Submit manuscript...
Journal of
eISSN: 2469 - 2786

Bacteriology & Mycology: Open Access

Mini Review Volume 6 Issue 5

Biosurfactant and virulence factors are main tools of Bacillus cereussurviving

PV Istomin

Ministry of Science and Technology, Directorate of Treatment and disposal of chemical, biological and military hazardous wastes. Center for research and evaluation, Iraq

Correspondence:

Received: October 20, 2018 | Published: October 30, 2018

Citation: Jessim AI. Biosurfactant and virulence factors are main tools of Bacillus cereus surviving. J Bacteriol Mycol Open Access. 2018;6(5):300-301. DOI: 10.15406/jbmoa.2018.06.00222

Download PDF

Abstract

Bacillus cereus is well known group, isolated from many places in the world, eve from fish in some cases, has the ability to produce ploy peptides which related to food poisoning due to related with genetic of B. cereus known as virulence factor, also can produce active material as an action of enzymes, considered as a tool in biodegradation called biosurfactant, Biosurfactant found when oil and nitrogen is found, that mean virulence factors and biosurfactant found in same time especially inside human intestine. Biosurfactant can degrade chine of fats in hydrocarbons and make an emulsion of water and oil, there for B. cereus group use it as resources of energy.

Keywords: Bacillus cereus, virulence factor, biosurfactant, biodegradation, nutrients and food poisoning

Introduction

Bacillus cereus were known in 1970s due to the relation to outbreaks of food poisoning.1 Widespread in nature and foods.2 B. cereus is a known well group of ubiquitous, facultative anaerobic, spore-forming, and gram-positive, rod shapes, and disturbed widely in nature and contaminates all agricultural products, also isolated from animal hair, cereal crops, dust, vegetation, fresh water and sediments, although in several cases B. cereus isolated from fish, also isolated from soil.3 In other studies, reported that B. cereus was isolated from spices.3,4 Due to ability of B. Cereus to resist hard conditions, this group type of bacteria can survive in the small intestine of human.5 B. cereus group also found in human intestine due to qualitity of food and elements such as Nitrogen,6 and oil.7 Also this species found in harsh environments such as these contaminated with 2,4,6-Trinitrotoluene (TNT), studies referees to the ability of B. cereus group for the Biodegradation of explosive material (TNT).7 In further, reports evidenced that Bacillus has the ability to degrade petroleum hydrocarbon and aromatic compounds, which were mostly found in polluted soil, also many studies found the ability of Bacillus cereus to stay alive in contaminated soils with oily hydrocarbons.8 From a long time, Bacillus cereus group found in fried rice and associated with food poisoning.9 This type of bacteria associated with biodegradation of oily hydrocarbons in addition to the other microorganisms which belong to same family and those which belong to other families10,11 From above, I sew something in one of our experiments, when we cocked rice, when boiled with water with some salt Sodium chloride NaCl only with no additives, we noticed there were no growth, although we have not wash rice? But highly growth was found in different samples of food which coked with oil.7 My question is why oil had change the results? this type of microorganisms need nutrients for survive, there for must has a kind of enzymes which help them for getting Carbon and Nitrogen, that they can use toxic substances as a resources of Carbon a nutrient even there were not found nutrients which came from biotic resources. What is the best method for getting nutrients? Studies reported an important thing which named a biosurfactant.

Biosurfectant

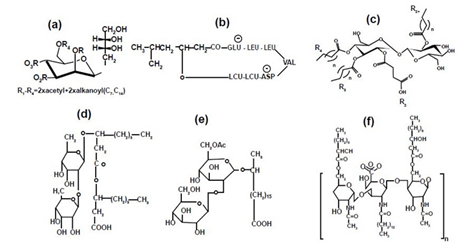
these materials are produced from many type of microorganisms such as Acinetobacter sp., Bacillus sp, Candida antartica, Pseudomonas aeruginosa Figure 1.12 The production of biosurfactant by the organism determines the hydrocarbon degrading capacity of the organism, for the production of biosurfactant were produced in nature due to number of bacteria, pH, Temperature, Carbon source and Nitrogen source.13

Figure 1 Chemical structures common biosurfactants (a) Mannosylerythritol lipid (b) Surfactin (c) trehalose lipid (d) Sophorolipid (e) Rhamnolipid (f) Emulsan.

Biosurfactant and virulence factors

Biosurfactant considered as nontoxic environmentally tools for the bioremediation of contaminated soil, also biosurfactant can broke long chine of fats to short chines in order release carbon with nitrogen for getting needed energy for growth.14 Biosurfactant related genetically to the B. cereus group.15 In other hand there are a more important thing, which is called virulent factor related with members of the B. cereus group carry genes encoding for several important virulence factors which including enterotoxins, phospholipases and exotoxins. Since it is difficult to differentiate among B. cereus group members, and because Bacillus virulence factors are very important for pathogenesis.16 Naturally, in environment, reported results referred to when there was a balance between the surface tension reduction and emulsification capabilities, smaller and more stable emulsions were formed and biodegradation of hydrocarbons significantly improved.17 From all above, I think the two things are very important for surviving of B. cereus group and they acting together and not separately, biosurfactant which degrade fats and all products which related to the virulence factors, both of biosurfactant and virulence factors create a very suitable environment for growth of B. cereus group, according to the hypothesis which I recognized, B. cereus can’t survive without one of biosurfactant production or virulence factors.

Recommendations

If recurs of bacteria from places related with human health, that mean the virulence of these bacteria will be high, when there are oily resources it may act to make kind of infection, if we not allowed to spill oil or not mix fats with contaminated with infection resources, we will keep people safe from food poisoning, this mode of action wanted a lot in bioremediation and degradation of oily hydrocarbons contamination.

Acknowledgements

My Institute’s (Ministry of Science and Technology. Directorate of Treatment and disposal of chemical, Biological and military hazardous wastes. Center for research and evaluation) representative is fully aware of this submission.

Conflict of interest

There is no conflict of interest among the authors.

References

  1. Gilbert RJ, Stringer MF, Peace TC. The survival and growth of Bacillus cereus in boiled and fried rice in relation to outbreaks of food poisoning. J Hyg Camb. 1974;73(3):433−444.
  2. Gdoura-Ben Amor M, Siala M, Zayani M, et al. Isolation, identification, prevalence, and genetic diversity of Bacillus cereusgroup bacteria from different foodstuffs in Tunisia. Front Microbiol. 2018;9(447):1−12.
  3. Jessim AI, Fakhry SS, Alwash SJ. Detection and determination of Bacillus cereusin cooked rice and some types of spices with ribosomal 16srrna gene selected from Iraqi public restaurants. International Journal of Bio-resource and Stress Management. 2017;8(3):382−387.
  4. Fakhry SS, Jessim AI, Alwash SJ. Characterization of Bacillusspp. isolated from spices collected from Iraqi markets. International Journal of Advanced Research. 2015;3(3):290−295.
  5. Berhthold-Pluta A, Pluta AS, Leszcz G. Survival of Bacillus cereus in the small intestine. Medycyna weterynaryjna. 2011;67(11):733−736.
  6. Bergen WG, Wu G. Intestinal nitrogen recycling and utilization in health and disease. J Nutr. 2009;139(5):821–825.
  7. Jessim AI. Biodegradation of explosive material 2,4,6-Trinitrotoluene (TNT). J Bacteriol Mycol Open Access. 2018;6(2):116–120.
  8. Peng M, Zi X, Wang Q. Bacterial community diversity of oil-contaminated soils assessed by high throughput sequencing of 16s rrna genes. Int J Environ Res Public Healt. 12(10):12002−12015.
  9. Gilbert RJ, Stringer MF, Peace TC. The survival and growth of Bacillus cereus in boiled and fried rice in relation to outbreaks of food poisoning. J Hyg Camb. 1974;73(3):433−444
  10. Vinothini C, Sudhakar S, Ravikumar R. Biodegradation of petroleum and crude oil by Pseudomonas putidaand Bacillus cereus. Int J Curr Microbiol App Sci. 2015;4(1):318−329.
  11. Borah D, Yadav RNS. Biodegradation of diesel, crude oil, kerosene and used engine oil by a newly Isolated Bacillus cereusStrain DRDU1 from an automobile engine in liquid culture. Arab J Sci Eng. 2014;39(7):5337–5345.
  12. Fakruddin Md. Biosurfactant: Production and application. J Pet Environ Biotechnol. 2012;3(4):1−5.
  13. Janaki S, Thenmozhi S, Muthumari. Biosurfactant producing Bacillus cereus in oil contaminated soil samples. Int J Life Sci Scienti Res. 2016;2(4):324−332.
  14. Bustamante M, Durán N, Diez MC. Journal of Soil Science and Plant Nutrition. 2012;12(4):667−687.
  15. Płaza G, Chojniak J, Rudnicka K, et al. Detection of biosurfactants in Bacillus species: genes and products identification. J Appl Microbiol. 2015;119(4):1023−1034.
  16. Sergeev N, Distler M, Vargas M, et al. J Microbiol Methods. 2015;65(3):488−502.
  17. Barin R, Talebi M, Biria D, et al. Fast bioremediation of petroleum-contaminated soils by a consortium of biosurfactant/bio-emulsifier producing bacteria. Int J Environ Sci Technol. 2014;11(6):1701–1710.
Creative Commons Attribution License

©2018 Jessim. This is an open access article distributed under the terms of the, which permits unrestricted use, distribution, and build upon your work non-commercially.