Submit manuscript...
Journal of
eISSN: 2473-0831

Analytical & Pharmaceutical Research

Research Article Volume 7 Issue 4

Spectrophotometric, thermal and determination of trace amount of palladium (II) nickel (II) and silver (I) by using pyrazolone azo derivative

Hussain J Mohammed, Aayad Ammar Syhood

Correspondence: Hussain J Mohammed, Department of Chemistry, Faculty of Science, University of Kufa, Najaf, Iraq

Received: January 19, 2017 | Published: August 31, 2018

Citation: Mohammed HJ, Syhood AA. Spectrophotometric, thermal and determination of trace amount of palladium (II) nickel (II) and silver (I) by using pyrazolone azo derivative. J Anal Pharm Res. 2018;7(4):504-511. DOI: 10.15406/japlr.2018.07.00275

Download PDF

Abstract

This study describes the use of novel azodyes reagents, H4L,1-[(1,5-Dimethyl-3-oxo-2-phenyl-2,3-dihydro-1H-pyrazol-4-yl]-2,3,7,8-tetrahydroxychromeno(5,4,3-cde) chromene-5,10-dione, that prepare ellagic acid as a coupling agent with 4-aminoantipyrine, as sensitive and selective analytical reagent for the determination of palladium (II),nickel (II) and silver (I) Ions spectrophotometrically. HL reacts with ions at pH (3,8 and 6) respectively to form colored complexes of 1:2 stoichiometry of Pd(II), Ni(II) and 1:1 for Ag(I) which show a maximum absorbance of 504, 495 and 492nm of molar ratio absorbitivity 3.565x103, 1.966x103 and 4.735x103L.mol-1cm-1 respectively. Fixed optimum conditions were constructed, precision, accuracy, R.S.D.andcorrelation factors. The Beers law was obeyed 0.1-3ppm. The thermal measurements were also studied, all the complexes show three-stage mass loss in their TG/HDSC curves.

Keywords: spectrophotometric, azodyes, thermal analysis, palladium (II), nickel (II) and silver (I)

Introduction

Azo compounds are very important class of chemical compounds containing a hetro cyclic moiety which has attracted the attention of many researchers in the recent years.1 There has been increasing interest in syntheses of heterocyclic compounds that have biological and commercial importance clinical,2 and pharmacological activities.3 One of the most important derivatives of antipyrine is 4-aminoantipyrine, which is used as a synthetic intermediate to prepare polyfunctionally substituted heterocyclic moieties.4

Azo compounds containing N3 donor atoms act as superior chelating agents for the transition and non-transition metal ions and showed biological activities.5 Azo days are commonly synthesized by coupling a diazonium reagent with an aromatic compound to form an azo reagent.6 The azo compounds give bright, high intensity colors, much more than the other most common compounds, in addition, they have fair to good fastness properties, their biggest advantage it their cost–effectiveness, which is due to the processes involved in manufacture.7 The coordinating property of 4-aminoantipyrine ligand has been modified to give a flexible ligand system, formed by condensation with variety reagents like aldehydes, ketones and carbazides.8

Ellagic acid, a dimeric derivative of gallic acid, is apolyphenolic antioxidant that occurs in its free form as aglycoside or is found as ellagitannins in fruits and nuts ofseveral plants.9 Several studies have reported the antioxidant, antimutagenic, anti-inflammatory and cardioprotective activityof ellagic acid.10 In this research, novel sensitive and selective azodyes was prepared by reaction 4-aminoantipyrine with ellagic acid as a coupling agent to determine trace amount of Pd (II), Ni (II) and Ag (I) as complexes.

Experimental

Materials and methods

All chemicals ofhighest purity were used in this work which supplied by Fluka and BDH. Spectrophotometric measurements were made with ShimadzuUV-Visible-1650Pc double beam. The FTIR measurements were made in Shimadz 8400 Series Japan. Differential Scanning Calorimeter DSC MODEL STA PT-1000 Linseis. Atomic Absorption Spectrophotometer Flame Model Shimadzu AA-7000F. Electricmolar conductivity measurements were carried out at room temperature usingan Alpha digital conductivity model-UK 9300. The pH measurements were performed with a "HANNA pH meter H19811-5 Instrument.

Synthesis of H4L

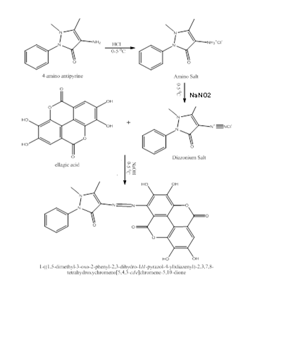
The reagents and solvents were of analytical grade and used without further purification. 4-Aminoantipyrine (0.00492mole) 1.0000gm was diazotized by dissolving it in 25ml ethanol then 5ml of HCl was adding keeping the temperature at 0-5°C and then adding NaNO2 solution gradually and left the solution about 15min.11 The diazonium salt was spontaneously added slowly drop wise to a well cooled alkaline solution of coupling agent (ellagic acid 1.4869gm), the mixture was allowed to stand for 1h. The dark colored mixture was neutralized with HCl and the solid precipitate was filtered off and washed several times with (1:1) (methanol: water) mixture then recrystallised from boiling methanol and left to dry (Scheme 1).

Scheme 1 Synthesis of H4L

Solutions

A stock standard Palladium solution (100ppm) was prepared by dissolving 0.0353g of PdCl2, the volume was completed to 200ml with distilled water. A stock standard Nickel solution (100ppm) was prepared by dissolving 0.0806 gm of NiCl2.6H2O, the volume was completed to 200ml with distilled water. A stock standard Silver solution (100ppm) was prepared by dissolving 0.0314gm of AgNO3, the volume was completed to 200ml with distilled water. Solution of azodye reagent (1x10-3M) were prepared by dissolving (0.0516gm) and complete the volume to100ml with absolute methanol. Foreign ions solutions (100μg ml-1), these solutions were prepared by dissolving an amount of the compound in distilled water completing the volume in a volumetric flask.

Procedure

To get highest absorbance of complexes formed, it is necessary to get optimum conditions of forming each complex, which include, the selection of the suitable wavelength (λmax), effect of time, effect of pH values, effect of sequence of additions, stoichiometry and effect of interferences of strange ions. The general procedure was summarized by taking (0.1–3ppm) of Pd(II), Ni(II) and Ag(I) ions with (3ml) of 1x10-3M of H4L then the volume was completed to 10ml. After 15 min, the absorbance of formed complexes were measured at λmax of 504, 495and492nm respectively.

Results and discussion

Absorption spectra

The electronic spectra of H4L and their complexes with ions, Pd(II), Ni(II) and Ag(I). Complexes are at λmax wavelengths were fixed in Figure 1, shows the absorbance λmax at 504, 495 and 492nm respectively. It is clear that according to the red shift that happened in λmax show the stable complexes are formed immediately, ππ* transition within the azo group and heterocyclic moieties involving the whole π electronic system of the compound influenced by inter-molcular charge transfere character.12 A great bathochromic shift in the visible region was detected in the complex solution spectra with respect to that of the free ligand. The intensity colored solutions formed from the reaction of the azo ligands with the metal ions is playing an important rule for many UV-Vis spectral studies. This is because of the presence of a sharp and high absorption peak which belongs to the metal complex. The large bathochromic shift of this peak in the visible region with respect to that of the ligand may give a good indication on the complex formation.

Figure 1 The absorbance λmax of H4L and their complexes.

FTIR spectra

The FT-IR data of H4L reagent and their complexes are with their probable assignment given in Table 1. The important bands observed in the spectra of the complexes while comparing with reagents, which is helpful in detection of donation sites. The IR spectra of the free ligand have a broad band around 3415.9cm-1 which could be attributed to O-H stretching vibration and it shifted to lower frequency. The stretching frequency of carbonyl group of ligand ν(C=O) 1676.14(s)cm-1 is shifted to a lower frequency in complexes. Similarly the frequency corresponding to ν(N=N) at 1494.8 (s) is shifted to range (1383-1496)cm-1 in complexes. The shifting in λmax and their intensities of bands led to predict the chelating behavior, i.e., coordination occurs through ring carbonyl oxygen atom with the nitrogen atom of azo group. The spectra of metal complexes also show additional bands in (546-563) (w) cm-1 and (480-418) (w) cm-1 which is probably due to the formation of ν(M-O) and ν(M-N)bond respectively.13

Compound

νOH

νC-H Aromatic

νC=O

νN=N CNNC

νCN=NC

ν(C-N)

ν(M-O)

ν(M-N)

H4L

3415.9s

3194.12m

1676.14s

1535.34m
1494.8s

1109.07m
1053.13m

------

------

------

Pd-L

3417s

3128.04m

1649.19s

1553.5w
1491.02m

1132.25s
1111.03s

1400m

534.3w

480w

Ni-L

3408.22s

3227.94w

1627.92s

-------1496.76w

1151.5m
1118.71m

1406.11m

513.07w

414.70w

Ag-L

3423.76s

------

1651.12s

1514.17m
1383s

1136.11w
1030.02w

------

513.08w

450w

Table 1 The most important band and their assignments of H4L and their complexes (cm-1)

s, strong; m, medium; w, weak.

Effect of pH: The influence of pH value on the absorbance of complexes was studied at different pH (Figure 2) by using of HCl and NaOH (0.05M) solutions (pH 2-10). It was found that the highest absorbance of Pd-L, Ni-L and Ag-L at pH 3, 8 and 6 respectively, because of the formation of the anionic form of the reagent, which can easily react with ions to form complexes.

Figure 2 Effect of pH.

Effect of reagent volume: Various volume of HL (0.5-4ml)of 1x10-3M were added to a fixed amount of Pd(II), Ni(II) and Ag(I) of 10ppm (2ml). It's found enough to develop the color to its full intensity and give a minimum blank value and were considered to be optimum for the volume 3, 3 and 2ml respectively. Figure 3 show the effect of concentration HL with ions.

Figure 3 The effect of concentration HL on Pd(II), Ni(II) and Ag(I) ions.

Effect of time: The stability of complexes with time was showed in Figure 4, from the data obtained it was found that the highest absorbance reached at 15min and remains constant up 24hrs with respect to Pd-L, Ni-L and Ag-L respectively.

Figure 4 The effect of time.

Calibration graph: At optimum conations, a linear calibration graphs for Pd-L, Ni-L and Ag-L were obtained, (Figure 5-7) that Beers low is obeyed over the concentration range of (0.1-3ppm) Pd(II), Ni(II) and Ag(I) with R2 equal to (0.9978), (0.9981) and (0.9982) respectively. The results of analytical performance are summarized in Table 3.

Figure 5 Calibration curve of Pd-L.

Figure 6 Calibration curve of Ni-L.

Figure 7 Calibration curve of Ag-L.

Characteristic

Pd(II)

Ni(II)

Ag(I) 

Absorption maxima (λmax) nm

504

495

492

Bee's law range(μg/ml)

0.1-3

0.1-3

0.1-3

Molar absorptivity (L.mol-1cm-1)

3.565x103

1.966x103

4.735x103

Sandell's sensitivity (μgcm2)

0.0298

0.0298

0.0227

pH

3

8

6

Stability constant

1.406x1010

2.191x1010

1.2x107

Table 2 Analytical characteristics of metal-l complexes

Complexes

Molar conductivity S mol-1 cm2
DMSO

Molar conductivity S mol-1 cm2
Ethanol

Molar conductivity S mol-1 cm2
Methanol

Pd-L

9.6

11.2

13.4

Ni-L

7.3

8.7

11.8

Ag-L

10.9

12.6

14.5

Table 3 Conductivity values of complexes

Conductivity measurements: The solubility of the complexes in dimethylsulfoxide (DMSO), ethanol and methanol permitted of the molar conductivity of 1x10-3 M solution at 25°C and by comparison, the electrolytic nature of complexes. The lower values of the molar conductance data listed in Table 3 indicate that the complexes are non-electrolytes.

Accuracy and precision

To determine the accuracy and precision of the method, Pd(II), Ni(II) and Ag(I) were determined at three different concentrations. The results shown in Table 4 a satisfactory precision and accuracy with the proposed method.

Ion

Con. ppm

%R.S.D*

%Error

D.L

%Recovery

Pd(II)

0.1

0.93136

0.7604

0.00279

99.2395

0.5

0.93786

0.79491

0.01406

99.2050

Ni(II)

1.0

0.96817

0.39525

0.02904

99.6047

1.5

0.93324

0.60240

0.04199

99.3975

Ag(I)

0.1

0.94143

0.16155

0.002374

99.8384

0.5

0.96153

0.29673

0.014423

99.703

Table 4 Accuracy and precision values of complexes
*for six determinations

Effect of interferences: The effect of diverse ions as interferences was studied. To test of diverse ions was determined by the general procedure, in the presence of their respective foreign ions. In the experiment, a suitable amount of the standard ions solution, coexisting ion solution and masking agent were added. The metal ions can be determined in thepresence of a 10 fold excess of cation and anion, the results are listed in Table 4. They found that large amounts of NO3-1, Cl-1, CO3-2 and SO4-2 have a few effects of ions. It's found that positive ions interfere seriously and can make the absorbance increase or decrease. However, their interferences are masked efficiently by the addition of (0.5-2.0ml) of 0.1M of sodium nitrate for palladium and nickel and (0.5-1.5ml) of 0.1M of oxalic acid for silver.

Composition of the complexes (stoichiometery): The empirical formula of the complexes was evaluated by using a continuous variation method (Jop's method) and Mole Ratio Method.14 It was found that complexes form 1:2 for Pd (II) and Ni(II) but 1:1 for Ag(I) (M:L), (Figure 8-13) show the Composition of the complexes. On the basic of the FTIR, stoichiomstric and conductivity data, the structures of complexes can be suggested as the following (Figure 14 & Figure 15).

Figure 8 Job’s method of the Pd-L.

Figure 9 Mole ratio of the Pd-L.

Figure 10 Job's method of the Ni-L.

Figure 11 Mole ratio of the Ni-L.

Figure 12 Job's method of the Ag-L.

Figure 13 Mole ratio of the Ag-L.

Figure 14 The proposed structural formula of metal complexes (M¬=Pd(II) and Ni(II)).

Figure 15 The proposed structural formula of Ag metal complex.

Thermal analysis: TG/HDSC analyses are very useful methods for investigating the thermal decomposition of solid substances involving simple metal salts as well as for complex compounds.15,16 The thermogram follows the decrease in sample weight with the linear increase in heat treatment temperature (100C min-1) up to 4000C. The decomposition occurs in at least three major detectable steps, each step does not refer in generally to single process, but rather is reflects of two or three overlapping processes and attributed to the ligand alone or companied by chlorine atoms. The aim of the thermal analysis is to obtain information concerning the thermal stability of the investigated complexes as seen in Table 5 and (Figure 16-19), to decide whether water molecules are inside or outside the coordination sphere. All the complexes show three-stage mass loss in their TG/HDSC curves.

Figure 16 TG/HDSC thermogram of HL.

Figure 17 TG/HDSC thermogram of Pd-L.

Figure 18 TG/HDSC thermogram of Ni-L.

Figure 19 TG/HDSC thermogram of Ag-L.

Foreign Ions

Formula

Amount added μg/ml

Interferences
with Pd

Interferences with Ni

Interferences
with Ag

Cu2+

CuCl2.2H2O

100

6.66

4.23

10.48

Pb2+

PdCl2

100

-1.02

-2.54

-1.19

Co2+

CoCl2.6H2O

100

1.53

5.93

17.56

Fe3+

FeCl3

100

8.2

10.16

16.14

Mn2+

MnCl2

100

12.3

22.88

-2.26

Hg2+

HgCl2

100

58.97

14.4

-7.93

V5+

NH4VO3

100

10.25

19.49

18.9

Cl-

KCl

100

1.33

1.07

-2.6

CO32-

Na2CO3

100

1.02

2.37

4. 89 -

Br-

NaBr

100

-1.5

1.93

3.14

SO42-

Na2SO4

100

-1.32

1.62

1.41

I-

KI

100

-0.79

-1.23

-1.39

Table 5 Amplitude in mill volts of the Lead-1 of electrocardiography in sheep

*Significant (P≤0.05); NSNot significant (P>0.05)

For H4L C25H16N4O9 from the TG curve, it appears that the sample decomposes in two stages. The first stage decomposition occurs at 207.10C with a mass loss of 2.0% and the second decomposition at 352.80C with a 48% mass loss. For palladium complexes (C50H34N8O18Pd), the data obtained support the proposed structure and indicate that Pd(II) complex undergo three step degradation reaction. The first step occurs at maximum peak lying in 85.60C, corresponding to the loss of 2% the weight loss associated with this step agrees quite well with the loss one terminal methyl groups in 4-aminoantipyrine moiety. The second step occurs at Tmax 150.70C, corresponding to the loss of 3% and it referred to loss of chlorine atom. The third decomposition step occurs at Tmax 354.60C corresponding to the loss of 25% referred to a single process, but it's reflective of two or three overlapping processes and attributed to loss of the 4-aminoantipyrine and moieties. The residual is in agreement with Pd metal. For Ni complex (C50H34N8NiO18), the data obtained support the proposed structure and indicate that Ni(II) complex undergo three step degradation reaction. The first step occurs at maximum peak lying in 157.70C, corresponding to the loss of 2% the weight loss associated with this step agrees quite well with the loss of one water molecule. The second step occurs at Tmax 189.20C, corresponding to the loss of 6% and it referred to loss two terminal methyl groups in 4-aminoantipyrine moiety The third decomposition step occurs at Tmax (358.30C) corresponding to the loss of 35% referred to a single process, but it's reflective of two or three overlapping processes and attributed to loss of the 4- aminoantipyrine and moieties. For Ag complex (C25H16AgN5O12), a mass loss occurred within the temperature 115.60C corresponding to the loss of 1% for one molecule of water the temperature 179.70C a loss of 5.33%, corresponding to a loss of one NO3 molecule at the end of the thermogram at higher temperature 356.30C.17

Applications

To determination of ions determined according to the spectrophotometric method and atomic absorption in Al-Kufa and Al-Kfel rivers, we use the following methods.18 For Pd(II): 500ml of water sample was concentrated to about 10ml by heating on a hot plate. 10ml of nitric acid and 5ml of 30% hydrogen peroxide were added in this solution. The mixture was heated on a hot plate and evaporated to near dryness. The residue was dissolved in 10ml of 10% HCl and transferred into a calibrated flask (100ml).For Ni(II):The water sample (500ml) was collected in a clean container and evaporated to about 25ml. Then 5ml of H2O2 was added and evaporated to dryness. It was then dissolved in 20ml of water and filtered to remove insoluble substances. The filtered was collected in 100ml volumetric flask quantitatively to the mark with distilled water. For Ag(I): The water was filtered through filter paper no. 41. The pH of filtered sample was adjusted to 2 with 1:1 nitric acid solution. The results obtained are given in Table 7.

Compound

First stage

Second stage

Third stage

Temperature 0C

M. wt

Weight loss %

Temperature 0C

M. wt

Weight loss %

Temperature 0C

M. wt

Weight loss %

C25H16N4O9

207.1

506.09

2

352.8

268.538

48

-

 

-

(C25H16N4O9)2Pd

85.6

1126.08

2

150.7

1110.865

3

354.6

852.17

25

(C25H16N4O9)2Ni

157.7

1169.63

2

189.2

1121.89

6

358.3

771.796

35

(C25H16N5O12)Ag

115.6

681.726

1

179.7

649.697

5.33

356.3

466.684

32

Table 6 Thermal Analysis

Samples

Pd(II)

Ni(II)

Ag(I)

atomic absorption
μg.ml-1

Spectro. method ppm

atomic absorption
μg.ml-1

Spectro. method ppm

atomic absorption
μg.ml-1

Spectro. method ppm

Al-Kufa

0.0156

0.0158

0.0479

0.0477

0.0146

0.0145

Al-Kfel rivers

0.0027

0.0025

0.0403

0.0401

0.0075

0.0074

Table 7 Determination of Pd(II) Ni(II)and Ag(I) in water

Acknowledgements

None.

Conflict of interest

The author declares that there is no conflict of interest.

References

  1. Alaghaz AMA, Zayed ME, Alharbi SA. Synthesis, spectral characterization, molecular modeling and antimicrobial studies of tridentate azo-dye Schiff base metal complexes. Journal of Molecular Structure. 2015;1084:36–45.
  2. ElGhamaz NA, ElSonbati AZ, Diab MA, et al. Thermal, dielectrical properties and conduction mechanism of Cu(II) complexes of azo rhodanine derivatives. Materials Research Bulletin. 2015;65:293–301.
  3. Sen C, Roy S, Mondal TK, et al. Palladium(II)-iodo-{1-alkyl-2-(arylazo)imidazole} complexes: Synthesis, structure, dynamics of photochromism and DFT computation. Polyhedron.2015;85:900–911.
  4. Kurdekar GS, Sathish MP, Budagumpi S, et al. 4-Aminoantipyrine-based Schiff-base transition metal complexes as potent anticonvulsant agents. Medicinal Chemistry Research.2011;21:2273–2279.
  5. Al-Hamdani AAS, Zoubi WAl. New metal complexes of N3 tridentate ligand: Synthesis, spectral studies and biological activity, Spectrochimica Acta Part A. Molecular and Biomolecular Spectroscopy. 2015;137:75–89.
  6. Gaber M, ElSayed YS, ElBaradie K, et al. Cu(II) complexes of monobasic bi or tridentate (NO, NNO) azo dye ligands: Synthesis, characterization, and interaction with Cu-nanoparticles, Journal of Molecular Structure. 2013;1032:185–194.
  7. Chequer FMD, deOliveira GAR, Ferraz ERA, et al. Textile dyes: dyeing process and environmental impact. In: Gunay M (ed) Eco-friendly textile dyeing and finishing. InTech Press. 2013.
  8. Joseph J, Rani BAG. Metal based SOD mimetic therapeutic agents: Synthesis, characterization and biochemical studies of metal complexes. Arabian Journal of Chemistry. 2017;10(suppl 2):1963–1972.
  9. Figueroa JB, Ochoa SH, Barragán AP, et al. Continuous production of ellagic acid in a packed-bed reactor. Process Biochemistry. 2014;49(issue 10):1595–1600.
  10. Tang J, Liang G, Zheng C, et al. Investigation on the Binding Behavior of Ellagic Acid to Human Serum Albumin in Aqueous Solution. Journal of Solution Chemistry. 2013;42(issue 1):226–238.
  11. Fadd AA, Elattar KM. Synthesis of Novel Azo Disperse dyes Derived from 4-Aminoantipyrine and their Applications to Polyester Fabrics. American Journal of Organic Chemistry. 2012;2(issue 3):52–57.
  12. Singh A, Choi R, Choi B. Synthesis and properties of some novel pyrazolone-based heterocyclic azo disperse dyes containing a fluorosulfonyl grou.Dyes and Pigments. 2012;95:580–586.
  13. AlSaif FA. Spectroscopic Elucidation, Conductivity and Activation Thermodynamic Parameters Studies on Pt(IV), Au(III) and Pd(II) 1,5-Dimethyl-2-phenyl-4-[(thiophen-2-ylmethylene)-amino]-1,2-dihydro-pyrazol-3-one Schiff Base Complexes. Int J Electrochem. Sci. 2013;9:398–417.
  14. Malik AK, Kaul KN, Lark BS. Spectrophotometric Determination of Cobalt, Nickel, Palladium, Copper, Ruthenium and Molybdenum Using Sodium Isoamylxanthate in Presence of Surfactants. Turk J Chem. 2001;25:99–105.
  15. Merdivan M, Karipcin Kulcu F, Aygun RS. Study of the Thermal Decompositions on N,N-Dialkyl-N’-ben zoylthiourea Complexes OF Cu(II), Ni(II), Pd(II), Pt(II), Cd(II), Ru(III) AND Fe(III). Journal of Thermal Analysis and Calorimetry.2012;58:551–557.
  16. Arshad M, Rehman S, Qureshi AH, et al. Thermal Decomposition of Metal Complexes of Type MLX2 (M = Co(II), Cu(II), Zn(II), and Cd(II); L = DIE; X = NO31-) by TG-DTA-DTG Techniquesin Air Atmosphere. Turk J Chem. 2008;32:593–604.
  17. Marandia F, Marandib A, Pantenburgc I, et al. Synthesis and Spectroscopic, Thermal and Electrochemical Studies of Mixed-ligand Complexes of Silver(I) with Derivatives of Benzoyltrifluoroacetonate and 4,40-Bipyridine, Including the Crystal Structure of [Ag(4,40-bpy)(tfcpb)]n. Z Naturforsch. 2012;67b:465–472.
  18. Balcerzak M. Sample Digestion Methods for the Determination of Traces of Precious Metals by Spectrometric Techniques. Anal Sci. 2002;18(issue 7): 737–750.
Creative Commons Attribution License

©2018 Mohammed, et al. This is an open access article distributed under the terms of the, which permits unrestricted use, distribution, and build upon your work non-commercially.