Submit manuscript...
Journal of
eISSN: 2473-0831

Analytical & Pharmaceutical Research

Research Article Volume 7 Issue 4

Synthesis, reactions, of naphtho[2,1-b]furan derivatives and antimicrobial activity

Ashraf HF Abd El Wahab, Ahmed H Bedair, Fawzy M Ali A, Ahmed HA Halawa, Ahmed M El Agrody

Correspondence: Ashraf Hassan Fekry Abd Elwahab, Chemistry Department, Faculty of Science, Jazan University, 2097, Jazan, Saudi Arabia, Tel -962841

Received: May 24, 2018 | Published: July 5, 2018

Citation: El-Wahab AHA, Bedair AH, Fawzy MAA, et al. Synthesis, reactions, of naphtho[2,1-b]furan derivatives and antimicrobial activity. J Anal Pharm Res. 2018;7(4):394*402. DOI: 10.15406/japlr.2018.07.00257

Download PDF

Abstract

Condensation of 2-acetylnaphtho[2,1-b]furan (3) with malononitrile afforded 2-(2,2-dicyano-1-methyl vinyl)naphtho[2,1-b]furan (4) and reaction of compound 3 with phenyl hydrazine gave 2-(1-phenylhydrazonoethyl)naphtho[2,1-b]furan (6) Interaction of 4 with sulfur via Gewald reaction produced 2-(5-amino-4-cyano-3-thienyl)naphtho[2,1-b]furan (7) while with benzene diazonium chloride afforded the 2-(1-Naphtho[2,1-b]furan-2-yl-2-phenylazo-vinyl)-malononitrile (8b). Treatment of 7 with triethyl orthoforamte in acetic anhydride at reflux afforded the N-acetylamino derivative 9, while with formic acid gave the N-formylamino derivative 11 and reaction of compound 4 with various substituted α-cyanocinnamonitriles (13a-f) in boiling ethanol containing a few drops of piperidine, afforded 2-(3-amino-2,4-dicyano-5-arylphenyl)naphtho[2,1-b]furan (16a-c). The structure of these novel compounds were confirmed using IR, 1H- and 13C-NMR as well as MS spectroscopy. The structure activity relationship (SAR) studies of the target compounds agreed with the in vitro essays and confirmed higher potent antimicrobial activity against some of the tested microorganisms.

Keywords: naphtho[2,1-b]furan, phenyl hydrazine, α-cyanocinnamonitriles and antimicrobial activity

Introduction

Many compounds involving a naphthofuran ring have attracted much attention in view of their diverse pharmacological properties, such as antibacterial, antitumor, anthelmintic, antifertility, mutagenic, growth inhibitory and oestrogenicactivities.1–8. Spectrum of biological activities that are constituents of important natural product.9–16 The wide pharmacological potential of these bioactive moieties has attracted many organic and medicinal chemists to develop efficient routs for their syntheses. The promising results of previous studies17–24 prompted us to further extend our research towards the synthesis of annulation of heterocyclic systems of potential biological application. In continuation of our previous work we are reporting here the synthesis of some more analogues of naphthofuran moiety as a base unit and antimicrobial activities. The structure activity relationships (SAR) are discussed in this work to correlate between the substituent effects and the activities that aid in drug design.

Experimental

General

Melting points were determined with a Stuart Scientific Co., Ltd. apparatus. IR spectra were determined as KBr pellets on a Jasco FT/IR 460 plus spectrophotometer. 1H NMR and 13C NMR spectra were recorded using a Bruker AV 400MHz spectrometer. Mass spectra were measured on a Shimadzu GC/MS-QP5050A spectrometer. Elemental analyses were performed on a Perkin-Elmer 240 microanalyzer in the Faculty of Science, Cairo University, Egypt.

Synthesis

Synthesis of 2-Acetylnaphtho[2,1-b]furan (3):25 A mixture of 2-hydroxy-1-naphthaldehyde (1) (1.72g, 0.01mol), chloroacetone (2) (0.92g, 0.01mol) and anhydrous potassium carbonate (0.02mol) in anhydrous acetone (50mL) was refluxed for 8h. The mixture allowed to cool and poured on to crushed ice (50g) and water (100mL) then acidified with conc. HCl. The solid product was formed filtered off and washed with water and recrystallized from ethanol

Synthesis of 2-(2,2-dicyano-1-methylvinyl)naphtho[2,1-b]furan (4)

A solution of 2-acetylnaphtho[2,1-b]furan (3) (2.10g, 0.01mol) in dry benzene (100mL) was added malononitrile (0.66g, 0.01mol), ammonium acetate (2g) and acetic acid (2mL). The reaction mixture was refluxed using a Dean and Stark water separated until water ceased to be collected. The product obtained was crystallized from the benzene.

Synthesis of 2-(1-phenylhydrazonoethyl)naphtho[2,1-b]furan (6)

Method A: A mixture of comound 4 (2.58g, 0.01mol) and phenylhydrazine (1.08g, 0.01mol) in ethanol (50mL) was refluxed for 2h, the separated solid on heating was filtered off and recrystallized from ethanol.

Method B: A solution of compound 3 (2.10g, 0.01mol) and phenylhydrazine (1.08g, 0.01mol) in ethanol (50mL) was refluxed for 2h, the separated solid on heating was filtered off and recrystallized from ethanol.

Synthesis of 2-(5-amino-4-cyano-3-thienyl)naphtho[2,1-b]furan (7)

A mixture of 4 (2.58g, 0.01mol) and elemental sulfur (0.32g) in ethanol (50mL) were treated with a few drops of triethylamine. was refluxed for 3h. The obtained product was filtered off and recrystallized from the dioxane.

Synthesis of 2-(1-Naphtho[2,1-b]furan-2-yl-2-phenylazo-vinyl)-malononitrile(8b)

To a cold solution of 4 (2.58g, 0.01mol ) in pyridine (20mL) was added benzenediazonium chloride (0.01mol) [prepared by diazotization of aniline (0.01mol) in HCl (6M, 6mL) with sodium nitrite (0.7g) at 0-5ºC] portion wise over 30 min with constant stirring. After complete addition, the reaction mixture was stirred for a further 2h at 0-5ºC. The solid product was filtered off, washed with water, dried and finally recrystallized from ethanol.

Synthesis of 2-(5-Acetylamino/formylamino-4-cyano-3-thienyl)naphtho[2,1-b]furan ( 9,11 )

A mixture of compound 7 (2.90g, 0.01mol), with triethyl orthoformate (0.01mol) in acetic anhydride (20mL) and/or formic acid was heated under reflux for 3h. The obtained product was filtered off and recrystallized from ethanol/ benzene.

Synthesis of 2-(3-amino-2,4-dicyano-5-arylphenyl)-naphtho[2,1-b]furan (16a-c)

A mixture of compound 4 (2.58g 0.01mol), with various α-cyanocinnamonitriles (13a-f) (0.01 mol) in ethanol (30 mL) and few drops of piperidine was refluxed for 3h, the solid product was collected by filtration and recrystallized from ethanol/ benzene.

Antibacterial Activity: All the newly synthesized compounds 3-6a-c were screened for their in vitro antimicrobial activity at 30µg/mL to determine the zone of inhibition against four Gram-positive bacteria: Staphylococcus aureus (NCTC 7447)(SA)and Bacillis subtilis (ATCC 7972)(BS) and two Gram-negative pathogenic bacteria: Pseudomonas aeruginosa (ATCC 10415)(PA) and Escherichia coli (NCTC 10416)(EC) using standard antibiotics (Neomyin) as reference drugs, and two fungi: Aspergillus fumigatus (ATCC 6275)(AN) and Candida albicans ((IMRU 3669)(CA) using standard antibiotics (Mycostatine) as reference drugs. The activities of these compounds were tested by agar diffusion method using Mueller-Hinton agar medium for bacteria and Sabouraud’s agar medium for fungi.26,27 The tested compounds were dissolved in N,N-dimethylformamide (DMF) to give a solution of 1mg/mL. The inhibition zones (diameter of the hole) were measured in millimeters (6mm) at the end of an incubation period of 48h at 28°C; N,N-dimethylformamide showed no inhibition zone. The inhibitory effects of the synthetic compounds against these organisms are given in Figure 1 & Table 3.

Figure 1 Antimicrobial activity of the tested compounds compared to neomycine and mycostatine.

Results and discussion

Chemistry

Thus, treatment of 2-hydroxy-1-naphthaldehyde (1) with chloroacetone (2) in refluxing acetone in the presence of anhydrous potassium carbonate gave the 2-acetylnaphtho[2,1-b]furan (3). 25 Condensation of 2-acetylnaphtho[2,1-b]furan (3) with malononitrile in boiling benzene containing ammonium acetate and acetic acid afforded 2-(2,2-dicyano-1-methyl vinyl)naphtho[2,1-b]furan (4) (Scheme 1).

Scheme 1

In contrast to the anticipated formation of 5-imino-4-(naphtho[2,1-b]furan-2-ylmethylene)-1-phenyl-4,5-dihydro-1H-pyrazol-3-amine (5). The reaction of compound 4 with phenyl hydrazine in boiling ethanol gave 2-(1-phenylhydrazonoethyl) naphtha [2,1-b]furan (6) and is assumed to proceed via elimination of malononitrile. The proposed structure for 6 was supported by its independent synthesis from 3 by refluxing with phenylhydrazine in boiling ethanol (m.p. and mixed m.p.)28 (Scheme 1).

The structure of compounds 3-6 were established by spectral data. The IR spectrum of compound 3 showed absorptions at 1666cm-1 (CO), while compound 4 showed absorption at 2225, 2228cm-1 (2CN), 1567cm-1 (C=C) and compound 6 showed absorptions at 3459, 3346cm-1 (NH), 1601cm-1 (C=N). The 1H NMR of compounds 3 – 6 showed chemical shifts at δ 7.89-7.60 (s, 1H, H-3), 2.62- 2.35 (s, 3H, CH3). The 13C NMR of compound 3 showed δ 187.19 (CO), 26.31 (CH3), while compound 4 showed δ 118.01 (CN), 117.02 (CN), 26.21 (CH3), and compound 6 showed δ 151.72 (C=N), 27.30 (CH3). The mass spectra of compounds 3-6 displayed [M+] ion peaks m/z 210 (M+, 32), 258 (M+, 100), 300 (M+, 100), respectively Table 2.

Compd.

Yield (%)

M.P (oC )

Crystal colour

Molecular formula (Mr)

Analysis ( % )

Found/calculateC

C

H

N

3

90

108-110 Lit.17 113-114

Yellow

C14H10O2
(210.23)

79.95 79.98

4.78 4.79

--

4

80

224-226

Yellow

C17H16N2O
(58.27)

79.04 79.06

3.88 3.90

10.82 10.85

6

78

172-174

Yellow

C20H16N2O
(300.35)

79.96 79.98

5.35 5.37

9.30 9.33

7

80

220-222

Yellow

C17H10N2OS
(290.34)

70.30
70.33

3.45 3.47

9.62 9.65

8b

75

173-175

Yellow

C23H14N4O
(362.38)

76.20 76.23

3.87 3.89

15.45 15.46

9

88

250-252

Yellow

C19H12N2O2S
(332.38)

68.65 68.66

3.02 3.04

8.40
8.43

11

85

295-297

Black

C18H10N2O2S
(318.35)

67.85 67.91

3.10 3.17

8.75 8.80

16a

65

292-294

Yellow

C26H15N3O
(385.42)

80.95 81.02

3.90 3.93

10.85 10.90

16b

70

302-304

Yellow

C27H17N3O2
(399.44)

81.0081.19

4.25 4.29

10.50 10.52

16c

68

254-256

Yellow

C27H17N3O2
( 415.44 )

78.00 78.06

4.00 4.12

10.0010.11

Table 1 Elemental analyses of new compounds

Comp. No

IR ( v,cm-1)

1HNMR/13CNMR

Ms; m/z

3

1666 ( CO )

8.59-7.70 (m, 6H, Ar-H), 7.89 (s, 1H, H-3), 2.62 (s, 3H, CH3).
187.19 (CO), 153.36 (C-9a), 151.90 (C-2), 130.11 (C-3a), 129.90 (C-8), 128.98 (C-7), 127.85 (C-7a), 127.52 (C-6), 125.60 (C-5), 123.64 (C-4), 122.61 (C-3b), 113.69 (C-3), 112.74 (C-9), 26.33 (CH3).

210 (M+, 32), 168 (3), 139 (100), 113 (11), 89 (15), 63 (38).

4

2225, 2228 (2CN), 1567 (C=C)

8.22-7.59 (m, 6H, Ar-H), 7.60 (s, 1H, H-3), 2.71 (s, 3H, CH3).
154.45 (C-9a), 152.74 (C-2), 130.54 (C-3a), 129.83 (C-8), 128.57 (C-7), 127.62 (C-7a), 127.10 (C-6), 124.72 (C-5), 124.54 (C-4), 123.24 (C-3b), 118.01 (CN), 117.22 (CN), 113.79 (C-3), 112.45 (C-9), 26.21 (CH3).

258 (M+, 100), 168 (16), 139 (33), 88 (23)

6

3459,3346 (NH),1601 (C=N).

8.17-6.92 (m, 12H, Ar-H+NH), 7.70 (s, 1H, H-3), 2.35 (s, 3H, CH3).
154.81 (C-9a), 151.72 (C=N), 145.45 (C-2), 132.94 (C-1`), 130.01 (C-3a), 128.94 (C-8),128.66(C-3`),127.06(C-7a), 126.44 (C-7),125.28 (C-6), 124.75 (C-5), 106.6 (C-3), 27.30 (CH3).

300 (M+, 100), 286 (45), 168 (13),88 (16), 51 (62)

7

3420, 3312, 3198 (NH2), 2205 (CN)

8.15-7.54 (m, 6H, Ar-H), 7.50 (s, 1H, H-3), 7.47 (s, 1H, H-2`), 6.87 (br, 2H, NH2).
166.73 (C-2), 151.10 (C-9a), 149.68 (C-4`), 130.08 (C-2`), 128.75 (C-7), 127.35 (C-7a), 127.03 (C-3a), 120.69 (C-4), 125.8 (C-5), 124.89 (C-6), 123.47 (C-3b), 116.37 (CN), 111.97 (C-8), 105.87 (C-3), 100.97 (C-9), 80.58 (C-3`)

290 (M+, 100), 168 (13),, 139 (51), 138 (24), 129 (61), 88 (8), 51 (43)

8b

2226 (CN)

8.69 (s, 1H, CH=C), 8.41-7.48 (m, 12H, Ar-H + CH furan), 4.41 (s, 1H, CH-CN) 167.01 (C-2), 150.73 (C-9a), 148.08 (C-4`), 131.01 (C-2`), 128.71 (C-7), 127.26 (C-7a), 127.12 (C-3a), 120.24 (C-4), 124.07 (C-5), 123.70 (C-6), 123.47 (C-3b), 123.44 (C-2`), 115.01 (CN), 111.97 (C-8), 105.87 (C-3), 100.97 (C-9), 80.58 (C-3`)

362 (M+, 62), 334 (31), 257 (26), 228 (9), 200 (24), 168 (13), 139 (66), 138 (35), 129 (75), 90 (20), 89 (12), 88 (100), 51 (70)

9

3262,3210 (NH),2228 (CN),1704 (CO)

8.83 (br, 1H, NH), 8.59-7.25 (m, 6H, Ar-H), 7.37 (s, 1H, H-3), 7.32 (s, 1H, H-2`), 2.36 (s, 3H, CH3).
186.54 (CO), 165.63 (C-2), 150.19 (C-9a), 149.03 (C-4`), 130.12 (C-2`), 128.53 (C-7), 127.05 (C-7a), 127.03 (C-3a), 120.69 (C-4), 125.80 (C-5), 124.89 (C-6), 123.47 (C-3b), 116.37 (CN), 111.97 (C-8), 105.87 (C-3), 100.97 (C-9), 80.58 (C-3`) , 27.22 (CH3)

332 (M+; 48), 290 (100), 234 (3), 202 (5), 176 (2), 149 (2), 98 (2).

11

3178 (bonded OH and/or NH), 2216(CN), 1692 (CO)

11.56 (s, 1H, NH), 9.45 (s, 1H, CHO), 8.80-7.15 (m, 8H, Ar-H).
170.11 (CO), 155.54 (C-2), 150.19 (C-9a), 148.12 (C-4`), 130.12 (C-2`), 128.53 (C-7), 127.05 (C-7a), 127.03 (C-3a), 120.69 (C-4), 125.78 (C-5), 124.89 (C-6), 123.64 (C-3b), 116.42 (CN), 111.88 (C-8), 106.65 (C-3), 100.97 (C-9), 85.32 (C-3`)

318 (M+, 100), 290 (15), 261 (9), 233 (5), 163 (9), 145 (8), 104 (2), 63 (3).

16a

3470, 3350, 3234 (NH2), 2216 (CN)

8.36- 7.49 (m, 12H, Ar-H), 7.25 (s, 1H, H-3), 6.81 (brs, 2H, NH2).
155.01 (C-9a), 153.32 (C-3`), 150.78 (C-2), 149.80 (C-5`), 139.48 (C-1`), 136.87 (C-4``), 134.32 (C-1``), 131.19 (C-3a), 130.20 (C-3``,5``), 129.21 (C-7), 128.60 (C-4), 128.01 (C-2``,6``), 127.69 (C-7a), 127.03 (C-5), 126.04 (C-6), 124.05 (C-8), 123.99 (C-3b), 116.10 (CN), 116.01 (CN), 115.06 (C-9), 112.65 (C-6`), 108.28 (C-3), 94.76 (C-2`), 89.01 (C-4`)

385 (M+; 100), 309 (21), 167 (13), 97 (35), 55 (14)

16b

3475, 3345, 3238 (NH2), 2221 (CN);

8.44-7.35 (m, 11H, Ar-H), 7.32 (s, 1H, H-3), 6.85 (brs, 2H, NH2), 2.41 (s, 3H, Me).
154.58 (C-9a), 152.44 (C-3`), 150.21 (C-2), 149.99 (C-5`), 139.31 (C-1`), 136.05 (C-4``), 134.49 (C-1``), 130.10 (C-3a), 129.27 (C-3``,5``), 128.91 (C-7), 128.37 (C-4), 127.85 (C-2``,6``), 127.22 (C-7a), 127.07 (C-5), 125.37 (C-6), 123.50 (C-8), 123.43 (C-3b), 114.86 (CN), 116.01 (CN), 115.22 (C-9), 112.21 (C-6`), 108.01 (C-3), 94.13 (C-2`), 89.52 (C-4`), 20.85 ( CH3).

399 (M+; 100), 280 (3), 163 (2), 97 (8), 55 (16)

16c

3470, 3348, 3236 (NH2), 2218 (CN);

8.40-7.10 (m, 11H, Ar-H), 7.29 (s, 1H, H-3), 6.77 (brs, 2H, NH2), 3.85 (s, 3H, OCH3).
155.01 (C-9a), 153.32 (C-3`), 150.78 (C-2), 149.80 (C-5`), 139.48 (C-1`), 136.87 (C-4``), 134.32 (C-1``), 131.19 (C-3a), 130.20 (C-3``,5``), 129.21 (C-7), 128.60 (C-4), 128.01 (C-2``,6``), 127.69 (C-7a), 127.03 (C-5), 126.04 (C-6), 124.05 (C-8), 123.99 (C-3b), 115.09 (CN), 116.01 (CN), 115.06 (C-9), 112.65 (C-6`), 108.28 (C-3), 94.76 (C-2`), 89.01 (C-4`)

415 (M+, 100), 357 (1), 251 (1), 166 (1), 126 (1), 88 (1), 65 (1).

Table 2 Spectral data of prepared compounds

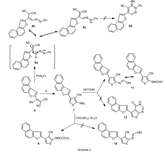
Interaction of 4 with sulfur via Gewald reaction29 produced 2-(5-amino-4-cyano-3-thienyl)naphtho[2,1-b]furan (7) while with benzene diazonium chloride afforded the open chain product 8a-8c instead of the closed product 2,3-dihydro-3-imino-5-(naphtho[2,1-b]furan-2-yl)-2-phenylhydrazine-4-carbonitrile (8d). The proposed open chain structures 8a-8c was ruled out on the bases of spectroscopic data (no C=C(CN)2 & NH bands) (Scheme 2). Treatment of 7 with triethyl orthoforamte in acetic anhydride at reflux afforded the N-acetylamino derivative 9 instead of the 2-(5-ethoxymethyleneamino-4-cyano-3-thienyl)naphtho[2,1-b]furan (10), while with formic acid gave the N-formylamino derivative 11 instead of the pyrimidine derivative 12 (Scheme 2).

Scheme 2

The structure of compounds 7-11 were established by spectral data. The IR spectrum of compound 7 showed absorptions at 3420, 3312, 3198cm-1 (NH2), 2205 (CN) cm-1 while compound 8b showed absorption at 2226cm-1 (CN), compound 9 showed absorptions at 3262, 3210cm-1 (NH2), 2208cm-1 (CN), 1704cm-1 (CO). The 1H NMR of compound 7 showed chemical shifts at δ 7.50 (s, 1H, H-3), 6.87 (brs, 2H, NH2), while compound 8b showed chemical shifts at δ 8.69 (s, 1H, CH=C), 4.41 (S, 1H, CH-CN), compound 9 showed chemical shifts at δ 8.83 (brs, 1H, NH), 2.36 (s, 3H, CH3), and compound 11 showed chemical shifts at δ 11.56 (s, 1H, NH), 9.45 (s, 1H, CHO). The 13C NMR of compound 7 showed δ 116.37 (CN), while compound 8b showed δ 115.01 (CN), compound 9 showed δ 186.54 (CO), 27.22 (CH3) and compound 11 showed δ 170.11 (CHO). The mass spectra of compounds 7-11 displayed [M+] ion peaks m/z 290 (M+, 100), 362 (M+, 62), 332 (M+, 48), 362 (M+, 62), 318 (M+, 100), respectively Table 2 & Chart 1.

Chart 1 The fragmentation pattern of compounds 8b,c, 9, and 11 are illustrated in (Chart 1).

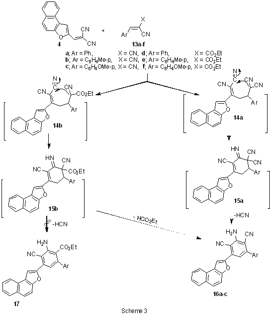
Interaction of 4 with various substituted α-cyanocinnamonitriles (13a-f) in boiling ethanol containing a few drops of piperidine, afforded 2-(3-amino-2,4-dicyano-5-arylphenyl)naphtho[2,1-b]furan (16a-c) (Scheme 3). The formation of 16 from the reaction of 4 and 13a-c is assumed to proceed via a Michael type addition of the methyl function in 4 to the activated double bond to yield the acyclic Michael adduct 14a which then cyclizes into (15a). The latter readily loses HCN to yield the final isolable thermodynamically stable compounds (16a-c) (Scheme 3). In contrast to the anticipated formation of the esters 17, the reaction of 4 with various substituted ethyl α-cyanocinnamates (13d-f) afforded 16a-c and are assumed to proceed via elimination of ethyl formate from the intermediate(15b) (Scheme 3).

Scheme 3

The structure of compounds 16a-c were established by spectral data. The IR spectrum of compounds 16a-c showed absorptions at 3470-3236cm-1 (NH2), 221-2216 (CN) cm-1 The 1H NMR of compounds 16a-c showed chemical shifts at δ 7.32-7.25 (s, 1H, H-3), 6.85-6.77 (brs, 2H, NH2). The 13C NMR of compound 16a-c showed δ 116.10-14.86 (CN). The mass spectra of compounds 16a-c displayed [M+] ion peaks m/z 385 (M+, 100), 399 (M+, 100), 415 (M+, 100), respectively Table 2 & Chart 2.

Chart 2 The fragmentation pattern of compounds 16a-c are illustrated in (Chart 2).

The structure activity relationship (SAR)

The structure activity relationship (SAR) studies of compounds 3-16a-c revealed, compound 7 good activity inhibitory effect rang 19.9±0.1, 20.3±0.4, 18.6±0.1 and 17.2±0.1µg/mL good or more activities against Staphylococcus aureus, Pseudomonas aeruginosa, Aspergillus fumigatus, and Candida albicans, as compared to the standard antibiotics. Compound 7 containing thiophene nucleus with a lipophilic hydrophobic group (CN,–NH2). While compounds 6, 16b which show moderate inhibition zone diameter against Bacillis subtilis, Staphylococcus aureus, Pseudomonas aeruginosa and Escherichia coli as compared to the standard antibiotics (neomycin), nucleus with a lipophilic hydrophobic group (CH3C=NNHPh, benzene ring), while compound 16a,c which show weak inhibition zone diameter against Bacillis subtilis, Staphylococcus aureus, Pseudomonas aeruginosa and Escherichia coli as compared to the standard antibiotics (neomycin). Compound 6 which show weak inhibition zone diameter 11.6±0.3, 13.2±0.3µg/mL against Aspergillus fumigatus and Candida albicans as compared to the standard antibiotics (Mycostatine), while compound 16a,c which show weak activity inhibitory effect rang 12.1±0.2 and 11.1±0.3µg/mL against Candida albicans as compared to the standard antibiotics (Mycostatine), while compound 16b which show weak activity inhibitory effect rang 13.1±0.1µg/mL against Aspergillus fumigatus as compared to the standard antibiotics (Mycostatine). Compound 3,4,8 and 9 which show inactive inhibition zone diameter against as compared to the standard antibiotics, neomycin and mycostatine as reference drugs Table 3.

Compounda

Minimum inhibitory concentration (MIC) (μg/mL)

Bacterial strains

Fungal strains

Gram-positive bacteria

Gram-negative bacteria

Bacillus

Staphylococcus

Escherichia

Pseudononas

Candida

Asperillus

Subtilis

Aureus

Coli

Aeuroginosa

Albican

Niger

(ATCC-7972)

(NCTC-7447)

(NCTC-10416)

(ATCC-10415)

(IMRU- 3669)

(ATCC- 6275)

3

NA

NA

NA

NA

NA

NA

4

NA

NA

NA

NA

NA

NA

6

18.2±0.2

16.7±0.1

19.1±0.3

17.5±0.4

11.6±0.3

13.2±0.3

7

14.6±0.1

19.9±0.3

15.1±0.1

20.3±0.4

18.6±0.1

17.2±0.1

8b

NA

NA

NA

NA

NA

NA

9

NA

NA

NA

NA

NA

NA

11

NA

NA

NA

NA

NA

NA

16a

14.2±0.1

16.3±0.3

12.1±0.2

17.2±0.2

12.1±0.2

NA

16b

17.1±0.3

13.2±0.1

10.3±0.2

19.1±0.1

NA

13.1±0.1

16c

12.1±0.2

18.2±0.1

16.1±0.2

15.2±0.1

11.1±0.3

NA

Neomycine

20.1±0.2

24.2±0.1

26.1±0.2

20.2±0.1

-

-

Mycostatine

-

-

-

-

23.2±0.4

20±0.1

Table 3 Antimicrobial activity of the new compounds

ac=1mg/mL of new compounds in DMF
NA=not active
Diameter of the hole=6mm
Data are expressed in the form of mean±SD.

This may suggest that the substituent at 2-position plays a key role in antimicrobial activity, compounds containing a thiophene ring (7) was better than that of benzene ring compounds (16a-c). With regard to the thiophene ring contain of two cyano and amino groups the activity of compounds with electron-withdrawing groups was stronger than that of those with replaced by electronics groups.

Conclusion

Briefly, we have reported the synthetic strategies for the synthesis of new naphthofuran derivatives starting from1-naphthaldehyde (1). The newly prepared compounds were studied for their antimicrobial activities four bacteria using standard Neomyin as reference drugs and two fungi standard using standard mycostatine as reference drugs. The data showed that the compound 2-(5-amino-4-cyano-3-thienyl) naphtha [2,1-b]furan (7) was most active against all the tested bacteria and fungi. Compound 3,4, 8 and 9 which show inactive inhibition zone diameter against as compared to the standard antibiotics, neomycin and mycostatine as reference drugs.

Acknowledgements

None.

Conflict of interest

The author declares that there is no conflict of interest.

References

  1. HM Vagdevi, VP Vaidya. Synthesis of 2-substituted naphtho[2,1-b]furans, 2-(2'-aryl-3'-acetyl-1',3',4'-oxadiazolyl)aminonaphtho[2,1-b]furans and their biological activities. Indian J. Heterocyclic Chem. 2001;10:253–260.
  2. R Cavier, JP Buisson, J Lemoine. Comparaison des activités antibactériennes et protozoocides de dérivés méthoxylés ou halogénés des nitrobenzofurannes et des nitronaphthofurannes. Eur J Med Chem. 1981;16:73–76.
  3. R Royer, RJP Buisson. Recherche sur les dérivés nitrés d'intérêt biologique: XX. Modalités de synthèse des dérivés méthoxylés ou halogénés des nitro-2 naphthofurannes. Eur J Med Chem.1980;18:79–84.
  4. S Arnaise, H Boeuf, JP Buisson, et al. Genotoxic activity of 2-nitronaphthofurans and related molecules. Mutagenesis. 1986;3:217–229.
  5. P Quillardet, E Touati, M Hofnung. Influence of the uvr-dependent nucleotide excision repair on DNA adducts formation and mutagenic spectrum of a potent genotoxic agent: 7-Methoxy-2-nitronaphtho[2,1-b]furan (R7000). Mutat Res. 1996;358:113–122.
  6. N Weill-Thévenet, JP Buisson, R Royer, et al. Genetic toxicology studies with 2- nitrobenzofurans and 2-nitronaphthofurans. Mutation Research Letters. 1982;104:1–8.
  7. E Touati, E Krin, P Quillardet, et al. 7-Methoxy-2-nitronaphtho[2,1-b]furan (R7000)- induced mutation spectrum in the lacI gene of Escherichia coli: Influence of SOS mutagenesis. Carcinogenesis. 1996;17:2543–2550.
  8. RJ Salmon, JR Buisson, L Aussepe, et al. Induction of sarcomas in rats by subcutaneous injection of 7-methoxy-2-nitro-naphtho[2,1-b]furan (R7000). Carcinogenesis. 1985;6:109–111.
  9. RJ Salmon, JP Buisson, P Vielh, et al. Cancer épidermoïde du rumen induit chez la souris C3H par le méthoxy-7-nitro-2 naphtho [2,1-b] furanne (R7000). CR Soc Biol. 1986;180:622–624.
  10. P Quillardet, V Michel, X Arrault, et al. Mutagenic properties of a nitrofuran, 7-methoxy-2-nitro-naphtho[2,1-b]furan (R7000), in lacI transgenic mice. Mutat Res .2000;470(2):177–188.
  11. E Touati, DH Phillips, JP Buisson, et al. DNA adduct formation by 7-methoxy-2-nitro-naphtho[2,1-b]furan (R7000), an extremely potent mutagen. Mutagenesis. 1989;4:254–258.
  12. E Touati, DH Phillips, P Quillardet, et al. Determination of target nucleotides involved in 7-methoxy-2-nitro-naphtho[2,1-b]furan (R7000)–DNA adduct formation. Mutagenesis.1993;8(2):149–154.
  13. N Weill-Thévenet, JP Buisson, JR Royer, et al. Mutagenic activity of benzofurans and naphthofurans in the Salmonella/microsome assay: 2-Nitro-7-methoxy-naphtho[2,1-b]furan (R7000), a new highly potent mutagenic agent. Mutat Res. 1981;88(4):355–362.
  14. JG Maurizis, JC Madelmont, D Parry, et al. Disposition in rats and mice of 7-methoxy-2-nitronaphtho[2,1-b]furan. Xenobiotica. 1985;15(2):141–148.
  15. JC Maurizis, JC Madelmont, D Parry, et al. Main excretion metabolites of 7-methoxy-2-nitronaphtho[2,1-b]furan. Xenobiotica. 1986;16(7):635–643.
  16. GK Vanita, M Ramaiah, K Shashikaladevi, et al. Synthesis of urethanes and substituted ureas encompassing naphtho[2,1-b]furan and evaluation their analgesic activity. Journal of Chemical and Pharmaceutical Research. 2010;2:258-264
  17. FHA Abd El-Wahab, MF Ali, MA El-Agrod. Binary Heterocyclic Systems Containing Ethylidine amino Likage:-Synthesis Of Some New Heterocyclic Compounds Bearing Naphtho[2,1,b] furan Moiety. J Serb Chem Soc. 2006;71:459–469
  18. AM El-agrody, MH El-Hakim, MS Abd El-Latif, et al. Synthesis pyrano[2,3-d]pyrimidine and pyrano[3,2-e] [1,2,4]triazolo[2,3-c]pyrimidine derivatives with promising antibacterial activities. Acta Pharm. 2001;50:111–120.
  19. NA El-Hadd, AM El-agrody, MS Abd El-Latif, et al. Heteroaromatization with 4- Hyroxycoumarin. Part II: Synthesis of some new pyrano[2,3-d] [1,2,4]triazolo[1,5-c]pyrimidine and pyrimido[1,6-b]triazine derivatives. Molecules. 2001;6:519–521.
  20. AH Bedair, NA El-Hadd, MS Abd El-Latif, et al. 4-Hyroxycoumarin in heterocycloic synthesis. Part III: Synthesis of some new pyrano[2,3-d]pyrimidine, 2-substituted[1,2,4]triazolo[1,5-c]pyrimidine and pyrimido[1,6-b]triazine derivatives. II Farmaco. 2000;55:708–714.
  21. MM Khafagy, AHF Abd El-Wahab, FA Eid, et al. Synthesis of halogen derivatives of benzo[h]chromene and benzo[a]anthracene with promising antimicrobial activities. II Farmaco. 2002;57:715–722.
  22. AHF Abd El-Wahab. Synthesis of some new pyrano[2,3-d] [1,2,4]triazolo[1,5-c]pyrimidine and pyrimido[1,6b]triazine derivatives. Acta Pharm. 2003;58:701–720.
  23. AHF Abd El-Wahab. Synthesis, Reactions and Evaluation of the Antimicrobial Activity of Some New 4-(pHalophenyl)-4H-naphthopyran, pyranopyrimidine and pyranotriazolo-pyrimidine Derivatives. Pharmaceuticals. 2012;5(7):745–757.
  24. IA Radin, AHF Abd El-Wahab. Heteroaromatization with 4-phenyldiazenyl-1-naphthol. Part I: Synthesis of some new naphthopyrans and naphthopyrano-pyrimidines. Eur J Chem. 2016;7:230–237.
  25. KP Latha, VP Vaidya, J Keshvayya, et al. Synthesis of 2- acetylnaphtho[2,1-b]furan. Nat Acad Sci Lett. 2002;25:153–157.
  26. European Committee for Antimicrobial Susceptibility Testing (EUCAST) of the European Society of Clinical Microbiology and Infectious Diseases (ESCMID). Determination of minimum inhibitory concentrations (MICs) of antibacterial agents by agar dilution. Clin Microbiol Infect. 2000;6:509–515.
  27. Methods for Dilution Antimicrobial Susceptibility Tests for Bacteria That Grow Aerobically. 5th edition. National Committee for Clinical Laboratory Standards (NCCLS). USA; 2000.
  28. AHF Abd El-Wahab, ZI Al-Fifi, AH Bedair, et al. Synthesis, Reactions and Biological Evaluation of Some New Naphtho[2,1-b]furan Derivatives Bearing a pyrazole Nucleus. Molecules. 2011;16(1):307–318.
  29. Gewald K, Schinke E, Böttcher H. Heterocyclen aus CH-aciden Nitrilen, VIII. 2-Amino-thiophene aus methylenaktiven Nitrilen, Carbonylverbindungen und Schwefel. Chem Ber. 1966;99:94–100.
Creative Commons Attribution License

©2018 El-Wahab, et al. This is an open access article distributed under the terms of the, which permits unrestricted use, distribution, and build upon your work non-commercially.