Submit manuscript...
Journal of
eISSN: 2473-0831

Analytical & Pharmaceutical Research

Research Article Volume 7 Issue 6

Synthesis of 3,4-dichloro-1-phenyl-1h-pyrrole-2,5-dione in micro-waves reactor

Jessica Adriele de Freitas Lima, Jaqueline França Sousa, Filipe da Silva Siqueira, Wander de Jesus Jeremias, Maria Elena Walter

Correspondence: Maria Elena Walter, Engineering and technology institute, UniBH, Buritis, Zip code: 30575-180, Brazil

Received: October 26, 2018 | Published: November 15, 2018

Citation: Lima JAF, Sousa JF, Siqueira FS, et al. Synthesis of 3,4-dichloro-1-phenyl-1h-pyrrole-2,5-dione in micro-waves reactor. J Anal Pharm Res. 2018;7(5):641-644. DOI: 10.15406/japlr.2018.07.00295

Download PDF

Abstract

Background: Organic synthesis has contributed significantly to the development of new drugs. Cyclic imides are organic functions that demonstrate therapeutic potential, due to their easy attainment and good yields. The development of new drugs often requires the creation of a library of compounds for further biological tests. However, organic syntheses are known to be mostly delayed. The use of microwave radiation in organic synthesis has increased in the last years, several studies in the area showed advantages such as decrease or total absence of solvents, increase of yield and mainly reduction of reaction time. The reaction conditions used to obtain 3,4-dichloro-1-phenyl-1 H -pyrrole-2,5-dione, on dielectric heating at reflux, from dichloromaleic anhydride and aniline, using acetic acid as a catalyst, ethanol as solvent , yielded good results, yielding from 39.56 to 70.21% and time from 15 to 20 minutes. The literature records yield for this synthesis of 70%, under heating and reflux for 2 hours. Therefore, the dielectric heating was more efficient when compared to traditional heating.

Keywords: microwave, synthesis, imidacyclica

Introduction

Organic synthesis has contributed significantly to the development of new drugs, in view of the constant research to develop new products that are effective, at a lower cost and with the minimization of adverse effects. According to Hargreaves et al.,1 and later reaffirmed by Cechinel et al.,2 cyclic imides are organic functions that demonstrate therapeutic potential due to their easy attainment and good yields. They are composed of the group -CO-N (R)-CO-, which demonstrate sedative, hypnotic, hypotensive, carcinostatic, antimitotic, antinociceptive, between other properties. They are divided into subclasses, being these maleimides, succinimides, glutarimides, naphthalides and other.2,3

There are several methods of obtaining cyclic imides, the most conventional being the heating of dicarboxylic acids at temperatures not exceeding 200°C, in the presence of ammonia or substituted ammonium derivatives.2,3

Another method of preparation is the treatment of ether-solubilized dicarboxylic anhydrides with ammonia or a higher amine to give the respective amic acid. Then, the acid is cyclized in the imidic form through the action of acetic anhydride, hot, in the presence of dehydrating agent. This method has been widely used in view of its good results and the purity of the product obtained, as can be seen in Figure 1.4

Figure 1 Reaction of the synthessis of cyclic imides.

This method of obtaining maleimides allows the use of distinct amines, such as substituted anilines, in order to produce N-substituted maleimid derivatives. These compounds were obtained in a direct manner, without going through the refluxing stage, in which they occur to the purification of the amic acid, they were inefficient, with low yields.3

The development of new drugs usually requires the creation of a library of compounds for subsequent biological tests. However, organic syntheses are known to be mostly delayed. Therefore, developing a library of compounds ends up becoming an extensive work, prolonging the time of research and harming new discoveries.5

Improving the yield and productivity of new drugs has been one of the biggest tasks of the pharmaceutical industry. The development of new technologies that accelerate the research for new drugs and with good yields is of great interest.5 Microwave technology applied to organic synthesis, from the first publications on the subject, by Gedye et al.6 and Guiguerre et al.,7 using domestic microwave ovens, has demonstrated the reduction of synthesis time compared to conventional methods.

This is because when subjecting the reaction medium to microwave radiation, dielectric heating occurs, which has two mechanisms. The first occurs through the dipole-dipole orientation, in which the molecules subjected to the microwave radiation reorient, due to the interaction with the generated electromagnetic field (Figure 2). The molecules do not respond quickly to this field change, so when they change direction, they raise friction and that energy is released as heat.5,8–11

Figure 2 Dipole-dipole reorientation in contact with microwave radiation.

The second mechanism, known as ionic conduction, occurs through the friction loss, which in contact with the electromagnetic field generated by the microwaves happens to the migration of dissolved ions (Figure 3). This energy loss depends on the interaction with the solvent, the conductivity, the charge and the size of the ions.

Figure 3 Distortion of the ionic cloud under influence of electromagnetic field.

During the 1990s, models of microwave reactors were developed for syntheses, which leveraged related research in the area.10,12 For medicinal chemistry, methodologies of syntheses performed in microwaves become an important tool, due to the reduction of the reaction time and in many cases the increase of its yield and degree of purity, when compared to the conventional method.13

Despite the innumerable advantages of syntheses performed in microwave reactors, the number of publications using this methodology is still small. This is due to the fact that the technology of microwave reactors aimed at the laboratory syntheses is recent. In view of this lack of research on the subject, this paper aims to answer the following questions: it´s possible to synthesize 3,4-dichloro-1-phenyl-1H-pyrrole-2,5-dione in microwave reactor? What conditions can be changed to improve the methodology? Is the synthesis performed by dielectric heating more cost-effective under conventional heating?

Methods

The syntheses were developed in the Laboratory of Organic Synthesis - LOS, at Federal University of São João Del Rey (UFSJ).The synthetic step was performed using the Dicovery CEM microwave reactor. Synthesis monitoring and product purity confirmation were performed by thin layer chromatography (CCD) using hexane and ethyl acetate as eluent (2:1).

The follow-up of the synthesis was performed by (CCD), comparing with a standard of the 3,4-dichloro-1phenyl-1h-pyrrole-2,5-dione previously obtained according to the methodology of Walter et al.14 The product obtained was analyzed by Nuclear Magnetic Resonance of Hydrogen (1H NMR) and Carbon 13 (13C NMR) for confirmation of the substance and its purity. The equipment used was Bruker AVANCE DRX 400, in the Laboratory of High Resolution Nuclear Magnetic Resonance (LAREMAR) of the Department of Chemistry of the Institute of Exact Sciences (ICEx) of Federal University of Minas Gerais (UFMG).

To the 2,3 dichloromethane anhydride was added the solvent (ethanol or acetic acid) used. After solubilization, the aniline and the catalyst (acetic acid) were added, when necessary. Upon solubilizing all the substances, the mixture was brought to the microwave reactor heating. Variations of the reaction conditions, presented in Table 1, including reactor power (P), were performed. Upon withdrawal from heating, the reaction mixture was ice-cooled and vacuum filtered using distilled water for washing. The solid obtained was recrystallized from ethanol.

Input

Dichloromaleicanhydride (Eq)

Aniline (eq)

Catalyst (Acedic acid)

Solvent

T (ºC)

t (min)

1

1

1,04

-

Acetic acid

100

20

2

1

1,50

-

Acetic acid

100

20

3

1

1,04

1

-

50

20

4

1

1,04

1

-

80

20

5

1

1,04

1

Ethanol

100

15

6

1

1,04

1

Ethanol

140

20

7

1

1,04

2

Ethanol

140

20

8

1

1,50

1

Ethanol

140

20

9

1

1,50

2

Ethanol

140

20

9`

1

2,00

2

Ethanol

140

20

9``

1

2,00

4

Ethanol

140

20

9```

1

2,00

8

Ethanol

140

20

Table 1 Reaction conditions of synthesis of 3,4-dichloro-1-phenyl-1H-pyrrole-2,5-dione in microwave reactor

In the reaction conditions of the input 9 (Table 1) there was no consumption of the reagents. Therefore, the reaction mixture was re-heated to the reactor. After performing the equivalence modifications of the aniline and the catalyst, as can be seen in Table 1, the input data 9', 9" and 9" originated. With each input heated in the reactor for another 20 minutes, totaling 80 minutes of heating at the inlet 9'''.

Results and discussion

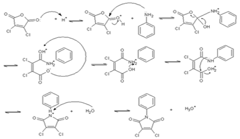
The synthesis of 3,4-dichloro-1-phenyl-1H-pyrrole-2,5-dione obtained by the reaction of the aniline and 2,3-dichloromaleic anhydride is most likely to occur by the mechanism shown in Figure 4. The carbonyl of the anhydride is followed by nucleophilic etching followed by elimination of a water molecule. 

Figure 4 Mechanism of formation of the 3,4-dichloro-1-phenyl-1H-pyrrole-2,5-dione.

The previously obtained standard for monitoring the synthesis of 3,4-dichloro-1-phenyl-1H-pyrrole-2,5-dione by CCD showed the following shift for 1H NMR and 13C NMR (Table 2) (Figure 5).

Carbon

Displacement (δ)

Hydrogen

Displacement (δ)

1 and 2

165.32-165.35

1 and 2

7.45-7.50

3 and 4

136.41-135.57

3 and 4

7.35-7.45

7 and 8

123.77-125.75

5

7.20-7.25

9 and 10

128.92-129.15

 

5

131.39

6

127.9

Table 2 Displacement (δ) NMR – C13of 3,4-dichloro-1-phenyl-1H-pyrrole-2,5-dione

Figure 5 3,4-dichloro-1-phenyl-1H-pyrrole-2,5-dione RMN de 1H and NMR of 13C.

The yields obtained in the 3,4-dichloro-1-phenyl-1H-pyrrole-2,5-dione synthesis carried out in the microwave reactor can be seen in Table 3.

Input

Yield (%)

1

14,14

2

29,93

3

-

4

-

5

39,56

6

70,21

7

50,56

8

34,90

9

-

9`

-

9``

-

9```

39,11

Table 3 Yield of the synthesis of 3,4-dichloro-1-phenyl-1H-pyrrole-2,5-dione in microwave reactor varying reaction conditions

Inputs 1 and 2: Table 1 were performed using the HAC (acetic acid) as solvent, the input 1 was developed according to the methodology Walter et al.,4 the input 2 was changed the aniline equivalence from 1.04 to 1, 50. Both conditions did not present good yields (Table 3), however the reduction of the time of 2 hours4 to 20 minutes was verified.

A hypothesis raised for the low yield of Inputs 1 and 2 is the fact that the dielectric constant (ε) of acetic acid is low, 6,15 (20ºC) while that of ethanol is 24,25 (25ºC). It means that ethanol absorbs more microwave radiation than does acetic acid.

Inputs 3 and 4: in the reactions performed without solvent, there was no formation of the product, even varying the Power (P) and Temperature (T). Therefore under these conditions it is not possible to happen to the reaction. One possible explanation for the non-efficacy of this condition is the fact that 2,3-dichloromaleic anhydride has not melted, decreasing the contact surface because it is a solid. Another possibility is the inefficiency of absorption of the microwaves by the reagents involved.

Inputs 5 and 6: With increasing power and time, maintaining the solvent Ethanol, the yield increased significantly to equal the percentage (70%) obtained by Walter et al.4 However, in a shorter time, since in thermal conduction heating the reaction time was 2 hours.

Inputs 6 and 7: Maintaining the power, temperature and time of input 6, increasing the concentration of catalyst there was decrease in the yield (70.21%-50.56%).

Inputs 6 and 8: Based on the results obtained in Input 6, in an attempt to optimize the process, the concentration of aniline was altered. However, the yield reduced to almost half (70.21%-34.90%).

Inputs 8 and 9'': to verify the possible contribution to the increase in yield, the aniline concentration was maintained and the concentration of the catalyst doubled. There was an insignificant increase in yield (34.90%-39.11%).

In the inputs 9, 9' and 9" the yields were not calculated because the experiment was focused on determining the reaction time with total consumption of maleic anhydride. Determination is done by CCD.

By doubling the concentration of the catalyst to each new Intake, the formation of a by-product and anhydride consumption (Input 9'' ') was verified.

Therefore, it was verified that the increase in the concentration of the catalyst, as well as the increase of the aniline concentration, does not influence the increase of the yield. With the increase of the power and the exchange of the solvent for ethanol, the highest yield of this work (70.21%) was obtained, with a better cost benefit when compared to the reaction without the microwave reactor. With more studies it may be possible to improve yield by providing total consumption of maleic anhydride.

Conclusion

The synthesis of 3,4-dichloro-1-phenyl-1H-pyrrole-2,5-dione is possible to be carried out in microwaves. With moderate yield using acetic acid as solvent, reducing the synthesis time of two hours according to Walter et al.4 methodology, for 20 minutes.14

The microwave reactor methodology suggested in this work is efficient, since it presented a good yield (70.21%) of 3,4-dichloro-1-phenyl-1H-pyrrole-2,5-dione in a shorter time (20 minutes) when used ethanol as solvent, power of 140 W and temperature of 80°C. Therefore, it is possible to synthesize by this methodology with best cost benefit.

Funding details

There is not funding agency.

Acknowledgements

None.

Conflict of interest

The author declares that there is no conflict of interest.

References

  1. Hargreaves MK, Prtchard JG, Dave HR. Cyclic Carboxylic Monoimides. Chemical Reviews. 1970;70(4):439–469.
  2. Cechinel V. Aspectos químicos e potencial terapêutico de imidas cíclicas: uma revisão da literatura. Química Nova. 2003;(26):230–241.
  3. Cremlyn R, Nunes R. Reactions of N–(p–chlorosulfonylphenyl) maleimide. Phosphorous and Sulfur and the Related Elements. 1987;31(3-4):245–254.
  4. Walter ME, Mora C, Souza MM, et al. Antinociceptive Properties of Chloromaleinimides and their Sulphonyl Derivatives. Archiv der Pharmazie. 2004;337(4):201–206.
  5. Kappe CO, Dallinger D. The impacto of microwave synthesis on drug discovery. Nature Reviews. 2006;5:51–64.
  6. Gedye R, Frank Smith, Kenneth Westaway, et al. The use of microwave ovens for rapid organic synthesis. Tetrahedron Letters. 1986;27(3):279–282.  
  7. Giguere J, Terry L, Bray Scott M Duncan, et al. Application of comercial microwave ovens to organic synthesis. Tetrahedron Letter. 1986;27(41):4945–4948.
  8. Sanseverino A. Microondas em síntese orgânica. Química Nova. 2002;25(4):660–667.
  9. Santos J, Lima L, Chung M. Microondas doméstico na síntese de derivados ftalimídicos. Revista de Ciências Farmacêuticas Básica e Aplicada. 2006;27:163–167.
  10. Souza R, Miranda L. Irradiação de micro–ondas aplicada à síntese orgânica: uma história de sucesso no Brasil. Química Nova. 2011;34(3):497–506.
  11. Stuerga D. Microwave–Material Interactions and Dielectric Properties, Key Ingredients for Mastery of Chemical Microwave Processes. Germany: Wiley; 2006.
  12. Lidströn P, Tierney J, Wathey B, et al. Microwave assisted organic synthesis – a review. Tetrahedron Letter. 2001;57: 9226–9283.
  13. Herrero M, Kremsner J, Kappe O. Nonthermal Microwave Effects Revisited: On the Importance of Internal Temperature Monitoring and Agitation in Microwave Chemistry. J Org Chem. 2008;73(1):36–47.
  14. Cienfuegos F, Vaitsman D. Análise Instrumental. Brazil: Interciência; 2000:606.
Creative Commons Attribution License

©2018 Lima, et al. This is an open access article distributed under the terms of the, which permits unrestricted use, distribution, and build upon your work non-commercially.