might be through the restoration of brain monoamines, like norepinephrine and dopamine levels. Glycyrrhizin, the main constituent of liquorice, showed MAO inhibiting activity.30,31 Aqueous extract of Glycyrrhiza glabra was also depicted to increase animal resistance to stress and play a role for adaptogenic activity. Researchers investigated the effect of hydro alcoholic extract of Glycyrrhiza glabra Linn. on behavioral alteration in mice induced by chronic fatigue stress.32 In an ongoing research from our laboratory, Glycyrrhiza glabra extract was found to be beneficial in stress-induced psychopathologies and co-morbidities (unpublished data) like other adaptogenic herbal drugs.33,34 The anticonvulsant activity of ethanolic extract of roots and rhizomes of Glycyrrhiza glabra various dose of extract (10, 30, 100 and 500mg/kg) delayed the onset of convulsions caused by pentyltetrazole and lithium pilocarpine.35 The aqueous extract of Glycyrrhiza glabra promoted the locomotor activity by decreasing the level of brain enzymes such as dopamine & glutamate and decreased AchE activity. Lipid peroxidation was also restored by extract of Glycyrrhiza glabra. Thus anti-oxidant and neurotransmitter modulating activity explain the potential cerebroprotective effect of Glycyrrhiza glabra in hypoxic rat 36. Scientists also investigated the antinociceptive activity of aqueous and ethanolic extracts of Glycyrrhiza glabra by using different pain models like acetic acid induced abdominal constrictions, formalin induced hyperalgesia and tail flick method in Swiss albino mice. The ability of glycyrrhizin to inhibit inflammatory events, such as oedema, apoptosis, iNOS expression and NFκB, was reprted and marked in various studies.37,38

Concluding remarks

This review summarized the distribution, ethnobotany, major secondary metabolites, ethnopharmacology and potential medicinal uses of Glycyrrhiza glabra. Furthermore, the clinical efficacy and toxicity studies of Glycyrrhiza glabra need to explored and discussed. As the herbal drug characterization is a major controversial, therefore secondary metabolites must be identified and analytically characterized in the extracts of Glycyrrhiza glabra. Since, herbal drugs showed drug-drug and drug-food interactions hence, extracts of Glycyrrhiza glabra must be experimentally validated for its drug-food-extract interactions in clinical setup. Moreover, advances in experimental research work along with high-throughput experimentations and DNA microarrays may provide a suitable platform for research and development of drugs from natural products.

Acknowledgments

None.

Conflicts of interest

There is no conflict of interest to declare.

References

  1. Kamboj VP. Herbal Medicine. Current Science. 2000;78:35–51.
  2. Fiore C, Eisenhut M, Ragazzi E, et al. A history of the therapeutic use of liquorice in Europe. J Ethnopharmacol. 2005;99(3): 317–324.
  3. Dastagir G, Rizvi MA. Review - Glycyrrhiza glabra L. (Liquorice). Pak J Pharm Sci. 2016;29(5):1727–1733.
  4. Sen S, Chakraborty R. Revival, modernization and integration of Indian traditional herbal medicine in clinical practice: Importance, challenges and future. J Tradit Complement Med. 2017;7(2):234–244.
  5. Tang J, Song X, Zhu M, et al. Study on the pharmacokinetics drug-drug interaction potential of Glycyrrhiza uralensis, a traditional Chinese medicine, with lidocaine in rats. Phytother Res. 2009;23(5):603–607.
  6. Yang R, Wang LQ, Yuan BC, et al. The Pharmacological Activities of Licorice. Planta Med. 2015;81(18):1654–1669.
  7. Rizzato G, Scalabrin E, Radaelli M, et al. A new exploration of licorice metabolome. Food Chem. 2017;221: 959–968.
  8. Shibata S. A drug over the millennia: pharmacognosy, chemistry, and pharmacology of licorice. Yakugaku Zasshi. 2000;120(10):849–862.
  9. Nassiri-asl M, Hosseinzadeh H. Licorice (Glycyrrhiza species). In: Singh RJ (Eds.), Genetic Resources, Chromosome Engineering, and Crop Improvement: Medicinal Plants, Florida, USA. CRS Press- Taylor & Francis Group; 2012;6:935–958.
  10. van Rossum TG, Vulto AG, de Man RA, et al. Review article: glycyrrhizin as a potential treatment for chronic hepatitis C. Aliment Pharmacol Ther. 1998;2(3):199–205.
  11. Li JY, Cao HY, Liu P,et al. Glycyrrhizic acid in the treatment of liver diseases: literature review. Biomed Research International. 2014:872139.
  12. Abe K, Ikeda T, Wake K, et al. Glycyrrhizin prevents of lipopolysaccharide/D-galactosamine-induced liver injury through down-regulation of matrix metalloproteinase-9 in mice. J Pharm Pharmacol. 2008;60(1):91–97.
  13. Shirazi MH, Ranjbar R, Eshraghi S, et al. An evaluation of antibacterial activity of Glycyrrhizaglabra extract on the growth of Salmonella, Shigella and ETEC E. coli. Journal of Biological Sciences. 2007;7:827–829.
  14. Geetha RV, Roy A. In-vitro evaluation of anti bacterial activity of ethanolic root extract of Glycyrrhiza glabra on oral microbes. IJDDR. 2012;4(4):161–165.
  15. Irani M, Sarmadi M, Bernard F, et al. Leaves Antimicrobial Activity of Glycyrrhizaglabra L. Iran J Pharm Res. 2010;9(4):425–428.
  16. Knipping K, Garssen J, van't Land B. An evaluation of the inhibitory effects against rotavirus infection of edible plant extracts. Virol J. 2012;9:137.
  17. Fatima A, Gupta VK, Luqman S, et al. Antifungal activity of Glycyrrhiza glabra extracts and its active constituent glabridin. Phytother Res. 2009;23(8):1190–1193.
  18. Kalani K, Agarwal J, Alam S, et al. In silico and in vivo anti-malarial studies of 18beta glycyrrhetinic acid from Glycyrrhiza glabra. PLoS One. 2013;8(9):e74761.
  19. Rafi MM, Vastano BC, Zhu N, et al. Novel polyphenol molecule isolated from licorice root (Glycrrhiza glabra) induces apoptosis, G2/M cell cycle arrest, and Bcl-2 phosphorylation in tumor cell lines. J Agric Food Chem. 2002;50(4):677–684.
  20. Schmidt M, Polednik C, Roller J, et al. Cytotoxicity of herbal extracts used for treatment of prostatic disease on head and neck carcinoma cell lines and non-malignant primary mucosal cells. Oncol Rep. 2013;29(2):628–636.
  21. Basar N, Oridupa OA, Ritchie KJ, et al. Comparative Cytotoxicity of Glycyrrhiza glabra Roots from Different Geographical Origins Against Immortal Human Keratinocyte (HaCaT), Lung Adenocarcinoma (A549) and Liver Carcinoma (HepG2) Cells. Phytother Res. 2015;29(6):944–948.
  22. Shamim A, Mahmood T, Mukeem M, et al. Effect of Ethanolic Extract of Glycyrizza glabra against Stereptozotocin and High Fat Diet Induced Diabetes and Hyperlipidemia. International Journal of Pharmacy and Pharmaceutical Sciences. 2016;8(4):259–266.
  23. Kalaiarasi P, Pugalendi KV. Antihyperglycemic effect of 18 beta-glycyrrhetinic acid, aglycone of glycyrrhizin, on streptozotocin-diabetic rats. Eur J Pharmacol. 2009;606(1-3):269–273.
  24. Ju HS, Li XJ, Zhao BL, et al. Effects of glycyrrhiza flavonoid on lipid peroxidation and active oxygen radicals. Yao Xue Xue Bao. 1989;24(11):807–812.
  25. Visavadiya NP, Soni B, Dalwadi N. Evaluation of antioxidant and anti-atherogenic properties of Glycyrrhiza glabra root using in vitro models. Int J Food Sci Nutr. 2009;60(2):135–149.
  26. Tohma HS, Gulçin I. Antioxidant and Radical Scavenging Activity of Aerial Parts and Roots of Turkish Liquorice (Glycyrrhizaglabra L.). International Journal of Food Properties. 2010;13(4):657–671.
  27. Dhingra D, Parle M, Kulkarni SK. Memory enhancing activity of Glycyrrhiza glabra in mice. J Ethnopharmacol. 2004;91(2-3):361–365.
  28. Sarokte AS, Rao MV. Effects of Medhya Rasayana and Yogic practices in improvement of short-term memory among school-going children. Ayu. 2013;34(4):383–389.
  29. Parle M, Dhingra D, Kulkarni SK. Memory-strengthening activity of Glycyrrhiza glabra in exteroceptive and interoceptive behavioral models. J Med Food. 2004;7(4):462–466.
  30. Dhingra D, Sharma A. Antidepressant-like activity of Glycyrrhiza glabra L. in mouse models of immobility tests. Prog Neuropsychopharmacol Biol Psychiatry. 2006;30(3):449–454.
  31. Hatano T, Fukuda T, Miyase T, et al. Phenolic constituents of licorice. III. Structures of glicoricone and licofuranone, and inhibitory effects of licorice constituents on monoamine oxidase. Chem Pharm Bull (Tokyo). 1991;39(5):1238–1243.
  32. Trivedi R, Sharma K. Hydroalcoholic Extract of Glycyrrhiza glabra Linn. Attentuates Chronic Fatigue Stress Induced Behavioral Alterations in Mice. International Journal of Pharmaceutical & Biological Archive. 2011;2(3):996–1001.
  33. Thakur AK, Chatterjee SS, Kumar V. Adaptogenic potential of andrographolide: An active principle of the king of bitters (Andrographis paniculata). J Tradit Complement Med. 2015;5:42–50.
  34. Thakur AK, Soni UK, Rai G, et al. Protective effects of Andrographis paniculata extract and pure andrographolide against chronic stress-triggered pathologies in rats. Cell Mol Neurobiol. 2014;34(8): 1111–1121.
  35. Ambawade SD, Kasture VS, Kasture SB. Anticonvulsant activity of roots and rhizomes of Glycyrrhiza glabra. Indian Journal of Pharmacology. 2002;34:251–255.
  36. Muralidharan P, Balamurugan G, Babu V. Cerebroprotective effect of Glycyrrhiza glabra Linn. root extract. Bangladesh Journal of Pharmacology. 2008;4(1):60–64.
  37. Castangia I, Caddeo C, Manca ML, et al. Delivery of liquorice extract by liposomes and hyalurosomes to protect the skin against oxidative stress injuries. Carbohydr Polym. 2015;34:657–663.
  38. Marianecci C, Rinaldi F, Mastriota M, et al. Anti-inflammatory activity of novel ammonium glycyrrhizinate/niosomes delivery system: human and murine models. J Control Release. 2012;164(1):17–25.
Creative Commons Attribution License

©2017 Thakur, et al. This is an open access article distributed under the terms of the, which permits unrestricted use, distribution, and build upon your work non-commercially.